KEMBAR78
Computer-Based Information Systems Guide | PDF | Decision Support System | Information System
0% found this document useful (0 votes)
232 views35 pages

Computer-Based Information Systems Guide

1. Computer Based Information Systems (CBIS) are information systems that rely heavily on computers and include hardware, software, data, procedures, and people. 2. There are several types of CBIS including transaction processing systems, management information systems (MIS), and decision support systems. 3. Transaction processing systems capture and maintain routine business transaction data. MIS provide managers with relevant, timely information to support planning and control. Decision support systems assist managers with non-routine, unstructured decisions.

Uploaded by

hsrinivas_7
Copyright
© Attribution Non-Commercial (BY-NC)
We take content rights seriously. If you suspect this is your content, claim it here.
Available Formats
Download as RTF, PDF, TXT or read online on Scribd
0% found this document useful (0 votes)
232 views35 pages

Computer-Based Information Systems Guide

1. Computer Based Information Systems (CBIS) are information systems that rely heavily on computers and include hardware, software, data, procedures, and people. 2. There are several types of CBIS including transaction processing systems, management information systems (MIS), and decision support systems. 3. Transaction processing systems capture and maintain routine business transaction data. MIS provide managers with relevant, timely information to support planning and control. Decision support systems assist managers with non-routine, unstructured decisions.

Uploaded by

hsrinivas_7
Copyright
© Attribution Non-Commercial (BY-NC)
We take content rights seriously. If you suspect this is your content, claim it here.
Available Formats
Download as RTF, PDF, TXT or read online on Scribd
You are on page 1/ 35

Computer Based Information System: Computer Based Information System (CBIS) is an information system in which the computer plays

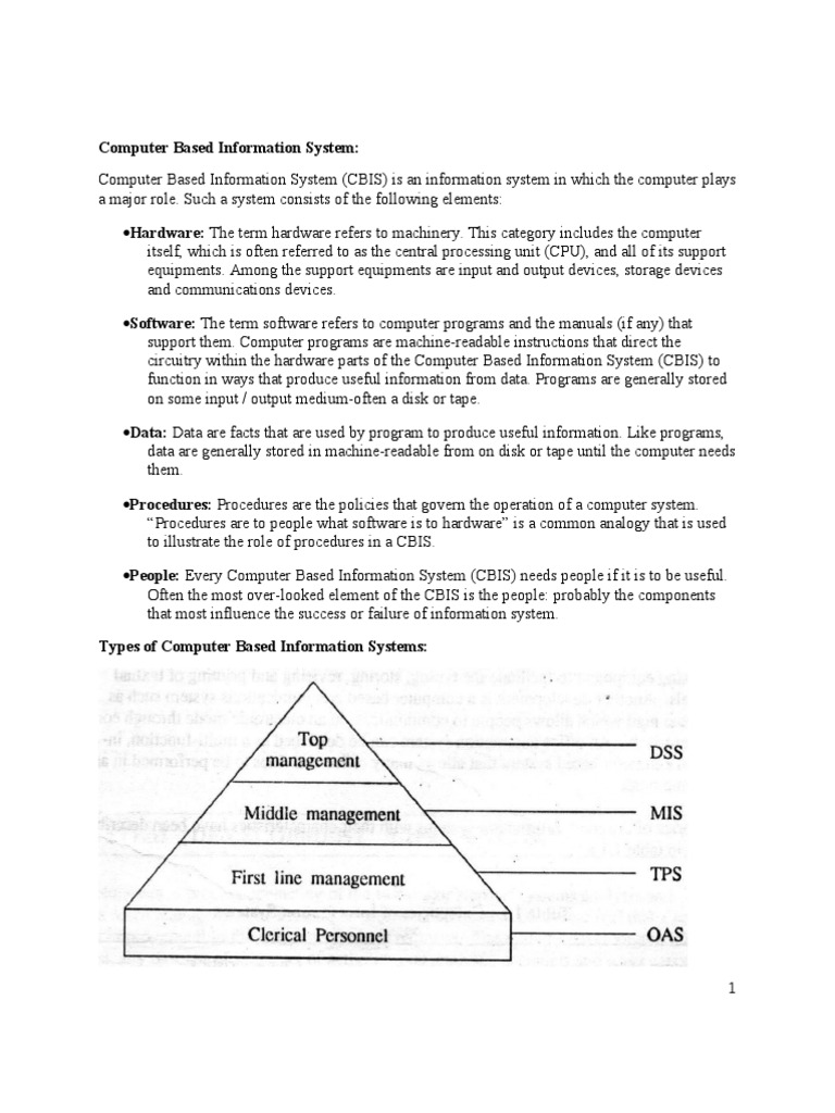
a major role. Such a system consists of the following elements: Hardware: The term hardware refers to machinery. This category includes the computer itself, which is often referred to as the central processing unit (CPU), and all of its support equipments. Among the support equipments are input and output devices, storage devices and communications devices. Software: The term software refers to computer programs and the manuals (if any) that support them. Computer programs are machine-readable instructions that direct the circuitry within the hardware parts of the Computer Based Information System (CBIS) to function in ways that produce useful information from data. Programs are generally stored on some input / output medium-often a disk or tape. Data: Data are facts that are used by program to produce useful information. Like programs, data are generally stored in machine-readable from on disk or tape until the computer needs them. Procedures: Procedures are the policies that govern the operation of a computer system. Procedures are to people what software is to hardware is a common analogy that is used to illustrate the role of procedures in a CBIS. People: Every Computer Based Information System (CBIS) needs people if it is to be useful. Often the most over-looked element of the CBIS is the people: probably the components that most influence the success or failure of information system. Types of Computer Based Information Systems:

1. Transaction Processing Systems The most fundamental computer based system in an organisation pertains to the processing of business transactions. A transaction processing system can be defined as a computer based system that captures, classifies, stores, maintains, updates and retrieves transaction data for record keeping and for input to other types of CBIS. Transaction Processing Systems are aimed at improving the routine business activities on which all organizations depend. A transaction is any event or activity that affects the whole organisation. Placing orders, billing customers, hiring of employees and depositing cheques are some of the common transactions. The types of transactions that occur vary from organisation to organisation. But this is true that all organisations process transactions as a major part of their daily business activities. The most successful organisations perform this work of transaction processing in a very systematic way. Transaction processing systems provide speed and accuracy and can be programmed to follow routines without any variance. 2. Management Information System Data processing by computers has been extremely effective because of several reasons. The main reason being that huge amount of data relating to accounts and other transactions can be processed very quickly. Earlier most of the computer applications were concerned with record keeping and the automation of routine clerical processes. However, in recent years, increasing attention has been focussed on computer applications providing information for policy making, management planning and control purposes. MIS are more concerned with management function. MIS can be described as information system that can provide all levels of management with information essential to the running of smooth business. This information must be as relevant, timely, accurate, complete and concise and economically feasible 3. Decision Support Systems It is an information system that offers the kind of information that may not be predictable, the kind that business professionals may need only once. These systems do not produce regularly scheduled management reports. Instead, they are designed to respond to a wide range of requests. It is true that all the decisions in an organisation are not of a recurring nature. Decision support systems assist managers who must make decisions that are not highly structured, often called unstructured or semi-structured decisions. A decision is considered unstructured if there are no clear procedures for making the decision and if not all the factors to be considered in the decision can be readily identified in advance. Judgement of the manager plays a vital role in decision making where the problem is not structured. The decision support system supports, but does not replace, judgement of manager. 4. Office Automation Systems Office automation systems are among the newest and most rapidly expanding computer based information systems. They are being developed with the hopes and expectations that they will

increase the efficiency and productivity of office workers-typists, secretaries, administrative assistants, staff professionals, managers and the like. Many organisations have taken the First step toward automating their offices. Often this step involves the use of word processing equipment to facilitate the typing, storing, revising and printing of textual materials. Another development is a computer based communications system such as electronic mail which allows people to communicate in an electronic mode through computer terminals. An office automation system can be described as a multi-function, integrated computer based system that allows many office activities to be performed in an electronic mode. Categories of different information systems with their characteristics have been described briefly in table below. Category of Information System Transaction Processing System Characteristics Substitutes computer-based processing for manual processes. Includes record-keeping applications. Provides input to be used in the managerial decision process. Deals with supporting well structured decision situations. Typical information requirements can be anticipated Provides information to managers who make judgements about particular situations. Supports decision makes in situations that are not well structured. It is a multi-function, integrated computer based system, that allows many office activities to be performed in an electronic mode.

