KEMBAR78
BW Installation & Configuration Guide | PDF | X Path | File Transfer Protocol
100% found this document useful (1 vote)
464 views4 pages

BW Installation & Configuration Guide

This document contains questions and answers related to TIBCO BusinessWorks (BW) concepts and configuration. Some key points covered include: - BW installation options and JRE requirements - Available process definition inputs, activities for writing outputs/descriptions, and error handling capabilities - Shared configuration resources like HTTP, FTP, JDBC and their usage - Transaction management across activities - Administrator capabilities for monitoring, deployment, and privileges

Uploaded by

alekyaiiii
Copyright
© Attribution Non-Commercial (BY-NC)
We take content rights seriously. If you suspect this is your content, claim it here.
Available Formats
Download as DOC, PDF, TXT or read online on Scribd
100% found this document useful (1 vote)
464 views4 pages

BW Installation & Configuration Guide

This document contains questions and answers related to TIBCO BusinessWorks (BW) concepts and configuration. Some key points covered include: - BW installation options and JRE requirements - Available process definition inputs, activities for writing outputs/descriptions, and error handling capabilities - Shared configuration resources like HTTP, FTP, JDBC and their usage - Transaction management across activities - Administrator capabilities for monitoring, deployment, and privileges

Uploaded by

alekyaiiii
Copyright
© Attribution Non-Commercial (BY-NC)
We take content rights seriously. If you suspect this is your content, claim it here.
Available Formats
Download as DOC, PDF, TXT or read online on Scribd
You are on page 1/ 4

