KEMBAR78
FI Basic Settings | PDF | Debits And Credits | Enterprise Resource Planning
0% found this document useful (0 votes)
304 views29 pages

FI Basic Settings

This document provides an overview of SAP software and how to set up basic configurations. It discusses: 1) What SAP stands for and describes some of its core modules like FI, CO, and releases over time. 2) How to define basic master data like the company, company code, and business areas in the customization GUI. 3) The process of creating a request to save customizing activities and transport them to the production system.

Uploaded by

meherpr
Copyright
© Attribution Non-Commercial (BY-NC)
We take content rights seriously. If you suspect this is your content, claim it here.
Available Formats
Download as DOC, PDF, TXT or read online on Scribd
0% found this document useful (0 votes)
304 views29 pages

FI Basic Settings

This document provides an overview of SAP software and how to set up basic configurations. It discusses: 1) What SAP stands for and describes some of its core modules like FI, CO, and releases over time. 2) How to define basic master data like the company, company code, and business areas in the customization GUI. 3) The process of creating a request to save customizing activities and transport them to the production system.

Uploaded by

meherpr
Copyright
© Attribution Non-Commercial (BY-NC)
We take content rights seriously. If you suspect this is your content, claim it here.
Available Formats
Download as DOC, PDF, TXT or read online on Scribd
You are on page 1/ 29

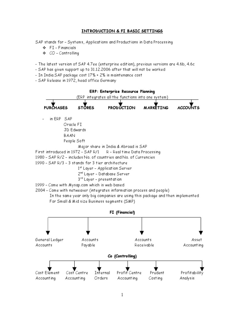
INTRODUCTION & FI BASIC SETTINGS SAP stands for Systems, Applications and Productions in Data Processing FI Financials CO Controlling

lling The latest version of SAP 4.7ee (enterprise edition), previous versions are 4.6b, 4.6c SAP has given support up to 31.12.2006 after that will not be worked In India SAP package cost 17% + 2% is maintenance cost SAP Release in 1972, head office Germany ERP: Enterprise Resource Planning (ERP integrates all the functions into one system) PURCHASES STORES PRODUCTION MARKETING ACCOUNTS

in ERP SAP Oracle FI JD Edwards BAAN People Soft Major share in India & Abroad is SAP First introduced in 1972 SAP R/1 R Real time Data Processing 1980 SAP R/2 includes No. of countries and No. of Currencies 1990 SAP R/3 3 stands for 3 tier architecture 1st Layer Application Server 2nd Layer Database Server 3rd Layer presentation 1999 Come with Mysap.com which is web based 2004 Come with netweaver (integrates information process and people) In the same year only big companies are using this package and then implemented For Small & Mid size Business segments (SMP) FI (Financial)

General Ledger Accounts

Accounts Payable

Accounts Receivable Co (Controlling)

Asset Accounting

Cost Element Accounting

Cost Centre Accounting

Internal Orders

Profit Centre Accounting

Prudent Costing

Profitability Analysis

Apart from this sub modules: Material Management Module: Material Management Module to FI Module Integration Sales & Distribution Module: Sales & Distribution Module to FI Module Integration Production Planning Module: Production Planning Module to Controlling Module Integration. Data Take Over: An existing company shifted to SAP, we cannot create one by one masters Called Legacy System Migration Work Bench (LSMW) Closing Procedure: in the year ending what steps will do Reports: Overall in SAP 2000 Reports i.e. all modules put together, all 2000 paths we cannot remember so we can attached to Favorites (by selecting the Favorites to select directly need not to go for path). Reports 2000 Reports Favorites Desktop Its cover India Version i.e. TDS, Excise Duty, Sales Tax etc., Its cover Companies Act schedule VI Balance Sheet and Profit & Loss A/c Its cover cross company code transactions, we have two companies in same group i.e.DRL and CDL Normal Books: CDL A/c Wages A/c To Bank A/c To DRL A/c In DRL, Credit Bank 100000 Debit CDL 100000 - The Success of SAP is Integration - In SAP All Inventories are updated automatically Project Customization with different scenarios Testing (doing project total modules are in picture) - we know basic accounting is must for FICO - In SAP Sr. Consultant Jr. Consultant Support Consultant Core Team Member End User To Open SAP Double click on SAP Logon Icon SAP Server Double Click 1) Client in live environment 2 types of clients i) Development Client ii) Production Client The Consultant do the customization in the Development Client Ex: Dr Reddys Consultants coming from WIPRO - Customization -

Core Team Members from Dr. Reddys Testing (is satisfied) i.e. Customization will be transported from Development Client to Production Client through Transport Request. Why SAP has given this Facility? This Production Client is Live Client where we enter Day to Day Transactions whenever you purchase in India, you can get the clients 800, 810, 000 Our client is 800