Management Information System

Decision Support System

Office Automation System

Introduction to Managment Information Systems (MIS)


A management information system (MIS) can be defined as a system that: Provides information to support managerial functions like Planning, organizing, directing, controlling. Collects information in a systematic and a routine manner which is in accordance with a well defined set of rules. Includes files, hardware, software and operations research models of Processing, storing, retrieving and transmitting information to the users. A management information system (MIS) is a subset of the overall internal controls of a business
3

covering the application of people, documents, technologies, and procedures by management accountants to solving business problems such as costing a product, service or a business-wide strategy. Management information systems are distinct from regular information systems in that they are used to analyze other information systems applied in operational activities in the organization. Academically, the term is commonly used to refer to the group of information management methods tied to the automation or support of human decision making, e.g. Decision Support Systems, Expert systems, and Executive information systems. Objectives of Management Information System (MIS): An effective MIS has the following objectives Facilitate the decision making process by furnishing information in the proper time frame. This helps the decision maker to select the best course of action. Provide requisite information at each level of management to carry out their functions. Help in highlighting the critical factors to the closely monitored for successful functioning of the organization. Support decision-making in both structured and unstructured problem environments. Provide a system of people, computers, procedures, interactive query facilities, documents for collecting, sorting, retrieving and transmitting information to the users. Charactristics of Management Information System (MIS) Management Oriented: The system is designed from the top to work downwards. It does not mean that the system is designed to provide information directly to the top management. Other levels of management are also provided with relevant information. For example, in the marketing information system, the activities such as sales order processing, shipment of goods to customers and billing for the goods are basically operational control activities. A salesman can also track this information, to know the sales territory, size of order, geography and product line, provide the system has been designed accordingly. However, if the system is designed keeping in mind the top management, then data on external competition, market and pricing can be created to know the market share of the companys product and to serve as a basis of a new product or market place introduction. Management Directed: Because of management orientation of MIS, it is necessary that management should actively direct the system development efforts. In order to ensure the effectiveness of system designed, management should continuously make reviews. Integrated: The world integration means that the system has to cover all the functional areas of an organization so as to produce more meaningful management information, with a view to achieving the objectives of the organization. It has to consider various sub-system their objectives, information needs, and recognize the interdependence, that these subsystem have amongst themselves, so that common areas of information are identified and processed without repetition and overlapping

Common Data Flows: Because of the integration concept of MIS, common data flow concept avoids repetition and overlapping in data collection and storage combining similar functions, and simplifying operations wherever possible. Heavy Planning Element: A management information system cannot be established overnight. It takes almost 2 to 4 years to establish it successfully in an organization. Hence, long-term planning is required for MIS development in order to fulfill the future needs and objectives of the organization. The designer of an information system should therefore ensure that it will not become obsolete before it actually gets into operation. Flexibility and Ease Of Use: While building an MIS system all types of possible means, which may occur in future, are added to make it flexible. A feature that often goes with flexibility is the ease of use. The MIS should be able to incorporate all those features that make it readily accessible to the wide range of users with easy usability.

Decision Support Systems (DSS) help executives make better decisions by using historical and current data from internal Information Systems and external sources. By combining massive amounts of data with sophisticated analytical models and tools, and by making the system easy to use, they provide a much better source of information to use in the decision-making process. Decision Support Systems (DSS) are a class of computerized information systems that support decision-making activities. DSS are interactive computer-based systems and subsystems intended to help decision makers use communications technologies, data, documents, knowledge and/or models to successfully complete decision process tasks. While many people think of decision support systems as a specialized part of a business, most companies have actually integrated this system into their day to day operating activities. For instance, many companies constantly download and analyze sales data, budget sheets and forecasts and they update their strategy once they analyze and evaluate the current results. Decision support systems have a definite structure in businesses, but in reality, the data and decisions that are based on it are fluid and constantly changing. Types of Decision Support Systems (DSS) Data-Driven DSS take the massive amounts of data available through the companys TPS and MIS systems and cull from it useful information which executives can use to make more informed decisions. They dont have to have a theory or model but can free-flow the data. The first generic type of Decision Support System is a Data-Driven DSS. These systems include file drawer and management reporting systems, data warehousing and analysis systems, Executive Information Systems (EIS) and Spatial Decision Support Systems. Business Intelligence Systems are also examples of Data-Driven DSS. DataDriven DSS emphasize access to and manipulation of large databases of structured data and especially a time-series of internal company data and sometimes external data. Simple file systems accessed by query and retrieval tools provide the most elementary level of functionality. Data warehouse systems that allow the manipulation of data by computerized tools tailored to a specific task and setting or by more general tools and operators provide
5

additional functionality. Data-Driven DSS with Online Analytical Processing (OLAP) provide the highest level of functionality and decision support that is linked to analysis of large collections of historical data. Model-Driven DSS A second category, Model-Driven DSS, includes systems that use accounting and financial models, representational models, and optimization models. Model-Driven DSS emphasize access to and manipulation of a model. Simple statistical and analytical tools provide the most elementary level of functionality. Some OLAP systems that allow complex analysis of data may be classified as hybrid DSS systems providing modeling, data retrieval and data summarization functionality. Model-Driven DSS use data and parameters provided by decision-makers to aid them in analyzing a situation, but they are not usually data intensive. Very large databases are usually not needed for Model-Driven DSS. Model-Driven DSS were isolated from the main Information Systems of the organization and were primarily used for the typical what-if analysis. That is, What if we increase production of our products and decrease the shipment time? These systems rely heavily on models to help executives understand the impact of their decisions on the organization, its suppliers, and its customers. Knowledge-Driven DSS The terminology for this third generic type of DSS is still evolving. Currently, the best term seems to be Knowledge-Driven DSS. Adding the modifier driven to the word knowledge maintains a parallelism in the framework and focuses on the dominant knowledge base component. Knowledge-Driven DSS can suggest or recommend actions to managers. These DSS are personal computer systems with specialized problem-solving expertise. The expertise consists of knowledge about a particular domain, understanding of problems within that domain, and skill at solving some of these problems. A related concept is Data Mining. It refers to a class of analytical applications that search for hidden patterns in a database. Data mining is the process of sifting through large amounts of data to produce data content relationships. Document-Driven DSS A new type of DSS, a Document-Driven DSS or Knowledge Management System, is evolving to help managers retrieve and manage unstructured documents and Web pages. A Document-Driven DSS integrates a variety of storage and processing technologies to provide complete document retrieval and analysis. The Web provides access to large document databases including databases of hypertext documents, images, sounds and video. Examples of documents that would be accessed by a DocumentBased DSS are policies and procedures, product specifications, catalogs, and corporate historical documents, including minutes of meetings, corporate records, and important correspondence. A search engine is a powerful decision aiding tool associated with a Document-Driven DSS. Communications-Driven and Group DSS Group Decision Support Systems (GDSS) came first, but now a broader category of Communications-Driven DSS or groupware can be identified. This fifth generic type of Decision Support System includes communication, collaboration and decision support technologies that do not fit within those DSS types identified. Therefore, we need to identify these systems as a specific category of DSS. A Group DSS is a hybrid Decision Support System that emphasizes both the use of communications and decision models. A Group Decision Support System is an interactive computer-based system intended to facilitate the solution of problems by decision-makers

