KEMBAR78
One java book | PDF
1


     Learn Java/J2EE core concepts and key areas


                        With


Java/J2EE Job Interview Companion


                         By

                K.Arulkumaran
                       &
                  A.Sivayini




              Technical Reviewers

                   Craig Malone
                  Stuart Watson
               Arulazi Dhesiaseelan
                  Lara D’Albreo




        Cover Design, Layout, & Editing

                     A.Sivayini




               Acknowledgements

                    A. Sivayini
         Mr. & Mrs. R. Kumaraswamipillai
2


                                                        Java/J2EE
                                                Job Interview Companion


                                      Copy Right 2005-2007 ISBN 978-1-4116-6824-9



    The author has made every effort in the preparation of this book to ensure the accuracy of the information. However,
    information in this book is sold without warranty either expressed or implied. The author will not be held liable for any
                       damages caused or alleged to be caused either directly or indirectly by this book.




         Please e-mail feedback & corrections (technical, grammatical and/or spelling) to
                                 java-interview@hotmail.com




First Edition (220+ Q&A): Dec 2005
Second Edition (400+ Q&A): March 2007
3

Outline


SECTION     DESCRIPTION

            What this book will do for you?

            Motivation for this book

            Key Areas index

SECTION 1   Interview questions and answers on:

            Java

                    Fundamentals
                    Swing
                    Applet
                    Performance and Memory issues
                    Personal and Behavioral/Situational
                    Behaving right in an interview
                    Key Points

SECTION 2   Interview questions and answers on:

            Enterprise Java

                    J2EE Overview
                    Servlet
                    JSP
                    JDBC / JTA
                    JNDI / LDAP
                    RMI
                    EJB
                    JMS
                    XML
                    SQL, Database, and O/R mapping
                    RUP & UML
                    Struts
                    Web and Application servers.
                    Best practices and performance considerations.
                    Testing and deployment.
                    Personal and Behavioral/Situational
                    Key Points

SECTION 3   Putting it all together section.

            How would you go about…?

            1.     How would you go about documenting your Java/J2EE application?

            2.     How would you go about designing a Java/J2EE application?

            3.     How would you go about identifying performance problems and/or memory leaks in your Java
                   application?

            4.     How would you go about minimizing memory leaks in your Java/J2EE application?

            5.     How would you go about improving performance of your Java/J2EE application?

            6.     How would you go about identifying any potential thread-safety issues in your Java/J2EE
                   application?

            7.     How would you go about identifying any potential transactional issues in your Java/J2EE
4

                 application?

            8.   How would you go about applying the Object Oriented (OO) design concepts in your Java/J2EE
                 application?

            9.   How would you go about applying the UML diagrams in your Java/J2EE project?

            10. How would you go about describing the software development processes you are familiar with?

            11. How would you go about applying the design patterns in your Java/J2EE application?

            12. How would you go about designing a Web application where the business tier is on a separate
                machine from the presentation tier. The business tier should talk to 2 different databases and your
                design should point out the different design patterns?

            13. How would you go about determining the enterprise security requirements for your Java/J2EE
                application?

            14. How would you go about describing the open source projects like JUnit (unit testing), Ant (build
                tool), CVS (version control system) and log4J (logging tool) which are integral part of most
                Java/J2EE projects?

            15. How would you go about describing Service Oriented Architecture (SOA) and Web services?


SECTION 4   Emerging Technologies/Frameworks

                    Test Driven Development (TDD).

                    Aspect Oriented Programming (AOP).

                    Inversion of Control (IoC) (Also known as Dependency Injection).

                    Annotations or attributes based programming (xdoclet etc).

                    Spring framework.

                    Hibernate framework.

                    EJB 3.0.

                    JavaServer Faces (JSF) framework.

SECTION 5   Sample interview questions …

                    Java

                    Web Components

                    Enterprise

                    Design

                    General

            GLOSSARY OF TERMS

            RESOURCES

            INDEX
5

Table of contents


Outline_________________________________________________________________________________________ 3
Table of contents ________________________________________________________________________________ 5
What this book will do for you? ____________________________________________________________________ 7
Motivation for this book __________________________________________________________________________ 8
Key Areas Index ________________________________________________________________________________ 11
Java – Interview questions & answers _____________________________________________________________ 13
  Java – Fundamentals _____________________________________________________________________________________ 14
  Java – Swing ____________________________________________________________________________________________ 69
  Java – Applet____________________________________________________________________________________________ 76
  Java – Performance and Memory issues _____________________________________________________________________ 78
  Java – Personal and Behavioral/Situational __________________________________________________________________ 83
  Java – Behaving right in an interview________________________________________________________________________ 89
  Java – Key Points ________________________________________________________________________________________ 91

Enterprise Java – Interview questions & answers ____________________________________________________ 94
  Enterprise - J2EE Overview ________________________________________________________________________________ 95
  Enterprise - Servlet ______________________________________________________________________________________ 108
  Enterprise - JSP ________________________________________________________________________________________ 126
  Enterprise – JDBC & JTA _________________________________________________________________________________ 145
  Enterprise – JNDI & LDAP ________________________________________________________________________________ 155
  Enterprise - RMI ________________________________________________________________________________________ 159
  Enterprise – EJB 2.x _____________________________________________________________________________________ 163
  Enterprise - JMS ________________________________________________________________________________________ 180
  Enterprise - XML ________________________________________________________________________________________ 190
  Enterprise – SQL, Database, and O/R mapping _______________________________________________________________ 197
  Enterprise - RUP & UML __________________________________________________________________________________ 206
  Enterprise - Struts_______________________________________________________________________________________ 214
  Enterprise - Web and Application servers ___________________________________________________________________ 218
  Enterprise - Best practices and performance considerations ___________________________________________________ 222
  Enterprise – Logging, testing and deployment _______________________________________________________________ 225
  Enterprise – Personal and Behavioral/Situational_____________________________________________________________ 228
  Enterprise – Software development process _________________________________________________________________ 230
  Enterprise – Key Points __________________________________________________________________________________ 233

How would you go about…?_____________________________________________________________________ 238
  Q 01:   How would you go about documenting your Java/J2EE application? FAQ ________________________________ 239

  Q 02:   How would you go about designing a Java/J2EE application? FAQ _____________________________________ 240

  Q 03:   How would you go about identifying performance and/or memory issues in your Java/J2EE application? FAQ _ 243

  Q 04:   How would you go about minimizing memory leaks in your Java/J2EE application? FAQ __________________ 244

  Q 05:   How would you go about improving performance in your Java/J2EE application? FAQ _____________________ 244

  Q 06:   How would you go about identifying any potential thread-safety issues in your Java/J2EE application? FAQ __ 245

  Q 07:   How would you go about identifying any potential transactional issues in your Java/J2EE application? FAQ __ 246
6

    Q 08:    How would you go about applying the Object Oriented (OO) design concepts in your Java/J2EE application? FAQ
             247
    Q 09:    How would you go about applying the UML diagrams in your Java/J2EE project? FAQ _____________________249