1) First we tested in Development Client then transport to Production Client, if two more clients testing client based on the company requirement. We should have minimum 2 clients. So, First field is Client 800 2) User: we can buy the package from SAP India, Bangalore - How many user licenses u want - Cost of package will depend on the user licenses - Present 1.25 Lakhs/user - We have to pay AMC i.e. 17% PA of the Package cost (because if any changes is there) - Earlier 50 licenses used by 1000 employees. So, the cost will be less - Latest version checks are inbuilt - Fixing Responsibility on the employee (suppose posted transaction display username, date, time) - USER ID SAPUSER (its not case sensitive) 3) Password: Its fix in the responsibilities of employee - Length of the password: Minimum 3 to 8 character consists of Alphabets Alpha numerals Numeric Special Characters It can be anything - Pass word is not case sensitive - We can change the password once in a day - We cannot change the password more than once in a day - We cannot use the latest five passwords Ex: 1/12 given the password: ABC 1/1/07 change password: XYZ And next day change the password: ABC it is not accepted - Suppose we forgot the password? Password cannot be restored delete the old password to enter New Password 4) Along with the package they are given 41 Languages - if dont specify any thing the default is English, use EN for English - If DE German If JE Japanese There are some fields in First Screen 800 Demo Client (how to customization) IDES International Demonstration Education System

Company Code 1000 All the settings for 1000 After completion of this session press Enter Ex: One More employee use this system same ID i.e. 800 SAPUSER XYZ System displays Already Logged in Client 800 Select choose any one radio button Transactions select send option Select 2 radio button once complete and press Enter - One User can work in n number of sessions at a time, maximum is 6 - Session is called Window How to Create a New Session? From the Menu Select - System Select Create Session Enter To Move One Session to Another Session - Use Alt + Tab To Close Session - From the Menu select System End Session 1st Row: Menu Bar Standard Toolbar (SAP Easy Access) Title Bar which area we are working Application Tool Bar Status Bar Last Row (End Lines) In standard tool bar - is called Enter Beside box is called Command Field How to Close the System? If switch off directly switches not working properly. Path: From the Menu Select - System Log off Display do you want to log off Yes (Log off the system) Then the system is closed - If system is directly Off the screen is locked How to Unlock the Screen? From the Menu select - Tools Administration Monitor Lock Entries TC SM12 Select List button Posted Transaction: 1) Go through the path and post the transaction 2) Use Transaction Code (TC) in command field and Press Enter

To go to SAP Easy Access Screen Use /n in command field and press enter, this is case sensitive.

/n /o -

changing creating

How to Activate TC in SAP Menu: From the Menu select Extras Settings Select display/technical names check box Enter Some users they want to use only one screen called Set Start Transaction To make one screen as beginning screen as default screen

Ex: cashier wants to post the transaction: From the Menu select Extras Set Start Transaction System ask which TC you want Give F-02 You can open the screen directly.

PROJECT CREATION: IN ANY ORGANIZATION GROUPS -

COMPANY

UNITS

In SAP

Company

Company Code

Business Areas

Dr. Reddys Labs

DRL

CDL

DIL

DRL

CDL

DIL

Customization will be done at Company Code Level The Company or Group is only for Information Purpose We can Post the Transactions at Company Code Level not in Company Level License is only User Level not Company Level Create the Group or Company Company Code

Step1: Define Company Tools Customizing IMG (Implementation Guide) Edit Project TC SPRO Select SAP reference IMG Button Next display area is called Customization Area/Configuration Area/Implementation Area (In Production Client will not have Access to this Area) Enterprise Structure Definition Financial Accounting Define Company IMG Activity Documentation If select its give descriptive part of the Company IMG Activity To do customization to select ING Activity Double Click on IMG Activity Button Select New Entries Button

Company Company Name Name of the Company Address of the Company Street PO Box No. Pin City Select drop down button Select IN for INDIA Language Key EN for English Currency select INR i.e. Indian Rupee After completion of all the data Select Save button In one request for do all the requests To create your own request Select Create Request Button Give the Short Description: FI Basic Settings for Dr. Reddys Laboratories Enter And press enter once again to Save the Request After this system display Data Was Saved

Step2: Define Company Code (it should be Alphabets, Alphanumeric, Number but it should be less than 4 characters) Tools Customization IMG Edit project (SPRO) Select SAP Reference IMG button Enterprise Structure Definition Financial Accounting Select Edit, copy, delete, check company code Double click on Edit Company Code Data Select New Entries Button Company Code: DRL Company Name: Dr. Reddys Laboratories City: Hyderabad Country: IN Currency: INR Language: EN Once completion of data to save the data Select Save (once saved its display big screen) Title select the company Name: Dr. Reddys Laboratories Ltd., Street: Ameerpet Postal Code: 500016 Country: IN Enter Save To save in your request How to select request? Select dropdown button beside Request Number All the Request are displayed Double click on your request Press Enter to Save the request.

