KEMBAR78
Hibernate, Spring, Eclipse, HSQL Database & Maven tutorial | PDF
1



 The author has made every effort in the preparation of this book to ensure the accuracy of the information.
However, information in this book is sold without warranty either expressed or implied. The author will not be
    held liable for any damages caused or alleged to be caused either directly or indirectly by this book.




Hibernate, Spring, Eclipse, HSQL Database & Maven
                       tutorial

 Hibernate is a very popular ORM (Object to Relational Mapping) tool and
Spring is a very popular IOC (Inversion Of Control) container with support for
                            AOP, Hibernate etc.


                                                    by




                                        K. Arulkumaran


                                                     &


                                             A. Sivayini




               Website: http://www.lulu.com/java-success


             Feedback email: java-interview@hotmail.com
2

                                                 Table Of Contents


Notations ..................................................................................................................... 3
Tutorial 4 – Hibernate, HSQL Database, Maven and Eclipse ........................ 4
Tutorial 5 – Spring, Hibernate, Maven and Eclipse........................................ 20
Tutorial 6 – Spring AOP......................................................................................... 31
3
                                     Notations

Command prompt:




Eclipse:




File Explorer or Windows Explorer:




Internet Explorer:
4
Tutorial 4 – Hibernate, HSQL Database, Maven and Eclipse


This tutorial assumes that you are familiar with Java, Eclipse and Maven. If
not please refer Tutorials 1-3 at http://www.lulu.com/content/1080910. This
tutorial is a continuation of Tutorial 1 (Java, Eclipse and Maven).

Hibernate is an ORM (Object to Relational Mapping) tool, so we need a relational database.
To keep things simple, I will be using HypersonicSQL (aka HSQL) database, which is easy
to use. This is an open source database, which can be found at http://hsqldb.sourceforge.net/.
Also check http://hsqldb.org.




The three types of persistent tables are MEMORY tables, CACHED tables and TEXT tables.

I will be using the default MEMORY tables where data is held entirely in memory but any
change to their structure or contents is written to the <dbname>.script file. The script file is
read the next time the database is opened, and the MEMORY tables are recreated with all
their contents. So MEMORY tables are persistent. It is important to remember that the data in
memory is written to the <dbname>.script file when you shutdown your database
properly/naturally by executing SQL “SHUTDOWN (COMPACT | IMMEDIATELY”. The
saved <dbname.script> file will load the data into memory the next time the HSQLDB server
starts up. But if you stop the HSQLDB server abruptly in the command line by pressing [Ctrl]
+ [C] the data will not be written to the script file and consequently lost. Refer documentation
for CACHED & TEXT tables.

        Install HSQL database into c:java folder from http://hsqldb.sourceforge.net/.
        Download the hsqldb_1_8_0_7.zip and unpack it into your c:/java folder.
5

        Start the HSQL database server by executing the following command in a command
        prompt as shown below:

C:javahsqldb>java -cp ./lib/hsqldb.jar org.hsqldb.Server




Since I have not given any database name and or alias (refer HSQLDB document and/or type
C:javahsqldb>java -cp ./lib/hsqldb.jar org.hsqldb.Server -? For more details), it defaults to
“test” as the database name & alias. After starting the HSHQL database server the following
files are created under “C:javahsqldb”      test.lck, test.log, test.properties.

        Open up another command prompt and start the DatabaseManager, with which you
        can execute SQLs. If you are new to SQL, then this is handy to practice and gain
        some SQL skills. Note: You need to have the HSQLDB server running before you
        can open the DatabaseManager.

C:javahsqldb>java -cp ./lib/hsqldb.jar org.hsqldb.util.DatabaseManager




This will spawn a new window as shown:
6

Select “HSQL Database Engine Server” and click “Ok”. Now you should have the following
window opened, where you can type in your SQL and execute it by clicking on the “Execute”
button. The results will be shown at the bottom. You can clear the “SQL” with the “Clear”
button.




         Let’s try executing the following SQL, which creates a table named “Course” and
         inserts some values and then select those values.

create table Course (course_id integer, name varchar, course varchar, PRIMARY KEY (course_id));

insert into Course values (1,'Sam', 'Java');
insert into Course values (2,'peter', 'J2EE');
insert into Course values (3,'paul', 'JSF');
insert into Course values (4,'jonathan', 'Hibernate');
insert into Course values (5,'james', 'Spring');

select * from Course;

Copy and paste the above SQL into where it says --type your SQL here -- and press the “Execute”
button to see the results as shown below:




Note: After executing select View    “Refresh Tree” from the menu to see the “COURSE” on the left
window. Also note the files generated under c:javahsqldb.

Note: The syntax for these files are <databasename>.properties, < databasename>.lck etc. Since we
have not specified any database name, it defaults to “test”. Refer HSQL documentation for starting the
server with database name. e.g. java -cp ./lib/hsqldb.jar org.hsqldb.Server -database.0 file:mydb -
dbname.0 xdb, where xdb is the alias.

Note: To persist your data from memory to “test.script”, you need to execute the SHUTDOWN SQL
command as shown below.
7




Now you should have the “test.script” file created under “C:javahsqldb”.




That’s all to it on HSQL. Let’s now move on to Hibernate. As said before this is the continuation of
tutorial 1 at http://www.lulu.com/content/1080910. So you should have the java project
“simple” under c:tutorials.

You need to start the HSQLDB server again:

C:javahsqldb>java -cp ./lib/hsqldb.jar org.hsqldb.Server

Also open up the DatabaseManager:

C:javahsqldb>java -cp ./lib/hsqldb.jar org.hsqldb.util.DatabaseManager


Firstly, we will set up the maven related pom.xml file configurations:

         Open your eclipse with the workspace “C:javaeclipse-tutorial-workspace”.

         Create a “resources” folder under “simple/src/main”

         Run the following maven command from a new command prompt:

         C:tutorialssimple>mvn eclipse:clean eclipse:eclipse

         Refresh the “simple” project in eclipse. Now create a java package named “com.mytutorial”
         under “simple/src/main/resources”.

Your eclipse workbench should look something like:
8




Open the “pom.xml” file under “simple” to add dependencies like Hibernate and HSQLDB java
driver. Add the following in bold. To learn how to identify dependency library coordinates refer
Tutorial 3 on “JSF, Maven and Eclipse” from http://www.lulu.com/content/1080910.

<project xmlns="http://maven.apache.org/POM/4.0.0"
         xmlns:xsi="http://www.w3.org/2001/XMLSchema-instance"
         xsi:schemaLocation="http://maven.apache.org/POM/4.0.0
         http://maven.apache.org/maven-v4_0_0.xsd">

         <modelVersion>4.0.0</modelVersion>
         <groupId>com.mytutorial</groupId>
         <artifactId>simple</artifactId>
         <packaging>jar</packaging>
         <version>1.0-SNAPSHOT</version>
         <name>simple</name>
         <url>http://maven.apache.org</url>

         <dependencies>
                <dependency>                                 Hibernate library and its
                        <groupId>junit</groupId>             transitive dependencies. I.e.
                        <artifactId>junit</artifactId>       Maven will look at Hibernate’s
                        <version>3.8.1</version>             .pom file and bring in all its
                        <scope>test</scope>                  dependency jars. That’s power
                </dependency>                                of Maven.
                  <dependency>
                         <groupId>org.hibernate</groupId>
                         <artifactId>hibernate</artifactId>
                         <version>3.2.4.ga</version>
                  </dependency>

                  <dependency>
                         <groupId>hsqldb</groupId>             HSQL database JDBC driver
                         <artifactId>hsqldb</artifactId>
                         <version>1.8.0.7</version>
                  </dependency>

         </dependencies>                                 In maven everything is done
                                                         through plug-ins. This is the
         <build>                                         maven java compiler plugin. I am
            <pluginManagement>                           using Java 5 (i.e. JDK 1.5)
                   <plugins>
                         <plugin>
                           <groupId>org.apache.maven.plugins</groupId>
                           <artifactId>maven-compiler-plugin</artifactId>
                           <version>2.0.2</version>
                           <configuration>
                                  <source>1.5</source>
9
                                    <target>1.5</target>
                             </configuration>
                           </plugin>
                    </plugins>          By default Maven2 looks into your local repository
           </pluginManagement>          c:java.m2repository and its default remote
         </build>                       repository http://repo1.maven.org/maven2/. One
                                        of hibernate’s dependency jars “jta-1.0.1B.jar” is
                                        only available at Java Dev repository at
                                      http://download.java.net/maven/2/, so we define
         <repositories>               that.
                 <repository>
                         <id>maven-repository.dev.java.net</id>
                         <name>Java Dev Net Repository</name>
                         <url>http://download.java.net/maven/2/</url>
                         <releases>
                                  <enabled>true</enabled>
                                  <updatePolicy>never</updatePolicy>
                         </releases>
                         <snapshots>
                                  <enabled>false</enabled>
                         </snapshots>
                 </repository>
         </repositories>

</project>

Note: You can add any number of repositories and Maven 2 will look through them one by one
(including local repository c:java.m2repository & http://repo1.maven.org/maven2/) until the
dependent jar file is found.