    Q 10:    How would you go about describing the software development processes you are familiar with? FAQ ________251
    Q 11:    How would you go about applying the design patterns in your Java/J2EE application? _____________________253
    Q 12:    How would you go about designing a Web application where the business tier is on a separate machine from the
    presentation tier. The business tier should talk to 2 different databases and your design should point out the different
    design patterns? FAQ ____________________________________________________________________________________286
    Q 13:    How would you go about determining the enterprise security requirements for your Java/J2EE application? ___287
    Q 14:     How would you go about describing the open source projects like JUnit (unit testing), Ant (build tool), CVS
    (version control system) and log4J (logging tool) which are integral part of most Java/J2EE projects? ________________292
    Q 15:    How would you go about describing Service Oriented Architecture (SOA) and Web services? FAQ ___________299

Emerging Technologies/Frameworks… ____________________________________________________________311
    Q 01:    What is Test Driven Development (TDD)? FAQ _______________________________________________________312
    Q 02:    What is the point of Test Driven Development (TDD)? What do you think of TDD?__________________________313
    Q 03:    What is aspect oriented programming (AOP)? Do you have any experience with AOP? _____________________313
    Q 04:    What are the differences between OOP and AOP? ____________________________________________________317
    Q 05:    What are the benefits of AOP?_____________________________________________________________________317
    Q 06:    What is attribute or annotation oriented programming? FAQ ___________________________________________317

    Q 07:    What are the pros and cons of annotations over XML based deployment descriptors? FAQ _________________318
    Q 08:    What is XDoclet? ________________________________________________________________________________319
    Q 09:    What is inversion of control (IoC) (also known more specifically as dependency injection)? FAQ_____________319

    Q 10:    What are the different types of dependency injections? FAQ ___________________________________________321

    Q 11:    What are the benefits of IoC (aka Dependency Injection)? FAQ _________________________________________322
    Q 12:    What is the difference between a service locator pattern and an inversion of control pattern? _______________323
    Q 13:    Why dependency injection is more elegant than a JNDI lookup to decouple client and the service? ___________323
    Q 14:    Explain Object-to-Relational (O/R) mapping? ________________________________________________________323
    Q 15:    Give an overview of hibernate framework? FAQ ______________________________________________________324
    Q 16:    Explain some of the pitfalls of Hibernate and explain how to avoid them? Give some tips on Hibernate best
    practices? FAQ _________________________________________________________________________________________333

    Q 17:    Give an overview of the Spring framework? What are the benefits of Spring framework? FAQ _______________334

    Q 18:    How would EJB 3.0 simplify your Java development compared to EJB 1.x, 2.x ? FAQ ______________________337
    Q 19:    Briefly explain key features of the JavaServer Faces (JSF) framework? __________________________________339
    Q 20:     How would the JSF framework compare with the Struts framework? How would a Spring MVC framework compare
    with Struts framework?___________________________________________________________________________________341

Sample interview questions… ____________________________________________________________________344
    Java___________________________________________________________________________________________________345
    Web components________________________________________________________________________________________345
    Enterprise ______________________________________________________________________________________________345
    Design_________________________________________________________________________________________________347
    General ________________________________________________________________________________________________347

GLOSSARY OF TERMS__________________________________________________________________________348
RESOURCES __________________________________________________________________________________350
INDEX ________________________________________________________________________________________352
7

What this book will do for you?

Have you got the time to read 10 or more books and articles to add value prior to the interview? This book has been
written mainly from the perspective of Java/J2EE job seekers and interviewers. There are numerous books and articles
on the market covering specific topics like Java, J2EE, EJB, Design Patterns, ANT, CVS, Multi-Threading, Servlets, JSP,
emerging technologies like AOP (Aspect Oriented Programming), Test Driven Development (TDD), Dependency Injection
Dl (aka IoC – Inversion of Control) etc. But from an interview perspective it is not possible to brush up on all these books
where each book usually has from 300 pages to 600 pages. The basic purpose of this book is to cover all the core
concepts and key areas, which all Java/J2EE developers, designers and architects should be conversant with to perform
well in their current jobs and to launch a successful career by doing well at interviews. The interviewer can also use this
book to make sure that they hire the right candidate depending on their requirements. This book contains a wide range of
topics relating to Java/J2EE development in a concise manner supplemented with diagrams, tables, sample codes and
examples. This book is also appropriately categorized to enable you to choose the area of interest to you.

This book will assist all Java/J2EE practitioners to become better at what they do. Usually it takes years to understand all
the core concepts and key areas when you rely only on your work experience. The best way to fast track this is to read
appropriate technical information and proactively apply these in your work environment. It worked for me and hopefully it
will work for you as well. I was also at one stage undecided whether to name this book “Java/J2EE core concepts and
key areas” or “Java/J2EE Job Interview Companion”. The reason I chose “Java/J2EE Job Interview Companion” is
because the core concepts and key areas discussed in this book helped me to be successful in my interviews, helped me
to survive and succeed at my work regardless what my job (junior developer, senior developer, technical lead, designer,
contractor etc) was and also gave me thumbs up in code reviews. This book also has been set out as a handy reference
guide and a roadmap for building enterprise Java applications.
8

Motivation for this book

I started using Java in 1999 when I was working as a junior developer. During those two years as a permanent employee,
I pro-actively spent many hours studying the core concepts behind Java/J2EE in addition to my hands on practical
experience. Two years later I decided to start contracting. Since I started contracting in 2001, my career had a much-
needed boost in terms of contract rates, job satisfaction, responsibility etc. I moved from one contract to another with a
view of expanding my skills and increasing my contract rates.

In the last 5 years of contracting, I have worked for 5 different organizations both medium and large on 8 different
projects. For each contract I held, on average I attended 6-8 interviews with different companies. In most cases multiple
job offers were made and consequently I was in a position to negotiate my contract rates and also to choose the job I
liked based on the type of project, type of organization, technology used, etc. I have also sat for around 10 technical tests
and a few preliminary phone interviews.

The success in the interviews did not come easily. I spent hours prior to each set of interviews wading through various
books and articles as a preparation. The motivation for this book was to collate all this information into a single book,
which will save me time prior to my interviews but also can benefit others in their interviews. What is in this book has
helped me to go from just a Java/J2EE job to a career in Java/J2EE in a short time. It has also given me the job
security that ‘I can find a contract/permanent job opportunity even in the difficult job market’.

I am not suggesting that every one should go contracting but by performing well at the interviews you can be in a position
to pick the permanent role you like and also be able to negotiate your salary package. Those of you who are already in
good jobs can impress your team leaders, solution designers and/or architects for a possible promotion by demonstrating
your understanding of the key areas discussed in this book. You can discuss with your senior team members about
performance issues, transactional issues, threading issues (concurrency issues) and memory issues. In most of
my previous contracts I was in a position to impress my team leads and architects by pinpointing some of the critical
performance, memory, transactional and threading issues with the code and subsequently fixing them. Trust me it is not
hard to impress someone if you understand the key areas.


For example:

    Struts action classes are not thread-safe (Refer Q113 in Enterprise section).
    JSP variable declaration is not thread-safe (Refer Q34 in Enterprise section).
    Valuable resources like database connections should be closed properly to avoid any memory and performance
    issues (Refer Q45 in Enterprise section).
    Throwing an application exception will not rollback the transaction in EJB. (Refer Q77 in Enterprise section).


The other key areas, which are vital to any software development, are a good understanding of some of key design
concepts, design patterns, and a modeling language like UML. These key areas are really worthy of a mention in your
resume and interviews.

