KEMBAR78
Main Dimension Problems & Solution Module 2 | PDF | Alternating Current | Electric Generator
0% found this document useful (0 votes)
281 views11 pages

Main Dimension Problems & Solution Module 2

Uploaded by

Ashwini
Copyright
© © All Rights Reserved
We take content rights seriously. If you suspect this is your content, claim it here.
Available Formats
Download as PDF, TXT or read online on Scribd
0% found this document useful (0 votes)
281 views11 pages

Main Dimension Problems & Solution Module 2

Uploaded by

Ashwini
Copyright
© © All Rights Reserved
We take content rights seriously. If you suspect this is your content, claim it here.
Available Formats
Download as PDF, TXT or read online on Scribd
You are on page 1/ 11

Module 2 -Design of D.

C Machine
List of Formulae
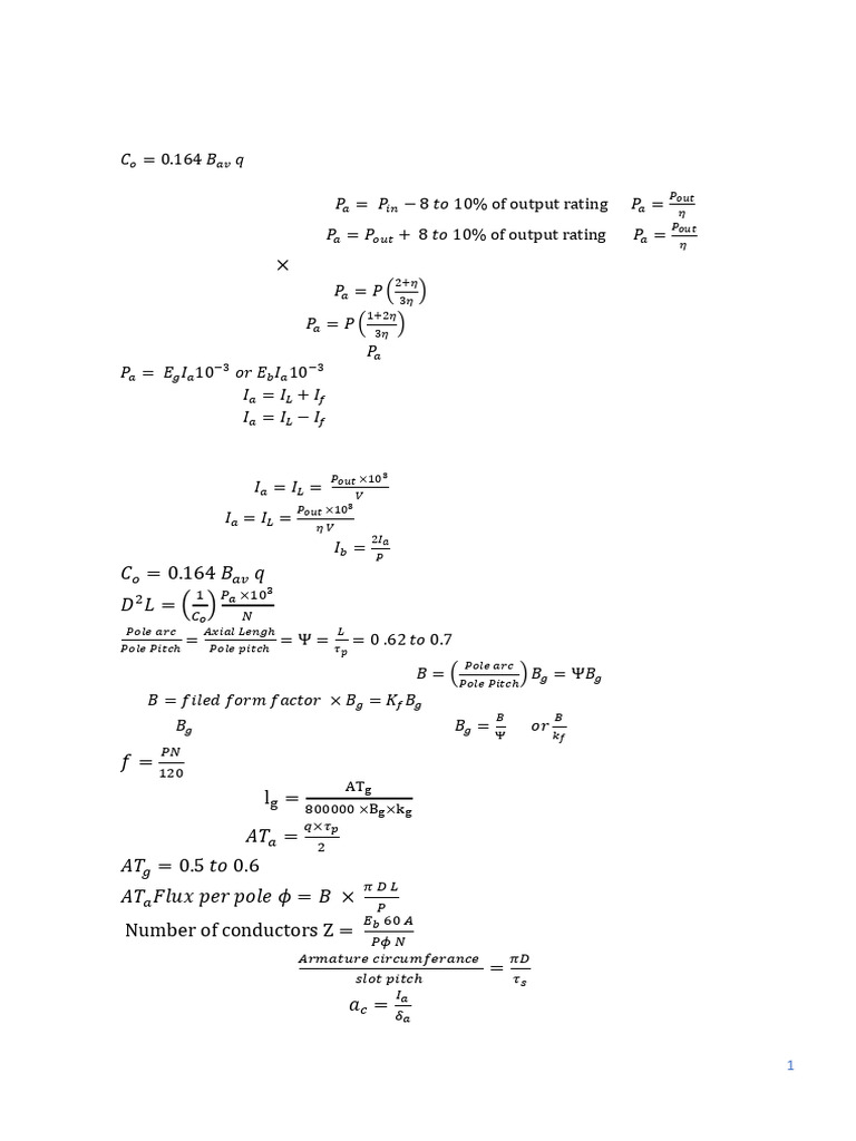
1) 𝐶𝑜 = 0.164 𝐵𝑎𝑣 𝑞
2) Power developed by armature
𝑃
For large rating d.c generator 𝑃𝑎 = 𝑃𝑖𝑛 − 8 𝑡𝑜 10% of output rating or 𝑃𝑎 = 𝑜𝑢𝑡
𝜂
𝑃𝑜𝑢𝑡
For large rating of d.c motor 𝑃𝑎 = 𝑃𝑜𝑢𝑡 + 8 𝑡𝑜 10% of output rating or 𝑃𝑎 = 𝜂
Field copper loss = V×If
2+𝜂
For small rating d.c generator 𝑃𝑎 = 𝑃 ( 3𝜂 )
1+2𝜂
For small rating d.c motor 𝑃𝑎 = 𝑃 ( )
3𝜂
Other alternate ways of calculating 𝑃𝑎 according to the data
𝑃𝑎 = 𝐸𝑔 𝐼𝑎 10−3 𝑜𝑟 𝐸𝑏 𝐼𝑎 10−3
For d.c generator 𝐼𝑎 = 𝐼𝐿 + 𝐼𝑓
For d.c generator 𝐼𝑎 = 𝐼𝐿 − 𝐼𝑓