After adding the above dependencies remember to save the “pom.xml” and run the following
command from the previously opened command prompt to construct the eclipse build path with
dependency jars.

C:tutorialssimple>mvn eclipse:clean eclipse:eclipse
10




You can open the properties window on “simple” project by right clicking and selecting
“properties”. You can see the jar files for hibernate and its dependency jars like asm, cgilib,
ehcache etc based on hibernate’s *.pom file where dependencies are defined. Open
hibernate’s pom file shown below and check the dependencies. Also you can find the hsqldb
java driver.
11




Next we will move on to creating some java classes and interfaces under
“simple/src/main/java/com/mytutorial”.

    Let’s create the java domain class “Course.java” under
    “simple/src/main/java/com/mytutorial”, which gets mapped to the table “Course”. For
    example the Course table looks like:




package com.mytutorial;

public class Course {

    private Long id;
    private String name;
    private String course;
}

Right click on “Course.java” and select “Source” and then “Generate Getters and Setters” to
generate getters/setters.
12




The “Course.java” should look like

package com.mytutorial;

public class Course {

         private Long id;
         private String name;
         private String course;
         public Long getId() {
                   return id;
         }
         public void setId(Long id) {
                   this.id = id;
         }
         public String getName() {
                   return name;
         }
         public void setName(String name) {
                   this.name = name;
         }
         public String getCourse() {
                   return course;
         }
13
         public void setCourse(String course) {
                  this.course = course;
         }
}




         No we need to create the Hibernate mapping file “Course.hbm.xml” under
         “simple/src/main/resources/com/mytutorial” to map the domain class “Course.java” to the
         HSQL database table “Course”.

<?xml version="1.0"?>
<!DOCTYPE hibernate-mapping PUBLIC
    "-//Hibernate/Hibernate Mapping DTD 3.0//EN"
    "http://hibernate.sourceforge.net/hibernate-mapping-3.0.dtd">

<hibernate-mapping>                                                  Mapping of domain class
                                                                     “Course.java” to the HSQL
    <class name="com.mytutorial.Course" table="Course">              DB table “Course”
      <id name="id" column="course_id">
         <generator class="native"/>
      </id>

       <property name="name" column="name"/>
       <property name="course" column="course"/>
    </class>

</hibernate-mapping>
14




Remember to save the “Course.hbm.xml”.

         Next step is to create the Hibernate configuration file “hibernate.cfg.xml” under
         “simple/src/main/resources/”. To configure the HSQL database connection details, dialect,
         bind the mapping file Course.hbm.xml etc via session factory.




<?xml version='1.0' encoding='utf-8'?>
<!DOCTYPE hibernate-configuration PUBLIC
    "-//Hibernate/Hibernate Configuration DTD 3.0//EN"
    "http://hibernate.sourceforge.net/hibernate-configuration-3.0.dtd">

<hibernate-configuration>

  <session-factory>

     <!-- Database connection settings -->
     <property name="connection.driver_class">org.hsqldb.jdbcDriver</property>
     <property name="connection.url">jdbc:hsqldb:hsql://localhost</property>
     <property name="connection.username">sa</property>
     <property name="connection.password"></property>
15

      <!-- JDBC connection pool (use the built-in) -->
      <property name="connection.pool_size">2</property>

      <!-- SQL dialect -->
      <property name="dialect">org.hibernate.dialect.HSQLDialect</property>

      <!-- Drop and re-create the database schema on start-up, also try with “update” to keep the
                                                               previous values -->
      <property name="hbm2ddl.auto">create</property>

      <!-- Echo all executed SQL to stdout -->
      <property name="show_sql">true</property>

      <mapping resource="com/mytutorial/Course.hbm.xml"/>

    </session-factory>

</hibernate-configuration>

     Next step is to create the Data Access Objects (DAO) and the Business Service classes/interfaces.
     Firstly create an interface CourseDao.java under “simple/src/main/java/com/mytutorial”.

package com.mytutorial;

import java.util.List;

public interface CourseDao {

          public abstract void create(List<Course> listCourses);
          public abstract List findAll( );
}

Now create the DAO implementation class CourseDaoImpl.java under
“simple/src/main/java/com/mytutorial”.
16
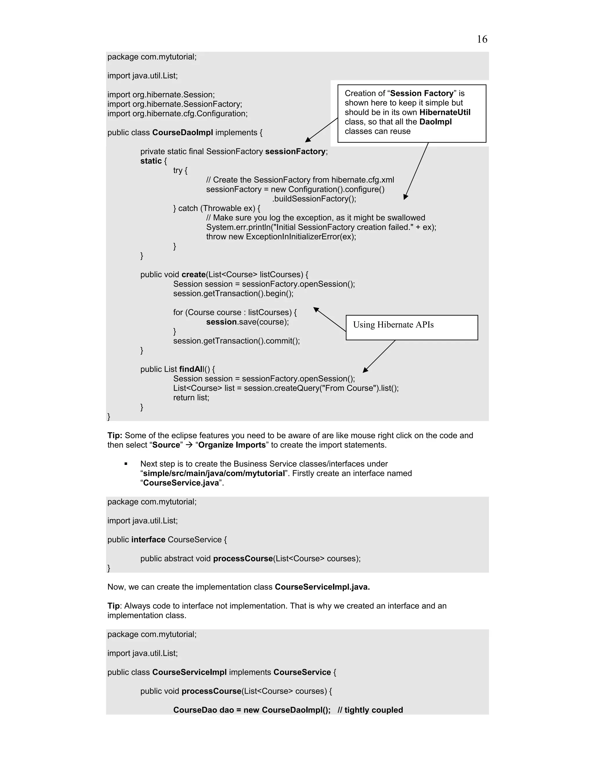
package com.mytutorial;

import java.util.List;

import org.hibernate.Session;                                         Creation of “Session Factory” is
import org.hibernate.SessionFactory;                                  shown here to keep it simple but
import org.hibernate.cfg.Configuration;                               should be in its own HibernateUtil
                                                                      class, so that all the DaoImpl
public class CourseDaoImpl implements {                               classes can reuse

          private static final SessionFactory sessionFactory;
          static {
                    try {
                               // Create the SessionFactory from hibernate.cfg.xml
                               sessionFactory = new Configuration().configure()
                                                  .buildSessionFactory();
                    } catch (Throwable ex) {
                               // Make sure you log the exception, as it might be swallowed
                               System.err.println("Initial SessionFactory creation failed." + ex);
                               throw new ExceptionInInitializerError(ex);
                    }
          }

          public void create(List<Course> listCourses) {
                   Session session = sessionFactory.openSession();
                   session.getTransaction().begin();

                    for (Course course : listCourses) {
                             session.save(course);                       Using Hibernate APIs
                    }
                    session.getTransaction().commit();
          }

          public List findAll() {
                    Session session = sessionFactory.openSession();
                    List<Course> list = session.createQuery("From Course").list();
                    return list;
          }
}

Tip: Some of the eclipse features you need to be aware of are like mouse right click on the code and
then select “Source”    “Organize Imports” to create the import statements.

          Next step is to create the Business Service classes/interfaces under
          “simple/src/main/java/com/mytutorial”. Firstly create an interface named
          “CourseService.java”.

package com.mytutorial;

import java.util.List;

public interface CourseService {

          public abstract void processCourse(List<Course> courses);
}

Now, we can create the implementation class CourseServiceImpl.java.

Tip: Always code to interface not implementation. That is why we created an interface and an
implementation class.

package com.mytutorial;

import java.util.List;

public class CourseServiceImpl implements CourseService {

          public void processCourse(List<Course> courses) {

                    CourseDao dao = new CourseDaoImpl(); // tightly coupled
17
                     dao.create(courses);

                     List<Course> list = dao.findAll();

                     System.out.println("The saved courses are --> " + list);
         }
}

Finally modify our class which has the main method “App.java” under
simple/src/main/java/com/mytutorial.

package com.mytutorial;

import java.util.ArrayList;
import java.util.List;

public class App {

         public static void main(String[] args) {

                     List<Course> courses = new ArrayList<Course>(10);

                     Course c1 = new Course();
                     c1.setName("John");
                     c1.setCourse("Java");

                     courses.add(c1);

                     Course c2 = new Course();
                     c2.setName("Peter");
                     c2.setCourse("Hibernate");

                     courses.add(c2);

                     CourseService service = new CourseServiceImpl(); // tightly coupled
                     service.processCourse(courses);
         }
}

Now you should have all the source code required to run the App.java.




         Now run the App.java by right clicking and “Run As”         “Java Application”. You should get an
         output of:
18
Hibernate: insert into Course (name, course, course_id) values (?, ?, ?)
Hibernate: call identity()
Hibernate: insert into Course (name, course, course_id) values (?, ?, ?)
Hibernate: call identity()
Hibernate: select course0_.course_id as course1_0_, course0_.name as name0_, course0_.course
as course0_ from Course course0_
The saved courses are --> [com.mytutorial.Course@145c859, com.mytutorial.Course@64883c]


Tip: Why are we getting   com.mytutorial.Course@145c859? Because we do not have a toString()
method in Course.java. Let’s go and add a toString() method and try again.