Step 3: Assign Company Code to Company

SPRO Enterprise Structure Assignment Financial Accounting Assign Company Code to Company Select IMG Activity button (now its display company codes) Select Position Button Select company code: DRL Assign Company DRG Save Save your request

Step4: Define Business Area:

Select Save Button Press Enter to save u r request -

SPRO Enterprise Structure Definition Financial Accounting Define Business Area Select New Entries Button Business Area GFLH GFLB GFLM

Description Hyderabad Business Area Bangalore Business Area Mumbai Business Area

Here no limit to create n number of business areas Business Area Assigned to Company Code is not required Dr. Reddys Group

DRL

CDL

DRI

Once posting session which company code: DRL Which Business Area: DRLH - without giving company code cant see any repost - in Posting Company code: DRL CDL Business Area: HYD HYD In Report Company code: DRL CDL DRI Business Area: HYD HYD HYD -

DRI HYD

If we want to see the total expenditure in Hyderabad Business Area: DRL+CDL+DRI Company code is must.

CHART OF ACCOUNTS We have 3 company codes like DRL, CDL, DRI when we compared consolidating we should have Common Set of Accounts, in SAP called Chart of Accounts. Account codes should be same. Ex: Company Code: 400000 400000 400000 (Account numbers) Group Chart of Accounts: Each Company they dont have same common set of Accounts, in that case we are using Group Chart of Accounts. Ex: Conveyance: 400000 300000 200000 (Account Numbers) Group No.: 100000 100000 100000 Most of the companies are using Common Set of Accounts not Group Chart of Accounts In Group Chart of Accounts we have to create 1) Company Code Account i.e. 400000 300000 200000 2) Group Account No.: 100000 100000 100000 We are consolidating by way of Group Chart of Accounts SPRO Financial Accounting General Ledger Accounting General Ledger Accounts Master Records Preparations Edit Chart of Accounts List TC OB13 Select New Entries button Chart of Accounts Code: DRL Description: Chart of Accounts for Dr. Reddys Group

Path:

Maintain Language: Select English

Length of Account No: 6 Controlling Integration Select Manual Creation of Cost Elements Group Chart of Accounts: Blank Under status there is one check box i.e. Blocked dont select that one Save Save in your request Enter Save Here we deselect Blocked check box to Avoid Duplicate Account Creation. FI CO Expenses A/c Cost Elements in Company (Its Automatically Updated) Creation of Cost Elements in Two Ways. Manual Creation Create Manually All Expenses Accounts Need not be cost elements Ex: Interest, Depreciation Costing person will not Allowed this type of accounts Flexibility

Automatic Creation Create Automatically No Flexibility

How it works: In posting user cannot check the Accounts whether it is created or not. Assign Company Code to Chart of Accounts: SPRO Financial Accounting General Ledger Accounting General Ledger Accounts Master Records Preparations Assign Company code to Chart of Accounts TC OB62 Select Position Button Enter Company Code: DRL Enter For Company code DRL Assign chart of accounts: DRL Select Save button Press enter to save in your request

10

Account Groups: To get the Balances directly in Accounts i.e. called Account Groups. Chart of Accounts Account Groups Accounts Ex: 100000 Equity Share Capital 200001 Cash A/c 100002 Preference Share Capital 200003 SBI Current Account Share Capital 100000 to 100099 Current Assets 200000 to 200099 - When we can create a Account u can create with Number Range - Accounts should be created with Account Groups - We can take Client Balance Sheet and create account groups Liabilities taking with 1 series 1 Assets taking with 2 series 2 Income taking 3 series 3 Expenses taking 4 series 4 - if it is not given number series, we can search for entries in all the data Path: SPRO Financial Accounting General Ledger Accounting General Ledger Mater Records Preparations Define Account Group Select IMG Activity button TC OBD4 Chart of Accounts Account Group Name From A/c DRL SCPL Share Capital 100000 DRL RSPL Reserves & Surplus 100100 DRL ACDN Accumulated Depreciation 100200 DRL SCLN Secured Loans 100300 DRL UNSL Unsecured Loans 100400 DRL CLPR Current Liabilities & Prov. 100500 DRL FAST Fixed Assets 200000 DRL CAST Current Assets 200100 DRL SALE Sales 300000 DRL OTHR Other Income 300100 DRL INCR Increased/Decreased in stocks300200 DRL RMCN Raw Material consumption 400000 DRL PRSN Personal Cost/Staff Cost 400100 DRL MFRG Manufacturing 400200 DRL ADMN Administration 400300

To A/c 100099 100199 100299 100399 100499 100599 200099 200199 300099 300199 300299 400099 400199 400299 400399