3) For some cases neglecting filed current armature current are calculated as follows
𝑃𝑜𝑢𝑡 ×103
For D.C Generator 𝐼𝑎 = 𝐼𝐿 = 𝑉
𝑃𝑜𝑢𝑡 ×103
For DC Motor 𝐼𝑎 = 𝐼𝐿 = 𝜂𝑉
2𝐼𝑎
Current/Brush arm is given by 𝐼𝑏 = 𝑃
4) 𝐶𝑜 = 0.164 𝐵𝑎𝑣 𝑞
1 𝑃𝑎 ×103
5) 𝐷 2 𝐿 = ( )
𝐶𝑜 𝑁
𝑃𝑜𝑙𝑒 𝑎𝑟𝑐 𝐴𝑥𝑖𝑎𝑙 𝐿𝑒𝑛𝑔ℎ 𝐿
6) = = Ψ = 𝜏 = 0 .62 𝑡𝑜 0.7 , for square pole width of pole b = L
𝑃𝑜𝑙𝑒 𝑃𝑖𝑡𝑐ℎ 𝑃𝑜𝑙𝑒 𝑝𝑖𝑡𝑐ℎ 𝑝
𝑃𝑜𝑙𝑒 𝑎𝑟𝑐
7) Average air gap flux density over the pole 𝐵 = (𝑃𝑜𝑙𝑒 𝑃𝑖𝑡𝑐ℎ) 𝐵𝑔 = Ψ𝐵𝑔
Or 𝐵 = 𝑓𝑖𝑙𝑒𝑑 𝑓𝑜𝑟𝑚 𝑓𝑎𝑐𝑡𝑜𝑟 × 𝐵𝑔 = 𝐾𝑓 𝐵𝑔
𝐵 𝐵
Where, 𝐵𝑔 = average flux density over pole arc 𝐵𝑔 = Ψ 𝑜𝑟 𝑘
𝑓
𝑃𝑁
8) 𝑓 =
120
ATg
9) Length of air gap lg =
800000 ×Bg ×kg
𝑞×𝜏𝑝
10) Armature mmf 𝐴𝑇𝑎 =
2
11) 𝐴𝑇𝑔 = 0.5 𝑡𝑜 0.6
𝜋𝐷𝐿
12) 𝐴𝑇𝑎 𝐹𝑙𝑢𝑥 𝑝𝑒𝑟 𝑝𝑜𝑙𝑒 𝜙 = 𝐵 ×
𝑃
𝐸𝑏 60 𝐴
13) Number of conductors Z =
𝑃𝜙 𝑁
𝐴𝑟𝑚𝑎𝑡𝑢𝑟𝑒 𝑐𝑖𝑟𝑐𝑢𝑚𝑓𝑒𝑟𝑎𝑛𝑐𝑒 𝜋𝐷
14) Total number of slots =
𝑠𝑙𝑜𝑡 𝑝𝑖𝑡𝑐ℎ 𝜏𝑠
𝐼
15) Area of armature conductor 𝑎𝑐 = 𝑎 mm2
𝛿 𝑎

1
Main Dimension design problems and solutions

1) A 125 Watt, 230Volts, 500 r.p.m motor has a full load efficiency of 50%. Calculate
the constant losses and power developed by the armature of the motor if the sum of
iron, friction and windage losses approximately 1/3rd of total losses.
Solution: Pout = 125W, V=230V, N=500 r.p.m , 𝜂 =0.5
1+2𝜂 1+2×0.5
Armature power developed 𝑃𝑎 = 𝑃𝑜𝑢𝑡 ( 3𝜂 ) = 125 ( 3 ×0.5 ) = 166.6 Watt
From the problem data
1
Friction, windage losses and iron loss = of total losses
3
𝑃𝑜𝑢𝑡 125
Pin = = = 250 Watt
𝜂 0.50
Total loss = Pin- Pout = 250 -125= 125 Watt
𝑃 125
Pin = 𝑜𝑢𝑡 = = 250 Watt
𝜂 0.50
125
∴ Friction, windage losses and iron loss = Cosntant loss = = 41.66 Watts
3

1) Calculate the diameter and length of armature for a 7.5kw, 4 pole, 1000 rpm , 220V
shunt motor , Given : full load efficiency = 0.83; maximum gap flux =0.9 wb/m2 ;
specific electric loading = 30000 AC/m; filed form factor =0.7. Assume that the
maximum efficiency occurs at full load and the field current is 2.5% of rated current.
The pole is of square.

Solution:Pout = 7.5kW , P=4, N=1000 r.p.m , V= 220V, 𝜂 =0.83 , 𝐵𝑔 =0.9 wb/m2 ,


q = 30000 AC/m , If = 2.5%IL, field form factor 𝑘𝑓 = 0.7
𝑃𝑜𝑢𝑡 7.5
Pin = = = 9.03 kW
𝜂 0.83
Total loss = Pin- Pout = 9.03 - 7.5 = 1.536 kW

