KEMBAR78
Basics of computer and Number conversions.pdf
Prof Jayamary
Department of Computer Applications,
Don Bosco College, Yelagiri Hills
Unit 1 - DIGITAL COMPUTERS
LESSON 1 - COMPUTER FUNDAMENTALS
1. What is a computer?
Computer is an Electronic device for making calculations or controlling operations that are
expressible. Computer processes information only based on the instructions provided to it. Based on
the input given, it processes and produces the output.
INPUT
PROCESS
OUTPUT
Computer Evolution -
Computer Hardware- is something you can see and touch about a computer
 Technical Definition: Mechanical, Electrical and Electronic parts of a Computer
 All peripheral devices belong to this category-
 Eg: Keyboard, mouse, printer, mike etc
 The input devices that you can touch are Keyboard, mouse, mike, scanner
 The output devices that we can touch are monitor, printer
 The memory devices that you can touch are RAM, hard disk, pen drive etc
Computer Software - Is something that you can see and not touch about a Computer.
I
Pro
O
Technical Definition:
Set of Instructions written for the computer in a language that a computer would understand
to carry out a particular task.
There are two types of software-
 System software - Refers to any computer software that helps run the computer.
a. Operating system is the type of system software, that acts as an
intermediary between the hardware and the user and manages the
resources and overall operations of a computer.
Examples of OS : Windows, Linux, DOS etc
b. Translators - is another type of SS, that translate programs written in one
programming language into another. Eg: Assemblers, compilers /
interpreters
c. System utilities - is another types of SS, used for maintenance or other
routine chore. Eg: Disk fragmenter and virus scanners
 Application software - This is applied or used for a specific purpose. Examples of AS:
Photoshop, MS Word, Excel etc
History of computers-
Characteristics of a Computer
1. Speed -
I Generation (1950) 2
nd
Generation
(1960)
3
rd
Generation
(1970)
4
th
Generation
(1980)
Use of vacuum tubes Use of transistors,
diodes, use of
Integrated circuits
Use of Integrated
circuits
Use of large scale
and very large
scale of ICs
Limited Storage
capacity
Increased storage
capacity
Increased storage
flexibility with
input/output
Increased storage
Slow speed High speed Smaller size and
better performance
Considerably
faster and smaller
Symbolic language
programming
(Machine and
Assembly languages)
High level
programming
language (COBOL,
Fortran)
Remote processing
and time sharing
Sophisticated
programs and
languages for
special
applications
Huge size Reduction in size Extensive use of high
level programming
languages
Modular design,
versatility and
compatibility
Problems of over
heating
Heat generation is
reduced
Increased use of
micro
computers(PC)
a. Computer works at an incredible speed.
b. Speed of computers are measured in terms of milliseconds, microseconds, nano
seconds and pico-seconds.
2. Accuracy -
a. Computer produces accurate results as per the instructions given by us.
b. Correct instructions give correct results, incorrect instructions give incorrect results (
GIGO- Garbage In Garbage Out)
3. Consistency -
a. Highly consistent. Never get tired or bored.
4. Storage Capacity -
a. Can store huge amount of data.
5. Flexibility -
a. Computer is a versatile machine and limited by our imagination.
b. Computers are not originally creative and can never be (a drawback).
Classification of computers
1. Analog computers-
a. Analog computers perform a direct simulation of a physical system.
b. The variables in the analog computer are represented by continuous signals, usually electric
voltages that vary with time.
2. Digital computers
a. Digital computers process discrete elements of information. Such discrete elements may be
electric impulses, the decimal digits, the letters of an alphabet, arithmetic operations,
punctuation marks or any other set of meaningful symbols.
Types of digital computers-
1. Microcomputers
a. Home computing, small businesses
b. Note book
c. Palmtop
2. Mainframe Computers
a. Big companies, Banks, Government departments.
