KEMBAR78
Module 3 exponential and logarithmic functions | PDF
Module 3
Exponential Functions
What this module is about
This module is about inverse relations and functions. In this lesson we
are doing to discuss an important method of obtaining new relations and
functions from old relations and functions.
What you are expected to learn
This module is designed for you to:
1. define inverse relations
2. find the inverse of a function using arrow diagrams, ordered pairs and
equations
3. graph the inverse of a function.
How much do you know
A. State whether each function whose graph is given is an inverse function..
1. 2.Y
Y
X X
2
3. 4.
5. 6.
B. Answer each of the following questions:
1. If f ( x ) = x2
, find the value of f ( 3 ).
2. Is the inverse of f ( x ) = 4x - 5 a function?
3. State the inverse of f ( x ) = 6x.
4. Is each function the inverse of the other?
a. The value of x is increased by 3.
The value of x is decrease by 3.
b. Twice the value of x is subtracted by 5.
The value of x is subtracted by 5, then divided by 2.
5. Determine if the given pairs are inverse functions.
f ( x ) = 5x + 3 g ( x ) =
5
3−x
Y
Y
Y
Y
X
X
X
X
3
What you will do
Lesson 1
Inverse Relations and Functions
The concept of relation involves pairing and the manner or action by which
the elements in a pair are associated. In mathematics we define relation as any
set of one or more ordered pairs. We learned that not all relations are functions.
A function is a special kind of a relation between two sets, X and Y, such that for
every element in set X there is exactly one element associated in set Y. Function
is a one-to-one correspondence or a many-to-one correspondence. We have
discussed different kinds of functions already. We have the linear function,
quadratic function and the polynomial function.
Examples: Given:
1. y = 3x + 5
Table I
2. y = x2
Table II
For each equation, we will do the following activities.
a. Complete the table of values.
b. Make an arrow diagram.
c. Interchange the values of x and y in the table and make an arrow diagram.
d. Interchange x and y in the equation and solve for y.
x -2 -1 0 1 2
y = x2
x -2 -1 0 1 2
y = 3x + 5
4
Solutions:
I. a. Complete the table of values
x -2 -1 0 1 2
y = 3x + 5 -1 2 5 8 11
b. Make an arrow diagram:
x y
-2 -1
-1 2 one-to-one function
0 5
1 8
2 11
c. Interchange the values of x and y in the table.
d. Make an arrow diagram.
. x y
-1 -2
2 -1 one-to-one function
5 0
8 1
11 2
d. Interchange x and y in the equation and solve for y.
y = 3x + 5
x = 3y + 5
y =
3
5−x
x -1 2 5 8 11
y -2 -1 0 1 2
5
2. a. Complete the table
x -2 -1 0 1 2
y = x2
4 1 0 1 4
b. Make an arrow diagram
x y
-2 0
-1 1 many-to-one function
0 4
1
2
c. Interchange the values of x and y in the table.
x 4 1 0 1 4
y -2 -1 0 1 2
d. Make an arrow diagram
x y
4 -2
1 -1 one-to-many relation
0 0
1
2
6
d. Interchange x and y in the equation
y = x2
x = y2
y = ± x
y = 3x + 5 is a one – to – one function. We have observed that when we
interchanged the values of x and y in the table and make an arrow diagram, the
result is still a one – to – one function. In y = x2
, the interchanged values of x and
y is no longer a one – to – one function but a one to many relation. The inverse of
the first equation is still a linear function but the second equation is no longer a
quadratic function but a mere relation.
The inverse of a function (denoted by f -1
) is a function/ relation whose
domain is the range of the given function and whose range is the domain. To
solve for the inverse of a function/relation, interchange the variables x and y in
the defining equation y = f(x), then solve for y in terms of x.
We can determine the inverse functions through:
a. Table of values
f ( x ) = 3x + 5 f -1
( x ) =
3
5−x
b. Arrow diagrams
x f (x) x f -1
(x)
-2 -1 -1 -2
-1 2 2 -1
0 5 5 0
1 8 8 1
2 11 11 2
x -2 -1 0 1 2
f (x) -1 2 5 8 11
x -1 2 5 8 11
y = 3x + 5 -2 -1 0 1 2
7
c. Ordered pairs
{(-2, -1), (-1, 2), (0, 5), (1, 8), (2, 11)} f ( x ) = 3x + 5
{(-1, -2), (2, -1), (5, 0), (8, 1), (11, 2)} f -1
( x ) =
3
5−x
d. Equation or rule
f ( x ) = 3x + 5 f -1
( x ) =
3
5−x
Properties of the Inverse Function
1. The inverse of a function is obtained by:
a. interchanging the ordered pairs of the function
b. Interchanging x and y in the equation, and solving for x
c. reflecting the graph of the function in the line y = x.