At maximum efficiency Constant loss = variable loss


1.536
∴ Constant loss = =0.768 kW or 768 Watts
2
𝑃𝑜𝑢𝑡 ×103 7.5 ×103
Motor current at full load = = = 41.07A
𝜂×𝑉 0.83 ×220
Filed current If = 2.5%IL = 0.025 X 41.07 = 1.026A
Field copper loss = V×If = 220 X 1.026 = 225.88 W
Friction and windage loss & iron loss = Constant loss – Field copper loss
= 768 - 225.88 =542.12 W
Hence power developed by armature
∴Pa = Pout + Friction and windage loss =7.5 +0.542 = 8.04kW
Average flux density 𝐵𝑎𝑣𝑔 = Form factor X gap flux density = 0.7 X 0.9 = 0.63 wb/m2
Output coefficient 𝐶𝑜 = 0.164 𝐵𝑎𝑣 𝑞 = 0.164 X 0.63 X 30000 = 3099.6
1 𝑃𝑎 ×103 8.04 ×103
𝐷2 𝐿 = ( ) = = 2.59 x 10−3 m3 ----------1
𝐶 𝑜 𝑁 3099.6 𝑋 1000
𝐿
For square pole assume = 0.7
𝜏𝑝
2
𝜋𝐷 0.7 ×𝜋
𝐿 = 0.7𝜏𝑝 = 0.7 = 𝐷 = 0.549 D ---------2
𝑃 4
Substitute Equation 2 in 1
2.59 x 10−3 3 2.59 x 10−3
𝐷3 = or 𝐷 = √ = 0.1677 m
0.549 0.549
∴ 𝐿 = 0.548 𝑋 0.1677 = 0.091 𝑚

2) Find the main dimensions and number of poles of 37 kW, 230V, 1400 rpm shunts
motor so that a square pole face is obtained. The average gap density is 0.5T an
ampere conductor/m is 22000. The ratio of pole arc to pole pitch is 0.7 and efficiency
is 90%.
𝐿
Solution: Pout = 37 kW , V=230V, N=1400 rpm , 𝐵𝑎𝑣 = 0.5T, q= 22000 AC/m , = 0.7 ,
𝜏𝑝
𝜂 = 0.9
For small rating machine
1+2𝜂 1+2 ×0.9
𝑃𝑎 = 𝑃𝑜𝑢𝑡 ( ) = 37 ( ) = 38.37 kW
3𝜂 3×0.9
Assuming field form factor 𝑘𝑓 =0.7
𝐶𝑜 = 0.164 𝐵𝑎𝑣 𝑞 = 0.164 X 0.5 X 22000 = 1804
1 𝑃𝑎 ×103 38.37 ×103
𝐷2 𝐿 = ( ) = = 0.0152 m3 ----------1
𝐶 𝑜 𝑁 1804𝑋 1400
𝐿
= 0.7
𝜏𝑝
𝜋𝐷 0.7 ×𝜋
𝐿 = 0.7𝜏𝑝 = 0.7 = 𝐷 =0.549 D ---------2
𝑃 4
Substituting equation 2 in 1
0.0217 3 0.0152
𝐷3 = or 𝐷 = √ = 0.302 m
0.549 0.549
∴ 𝐿 = 0.549 𝑋 0.302= 0.166 m

3) 5 kW , 250 V, 4 pole , 1500 rpm shunt generator is designed to have a square pole
face. The loadingare average flux gap =0.42 T and ampere conductor per meter
=15000. Find he main dimensions of the machine. Assume full load efficiency =0.87
and ratio of pole arc to pole pitch = 0.66.
𝐿
Solution: Pout = 5 kW, V=250V, P=4 , N=1500 r.p.m ,𝐵𝑎𝑣 = 0.42 T , 𝜏 = 0.66 , 𝜂 =0.87
𝑝
𝑃𝑜𝑢𝑡 5
Power developed by generator 𝑃𝑎 = = = 5.75 kW
𝜂 0.87
Output coefficient 𝐶𝑜 = 0.164 𝐵𝑎𝑣 𝑞 = 0.164 X 0.42 X 15000 = 1033.2
1 𝑃𝑎 ×103 5.75×103
𝐷2 𝐿 = ( ) = = 3.71 X 10-3 m3 ----------1
𝐶 𝑜 𝑁 1033.2𝑋 1500
𝐿
= 0.66 or
𝜏𝑝
𝜋𝐷 0.66 ×𝜋
𝐿 = 0.66𝜏𝑝 = 0.66 = 𝐷 =0.518 D ----------2
𝑃 4
Substitute 2 in 1

3
3.71 ×10−3 3 3.71 ×10−3
𝐷3 = or 𝐷 = √ = 0.193 m
0.518 0.518
−3
∴ 𝐿 = 0.518 × 3.71 × 10 =1.92 × 10−3 m

4) A design is required for 50kW, 4 pole, 600 r.p.m.d.c shunt generator the full load
terminal voltage being 220V .If the maximum gap flux density 0.83 wb/𝑚2 and the
armature ampere conductor per meter are 30,000, calculate suitable dimensions of
armature core to give a square pole face. Assume that the full load armature voltage
drop is 3% of the rated terminal voltage and that filed current 1% of rated full load
current. Ratio of pole arc to pole pitch is 0.67.