For example:

    Know how to use inheritance, polymorphism and encapsulation (Refer Q7, Q8, Q9, and Q10 in Java section.).
    Why use design patterns? (Refer Q5 in Enterprise section).
    Why is UML important? (Refer Q106 in Enterprise section).



If you happen to be in an interview with an organization facing serious issues with regards to their Java application
relating to memory leaks, performance problems or a crashing JVM etc then you are likely to be asked questions on
these topics. Refer Q72 – Q74 in Java section and Q123, Q125 in Enterprise section.


If you happen to be in an interview with an organization which is working on a pilot project using a different development
methodology like agile methodology etc or has just started adopting a newer development process or methodology
then you are likely to be asked questions on this key area.

If the team lead/architect of the organization you are being interviewed for feels that the current team is lacking skills in
the key areas of design concepts and design patterns then you are likely to be asked questions on these key areas.
9

Another good reason why these key areas like transactional issues, design concepts, design patterns etc are vital are
because solution designers, architects, team leads, and/or senior developers are usually responsible for conducting the
technical interviews. These areas are their favorite topics because these are essential to any software development.

Some interviewers request you to write a small program during interview or prior to getting to the interview stage. This is
to ascertain that you can code using object oriented concepts and design patterns. So I have included a coding key area
to illustrate what you need to look for while coding.

          Apply OO concepts like inheritance, polymorphism and encapsulation: Refer Q10 in Java section.
          Program to interfaces not to implementations: Refer Q12, Q17 in Java section.
          Use of relevant design patterns: Refer Q11, Q12 in How would you go about… section.
          Use of Java collections API and exceptions correctly: Refer Q16 and Q39 in Java section.
          Stay away from hard coding values: Refer Q05 in Java section.


       L anguage
     F u n d a m e n ta ls                                H o w m a n y b o o k s d o I h a v e to re a d to                                        P e rfo rm a n c e
                                                          u n d e rs ta n d a n d p u t to g e th e r a ll th e s e                                     Is s u e s
                                                          k e y a re a s ?

                                                          H o w m a n y y e a rs o f e x p e rie n c e
                                                          s h o u ld I h a v e to u n d e rs ta n d a ll th e s e
        S p e c ific a tio n                              k e y a re a s ?                                                                                  E x c e p tio n
        F u n d a m e n ta ls                                                                                                                               H a n d lin g
                                                          W ill th e s e k e y a re a s h e lp m e
                                                          p ro g re s s in m y c a re e r?
                                                                                                                             S o ftw a re
                                                                                                                           D e v e lo p m e n t
                                                                                                                               P ro c e s s
                                                          W ill th e s e k e y a re a s h e lp m e c u t
                                                          q u a lity c o d e ?                                                                              D e s ig n
       D e s ig n                                                                                                                                          C o n c e p ts
                                      S E c u rity
       P a tte rn s

                                                                                                                           T ra n s a c tio n a l
                                                                                                                               Is s u e s
                                                                                                                                                               B est
   C o n c u rre n c y           S c a la b ility                                                                                                            P ra c tic e s
      Is s u e s                   Iss u e s


                                                                                                                                                        M e m o ry
                                                                                                                                                        Is su e s
       C O d in g




                                LF                  DC         CI                  PI                SE               EH                 SD



                                DP                  SF        MI                   SI                 TI              BP                CO



                                                     This book aims to solve the above dilemma.

My dad keeps telling me to find a permanent job (instead of contracting), which in his view provides better job security but
I keep telling him that in my view in Information Technology the job security is achieved only by keeping your knowledge
and skills sharp and up to date. The 8 contract positions I held over the last 5.5 years have given me broader experience
in Java/J2EE and related technologies. It also kept me motivated since there was always something new to learn in each
assignment, and not all companies will appreciate your skills and expertise until you decide to leave. Do the following
statements sound familiar to you when you hand in your resignation or decide not to extend your contract after getting
another job offer? “Can I tempt you to come back? What can I do to keep you here?” etc. You might even think why you
waited so long. The best way to make an impression in any organizations is to understand and proactively apply and
10

resolve the issues relating to the Key Areas discussed in this book. But be a team player, be tactful and don’t be
critical of everything, do not act in a superior way and have a sense of humor.


                “Technical skills must be complemented with good business and interpersonal skills.”



                                                                                                 Describe a time when you
                                                                                                were faced with a stressful
                                                                                                situation that demonstrated
              Give me an example                                                                     your coping skills?
              of a time when you
              set a goal and were
               able to achieve it?

                                                                 Development team
                                                       You


                                                  Knowledge/understanding of the business.
                                           Ability to communicate and interact effectively with the
                                                         business users/customers.
                                           Ability to look at things from the user's perspective as
                                                 opposed to only technology perspective.
                                           Ability to persuade/convince business with alternative
                                                                  solutions.
                                              Ability to communicate effectively with your fellow
                                           developers, immediate and senior management.                      Immediate
          Business users/                     Ability to work in a team as well as independently.           management
         External customers                             Problem solving/analytical skills.
                                                              Organizational skills.
                                        Ability to cope with difficult situations like stress due to work
                                     load, deadlines etc and manage or deal with difficult people.
                                                  Being a good listener with the right attitude.


                                                                                                            Give me an example of a time you
  Describe a time when you had to                                                                           motivated others? Or dealt with a
 work with others in the organization                                                                               difficult person?
  to accomplish the organizational
               goals?


                                                             Senior management



IMPORTANT: Technical skills alone are not sufficient for you to perform well in your interviews and progress in your
career. Your technical skills must be complemented with business skills (i.e. knowledge/understanding of the business,
ability to communicate and interact effectively with the business users/customers, ability to look at things from the users’
perspective as opposed to only from technology perspective, ability to persuade/convince business with alternative
solutions, which can provide a win/win solution from users’ perspective as well as technology perspective), ability to
communicate effectively with your fellow developers, immediate and senior management, ability to work in a team as well
as independently, problem solving/analytical skills, organizational skills, ability to cope with difficult situations like stress
due to work load, deadlines etc and manage or deal with difficult people, being a good listener with the right attitude (It is
sometimes possible to have “I know it all attitude”, when you have strong technical skills. These are discussed in “Java
– Personal” and “Enterprise Java – Personal” sub-sections with examples.


Quick Read guide: It is recommended that you go through all the questions in all the sections (all it takes is to read a
few questions & answers each day) but if you are pressed for time or would like to read it just before an interview then
follow the steps shown below:

-- Read/Browse all questions marked as “FAQ” in all four sections.
-- Read/Browse Key Points in Java and Enterprise Java sections.
11

Key Areas Index

I have categorized the core concepts and issues into 14 key areas as listed below. These key areas are vital for any
good software development. This index will enable you to refer to the questions based on key areas. Also note that each
question has an icon next to it to indicate which key area or areas it belongs to. Additional reading is recommended for
beginners in each of the key areas.