11

DRL DRL

INTR DEPR

Interest Depreciation Select Save Button

400400 400500

400499 400599

Retained Earnings Account: Means in the year ending profit & Loss balances transferred. If Profit i.e. Surplus in profit & Loss Account under Reserves and Surplus whereas If Loss i.e. Miscellaneous Expenses under Surplus in Profit & Loss Account is called Retained Earnings Account In case Balance Sheet balances year ending transferred to next year opening balances Profit & Loss Account Balances Balance Sheet Account Balances Path: Surplus in P& L A/c - Reserves & Surplus

Carry forward to Next Year

when we are create accounts assign one account for Retained Earnings i.e. Range 100000-100099 When we starts creating accounts, the first account to be created in 100100 i.e. Surplus in Profit & Loss Account. SPRO Financial Accounting General Ledger Accounting General Ledger Master Records Preparations Define Retained Earnings Account TC OB53 Double click on IMG Activity button Give Chart of Accounts: DRL Enter

Account Assignment P&L Statement Account Type X

In Global:

Account 100100 Select Save button Ignore the warning message Enter & Save To save your request

Net Operating Profit i.e. Income Expenditure Net Non Operating Profit i.e. sales of investment just like shares, if selling that shares on profit i.e. Net non operating profit. Ex: Profit on Sale of Shares - GL Account No. 300100 Select P & L Account Radio button - Created one more account called Y i.e. Net Non Operating Profit - System is asked we have created 2 Accounts i.e. X and Y

12

Indian Company follow US Companies follow Some companies follow SAP has given 4 Special Periods i.e.

FISCAL YEAR April - March January December July June October September April March + 4 special periods - V3 January December + 4 special periods - K4 July June + 4 special periods V6 October September V9

- Here is no logic for V3, K4, V6, V9 these are text fields called Fiscal Year Variants - It s create our own also Ex: We have taken April 2007 March 2008 in SAP Call it as Fiscal year 2008 or Account Year 2008 Why? April 2007 March 2008 9 periods 3 periods - if 6 or above we call it 2007 July 2007 6 periods October 2007 3 periods June 2008 6 periods if 6 or above call it as 2008 September 2008 9 periods if 6 or above call it as 2008

PERIODS:

April 2007 1st period & March 2008 12th period and 4 special periods March + 4 - The Four Special Periods are part of March - So, 1 to 12 is Normal Periods & 13 to 16 is Special Periods - Usage of Special Periods is Optional - To get the profitability at different state we have to use special periods Why Special Periods are Required: Ex: Our Tax Accounting Year April 2007 March 2008 - If profit is declared up to February 2008 - If profitability is not declared on 20.03.2008 i.e. March 2008 March 2008 12, 2008 12, 2008

In SAP April 2007 March 2008 and March will have 4 periods

If profitability not declared up to 30.03.2008 i.e. March 2007 March 2008 12, 2007 12, 2008 If profitability declared by Account Department on 16.04.2008 but we are taken year end is 31.03.2008 On 05.05.2008 profitability finalized by Management, posting date: 31.03.2008 On 25.05.2008 profitability finalized by Auditor with rectification entries, posting Date on 31.03.2008 If we are using stages if we see the rectification entries done by auditor then they

13

Use stages i.e. Special Periods Once the Account Department finalize the Profit on 16.04.2008 then posting in SAP is 13, 2007 12, 2008

1) 16.04.2008 Account Department finalize the profit 13, 2007 12, 2008 2) 05.05.2008 Management has finalize the profit 14, 2007 12, 2008 3) 25.05.2008 Some Adjustments and finalized by Auditor 1) in this case we can give the period in SAP is 1-12 2) in this case we can give the period in SAP is 1-13 3) in this case we can give the period in SAP is 1-14 Suppose, if we want to see the Auditors Adjustments entries only in this case we can give 14th Period transactions only. So, this is the Advantage of Special Periods. - SAP knows Calendar Year Periods only - SAP doesnt know Accounting year periods How to Convert Calendar Year Periods to Your Accounting Year Periods: Calendar Year: Month Days Period Year Shift January 31 10 -1 February 29 11 -1 March 31 12 -1 April 30 1 0 May 31 2 0 June 30 3 0 July 31 4 0 August 31 5 0 September 30 6 0 October 31 7 0 November 30 8 0 December 31 9 0 give 29 days for February, the system will check automatically i.e. Leaf Year or not When you are Accounting Year i.e. April March the April will be 1st Period Period April, 2007 March, 2008 i.e. Year 2007 Its coming year is 2006, so we are calling 2006, the year shift is 2006-2006=0 In Jan08 its coming year is 2008 in SAP we are calling 2007, so 2007-2008=-1