    @Override
    public String toString() {
              return new StringBuffer().append("id=" + id).append(",name=" + name)
                                .append(",course=" + course).toString();
    }

The whole class should look like:

       package com.mytutorial;

       public class Course {

               private Long id;
               private String name;
               private String course;

               public Long getId() {
                        return id;
               }

               public void setId(Long id) {
                        this.id = id;
               }

               public String getName() {
                         return name;
               }

               public void setName(String name) {
                        this.name = name;
               }

               public String getCourse() {
                         return course;
               }

               public void setCourse(String course) {
                        this.course = course;
               }

               @Override
               public String toString() {
                       return new StringBuffer().append("id=" + id).append(",name=" + name)
                                          .append(",course=" + course).toString();
               }
   }

Now run the App.java again and you should get an output:

Hibernate: insert into Course (name, course, course_id) values (?, ?, ?)
Hibernate: call identity()
Hibernate: insert into Course (name, course, course_id) values (?, ?, ?)
Hibernate: call identity()
Hibernate: select course0_.course_id as course1_0_, course0_.name as name0_, course0_.course
as course0_ from Course course0_
The saved courses are --> [id=1,name=John,course=Java,
id=2,name=Peter,course=Hibernate]
19




   That’s all to it.




         You can find some fundamental Questions & Answers relating to Hibernate/Spring under
         “Emerging technologies/framework” section in Java/J2EE Job Interview Companion
                            http://www.lulu.com/content/192463




Please feel free to email any errors to java-interview@hotmail.com. Also stay tuned at
    http://www.lulu.com/java-success for more tutorials and Java/J2EE interview
                                        resources.
20
Tutorial 5 – Spring, Hibernate, Maven and Eclipse

It has been good so far that we followed the “code to interface not implementation” design
principle. For example:

In CourseServiceImpl.java:

CourseDao dao = new CourseDaoImpl(); // tightly coupled

In App.java:

CourseService service = new CourseServiceImpl(); // tightly coupled


Why it is tightly coupled? If you have above code snippet scattered across a number of places
throughout your code and if you want to change the implementation class for example
“CourseServiceImpl.java” to say “AdvancedCourseServiceImpl.java” then you need to change your
code in number of places with the following code.

CourseService service = new AdvancedCourseServiceImpl (); // tightly coupled

Q. How to improve on this by more loosely coupling? One way to do this is to introduce
the “factory design pattern” where your implementation gets assigned inside a factory class.
So, if you need to change the implementation, you just change it inside the factory class. With
this approach you may end up having so many factory classes in your whole application.
Alternatively we can use “Dependency Injection” (DI) using an “Inversion Of Control” (IOC)
container like Spring.

In this tutorial, we will Spring enable the code we generated in Tutorial 4. So this is a
continuation of Tutorial 4.

        Firstly add the Spring framework dependency to the pom.xml file under the project
        “simple” by looking up the coordinates at maven repository.




    After adding the Spring dependency, your pom.xml file should look like:

    <project xmlns="http://maven.apache.org/POM/4.0.0"
        xmlns:xsi="http://www.w3.org/2001/XMLSchema-instance"
        xsi:schemaLocation="http://maven.apache.org/POM/4.0.0
        http://maven.apache.org/maven-v4_0_0.xsd">

        <modelVersion>4.0.0</modelVersion>
        <groupId>com.mytutorial</groupId>
        <artifactId>simple</artifactId>
        <packaging>jar</packaging>
        <version>1.0-SNAPSHOT</version>
        <name>simple</name>
        <url>http://maven.apache.org</url>
        <dependencies>
21
             <dependency>
                     <groupId>junit</groupId>
                     <artifactId>junit</artifactId>
                     <version>3.8.1</version>
                     <scope>test</scope>
             </dependency>

             <dependency>
                     <groupId>org.hibernate</groupId>
                     <artifactId>hibernate</artifactId>
                     <version>3.2.4.ga</version>
             </dependency>

             <dependency>
                     <groupId>hsqldb</groupId>
                     <artifactId>hsqldb</artifactId>
                     <version>1.8.0.7</version>
             </dependency>

             <dependency>
                    <groupId>org.springframework</groupId>
                    <artifactId>spring</artifactId>
                    <version>2.0.6</version>
             </dependency>


    </dependencies>

    <build>
        <pluginManagement>
               <plugins>
                      <plugin>
                        <groupId>org.apache.maven.plugins</groupId>
                        <artifactId>maven-compiler-plugin</artifactId>
                        <version>2.0.2</version>
                        <configuration>
                               <source>1.5</source>
                               <target>1.5</target>
                        </configuration>
                      </plugin>
               </plugins>
            </pluginManagement>
     </build>

      <repositories>
             <repository>
                      <id>maven-repository.dev.java.net</id>
                      <name>Java Dev Net Repository</name>
                      <url>http://download.java.net/maven/2/</url>
                      <releases>
                               <enabled>true</enabled>
                               <updatePolicy>never</updatePolicy>
                      </releases>
                      <snapshots>
                               <enabled>false</enabled>
                      </snapshots>
             </repository>
    </repositories>


</project>

After saving this file, run the following maven command in a command prompt.

C:tutorialssimple>mvn eclipse:clean eclipse:eclipse

After executing the above command, if you go back to your eclipse and refresh the project “simple”
and check the eclipse build path dependency and should look like shown below with the Spring jar
added:
22




    Next step is to write Spring configuration file, which wires up your beans. This file is named
    “applicationContext-mytutorial.xml” under “simple/src/main/resources”.

<beans xmlns="http://www.springframework.org/schema/beans"
    xmlns:xsi="http://www.w3.org/2001/XMLSchema-instance"
    xmlns:util="http://www.springframework.org/schema/util"
    xsi:schemaLocation="http://www.springframework.org/schema/beans
    http://www.springframework.org/schema/beans/spring-beans-2.0.xsd
    http://www.springframework.org/schema/util
    http://www.springframework.org/schema/util/spring-util-2.0.xsd">


    <bean id="courseService" class="com.mytutorial.CourseServiceImpl" scope="prototype">
            <property name="courseDao" ref="courseDao" />
    </bean>                                                   Setter injection of dao into
                                                                       service
   Attribute name in
   CourseServiceImpl.java


     <bean id="courseDao" class="com.mytutorial.CourseDaoImpl" scope="prototype" />

</beans>
23

         Next we need to add “courseDao” attribute and the corresponding getter/setter methods inside
         “CourseServiceImpl.java” so that the “courseDao” can be injected using the setter method.

    package com.mytutorial;

    import java.util.List;

    public class CourseServiceImpl implements CourseService {

         private CourseDao courseDao; // attribute name in” applicationContext-mytutorial.xml”


         public CourseDao getCourseDao() {
                 return courseDao;
         }

         public void setCourseDao(CourseDao courseDao) {
                 this.courseDao = courseDao;
         }

         public void processCourse(List<Course> courses) {

                     // CourseDao dao = new CourseDaoImpl();                   Don’t need this, Spring
                     courseDao.create(courses);                                   will inject this.

                     List<Course> list = getCourseDao().findAll();

                     System.out.println("The saved courses are --> " + list);
         }
    }


         Next step is to inject the “courseService” into the App.java class.

package com.mytutorial;

import java.util.ArrayList;
import java.util.List;

import org.springframework.context.ApplicationContext;
import org.springframework.context.support.ClassPathXmlApplicationContext;

public class App {
                                                                    Load the application
 public static void main(String[] args) {                           context file.

         ApplicationContext ctx =
                 new ClassPathXmlApplicationContext("applicationContext-mytutorial.xml");

         List<Course> courses = new ArrayList<Course>(10);

         Course c1 = new Course();
         c1.setName("John");
         c1.setCourse("Java");

         courses.add(c1);

         Course c2 = new Course();
         c2.setName("Peter");
         c2.setCourse("Hibernate");

         courses.add(c2);                                             Don’t need this, Spring
                                                                          will inject this.
         // CourseService service = new CourseServiceImpl();

         CourseService service = (CourseService) ctx.getBean("courseService");
24

             service.processCourse(courses);
                                                                     Inject the “courseService”
    }
}




             Now run the App.java and you should get the same output results as before in Tutorial 4. This
             time with Spring more loosely coupling our classes.