 Key Areas               icon    --------------------------------------- Question Numbers ------------------------------------------------

                                      Java section                    Enterprise Java section            How               Emerging
                                                                                                       would you        Technologies
                                                                                                          go            / Frameworks
                                                                                                       about…?
 Language                       Q1-Q6, Q12-Q16, Q18-              -                                                     Q10, Q15,
 Fundamentals                   Q24, Q26-Q33, Q35-                                                                      Q17, Q19
                         LF
                                Q38, Q41-Q50, Q53-Q71

 Specification                  -                                 Q1, Q2, Q4, Q6, Q7-Q15,              Q15
 Fundamentals                                                     Q17-Q19, Q22, Q26-Q33,
                                                                  Q35-Q38, Q41, Q42, Q44,
                                                                  Q46-Q81, Q89-Q93, Q95-
                         SF
                                                                  Q97, Q99, 102, Q110,
                                                                  Q112-Q115, Q118-Q119,
                                                                  Q121, Q126, Q127, Q128

 Design Concepts                Q1, Q7-Q12, Q15, Q26,             Q2, Q3, Q19, Q20, Q21,               Q02, Q08,        Q3 - Q13,
                                Q22, Q56                          Q31, Q45, Q91, Q94, Q98,             Q09, Q15         Q13, Q14,
                         DC                                       Q101, Q106, Q107, Q108,                               Q16, Q17,
                                                                  Q109, Q111                                            Q18, Q20

 Design Patterns                Q12, Q16, Q24, Q36,               Q5, Q5, Q22, Q24, Q25,               Q11, Q12         Q9 - Q13
                                Q51, Q52, Q58, Q63,               Q41, Q83, Q84, Q85, Q86,
                         DP     Q75                               Q87, Q88, Q110, Q111,
                                                                  Q116

 Transactional                  -                                 Q43, Q71, Q72, Q73, Q74,             Q7
 Issues                   TI                                      Q75, Q77, Q78, Q79

 Concurrency Issues             Q15, Q17, Q21, Q34,               Q16, Q34, Q72, Q78,                  Q6
                          CI    Q42, Q46, Q62                     Q113

 Performance Issues             Q15, Q17,Q20-Q26,                 Q10, Q16, Q43, Q45, Q46,             Q3, Q5
                                Q46, Q62, Q72                     Q72, Q83-Q88, Q93, Q97,
                          PI                                      Q98, Q100, Q102, Q123,
                                                                  Q125, Q128

 Memory Issues                  Q26, Q34, Q37,Q38,                Q45, Q93                             Q3, Q4
                         MI     Q42, Q51, Q73, Q74

 Scalability Issues             Q23, Q24                          Q20, Q21, Q120, Q122
                          SI

 Exception Handling             Q39, Q40                          Q76, Q77
                         EH

 Security                       Q10, Q35, Q70                     Q12, Q13, Q23, Q35, Q46,             Q13
                         SE                                       Q51, Q58, Q81, Q92

 Best Practices                 Q17, Q25, Q39, Q72,               Q10, Q16, Q39, Q40, Q41,             Q1, Q2
                         BP     Q73                               Q46, Q82, Q124, Q125
12

    Software                          -                                Q103-Q109, Q129, Q130,             Q1, Q9,          Q1, Q2
    Development               SD                                       Q132, Q136                         Q10, Q14
    Process
    Coding1                           Q05, Q10, Q12, Q14 –             Q10, Q18, Q21, Q23, Q36,           Q11, Q12
                                      Q21, Q23, Q25, Q26,              Q38, Q42, Q43, Q45, Q74,
                              CO      Q33, Q35, Q39, Q51,              Q75, Q76, Q77, Q112,
                                      Q52, Q55                         Q114, Q127, Q128

    Frequently Asked                  Q1, Q6, Q7, Q9, Q10,             Q1, Q2, Q3, Q7, Q10, Q11,          Q1, Q2,          Q1, Q6, Q7,
    Questions                         Q12, Q13, Q14, Q15,              Q12, Q13, Q16, Q19, Q22,           Q3, Q4,          Q9, Q10, Q11,
                                      Q16, Q18, Q20, Q21,              Q24, Q25, Q27, Q28, Q30,           Q5, Q6,          Q15, Q16,
                                      Q22, Q23, Q27, Q28,              Q31, Q32, Q34, Q35, Q36,           Q7, Q8,          Q17, Q18
                                      Q29, Q30, Q31, Q32,              Q39, Q40, Q41, Q42, Q43,           Q9, Q10,
                                      Q36, Q37, Q43, Q45,              Q45, Q46, Q48, Q49, Q50,           Q12, Q15
                                      Q46, Q48, Q51, Q52,              Q52, Q53, Q61, Q63, Q65,
                                      Q55, Q58, Q60, Q62,              Q66, Q69, Q70, Q71, Q72,
                             FAQ      Q63, Q64, Q67, Q68,              Q73, Q76, Q77, Q82, Q83,
                                      Q69, Q70, Q71                    Q84, Q85, Q86, Q87, Q90,
                                      Q72 – Q86                        Q91, Q93, Q95, Q96, Q97,
                                                                       Q98, Q100, Q101, Q102,
                                                                       Q107, Q108, Q110, Q113,
                                                                       Q115, Q116, Q118, Q123,
                                                                       Q124, Q125, Q126, Q129,
                                                                       Q130, Q131, Q133, Q134,
                                                                       Q135, Q136.

1
  Some interviewers request you to write a small program during interview or prior to getting to the interview stage. This is to ascertain
that you can code using object oriented concepts and design patterns. I have included a coding key area to illustrate what you need to
look for while coding. Unlike other key areas, the CO is not always shown against the question but shown above the actual section of
relevance within a question.
Java                                                            13




                              SECTION ONE



                              Java – Interview questions & answers


                                 Language Fundamentals                      LF
                       K
                       E
                                 Design Concepts DC
                       Y         Design Patterns DP
                                 Concurrency Issues CI
                       A         Performance Issues PI
                       R         Memory Issues MI
                       E         Exception Handling EH
                       A
                       S
                                 Security SE
                                 Scalability Issues SI
                                 Coding1 CO




                              FAQ - Frequently Asked Questions




1
 Unlike other key areas, the CO is not always shown against the question but shown above the actual content of relevance within a
question.
14                                              Java - Fundamentals


Java – Fundamentals


Q 01: Give a few reasons for using Java? LF DC FAQ
A 01: Java is a fun language. Let’s look at some of the reasons:

           Built-in support for multi-threading, socket communication, and memory management (automatic garbage
           collection).

           Object Oriented (OO).

           Better portability than other languages across operating systems.

           Supports Web based applications (Applet, Servlet, and JSP), distributed applications (sockets, RMI, EJB etc)
           and network protocols (HTTP, JRMP etc) with the help of extensive standardized APIs (Application
           Programming Interfaces).


Q 02: What is the main difference between the Java platform and the other software platforms? LF
A 02: Java platform is a software-only platform, which runs on top of other hardware-based platforms like UNIX, NT etc.




       The Java platform has 2 components:

           Java Virtual Machine (JVM) – ‘JVM’ is a software that can be ported onto various hardware platforms. Byte
           codes are the machine language of the JVM.

           Java Application Programming Interface (Java API) – set of classes written using the Java language and run
           on the JVM.


Q 03: What is the difference between C++ and Java? LF
A 03: Both C++ and Java use similar syntax and are Object Oriented, but:

           Java does not support pointers. Pointers are inherently tricky to use and troublesome.

           Java does not support multiple inheritances because it causes more problems than it solves. Instead Java
           supports multiple interface inheritance, which allows an object to inherit many method signatures from
           different interfaces with the condition that the inheriting object must implement those inherited methods. The
           multiple interface inheritance also allows an object to behave polymorphically on those methods. [Refer Q9
           and Q10 in Java section.]