Ex: Period July 2007 to June 2008 call it as 2008 i.e. next year Month Days Period Year Shift January 31 7 0 February 29 8 0 March 31 9 0 April 30 10 0 May 31 11 0 June 30 12 0 July 31 -1 +1

14

August September October November December Path:

31 30 31 30 31

-2 -3 -4 -5 -6

+1 +1 +1 +1 +1

July, 2007 it is coming year 2006, we are call it as in SAP 2007, so 2007-2006=+1 In Jan08 it is coming year 2007, we are call it as 2007, so 2007-2007=0

SPRO Financial Accounting Financial Accounting Global Settings Fiscal Year Maintain Fiscal Year Variant TC OB29 Select Position Button Give the fiscal year variant V3 Enter Select Fiscal Year Variant V3 Double click on Periods Folder Now select back arrow Here should not create same variant, the system display already exist

How to Create Fiscal Year Variant: Select New Entries Button Fiscal Year Description Year Calendar Year Variant Dependent B1 Apr-Mar 4 S.Periods Deselect Deselect Select Save Press Enter to Save in your request Now select Fiscal Year Variant B1 Double click on Periods Folder Select New Entries Button Now enter the conversion table Period Year Shift 10 -1 11 -1 12 -1 1 0 2 0 3 0 4 0 5 0 6 0 7 0

No. of Postings 12

No. of S.Periods 4

Month January February March April May June July August September October

Days 31 29 31 30 31 30 31 31 30 31

15

November December Select save button

30 31

8 9

0 0

Assign Company Code to Fiscal Year Variant: SPRO Financial Accounting Financial Accounting Global Settings Fiscal Year Assign company code to Fiscal Year Variant TC OB37 Select Position Button Give the company code: DRL Enter For Company code DRL Assign Fiscal Year Variant: V3 Select Save Ignore the warning message and press Enter Press Enter to save in your request Posting Periods: We are not define any year, we define calendar year i.e. April 2007 March 2008. In SAP call it as 2007. Ex: Declare the results up to Nov06 then the profit will not change i.e. Dec07 to Mar08. So, User can post the transactions for these 4 months because declared profit up to Nov07 i.e. 9,2008to 12, 2008). So, we need the following steps. 1. Define Posting Period Variant 2. Assign Posting Period Variant to Company Code 3. Define Open & Close periods for Variant Scenario 1: - Open periods are Common for all company codes - Each company they want to close same date Ex: We have 3 company codes like Step 1 Step 2 Step 3 DRL CDL DRI X X X X For X 9, 2008 to 12, 2008

Scenario 2: - When the company wants to Close the Periods Differently Ex: We have 3 company codes like Step 1 Step 2 Step 3 DRL CDL DRI X Y Z X Y Z For X 9, 2008 to 12, 2008 i.e. from Dec07 to Mar08 For X 8, 2008 to 12, 2008 i.e. from Nov07 to Mar08

16

For X 10, 2008 to 12, 2008 i.e. from Jan07 to Mar08

Path: 1. Define Posting Period Variant SPRO Financial Accounting Financial Accounting Global Settings Document Posting Periods Define Variants for Open Posting Periods Select New Entries Button Give the Variant: DRL Name: Posting Period Variant for DRL Select Save Press Enter to save in your request 2. Assign Posting Period Variant to Company Code SPRO Financial Accounting Financial Accounting Global Settings Document Posting Periods Assign Variant to Company Code Select Position Button Give the company code: DRL Enter For Company Code DRL Assign Variant: DRL Save Press Enter to save your request 3. Define Open & Close Posting Periods for Variants: SPRO Financial Accounting Financial Accounting Global Settings Document Posting Periods Open & Close Posting Periods Select New Entries Button 1st Column: Variant Select DRL 2nd Column: A for Account Type Select + valid for All Account Types 3rd Column: From Account Blank 4th Column: To Account Blank 5th Column: From period 1 to 9 6th Column: Year 2007

17

7th Column: To Period March i.e. 12 8th Column: Year 2007 (in SAP call it as 2007) 9th Column: This is Optional 9th Column: from period 12 10th Column: Year 2007 11th Column: To Period 12 12th Column: Year 2007 13th Column: AU Gr i.e. Authorization Group Last Year Accounts not closed, we want to open last year accounts i.e. April 2006March 2007 i.e. 12, 2006 12, 2006 Require these screen every month The same screen will be used at user levels Ex: Basic Administrator Y Manage Accounts Dy. Manager Accounts Select Save Press Enter to save in your request How to view the Transaction Code (TC) when u get SPRO: To view the Transaction Code (TC) From the Menu Select Additional Information Additional Information Display Key IMG Activity We can get a New Column Note down the Last 4 Characters For open & closing posting periods: OB52 User Level: Posting Periods Entry Screen at User Level: Accounting Financial Accounting General Ledger Environment Current Settings Open & Close Posting Periods TC S_ALR_87003642 Document Types & Number Ranges: In Normal Accounts will do all the things, advantage is we can get separate voucher numbers. In SAP Ex: Account Persons sits in different places i.e. company, stores, sales department Accounts Person In Company 2nd Entry 4th Entry SA Stores Person Factory Post the entry 1st RE Sales Person Department 3rd Entry RV