Hibernate: insert into Course (name, course, course_id) values (?, ?, ?)
Hibernate: call identity()
Hibernate: insert into Course (name, course, course_id) values (?, ?, ?)
Hibernate: call identity()
Hibernate: select course0_.course_id as course1_0_, course0_.name as name0_, course0_.course as
course0_ from Course course0_
The saved courses are --> [id=1,name=John,course=Java, id=2,name=Peter,course=Hibernate]


             Spring provides support for Hibernate to improve your code quality . We could also inject the
             sessionFactory using Spring as shown below:


<beans xmlns="http://www.springframework.org/schema/beans"
        xmlns:xsi="http://www.w3.org/2001/XMLSchema-instance"
        xmlns:util="http://www.springframework.org/schema/util"
        xsi:schemaLocation="http://www.springframework.org/schema/beans
        http://www.springframework.org/schema/beans/spring-beans-2.0.xsd
        http://www.springframework.org/schema/util                                   Attribute in
        http://www.springframework.org/schema/util/spring-util-2.0.xsd">             CourseServiceImpl.java

        <bean id="courseService" class="com.mytutorial.CourseServiceImpl" scope="prototype">
             <property name="courseDao" ref="courseDao" />
        </bean>

    <bean id="courseDao" class="com.mytutorial.CourseDaoImpl" scope="prototype">
          <property name="sessionFactory" ref="sessionFactory" />
    </bean>

        <bean id="sessionFactory" class="org.springframework.orm.hibernate3.LocalSessionFactoryBean"
                                                                               scope="singleton">
             <property name="configLocation" value="classpath:hibernate.cfg.xml" />
25
  </bean>

</beans>




Now we need to provide the member variable “sessionFactory” and its setter/getter methods in
“CourseDaoImpl.java” as shown below.

package com.mytutorial;

import java.util.List;

import org.hibernate.Session;
import org.hibernate.SessionFactory;

public class CourseDaoImpl implements CourseDao {

          private SessionFactory sessionFactory = null;
                                                                         Not required, because
                                                                         now done through Spring.
          /**
          private static final SessionFactory sessionFactory;
          static {
                    try {
                               // Create the SessionFactory from hibernate.cfg.xml
                               sessionFactory = new Configuration().configure()
                                                  .buildSessionFactory();
                    } catch (Throwable ex) {
                               // Make sure you log the exception, as it might be swallowed
                               System.err.println("Initial SessionFactory creation failed." + ex);
                               throw new ExceptionInInitializerError(ex);
                    }
          }
          **/
          public void create(List<Course> listCourses) {
                   Session session = sessionFactory.openSession();
                   session.getTransaction().begin();

                    for (Course course : listCourses) {
                             session.save(course);
                    }
                    session.getTransaction().commit();
          }

          public List findAll() {
                    Session session = sessionFactory.openSession();
                    List<Course> list = session.createQuery("From Course").list();
                    return list;
          }
26

        public SessionFactory getSessionFactory() {                  Spring will inject invoking
                return sessionFactory;                               this method
        }

        public void setSessionFactory(SessionFactory sessionFactory) {
                this.sessionFactory = sessionFactory;
        }
}




        Spring provides template support (e.g. JdbcTemplate, HibernateTemplate, JmsTempalte etc)
        to minimise the amount of code you have to write. Let’s look at a simplified example using
        “HibernateTemplateSupport” in “CourseDaoImpl.java”

package com.mytutorial;

import java.util.List;
import org.hibernate.SessionFactory;
import org.springframework.orm.hibernate3.HibernateTemplate;

public class CourseDaoImpl implements CourseDao {

        private SessionFactory sessionFactory = null;

        public void create(List<Course> listCourses) {
                 HibernateTemplate ht = new HibernateTemplate(sessionFactory);

                for (Course course : listCourses) {
                         ht.save(course);
                }                                         Less code with “HibernateTemplate”
        }

        public List findAll() {
                  HibernateTemplate ht = new HibernateTemplate(sessionFactory);
                  return ht.find("From Course");
        }
27

        public SessionFactory getSessionFactory() {
                 return sessionFactory;
        }

        public void setSessionFactory(SessionFactory sessionFactory) {
                 this.sessionFactory = sessionFactory;
        }
}




        Try running the App.java again and you should get the same results with a more simplified (i.e.
        less) code. But your data will not be committed to the database because we have not added
        the Transaction Support (By default “autoCommit” is set to false). Let’s add the declarative
        transaction support to the service layer i.e. the CourseService. Unlike in the Tutorial-4 where
        transaction was done via code like “session.getTransaction().begin();” We need to make the
        following changes to enable declarative transaction demarcation via Spring.

applicationContext-mytutorial.xml

<beans xmlns="http://www.springframework.org/schema/beans"
        xmlns:xsi="http://www.w3.org/2001/XMLSchema-instance"
        xmlns:util="http://www.springframework.org/schema/util"
        xsi:schemaLocation="http://www.springframework.org/schema/beans
        http://www.springframework.org/schema/beans/spring-beans-2.0.xsd
        http://www.springframework.org/schema/util
        http://www.springframework.org/schema/util/spring-util-2.0.xsd">

        <bean id="courseService" parent="txnProxyTemplate" >
                <property name="target">
                         <bean class="com.mytutorial.CourseServiceImpl" scope="prototype">
                                 <property name="courseDao" ref="courseDao" />
                         </bean>
                </property>
        </bean>
28
       <bean id="courseDao" class="com.mytutorial.CourseDaoImpl" scope="prototype">
               <property name="sessionFactory" ref="sessionFactory" />
       </bean>

       <bean id="transactionManager"
           class="org.springframework.orm.hibernate3.HibernateTransactionManager">
                <property name="sessionFactory">
                         <ref bean="sessionFactory" />
                </property>
       </bean>

       <bean id="txnProxyTemplate" abstract="true"
              class="org.springframework.transaction.interceptor.TransactionProxyFactoryBean">
                <property name="transactionManager">
                         <ref bean="transactionManager" />
                </property>
                <property name="transactionAttributes">
                         <props>
                              <prop key="*">PROPAGATION_REQUIRED</prop>
                         </props>
                </property>

       </bean>

       <bean id="sessionFactory"
                   class="org.springframework.orm.hibernate3.LocalSessionFactoryBean"
                   scope="singleton">
               <property name="configLocation" value="classpath:hibernate.cfg.xml" />
       </bean>

</beans>
29

CourseDaoImpl.java
package com.mytutorial;

import java.util.List;

import org.springframework.orm.hibernate3.HibernateTemplate;
import
org.springframework.orm.hibernate3.support.HibernateDaoSupport;

public class CourseDaoImpl extends HibernateDaoSupport implements
                                             CourseDao {

      public void create(List<Course> listCourses) {
            HibernateTemplate ht = getHibernateTemplate();
            for (Course course : listCourses) {
                  ht.save(course);
            }
      }

      public List findAll() {
            HibernateTemplate ht = getHibernateTemplate();
            return ht.find("From Course");
      }

}




CourseServiceImpl.java
package com.mytutorial;

import java.util.List;

public class CourseServiceImpl implements CourseService {

      private CourseDao courseDao;
30
         public CourseDao getCourseDao() {
               return courseDao;
         }

         public void setCourseDao(CourseDao courseDao) {
               this.courseDao = courseDao;
         }

         public void processCourse(List<Course> courses) {

                  // CourseDao dao = new CourseDaoImpl();
                  courseDao.create(courses);

                  List<Course> list = getCourseDao().findAll();

                  System.out.println("The courses are --> " + list);
         }
}




Now try running the App.java again and the data should be committed into the database and should be
able to query the values using the DatabaseManager.

Note: Spring uses AOP for its transaction demarcation. Let’s look at a simple example in the next
tutorial how to use Spring AOP in your application.




         You can find some fundamental Questions & Answers relating to Hibernate/Spring under
        “Emerging technologies/framework” section in Java/J2EE Job Interview Companion at
                                  http://www.lulu.com/content/192463
31
Tutorial 6 – Spring AOP

Finally let’s look at Spring’s support for Aspect Oriented Programming (AOP). We will do a simplified
example. Firstly create an “Advice” to print “Just before method call...” before a method executes for
all our service classes (e.g. CourseServiceImpl.java) with the method starting with processXXXXXX.


         Create an Advice named “TracingBeforeAdvice.java” that gets executed before a method
         call.


package com.mytutorial;

import java.lang.reflect.Method;

import org.springframework.aop.MethodBeforeAdvice;

public class TracingBeforeAdvice implements MethodBeforeAdvice {

         public void before(Method method, Object[] args, Object target)
                            throws Throwable {
                  System.out.println("Just before method call...");
         }

}




         Now we need to wire up this advice via “applicationContext-mytutorial.xml”.