working together as a group. Groupware supports electronic communication, scheduling, document sharing, and other group productivity and decision support enhancing activities We have a number of technologies and capabilities in this category in the framework Group DSS, two-way interactive video, White Boards, Bulletin Boards, and Email. Components of DSS Traditionally, academics and MIS staffs have discussed building Decision Support Systems in terms of four major components: The user interface The database The models and analytical tools and The DSS architecture and network

http://www.mbaknol.com/wp-content/uploads/2011/02/DSS.jpg This traditional list of components remains useful because it identifies similarities and differences between categories or types of DSS. The DSS framework is primarily based on the different
7

emphases placed on DSS components when systems are actually constructed. Data-Driven, Document-Driven and Knowledge-Driven DSS need specialized database components. A Model- Driven DSS may use a simple flat-file database with fewer than 1,000 records, but the model component is very important. Experience and some empirical evidence indicate that design and implementation issues vary for Data-Driven, Document-Driven, ModelDriven and Knowledge-Driven DSS. Multi-participant systems like Group and Inter- Organizational DSS also create complex implementation issues. For instance, when implementing a Data-Driven DSS a designer should be especially concerned about the users interest in applying the DSS in unanticipated or novel situations. Despite the significant differences created by the specific task and scope of a DSS, all Decision Support Systems have similar technical components and share a common purpose, supporting decision- making. A Data-Driven DSS database is a collection of current and historical structured data from a number of sources that have been organized for easy access and analysis. We are expanding the data component to include unstructured documents in Document-Driven DSS and knowledge in the form of rules or frames in Knowledge-Driven DSS. Supporting management decision-making means that computerized tools are used to make sense of the structured data or documents in a database. Mathematical and analytical models are the major component of a Model-Driven DSS. Each Model-Driven DSS has a specific set of purposes and hence different models are needed and used. Choosing appropriate models is a key design issue. Also, the software used for creating specific models needs to manage needed data and the user interface. In Model-Driven DSS the values of key variables or parameters are changed, often repeatedly, to reflect potential changes in supply, production, the economy, sales, the marketplace, costs, and/or other environmental and internal factors. Information from the models is then analyzed and evaluated by the decision-maker. Knowledge-Driven DSS use special models for processing rules or identifying relationships in data. The DSS architecture and networking design component refers to how hardware is organized, how software and data are distributed in the system, and how components of the system are integrated and connected. A major issue today is whether DSS should be available using a Web browser on a company intranet and also available on the Global Internet. Networking is the key driver of Communications- Driven DSS

Types of Systems
Systems have been classified in different ways. Common classifications are: Physical or abstract systems Open or closed systems Deterministic or probabilistic systems Man-made information systems

Physical or Abstract Systems: Physical systems are tangible entities that may be static or dynamic in operation. Abstract systems are conceptual or non-physical entities which may be as straightforward as formulas of relationships among sets of variables or models the abstract conceptualization of physical situations. Open or Closed Systems: An open system continually interacts with its environments. It receives inputs from and delivers output to the outside. An information system belongs to this category, since it must adapt to the changing demands of the user. In contrast, a closed system is isolated from environmental influences. In reality completely closed systems are rare. Deterministic or Probabilistic Systems: A deterministic system is one in which the occurrence of all events is perfectly predictable. If we get the description of the system state at a particular time, the next state can be easily predicted. An example of such a system is a numerically controlled machine tool. Probabilistic system is one in which the occurrence of events cannot be perfectly predicted. An example of such a system is a warehouse and its contents. Man-made Information Systems: It is generally believed that information reduces uncertainty about a state or event. For example, information that the wind is calm reduces the uncertainty that a trip by boat will be enjoyable. An information system is the basis for interaction between the user and the analyst. It determines the nature of relationship among decision makers. In fact, it may be viewed as a decision centre for personnel at all levels. From this basis, an information system may be defined as a set of devices, procedures and operating systems designed around user-based criteria to produce information and communicate it to the user for planning, control and performance. Many practitioners fail to recognise that a business has several information systems; each is designed for a specific purpose. The major information systems are: formal information systems informal information systems computer based information systems A Formal information system is based on the organisation represented by the organization chart. The chart is a map of positions and their authority relationships, indicated by boxes and connected by straight lines. It is concerned with the pattern of authority, communication and work flow. An Informal information system is an employee-based system designed to meet personnel and vocational needs and to help in the solution of work-related problems. It also funnels information upward through indirect channels. In this way, it is considered to be a useful system because it works within the framework of the business and its stated policies. Third category of information system depends mainly on the computer for handling business applications. Systems analysts develop several different types of information systems to meet a variety of business needs. There is a class of systems known collectively as Computer Based Information Systems. As we have different types of transportation systems such as highway systems, railway systems and airline systems, computer based information systems are of too many types. They are classified as:
9

Transaction Processing Systems (TPS) Management Information Systems (MIS) Decision Support Systems (DSS) Office Automation Systems (OAS)

Systems approach to problem solving


The systems approach to problem solving used a systems orientation to define problems and opportunities and develop solutions. Studying a problem and formulating a solution involve the following interrelated activities: Recognize and define a problem or opportunity using systems thinking. Develop and evaluate alternative system solutions. Select the system solution that best meets your requirements. Design the selected system solution. Implement and evaluate the success of the designed system. 1) Defining problems and opportunities Problems and opportunities are identified in the first step of the systems approach. A problem can be defined as a basic condition that is causing undesirable results. An opportunity is a basic condition that presents the potential for desirable results. Symptoms must be separated from problems. Symptoms are merely signals of an underlying cause or problem. Example; Symptom: Sales of a companys products are declining. Problem: Sales persons are losing orders because they cannot get current information on product prices and availability. Opportunity: We could increase sales significantly if sales persons could receive instant responses to requests for price quotations and product availability. 2) Systems thinking Systems thinking is to try to find systems, subsystems, and components of systems in any situation your are studying. This viewpoint ensures that important factors and their interrelationships are considered. This is also known as using a systems context, or having a systemic view of a situation. I example, the business organization or business process in which a problem or opportunity arises could be viewed as a system of input, processing, output, feedback, and control components. Then to understand a problem and save it, you would determine if these basic system functions are being properly performed.

Example; The sales function of a business can be viewed as a system. You could then ask: Is poor sales performance (output) caused by inadequate selling effort (input), out-of-date sales procedures (processing), incorrect sales information (feedback), or inadequate sales management (control)? Figure illustrates this concept.

