KEMBAR78
Customer Service Interview Questions | PDF
0% found this document useful (0 votes)
25 views1 page

Customer Service Interview Questions

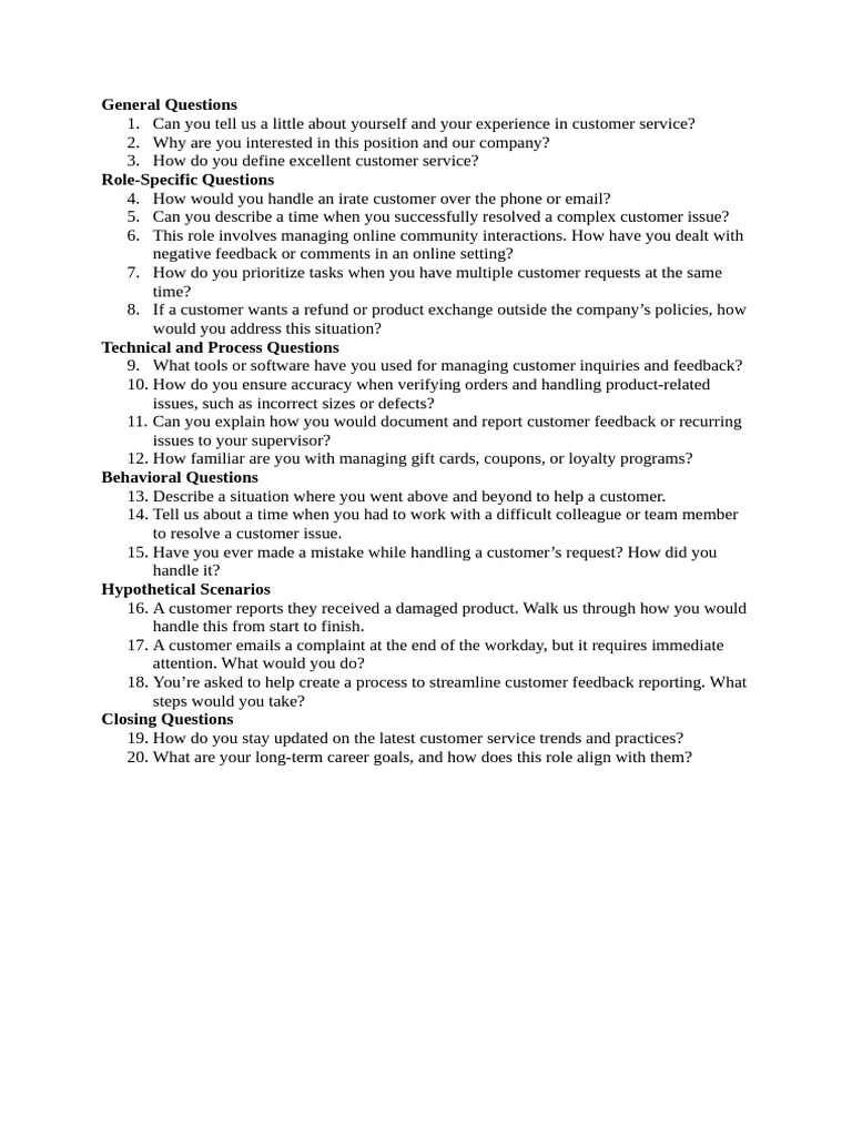
The document outlines a series of interview questions categorized into general, role-specific, technical, behavioral, hypothetical scenarios, and closing questions for a customer service position. It aims to assess the candidate's experience, approach to customer service, problem-solving skills, and ability to handle various situations. The questions cover topics such as managing customer inquiries, resolving issues, and staying updated on industry trends.

Uploaded by

candysweet104
Copyright
© © All Rights Reserved
We take content rights seriously. If you suspect this is your content, claim it here.
Available Formats
Download as DOC, PDF, TXT or read online on Scribd
0% found this document useful (0 votes)
25 views1 page

Customer Service Interview Questions

The document outlines a series of interview questions categorized into general, role-specific, technical, behavioral, hypothetical scenarios, and closing questions for a customer service position. It aims to assess the candidate's experience, approach to customer service, problem-solving skills, and ability to handle various situations. The questions cover topics such as managing customer inquiries, resolving issues, and staying updated on industry trends.

Uploaded by

candysweet104
Copyright
© © All Rights Reserved
We take content rights seriously. If you suspect this is your content, claim it here.
Available Formats
Download as DOC, PDF, TXT or read online on Scribd
You are on page 1/ 1

General Questions

1. Can you tell us a little about yourself and your experience in customer service?
2. Why are you interested in this position and our company?
3. How do you define excellent customer service?
Role-Specific Questions
4. How would you handle an irate customer over the phone or email?
5. Can you describe a time when you successfully resolved a complex customer issue?
6. This role involves managing online community interactions. How have you dealt with
negative feedback or comments in an online setting?
7. How do you prioritize tasks when you have multiple customer requests at the same
time?
8. If a customer wants a refund or product exchange outside the company’s policies, how
would you address this situation?
Technical and Process Questions
9. What tools or software have you used for managing customer inquiries and feedback?
10. How do you ensure accuracy when verifying orders and handling product-related
issues, such as incorrect sizes or defects?
11. Can you explain how you would document and report customer feedback or recurring
issues to your supervisor?
12. How familiar are you with managing gift cards, coupons, or loyalty programs?
Behavioral Questions
13. Describe a situation where you went above and beyond to help a customer.
14. Tell us about a time when you had to work with a difficult colleague or team member
to resolve a customer issue.
15. Have you ever made a mistake while handling a customer’s request? How did you
handle it?
Hypothetical Scenarios
16. A customer reports they received a damaged product. Walk us through how you would
handle this from start to finish.
17. A customer emails a complaint at the end of the workday, but it requires immediate
attention. What would you do?
18. You’re asked to help create a process to streamline customer feedback reporting. What
steps would you take?
Closing Questions
19. How do you stay updated on the latest customer service trends and practices?
20. What are your long-term career goals, and how does this role align with them?

You might also like