Solution: Pout =50kW, P=4,N=600 rp.m, V=220V, 𝐵𝑔 = 0.83 Wb/m2 , q= 30000 AC/m,
Armature voltage drop = 3% V and If = 1%IL, Assume field form factor 𝑘𝑓 = 0.67,
𝐿
= 0.67
𝜏𝑝
50 ×1000
Rated full load current 𝐼𝐿 = = 227.27 A
220
Field current 𝐼𝑓 = 0.01 × 227.27 = 2.27A
Armature current 𝐼𝑎 = 𝐼𝐿 + 𝐼𝑓 = 227.27 + 2.27 =229.54 A
Induced e.m.f𝐸 = 𝑉 + 3%𝑎𝑟𝑚𝑎𝑡𝑢𝑟𝑒 𝑣𝑜𝑙𝑡𝑎𝑔𝑒 = 𝑉 + 3%𝑉 = 220 + 0.03 × 220
Induced e.m.f E = 226.6 V
Power developed 𝑃𝑎 = 𝐸𝐼𝑎 × 10−3 = 226.6 × 229.54 × 10−3 = 52.01 𝑘𝑊
Average flux density 𝐵 = 𝑘𝑓 × 𝐵𝑔 = 0.67 × 0.83 = 0.556Wb/m2
Output coefficient 𝐶𝑜 = 0.164 𝐵 𝑞 = 0.164 𝑋 0.556 × 30000 = 2735.52
𝑃𝑎 ×103 50 ×103
𝐷2 𝐿 = = =0.0304 m3 ---------1
𝐶𝑜 𝑁 2735.52 ×600
𝐿 𝜋𝐷 0.67 ×𝜋
= 0.67 or 𝐿 = 0.67 × 𝜏𝑝 = 0.67 × = 𝐷
𝜏𝑝 𝑃 4
𝐿 = 0.526𝐷 ---------2
Substitute 2 in 1
0.0304 3 0.0304
𝐷3 = or 𝐷 = √ = 0.193 m
0.526 0.526
D= 0.386 m , 𝐿 = 0.526 × 0.386 = 0.203m

5) Determine the main dimensions, number of poles and the length of air gap of a
600kW, 500 V, 900 r.p.m generator. Assume average gap density as 0.6 Wb/𝑚2 and
ampere conductors per meter as 35000. The ration of pole arc to pole pitch is 0.75
and the efficiency is 91%. The following are the design constraints : Peripheral speed
≯ 40 m/s frequency of the flux reversal ≯ 50Hz, current per brush arm ≯ 400A and
armature mmf per pole ≯ 7500A. The mmf require for air gap 50% of armature mmf
and gap contraction factor 1.15.
𝐿
Solution: Pout = 600 kW, V= 500V , N=900r.p.m , B= 0.6 Wb/m2,q=35000 AC/m, =
𝜏𝑝
0.75 = Ψ , Efficiency 𝜂 = 0.91, 𝑘𝑔 = 1.15, 𝐴𝑇𝑔 = 0.5𝐴𝑇𝑎
4
𝑃𝑜𝑢𝑡 600
Power developed by armature 𝑃𝑎 = = = 659.34kW
𝜂 0.91
Output coefficient 𝐶𝑜 = 0.164 𝐵 𝑞 = 0.164 𝑋 0.6 × 35000 = 3444
𝑃𝑎 ×103 659.34 ×103
𝐷2 𝐿 = = =0.213 m3 ----------1
𝐶𝑜 𝑁 3444 ×900
𝐿 𝜋𝐷
= 0.75 or 𝐿 = 0.75 × 𝜏𝑝 = 0.75 × ---------2
𝜏𝑝 𝑃
In order to calculate number of poles Frequency of flux reversal is 25Hz to 50Hz
𝑃𝑁
𝑓=
120
4 ×900
For P = 4 ,𝑓 = = 30 Hz
120
6 ×900
For P =6, 𝑓 = =45 Hz
120
8×900
For P=8 , ,𝑓 = =60 Hz
120
Eight poles is not suitable , since frequency exceeds maximum limit.
Choose suitable number of poles between 4 and 6 current per brush arm need to be
calculated.
𝑃𝑜𝑢𝑡 ×103 600×103
Neglecting field current 𝐼𝑎 = 𝐼𝐿 = = = 1200A
𝑉 500
2𝐼𝑎 2×1200
With P = 4, Current/Brush arm 𝐼𝑏 = = = 600 Amps
𝑃 4
2𝐼𝑎 2×1200
With P= 6, Current/Brush arm 𝐼𝑏 = = = 400 Amps
𝑃 6
According to given data , Current/Brush arm should not exceed 400A. There fore 4 poles
are not desirable.
Number of poles P = 6 , substituting this in equation 2
0.75 ×𝜋
𝐿= 𝐷 = 0.392 𝐷 --------3
6
Substitute 3 in 1
0.213 3 0.213
𝐷3 = or 𝐷 = √ = 0.816 m, L = 0.392 x 0.816 =0.319 m
0.392 0.392
Check for the given condition
𝜋𝐷𝑁 𝜋×0.816×900
i) Peripheral speed : 𝑣𝑠 = = = 38.45 m/s
60 60
𝑞×𝜏𝑝
ii) Armature mmf 𝐴𝑇𝑎 =
2
𝜋𝐷 𝜋 ×0.816
Pole pitch 𝜏𝑝 = = =0.427 m
𝑃 6
35000 ×0.427
∴ 𝐴𝑇𝑎 = = 7476 A
2
The obtained values are within the specified limits.
Length of Air Gap:
𝐵 0.6
Maximum flux density in the gap 𝐵𝑔 = = =0.8 Wb/m2
Ψ 0.75
Air gap mmf 𝐴𝑇𝑔 = 0.5𝐴𝑇𝑎 = 0.5 × 7476 = 3738 𝐴
ATg 3738
∴ Length of air gap lg = = = 5.7 × 10−3 m = 5.7 mm
800000 ×Bg ×kg 800000×0.8 ×1.15