3) Developing alternate solutions There are usually several different ways to solve any problem or pursue any opportunity. Jumping immediately from problem definition to a single solution is not a good idea. It limits your options and robs you of the chance to consider the advantages and disadvantages of several alternatives. You also lose the chance to combine the best points of several alternative solutions. Where do alternative solutions come from/ experience is good source. The solutions that have worked, or at least been considered in the past, should be considered again. Another good source of solutions is the advice of others, including the recommendations of consultants and the suggestions of expert systems. You should also use your intuition and ingenuity to come up with a number of creative solutions. These could include what you think is an ideal solution. The, more realistic alternatives that recognize the limited financial, personnel, and other resources of most organizations could be developed. Also, decision support software packages can be used to develop and manipulate financial, marketing, and other business operations. This simulation process can help you generate a variety of alternative solutions. Finally, dont forget that doing
11

nothing about a problem or opportunity is a legitimate solution, with its own advantages and disadvantages. 4) Evaluating alternate solutions Once alternative solutions have been developed, they must be evaluated so that the best solution can be identified. The goal of evaluation is to determine how well each alternative solution meets your business and personal requirements. These requirements are key characteristics and capabilities that you feed are necessary for your personal or business success. Example; If you were the sales manager of a company, you might develop very specific requirements for solving the sales-related information problems of your salespeople. You would probably insist that any computer-based solution for your sales force be very reliable and easy to use. You might also require that any proposed solution have low start-up costs, or have minimal operating costs compared to present sales processing methods. Then you would develop evaluation criteria and determine how well each alternative solution meets these criteria. The criteria you develop will reflect how you previously defined business and personal requirements. For example, you will probably develop criteria for such factors as start-up costs, operating costs, ease of use, and reliability. Criteria may be ranked or weighted, based on their importance in meeting your requirements. 5) Selecting the best solution Once all alternative solutions have been evaluated, you can being the process of selecting the best solution. Alternative solutions can be compared to each other because they have been evaluated using the same criteria. Example; Alternatives with a low accuracy evaluation (an accuracy score less than 10), or a low overall evaluation (an overall score less than 70) should be rejected. Therefore, alternative B for sales data entry is rejected, and alternative A, the use of laptop computers by sales reps, is selected. 6) Desingning and implementing solution Once a solution has been selected, it must be designed and implemented. You may have to depend on other business end users technical staff to help you develop design specifications and an implementation plan. Typically, design specifications might describe the detailed characteristics and capabilities of the people, hardware, software, and data resources and information system activities needed by a new system. An implementation plan specifies the resources, activities, and timing needed for proper implementation. For example, the following items might be included in the design specifications and implementation plan for a computer-based sales support system: Types and sources of computer hardware, and software to be acquired for the sales reps.

Operating procedures for the new sales support system. Training of sales reps and other personnel. Conversion procedures and timetable for final implementation. 7) Post implementation review The final step of the systems approach recognizes that an implemented solution can fail to solve the problem for which it was developed. The real world has a way of confounding even the most well-designed solutions. Therefore, the results of implementing a solution should be monitored and evaluated. This is called a postimple-implemented. The focus of this step is to determine if the implemented solution has indeed helped the firm and selected subsystems meet their system objectives. If not, the systems approach assumes you will cycle back to a previous step and make another attempt to find a workable solution.

E-Commerce and its different process models


E-COMMERCE deals with buying and selling of goods through internet. With the advent of intent and web technology, E-Commerce today covers an entire commercial scope online including design and developing, marketing, selling, delivering, servicing, and paying for goods. Some ECommerce application add order tracking as a feature for customer to know the delivery status of the order. The entire model successfully works on web platform and uses internet technology. Ecommerce process has two participants, namely Buyer and Seller, like in traditional business model. And unique and typical to E-commerce there is one more participant to seller by authorization and authentication of commercial transaction. E-Commerce process model can be viewed in four ways and categories: B2C: Business Organisation to Customer B2B: Business Organisation to Business C2B: Customer to Business Organisation C2C: Customer to Customer In B2C Model, business organization uses websites or portals to offer information about product, through multimedia clippings, catalogues, product configuration guidelines, customer histories and so on. A new customer interacts with the site and uses interactive order processing system for order placements. On placements of order, secured payment systems comes into operation to authorize and authenticate payment to seller. The delivery system then take over to execute the delivery to customer. In B2B Model, buyer and seller are business organizations. They exchange technical & commercial through websites and portals. Then model works on similar line like B2C. More
13

advanced B2B model uses Extranet and Conducts business transaction based on the information status displayed on the buyers application server. In B2B Model, the participants in E-business are two organisation with relations as buyer-seller, distributor-dealer and so on. In C2B Model, customer initiates actions after logging on to sellers website or to server. On the server of the selling organization, E-Commerce application are present for the use of the customer. The entire Internet banking process work on C2B model where account holders of the bank transact a number of requirements such as seeking account balance, payment and so on. In C2C model, Customer Participates in the process of selling and buying through the auction website. In this model, website is used for personal advertising of products or services. ENewspaper website is an Example of advertising and selling of goods to customer.

E-Business Models
The term E-business (electronic business) is similar to terms like e-mail, e-commerce, helping not only in buying, selling but also in servicing customers and collaborating with business partners. Today, major corporations are rethinking their businesses in terms of the internet and its new culture and capabilities. Companies are using web to buy parts and supplies from other companies, to collaborate on sales promotions, and to do joint research. Exploiting the convenience, availability, and world-wide reach of the Internet, many companies, have discovered how to use the Internet in a better way. After the first wave of e-business, bricks and clicks businesses those with both a traditional and e-commerce approach find that, while they already have sound financial resources, they, too, must find the right e-business model(s) for generating profitable revenue streams from the Internet. In terms of operationalising the e-business strategy a variety of e-business models are now in use. New business models that modify the nature of company interactions with outside entities have appeared in electronic markets. From one industry to another, these new business models have dramatically altered management techniques. It is important, therefore, to acknowledge the importance of e-business models. They are the conduit to increasing a companys competitiveness in the e-marketplace by improving core business processes. The following are a few e-business models currently in use: Portals model During the initial days of the Internet, e-commerce was the bulls eye and portals were the arrows. websites such as Yahoo, were the first stop for users going online. Analysts projected revenues based on banner advertising being strategically placed on websites. It was anticipated that users would click through to electronic stores. Venture capitalists were happy to provide cash for portals with entrepreneurs impressing ventures capitalists with their elevator pitches. E-tailer model The e-tailer model is a popular model utilised by retail organizations for transactions. Organisations can act as intermediaries between producers and potential buyers to create added value. They manage the platforms where their virtual brochures are presented. E-business enables good effective management practices since managers can use technology to make faster business

decisions, such as the selection and realisation of products and rates. In this type of model, prices are determined by the e-business but variations are allowed according to predefined criteria. Auction model The auction model plays an intermediary role between buyers and sellers. This type of one seller to one broker to many buyers model is more concerned with filling a gap in the marketplace than with content. Communication is faster and made easier as it takes place in real time between buyers and sellers. This model eliminates both distance and time, and allows a continual updating of catalogues without expensive printing costs. Access is provided to a wide variety of goods and services grouped together by areas of commercial activity or personal interest. Value chain model This business model groups together partner companies that consult each other in the making of a product with very high added value, through an organised process. The main objective is to maximise the creation of added value through an efficient operational process. These partnerships meet the specific needs of third parties by offering customized products. These types of firm do not use online intermediaries such as content aggregators in their e-commerce processes. Instead they attempt to build and maintain their own ecommerce infrastructure. Barter model The barter model allows goods and services to be exchanged without money. Here the Internet enables a business owner to barter tangible or intangible products with another company. For example, a company can make its warehouse space profitable by offering another company the possibility of storing its products temporarily. Or a company that manufactures wooden furniture can barter sawdust and old wood with a company that produces plywood. The second variation of this model is the most virtual. In this case, the companies or people with access to this e-business model are members of different associations or companies. This type of site favours shared expertise and knowledge. Buying groups model This model is a buying group for several business owners, and thus allows greater negotiating power. The model is especially useful for the smaller business unable to get the benefits provided by economies of scale. When joined together into a buying group, the new entity plays the role of intermediary for research and negotiation with suppliers. It can also provide the distribution of product catalogues as well as the management of commercial and financial transactions and the delivery of merchandise.

