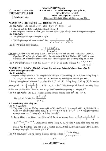
The document provides an introduction to server-side JavaScript using Node.js. It discusses Node.js basics, how it uses an event-driven and non-blocking model, and provides examples of building HTTP and TCP servers. It also covers Node.js modules, benchmarks, when to use/not use Node.js, and popular companies using Node.js in production.