2. The domain of the inverse is the range of the original function.
3. The range of the inverse is the domain of the original.
4. The inverse of a function is not necessarily a function.
Remember:
Two functions f and g are inverse functions if
f ( )[ ]xg = x and
g ( )[ ]xf = x
8
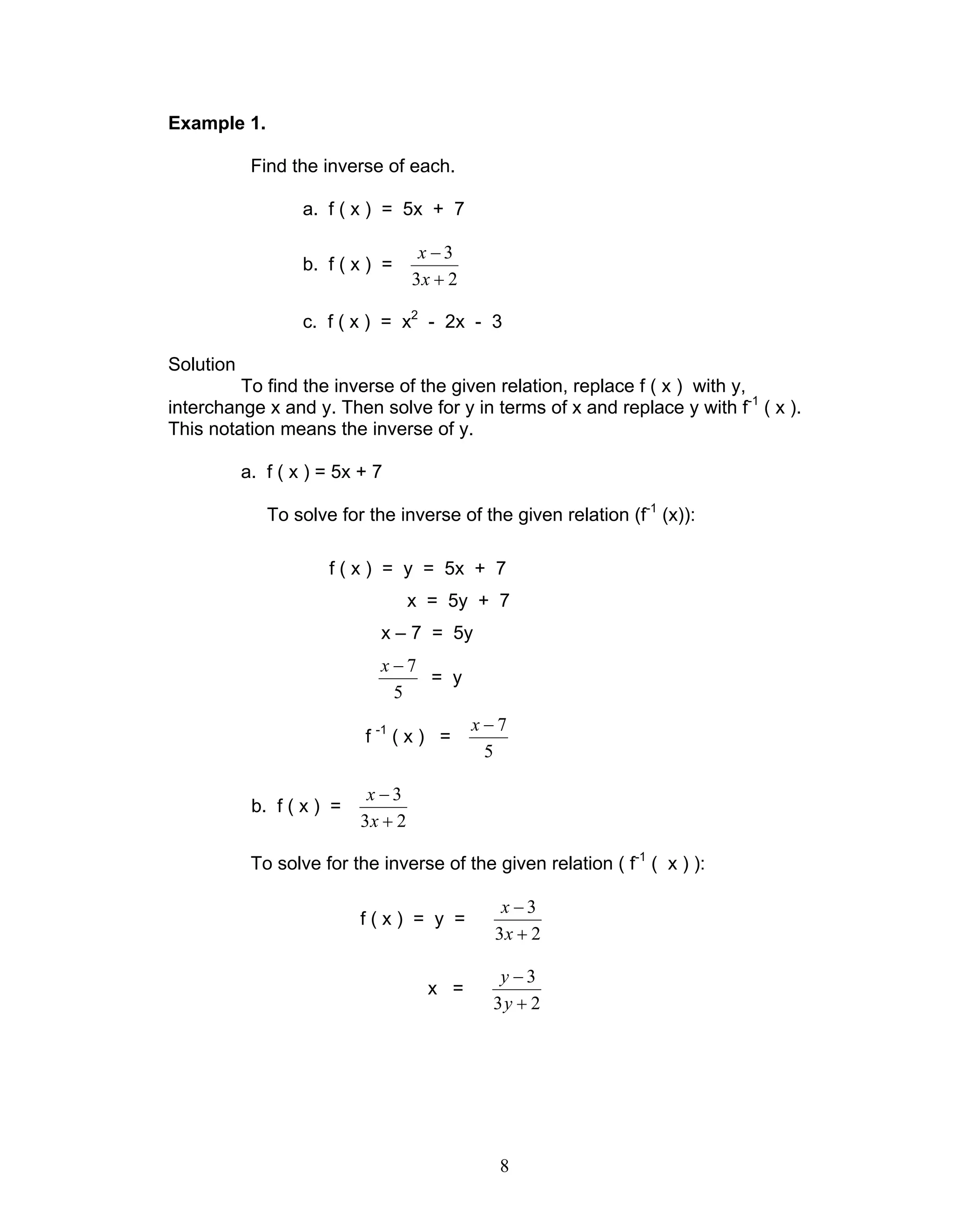
Example 1.
Find the inverse of each.
a. f ( x ) = 5x + 7
b. f ( x ) =
23
3
+
−
x
x
c. f ( x ) = x2
- 2x - 3
Solution
To find the inverse of the given relation, replace f ( x ) with y,
interchange x and y. Then solve for y in terms of x and replace y with f-1
( x ).
This notation means the inverse of y.
a. f ( x ) = 5x + 7
To solve for the inverse of the given relation (f-1
(x)):
f ( x ) = y = 5x + 7
x = 5y + 7
x – 7 = 5y
5
7−x
= y
f -1
( x ) =
5
7−x
b. f ( x ) =
23
3
+
−
x
x
To solve for the inverse of the given relation ( f-1
( x ) ):
f ( x ) = y =
23
3
+
−
x
x
x =
23
3
+
−
y
y
9
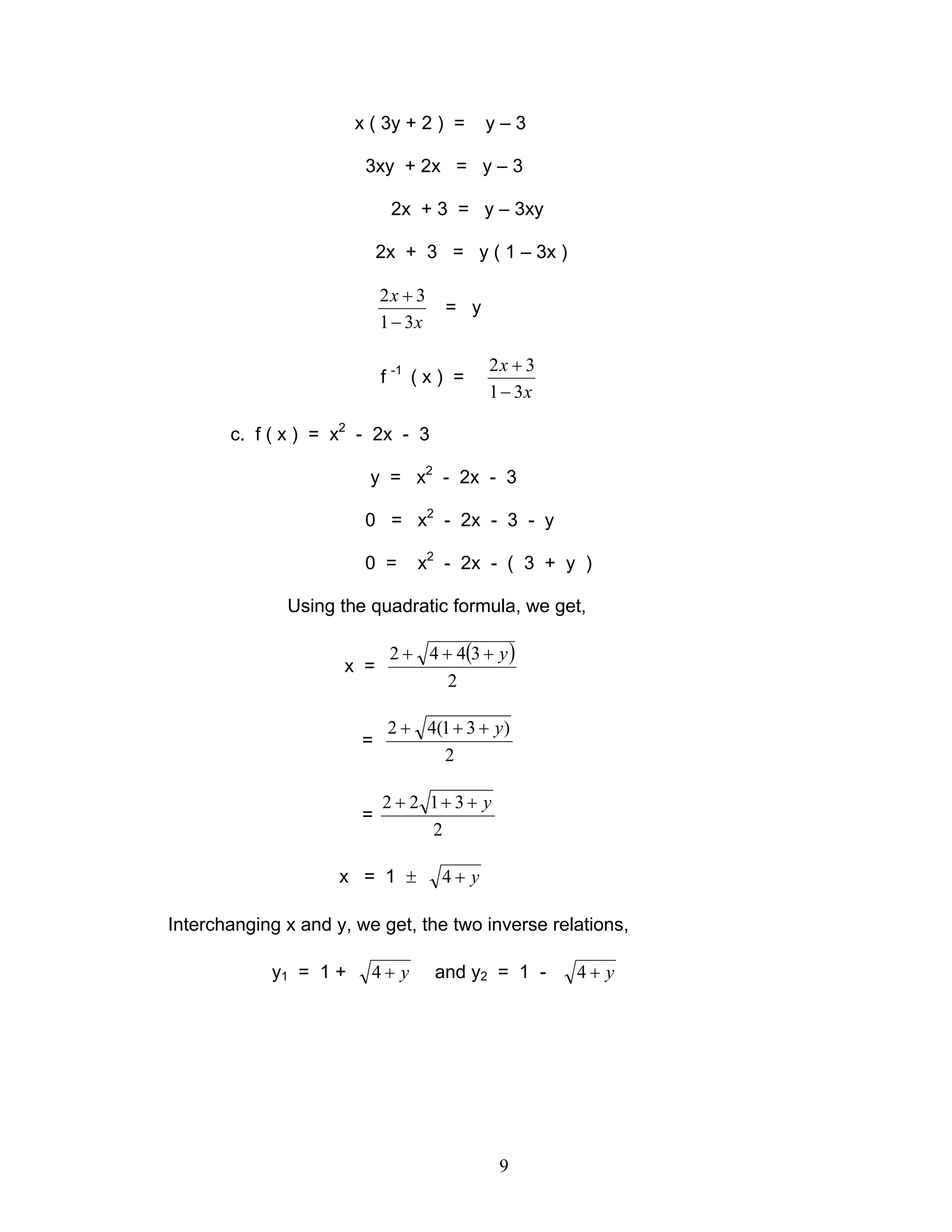
x ( 3y + 2 ) = y – 3
3xy + 2x = y – 3
2x + 3 = y – 3xy
2x + 3 = y ( 1 – 3x )
x
x
31
32
−
+
= y
f -1
( x ) =
x
x
31
32
−
+