           Java does not support destructors but adds a finalize() method. Finalize methods are invoked by the garbage
           collector prior to reclaiming the memory occupied by the object, which has the finalize() method. This means
           you do not know when the objects are going to be finalized. Avoid using finalize() method to release non-
           memory resources like file handles, sockets, database connections etc because Java has only a finite
           number of these resources and you do not know when the garbage collection is going to kick in to release
           these resources through the finalize() method.

           Java does not include structures or unions because the traditional data structures are implemented as an
           object oriented framework (Java Collections Framework – Refer Q16, Q17 in Java section).
Java - Fundamentals                                                                   15

           All the code in Java program is encapsulated within classes therefore Java does not have global variables or
           functions.

           C++ requires explicit memory management, while Java includes automatic garbage collection. [Refer Q37 in
           Java section].


Q 04: What are the usages of Java packages? LF
A 04: It helps resolve naming conflicts when different packages have classes with the same names. This also helps you
       organize files within your project. For example: java.io package do something related to I/O and java.net
       package do something to do with network and so on. If we tend to put all .java files into a single package, as the
       project gets bigger, then it would become a nightmare to manage all your files.

       You can create a package as follows with package keyword, which is the first keyword in any Java program
       followed by import statements. The java.lang package is imported implicitly by default and all the other packages
       must be explicitly imported.

       package com.xyz.client ;
       import java.io.File;
       import java.net.URL;



Q 05: Explain Java class loaders? If you have a class in a package, what do you need to do to run it? Explain dynamic
       class loading? LF
A 05: Class loaders are hierarchical. Classes are introduced into the JVM as they are referenced by name in a class that
       is already running in the JVM. So, how is the very first class loaded? The very first class is especially loaded with
       the help of static main( ) method declared in your class. All the subsequently loaded classes are loaded by the
       classes, which are already loaded and running. A class loader creates a namespace. All JVMs include at least one
       class loader that is embedded within the JVM called the primordial (or bootstrap) class loader. Now let’s look at
       non-primordial class loaders. The JVM has hooks in it to allow user defined class loaders to be used in place of
       primordial class loader. Let us look at the class loaders created by the JVM.

       CLASS LOADER        reloadable?           Explanation
        Bootstrap          No                    Loads JDK internal classes, java.* packages. (as defined in the sun.boot.class.path
        (primordial)                             system property, typically loads rt.jar and i18n.jar)

        Extensions         No                    Loads jar files from JDK extensions directory (as defined in the java.ext.dirs system
                                                 property – usually lib/ext directory of the JRE)

        System             No                    Loads classes from system classpath (as defined by the java.class.path property, which
                                                 is set by the CLASSPATH environment variable or –classpath or –cp command line
                                                 options)



                                                                JVM class loaders
                             Bootstrap
                            (primordial)
                                                                  Classes loaded by Bootstrap class loader have no visibility into classes
                           (rt.jar, i18.jar)
                                                                  loaded by its descendants (ie Extensions and Systems class loaders).

                               Extensions                         The classes loaded by system class loader have visibility into classes loaded
                                (lib/ext)                         by its parents (ie Extensions and Bootstrap class loaders).

                                                                  If there were any sibling class loaders they cannot see classes loaded by
                                  System                          each other. They can only see the classes loaded by their parent class
                               (-classpath)                       loader. For example Sibling1 class loader cannot see classes loaded by
                                                                  Sibling2 class loader

                   Sibling1                     Sibling2          Both Sibling1 and Sibling2 class loaders have visibilty into classes loaded
                 classloader                  classloader         by their parent class loaders (eg: System, Extensions, and Bootstrap)



       Class loaders are hierarchical and use a delegation model when loading a class. Class loaders request their
       parent to load the class first before attempting to load it themselves. When a class loader loads a class, the child
       class loaders in the hierarchy will never reload the class again. Hence uniqueness is maintained. Classes loaded
16                                                   Java - Fundamentals

     by a child class loader have visibility into classes loaded by its parents up the hierarchy but the reverse is not true
     as explained in the above diagram.

     Q. What do you need to do to run a class with a main() method in a package?

     Example: Say, you have a class named “Pet” in a project folder “c:myProject” and package named
     com.xyz.client, will you be able to compile and run it as it is?

     package com.xyz.client;

     public class Pet {
         public static void main(String[] args) {
              System.out.println("I am found in the classpath");
         }
     }

     To run      c:myProject> java com.xyz.client.Pet

     The answer is no and you will get the following exception: “Exception in thread "main" java.lang.-
     NoClassDefFoundError: com/xyz/client/Pet”. You need to set the classpath. How can you do that? One of the
     following ways:

     1.   Set the operating system CLASSPATH environment variable to have the project folder “c:myProject”. [Shown
          in the above diagram as the System –classpath class loader]
     2.   Set the operating system CLASSPATH environment variable to have a jar file “c:/myProject/client.jar”, which
          has the Pet.class file in it. [Shown in the above diagram as the System –classpath class loader].
     3.   Run it with –cp or –classpath option as shown below:

          c:>java –cp  c:/myProject com.xyz.client.Pet
                        OR
          c:>java -classpath c:/myProject/client.jar com.xyz.client.Pet

     Important: Two objects loaded by different class loaders are never equal even if they carry the same values, which mean a
     class is uniquely identified in the context of the associated class loader. This applies to singletons too, where each class
     loader will have its own singleton. [Refer Q51 in Java section for singleton design pattern]

     Q. Explain static vs. dynamic class loading?
      Static class loading                 Dynamic class loading
      Classes are statically loaded with Java’s     Dynamic loading is a technique for programmatically invoking the functions of a
      “new” operator.                               class loader at run time. Let us look at how to load classes dynamically.

      class MyClass {                               Class.forName (String className); //static method which returns a Class
         public static void main(String args[]) {
            Car c = new Car();                      The above static method returns the class object associated with the class
         }                                          name. The string className can be supplied dynamically at run time. Unlike the
      }                                             static loading, the dynamic loading will decide whether to load the class Car or
                                                    the class Jeep at runtime based on a properties file and/or other runtime
                                                    conditions. Once the class is dynamically loaded the following method returns an
                                                    instance of the loaded class. It’s just like creating a class object with no
                                                    arguments.

                                                    class.newInstance (); //A non-static method, which creates an instance of a
                                                                          //class (i.e. creates an object).

                                                    Jeep myJeep = null ;
                                                    //myClassName should be read from a .properties file or a Constants class.
                                                    // stay away from hard coding values in your program. CO
                                                    String myClassName = "au.com.Jeep" ;
                                                    Class vehicleClass = Class.forName(myClassName) ;
                                                    myJeep = (Jeep) vehicleClass.newInstance();
                                                    myJeep.setFuelCapacity(50);

      A NoClassDefFoundException is                 A ClassNotFoundException is thrown when an application tries to load in a
      thrown if a class is referenced with          class through its string name using the following methods but no definition for the
      Java’s “new” operator (i.e. static loading)   class with the specified name could be found:
      but the runtime system cannot find the
      referenced class.                                     The forName(..) method in class - Class.
                                                            The findSystemClass(..) method in class - ClassLoader.
                                                            The loadClass(..) method in class - ClassLoader.
Java - Fundamentals                                                             17

        Q. What are “static initializers” or “static blocks with no function names”? When a class is loaded, all blocks
        that are declared static and don’t have function name (i.e. static initializers) are executed even before the
        constructors are executed. As the name suggests they are typically used to initialize static fields. CO

        public class StaticInitializer {
           public static final int A = 5;
           public static final int B; //note that it is not    public static final int B = null;
           //note that since B is final, it can be initialized only once.