Document Types

18

No. Range 01 02 03 No. Range Interval 1 100000 100001 200000 200001 300000 If document numbers are consumed then 300001 400000 and advantage is we can see the voucher number in which department to posted transaction. Path:

SPRO Financial Accounting Financial Accounting Global Settings Document Header Define Document Types TC OBA7 Select Position Button Document Type: select SA Enter Select Details Button (it shows 01 number range) Note down the Number Range:01 Select Number Range Information Button Give your company code: DRL Select Change Intervals Button Select Interval Button Give the No. Range: 01 (posted 1 not accepted) Year: 2006 From Number: 1 To Number: 100000 Deselect Ext External check box Enter & Save Ignore the message and Press Enter

Once we are given company code DRL then its displayed 3 buttons 1. Display Intervals: Select this one it shows what document number we have given 2. Change Status: If you select this one how many documents we have posted 3. Change Intervals: To give document numbers we have to select this button. Why we are deselect External Check box: Suppose we select External check box at the time of posting we have to give what the document numbers should be Sales Document Numbers. - The Number Range Interval cannot be transported to Production Client. The reason is 1. Consultant is Outsider 2. All Departments they wont have 1 100000 series which is not possible 3. All the people sit together and decided i.e. What is number range for Sales people What is number range for Purchase Dept. What is number range for Account Dept. Like this they have to decide. Option I Option II Year Specific Common to All Years 01-2006-1-100000 49000 49001 9999 Any Year

19

01-9999-1-100000-50000 50001 like this Document entry date: 10.12.2007 Here we dont know how many document Posting date: 10.12.2007 we have posted in each year. Document Entry date: 10.12.2007 & Posting date: 31.03.2007, company follow Option I Field Status Variant & Field Status Groups: At the time of posting on screen we get around 70 fields. Fields are nothing but Quantity (in normal accounting called Narration i.e. text), cost center, Value date these are called Fields. We have 70 Debit Fields 70 Credit Fields i.e. Total 140 fields - If we start filling up each and every field it will take so much time to post a document - Now SAP has given a facility we can make any field as Required Field Optional Field Suppress Field. - When we select Quantity as Required Entry Field, we have to give compulsory some values to the quantity field, without giving values it will not go to next screen. - When we select Quantity as Optional Field, the fields will be visible on screen our choice to enter values to the Filed or not. - The selection is not common to all accounts its depends on account what we are using. Ex: If we use purchase account or sales account Quantity is Required If we use conveyance or Equity share capital account Quantity is not required - Suppose we have 1000 Accounts we have to create 1000 scenarios which is time consuming - SAP has given Common Groups what we called Field Status Groups along with SAP Package we get around 45 Groups. Field Status Group Equity Share Capital General Reserve Purchase Account Bank Accounts General General Material Quantity Suppress Required Optional

01-2007-1-100000 1000

1001

1. At the time of creation of Account, we have to Assign Field Status Group 2. For Field Status Group we specify which field is required, optional and suppressed

3. At the time of posting when we give Account Numbers the screen will appear based on Filed selection to the Field Status Group which is assigned in GL Accounts. 4. Field Status Groups are created under Field Status Variant and Field Status Variant is assigned to Company Code. After wards, we create 2 Accounts & Post Entry: Cash A/c Bank A/cs Equity Share Capital - In Equity Share Capital the required field is General, in General we have to give

20

Text Field Business Area Required Required - In Bank Accounts we have to create: Text Field Required

Business Area Required

Value Date Required

Path:

SPRO Financial Accounting Financial Accounting Global Settings Document Line Item Controls Maintain Field Status Variants (we get along with the package, we get 0001, 1000) Select Field Status Variant 1000 IDES Group (Now Copy & Paste) Select Copy as button Now change Field Status Variant to GFL Change Field Status Name to Field Status Variant for GFL Enter It will show 3 button i.e. Copy All, Only Copy, Select copy all button We get a message Number of dependent entries: copied 45 Enter Select Save Press Enter to save your request Now select Field Status Variant: GFL Double click on FST Groups Folder All Variant Added to GFL Double click on FST Group: G001 i.e. General (with text, allocation) Double click on General Data Text Filed make it Required Entry Field Select Next Group Button Select Next Page or Page 1 button 2 times Business Area make it Required Entry Field Select Save button Double click on FST Group: G005 i.e. Bank Accounts (obligatory value date) Double click on General Data Text make it Required Entry Field Select Next Group button Select next page or page down button 2 times Business Area make it required entry field Select next group button 2 times Value date make it required entry field Save