Information System (IS) Applications in Human Resource Management (HRM)


A unified data model provides a single, accurate view of HR activities ranging from recruitment, employment, training, performance management, compensation management and real time
15

management. Oracle human resource leverage workflow and internet-based processes optimize various HRM activities. The system maintains global HR data in case of Trans-national companies and total organizational human resource data in case of national companies in a single location for accurate and easy availability. The system of applications of Information Technology (IT) in HRM is referred to as Human Resource Module. HRIS merges some of HRM functions with the IT field, wherein the planning and programming of data processing systems have evolved into standardized routines and packages of Enterprise Resource Planning (ERP) software. ERP integrates the human resource module with finance, production, and sales and administration modules. Generally, traditional HRM functions are common to all organizations. They consist of tracking data regarding personal histories, family details, skills, capabilities, experiences, pay, benefits and grievances. Performance of these functions are increasingly complex, must be performed at the lowest possible cost and also at a fast rate, which pose increased challenges for HR professionals. Organizations have started to automate these functions by introducing HRIS technology. Development of client -server HRIS enables HR executives to assume responsibility and ownership of their systems compared to client-server architecture, which came largely in the form of mainframe computers and necessitated heavy capital investment to purchase program proprietary software. HRIS is developed around six main areas of human resource management viz., e-recruitment/applicant tracking, e-training, e- payroll, e-benefits, e-self service and e-time and labour management. E-recruitment / Applicant Tracking E-recruitment manages job descriptions and job vacancies, search for candidates and the interview process. It is also referred to as an applicant-tracking system; this is a web-based application that enables the electronic handling of organizational employment needs. These activities include posting job advertisement on web sites to stimulate and attract candidates, known as job boards. Job boards allow candidates to apply on-line and the candidates data are stored on a database that allows searching, screening and filtering of applications. The application tracking system shortlists the candidates and arranges for interview and recruitment-related activities. E-recruitment maintains profiles, searches for and refers jobs to colleagues and follows the recruitment process. It uses event-driven applicant tracking and manages positions on multiple external websites. E-recruitment/applicant tracking system reduce administrative tasks, cost and time required to perform recruitment activities. E-training E-training provides a complete, scalable and open infrastructure that allows organizations to manage, deliver, and track employee training participation in on-line or classroom-based environments. Trainees interact with content and/or trainers at their own pace. Managers set the business flow from order processing to delivery and performance management to training output automatically. E-training systems deploy content to global learners; make use of mixed media and multiple discrete sites on a single instance of the application, define competencies attained by

trainees, and update the trainees competency profiles. It aims to ensure that HRM provides the right resources, competent and experienced trainers, and consolidate training initiatives on a scalable and cost effective basis. In addition, it aims to measure training effectiveness. E-training, provides learning opportunities not only to employees, but to customer and all other stakeholders by providing one-stop administration, automated catalogue distribution and enrollment and collaborative sites with other strategic partners. E-payroll E-payroll models automatically collect data regarding employee attendance and work record for the purpose of evaluating work performance, they calculate various deductions including tax, and generate periodic pay cheques and tax reports. Payroll modules in turn send data and accounting information to the general ledger for posting and subsequent operations and they frequently integrate e-payroll with e-finance management. Payroll systems can define standard rules for automatically assigning and changing employee salary by using simple formulae. They are able to control processing rules and calculations using fast formula and use logic for complex cases. They can manage global compensation with one application by implementing a core payroll engine and installing local extensions to add the necessary functionality, reporting and process for individual countries. E-payroll is able to process from data, simultaneously, fully reconciled results and multiple employee groups. By preparing paperless online pay slips, the system is able to reduce administrative costs and time for the total operations. Employees too can view their exclusive data and get personalized reports. E-benefits E-benefits administration models enable HR professionals to track and administer diverse and complex benefit plans, employee benefit programs which may involve transpiration medical and health care, insurance, pension, profit-sharing, and stock option benefits. Such modules, through internet-based automation, can enable HR to improve benefits support and analysis whilst reducing time and costs involved in the administration, while increasing the consistency decisions on compliance issues at various levels across the organization. E-self service human resource E-self service HR modeles collect process and manage all other kinds of data and information. For example, employees demography profiles and addresses recruitment, selection training, development, promotions, capabilities, skill mapping and compensation planning. Such a module would allow individual employees to update and use employee-specific information, personalized to an individuals role, experience, work content, language and information needs. Thus, individual employee and managers are empowered to update information in order to streamline business processes, reduce costs and errors, increase speed, and enhance service. This module helps employees in managing everything from profiles including skills, resumes, contact details, self-appraisal data, bank data, learning, benefits and payroll. It empowers managers to operate transfers, employee training enrollment, performance appraisals, competency mapping,
17

career planning and development and terminations. E-time and labour E-time and labour automates entire time and attendance records keeping process and operations through an automatically generated virtual time card. It provides an intuitive, web-based interface. The time and labour management module, by interacting with information technology, collects and evaluates time and work information. This module provides broad flexibility in data collection methods, human resource distribution capabilities and data analysis, and helps in establishing organizational cost accounting capabilities. This module allows entering time via web browser, mobile device and time card. It defines rotation plans based on shifts and work plans and employee mobility among departments or units. It supports policies for holidays, over-time, and rounding. It improves reporting, extracting, and processing with a single database of employee time-related information. This module is integrated automatically with other modules of human resource management like payroll and benefits.

The focus of Business Process Reengineering (BPR) on the current issues in Business
The existing system in the organization is totally reexamined and radically modified for incorporating the latest technology. This process of change for the betterment of the organization is called as Business process reengineering. With Business process being reengineered, the organizations have to change the workflow and business procedures for efficiency in the organization. Latest software are used and accordingly the business procedures are modified, so that documents are worked upon more easily and efficiently. This is called as workflow management. Business process reengineering is a major innovation changing the way organizations conduct their business. Such changes are often necessary for profitability or even survival. BPR is employed when major IT projects such as ERP are undertaken. Reengineering involves changes in structure, organizational culture and processes. Many concepts of BPR changes organizational structure. Team based organization, mass customization, empowerment and telecommuting are some of the examples. The support system in any organization plays a important role in BPR. ES, DSS(Decision Support Systems), AI(Artificial Intelligance) allows business to be conducted in different locations, provides flexibility in manufacturing permits quicker delivery to customers and supports rapid paperless transactions among suppliers, manufacturers and retailers. Expert systems can enable organizational changes by providing expertise to non experts. It is difficult to carry out BPR calculations using ordinary programs like spreadsheets etc. Experts make use of applications with simulations tools for BPR. Reengineering is basically done to achieve cost reduction, increase in quality, improvement in speed and service. BPR enable a company to become more competitive in the market. Employees work in team comprising of managers and engineers to develop a product. This leads to the formation of interdisciplinary teams which can work better than mere functional teams. The coordination becomes easier and faster results can be achieved. The entire business process of developing a product gets a new dimension. This has led to reengineering of many old functional processes in organizations. BPR the current focus

Apart from the usual ways of managing a process in any business information system, it is necessary to enhance the value of the process and also the methods used in improving the process. Some of the concepts of information management for effective information systems are the traditional concept of database, the emerging concepts of data mining and data warehousing.
Concept of Database Database is a data structure used to store organized information. A

database is typically made up of many linked tables of rows and columns. For example, a company might use a database to store information about their products, their employees, and financial information. Databases are now also used in nearly all ecommerce sites to store product inventory and customer information. Database software, such as Microsoft Access, FileMaker Pro, and MySQL is designed to help companies and individuals organize large amounts of information in a way where the data can be easily searched, sorted, and updated. companies with a strong consumer focus retail, financial, communication, and marketing organizations. It enables these companies to determine relationships among internal factors such as price, product positioning, or staff skills, and external factors such as economic indicators, competition, and customer demographics. And, it enables them to determine the impact on sales, customer satisfaction, and corporate profits. Finally, it enables them to drill down into summary information to view detail transactional data. With data mining, a retailer could use point of sale records of customer purchases to send targeted promotions based on an individuals purchase history. By mining demographic data from comment or warranty cards, the retailer could develop products and promotions to appeal to specific customer segments.