6) 150kW, 230V, 500 r.p.m dc shunt motor has a square filed coil. Find its number of
poles and the main dimensions and air gap length. Assume the average gap density
5
over the pole arc as 0.85 Wb/m2 and ampere conductors per meter 29000. The ratio
of width of pole body to pole pitch is 0.55 and the ratio of pole arc pole pitch is 0.7.
The efficiency is 91%. Assume that mmf required for air gap is 55% of armature
mmf and gap contraction factor is 1.15

Solution: Pout = 50kW, V=230V, N=500 r.p.m, B=0.85 Wb/m2, q=29000 AC/m
𝐿
= 0.7 = Ψ , Average flux density over gap 𝐵𝑔 = 0.85 Wb/m2,𝜂 = 0.91, 𝐴𝑇𝑔 = 0.55𝐴𝑇𝑎
𝜏𝑝

Average flux density over pole pitch 𝐵 = Ψ 𝐵𝑔 = 0.7 × 0.85 = 0.595 Wb/m2
For square field coil width of pole body b = length of the armature L
𝑤𝑖𝑑𝑡ℎ 𝑜𝑓 𝑝𝑜𝑙𝑒 𝑏𝑜𝑑𝑦 𝑏 𝐿
From the data = = = 0.55
𝑃𝑜𝑙𝑒 𝑝𝑖𝑡𝑐ℎ 𝜏𝑝 𝜏𝑝
1+2𝜂 1+2×0.91
Power developed by armature 𝑃𝑎 = 𝑃 ( ) = 150 ( ) = 154.9 𝑘𝑊
3𝜂 3×0.91
𝐶𝑜 = 0.164 𝐵 𝑞 = 0.164 × 0.595 𝑥 29000 = 2829.8
𝑃𝑎 ×103 154.9 ×103
𝐷2 𝐿 = = = 0.109 𝑚3 ---------1
𝐶𝑜 𝑁 2829.8 ×500
Number of poles not mentioned in the problem data in order to determine number of
poles, frequency of flux reversal is assumed to be in the range 25 Hz to 50 Hz
𝑃𝑁
𝑓=
120
4 ×500
For P = 4 ,𝑓 = = 16.66 Hz
120
6 ×500
For P =6, 𝑓 = = 25 Hz
120
8×500
For P=8 , 𝑓 = = 33.33Hz
120
P=4 , cannot be considered since frequency is not within the limits.
To chose correct value for number of poles , current/brush arm need to be calculated.
𝑃 ×103 150 ×103
Neglecting field current armature current of motor 𝐼𝑎 = 𝐼𝐿 = 𝑜𝑢𝑡 =
𝜂𝑉 0.91 ×230
∴ 𝐼𝑎 = 716.67𝐴
2𝐼 2×716.67
With P =6, Current/Brush arm 𝐼𝑏 = 𝑎 = =238.89 Amps
𝑃 6
2𝐼𝑎 2×716.67
With P= 8, Current/Brush arm 𝐼𝑏 = = =179.16 Amps
𝑃 8
Current/brush arms for both values are within the limits. When P=6 the frequency of
reversal is at lower limit. Whenever possible higher number of poles must be used in
consideration with cost of materials , reduction in copper and iron losses.
∴ Number of poles P = 8
𝐿 𝜋𝐷 0.55 ×𝜋
= 0.55 or 𝐿 = 0.55 𝜏𝑝 = 0.55 = 𝐷 = 0.215 𝐷 --------2
𝜏𝑝 𝑃 8
Substitute 2 in 1
0.109 3 0.109
𝐷3 = or 𝐷 = √ =0.797 m , L=0.215 X 0.797 = 0.171 m
0.215 0.215
𝜋𝐷 𝜋×0.797
Pole pitch 𝜏𝑝 = = =0.312 m
𝑃 8
𝑞 ×𝜏𝑝 29000 ×0.312
Armature mmf per pole 𝐴𝑇𝑎 = = = 4524 A
2 2
Mmf required for air gap 𝐴𝑇𝑔 = 0.55 𝐴𝑇𝑎 = 0.55 × 4524 = 2488.2 𝐴
6
𝐴𝑇𝑔 2488.2
Length of air gap 𝑙𝑔 = = = 3.18 × 10−3 𝑜𝑟 3.18 𝑚𝑚.
800000 𝐵𝑔 𝐾𝑔 800000 ×0.85 ×1.15

7) The diameter and length of 500kW, 500 V , 455 r.p.m , 6 pole dc generator are 84 cm
and 35 cm respectively. If it is lap wound with 660 conductors , estimate the specific
electric loading and magnetic loadings for given machine.