              //Static initializer block, which is executed only once when the class is loaded.

              static {
                 if(A == 5)
                    B = 10;
                 else
                    B = 5;
              }

              public StaticInitializer(){}            //constructor is called only after static initializer block
        }

        The following code gives an Output of A=5, B=10.

        public class Test {
            System.out.println("A =" + StaticInitializer.A + ", B =" + StaticInitializer.B);
        }



Q 06: What is the difference between constructors and other regular methods? What happens if you do not provide a
        constructor? Can you call one constructor from another? How do you call the superclass’s constructor? LF FAQ
A 06:
            Constructors                                           Regular methods
            Constructors must have the same name as the class      Regular methods can have any name and can be called any number of
            name and cannot return a value. The constructors       times. E.g. for a Pet.class.
            are called only once per creation of an object while
            regular methods can be called many times. E.g. for a   public void Pet(){}   // regular method has a void return type.
            Pet.class
                                                                   Note:      method name is shown starting with an uppercase to
            public Pet() {} // constructor                         differentiate a constructor from a regular method. Better naming
                                                                   convention is to have a meaningful name starting with a lowercase
                                                                   like:

                                                                   public void createPet(){} // regular method has a void return type

        Q. What happens if you do not provide a constructor? Java does not actually require an explicit constructor in
        the class description. If you do not include a constructor, the Java compiler will create a default constructor in the
        byte code with an empty argument. This default constructor is equivalent to the explicit “Pet(){}”. If a class includes
        one or more explicit constructors like “public Pet(int id)” or “Pet(){}” etc, the java compiler does not create the
        default constructor “Pet(){}”.

        Q. Can you call one constructor from another? Yes, by using this() syntax. E.g.

        public Pet(int id) {
            this.id = id;                                     // “this” means this object
        }
        public Pet (int id, String type) {
            this(id);                                         // calls constructor public Pet(int id)
            this.type = type;                                // ”this” means this object
        }

        Q. How to call the superclass constructor? If a class called “SpecialPet” extends your “Pet” class then you can
        use the keyword “super” to invoke the superclass’s constructor. E.g.

        public SpecialPet(int id) {
             super(id);                                      //must be the very first statement in the constructor.
        }

        To call a regular method in the super class use: “super.myMethod( );”. This can be called at any line. Some
        frameworks based on JUnit add their own initialization code, and not only do they need to remember to invoke
18                                               Java - Fundamentals

       their parent's setup() method, you, as a user, need to remember to invoke theirs after you wrote your initialization
       code:
       public class DBUnitTestCase extends TestCase {
         public void setUp() {
           super.setUp();
           // do my own initialization
         }
       }

       public void cleanUp() throws Throwable
       {
            try {
              … // Do stuff here to clean up your object(s).
            }
            catch (Throwable t) {}
            finally{
                super.cleanUp(); //clean up your parent class. Unlike constructors
                                 // super.regularMethod() can be called at any line.
            }
       }



Q 07: What are the advantages of Object Oriented Programming Languages (OOPL)? DC FAQ
A 07: The Object Oriented Programming Languages directly represent the real life objects like Car, Jeep, Account,
       Customer etc. The features of the OO programming languages like polymorphism, inheritance and
       encapsulation make it powerful. [Tip: remember pie which, stands for Polymorphism, Inheritance and
       Encapsulation are the 3 pillars of OOPL]


Q 08: How does the Object Oriented approach improve software development? DC
A 08: The key benefits are:

           Re-use of previous work: using implementation inheritance and object composition.
           Real mapping to the problem domain: Objects map to real world and represent vehicles, customers,
           products etc: with encapsulation.
           Modular Architecture: Objects, systems, frameworks etc are the building blocks of larger systems.

       The increased quality and reduced development time are the by-products of the key benefits discussed above.
       If 90% of the new application consists of proven existing components then only the remaining 10% of the code
       have to be tested from scratch.


Q 09: How do you express an ‘is a’ relationship and a ‘has a’ relationship or explain inheritance and composition? What
       is the difference between composition and aggregation? DC FAQ
A 09: The ‘is a’ relationship is expressed with inheritance and ‘has a’ relationship is expressed with composition. Both
       inheritance and composition allow you to place sub-objects inside your new class. Two of the main techniques for
       code reuse are class inheritance and object composition.


                                       Inheritance [ is a ] Vs Composition [ has a ]

             Building           is a             is a [House is a Building]      has a [House has a Bathroom]
                                                 class Building{                 class House {
                                 has a            .......                            Bathroom room = new Bathroom() ;
                                                 }                                   ....
                                                                                    public void getTotMirrors(){
                                                 class House extends Building{           room.getNoMirrors();
                                 Bathroom         .........                              ....
              House
                                                 }                                  }
                                                                                 }



       Inheritance is uni-directional. For example House is a Building. But Building is not a House. Inheritance uses
       extends key word. Composition: is used when House has a Bathroom. It is incorrect to say House is a
Java - Fundamentals                                                                    19

        Bathroom. Composition simply means using instance variables that refer to other objects. The class House will
        have an instance variable, which refers to a Bathroom object.

        Q. Which one to favor, composition or inheritance? The guide is that inheritance should be only used when
        subclass ‘is a’ superclass.

              Don’t use inheritance just to get code reuse. If there is no ‘is a’ relationship then use composition for code
              reuse. Overuse of implementation inheritance (uses the “extends” key word) can break all the subclasses, if
              the superclass is modified.

              Do not use inheritance just to get polymorphism. If there is no ‘is a’ relationship and all you want is
              polymorphism then use interface inheritance with composition, which gives you code reuse (Refer Q10
              in Java section for interface inheritance).

        What is the difference between aggregation and composition?
         Aggregation                                    Composition
          Aggregation is an association in which one class                Composition is an association in which one class belongs to a
          belongs to a collection. This is a part of a whole              collection. This is a part of a whole relationship where a part
          relationship where a part can exist without a whole.            cannot exist without a whole. If a whole is deleted then all parts are
          For example a line item is a whole and product is a             deleted. For example An order is a whole and line items are parts.
          part. If a line item is deleted then corresponding              If an order is deleted then all corresponding line items for that
          product need not be deleted. So aggregation has a               order should be deleted. So composition has a stronger
          weaker relationship.                                            relationship.