<beans xmlns="http://www.springframework.org/schema/beans"
         xmlns:xsi="http://www.w3.org/2001/XMLSchema-instance"
         xmlns:util="http://www.springframework.org/schema/util"
         xsi:schemaLocation="http://www.springframework.org/schema/beans
         http://www.springframework.org/schema/beans/spring-beans-2.0.xsd
         http://www.springframework.org/schema/util
         http://www.springframework.org/schema/util/spring-util-2.0.xsd">

         <bean id="courseService" parent="txnProxyTemplate" >
                  <property name="target">
                            <bean class="com.mytutorial.CourseServiceImpl"        scope="prototype">
                                     <property name="courseDao" ref="courseDao" />
                            </bean>
                  </property>

                  <property name="preInterceptors">
                          <list>
32
                                 <ref bean="traceBeforeAdvisor" />
                              </list>
                     </property>
           </bean>

           <bean id="courseDao" class="com.mytutorial.CourseDaoImpl" scope="prototype">
                    <property name="sessionFactory" ref="sessionFactory" />
           </bean>


           <bean id="transactionManager"
                       class="org.springframework.orm.hibernate3.HibernateTransactionManager">
                    <property name="sessionFactory">
                              <ref bean="sessionFactory" />
                    </property>
           </bean>

           <bean id="txnProxyTemplate" abstract="true"
                         class="org.springframework.transaction.interceptor.TransactionProxyFactoryBean">
                    <property name="transactionManager">
                              <ref bean="transactionManager" />
                    </property>
                    <property name="transactionAttributes">
                              <props>
                                        <prop key="*">PROPAGATION_REQUIRED</prop>
                              </props>
                    </property>

           </bean>

           <bean id="sessionFactory" class="org.springframework.orm.hibernate3.LocalSessionFactoryBean"
                    scope="singleton">
                    <property name="configLocation"
                             value="classpath:hibernate.cfg.xml" />
           </bean>

           <!-- Advice classes -->
           <bean id="tracingBeforeAdvice" class="com.mytutorial.TracingBeforeAdvice" />

           <!-- Advisor: way to associate advice beans with pointcuts -->
           <!-- pointcut definition for before method call advice -->
           <bean id="traceBeforeAdvisor"
                           class="org.springframework.aop.support.RegexpMethodPointcutAdvisor">
                     <property name="advice">
                               <ref local="tracingBeforeAdvice" />
                     </property>
                     <property name="pattern">
                               <value>.*.process.*</value>
                     </property>
           </bean>

</beans>
33




           Now, run the App.java and you should get the output as follows:

Just before method call...
Hibernate: insert into Course (name, course, course_id) values (?, ?, ?)
Hibernate: call identity()
Hibernate: insert into Course (name, course, course_id) values (?, ?, ?)
Hibernate: call identity()
Hibernate: select course0_.course_id as course1_0_, course0_.name as name0_, course0_.course as
course0_ from Course course0_
The saved courses are --> [id=1,name=John,course=Java, id=2,name=Peter,course=Hibernate]


That’s all to it.




           You can find some fundamental Questions & Answers relating to Hibernate/Spring under
          “Emerging technologies/framework” section in Java/J2EE Job Interview Companion at
                                   http://www.lulu.com/content/192463




Please feel free to email any errors to java-interview@hotmail.com. Also stay tuned at
    http://www.lulu.com/java-success for more tutorials and Java/J2EE interview
                                        resources.