Data Mining Data mining is primarily used as a part of information system today, by

Data Warehousing A data warehouse is a copy of transaction data specifically structured for querying and reporting. The main output from data warehouse systems are either tabular listings (queries) with minimal formatting or highly formatted formal reports on business activities. This becomes a convenient way to handle the information being generated by various processes. Data warehouse is an archive of information collected from wide multiple sources, stored under a unified scheme, at a single site. This data is stored for a long time permitting the user an access to archived data for years. The data stored and the subsequent report generated out of a querying process enables decision making quickly. This concept is useful for big companies having plenty of data on their business processes. Big companies have bigger problems and complex problems. Decision makers require access to information from all sources. Setting up queries on individual processes may be tedious and inefficient. Data warehouse may be considered under such situations.

System Development Life Cycle


To understand system development, we need to recognize that a candidate system has a life cycle, much like a living system or a new product. Systems analysis and design are based to the system life cycle. The stages are described below. The analyst must progress from one stage to another methodically, answering key questions and achieving results in each stage.
19

Step 1: Recognition of Need What is the Problem? One must know what the problem is before it can be solved. The basis for a candidate system is recognition of a need for improving an information system or a procedure. For example, a supervisor may want to investigate the system flow in purchasing. Or a bank president has been getting complaints about the long lines in the drive in. This need leads to a preliminary survey or an initial investigation to determine whether an alternative system can solve the problem. It entails looking into the duplication of effort bottlenecks, inefficient existing procedures, or whether parts of the existing system would be candidates for computerization. If the problem is serious enough, management may want to have an analyst look at it, such an assignment implies a commitment, especially if the analyst hired from the outside. In larger environments, where formal procedures are the norm, the analysts first task is to prepare a statement specifying the scope and objective of the problem. He/she then reviews it with the user for accuracy at this stage, only a rough ball

parle estimate of the development cost of the project may be reached. However, an accurate cost of the next phase the feasibility study can be produced. Step 2: Feasibility Study Depending on the results of the initial investigation, the survey is expanded to a more detailed feasibility study. As we shall learn, a feasibility study is a test of a system proposal according to its workability impact on the organization, ability to meet user needs, and effective use of resources. It focuses on there major questions: What are the users demonstrable needs and how does a candidate system meet them? What resources are available for given candidate systems? Is the problem worth solving? What are the likely impact of the candidate system on the organization? How will it fit within the organizations master MIS plan? Each of these questions must be answered carefully. They revolve around investigation and evaluation of the problem, identification and description of candidate systems, specification of performance and the cost of each system, and final selection of the best system. The objective of a feasibility study is not to solve the problem but to acquire a sense of its scope. During the study, the problem definition is crystallized and aspects of the problem to be included in the system are determined. Consequently, costs and benefits are estimated with greater accuracy at this stage. The result of the feasibility study is a formal proposal. This is simply a report a formal document detailing the nature and scope of the proposed solution. The proposal summarizes what is known and what is going to be done. It consists of the following. Statement of the Problem a carefully worded statement of the problem that led to analysis. Summary of Findings and Recommendations a list of the major findings and recommendations of the study. It is ideal for the user who required quick access to the results of the analysis of the system under study. Conclusions are stated, followed by a list of the recommendations and a justification for them. Details of Findings An outline of the methods and procedures undertaken by the existing system, followed by coverage of objectives & procedures of the candidate system. Included are also discussions of output reports, file structures, and costs and benefits of the candidate system. Recommendations and Conclusions special recommendations regarding the candidate system, including the personal assignments costs, project schedules, and target dates. Three key considerations are involved in the feasibility analysis: economic, technical, behavioural. Lets briefly review each consideration and how it relates to the systems effort.
21

Economic Feasibility: Economic analysis is the most frequently used method for evaluating the effectiveness of a candidate system. More commonly known as cost/benefit analysis, the procedure is to determine the benefits and savings that are expected from a candidate system and compare them with costs. If benefits outweigh costs, then the decision is made to design and implement the system. Otherwise, further justification or alterations in the proposed system will have to be made if it is to have a chance of being approved. This is an ongoing effort that improves in accuracy at each phase of the system life cycle. Technical Feasibility: Technical feasibility centers around the existing computer system (hardware, software etc.) and to what extent it can support the proposed addition. For example, if the current computer is operating at 80 per cent capacity an arbitrary ceiling then running another application could overload the system or require additional hardware. This involves financial considerations to accommodate technical enhancements. If the budget is a serious constraint, then the project is judged not feasible. Behavioural Feasibility: People are inherently resistant to change, and computers have been known to facilitate change. An estimate should be made of how strong a reaction the user staff is likely to have towards the development of a computerized system. It is common knowledge that computer installations have something to do with turnover, transfers, retraining, and changes in employee job status. Therefore, it is understandable that the introduction of a candidate system requires special effort to educate, sell, and train the staff on new ways of conducting business. After the proposal is viewed by management it becomes a formal agreement that paves the way for actual design and implementation. This is a crucial decision point in the life cycle. Many projects die here, whereas the more promising ones continue through implementation. Changes in the proposal are made in writing, depending on the complexity, size, and cost of the project. It is simply common sense to verify changes before committing the project to design. Step 3: Analysis It is a detailed study of the various operations performed by the system and their relationship within and outside of the system. A key question is what must be done to solve the problem? One aspect of analysis is defining the boundaries of the system and determining whether or not a candidate system should consider other related systems. During analysis, data are collected on available files, decision points, and transactions handled by the present system. We shall learn about some logical system models and tools that are used in analysis. It requires special skills and sensitivity to the subjects being interviewed. Bias in data collection and interpretation can be problem. Training, experience and common sense are required for collection of the information needed to do the analysis. Once analysis is completed the analyst has a firm understanding of what is to be done. The next step is to decide how the problem might be solved. Thus, in the systems design, we move from the logical to the physical aspects of the life cycle. Step 4: Design The most creative and challenging phase of the system life cycle is system design. The term design describes both a final system and a process by which it is developed. It refers to the technical specifications (analogous to the engineers blueprints) that will be applied in implementing the

candidate system. It also includes the constructions of programs and programme testing. The key question here is How should the problem be solved?. The first step is to determine how the output is to be produced and in what format. Samples of the output (and input) are also available. Second, input data and master files (data base) have to be designed to meet the requirements of the proposed output. The operational (processing) phase are handled through programe construction and testing, including a list of the programmes needed to meet the systems objectives and complete documentation. Finally, details related to justification of the system and an estimate of the impact of the candidate system on the user and the organization are documented and evaluated by management as a step toward implementation. The final report prior to the implementation phase includes procedural flowcharts, record layouts, report layouts, and a workable plan for implementing the candidate system. Information on personnel, money, hardware, facilities and their estimated cost must also be available. At this point, projected costs must be close to actual costs of implementation. In some firms, separate groups of programmer do the programming whereas other firms employ analyst programmers who do analysis and design as well as code programmes. For this discussion, we assume that analysis and programming is carried out by two separate persons. There are certain functions, though, that the analyst must perform while programes are being written operating procedures and documentation must be completed. Security and auditing procedures must also be developed. Step 5: Testing No system design is ever perfect. Communication problems, programmers negligence or time constraints create errors that most be eliminated before the system is ready for user acceptance testing. A system is tested for online response, volume of transactions, stress, recovery form failure and usability. Then comes system testing, which verifies that the whole set of programs hangs together, following system testing is acceptance testing or running the system with live data by the actual use. System testing requires a test plan that consists of several key activities and steps for programs, string, system and user acceptance testing. The system performance criteria deal with turnaround time, backup, file protection, and the human factor. Step 6: Implementation This phase is less creative than system design. It is primarily concerned with user training, site preparation, and file conversion. When the candidate system is linked to terminals and remote sites the telecommunication network and tests of the network along with the system are also included under implementation. During the final testing, user acceptance is tested, followed by user training. Depending on the nature of the system, extensive user training may be required, conversion usually takes place at about the same time the user is being trained or later. In the extreme, the programmer is falsely viewed as someone who ought to be isolated from other aspects of system development. Programming is itself design work, however. The initial parameter
23