Q 10: What do you mean by polymorphism, inheritance, encapsulation, and dynamic binding? DC SE FAQ
A 10: Polymorphism – means the ability of a single variable of a given type to be used to reference objects of
        different types, and automatically call the method that is specific to the type of object the variable references. In a
        nutshell, polymorphism is a bottom-up method call. The benefit of polymorphism is that it is very easy to add new
        classes of derived objects without breaking the calling code (i.e. getTotArea() in the sample code shown
        below) that uses the polymorphic classes or interfaces. When you send a message to an object even though you
        don’t know what specific type it is, and the right thing happens, that’s called polymorphism. The process used by
        object-oriented programming languages to implement polymorphism is called dynamic binding. Let us look at
        some sample code to demonstrate polymorphism: CO

Sam ple code:
 //client or calling code                                                                                              <<abstract>>
                                                                        For exam ple: given a base                        Shape
 double dim = 5.0; //ie 5 m eters radius or width
 List listShapes = new ArrayList(20);                                   class/interface Shape,
                                                                        polymorphism allows the                       +area() : double
 Shape s = new Circle();                                                program m er to define
 listShapes.add(s); //add circle
                                                                        different area(double
 s = new Square();                                                      dim 1) methods for any               Circle
 listShapes.add(s); //add square                                        number of derived classes                                          Square
                                                                        such as Circle, Square etc.     +area() : double
 getTotArea (listShapes,dim ); //returns 78.5+25.0=103.5
                                                                        N o m atter what shape an                                      +area() : double

 //Later on, if you decide to add a half circle then define             object is, applying the area
 //a HalfCircle class, which extends Circle and then provide an         m ethod to it will return the      H alfC ircle
 //area(). m ethod but your called m ethod getTotArea(...) rem ains     right results.
 //sam e.
                                                                                                        +area() : double
 s = new H alfCircle();                                                 Later on H alfCicle can be
 listShapes.add(s); //add HalfC ircle                                   added without breaking
                                                                        your called code i.e.
 getTotArea (listShapes,dim ); //returns 78.5+25.0+39.25=142.75
                                                                        m ethod getTotalArea(...)                    «interface»
                                                                                                                       Shape
 /** called m ethod: m ethod which adds up areas of various
                                                                                                                   +area() : double
 ** shapes supplied to it.
 **/                                                                    Depending on what the
 public double getTotArea(List listShapes, double dim ){                shape is, appropriate
     Iterator it = listShapes.iterator();                               area(double dim ) m ethod            Circle                    Square
     double totalArea = 0.0;                                            gets called and calculated.
     //loop through different shapes
                                                                        Circle     area is 78.5sqm      +area() : double         +area() : double
     w hile(it.hasNext()) {
         Shape s = (Shape) it.next();                                   Square       area is 25sqm
         totalArea += s.area(dim );       //polym orphic m ethod call   HalfC ircle    area is 39.25
                                                                                                                          HalfCircle
     }                                                                  sqm
     return totalArea ;
 }                                                                                                                    +area() : double
20                                                      Java - Fundamentals

Inheritance – is the inclusion of behavior (i.e. methods) and state (i.e. variables) of a base class in a derived class so
that they are accessible in that derived class. The key benefit of Inheritance is that it provides the formal mechanism for
code reuse. Any shared piece of business logic can be moved from the derived class into the base class as part of
refactoring process to improve maintainability of your code by avoiding code duplication. The existing class is called the
superclass and the derived class is called the subclass. Inheritance can also be defined as the process whereby one
object acquires characteristics from one or more other objects the same way children acquire characteristics from their
parents. There are two types of inheritances:

1. Implementation inheritance (aka class inheritance): You can extend an application’s functionality by reusing
functionality in the parent class by inheriting all or some of the operations already implemented. In Java, you can only
inherit from one superclass. Implementation inheritance promotes reusability but improper use of class inheritance can
cause programming nightmares by breaking encapsulation and making future changes a problem. With implementation
inheritance, the subclass becomes tightly coupled with the superclass. This will make the design fragile because if you
want to change the superclass, you must know all the details of the subclasses to avoid breaking them. So when using
implementation inheritance, make sure that the subclasses depend only on the behavior of the superclass, not on
the actual implementation. For example in the above diagram, the subclasses should only be concerned about the
behavior known as area() but not how it is implemented.

2. Interface inheritance (aka type inheritance): This is also known as subtyping. Interfaces provide a mechanism for
specifying a relationship between otherwise unrelated classes, typically by specifying a set of common methods each
implementing class must contain. Interface inheritance promotes the design concept of program to interfaces not to
implementations. This also reduces the coupling or implementation dependencies between systems. In Java, you can
implement any number of interfaces. This is more flexible than implementation inheritance because it won’t lock you into
specific implementations which make subclasses difficult to maintain. So care should be taken not to break the
implementing classes by modifying the interfaces.

Which one to use? Prefer interface inheritance to implementation inheritance because it promotes the design concept of
coding to an interface and reduces coupling. Interface inheritance can achieve code reuse with the help of object
composition. If you look at Gang of Four (GoF) design patterns, you can see that it favors interface inheritance to
implementation inheritance. CO

Implementation inheritance                                     Interface inheritance with composition
Let’s assume that savings account and term deposit account     Let’s look at an interface inheritance code sample, which makes use
have a similar behavior in terms of depositing and             of composition for reusability. In the following example the methods
withdrawing money, so we will get the super class to           deposit(…) and withdraw(…) share the same piece of code in
implement this behavior and get the subclasses to reuse this   AccountHelper class. The method calculateInterest(…) has its specific
behavior. But saving account and term deposit account          implementation in its own class.
have specific behavior in calculating the interest.

Super class Account has reusable code as methods               public interface Account {
deposit (double amount) and withdraw (double amount).            public abstract double calculateInterest(double amount);
                                                                 public abstract void deposit(double amount);
public abstract class Account {                                  public abstract void withdraw(double amount);
  public void deposit (double amount) {                        }
       System.out.println("depositing " + amount);
  }                                                            Code to interface so that the implementation can change.

    public void withdraw (double amount) {                     public interface AccountHelper {
       System.out.println ("withdrawing " + amount);             public abstract void deposit (double amount);
    }                                                            public abstract void withdraw (double amount);
                                                               }
    public abstract double calculateInterest(double amount);
}                                                              class AccountHelperImpl has reusable code as methods deposit
                                                               (double amount) and withdraw (double amount).

public class SavingsAccount extends Account {                  public class AccountHelperImpl implements AccountHelper {
                                                                 public void deposit(double amount) {
    public double calculateInterest (double amount) {                 System.out.println("depositing " + amount);
      // calculate interest for SavingsAccount                   }
      return amount * 0.03;
    }                                                              public void withdraw(double amount) {
                                                                      System.out.println("withdrawing " + amount);
    public void deposit (double amount) {                          }
      super.deposit (amount); // get code reuse
      // do something else                                     }
    }

    public void withdraw (double amount) {                     public class SavingsAccountImpl implements Account {
Java - Fundamentals                                                      21

         super.withdraw (amount); // get code reuse                 // composed helper class (i.e. composition).
         // do something else                                       AccountHelper helper = new AccountHelperImpl ();
    }
}                                                                   public double calculateInterest (double amount) {
                                                                      // calculate interest for SavingsAccount
public class TermDepositAccount extends Account {                     return amount * 0.03;
                                                                    }
    public double calculateInterest (double amount) {
      // calculate interest for SavingsAccount                      public void deposit (double amount) {
      return amount * 0.05;                                           helper.deposit( amount); // code reuse via composition
    }                                                               }

    public void deposit(double amount) {                            public void withdraw (double amount) {
      super.deposit (amount); // get code reuse                       helper.withdraw (amount); // code reuse via composition
      // do something else                                          }
    }                                                           }

    public void withdraw(double amount) {                       public class TermDepositAccountImpl implements Account {
      super.withdraw (amount); // get code reuse
      // do something else                                          // composed helper class (i.e. composition).
    }                                                               AccountHelper helper = new AccountHelperImpl ();
}
                                                                    public double calculateInterest (double amount) {
                                                                      //calculate interest for SavingsAccount
                                                                      return amount * 0.05;
                                                                    }

