KEMBAR78
Daftar
Login
Carolyn Oldham, -- at Rio hondo college
Download free for 30 days
Sign in
Upload
Language (EN)
Support
Business
Mobile
Social Media
Marketing
Technology
Art & Photos
Career
Design
Education
Presentations & Public Speaking
Government & Nonprofit
Healthcare
Internet
Law
Leadership & Management
Automotive
Engineering
Software
Recruiting & HR
Retail
Sales
Services
Science
Small Business & Entrepreneurship
Food
Environment
Economy & Finance
Data & Analytics
Investor Relations
Sports
Spiritual
News & Politics
Travel
Self Improvement
Real Estate
Entertainment & Humor
Health & Medicine
Devices & Hardware
Lifestyle
Change Language
Language
English
Español
Português
Français
Deutsche
Cancel
Save
Submit search
EN
carolyn oldham
75
Slideshows
About
Presentations
Infographics
Documents
Likes
About
Sort by
Latest
Most popular
Autocitingfromdatabases
by
carolyn oldham
Introductiontocataloganddatabases
by
carolyn oldham
Citation formats
by
carolyn oldham
Evaluation of sources
by
carolyn oldham
Searching library databases
by
carolyn oldham
Searching google
by
carolyn oldham
Searchthecatalog 151023001814-lva1-app6892
by
carolyn oldham
Searching google
by
carolyn oldham
Finding information
by
carolyn oldham
Searching the library catalog
by
carolyn oldham
Introduction to catalog and databases
by
carolyn oldham
Information need and thesis
by
carolyn oldham
Alternate access to databases (3)
by
carolyn oldham
Typesof information
by
carolyn oldham
1
2
3
4
5
No infographics yet
Sort by
Latest
Most popular
Extra credit
by
carolyn oldham
Research presentation
by
carolyn oldham
Research presentation
by
carolyn oldham
Basic types of information resources
by
carolyn oldham
Basic types of information resources
by
carolyn oldham
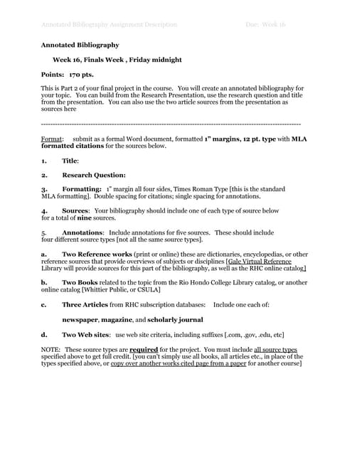
Annotated bibliographyassigndescrip
by
carolyn oldham
Week 11 citationformatting answerkey
by
carolyn oldham
Week 13 15 internet sources 1
by
carolyn oldham
Annotated bibliographyassigndescrip
by
carolyn oldham
Chapter6 example databaserecords
by
carolyn oldham
Cite linkfromacademicsearchpremier1
by
carolyn oldham
Week 2 computers, web and the internet
by
carolyn oldham
Week 1 information and information literacy
by
carolyn oldham
Primary sources
by
carolyn oldham
1
2
No likes yet
Personal Information
Organization / Workplace
Rio Hondo College
Location
United States United States
Occupation
--
Industry
Education
Contact Details