3. Supercomputers
a. Complex Scientific Applications like weather forecasting
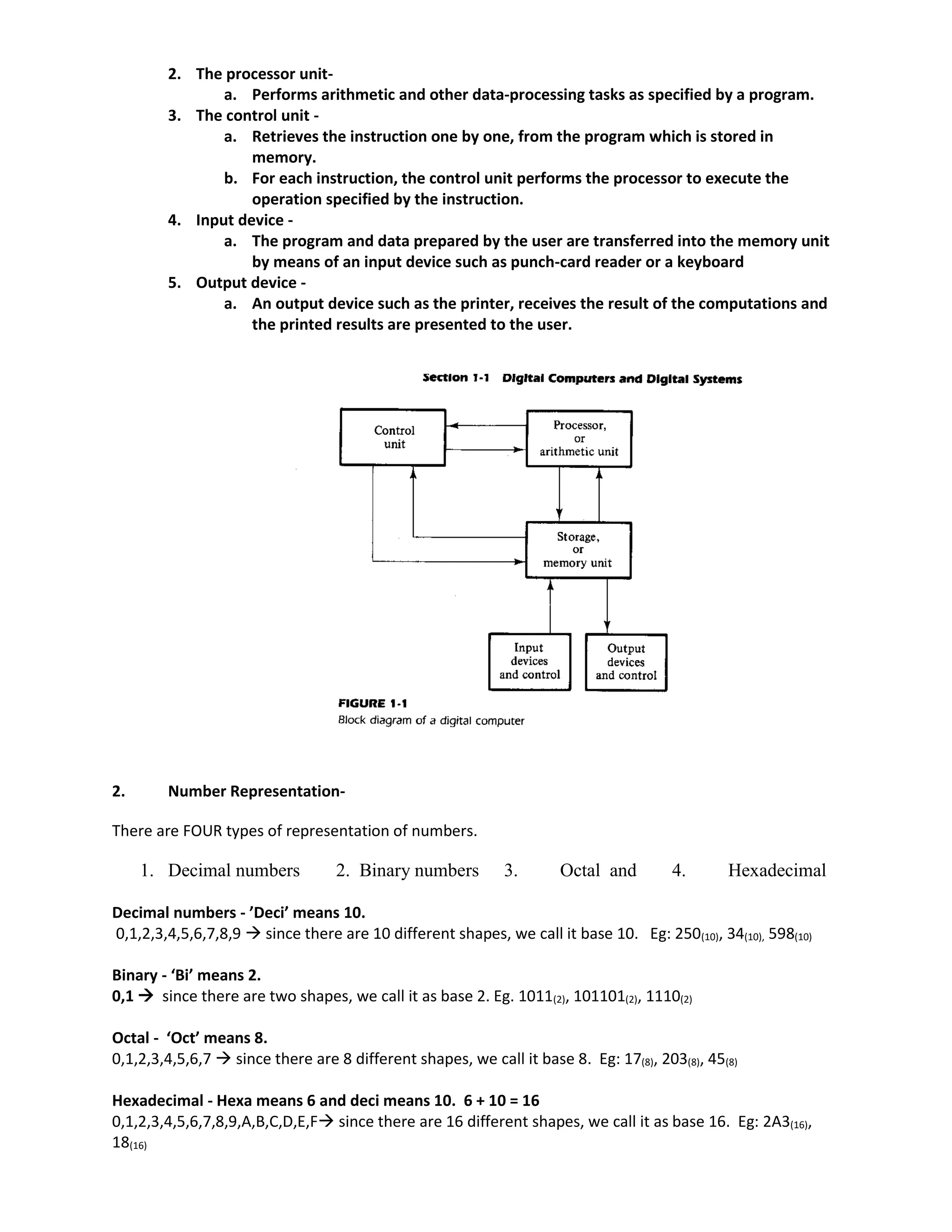
Digital Computers-
Digital Computers have penetrated into every walk of our lives. Starting from commercial business to
space programs, everything is possible because of digital computers. Digital computers are used for
scientific calculations, commercial and business data processing, air traffic control, space, education
etc. These digital computers processes information by following a sequence of instructions called a
program that operates on data. The digital computers represent discrete elements of information by
physical quantities called signals. The signals in electronic digital systems have only two discrete
values and are said to be binary.