c. f ( x ) = x2
- 2x - 3
y = x2
- 2x - 3
0 = x2
- 2x - 3 - y
0 = x2
- 2x - ( 3 + y )
Using the quadratic formula, we get,
x =
( )
2
3442 y+++
=
2
)31(42 y+++
=
2
3122 y+++
x = 1 ± y+4
Interchanging x and y, we get, the two inverse relations,
y1 = 1 + y+4 and y2 = 1 - y+4
10
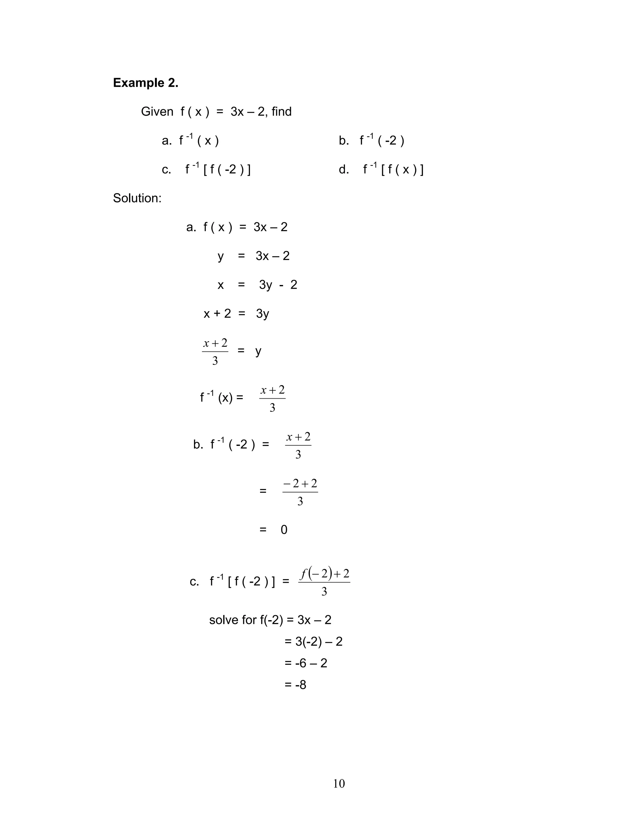
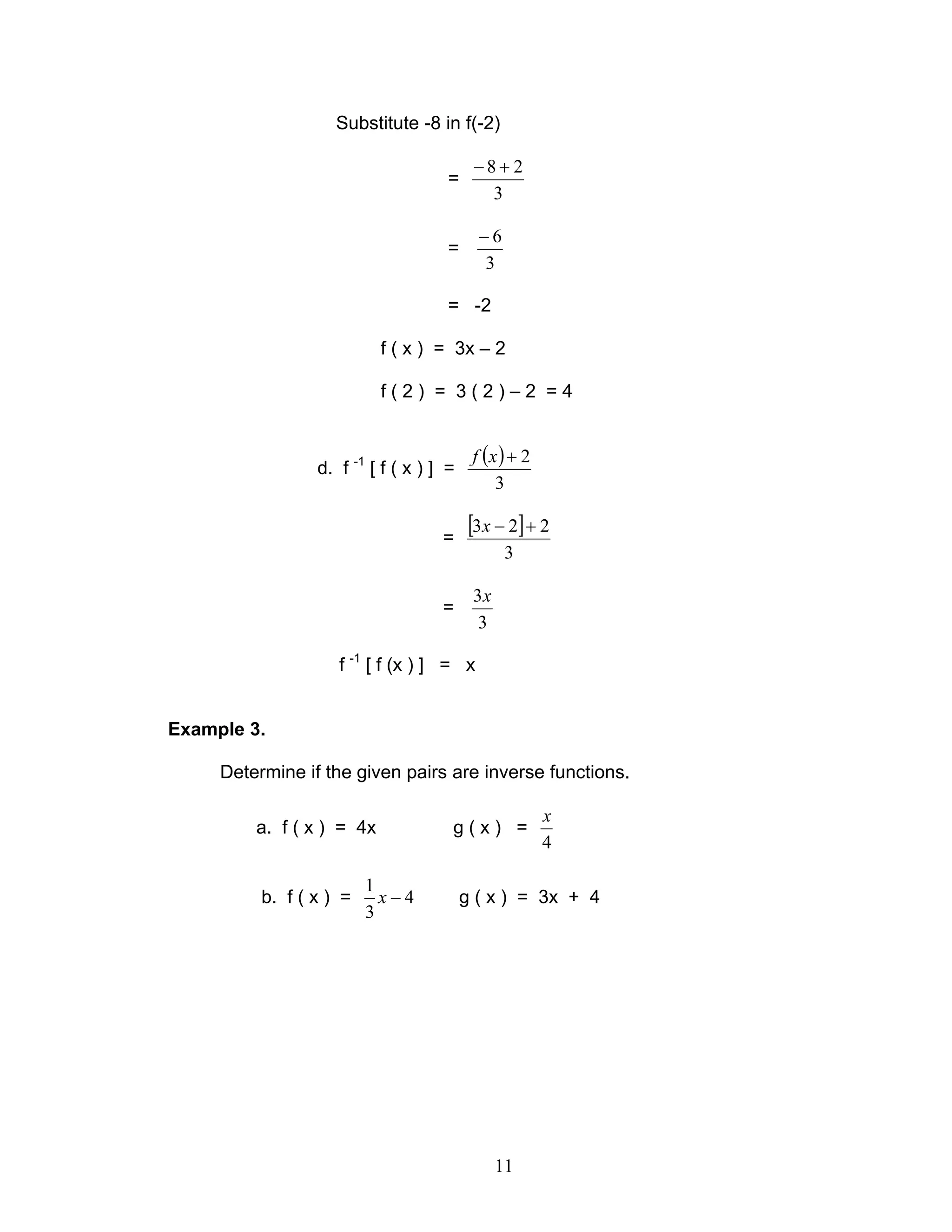
Example 2.
Given f ( x ) = 3x – 2, find
a. f -1
( x ) b. f -1
( -2 )
c. f -1
[ f ( -2 ) ] d. f -1
[ f ( x ) ]
Solution:
a. f ( x ) = 3x – 2
y = 3x – 2
x = 3y - 2
x + 2 = 3y
3
2+x
= y
f -1
(x) =
3
2+x
b. f -1
( -2 ) =
3
2+x
=
3
22 +−
= 0
c. f -1
[ f ( -2 ) ] =
( )
3
22 +−f
solve for f(-2) = 3x – 2
= 3(-2) – 2
= -6 – 2
= -8
11
Substitute -8 in f(-2)
=
3
28 +−
=
3
6−
= -2
f ( x ) = 3x – 2
f ( 2 ) = 3 ( 2 ) – 2 = 4
d. f -1
[ f ( x ) ] =
( )
3
2+xf
=
[ ]
3
223 +−x
=
3
3x
f -1
[ f (x ) ] = x
Example 3.
Determine if the given pairs are inverse functions.
a. f ( x ) = 4x g ( x ) =
4
x
b. f ( x ) = 4
3
1
−x g ( x ) = 3x + 4
12
Solution:
a. f ( x ) = 4x g ( x ) =
4
x
f ( g ( x ) ) = f (
4
x
)
= 4 (
4
x
)
= x
g ( f ( x ) ) = g (4x )
