KEMBAR78
Convolutional Neural Networks: Part 1 | PDF
Introduction to Convolutional
Neural Networks
Applied Machine Learning
Anantharaman Narayana Iyer
JNResearch
narayana dot Anantharaman at gmail dot com
23 March 2016
Topics
• Motivation: Why we need CNN?
• What is the principle of convolution?
• From ANN to CNN
• CNN Architecture
Motivation for CNN
• Suppose we are required to perform image classification on a colour image of 100 x 100
dimensions.
• If we are to implement this brute force using a standard feed forward neural network that has an
input, hidden and an output layer, how many model parameters we need for: hidden units (nh) =
1000, output classes = 10 and Softmax output layer
• Input layer = 10k pixels * 3 = 30k, weight matrix for hidden to input layer = 1k * 30k = 30 M and
output layer matrix size = 10 * 1000 = 10k
• We can easily see that the parameters blow up if we need to process larger sized images because
an image is 2 dimensional and has a depth also if the colour information is to be taken in to
account
• One way to handle this is by extracting the features using image processing techniques (pre
processing) and presenting a lower dimensional input to the Neural Network. But this requires
expert engineered features and hence domain knowledge
• Can we do better by using some properties of images?
• CNNs allow us to substantially reduce the model parameters without needing to perform hand
crafted feature engineering
Convolution: From first principles
What is a digital signal?
• Refer books on DSP for formal definitions.
• For the purpose of our course and discussions
we will use the following working definition: A
digital signal is an entity in digital form that
carries the information we want to process.
• Examples:
• An image (gif file)
• Audio file
• Text file
• Facebook posts
• Tweets
What is a system?
• For the purpose of our class, we consider the system as a function
that transforms the input signal.
• A linear system satisfies the properties of:
• Scaling
• Superposition
• Shift Invariant Systems: If the input is shifted by a distance k, the
output is also shifted exactly by the same distance.
• A linear shift invariant system is both linear as well as shift
invariant.
• If a system is linear shift invariant, its output is fully characterized
by its impulse response and is determined as the convolution of
the input and the impulse response
• Important implications:
• Impulse Response fully characterizes the system and so we can treat the
system as a black box.
• Inputs can be looked at as scaling factors to the impulse response and so
don’t play a role in modifying the nature of output except for scaling
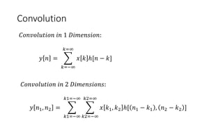
Convolution
𝐶𝑜𝑛𝑣𝑜𝑙𝑢𝑡𝑖𝑜𝑛 𝑖𝑛 1 𝐷𝑖𝑚𝑒𝑛𝑠𝑖𝑜𝑛:
𝑦 𝑛 =
𝑘=−∞
𝑘=∞
𝑥 𝑘 ℎ[𝑛 − 𝑘]
𝐶𝑜𝑛𝑣𝑜𝑙𝑢𝑡𝑖𝑜𝑛 𝑖𝑛 2 𝐷𝑖𝑚𝑒𝑛𝑠𝑖𝑜𝑛𝑠:
𝑦 𝑛1, 𝑛2 =
𝑘1=−∞
𝑘1=−∞
𝑘2=−∞
𝑘2=∞
𝑥 𝑘1, 𝑘2 ℎ[ 𝑛1 − 𝑘1 , 𝑛2 − 𝑘2 ]
CNNs for applications that involve images
• Why CNNs are more suitable to process images?
• Pixels in an image correlate to each other. However, nearby pixels
correlate stronger and distant pixels don’t influence much
• Local features are important: Local Receptive Fields
• Affine transformations: e.g the class of an image doesn’t change with
respect to translation. So we can build a feature detector that can
look for a particular feature (e.g an edge) anywhere in the image
plane by moving across. A convolutional layer may have several such
filters constituting the depth dimension of the layer.
Before we discuss CNNs…
• CNNs operate on images that have a 2d surface and a depth in terms
of RGB colours. Hence they are 3 dimensional.
• The standard neural network architecture has a linear input layer
structure.
• When we discuss CNN architecture, it helps to decouple in our minds
the abstraction CNNs deal with and the practical realization of these
principles on a linear layer based neural network architectures.
CNN Architecture – Refer Slides from Andrej
Karpathy’s course (Stanford)
FNN to CNN: Conceptual Understanding
• Inputs
• The input layer of FNN is a linear arrangement of input elements. This is typically represented
as an input vector.
• CNNs operate on a 3d input “volume”.
• Hidden Layers of the architecture
• Neural networks use one or more hidden layers with the units typically performing some non
linear transformations (e.g tanh)
• Convolutional networks use: convolutional layers and pooling layers
• Local receptive fields and shared weights for a given filter across the complete input
• Strides
• Filters arranged depthwise: small size
• Output layer
• In a traditional NN the output layer (such as Softmax or Logistic) connect to the linear hidden
layer in a fully connected pattern
• CNNs follow a similar pattern where the “volume” represented by the final internal layer is
fully connected to the output layer

Convolutional Neural Networks: Part 1

  • 1.
