KEMBAR78
A Set of Notes | PDF | Proton | Chemical Compounds
0% found this document useful (0 votes)
9 views3 pages

A Set of Notes

This is another set of Notes

Uploaded by

Eugene Mbah Tebo
Copyright
© © All Rights Reserved
We take content rights seriously. If you suspect this is your content, claim it here.
Available Formats
Download as DOCX, PDF, TXT or read online on Scribd
0% found this document useful (0 votes)
9 views3 pages

A Set of Notes

This is another set of Notes

Uploaded by

Eugene Mbah Tebo
Copyright
© © All Rights Reserved
We take content rights seriously. If you suspect this is your content, claim it here.
Available Formats
Download as DOCX, PDF, TXT or read online on Scribd
You are on page 1/ 3

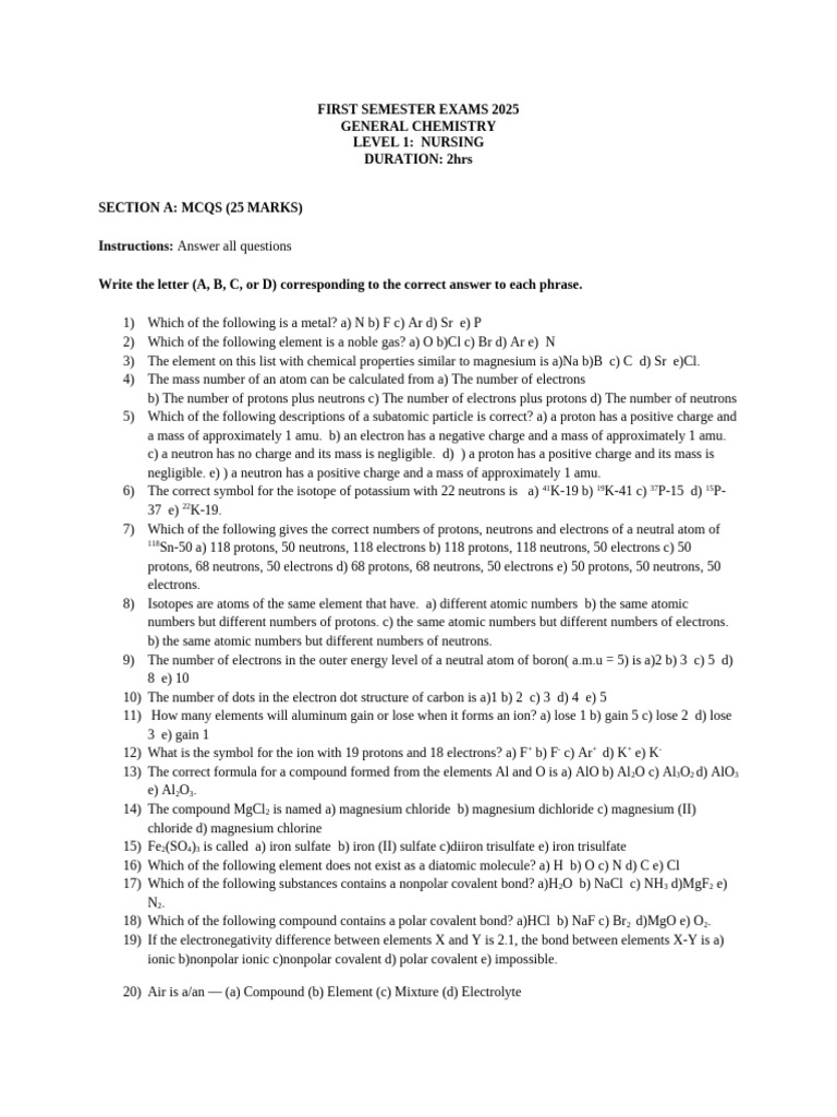
FIRST SEMESTER EXAMS 2025

GENERAL CHEMISTRY
LEVEL 1: NURSING
DURATION: 2hrs

SECTION A: MCQS (25 MARKS)

Instructions: Answer all questions

Write the letter (A, B, C, or D) corresponding to the correct answer to each phrase.