The components of the digital computer are as follows-
1. The memory unit -
a. Stores programs as well as input, output and intermediate data
2. The processor unit-
a. Performs arithmetic and other data-processing tasks as specified by a program.
3. The control unit -
a. Retrieves the instruction one by one, from the program which is stored in
memory.
b. For each instruction, the control unit performs the processor to execute the
operation specified by the instruction.
4. Input device -
a. The program and data prepared by the user are transferred into the memory unit
by means of an input device such as punch-card reader or a keyboard
5. Output device -
a. An output device such as the printer, receives the result of the computations and
the printed results are presented to the user.
2. Number Representation-
There are FOUR types of representation of numbers.
1. Decimal numbers 2. Binary numbers 3. Octal and 4. Hexadecimal
Decimal numbers - ’Deci’ means 10.
0,1,2,3,4,5,6,7,8,9  since there are 10 different shapes, we call it base 10. Eg: 250(10), 34(10), 598(10)
Binary - ‘Bi’ means 2.
0,1  since there are two shapes, we call it as base 2. Eg. 1011(2), 101101(2), 1110(2)
Octal - ‘Oct’ means 8.
0,1,2,3,4,5,6,7  since there are 8 different shapes, we call it base 8. Eg: 17(8), 203(8), 45(8)
Hexadecimal - Hexa means 6 and deci means 10. 6 + 10 = 16
0,1,2,3,4,5,6,7,8,9,A,B,C,D,E,F since there are 16 different shapes, we call it as base 16. Eg: 2A3(16),
18(16)
Conversion of whole numbers(Integers) from one form to another -
SDB 2
SWV 2 SWV 8 SDB 8 SWV16 SDB 16
GRP 3
EXP 3
GRP 4
EXP 4
Legend-
SDB : Subsequent divide by SWV : Sum of weighted values GRP : Group EXP : Expand
TO CONVERT FROM -
1. Decimal to Binary - SDB 2 (Subsequent divide by 2)
Eg: 41(10)  ? (2)
Number /2 Quotient Remainder
41/2 20 1
20/2 10 0
10/2 5 0
5/2 2 1
2/2 1 0
1/2 0 1
41(10)  101001(2)
2. Decimal to Octal - SDB 8 (Subsequent Divide by 8)
Eg: 41(10)  ? (8)
Number /8 Quotient Remainder
41/8 5 1
5/8 0 5
41(10)  51 (8)
3. Decimal to Hexadecimal - SDB 16 (Subsequent divide by 16)
Eg: 41(10)  ? (16)
Number /16 Quotient Remainder
41/16 2 9
2/16 0 2
DECIMAL
HEXADECIMAL
OCTAL
BINARY
Read the number
from bottom to top
Read the number
from bottom to top
Read the number
from bottom to top
4. Binary to Decimal - SWV 2 (Sum of weighted values)
Eg: 1: 101 =1*22
+0*21
+1*20
= 1 * 4 + 0 * 2 + 1 * 1
= 4 + 0 +1
= 5
2 : 1001 = 1*23
+0*22
+0*21
+1*20
= 1*8 + 0*4 + 0*2 + 1*1
= 8+0+0+1
= 9
5. Binary to Octal - Group by 3 bits
011101 = 011 101
= 3 5 = (3 5) 8
6. Binary to Hexa Decimal - Group by 4 bits
(10010101)2 = 1001 0101
= 9 5 = (9 5)16
7. Octal To Decimal (SWV  Sum of weighted values)
=1*83
+2*82
+1*81
+3*80
=512 + 128 + 8 + 3 =651(10)
8. Octal to Binary (Expand in 3 bits)
Example1: ( 2 6 1 . 0 6)8
(010 110 001 . 000 110)2 = 10110001.000110(2)
9. Octal to Hexa Decimal (Octal Binary  Hexa decimal)
(714.06)8 =(111 001 100.000 110)2
=0001 1100 1100 . 0001 1000
= 1 C C . 1 8 = 1CC.18(16)
10. Hexa Decimal to Binary (Expand in 4 bits)
= C5E2
= C 5 E 2
= 1100 0101 1100 0010 = 1100010100110010(2)
11. Hexa Decimal to Octal Conversion (Hexa  Binary  Octal)
(1E.C)16 = (0001 1110.1100)2
= (011 110.110) = 36.6(8)
12. Hexa Decimal to Decimal conversion (SWV = Sum of weighted values)
BB(16) =B*161
+B*160
=11*16+11*1
=176+11
=187(10)
Fraction Conversion
To convert the fractional part of a number to radix r, repeatedly multiply by r with the integral parts of
the products becoming ai
Convert (0.7215)10 to binary
0.1715x2 = 1.443 a(1) = 1
0.443 x2 = 0.886 a(2) = 0
0.886 x2 = 1.772 a(3) = 1
0.772 x2 = 1.544 a(4) = 1
0.544 x2 = 1.088 a(5) = 1
0.088 x2 = 0.176 a(6) = 0
0.176 x2 = 0.352 a(7) = 0
(0.7215)10 = (0.1011100)2
SMB2
SMB 8
SMB 16
Binary addition and subtraction