21

Assign company code to Field Status Variants: SPRO Financial Accounting Financial Accounting Global Settings Document Line Item Controls Assign Company Code to Field Status Variants Select Position Button Give company code: GFL Enter For company code GFL Assign Field Status Variant: GFL Select Save Press Enter to save your request TOLERANCE GROUPS SAP has given 2 Tolerance Groups i.e. 1. GL Accounts Tolerance Group 2. Employee Tolerance Group - Tolerance means Payment Differences Ex: Commission paid Rs.100010 but in normal accounting we round the nearest rupee. So, we paid Rs.100000 but in commission account will show Rs.10 in credit balance, this type of transactions we used Tolerance Groups. 1. GL Accounts Tolerance Group: We have create Tolerance Group, it can be Amount Tolerance or It can be Percentage Tolerance. Tolerance Group Amount Percentage A 1000 B 5% C 0 - In Outstanding Expenses Account, while creating we have to specify Tolerance Group A i.e. Provision 100010 Paid 100000 Payment Difference: 10 The difference is less than Tolerance Group Amount specified i.e. Rs.1000 in the Account Ex: 1000, the difference amount will go to an account called Sundry Balances Written Off Account automatically and also clear that transactions i.e. the difference amount Rs.10 will go to Sundry Balances Written Off Account Automatically. Disadvantages: 1. The Tolerance Group is given at Account Level and not at Transaction Level

22

2. There is flexibility In the above example system is clearing the Item and transferring automatically if the difference amount is less than Tolerance Group Amount. It should ask us and transfer to Sundry Balances Written Off Account

If we specify in Outstanding Expenses Tolerance Group i.e. 0 zero Provision 100010 Paid 100000 Balance Difference Rs.10 If not Payable If payable Transfer to Sundry Balances Shows 100000 as part payment Rs.10 Written Off A/c will be shown as Outstandings

Open Item Management: This is used for Vendors/Customers/Balance Sheet Accounts where clearing is required. Ex: Paid Salaries, Rent, Wages etc., for next month 1st. So, these are called outstanding expenses. (suppose we make a provision for every month). Outstanding Expenses A/c Tolerance Salaries 100000 100 Wages 200000 200 Bank 15000 Rent 25000 15 While making the payment the system will ask against which provision we are making payment. When we specify this is paid against rent provision. The item will be cleared.

Advantages: We can see the Account in 3 ways i.e. 1. Open Items 2. Cleared Items 3. All Items

: Payable : Paid : Payable + paid

Ex: Vendors / Customer Accounts like Party X Paid against bill no.1: 200 Paid against bill no.1: 1000 Paid against bill no.2: 400 Paid against bill no.1: 2000 Paid against bill no.3: 600 Paid against bill no.1: 3000

The same way for vendors and customers also we can see bill wise payables and receivables, we get the profitability is correct. Suppose we have 1000 GL Accounts we have to go on assign Tolerance Group C for all accounts which is time consuming. We created Tolerance Blank and give amount Zero, the advantage is at the time creation of Account, keep Tolerance Group Filed Blank, so system expects Blank Tolerance Group is created and Assigned in Account.

Path:

23

Co. Code

SPRO Financial Accounting General Ledger Accounting Business Transactions Open Item Clearing Define Tolerance Groups for GL Accounts Select New Entries button Tolerance Name Debit Credit Per D Group of TG Amount Amount Blank TG for GFL 0 0 0

Per C

Value Date VD Deselect

GFL

Per D Percentage Debit Per C Percentage Credit

Save To save in your request Then the system expects Blank Tolerance Group. Value Date (Effective Date): For Cash and Bank Accounts Value Date field is Required Entry Field. Ex: Taken Loan from IDBI Rupee Term Loan check date is 08.12.2007 but 08.12.2007 is Saturday or Sunday, so we deposit check on 10.12.2007. Check date : 08.12.2007 Deposit in our date : 10.12.2007 So, document date : 10.12.2007 Posting date : 10.12.2007 these fields cannot be change Value Date 08.12.2007 because in Interest Calculations, in Bank they calculate based on value date i.e. 08.12.2007 but we calculate (customer side) on 10.12.2007. So, we are using value date i.e. effective date i.e. 08.12.2007. 2. Tolerance Group for Employees: We give employee wise Upper Limits for Posting. In employee side: i) How much amount per document ii) How much amount per Open Item Account Item iii) How much is cash discount iv) Payment difference is accepted Suppose we have 1000 users, we have to create 1000 scenarios which is time consuming, so in SAP we have to create Tolerance Group i.e. Tolerance Group A B C Amount/ document 100000 1000000 10000000 Amount/Open Items 100000 1000000 10000000 Cash Discount 0 5 10 Payment Difference 0 0 0 Factory Cashier