=
4
4x
= x
Since f (
4
x
) = g (4x ) = x, then f(x) and g(x) are inverse functions.
b. f ( x ) = 4
3
1
−x g (x) = 3x + 4
f(g (x )) = f (3x + 4)
= ( ) 443
3
1
−+x
= x +
3
4
- 4
=
3
1243 −+x
f (g (x)) = x -
3
8
13
g (f (x )) = g ( 4
3
1
−x )
= 3( 4
3
1
−x ) + 4
= x - 12 + 4
g (f(x)) = x - 8
Since f(3x + 4) ≠ g( 4
3
1
−x ), then f(x) and g(x) are not inverse functions.
Try this out
A. Find the inverse of each relation.
1. f ( x ) = x - 1
2. f ( x ) = 2x + 3
3. f ( x ) =
3−x
x
4. f ( x ) =
4
32
+
+
x
x
5. f ( x ) = x2
- 3x
6. f ( x ) = x3
- 2
7. f ( x ) =
4
47 x−
8. y = 2x2
+ 5x + 2
9. 2x2
- y = 3
10.y = x3
B. Determine whether the given pairs are inverse functions.
1. f ( x ) =
x−5
3
and g ( x ) =
x
x 35 −
14
2. f ( x ) =
53
2
−x
x
and g ( x ) =
23
5
−x
x
3. f ( x ) = 12
3
2
−x and g ( x ) = 18
2
3
−x
C. Answer the following:
Let f ( x ) = 25 - 2x. Find:
1. f -1
( x )
2. f -1
( 2 )
3. f -1
( -3 )
4. f -1
( f ( 4 ) )
Lesson 2
Graphs of functions and their Inverses
We can determine whether the graph of a function has an inverse by
using the horizontal line test.