Solution: Pout = 500 kW, V= 500V , N=455 r.p.m , P= 6 , D= 85 cm or 0.85 m,


L = 35 cm or 0.35 m. Z= 660 . A=P (lap connection)
𝑃𝑜𝑢𝑡 × 103 500 ×103
Armature current neglecting field current 𝐼𝑎 = 𝐼𝐿 = = = 1000 A
𝑉 500
1000
Current per parallel path 𝐼𝑎 ⁄𝐴 = = 166.66 A
6
𝑃𝜙
Specific magnetic loading 𝐵 =
𝜋𝐷𝐿
𝑃𝜙𝑍𝑁
Induced emf of generator is given by 𝐸 =
60𝐴
Assuming voltage drop 3% or rated voltage
𝐸 = 𝑉 + 𝑉𝑜𝑙𝑡𝑎𝑔𝑒 𝑑𝑟𝑜𝑝 = 500 + 0.03 × 500 = 515 𝑉
𝐸 60 𝐴 515 ×60 ×6
Flux per pole can be calculate using e.m.f equation ∴ 𝜙 = 𝑃 𝑍 𝑁 = 6 × 660 ×455 = 0.102 𝑊𝑏
𝑃𝜙 6 ×0.102
∴B= = = 0.654 Wb/m2.
𝜋𝐷𝐿 𝜋×0.85 ×0.35
(𝐼𝑎 ⁄𝐴)𝑍 (166.66 ×660)
Specific electric loading 𝑞 = = = 41193 AC/m
𝜋𝐷 𝜋 × 0.85

8) A 350 Kw , 500V , 450 rpm , 6 pole DC generator is built with armature diameter of
0.87m and core length 0.32m. The lap wound armature has 660 conductors . Calculate the
specific magnetic loading.

Solution: Pout = 350 kW, V= 500V, N=450 r.p.m, P= 6, D= 0.87 m, L = 0.32 m. Z= 660.
A=P (lap connection)
𝑃𝑜𝑢𝑡 × 103 350 ×103
Armature current neglecting field current 𝐼𝑎 = 𝐼𝐿 = = = 700 A
𝑉 500
700
Current per parallel path 𝐼𝑎 ⁄𝐴 = = 116.66 A
6
𝑃𝜙
Specific magnetic loading 𝐵 =
𝜋𝐷𝐿
𝑃𝜙𝑍𝑁
Induced emf of generator is given by 𝐸 =
60𝐴
Assuming voltage drop 3% or rated voltage
𝐸 = 𝑉 + 𝑉𝑜𝑙𝑡𝑎𝑔𝑒 𝑑𝑟𝑜𝑝 = 500 + 0.03 × 500 = 515 𝑉
E 60 A 515 ×60 ×6
Flux per pole can be calculate using e.m.f equation ∴ 𝜙 = P Z N = 6 × 660 ×450 = 0.104 𝑊𝑏
𝑃𝜙 6 ×0.104
∴B= = = 0.713 Wb/m2.
𝜋𝐷𝐿 𝜋×0.87 ×0.32
(Ia ⁄A)Z (116.66 ×660)
Specific electric loading 𝑞 = = = 28170.6 AC/m
πD π × 0.87

9) Find the main dimension, number of poles of 50HP, 230V, 1400rpm shunt motor so
that a square pole face is obtained, average flux density in the gap 0.5 W/m2 and the amp-
7
conductors per m are 22000. The ratio of pole arc to pole pitch is 0.7. Assume efficiency
of the machine as 90%.

Solution : Pout = 50 × 0.746 = 37.3 kW , V= 230 V, N=1400 r.p.m B=0.5 Wb/m2.


𝐿
q=22000 AC/m, = 0.7 , 𝜂 = 0.9 (for square pole
𝜏𝑝
1+2𝜂 1+2×0.9
Power developed by motor 𝑃𝑎 = 𝑃𝑜𝑢𝑡 ( ) = 37.3 ( ) = 38.68 kW
3𝜂 3×0.9
𝐶𝑜 = 0.164 𝐵 𝑞 = 0.164 × 0.5 × 22000 =1804
𝑃𝑎 ×103 37.3×103
𝐷2 𝐿 = = = 0.0147 m3 -----------1
𝐶𝑜 𝑁 1804 ×1400
Number of poles not mentioned in the problem data in order to determine number of
poles, frequency of flux reversal is assumed to be in the range 25 Hz to 50 Hz
𝑃𝑁
𝑓=
120
4 ×1400
For P = 4 ,𝑓 = = 46.66 Hz
120
6 ×1400
For P =6, 𝑓 = = 70 Hz
120
P=6 , cannot be considered since frequency is not within the limits.
There fore number of poles = 4
𝐿 𝜋𝐷 0.7 ×𝜋
= 0.7 or 𝐿 = 0.7 𝜏𝑝 = 0.7 = 𝐷 = 0.549 𝐷 ----------2
𝜏𝑝 𝑝 4
Substitute 2 in 1
0.0147 3 0.0147
𝐷3 = or 𝐷 = √ =0.299 m , L=0.549 X 0.299=0.164 m
0.549 0.549