Binary addition is performed in the same manner as decimal addition. The complete table
for binary addition is as follows:
0+0=0
0+1=1
1+0=1
1+1=0 plus a carry over of 1
Example1:
Decimal Binary Decimal Binary
Augend - 5 101 3 ¼ 11.01
Addend - 6 110 5 ¾ 101.11
Sum 11 1011 9 1001.00
The binary subtraction table is given below -
0-0=0
1-0=1
0-1=1 with a borrow of 1
1-1=0
Examples:
Decimal Binary Decimal Binary
Minuend 9 1001 16 10000
Subtrahend -5 -101 -3 - 11
Difference 4 100 13 1111
1.5 BINARY MULTIPLICATION AND DIVISION
The table for binary multiplication is very short, with only four entries instead of the
many for normal decimal multiplication
0*0=0
0*1=0
1*0=0
1*1=1
Example : Multiplicand 1010 * Multiplier 10
1010 * 10
_________
0000
1010
__________
Product - 10100
_______
Dividend - 1010 / 10 - Divisor
101
10 1010
10
10
10
______________
0

Basics of computer and Number conversions.pdf

  • 1.
    Prof Jayamary Department ofComputer Applications, Don Bosco College, Yelagiri Hills
  • 2.
    Unit 1 -DIGITAL COMPUTERS LESSON 1 - COMPUTER FUNDAMENTALS 1. What is a computer? Computer is an Electronic device for making calculations or controlling operations that are expressible. Computer processes information only based on the instructions provided to it. Based on the input given, it processes and produces the output. INPUT PROCESS OUTPUT Computer Evolution - Computer Hardware- is something you can see and touch about a computer  Technical Definition: Mechanical, Electrical and Electronic parts of a Computer  All peripheral devices belong to this category-  Eg: Keyboard, mouse, printer, mike etc  The input devices that you can touch are Keyboard, mouse, mike, scanner  The output devices that we can touch are monitor, printer  The memory devices that you can touch are RAM, hard disk, pen drive etc Computer Software - Is something that you can see and not touch about a Computer. I Pro O
  • 3.
    Technical Definition: Set ofInstructions written for the computer in a language that a computer would understand to carry out a particular task. There are two types of software-  System software - Refers to any computer software that helps run the computer. a. Operating system is the type of system software, that acts as an intermediary between the hardware and the user and manages the resources and overall operations of a computer. Examples of OS : Windows, Linux, DOS etc b. Translators - is another type of SS, that translate programs written in one programming language into another. Eg: Assemblers, compilers / interpreters c. System utilities - is another types of SS, used for maintenance or other routine chore. Eg: Disk fragmenter and virus scanners  Application software - This is applied or used for a specific purpose. Examples of AS: Photoshop, MS Word, Excel etc History of computers- Characteristics of a Computer 1. Speed - I Generation (1950) 2 nd Generation (1960) 3 rd Generation (1970) 4 th Generation (1980) Use of vacuum tubes Use of transistors, diodes, use of Integrated circuits Use of Integrated circuits Use of large scale and very large scale of ICs Limited Storage capacity Increased storage capacity Increased storage flexibility with input/output Increased storage Slow speed High speed Smaller size and better performance Considerably faster and smaller Symbolic language programming (Machine and Assembly languages) High level programming language (COBOL, Fortran) Remote processing and time sharing Sophisticated programs and languages for special applications Huge size Reduction in size Extensive use of high level programming languages Modular design, versatility and compatibility Problems of over heating Heat generation is reduced Increased use of micro computers(PC)
  • 4.