Horizontal Line Test
A graph of a function has an inverse function if any horizontal line
drawn through it intersects the graph at only one point.
15
Example 1.
State whether each function whose graph is given has an inverse function.
a
b.
Y
Y
X
X
16
c.
d.
Y
Y
X
X
17
Solution:
a. The function represented by the graph has no inverse function because
when a horizontal line is drawn, the graph may intersect at two points.
b. The function represented by the graph has an inverse function because
when a horizontal line is drawn, the graph may intersect only at one point.
c. The function represented by the graph has no inverse function because
when a horizontal line is drawn, it will pass through all points.
d. The function represented by the graph has an inverse function because
when a horizontal line is drawn, the graph may intersect only at one point.
A function is one-to-one if and only if every horizontal line intersects the
graph of the function in exactly one point.
Example 2:
a. Graph: f ( x ) = 3x + 5 and f -1
( x ) =
3
5−x
and the inverse
x -1 2 5 8 11
y -2 -1 0 1 2
x -2 -1 0 1 2
y = 3x + 5 -1 2 5 8 11
18
b. f ( x ) =
4
x
x -2 -1 0 1 2
y
2
1−
4
1−
0
4
1
2
1
f -1
( x ) = 4x
x
2
1−
4
1−
0
4
1
2
1
y -2 -1 0 1 2
f (x ) = 3x + 5
y = x
f-1
(x) =
3
5−x
X
Y
19
The two points are equidistant from the line y = x. The function and its
inverse are mirror images of each other with respect to y = x. The line y = x is
called the line of reflection.
Example 3:
f (x) = x2
- 4
Solution:
y = x2
- 4
x2
= y + 4
x = ± 4+y
interchange x and y.
y = ± 4+x
f -1
( x ) = ± 4+x
f -1
( x ) = 4x
y = x
f ( x ) =
4
x
X
Y
20
The graph is a parabola with vertex at ( 0, -4 ). If we use the horizontal
line test, it is not a one-to-one function, so we take
y = 4+x or y = - 4+x
-4 -3 -2 -1 1 2
-2
-4
Example 4:
y = x3
x = y3
y = 3
x 1
-1 1
-1
Y
Y
X
X
y = x2
- 4
y = 4+x
y = x
y = x3
y = 3
x
21
Example 5:
y = 2x
A is the graph of y = 2x
and B is the graph of its inverse. You will study more
on this graph in your next lesson.
Try this out
Find the inverse, then sketch the graph of the given function and its inverse.
1. f ( x ) = 2x + 5
2. f ( x ) = x2
3. f ( x ) = x + 4
4. f ( x ) = x2
- 9
5. f ( x ) = 16 – x2
6. f ( x ) =
3
2−x
X -3 -2 -1 0 1 2 3
F(x) = 2x
8
1
4
1
2
1
0 1 4 8
Y
X
y = 2x
B
A
y = x
22
Let’s summarize
Definition:
The inverse of a function ( denoted by f -1
) is a function/ relation whose
domain is the range of the given function and whose range is its domain.
Properties of the Inverse Function
1. The inverse of a function is obtained by:
a. interchanging the ordered pairs of the function
b. Interchanging x and y in the equation, and solving for x
c. reflecting the graph of the function in the line y = x.
2. The domain of the inverse is the range of the original function.
3. The range of the inverse is the domain of the original.
4. The inverse of a function is not necessarily a function.
Remember:
Two functions f and g are inverse functions if
f ( )[ ]xg = x and g ( )[ ]xf = x
Horizontal Line Test
A graph of a function has an inverse function if any horizontal line
drawn through it intersects the graph at only one point.
23
What have you learned
A. Verify whether each pairs of graphs are inverses.
1. 2.
3. 4.
YY
Y
Y
X
X
XX
24
5. 6.
B. Answer the following:
1. Find the inverse of f ( x ) = 10x - 1.
2. Show that f ( x ) = 5x – 10 and g ( x ) = x
5
1
+ 2 are inverses.
3. Get the domain and the range of the function in #1.
4. Let h ( x ) = 6 – 2x. Find:
a. h -1
( x )
b. h -1
( 5 )
c. h ( 1 ) and show that h -1
( h ( 1 ) ) = 1.
5. Two functions are described in words. Is each function the inverse of the
other?
a. x is reduced by 1, then squared and increased by 3.
b. x is reduced by 3, then the square root is found, which is then
increased by 1.
Y
Y
XX
25
Answer Key
How much do you know
A.
1. No 2. Yes 3. Yes 4. Yes 5. No 6. Yes
B.
1. 9 2. yes 3. f -1
( x ) = x
6
1
4. a. yes b. no 5. g(x) is the inverse of f(x)
Try this out
Lesson 1
A. 1. f -1
( x ) = x + 1 2. f -1
( x ) =
2
3−x
3. f -1
( x ) =
1
3
−x
x
4. f -1
( x ) =
x
x
−
−
2
34
5. f -1
( x ) =
2
493 x+±
6. f -1
( x ) = ( )3
1
2+x
7. f -1
( x ) =
4
74 +− x
8. f -1
( x ) =
4
895 x+±−
9. f -1
( x ) =
2
62 +± x
10. f -1
( x ) = 3
1
x
B.
1. they are inverses 2. they are inverses 3. not inverses
C.