10. Calculate the diameter and length of armature core of a 70KW, 240V, 900 rpm, 4 pole
D.C shunt generator. The average flux density is 0.7 Wb/m2 and ac/m is 34000. The ratio
of core length to pole pitch is 0.8. Full load armature drop is 9.6 V and field current is
3A.
Solution : Pout = 70kW, V=240V, N=900 r.p.m , P=4 ,B=0.7 Wb/m2 , q=34000 AC/m,
𝐿
= 0.8
𝜏𝑝
Armature voltage drop =9.6 V, If =3A
Induced e.m.f E= V+ Armature voltage drop =240+9.6=249.6 V
𝑃 ×103 70 ×103
Rated full load current 𝐼𝐿 = 𝑜𝑢𝑡 = =291.6 A
𝑉 240
Armature Current 𝐼𝑎 = 𝐼𝐿 + 𝐼𝑓 = 291.6 + 3 = 294.6 𝐴
∴ Power developed by armature 𝑃𝑎 = 𝐸 × 𝐼𝑎 = 249.6 × 294.6 = 73.532 𝑘𝑊
𝐶𝑜 = 0.164 𝐵 𝑞 = 0.164 × 0.7 × 34000 = 3903.2
𝑃𝑎 ×103 70×103
𝐷2 𝐿 = = = 0.0199 𝑚3 ----------- 1
𝐶𝑜 𝑁 3903.2 ×900
𝐿 𝜋𝐷 0.8 ×𝜋
= 0.8 or 𝐿 = 0.8 𝜏𝑝 = 0.8 = 𝐷 = 0.628 𝐷 ----------2
𝜏𝑝 𝑝 4
Substitute 2 in 1
0.0199 3 0.0199
𝐷3 = or 𝐷 = √ =0.316 m , L =0.628 X 0.316 = 0.1986 m
0.628 0.628

8
11) Design a 4 pole, 10kW, 220V, 1000 rpm d.c shunt motor with respect to the
following
a) Output coefficient
b) The diameter and length of armature
c) Number of armature conductor
d) Number of slots
Assume the following to calculate the above design, Specific Magnetic loading = 0.45T,
Specific electric loading =17500 Ac/m, Ratio of gross axial length to pole pitch = 0.68,
Assume constant losses as 8% of output and 10% voltage drop. Armature winding is
wave connected

Solution: Pout =10 kW, B=0.45 T, q=17500 AC/m , P=4,V=220V , N=1000 r.pm
𝐿
A=2 , = 0.68
𝜏𝑝
Power developed by armature 𝑃𝑎 = 𝑃𝑜𝑢𝑡 + 8 % of output rating
𝑃𝑎 == 10 + (10 × 0.08) = 10.8 𝑘𝑊
a) Output coefficient 𝐶𝑜 = 0.164 𝐵 𝑞 = 0.164 × 0.45 × 17500 = 1291.5
𝑃𝑎 ×103 10.8×103
b) Main Dimension 𝐷 2 𝐿 = = = 8.36 X 10−3 𝑚3 ----------1
𝐶𝑜 𝑁 1291.5 ×1000
𝐿 𝜋𝐷 0.68 ×𝜋
= 0.68 or 𝐿 = 0.68 𝜏𝑝 = 0.68 = 𝐷 = 0.534𝐷 -----------2
𝜏𝑝 𝑝 4
Substitute 2 in 1
8.36 X 103 3 8.36×103
𝐷3 = or 𝐷 = √ =0.25 m , L =0.534 X 0.25 =0.133m
0.534 0.534
c) Number of conductor calculated using emf equation
Back e.m.f 𝐸𝑏 = 𝑉 − 𝑉𝑜𝑙𝑡𝑎𝑔𝑒 𝑑𝑟𝑜𝑝 = 𝑉 − 10%𝑉 = 𝑉 − 0.1𝑉 = 𝑉 × 0.9
𝐸𝑏 = 𝑉(1 − 0.1) = 0.9 𝑉 = 220 × 0.9 = 198 𝑉
𝜋𝐷𝐿 𝜋 ×0.25 ×0.133
Flux per pole 𝜙 = 𝐵 × = 0.45 × = 0.0117 𝑊𝑏
𝑃 4
𝐸𝑏 60 𝐴 198 ×60 ×2
∴ 𝑇here fore number of conductors Z = = = 507.6 ≈ 508
𝑃𝜙 𝑁 4×0.0117×1000
d) Number of slots S : Assuming slot pitch lies between 2.0 to 2.5 cm for better
commutation , reduced noise, good pulsation losses, better cooling.
Assuming 𝜏𝑠 = 2.2𝑐𝑚
𝐴𝑟𝑚𝑎𝑡𝑢𝑟𝑒 𝑐𝑖𝑟𝑐𝑢𝑚𝑓𝑒𝑟𝑎𝑛𝑐𝑒 𝜋𝐷 𝜋 ×0.25
Number of slots = = = −2
= 35.6 ≈ 36
𝑠𝑙𝑜𝑡 𝑝𝑖𝑡𝑐ℎ 𝜏𝑠 2.2 𝑋10
𝑇𝑜𝑡𝑎𝑙 𝑁𝑢𝑚𝑏𝑒𝑟 𝑜𝑓 𝑐𝑜𝑛𝑑𝑢𝑐𝑡𝑜𝑟𝑠 506
Number of conductor per slot 𝑍𝑠 = = = 14.06 ≈ 14
𝑇𝑜𝑡𝑎𝑙 𝑁𝑢𝑚𝑏𝑒𝑟 𝑜𝑓 𝑠𝑙𝑜𝑡𝑠 36
The modified number of armature conductor Z = Conductor/slot X Total number slots
Z = 14 X 36 =504.