    a. Computer worksat an incredible speed. b. Speed of computers are measured in terms of milliseconds, microseconds, nano seconds and pico-seconds. 2. Accuracy - a. Computer produces accurate results as per the instructions given by us. b. Correct instructions give correct results, incorrect instructions give incorrect results ( GIGO- Garbage In Garbage Out) 3. Consistency - a. Highly consistent. Never get tired or bored. 4. Storage Capacity - a. Can store huge amount of data. 5. Flexibility - a. Computer is a versatile machine and limited by our imagination. b. Computers are not originally creative and can never be (a drawback). Classification of computers 1. Analog computers- a. Analog computers perform a direct simulation of a physical system. b. The variables in the analog computer are represented by continuous signals, usually electric voltages that vary with time. 2. Digital computers a. Digital computers process discrete elements of information. Such discrete elements may be electric impulses, the decimal digits, the letters of an alphabet, arithmetic operations, punctuation marks or any other set of meaningful symbols. Types of digital computers- 1. Microcomputers a. Home computing, small businesses b. Note book c. Palmtop 2. Mainframe Computers a. Big companies, Banks, Government departments. 3. Supercomputers a. Complex Scientific Applications like weather forecasting Digital Computers- Digital Computers have penetrated into every walk of our lives. Starting from commercial business to space programs, everything is possible because of digital computers. Digital computers are used for scientific calculations, commercial and business data processing, air traffic control, space, education etc. These digital computers processes information by following a sequence of instructions called a program that operates on data. The digital computers represent discrete elements of information by physical quantities called signals. The signals in electronic digital systems have only two discrete values and are said to be binary. The components of the digital computer are as follows- 1. The memory unit - a. Stores programs as well as input, output and intermediate data
  • 5.
    2. The processorunit- a. Performs arithmetic and other data-processing tasks as specified by a program. 3. The control unit - a. Retrieves the instruction one by one, from the program which is stored in memory. b. For each instruction, the control unit performs the processor to execute the operation specified by the instruction. 4. Input device - a. The program and data prepared by the user are transferred into the memory unit by means of an input device such as punch-card reader or a keyboard 5. Output device - a. An output device such as the printer, receives the result of the computations and the printed results are presented to the user. 2. Number Representation- There are FOUR types of representation of numbers. 1. Decimal numbers 2. Binary numbers 3. Octal and 4. Hexadecimal Decimal numbers - ’Deci’ means 10. 0,1,2,3,4,5,6,7,8,9  since there are 10 different shapes, we call it base 10. Eg: 250(10), 34(10), 598(10) Binary - ‘Bi’ means 2. 0,1  since there are two shapes, we call it as base 2. Eg. 1011(2), 101101(2), 1110(2) Octal - ‘Oct’ means 8. 0,1,2,3,4,5,6,7  since there are 8 different shapes, we call it base 8. Eg: 17(8), 203(8), 45(8) Hexadecimal - Hexa means 6 and deci means 10. 6 + 10 = 16 0,1,2,3,4,5,6,7,8,9,A,B,C,D,E,F since there are 16 different shapes, we call it as base 16. Eg: 2A3(16), 18(16)
  • 6.