1. f -1
( x ) =
2
25 x−
2. f -1
( 2 ) =
2
23
3. f -1
( -3 ) = 14 4. f -1
( f ( 4 )) = 4
26
Lesson 2
1. 2. f(x ) = x2
f -1
(x) =
2
5−x
f -1
(x) = x±
3. 4.
5. 6.
y = x2
- 9
Y
Y
Y
Y
Y
Y
X
y = 2x + 5
X
X
X
X
X
y = x + 4
y = x - 4
y = 9−x
y = 16+− x
y = 16 - x2
y =
3
2−x
y = 3x + 2
27
What have learned
A.
1. yes
2. No
3. yes
4. yes
5. yes
6. no
B.
1. y =
10
1+x
2. g( f (x )) = ( ) 2105
5
1
+−x = x f( g(x)) = 5 102
5
1
−





+x = x
3. Domain: All real nos. Range: All Real
4. a. y = x
2
1
3 −
b.
2
1
c. h -1
(h (1)) = 1
= 3 -
2
4
= 1
5. No

Module 3 exponential and logarithmic functions

  • 1.
    Module 3 Exponential Functions Whatthis module is about This module is about inverse relations and functions. In this lesson we are doing to discuss an important method of obtaining new relations and functions from old relations and functions. What you are expected to learn This module is designed for you to: 1. define inverse relations 2. find the inverse of a function using arrow diagrams, ordered pairs and equations 3. graph the inverse of a function. How much do you know A. State whether each function whose graph is given is an inverse function.. 1. 2.Y Y X X
  • 2.
    2 3. 4. 5. 6. B.Answer each of the following questions: 1. If f ( x ) = x2 , find the value of f ( 3 ). 2. Is the inverse of f ( x ) = 4x - 5 a function? 3. State the inverse of f ( x ) = 6x. 4. Is each function the inverse of the other? a. The value of x is increased by 3. The value of x is decrease by 3. b. Twice the value of x is subtracted by 5. The value of x is subtracted by 5, then divided by 2. 5. Determine if the given pairs are inverse functions. f ( x ) = 5x + 3 g ( x ) = 5 3−x Y Y Y Y X X X X
  • 3.
    3 What you willdo Lesson 1 Inverse Relations and Functions The concept of relation involves pairing and the manner or action by which the elements in a pair are associated. In mathematics we define relation as any set of one or more ordered pairs. We learned that not all relations are functions. A function is a special kind of a relation between two sets, X and Y, such that for every element in set X there is exactly one element associated in set Y. Function is a one-to-one correspondence or a many-to-one correspondence. We have discussed different kinds of functions already. We have the linear function, quadratic function and the polynomial function. Examples: Given: 1. y = 3x + 5 Table I 2. y = x2 Table II For each equation, we will do the following activities. a. Complete the table of values. b. Make an arrow diagram. c. Interchange the values of x and y in the table and make an arrow diagram. d. Interchange x and y in the equation and solve for y. x -2 -1 0 1 2 y = x2 x -2 -1 0 1 2 y = 3x + 5
  • 4.
    4 Solutions: I. a. Completethe table of values x -2 -1 0 1 2 y = 3x + 5 -1 2 5 8 11 b. Make an arrow diagram: x y -2 -1 -1 2 one-to-one function 0 5 1 8 2 11 c. Interchange the values of x and y in the table. d. Make an arrow diagram. . x y -1 -2 2 -1 one-to-one function 5 0 8 1 11 2 d. Interchange x and y in the equation and solve for y. y = 3x + 5 x = 3y + 5 y = 3 5−x x -1 2 5 8 11 y -2 -1 0 1 2
  • 5.
    5 2. a. Completethe table x -2 -1 0 1 2 y = x2 4 1 0 1 4 b. Make an arrow diagram x y -2 0 -1 1 many-to-one function 0 4 1 2 c. Interchange the values of x and y in the table. x 4 1 0 1 4 y -2 -1 0 1 2 d. Make an arrow diagram x y 4 -2 1 -1 one-to-many relation 0 0 1 2
  • 6.
    6 d. Interchange xand y in the equation y = x2 x = y2 y = ± x y = 3x + 5 is a one – to – one function. We have observed that when we interchanged the values of x and y in the table and make an arrow diagram, the result is still a one – to – one function. In y = x2 , the interchanged values of x and y is no longer a one – to – one function but a one to many relation. The inverse of the first equation is still a linear function but the second equation is no longer a quadratic function but a mere relation. The inverse of a function (denoted by f -1 ) is a function/ relation whose domain is the range of the given function and whose range is the domain. To solve for the inverse of a function/relation, interchange the variables x and y in the defining equation y = f(x), then solve for y in terms of x. We can determine the inverse functions through: a. Table of values f ( x ) = 3x + 5 f -1 ( x ) = 3 5−x b. Arrow diagrams x f (x) x f -1 (x) -2 -1 -1 -2 -1 2 2 -1 0 5 5 0 1 8 8 1 2 11 11 2 x -2 -1 0 1 2 f (x) -1 2 5 8 11 x -1 2 5 8 11 y = 3x + 5 -2 -1 0 1 2
  • 7.
    7 c. Ordered pairs {(-2,-1), (-1, 2), (0, 5), (1, 8), (2, 11)} f ( x ) = 3x + 5 {(-1, -2), (2, -1), (5, 0), (8, 1), (11, 2)} f -1 ( x ) = 3 5−x d. Equation or rule f ( x ) = 3x + 5 f -1 ( x ) = 3 5−x Properties of the Inverse Function 1. The inverse of a function is obtained by: a. interchanging the ordered pairs of the function b. Interchanging x and y in the equation, and solving for x c. reflecting the graph of the function in the line y = x. 2. The domain of the inverse is the range of the original function. 3. The range of the inverse is the domain of the original. 4. The inverse of a function is not necessarily a function. Remember: Two functions f and g are inverse functions if f ( )[ ]xg = x and g ( )[ ]xf = x
  • 8.
