Downloaded 11 times






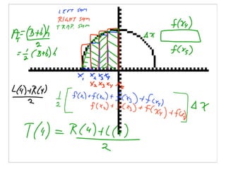
The document discusses using the RSUM program and definite integrals to estimate the area under a curve. It mentions using RSUM to calculate left- and right-hand sums with increasing numbers of subdivisions to get better approximations of the exact area. It also discusses using definite integrals to find the actual value of the area and comparing different integral approximations to deduce the actual value.