of the candidate system should be modified as a result of programming efforts. Programming provides a reality test for the assumptions made by the analyst. It is therefore a mistake to exclude programmers from the initial system design. System testing checks the readiness and accuracy of the system to access, update and retrieve data from new files. Once the programmes become available, test data are read into the computer and processed against the file(s) provided for testing. If successful, the program(s) is then run with live data. Otherwise, a diagnostic procedure is used to local and correct errors in the program. In most programs, a parallel run is conducted where the new system runs simultaneously with the old systems. This method, though costly, provides added assurance against errors in the candidate system and also gives the userstaff an opportunity to gain experience through operation. In some cases, however, parallel processing is not practical. For example, it is not plausible to run two parallel online point-to-sale (POS) systems for a retail chain. In any case, after the candidate system proves itself, the old system is phased out. Step 7: Evaluation During systems testing, the system is used experimentally to ensure that the software does not fail. In other words, we can say that it will run according to its specifications and in the way users expect. Special test data are input for processing, and the results examined. A limited number of users may be allowed to use the system so that analyst can see whether to use it in unforeseen ways. It is desirable to discover any surprises before the organization implements the system and depends on it. Implementation is the process of having systems personnel check out and put new equipment into use, train users, install the new application and construct any files of data needed to use it. This phase is less creative than system design. Depending on the size of the organisation that will be involved in using the application and the risk involved in its use, systems developers may choose to test the operation in only one area of the Firm with only one or two persons. Sometimes, they will run both old and new system in parallel way to compare the results. In still other situations, system developers stop using the old system one day and start using the new one the next. Evaluation of the system is performed to identify its strengths and weaknesses. The actual evaluation can occur along any one of the following dimensions: Operational Evaluation: Assessment of the manner in which the system functions, impact. Organizational Impact: Identification and measurement of benefits to the organisation in such areas as financial concerns, operational efficiency and competitive impact. User Manager Assessment: Evaluation of the attitudes of senior and user manager within the organisation, as well as end-users. Development Performance: Evaluation of the development process in accordance with such yardsticks as overall development time and effort, conformance to budgets and standards and other project management criteria. Step 8: Post Implementation and Maintenance Maintenance is necessary to eliminate errors in the working system during its working life and to

tune the system to any variations in its working environment. Often small system deficiencies are found as a system is brought into operation and changes are made to remove them. System planners must always plan for resource availability to carry out these maintenance functions. The importance of maintenance is to continue to bring the new system to standards. After the installation phase is completed and the user staff is adjusted to changes created by the candidate system, evaluation and maintenance being. Like any system there is an ageing process the requires periodic maintenance of hardware & software. If the new information is inconsistent with the design specifications, then changes have to be made. Hardware also requires periodic maintenance to keep in time with design specification. The importance of maintenance is to continue to bring the new system to standards.

Data Processing Methods


1. Batch Processing. Batch processing is a technique in which data to be processed or programs to be executed are collected into groups to permit convenient, efficient, and serial processing. It is the simplest form of data processing. With this method, data is entered to the information flow in large volumes, or batches. That is, the processing by computer is performed periodically, at specified time intervals (weekly, monthly, etc) when large volumes are accumulated. Daily transactions in a business establishment, for example, may be batch processed on a weekly basis. Instead of being processed periodically when a sufficient volume has been accumulated. Advantages of batch processing are: Economical when a large volume of data must be processed and The most appropriate method for those applications (e.g., payroll) where the delay caused by accumulating data into batches does not reduce the value of the information. Limitations of batch processing are: It requires sorting prior to processing Reduce timeliness in some instances and Requires sequential file organization. 2. On-line Processing. The term on line refers to equipment or devices under the direct control of the central processing unit (CPU) of a computer. An on-line operation, then, is one which uses devices directly connected to the CPU either for data entry or inquiry purposes. That is, with a terminal we can either enter data or inquire about the status of some record or file that is stored by the computer. 3. Real-time Processing. Real- time processing is a method of data processing which has the capability of a fast-response to obtain data from an activity or a physical process, perform computations, and return a response
25

rapidly enough to affect the outcome of the activity or process. In order words, the processing of data is done immediately. Airline reservation systems, for example, require immediate processing. Each time a ticket is issued or cancelled, or a planes schedule is altered, the data must be immediately entered sing is also used in keeping track of the availability of motel and hotel rooms, and in immediate updating of customer records in saving banks. 4. Distributed Processing. The most complex level of computer processing, distributed processing, generally consists of remote terminals linked to a large central computer system to help the user conduct inquiries about accounts, process jobs, or other data processing operations. Distributed computer-communications network is similar in some respects to public utilities such as telephone and electric companies e.g., electric power plants are geographically dispersed and the energy resources generated are transmitted through a coordinating regional network or grid to the places where the energy resources are needed. Some of the advantages of distributed processing system are: central processor idle time is reduced. sophisticated computers and a growing library of applications programs may be immediately available to end-users whenever needed. skilled professionals are available to help users develop their own specialized applications. managers may be able to react more rapidly to new developments and interact with the system in order to seek solutions to unusual problems. The possible disadvantages are: the reliability and the cost of data communication facilities used, and the cost and quality of the computing service received, may be disappointing in some cases. input/output terminals are often rather slow and inefficient. provisions for protecting the confidentially and integrity of user programs and data files are generally ineffective against a skilled penetrator.

IT Tools and Technologies for Managers


1. Customer-Focused e-Business A key strategy by managers for becoming a successful e-business is to maximize customer value. This strategic focus on customer value recognizes that quality rather than price becomes the primary determinant in a customers perception of value. A Customer-Focused e-business, then, is one that uses Internet technologies to keep customer loyal by anticipating their future needs, responding to concerns, and providing top quality customer service.

Such technologies like intranets, the Internet, and extranet websites create new channels for interactive communications within a company, with customers, and with suppliers, business partners, and others in the external business environment. Thereby, encouraging cross-functional collaboration with customers in product development, marketing, delivery, service and technical support. A successful Customer-Focused e-business attempts to own the customers total business experience through such approaches as: Letting the customer place orders directly, and through distribution partners Building a customer database that captures customers preferences and profitability, and allowing all employees access to a complete view of each customer. Letting customers check order, history and delivery status Nurturing an online community of customers, employees, and business partners.