    8 Example 1. Find theinverse of each. a. f ( x ) = 5x + 7 b. f ( x ) = 23 3 + − x x c. f ( x ) = x2 - 2x - 3 Solution To find the inverse of the given relation, replace f ( x ) with y, interchange x and y. Then solve for y in terms of x and replace y with f-1 ( x ). This notation means the inverse of y. a. f ( x ) = 5x + 7 To solve for the inverse of the given relation (f-1 (x)): f ( x ) = y = 5x + 7 x = 5y + 7 x – 7 = 5y 5 7−x = y f -1 ( x ) = 5 7−x b. f ( x ) = 23 3 + − x x To solve for the inverse of the given relation ( f-1 ( x ) ): f ( x ) = y = 23 3 + − x x x = 23 3 + − y y
  • 9.
    9 x ( 3y+ 2 ) = y – 3 3xy + 2x = y – 3 2x + 3 = y – 3xy 2x + 3 = y ( 1 – 3x ) x x 31 32 − + = y f -1 ( x ) = x x 31 32 − + c. f ( x ) = x2 - 2x - 3 y = x2 - 2x - 3 0 = x2 - 2x - 3 - y 0 = x2 - 2x - ( 3 + y ) Using the quadratic formula, we get, x = ( ) 2 3442 y+++ = 2 )31(42 y+++ = 2 3122 y+++ x = 1 ± y+4 Interchanging x and y, we get, the two inverse relations, y1 = 1 + y+4 and y2 = 1 - y+4
  • 10.
    10 Example 2. Given f( x ) = 3x – 2, find a. f -1 ( x ) b. f -1 ( -2 ) c. f -1 [ f ( -2 ) ] d. f -1 [ f ( x ) ] Solution: a. f ( x ) = 3x – 2 y = 3x – 2 x = 3y - 2 x + 2 = 3y 3 2+x = y f -1 (x) = 3 2+x b. f -1 ( -2 ) = 3 2+x = 3 22 +− = 0 c. f -1 [ f ( -2 ) ] = ( ) 3 22 +−f solve for f(-2) = 3x – 2 = 3(-2) – 2 = -6 – 2 = -8
  • 11.
    11 Substitute -8 inf(-2) = 3 28 +− = 3 6− = -2 f ( x ) = 3x – 2 f ( 2 ) = 3 ( 2 ) – 2 = 4 d. f -1 [ f ( x ) ] = ( ) 3 2+xf = [ ] 3 223 +−x = 3 3x f -1 [ f (x ) ] = x Example 3. Determine if the given pairs are inverse functions. a. f ( x ) = 4x g ( x ) = 4 x b. f ( x ) = 4 3 1 −x g ( x ) = 3x + 4
  • 12.
    12 Solution: a. f (x ) = 4x g ( x ) = 4 x f ( g ( x ) ) = f ( 4 x ) = 4 ( 4 x ) = x g ( f ( x ) ) = g (4x ) = 4 4x = x Since f ( 4 x ) = g (4x ) = x, then f(x) and g(x) are inverse functions. b. f ( x ) = 4 3 1 −x g (x) = 3x + 4 f(g (x )) = f (3x + 4) = ( ) 443 3 1 −+x = x + 3 4 - 4 = 3 1243 −+x f (g (x)) = x - 3 8
  • 13.
    13 g (f (x)) = g ( 4 3 1 −x ) = 3( 4 3 1 −x ) + 4 = x - 12 + 4 g (f(x)) = x - 8 Since f(3x + 4) ≠ g( 4 3 1 −x ), then f(x) and g(x) are not inverse functions. Try this out A. Find the inverse of each relation. 1. f ( x ) = x - 1 2. f ( x ) = 2x + 3 3. f ( x ) = 3−x x 4. f ( x ) = 4 32 + + x x 5. f ( x ) = x2 - 3x 6. f ( x ) = x3 - 2 7. f ( x ) = 4 47 x− 8. y = 2x2 + 5x + 2 9. 2x2 - y = 3 10.y = x3 B. Determine whether the given pairs are inverse functions. 1. f ( x ) = x−5 3 and g ( x ) = x x 35 −
  • 14.
    14 2. f (x ) = 53 2 −x x and g ( x ) = 23 5 −x x 3. f ( x ) = 12 3 2 −x and g ( x ) = 18 2 3 −x C. Answer the following: Let f ( x ) = 25 - 2x. Find: 1. f -1 ( x ) 2. f -1 ( 2 ) 3. f -1 ( -3 ) 4. f -1 ( f ( 4 ) ) Lesson 2 Graphs of functions and their Inverses We can determine whether the graph of a function has an inverse by using the horizontal line test. Horizontal Line Test A graph of a function has an inverse function if any horizontal line drawn through it intersects the graph at only one point.
  • 15.
    15 Example 1. State whethereach function whose graph is given has an inverse function. a b. Y Y X X
  • 16.
  • 17.