Hibernate, Spring, Eclipse, HSQL Database & Maven tutorial

  • 1.
    1 The authorhas made every effort in the preparation of this book to ensure the accuracy of the information. However, information in this book is sold without warranty either expressed or implied. The author will not be held liable for any damages caused or alleged to be caused either directly or indirectly by this book. Hibernate, Spring, Eclipse, HSQL Database & Maven tutorial Hibernate is a very popular ORM (Object to Relational Mapping) tool and Spring is a very popular IOC (Inversion Of Control) container with support for AOP, Hibernate etc. by K. Arulkumaran & A. Sivayini Website: http://www.lulu.com/java-success Feedback email: java-interview@hotmail.com
  • 2.
    2 Table Of Contents Notations ..................................................................................................................... 3 Tutorial 4 – Hibernate, HSQL Database, Maven and Eclipse ........................ 4 Tutorial 5 – Spring, Hibernate, Maven and Eclipse........................................ 20 Tutorial 6 – Spring AOP......................................................................................... 31
  • 3.
    3 Notations Command prompt: Eclipse: File Explorer or Windows Explorer: Internet Explorer:
  • 4.
    4 Tutorial 4 –Hibernate, HSQL Database, Maven and Eclipse This tutorial assumes that you are familiar with Java, Eclipse and Maven. If not please refer Tutorials 1-3 at http://www.lulu.com/content/1080910. This tutorial is a continuation of Tutorial 1 (Java, Eclipse and Maven). Hibernate is an ORM (Object to Relational Mapping) tool, so we need a relational database. To keep things simple, I will be using HypersonicSQL (aka HSQL) database, which is easy to use. This is an open source database, which can be found at http://hsqldb.sourceforge.net/. Also check http://hsqldb.org. The three types of persistent tables are MEMORY tables, CACHED tables and TEXT tables. I will be using the default MEMORY tables where data is held entirely in memory but any change to their structure or contents is written to the <dbname>.script file. The script file is read the next time the database is opened, and the MEMORY tables are recreated with all their contents. So MEMORY tables are persistent. It is important to remember that the data in memory is written to the <dbname>.script file when you shutdown your database properly/naturally by executing SQL “SHUTDOWN (COMPACT | IMMEDIATELY”. The saved <dbname.script> file will load the data into memory the next time the HSQLDB server starts up. But if you stop the HSQLDB server abruptly in the command line by pressing [Ctrl] + [C] the data will not be written to the script file and consequently lost. Refer documentation for CACHED & TEXT tables. Install HSQL database into c:java folder from http://hsqldb.sourceforge.net/. Download the hsqldb_1_8_0_7.zip and unpack it into your c:/java folder.
  • 5.
    5 Start the HSQL database server by executing the following command in a command prompt as shown below: C:javahsqldb>java -cp ./lib/hsqldb.jar org.hsqldb.Server Since I have not given any database name and or alias (refer HSQLDB document and/or type C:javahsqldb>java -cp ./lib/hsqldb.jar org.hsqldb.Server -? For more details), it defaults to “test” as the database name & alias. After starting the HSHQL database server the following files are created under “C:javahsqldb” test.lck, test.log, test.properties. Open up another command prompt and start the DatabaseManager, with which you can execute SQLs. If you are new to SQL, then this is handy to practice and gain some SQL skills. Note: You need to have the HSQLDB server running before you can open the DatabaseManager. C:javahsqldb>java -cp ./lib/hsqldb.jar org.hsqldb.util.DatabaseManager This will spawn a new window as shown:
  • 6.
    6 Select “HSQL DatabaseEngine Server” and click “Ok”. Now you should have the following window opened, where you can type in your SQL and execute it by clicking on the “Execute” button. The results will be shown at the bottom. You can clear the “SQL” with the “Clear” button. Let’s try executing the following SQL, which creates a table named “Course” and inserts some values and then select those values. create table Course (course_id integer, name varchar, course varchar, PRIMARY KEY (course_id)); insert into Course values (1,'Sam', 'Java'); insert into Course values (2,'peter', 'J2EE'); insert into Course values (3,'paul', 'JSF'); insert into Course values (4,'jonathan', 'Hibernate'); insert into Course values (5,'james', 'Spring'); select * from Course; Copy and paste the above SQL into where it says --type your SQL here -- and press the “Execute” button to see the results as shown below: Note: After executing select View “Refresh Tree” from the menu to see the “COURSE” on the left window. Also note the files generated under c:javahsqldb. Note: The syntax for these files are <databasename>.properties, < databasename>.lck etc. Since we have not specified any database name, it defaults to “test”. Refer HSQL documentation for starting the server with database name. e.g. java -cp ./lib/hsqldb.jar org.hsqldb.Server -database.0 file:mydb - dbname.0 xdb, where xdb is the alias. Note: To persist your data from memory to “test.script”, you need to execute the SHUTDOWN SQL command as shown below.
  • 7.
    7 Now you shouldhave the “test.script” file created under “C:javahsqldb”. That’s all to it on HSQL. Let’s now move on to Hibernate. As said before this is the continuation of tutorial 1 at http://www.lulu.com/content/1080910. So you should have the java project “simple” under c:tutorials. You need to start the HSQLDB server again: C:javahsqldb>java -cp ./lib/hsqldb.jar org.hsqldb.Server Also open up the DatabaseManager: C:javahsqldb>java -cp ./lib/hsqldb.jar org.hsqldb.util.DatabaseManager Firstly, we will set up the maven related pom.xml file configurations: Open your eclipse with the workspace “C:javaeclipse-tutorial-workspace”. Create a “resources” folder under “simple/src/main” Run the following maven command from a new command prompt: C:tutorialssimple>mvn eclipse:clean eclipse:eclipse Refresh the “simple” project in eclipse. Now create a java package named “com.mytutorial” under “simple/src/main/resources”. Your eclipse workbench should look something like:
  • 8.
    8 Open the “pom.xml”file under “simple” to add dependencies like Hibernate and HSQLDB java driver. Add the following in bold. To learn how to identify dependency library coordinates refer Tutorial 3 on “JSF, Maven and Eclipse” from http://www.lulu.com/content/1080910. <project xmlns="http://maven.apache.org/POM/4.0.0" xmlns:xsi="http://www.w3.org/2001/XMLSchema-instance" xsi:schemaLocation="http://maven.apache.org/POM/4.0.0 http://maven.apache.org/maven-v4_0_0.xsd"> <modelVersion>4.0.0</modelVersion> <groupId>com.mytutorial</groupId> <artifactId>simple</artifactId> <packaging>jar</packaging> <version>1.0-SNAPSHOT</version> <name>simple</name> <url>http://maven.apache.org</url> <dependencies> <dependency> Hibernate library and its <groupId>junit</groupId> transitive dependencies. I.e. <artifactId>junit</artifactId> Maven will look at Hibernate’s <version>3.8.1</version> .pom file and bring in all its <scope>test</scope> dependency jars. That’s power </dependency> of Maven. <dependency> <groupId>org.hibernate</groupId> <artifactId>hibernate</artifactId> <version>3.2.4.ga</version> </dependency> <dependency> <groupId>hsqldb</groupId> HSQL database JDBC driver <artifactId>hsqldb</artifactId> <version>1.8.0.7</version> </dependency> </dependencies> In maven everything is done through plug-ins. This is the <build> maven java compiler plugin. I am <pluginManagement> using Java 5 (i.e. JDK 1.5) <plugins> <plugin> <groupId>org.apache.maven.plugins</groupId> <artifactId>maven-compiler-plugin</artifactId> <version>2.0.2</version> <configuration> <source>1.5</source>
  • 9.
    9 <target>1.5</target> </configuration> </plugin> </plugins> By default Maven2 looks into your local repository </pluginManagement> c:java.m2repository and its default remote </build> repository http://repo1.maven.org/maven2/. One of hibernate’s dependency jars “jta-1.0.1B.jar” is only available at Java Dev repository at http://download.java.net/maven/2/, so we define <repositories> that. <repository> <id>maven-repository.dev.java.net</id> <name>Java Dev Net Repository</name> <url>http://download.java.net/maven/2/</url> <releases> <enabled>true</enabled> <updatePolicy>never</updatePolicy> </releases> <snapshots> <enabled>false</enabled> </snapshots> </repository> </repositories> </project> Note: You can add any number of repositories and Maven 2 will look through them one by one (including local repository c:java.m2repository & http://repo1.maven.org/maven2/) until the dependent jar file is found. After adding the above dependencies remember to save the “pom.xml” and run the following command from the previously opened command prompt to construct the eclipse build path with dependency jars. C:tutorialssimple>mvn eclipse:clean eclipse:eclipse
  • 10.
    10 You can openthe properties window on “simple” project by right clicking and selecting “properties”. You can see the jar files for hibernate and its dependency jars like asm, cgilib, ehcache etc based on hibernate’s *.pom file where dependencies are defined. Open hibernate’s pom file shown below and check the dependencies. Also you can find the hsqldb java driver.
  • 11.
    11 Next we willmove on to creating some java classes and interfaces under “simple/src/main/java/com/mytutorial”. Let’s create the java domain class “Course.java” under “simple/src/main/java/com/mytutorial”, which gets mapped to the table “Course”. For example the Course table looks like: package com.mytutorial; public class Course { private Long id; private String name; private String course; } Right click on “Course.java” and select “Source” and then “Generate Getters and Setters” to generate getters/setters.
  • 12.
    12 The “Course.java” shouldlook like package com.mytutorial; public class Course { private Long id; private String name; private String course; public Long getId() { return id; } public void setId(Long id) { this.id = id; } public String getName() { return name; } public void setName(String name) { this.name = name; } public String getCourse() { return course; }
  • 13.
    13 public void setCourse(String course) { this.course = course; } } No we need to create the Hibernate mapping file “Course.hbm.xml” under “simple/src/main/resources/com/mytutorial” to map the domain class “Course.java” to the HSQL database table “Course”. <?xml version="1.0"?> <!DOCTYPE hibernate-mapping PUBLIC "-//Hibernate/Hibernate Mapping DTD 3.0//EN" "http://hibernate.sourceforge.net/hibernate-mapping-3.0.dtd"> <hibernate-mapping> Mapping of domain class “Course.java” to the HSQL <class name="com.mytutorial.Course" table="Course"> DB table “Course” <id name="id" column="course_id"> <generator class="native"/> </id> <property name="name" column="name"/> <property name="course" column="course"/> </class> </hibernate-mapping>
  • 14.
    14 Remember to savethe “Course.hbm.xml”. Next step is to create the Hibernate configuration file “hibernate.cfg.xml” under “simple/src/main/resources/”. To configure the HSQL database connection details, dialect, bind the mapping file Course.hbm.xml etc via session factory. <?xml version='1.0' encoding='utf-8'?> <!DOCTYPE hibernate-configuration PUBLIC "-//Hibernate/Hibernate Configuration DTD 3.0//EN" "http://hibernate.sourceforge.net/hibernate-configuration-3.0.dtd"> <hibernate-configuration> <session-factory> <!-- Database connection settings --> <property name="connection.driver_class">org.hsqldb.jdbcDriver</property> <property name="connection.url">jdbc:hsqldb:hsql://localhost</property> <property name="connection.username">sa</property> <property name="connection.password"></property>