12) Find the main dimension , number of poles and length of air gap of a 1000 kW, 500V,
300 rpm d.c generator. Assume the specific magnetic loading as B =0.7 Wb/m2. Ampere
conductor per meter = 40000, square pole face, ratio of pole -pitch is 0.7. Assume
efficiency as 92 percent gap contraction factor as 1.15

9
Solution:
𝐿
Pout=1000kW, V=500V, N=300 r.p.m B =0.7Wb/m2, q=40000 AC/m, = 0.7,
𝜏𝑝
𝜂 = 0.92,𝑘𝑔 = 1.15
𝑃𝑜𝑢𝑡 1000
Power developed by armature 𝑃𝑎 = = = 1086.9kW
𝜂 0.92
𝐶𝑜 = 0.164 𝐵 𝑞 = 0.164 × 0.7 × 40000 = 4592
𝑃𝑎 ×103 1086.9×103
𝐷2 𝐿 = = = 0.788 𝑚3 ---------1
𝐶𝑜 𝑁 4592 ×300
Number of poles not mentioned in the problem data in order to determine number of
poles, frequency of flux reversal is assumed to be in the range 25 Hz to 50 Hz
𝑃𝑁
𝑓=
120
8×300
For P=8 , 𝑓 = = 20 Hz
120
10×300
For P=10 , 𝑓 = = 25 Hz
120
P=8 , cannot be considered since frequency is not within the limits
There fore considering Number of poles P = 10
𝐿 𝜋𝐷 0.7 ×𝜋
= 0.7 or 𝐿 = 0.7 𝜏𝑝 = 0.7 = 𝐷 = 0.219 𝐷 ---------2
𝜏𝑝 𝑝 10
Substitute 2 in 1
0.788 3 0.788
𝐷3 = or 𝐷 = √ =1.53m , L = 0.219 X1.53 = 0.335m
0.219 0.219
𝜋𝐷 𝜋×1.53
Pole Pitch 𝜏𝑝 = = =0.480 m
𝑃 10
𝑞 ×𝜏𝑝 40000×0.480
Armature ampere turns 𝐴𝑇𝑎 = = = 9613.2
2 2
Assuming mmf required for air gap 𝐴𝑇𝑔 = 0.55𝐴𝑇𝑎
𝐴𝑇𝑔 = 0.55 × 9613.2 = 5287.26 Amperes
Assuming form factor 𝐾𝑓 = 0.7
𝐵 0.7
Gap flux density 𝐵𝑔 = = = 1 𝑊𝑏/𝑚2
𝐾𝑓 0.7
𝐴𝑇𝑔 5287.26
Air gap length 𝑙𝑔 = = = 5.74 × 10−3 𝑚 𝑜𝑟 5.74 𝑚𝑚
800000 𝐵𝑔 𝑘𝑔 800000 ×1×1.15

13) Determine suitable values or i) external diameter of armature ii) core length iii)
number of poles , for 1000kW, 500V , 350 rpm d.c generator Assume B=0.68 T,
q=41000 AC/m, ratio of pole arc to pole pitch = 0.68, , filed copper losses 5% of output
of the generator. Justify the values of diameter and length of armature from the limiting
value of peripheral speed and voltage between the adjacent commutator segment
respectively.
𝐿
Solution: Pout =1000 kW,V=500V, N=350 r.p.m , B=0.68 T, q=41000 AC/m, = 0.68
𝜏𝑝
Power developed 𝑃𝑎 = 𝑃𝑜𝑢𝑡 + Loss = 𝑃𝑜𝑢𝑡 + 5% = 1000 + 0.05 × 1000 = 1050 kW
𝐶𝑜 = 0.164 𝐵 𝑞 = 0.164 × 0.68 × 41000 = 4572.32
𝑃𝑎 ×103 1050×103
𝐷2 𝐿 = = = 0.656 𝑚3 ------------1
𝐶𝑜 𝑁 4572.32 ×350
10
Number of poles not mentioned in the problem data in order to determine number of
poles, frequency of flux reversal is assumed to be in the range 25 Hz to 50 Hz
𝑃𝑁
𝑓=
120
8×350
For P=8 , 𝑓 = = 23.33 Hz
120
10×350
For P=10 , 𝑓 = = 29.16 Hz
120
P=8 , cannot be considered since frequency is not within the limits
There fore considering Number of poles P = 10
𝐿 𝜋𝐷 0.68 ×𝜋
= 0.68 or 𝐿 = 0.68 𝜏𝑝 = 0.68 = 𝐷 = 0.214 𝐷 -----------2
𝜏𝑝 𝑝 10
Substitute 2 in 1
0.656 3 0.656
𝐷3 = or 𝐷 = √ = 1.452 𝑚 , L= 0.214 X1.452 =0.310 m
0.214 0.214
Justification of values D and L
𝜋𝐷𝑁 𝜋×1.452×350
Peripheral speed 𝑣 = = = 26.6 𝑚/𝑠
60 60
Voltage between two commutator segments assuming lap winding 𝑉𝑐 = 2𝐵𝑔 𝐿𝑣
Assuming form factor 𝐾𝑓 = 0.7
𝐵 0.68
Gap flux density over pole arc 𝐵𝑔 = = = 0.971 𝑊𝑏/𝑚2
𝐾𝑓 0.7
𝑉𝑐 = 2𝐵𝑔 𝐿𝑣 = 2 × 0.971 × 0.310 × 26.6 = 16.01𝑉
Both Peripheral speed and Voltage between commutator segment are with in limits. Thus
value of D and L is justified.

11

You might also like