    17 Solution: a. The functionrepresented by the graph has no inverse function because when a horizontal line is drawn, the graph may intersect at two points. b. The function represented by the graph has an inverse function because when a horizontal line is drawn, the graph may intersect only at one point. c. The function represented by the graph has no inverse function because when a horizontal line is drawn, it will pass through all points. d. The function represented by the graph has an inverse function because when a horizontal line is drawn, the graph may intersect only at one point. A function is one-to-one if and only if every horizontal line intersects the graph of the function in exactly one point. Example 2: a. Graph: f ( x ) = 3x + 5 and f -1 ( x ) = 3 5−x and the inverse x -1 2 5 8 11 y -2 -1 0 1 2 x -2 -1 0 1 2 y = 3x + 5 -1 2 5 8 11
  • 18.
    18 b. f (x ) = 4 x x -2 -1 0 1 2 y 2 1− 4 1− 0 4 1 2 1 f -1 ( x ) = 4x x 2 1− 4 1− 0 4 1 2 1 y -2 -1 0 1 2 f (x ) = 3x + 5 y = x f-1 (x) = 3 5−x X Y
  • 19.
    19 The two pointsare equidistant from the line y = x. The function and its inverse are mirror images of each other with respect to y = x. The line y = x is called the line of reflection. Example 3: f (x) = x2 - 4 Solution: y = x2 - 4 x2 = y + 4 x = ± 4+y interchange x and y. y = ± 4+x f -1 ( x ) = ± 4+x f -1 ( x ) = 4x y = x f ( x ) = 4 x X Y
  • 20.
    20 The graph isa parabola with vertex at ( 0, -4 ). If we use the horizontal line test, it is not a one-to-one function, so we take y = 4+x or y = - 4+x -4 -3 -2 -1 1 2 -2 -4 Example 4: y = x3 x = y3 y = 3 x 1 -1 1 -1 Y Y X X y = x2 - 4 y = 4+x y = x y = x3 y = 3 x
  • 21.
    21 Example 5: y =2x A is the graph of y = 2x and B is the graph of its inverse. You will study more on this graph in your next lesson. Try this out Find the inverse, then sketch the graph of the given function and its inverse. 1. f ( x ) = 2x + 5 2. f ( x ) = x2 3. f ( x ) = x + 4 4. f ( x ) = x2 - 9 5. f ( x ) = 16 – x2 6. f ( x ) = 3 2−x X -3 -2 -1 0 1 2 3 F(x) = 2x 8 1 4 1 2 1 0 1 4 8 Y X y = 2x B A y = x
  • 22.
    22 Let’s summarize Definition: The inverseof a function ( denoted by f -1 ) is a function/ relation whose domain is the range of the given function and whose range is its domain. Properties of the Inverse Function 1. The inverse of a function is obtained by: a. interchanging the ordered pairs of the function b. Interchanging x and y in the equation, and solving for x c. reflecting the graph of the function in the line y = x. 2. The domain of the inverse is the range of the original function. 3. The range of the inverse is the domain of the original. 4. The inverse of a function is not necessarily a function. Remember: Two functions f and g are inverse functions if f ( )[ ]xg = x and g ( )[ ]xf = x Horizontal Line Test A graph of a function has an inverse function if any horizontal line drawn through it intersects the graph at only one point.
  • 23.
    23 What have youlearned A. Verify whether each pairs of graphs are inverses. 1. 2. 3. 4. YY Y Y X X XX
  • 24.
    24 5. 6. B. Answerthe following: 1. Find the inverse of f ( x ) = 10x - 1. 2. Show that f ( x ) = 5x – 10 and g ( x ) = x 5 1 + 2 are inverses. 3. Get the domain and the range of the function in #1. 4. Let h ( x ) = 6 – 2x. Find: a. h -1 ( x ) b. h -1 ( 5 ) c. h ( 1 ) and show that h -1 ( h ( 1 ) ) = 1. 5. Two functions are described in words. Is each function the inverse of the other? a. x is reduced by 1, then squared and increased by 3. b. x is reduced by 3, then the square root is found, which is then increased by 1. Y Y XX
  • 25.
    25 Answer Key How muchdo you know A. 1. No 2. Yes 3. Yes 4. Yes 5. No 6. Yes B. 1. 9 2. yes 3. f -1 ( x ) = x 6 1 4. a. yes b. no 5. g(x) is the inverse of f(x) Try this out Lesson 1 A. 1. f -1 ( x ) = x + 1 2. f -1 ( x ) = 2 3−x 3. f -1 ( x ) = 1 3 −x x 4. f -1 ( x ) = x x − − 2 34 5. f -1 ( x ) = 2 493 x+± 6. f -1 ( x ) = ( )3 1 2+x 7. f -1 ( x ) = 4 74 +− x 8. f -1 ( x ) = 4 895 x+±− 9. f -1 ( x ) = 2 62 +± x 10. f -1 ( x ) = 3 1 x B. 1. they are inverses 2. they are inverses 3. not inverses C. 1. f -1 ( x ) = 2 25 x− 2. f -1 ( 2 ) = 2 23 3. f -1 ( -3 ) = 14 4. f -1 ( f ( 4 )) = 4
  • 26.
    26 Lesson 2 1. 2.f(x ) = x2 f -1 (x) = 2 5−x f -1 (x) = x± 3. 4. 5. 6. y = x2 - 9 Y Y Y Y Y Y X y = 2x + 5 X X X X X y = x + 4 y = x - 4 y = 9−x y = 16+− x y = 16 - x2 y = 3 2−x y = 3x + 2
  • 27.
    27 What have learned A. 1.yes 2. No 3. yes 4. yes 5. yes 6. no B. 1. y = 10 1+x 2. g( f (x )) = ( ) 2105 5 1 +−x = x f( g(x)) = 5 102 5 1 −      +x = x 3. Domain: All real nos. Range: All Real 4. a. y = x 2 1 3 − b. 2 1 c. h -1 (h (1)) = 1 = 3 - 2 4 = 1 5. No