  • 15.
    15 <!-- JDBC connection pool (use the built-in) --> <property name="connection.pool_size">2</property> <!-- SQL dialect --> <property name="dialect">org.hibernate.dialect.HSQLDialect</property> <!-- Drop and re-create the database schema on start-up, also try with “update” to keep the previous values --> <property name="hbm2ddl.auto">create</property> <!-- Echo all executed SQL to stdout --> <property name="show_sql">true</property> <mapping resource="com/mytutorial/Course.hbm.xml"/> </session-factory> </hibernate-configuration> Next step is to create the Data Access Objects (DAO) and the Business Service classes/interfaces. Firstly create an interface CourseDao.java under “simple/src/main/java/com/mytutorial”. package com.mytutorial; import java.util.List; public interface CourseDao { public abstract void create(List<Course> listCourses); public abstract List findAll( ); } Now create the DAO implementation class CourseDaoImpl.java under “simple/src/main/java/com/mytutorial”.
  • 16.
    16 package com.mytutorial; import java.util.List; importorg.hibernate.Session; Creation of “Session Factory” is import org.hibernate.SessionFactory; shown here to keep it simple but import org.hibernate.cfg.Configuration; should be in its own HibernateUtil class, so that all the DaoImpl public class CourseDaoImpl implements { classes can reuse private static final SessionFactory sessionFactory; static { try { // Create the SessionFactory from hibernate.cfg.xml sessionFactory = new Configuration().configure() .buildSessionFactory(); } catch (Throwable ex) { // Make sure you log the exception, as it might be swallowed System.err.println("Initial SessionFactory creation failed." + ex); throw new ExceptionInInitializerError(ex); } } public void create(List<Course> listCourses) { Session session = sessionFactory.openSession(); session.getTransaction().begin(); for (Course course : listCourses) { session.save(course); Using Hibernate APIs } session.getTransaction().commit(); } public List findAll() { Session session = sessionFactory.openSession(); List<Course> list = session.createQuery("From Course").list(); return list; } } Tip: Some of the eclipse features you need to be aware of are like mouse right click on the code and then select “Source” “Organize Imports” to create the import statements. Next step is to create the Business Service classes/interfaces under “simple/src/main/java/com/mytutorial”. Firstly create an interface named “CourseService.java”. package com.mytutorial; import java.util.List; public interface CourseService { public abstract void processCourse(List<Course> courses); } Now, we can create the implementation class CourseServiceImpl.java. Tip: Always code to interface not implementation. That is why we created an interface and an implementation class. package com.mytutorial; import java.util.List; public class CourseServiceImpl implements CourseService { public void processCourse(List<Course> courses) { CourseDao dao = new CourseDaoImpl(); // tightly coupled
  • 17.
    17 dao.create(courses); List<Course> list = dao.findAll(); System.out.println("The saved courses are --> " + list); } } Finally modify our class which has the main method “App.java” under simple/src/main/java/com/mytutorial. package com.mytutorial; import java.util.ArrayList; import java.util.List; public class App { public static void main(String[] args) { List<Course> courses = new ArrayList<Course>(10); Course c1 = new Course(); c1.setName("John"); c1.setCourse("Java"); courses.add(c1); Course c2 = new Course(); c2.setName("Peter"); c2.setCourse("Hibernate"); courses.add(c2); CourseService service = new CourseServiceImpl(); // tightly coupled service.processCourse(courses); } } Now you should have all the source code required to run the App.java. Now run the App.java by right clicking and “Run As” “Java Application”. You should get an output of:
  • 18.
    18 Hibernate: insert intoCourse (name, course, course_id) values (?, ?, ?) Hibernate: call identity() Hibernate: insert into Course (name, course, course_id) values (?, ?, ?) Hibernate: call identity() Hibernate: select course0_.course_id as course1_0_, course0_.name as name0_, course0_.course as course0_ from Course course0_ The saved courses are --> [com.mytutorial.Course@145c859, com.mytutorial.Course@64883c] Tip: Why are we getting com.mytutorial.Course@145c859? Because we do not have a toString() method in Course.java. Let’s go and add a toString() method and try again. @Override public String toString() { return new StringBuffer().append("id=" + id).append(",name=" + name) .append(",course=" + course).toString(); } The whole class should look like: package com.mytutorial; public class Course { private Long id; private String name; private String course; public Long getId() { return id; } public void setId(Long id) { this.id = id; } public String getName() { return name; } public void setName(String name) { this.name = name; } public String getCourse() { return course; } public void setCourse(String course) { this.course = course; } @Override public String toString() { return new StringBuffer().append("id=" + id).append(",name=" + name) .append(",course=" + course).toString(); } } Now run the App.java again and you should get an output: Hibernate: insert into Course (name, course, course_id) values (?, ?, ?) Hibernate: call identity() Hibernate: insert into Course (name, course, course_id) values (?, ?, ?) Hibernate: call identity() Hibernate: select course0_.course_id as course1_0_, course0_.name as name0_, course0_.course as course0_ from Course course0_ The saved courses are --> [id=1,name=John,course=Java, id=2,name=Peter,course=Hibernate]
  • 19.
    19 That’s all to it. You can find some fundamental Questions & Answers relating to Hibernate/Spring under “Emerging technologies/framework” section in Java/J2EE Job Interview Companion http://www.lulu.com/content/192463 Please feel free to email any errors to java-interview@hotmail.com. Also stay tuned at http://www.lulu.com/java-success for more tutorials and Java/J2EE interview resources.
  • 20.
    20 Tutorial 5 –Spring, Hibernate, Maven and Eclipse It has been good so far that we followed the “code to interface not implementation” design principle. For example: In CourseServiceImpl.java: CourseDao dao = new CourseDaoImpl(); // tightly coupled In App.java: CourseService service = new CourseServiceImpl(); // tightly coupled Why it is tightly coupled? If you have above code snippet scattered across a number of places throughout your code and if you want to change the implementation class for example “CourseServiceImpl.java” to say “AdvancedCourseServiceImpl.java” then you need to change your code in number of places with the following code. CourseService service = new AdvancedCourseServiceImpl (); // tightly coupled Q. How to improve on this by more loosely coupling? One way to do this is to introduce the “factory design pattern” where your implementation gets assigned inside a factory class. So, if you need to change the implementation, you just change it inside the factory class. With this approach you may end up having so many factory classes in your whole application. Alternatively we can use “Dependency Injection” (DI) using an “Inversion Of Control” (IOC) container like Spring. In this tutorial, we will Spring enable the code we generated in Tutorial 4. So this is a continuation of Tutorial 4. Firstly add the Spring framework dependency to the pom.xml file under the project “simple” by looking up the coordinates at maven repository. After adding the Spring dependency, your pom.xml file should look like: <project xmlns="http://maven.apache.org/POM/4.0.0" xmlns:xsi="http://www.w3.org/2001/XMLSchema-instance" xsi:schemaLocation="http://maven.apache.org/POM/4.0.0 http://maven.apache.org/maven-v4_0_0.xsd"> <modelVersion>4.0.0</modelVersion> <groupId>com.mytutorial</groupId> <artifactId>simple</artifactId> <packaging>jar</packaging> <version>1.0-SNAPSHOT</version> <name>simple</name> <url>http://maven.apache.org</url> <dependencies>
  • 21.
    21 <dependency> <groupId>junit</groupId> <artifactId>junit</artifactId> <version>3.8.1</version> <scope>test</scope> </dependency> <dependency> <groupId>org.hibernate</groupId> <artifactId>hibernate</artifactId> <version>3.2.4.ga</version> </dependency> <dependency> <groupId>hsqldb</groupId> <artifactId>hsqldb</artifactId> <version>1.8.0.7</version> </dependency> <dependency> <groupId>org.springframework</groupId> <artifactId>spring</artifactId> <version>2.0.6</version> </dependency> </dependencies> <build> <pluginManagement> <plugins> <plugin> <groupId>org.apache.maven.plugins</groupId> <artifactId>maven-compiler-plugin</artifactId> <version>2.0.2</version> <configuration> <source>1.5</source> <target>1.5</target> </configuration> </plugin> </plugins> </pluginManagement> </build> <repositories> <repository> <id>maven-repository.dev.java.net</id> <name>Java Dev Net Repository</name> <url>http://download.java.net/maven/2/</url> <releases> <enabled>true</enabled> <updatePolicy>never</updatePolicy> </releases> <snapshots> <enabled>false</enabled> </snapshots> </repository> </repositories> </project> After saving this file, run the following maven command in a command prompt. C:tutorialssimple>mvn eclipse:clean eclipse:eclipse After executing the above command, if you go back to your eclipse and refresh the project “simple” and check the eclipse build path dependency and should look like shown below with the Spring jar added:
  • 22.
    22 Next step is to write Spring configuration file, which wires up your beans. This file is named “applicationContext-mytutorial.xml” under “simple/src/main/resources”. <beans xmlns="http://www.springframework.org/schema/beans" xmlns:xsi="http://www.w3.org/2001/XMLSchema-instance" xmlns:util="http://www.springframework.org/schema/util" xsi:schemaLocation="http://www.springframework.org/schema/beans http://www.springframework.org/schema/beans/spring-beans-2.0.xsd http://www.springframework.org/schema/util http://www.springframework.org/schema/util/spring-util-2.0.xsd"> <bean id="courseService" class="com.mytutorial.CourseServiceImpl" scope="prototype"> <property name="courseDao" ref="courseDao" /> </bean> Setter injection of dao into service Attribute name in CourseServiceImpl.java <bean id="courseDao" class="com.mytutorial.CourseDaoImpl" scope="prototype" /> </beans>
  • 23.
    23 Next we need to add “courseDao” attribute and the corresponding getter/setter methods inside “CourseServiceImpl.java” so that the “courseDao” can be injected using the setter method. package com.mytutorial; import java.util.List; public class CourseServiceImpl implements CourseService { private CourseDao courseDao; // attribute name in” applicationContext-mytutorial.xml” public CourseDao getCourseDao() { return courseDao; } public void setCourseDao(CourseDao courseDao) { this.courseDao = courseDao; } public void processCourse(List<Course> courses) { // CourseDao dao = new CourseDaoImpl(); Don’t need this, Spring courseDao.create(courses); will inject this. List<Course> list = getCourseDao().findAll(); System.out.println("The saved courses are --> " + list); } } Next step is to inject the “courseService” into the App.java class. package com.mytutorial; import java.util.ArrayList; import java.util.List; import org.springframework.context.ApplicationContext; import org.springframework.context.support.ClassPathXmlApplicationContext; public class App { Load the application public static void main(String[] args) { context file. ApplicationContext ctx = new ClassPathXmlApplicationContext("applicationContext-mytutorial.xml"); List<Course> courses = new ArrayList<Course>(10); Course c1 = new Course(); c1.setName("John"); c1.setCourse("Java"); courses.add(c1); Course c2 = new Course(); c2.setName("Peter"); c2.setCourse("Hibernate"); courses.add(c2); Don’t need this, Spring will inject this. // CourseService service = new CourseServiceImpl(); CourseService service = (CourseService) ctx.getBean("courseService");