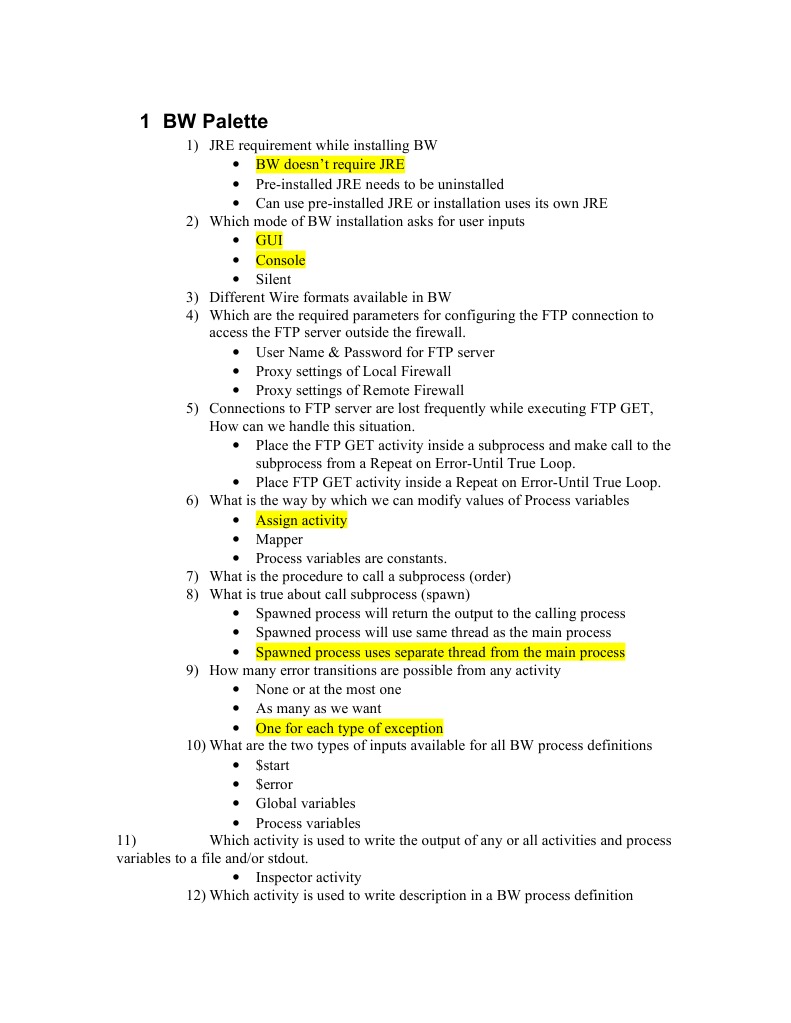
1 BW Palette

1) JRE requirement while installing BW BW doesnt require JRE Pre-installed JRE needs to be uninstalled Can use pre-installed JRE or installation uses its own JRE 2) Which mode of BW installation asks for user inputs GUI Console Silent 3) Different Wire formats available in BW 4) Which are the required parameters for configuring the FTP connection to access the FTP server outside the firewall. User Name & Password for FTP server Proxy settings of Local Firewall Proxy settings of Remote Firewall 5) Connections to FTP server are lost frequently while executing FTP GET, How can we handle this situation. Place the FTP GET activity inside a subprocess and make call to the subprocess from a Repeat on Error-Until True Loop. Place FTP GET activity inside a Repeat on Error-Until True Loop. 6) What is the way by which we can modify values of Process variables Assign activity Mapper Process variables are constants. 7) What is the procedure to call a subprocess (order) 8) What is true about call subprocess (spawn) Spawned process will return the output to the calling process Spawned process will use same thread as the main process Spawned process uses separate thread from the main process 9) How many error transitions are possible from any activity None or at the most one As many as we want One for each type of exception 10) What are the two types of inputs available for all BW process definitions $start $error Global variables Process variables 11) Which activity is used to write the output of any or all activities and process variables to a file and/or stdout. Inspector activity 12) Which activity is used to write description in a BW process definition

13) Which activity is used to make color background of a BW process definition 14) What is the XML technique used in XPATH in BW. 15) Which one of these is a starter activity Timer 16) What is the minimum configuration required to configure HTTP connection Port Hostname 17) What is the way by which we can ensure that HTTP receiver and Send HTTP Response will use the same connection Select Name of the HTTP Receiver activity from the Reply for Drop down box. Specify same HTTP Connection shared configuration while configuring Send HTTP Response 18) What is true for HTTPS Secure Connection Slow initialization 19) What is the XPATH function used for Current Date Current-Date Today TimeStamp 20) If a certain functionality is not available in XPATH how to achieve it using XPATH Write Java Custom Function 21) What is true about java Custom schema It is used in JAVA-XML and XML-JAVA activities 22) What is true about JAVA-XML activity Public variables are converted to XML elements Access modifiers of Java beans are converted to XML elements 23) Match the pairs for shared configuration resources and their uses HTTP Connection FTP connection WSDL JDBC Connection 24) What is true about max connections in JDBC. The connections are takes from Pool Once the maximum connections are reached the JDBC activity is blocked Max connections cannot be set beyond the BW license. 25) A Mapper activity is placed after JDBC, Mapper has a choice field.value of which is set according to the output of JDBC. (0 records return, more than zero no of records return and exception thrown) what is the sequence in which you can check the conditions. Check for 0 records, check for more than 0 records default is exception

Check for exception, check for 0 records and default is more than 0 records 26) Recognize the JMS activity JMS Queue Receiver Reply for JMS 27) Limitation of JMS Queue Only one subscriber can receive the data. 28) What are the security features that BW provides SSL User name/password Kerberos Identity Certificate/key 29) Corporate campus has multiple producers and multiple subscribers, all the messages will be stored on a RAID system, and the messaging should be highly reliable. What configuration will u suggest. Persistent delivery with durable subscribers using topics RV Reliable RV Certified messaging 30) Which is the palette used in Send and Receive mail palette. POP3 and SMTP 31) Which shared configuration activity is used to create the schema for assign work activity Workflow schema 32) What are the configuration required for Data Format shared configuration Line separator Format type Offset 33) Which activity is used to convert the data in a CSV file to Data structures. Parse Data 34) What are the shared configurations required for SOAP Event Source HTTP Connection WSDL JMS Connection Port Operation 35) Which activity is used to retrieve concrete service description in WSDL. Retrieve resources 36) Two groups are having JDBC activities, u want to perform the transaction function on these JDBC activities , how will u achieve it. Set outer group as Transaction group and inner group as repeating loop 37) Which activity can be used after read from file , from XML palette Parse XML

38) In which folder are the user preferences and console logs are stored .TIBCO folder of users home directory 39) What are the different protocols that can be used to communicate with TIBCO administrator JMS RV HTTP HTTPS 40) How can we add a host machine to tibco administrator. Using admin GUI Using Domain utility 41) How can we set the alerts Using Administrator Using Hawk agent 42) What all things can be monitored from admin GUI CPU Usage Active processes 43) What is disadvantage of having two domains on a single machine. Single point of failure Complicates domain backup activity 44) What is the deployment procedure Create EAR Upload EAR Decide machine Deploy 45) What care should be taken while moving from TEST environment to PROD environment. Test and Prod servers on single machine Test and Prod servers on different machines Subject and messaging conventions should be different. 46) Different privileges available in Administrator Read Write Execute Administer 47) What is true about having a secondary administrator Cannot perform User management and Deployment from Secondary administrator 48)

You might also like