24

City Office Cashier Branch Cashier Accountant 1 Accountant 2 Accountant 3

in SAP call it as Group A i.e. they post up to 100000

Dy. Manager Accounts Manager Accounts

In SAP we call it as Group B i.e. they post up to 1000000

DGM Accounts In SAP call it as Group C They Post up to 1 Crore

In Live Environment/Training Institutes: Create Group Blank Ex: User in SAP is SAPUSER in All Company Codes. So, SAPUSER GFL Assign A SAPUSER ABC SAPUSER XYZ Here we assign A (Tolerance Group) to SAPUSER not for company code. So, in SAP we have only one user i.e. SAPUSER but company codes are difference. We assign only user i.e. SAPUSER is common for all company codes. Path: SPRO Financial Accounting General Ledger Accounting Business Transactions Open Item Clearing Clearing Differences Define Tolerance Groups for Employees Select New Entries Button Company Code Currency GFL INR

Group Blank

Upper Limits for Posting: 1. Amount per document enter 9999999999 2. Amount per Open Item Account Item enter 9999999999 3. Cash Discount per Line Item enter 10% Permitted payment differences Give Blank Select save Save in your request - here dont give A, B or C it will create problem for other users.

25

SALES TAX PROCEDURE Demo: GL Account Ledger Accounts Payable Accounts Receivable Asset Management

Purchases

Sales

Purchase Tax

Sales Tax

As per SAP Sales Tax procedure is to be assigned to country: IN For the time being: when we use client 800 assign sales tax procedure TAXUS Sales Tax USA for Country: IN When we use client 000, assign sales tax procedure TAXUS Sales Tax USA or TAXINJ Sales Tax India. For country IN this is temporary assignment other wise system will not allowed for posting. Path:

SPRO Financial Accounting Financial Accounting Global Settings Tax on Sales / Purchases Basic Settings Assign country to calculation procedure Select Position Button Give the country IN for India Enter For Country IN Assign Procedure (PROC) Assign TAXUS i.e. sales tax USA Save Save in your request

Enter Global Parameters: before inform to other consultants i.e. SD, CRM etc., Path: SPRO Financial Accounting Financial Accounting Global Settings Company Code Enter Global Parameters Select Position Button

26

Give the company code: GFL Enter Select company code: GFL Select Business Area financial statements check box Select Propose Financial Year check box Select Define Default Value Date check box Select negative postings allowed check box Select additional details button (asking) Company code: GFL Business Area: GFLH GFLB Business Places: City Office Factory City Office Factory PAN: Form 49A at company code level TDS No.: Form 49B at company code level/Business Area Level/Business Places Level Here system cannot check Enter TDS No.: HYDF 00434 A Enter PAN No.: AAACF 8840 N Select Back Arrow Enter Save Save in your request NEGATIVE POSTINGS - In SAP once posting we cannot change. So, we go for Reversals means when we Reverse a Transaction, it reduces from the same side. - When we do wrong postings, we have to Reverse or Rectification Entry. 1. Cash A/c Dr 300000 To Equity Share Capital A/c 300000 Doc.No.1 2. 3. Cash A/c Dr 500000 To Equity Share Capital A/c 500000 Doc.No.2 Ledger Display: Summary Sheet Account Equity Share Capital Fiscal Year 2007 Debit Credit Balance for the Month

Period April 1 May 2 June 3 July 4 August 5 September 6 November 7 October 8 December 9 January 10

Cumulative Balance

500000 Dr

800000 Cr 500000 Dr

800000 Cr 300000 Cr

800000 Cr 300000 Cr

27

February 11 March 12 13 SP 14 SP 15 SP 16 - SP

Reverse Entry: Equity Share Capital A/c Dr 500000 To Cash 500000 4. Cash A/c Dr To Preference Share Capital A/c 500000 500000

Doc.No.3

Doc.No.4

- Document Numbers System automatically generated in SAP Here 2nd entry is wrong entry instead of giving credit to Preference Share Capital, we have given credit to Equity Share Capital. Rectification: Equity Share Capital A/c Dr To Preference Share Capital Cash Flow Statement: 1 Reversal without Selecting Negative Posting 0 800000 500000 500000 800000 Wrong 2 3 Reversal by selecting Negative Posting 0 300000 500000 500000 500000

Doc.No.3

Opening Cash & Bank Balances Add: Inflows: Equity Share Capital Preference Share Capital Less: Outflows: Equity Share Capital Closing Cash & Bank Balances

Rectification 0 800000

800000 Wrong

800000 Correct

28

29

You might also like