    Introduction to Convolutional NeuralNetworks Applied Machine Learning Anantharaman Narayana Iyer JNResearch narayana dot Anantharaman at gmail dot com 23 March 2016
  • 2.
    Topics • Motivation: Whywe need CNN? • What is the principle of convolution? • From ANN to CNN • CNN Architecture
  • 3.
    Motivation for CNN •Suppose we are required to perform image classification on a colour image of 100 x 100 dimensions. • If we are to implement this brute force using a standard feed forward neural network that has an input, hidden and an output layer, how many model parameters we need for: hidden units (nh) = 1000, output classes = 10 and Softmax output layer • Input layer = 10k pixels * 3 = 30k, weight matrix for hidden to input layer = 1k * 30k = 30 M and output layer matrix size = 10 * 1000 = 10k • We can easily see that the parameters blow up if we need to process larger sized images because an image is 2 dimensional and has a depth also if the colour information is to be taken in to account • One way to handle this is by extracting the features using image processing techniques (pre processing) and presenting a lower dimensional input to the Neural Network. But this requires expert engineered features and hence domain knowledge • Can we do better by using some properties of images? • CNNs allow us to substantially reduce the model parameters without needing to perform hand crafted feature engineering
  • 4.
  • 5.
    What is adigital signal? • Refer books on DSP for formal definitions. • For the purpose of our course and discussions we will use the following working definition: A digital signal is an entity in digital form that carries the information we want to process. • Examples: • An image (gif file) • Audio file • Text file • Facebook posts • Tweets
  • 6.
    What is asystem? • For the purpose of our class, we consider the system as a function that transforms the input signal. • A linear system satisfies the properties of: • Scaling • Superposition • Shift Invariant Systems: If the input is shifted by a distance k, the output is also shifted exactly by the same distance. • A linear shift invariant system is both linear as well as shift invariant. • If a system is linear shift invariant, its output is fully characterized by its impulse response and is determined as the convolution of the input and the impulse response • Important implications: • Impulse Response fully characterizes the system and so we can treat the system as a black box. • Inputs can be looked at as scaling factors to the impulse response and so don’t play a role in modifying the nature of output except for scaling
  • 7.
    Convolution 𝐶𝑜𝑛𝑣𝑜𝑙𝑢𝑡𝑖𝑜𝑛 𝑖𝑛 1𝐷𝑖𝑚𝑒𝑛𝑠𝑖𝑜𝑛: 𝑦 𝑛 = 𝑘=−∞ 𝑘=∞ 𝑥 𝑘 ℎ[𝑛 − 𝑘] 𝐶𝑜𝑛𝑣𝑜𝑙𝑢𝑡𝑖𝑜𝑛 𝑖𝑛 2 𝐷𝑖𝑚𝑒𝑛𝑠𝑖𝑜𝑛𝑠: 𝑦 𝑛1, 𝑛2 = 𝑘1=−∞ 𝑘1=−∞ 𝑘2=−∞ 𝑘2=∞ 𝑥 𝑘1, 𝑘2 ℎ[ 𝑛1 − 𝑘1 , 𝑛2 − 𝑘2 ]
  • 8.
    CNNs for applicationsthat involve images • Why CNNs are more suitable to process images? • Pixels in an image correlate to each other. However, nearby pixels correlate stronger and distant pixels don’t influence much • Local features are important: Local Receptive Fields • Affine transformations: e.g the class of an image doesn’t change with respect to translation. So we can build a feature detector that can look for a particular feature (e.g an edge) anywhere in the image plane by moving across. A convolutional layer may have several such filters constituting the depth dimension of the layer.
  • 9.
    Before we discussCNNs… • CNNs operate on images that have a 2d surface and a depth in terms of RGB colours. Hence they are 3 dimensional. • The standard neural network architecture has a linear input layer structure. • When we discuss CNN architecture, it helps to decouple in our minds the abstraction CNNs deal with and the practical realization of these principles on a linear layer based neural network architectures.
  • 10.
    CNN Architecture –Refer Slides from Andrej Karpathy’s course (Stanford)
  • 11.
    FNN to CNN:Conceptual Understanding • Inputs • The input layer of FNN is a linear arrangement of input elements. This is typically represented as an input vector. • CNNs operate on a 3d input “volume”. • Hidden Layers of the architecture • Neural networks use one or more hidden layers with the units typically performing some non linear transformations (e.g tanh) • Convolutional networks use: convolutional layers and pooling layers • Local receptive fields and shared weights for a given filter across the complete input • Strides • Filters arranged depthwise: small size • Output layer • In a traditional NN the output layer (such as Softmax or Logistic) connect to the linear hidden layer in a fully connected pattern • CNNs follow a similar pattern where the “volume” represented by the final internal layer is fully connected to the output layer