2. The Customer- Focused Agile Competitor Agility in competitive performance is the ability of a business to prosper in rapidly changing, continually fragmenting global markets for high-quality, high-performance, customer-configured products and services. Agile companies depend heavily on information technology to support and manage business processes. The four fundamental strategies of agile competition are: Enrich Customers. Agile companies enrich customers with solutions to their problems. Long term value-added products and services succeed when they solve problems based on customer needs. As conditions change, the agile competitor establishes a relationship based on the ability and
27

willingness to change to meet new customer problem situations. Cooperate. Agile companies cooperate to enhance competitiveness. This means internal cooperation and, where necessary, cooperation with competitors in order to bring products and services to market more quickly. Organize. Agile companies organize to master change and uncertainty. This is a key component of agile competition because it seeks development of the anticipation and rapid response to changing conditions, not an attempt to stifle change itself. Leverage People and Information. Agile companies leverage the impact of people and information by nurturing an entrepreneurial spirit and providing incentives to employees to exercise responsibility, adaptability, and innovation. The Free.Perfect.Now model developed by AVNET Marshall embodies these principles into a succinct model for serving its customers in the most agile and responsive way. Free Dimension. Emphasizes that most customers want the lower cost for value received, but are willing to pay more for a value-added service. Perfect Dimension. Emphasizes that products and services should not only be defect free, but should be enhanced by customization, added features and should further anticipate future customer needs. Now Dimension. Emphasizes that customers want 247 accessibility to products and services, short delivery times, and consideration of the time-to-market for their own products.

3. Business Reengineering and Quality Management One of the most important competitive strategies today is business process reengineering (BPR) most often simply called reengineering. Reengineering is more than automating business processes to make modest improvements in the efficiency of business operations. Reengineering is a fundamental rethinking and radical redesign of business processes to achieve dramatic improvements in cost, quality, speed, and service. BPR combines a strategy of promoting business innovation with a strategy of making major improvements to business processes so that a company can become a much stronger and more successful competitor in the marketplace. However, while many companies have reported impressive gains, many others have failed to achieve the major improvements they sought through reengineering projects. Business quality improvement is a less dramatic approach to enhancing business success. One important strategic thrust in this area is called Total Quality Management (TQM). TQM emphasizes quality improvement that focuses on the customer requirements and expectations of products and services. This may involve many features and attributes, such as performance, reliability, durability, responsiveness etc. TQM uses a variety of tools and methods to provide: More appealing, less-variable quality of products or services Quicker less-variable turnaround from design to production and distribution Greater flexibility in adjusting to customer buying habits and preferences Lower costs through rework reductions, and non-value-adding waste elimination.

29

4. Knowledge Management Systems Knowledge Management has become one of the major strategic uses of information technology. Knowledge Management Systems (KMS) are systems that are used to manage organizational learning and business know-how. The goal of knowledge management systems is to help knowledge workers create, organize, and make available important business knowledge, whenever, and wherever its needed. Such knowledge may include explicit knowledge like reference works, formulas, and processes, or tacit knowledge like best practices, and fixes. Internet and intranet technologies, along with such other technologies like GroupWare, data mining, and online discussion groups are used by KMS to collect, edit, evaluate and disseminate knowledge within the organization. Knowledge management systems are sometimes called adaptive learning systems, because they create cycles of organizational learning called adaptive learning loops, which allow the knowledge company to continually build and integrate knowledge into business processes, products, and services. Thereby, helping the company to become a more innovative, agile provider of goods and services.

5. Enterprise Resource Planning

Enterprise resource planning (ERP) is a cross-functional enterprise system that serves as a framework to integrate and automate many of the business processes that must be accomplished within the manufacturing, logistics, distribution, accounting, finance, human resource functions of a business. ERP software is a family of software modules that supports the business activities involved in these vital back office processes. ERP is being recognized as a necessary ingredient for the efficiency, agility, and responsiveness to customers and suppliers that an e-business enterprise needs to succeed in the dynamic world of ecommerce. Companies are finding major business value in installing ERP software in two major ways: ERP creates a framework for integrating and improving their back-office systems that results in major improvements in customer service, production, and distribution efficiency. ERP provides vital cross-functional business processes and supplier and customer information flows supported by ERO systems.

6. Online Analytical Processing Online Analytical Processing (OLAP) is a capability of management, decision support, and executive information systems that enables managers and analysts to interactively examine and manipulate large amounts of detailed and consolidated data from many perspectives. Basic analytical operations include: Consolidation. This involves the aggregation of data. It can be simple roll-ups or complex groupings involving interrelated data. For example, sales offices can be rolled up to districts and districts rolled up to regions. Drill-Down. OLAP can go in the reverse direction and automatically display detailed data that comprises consolidated data. For example, the sales by individual products or sales reps that make up a regions sales can be accessed easily. Slicing and Dicing. This refers to the ability to look at the database from different viewpoints. For example, one slice of a database might show all sales of a product within regions. Another slice might show all sales by sales channel. By allowing rapid alternative perspectives, slicing and dicing allows managers to isolate the information of interest for decision making.

31

7. Intelligent Agents An Intelligent Agent (IA) is a software surrogate that fulfills a stated need or activity. The IA uses built-in and learned knowledge about how an end user behaves or in answer to posed questions, to implement a software solution such as the design of a presentation template or spreadsheet to solve a specific problem of interest to the end user. IAs can be grouped into two categories for business computing: User Interface Agents. Interface Tutors. These observe computer operations, correct user mistakes, and provide hints and advice on efficient software use. Presentation Agents. These show information in a variety of reporting and presentation forms and media based on user preferences. Network Navigation Agents. These discover paths to information and provide ways to view information that are preferred by a user. Role-Playing Agents. These play what-if games and other roles to help users understand information and make better decisions. Information Management Agents. Search Agents. These help users find files and databases, search for desired information, and suggest and find new types of information products, media, and resources.

Information Brokers. These provide commercial services to discover and develop information resources that fit the business or personal needs of a user. Information Filters. These receive, find, filter, discard, save, forward, and notify users about products received or desired, including E-mail, voice mail, and all other information media.

8. Expert Systems An Expert System (ES) is a knowledge-based information system that uses its knowledge about a specific, complex application area to act as an expert consultant to end users. The components of an ES include: Knowledge Base. A knowledge base contains knowledge needed to implement the task. There are two basic types of knowledge: Factual knowledge. Facts, or descriptive information, about a specific subject area. Heuristics. A rule of thumb for applying facts and/or making inferences, usually expressed as rules. Inference Engine. An inference engine provides the ES with its reasoning capabilities. The inference engine processes the knowledge related to a specific problem. It then makes associations and inferences resulting in recommended courses of action. User Interface. This is the means for user interactions. To create an expert system a knowledge engineer acquires the task knowledge from the human expert using knowledge acquisition tools. Using an expert system shell, which contains the user interface and inference engine software modules, the KE then encodes the knowledge into the
33

knowledge base. A reiterative approach is used to test and refine the expert systems knowledge base until it is deemed complete.

9. Managing the IS Function The IT organization structure has radically changed in the last few years. The shift towards decentralized IS teams and decentralized IS management, evident in the 1980s and 90s, has recently been replaced with a return to centralized control and management of IS resources. This has resulted in the development of hybrid organization structures with both centralized and decentralized elements. Some companies have spun-off their IS organizations into subsidiaries or business units. Others have relied on outsourcing IS functions to either application service providers or system integrators. Regardless of these organizational changes, the IS organization function still involves three major components:

Application Development Management. Involves managing activities such as systems analysis and design, project management, application programming and systems maintenance for all major e-business IT development projects. IT Operations Management. Involves the management of hardware and software, network resources. Operational activities that must be managed include computer system operations, network management, production control, and production support. Many of these management activities are automated. For example, system performance monitors monitor the processing of computer jobs and in some cases actually control operations at large data centers. Most system performance monitors supply information needed by chargeback systems. These are systems that allocate costs to users based on the information services rendered. Human Resource Management. Involves recruiting, training, and retaining qualified IS personnel. Such personnel may include managerial, technical, as well as clerical support staff.

35

You might also like