  • 24.
    24 service.processCourse(courses); Inject the “courseService” } } Now run the App.java and you should get the same output results as before in Tutorial 4. This time with Spring more loosely coupling our classes. Hibernate: insert into Course (name, course, course_id) values (?, ?, ?) Hibernate: call identity() Hibernate: insert into Course (name, course, course_id) values (?, ?, ?) Hibernate: call identity() Hibernate: select course0_.course_id as course1_0_, course0_.name as name0_, course0_.course as course0_ from Course course0_ The saved courses are --> [id=1,name=John,course=Java, id=2,name=Peter,course=Hibernate] Spring provides support for Hibernate to improve your code quality . We could also inject the sessionFactory using Spring as shown below: <beans xmlns="http://www.springframework.org/schema/beans" xmlns:xsi="http://www.w3.org/2001/XMLSchema-instance" xmlns:util="http://www.springframework.org/schema/util" xsi:schemaLocation="http://www.springframework.org/schema/beans http://www.springframework.org/schema/beans/spring-beans-2.0.xsd http://www.springframework.org/schema/util Attribute in http://www.springframework.org/schema/util/spring-util-2.0.xsd"> CourseServiceImpl.java <bean id="courseService" class="com.mytutorial.CourseServiceImpl" scope="prototype"> <property name="courseDao" ref="courseDao" /> </bean> <bean id="courseDao" class="com.mytutorial.CourseDaoImpl" scope="prototype"> <property name="sessionFactory" ref="sessionFactory" /> </bean> <bean id="sessionFactory" class="org.springframework.orm.hibernate3.LocalSessionFactoryBean" scope="singleton"> <property name="configLocation" value="classpath:hibernate.cfg.xml" />
  • 25.
    25 </bean> </beans> Nowwe need to provide the member variable “sessionFactory” and its setter/getter methods in “CourseDaoImpl.java” as shown below. package com.mytutorial; import java.util.List; import org.hibernate.Session; import org.hibernate.SessionFactory; public class CourseDaoImpl implements CourseDao { private SessionFactory sessionFactory = null; Not required, because now done through Spring. /** private static final SessionFactory sessionFactory; static { try { // Create the SessionFactory from hibernate.cfg.xml sessionFactory = new Configuration().configure() .buildSessionFactory(); } catch (Throwable ex) { // Make sure you log the exception, as it might be swallowed System.err.println("Initial SessionFactory creation failed." + ex); throw new ExceptionInInitializerError(ex); } } **/ public void create(List<Course> listCourses) { Session session = sessionFactory.openSession(); session.getTransaction().begin(); for (Course course : listCourses) { session.save(course); } session.getTransaction().commit(); } public List findAll() { Session session = sessionFactory.openSession(); List<Course> list = session.createQuery("From Course").list(); return list; }
  • 26.
    26 public SessionFactory getSessionFactory() { Spring will inject invoking return sessionFactory; this method } public void setSessionFactory(SessionFactory sessionFactory) { this.sessionFactory = sessionFactory; } } Spring provides template support (e.g. JdbcTemplate, HibernateTemplate, JmsTempalte etc) to minimise the amount of code you have to write. Let’s look at a simplified example using “HibernateTemplateSupport” in “CourseDaoImpl.java” package com.mytutorial; import java.util.List; import org.hibernate.SessionFactory; import org.springframework.orm.hibernate3.HibernateTemplate; public class CourseDaoImpl implements CourseDao { private SessionFactory sessionFactory = null; public void create(List<Course> listCourses) { HibernateTemplate ht = new HibernateTemplate(sessionFactory); for (Course course : listCourses) { ht.save(course); } Less code with “HibernateTemplate” } public List findAll() { HibernateTemplate ht = new HibernateTemplate(sessionFactory); return ht.find("From Course"); }
  • 27.
    27 public SessionFactory getSessionFactory() { return sessionFactory; } public void setSessionFactory(SessionFactory sessionFactory) { this.sessionFactory = sessionFactory; } } Try running the App.java again and you should get the same results with a more simplified (i.e. less) code. But your data will not be committed to the database because we have not added the Transaction Support (By default “autoCommit” is set to false). Let’s add the declarative transaction support to the service layer i.e. the CourseService. Unlike in the Tutorial-4 where transaction was done via code like “session.getTransaction().begin();” We need to make the following changes to enable declarative transaction demarcation via Spring. applicationContext-mytutorial.xml <beans xmlns="http://www.springframework.org/schema/beans" xmlns:xsi="http://www.w3.org/2001/XMLSchema-instance" xmlns:util="http://www.springframework.org/schema/util" xsi:schemaLocation="http://www.springframework.org/schema/beans http://www.springframework.org/schema/beans/spring-beans-2.0.xsd http://www.springframework.org/schema/util http://www.springframework.org/schema/util/spring-util-2.0.xsd"> <bean id="courseService" parent="txnProxyTemplate" > <property name="target"> <bean class="com.mytutorial.CourseServiceImpl" scope="prototype"> <property name="courseDao" ref="courseDao" /> </bean> </property> </bean>
  • 28.
    28 <bean id="courseDao" class="com.mytutorial.CourseDaoImpl" scope="prototype"> <property name="sessionFactory" ref="sessionFactory" /> </bean> <bean id="transactionManager" class="org.springframework.orm.hibernate3.HibernateTransactionManager"> <property name="sessionFactory"> <ref bean="sessionFactory" /> </property> </bean> <bean id="txnProxyTemplate" abstract="true" class="org.springframework.transaction.interceptor.TransactionProxyFactoryBean"> <property name="transactionManager"> <ref bean="transactionManager" /> </property> <property name="transactionAttributes"> <props> <prop key="*">PROPAGATION_REQUIRED</prop> </props> </property> </bean> <bean id="sessionFactory" class="org.springframework.orm.hibernate3.LocalSessionFactoryBean" scope="singleton"> <property name="configLocation" value="classpath:hibernate.cfg.xml" /> </bean> </beans>
  • 29.
    29 CourseDaoImpl.java package com.mytutorial; import java.util.List; importorg.springframework.orm.hibernate3.HibernateTemplate; import org.springframework.orm.hibernate3.support.HibernateDaoSupport; public class CourseDaoImpl extends HibernateDaoSupport implements CourseDao { public void create(List<Course> listCourses) { HibernateTemplate ht = getHibernateTemplate(); for (Course course : listCourses) { ht.save(course); } } public List findAll() { HibernateTemplate ht = getHibernateTemplate(); return ht.find("From Course"); } } CourseServiceImpl.java package com.mytutorial; import java.util.List; public class CourseServiceImpl implements CourseService { private CourseDao courseDao;
  • 30.
    30 public CourseDao getCourseDao() { return courseDao; } public void setCourseDao(CourseDao courseDao) { this.courseDao = courseDao; } public void processCourse(List<Course> courses) { // CourseDao dao = new CourseDaoImpl(); courseDao.create(courses); List<Course> list = getCourseDao().findAll(); System.out.println("The courses are --> " + list); } } Now try running the App.java again and the data should be committed into the database and should be able to query the values using the DatabaseManager. Note: Spring uses AOP for its transaction demarcation. Let’s look at a simple example in the next tutorial how to use Spring AOP in your application. You can find some fundamental Questions & Answers relating to Hibernate/Spring under “Emerging technologies/framework” section in Java/J2EE Job Interview Companion at http://www.lulu.com/content/192463
  • 31.
    31 Tutorial 6 –Spring AOP Finally let’s look at Spring’s support for Aspect Oriented Programming (AOP). We will do a simplified example. Firstly create an “Advice” to print “Just before method call...” before a method executes for all our service classes (e.g. CourseServiceImpl.java) with the method starting with processXXXXXX. Create an Advice named “TracingBeforeAdvice.java” that gets executed before a method call. package com.mytutorial; import java.lang.reflect.Method; import org.springframework.aop.MethodBeforeAdvice; public class TracingBeforeAdvice implements MethodBeforeAdvice { public void before(Method method, Object[] args, Object target) throws Throwable { System.out.println("Just before method call..."); } } Now we need to wire up this advice via “applicationContext-mytutorial.xml”. <beans xmlns="http://www.springframework.org/schema/beans" xmlns:xsi="http://www.w3.org/2001/XMLSchema-instance" xmlns:util="http://www.springframework.org/schema/util" xsi:schemaLocation="http://www.springframework.org/schema/beans http://www.springframework.org/schema/beans/spring-beans-2.0.xsd http://www.springframework.org/schema/util http://www.springframework.org/schema/util/spring-util-2.0.xsd"> <bean id="courseService" parent="txnProxyTemplate" > <property name="target"> <bean class="com.mytutorial.CourseServiceImpl" scope="prototype"> <property name="courseDao" ref="courseDao" /> </bean> </property> <property name="preInterceptors"> <list>
  • 32.
    32 <ref bean="traceBeforeAdvisor" /> </list> </property> </bean> <bean id="courseDao" class="com.mytutorial.CourseDaoImpl" scope="prototype"> <property name="sessionFactory" ref="sessionFactory" /> </bean> <bean id="transactionManager" class="org.springframework.orm.hibernate3.HibernateTransactionManager"> <property name="sessionFactory"> <ref bean="sessionFactory" /> </property> </bean> <bean id="txnProxyTemplate" abstract="true" class="org.springframework.transaction.interceptor.TransactionProxyFactoryBean"> <property name="transactionManager"> <ref bean="transactionManager" /> </property> <property name="transactionAttributes"> <props> <prop key="*">PROPAGATION_REQUIRED</prop> </props> </property> </bean> <bean id="sessionFactory" class="org.springframework.orm.hibernate3.LocalSessionFactoryBean" scope="singleton"> <property name="configLocation" value="classpath:hibernate.cfg.xml" /> </bean> <!-- Advice classes --> <bean id="tracingBeforeAdvice" class="com.mytutorial.TracingBeforeAdvice" /> <!-- Advisor: way to associate advice beans with pointcuts --> <!-- pointcut definition for before method call advice --> <bean id="traceBeforeAdvisor" class="org.springframework.aop.support.RegexpMethodPointcutAdvisor"> <property name="advice"> <ref local="tracingBeforeAdvice" /> </property> <property name="pattern"> <value>.*.process.*</value> </property> </bean> </beans>
  • 33.
    33 Now, run the App.java and you should get the output as follows: Just before method call... Hibernate: insert into Course (name, course, course_id) values (?, ?, ?) Hibernate: call identity() Hibernate: insert into Course (name, course, course_id) values (?, ?, ?) Hibernate: call identity() Hibernate: select course0_.course_id as course1_0_, course0_.name as name0_, course0_.course as course0_ from Course course0_ The saved courses are --> [id=1,name=John,course=Java, id=2,name=Peter,course=Hibernate] That’s all to it. You can find some fundamental Questions & Answers relating to Hibernate/Spring under “Emerging technologies/framework” section in Java/J2EE Job Interview Companion at http://www.lulu.com/content/192463 Please feel free to email any errors to java-interview@hotmail.com. Also stay tuned at http://www.lulu.com/java-success for more tutorials and Java/J2EE interview resources.