    Conversion of wholenumbers(Integers) from one form to another - SDB 2 SWV 2 SWV 8 SDB 8 SWV16 SDB 16 GRP 3 EXP 3 GRP 4 EXP 4 Legend- SDB : Subsequent divide by SWV : Sum of weighted values GRP : Group EXP : Expand TO CONVERT FROM - 1. Decimal to Binary - SDB 2 (Subsequent divide by 2) Eg: 41(10)  ? (2) Number /2 Quotient Remainder 41/2 20 1 20/2 10 0 10/2 5 0 5/2 2 1 2/2 1 0 1/2 0 1 41(10)  101001(2) 2. Decimal to Octal - SDB 8 (Subsequent Divide by 8) Eg: 41(10)  ? (8) Number /8 Quotient Remainder 41/8 5 1 5/8 0 5 41(10)  51 (8) 3. Decimal to Hexadecimal - SDB 16 (Subsequent divide by 16) Eg: 41(10)  ? (16) Number /16 Quotient Remainder 41/16 2 9 2/16 0 2 DECIMAL HEXADECIMAL OCTAL BINARY Read the number from bottom to top Read the number from bottom to top Read the number from bottom to top
  • 7.
    4. Binary toDecimal - SWV 2 (Sum of weighted values) Eg: 1: 101 =1*22 +0*21 +1*20 = 1 * 4 + 0 * 2 + 1 * 1 = 4 + 0 +1 = 5 2 : 1001 = 1*23 +0*22 +0*21 +1*20 = 1*8 + 0*4 + 0*2 + 1*1 = 8+0+0+1 = 9 5. Binary to Octal - Group by 3 bits 011101 = 011 101 = 3 5 = (3 5) 8 6. Binary to Hexa Decimal - Group by 4 bits (10010101)2 = 1001 0101 = 9 5 = (9 5)16 7. Octal To Decimal (SWV  Sum of weighted values) =1*83 +2*82 +1*81 +3*80 =512 + 128 + 8 + 3 =651(10) 8. Octal to Binary (Expand in 3 bits) Example1: ( 2 6 1 . 0 6)8 (010 110 001 . 000 110)2 = 10110001.000110(2) 9. Octal to Hexa Decimal (Octal Binary  Hexa decimal) (714.06)8 =(111 001 100.000 110)2 =0001 1100 1100 . 0001 1000 = 1 C C . 1 8 = 1CC.18(16) 10. Hexa Decimal to Binary (Expand in 4 bits) = C5E2 = C 5 E 2 = 1100 0101 1100 0010 = 1100010100110010(2) 11. Hexa Decimal to Octal Conversion (Hexa  Binary  Octal) (1E.C)16 = (0001 1110.1100)2 = (011 110.110) = 36.6(8) 12. Hexa Decimal to Decimal conversion (SWV = Sum of weighted values) BB(16) =B*161 +B*160 =11*16+11*1 =176+11 =187(10) Fraction Conversion To convert the fractional part of a number to radix r, repeatedly multiply by r with the integral parts of the products becoming ai Convert (0.7215)10 to binary 0.1715x2 = 1.443 a(1) = 1 0.443 x2 = 0.886 a(2) = 0 0.886 x2 = 1.772 a(3) = 1 0.772 x2 = 1.544 a(4) = 1 0.544 x2 = 1.088 a(5) = 1 0.088 x2 = 0.176 a(6) = 0 0.176 x2 = 0.352 a(7) = 0 (0.7215)10 = (0.1011100)2
  • 8.
  • 9.
    Binary addition andsubtraction Binary addition is performed in the same manner as decimal addition. The complete table for binary addition is as follows: 0+0=0 0+1=1 1+0=1 1+1=0 plus a carry over of 1 Example1: Decimal Binary Decimal Binary Augend - 5 101 3 ¼ 11.01 Addend - 6 110 5 ¾ 101.11 Sum 11 1011 9 1001.00 The binary subtraction table is given below - 0-0=0 1-0=1 0-1=1 with a borrow of 1 1-1=0 Examples: Decimal Binary Decimal Binary Minuend 9 1001 16 10000 Subtrahend -5 -101 -3 - 11 Difference 4 100 13 1111 1.5 BINARY MULTIPLICATION AND DIVISION The table for binary multiplication is very short, with only four entries instead of the many for normal decimal multiplication 0*0=0 0*1=0 1*0=0 1*1=1 Example : Multiplicand 1010 * Multiplier 10 1010 * 10 _________ 0000 1010 __________ Product - 10100 _______ Dividend - 1010 / 10 - Divisor 101 10 1010 10 10 10 ______________
  • 10.