1) Which of the following is a metal? a) N b) F c) Ar d) Sr e) P


2) Which of the following element is a noble gas? a) O b)Cl c) Br d) Ar e) N
3) The element on this list with chemical properties similar to magnesium is a)Na b)B c) C d) Sr e)Cl.
4) The mass number of an atom can be calculated from a) The number of electrons
b) The number of protons plus neutrons c) The number of electrons plus protons d) The number of neutrons
5) Which of the following descriptions of a subatomic particle is correct? a) a proton has a positive charge and
a mass of approximately 1 amu. b) an electron has a negative charge and a mass of approximately 1 amu.
c) a neutron has no charge and its mass is negligible. d) ) a proton has a positive charge and its mass is
negligible. e) ) a neutron has a positive charge and a mass of approximately 1 amu.
6) The correct symbol for the isotope of potassium with 22 neutrons is a) 41K-19 b) 19K-41 c) 37P-15 d) 15P-
37 e) 22K-19.
7) Which of the following gives the correct numbers of protons, neutrons and electrons of a neutral atom of
118
Sn-50 a) 118 protons, 50 neutrons, 118 electrons b) 118 protons, 118 neutrons, 50 electrons c) 50
protons, 68 neutrons, 50 electrons d) 68 protons, 68 neutrons, 50 electrons e) 50 protons, 50 neutrons, 50
electrons.
8) Isotopes are atoms of the same element that have. a) different atomic numbers b) the same atomic
numbers but different numbers of protons. c) the same atomic numbers but different numbers of electrons.
b) the same atomic numbers but different numbers of neutrons.
9) The number of electrons in the outer energy level of a neutral atom of boron( a.m.u = 5) is a)2 b) 3 c) 5 d)
8 e) 10
10) The number of dots in the electron dot structure of carbon is a)1 b) 2 c) 3 d) 4 e) 5
11) How many elements will aluminum gain or lose when it forms an ion? a) lose 1 b) gain 5 c) lose 2 d) lose
3 e) gain 1
12) What is the symbol for the ion with 19 protons and 18 electrons? a) F+ b) F- c) Ar+ d) K+ e) K-
13) The correct formula for a compound formed from the elements Al and O is a) AlO b) Al 2O c) Al3O2 d) AlO3
e) Al2O3.
14) The compound MgCl2 is named a) magnesium chloride b) magnesium dichloride c) magnesium (II)
chloride d) magnesium chlorine
15) Fe2(SO4)3 is called a) iron sulfate b) iron (II) sulfate c)diiron trisulfate e) iron trisulfate
16) Which of the following element does not exist as a diatomic molecule? a) H b) O c) N d) C e) Cl
17) Which of the following substances contains a nonpolar covalent bond? a)H2O b) NaCl c) NH3 d)MgF2 e)
N2.
18) Which of the following compound contains a polar covalent bond? a)HCl b) NaF c) Br2 d)MgO e) O2.
19) If the electronegativity difference between elements X and Y is 2.1, the bond between elements X-Y is a)
ionic b)nonpolar ionic c)nonpolar covalent d) polar covalent e) impossible.

20) Air is a/an — (a) Compound (b) Element (c) Mixture (d) Electrolyte
21) Elements contain only __ type of atoms (a) Single (b) Many (c) Same (d) Different
22) Which of the following is the best conductor of electricity? (a) Ordinary water (b) Sea water (c) Boiled
water (d) Distilled water

23) The gas used to extinguish a fire is — (a) Neon (b) Nitrogen (c) Carbon dioxide (d) Carbon Monoxide
24) What is the name of the transition from a liquid state directly to a gas of an element or compound? (a)
Ionization (b) Condensation (c) Deionization (d) Vaporization
25) Popular use of which of the following fertilizers increases the acidity of soil? (a) Ammonium Sulfate(b)
Potassium Nitrate (c) Urea (d) Superphosphate of lime
26) In the Bronsted-Lowry system, a base is defined as: (a) a proton donor. (b) a hydroxide donor. (c) an
electron-pair acceptor. (d) a water-former.
27) Blood cells and plasma are separated by? a) Centrifugality b) Distillation c) Electrophoresis d)
Centrifugation e) Options B and C
28) ) Chlorine is used in water treatment as _________ a) An aerating agent b) Alaxative c) A germicide d) A
coagulant
29) Which state of matter has particles that are highly energetic and move freely, filling the entire space
available to them? (a) Solid (b) Liquid (c) Gas (d) Plasma
30) Which state of matter is commonly found in stars and lightning?(a) Solid (b) Liquid (c) Gas (d) Plasma

SECTION B: ESSAY (45 MARKS)

Question 1: 10 mks

a) Give 2 examples of chemical bonds in real life? 2mks

b) Distinguish between intermolecular forces and intramolecular forces. 1mk

c) What is the strongest bond in intermolecular forces and why? 2mks

d) Give 2 importance of redox reactions in living system. 2mks

e) Give and explain 3 roles of electrolytes in the body 3mks

Question 2: 15mks

a) Give 4 types of electrolytes found in the body and their function. 4mks
b) Name and explain 2 consequences of fluid imbalance in the body. 2mks
c) What are blood buffers? Give 2 examples. 2mks
d) Give the difference between an ionic, covalent and metallic bond. 3mks
e) Which acid is produced in the stomach, its function and disadvantage? 2mks
f) Give 2 importance of chemistry in nursing. 2mks

Question 3: 15mks

a) Draw the chemical bond for each compound provided.

a)CH4 b) HCN c) CaO 6mks

b) Classify the following elements with options A through F. A) noble gas B) alkali metal C) non-metal D)
alkaline earth metal E) transition element F) halogen: 1) Sodium 2) argon 3) bromine 4) copper
5)magnesium 6) phosphorus 3mks
c) Classify the following molecules as polar or nonpolar: 1) carbon tetrachloride 2) water 3) carbon dioxide
4) hydrogen sulfide 5) hydrogen fluoride 6) carbon monoxide 3mks

d) Distinguish between the different types of mater. 2mks

e) What are trace elements? 1mk

You might also like