                                                                    public void deposit (double amount) {
                                                                       helper.deposit (amount) ; // code reuse via composition
                                                                    }

                                                                    public void withdraw (double amount) {
                                                                        helper.withdraw (amount) ; // code reuse via composition
                                                                    }

                                                                }

The Test class:

public class Test {
  public static void main(String[] args) {
     Account acc1 = new SavingsAccountImpl();
     acc1.deposit(50.0);

         Account acc2 = new TermDepositAccountImpl();
         acc2.deposit(25.0);

         acc1.withdraw(25);
         acc2.withdraw(10);

         double cal1 = acc1.calculateInterest(100.0);
         double cal2 = acc2.calculateInterest(100.0);

         System.out.println("Savings --> " + cal1);
         System.out.println("TermDeposit --> " + cal2);
     }
}

The output:

depositing 50.0
depositing 25.0
withdrawing 25.0
withdrawing 10.0
Savings --> 3.0
TermDeposit --> 5.0

Q. Why would you prefer code reuse via composition over inheritance? Both the approaches make use of
polymorphism and gives code reuse (in different ways) to achieve the same results but:

        The advantage of class inheritance is that it is done statically at compile-time and is easy to use. The disadvantage of
        class inheritance is that because it is static, implementation inherited from a parent class cannot be changed at run-
22                                                                Java - Fundamentals

      time. In object composition, functionality is acquired dynamically at run-time by objects collecting references to other
      objects. The advantage of this approach is that implementations can be replaced at run-time. This is possible because
      objects are accessed only through their interfaces, so one object can be replaced with another just as long as they
      have the same type. For example: the composed class AccountHelperImpl can be replaced by another more
      efficient implementation as shown below if required:

      public class EfficientAccountHelperImpl implements AccountHelper {
          public void deposit(double amount) {
              System.out.println("efficient depositing " + amount);
          }

            public void withdraw(double amount) {
                System.out.println("efficient withdrawing " + amount);
            }
      }

      Another problem with class inheritance is that the subclass becomes dependent on the parent class implementation.
      This makes it harder to reuse the subclass, especially if part of the inherited implementation is no longer desirable and
      hence can break encapsulation. Also a change to a superclass can not only ripple down the inheritance hierarchy to
      subclasses, but can also ripple out to code that uses just the subclasses making the design fragile by tightly coupling
      the subclasses with the super class. But it is easier to change the interface/implementation of the composed class.

Due to the flexibility and power of object composition, most design patterns emphasize object composition over
inheritance whenever it is possible. Many times, a design pattern shows a clever way of solving a common problem
through the use of object composition rather then a standard, less flexible, inheritance based solution.

Encapsulation – refers to keeping all the related members (variables and methods) together in an object. Specifying
member variables as private can hide the variables and methods. Objects should hide their inner workings from the
outside view. Good encapsulation improves code modularity by preventing objects interacting with each other in
an unexpected way, which in turn makes future development and refactoring efforts easy. CO

Sample code
 Class MyMarks {
  private int vmarks = 0;                                                    k)                    in
  private String name;                                                     ar                        tg                    Member
                                                                        t m                            et
                                                                     (in                                  M
                                                                                                           ar
                                                                                                                           variables are
                                                                   ks                                                      encapsulated,
     public void setMarks(int mark)                              ar                                          ks
                                                                                                               ()
                        throws MarkException {                 tM                                                          so that they
        if(mark > 0)
                                                             se                                                            can only be
            this.vmarks = mark;                                                                                            accessed via
        else {                                                                    private int vmarks;                      encapsulating
            throw new MarkException("No negative                                 private String name;                      methods.
                                    Values");
        }                                                  se
                                                             tN                                                        )
     }                                                         am                                                 e(
                                                                 e                                               m
                                                                     (S
                                                                       tri                                    tNa
     public int getMarks(){                                                ng                               ge
                                                                                na                      g
         return vmarks;                                                                              rin
     }                                                                            m
                                                                                   e)              St
     //getters and setters for attribute name goes here.
 }




Being able to encapsulate members of a class is important for security and integrity. We can protect variables from
unacceptable values. The sample code above describes how encapsulation can be used to protect the MyMarks object
from having negative values. Any modification to member variable “vmarks” can only be carried out through the setter
method setMarks(int mark). This prevents the object “MyMarks” from having any negative values by throwing an
exception.


Q 11: What is design by contract? Explain the assertion construct? DC
A 11: Design by contract specifies the obligations of a calling-method and called-method to each other. Design by
          contract is a valuable technique, which should be used to build well-defined interfaces. The strength of this
          programming methodology is that it gets the programmer to think clearly about what a function does, what pre
          and post conditions it must adhere to and also it provides documentation for the caller. Java uses the assert
          statement to implement pre- and post-conditions. Java’s exceptions handling also support design by contract
          especially checked exceptions (Refer Q39 in Java section for checked exceptions). In design by contract in
          addition to specifying programming code to carrying out intended operations of a method the programmer also
          specifies:
36                                                   Java - Fundamentals

                followed by an “@” sign and then unsigned hexadecimal representation of the hashcode, for example
                Pet@162b91. This hexadecimal representation is not what the users of your class want to see.
 method with
 public         Providing your toString() method makes your class much more pleasant to use and it is recommended
 access         that all subclasses override this method. The toString() method is invoked automatically when your object
 modifier       is passed to println(), assert() or the string concatenation operator (+).

                public class Pet {
                      int id;
                      String name;

                         public boolean equals(Object obj){
                                //as shown above.
                         }

                        public int hashCode() {
                              //as shown before
                        }

                         public String toString() {
                                 StringBuffer sb = new StringBuffer();
                                 sb.append(“id=”).append(id);
                                 sb.append(“,name=”).append(name);
                                 return sb.toString();
                         }

                }

 clone()        You should override the clone() method very judiciously. Implementing a properly functioning clone method is complex
                and it is rarely necessary. You are better off providing some alternative means of object copying (refer Q26 in Java
                section) or simply not providing the capability. A better approach is to provide a copy constructor or a static factory
                method in place of a constructor.
 method with
 protected      //constructor
 access         public Pet(Pet petToCopy){
 modifier              …
                }

                //static factory method
                public static Pet newInstance(Pet petToCopy){
                        …
                }

                The clone() method can be disabled as follows:

                public final Object clone() throws CloneNotSupportedException {
                    throw new CloneNotSupportedException();
                }

 finalize()     Unlike C++ destructors, the finalize() method in Java is unpredictable, often dangerous and generally unnecessary.
                Use try{} finally{} blocks as discussed in Q32 in Java section & Q45 in Enterprise section. The finalize() method should
 method         only be used in rare instances as a safety net or to terminate non-critical native resources. If you do happen to call the
                finalize() method in some rare instances then remember to call the super.finalize() as shown below:
 with
 protected      protected void finalize() throws Throwable {
 access              try{
 modifier                  //finalize subclass state
                     }
                     finally {
                          super.finalize();
                     }
                }




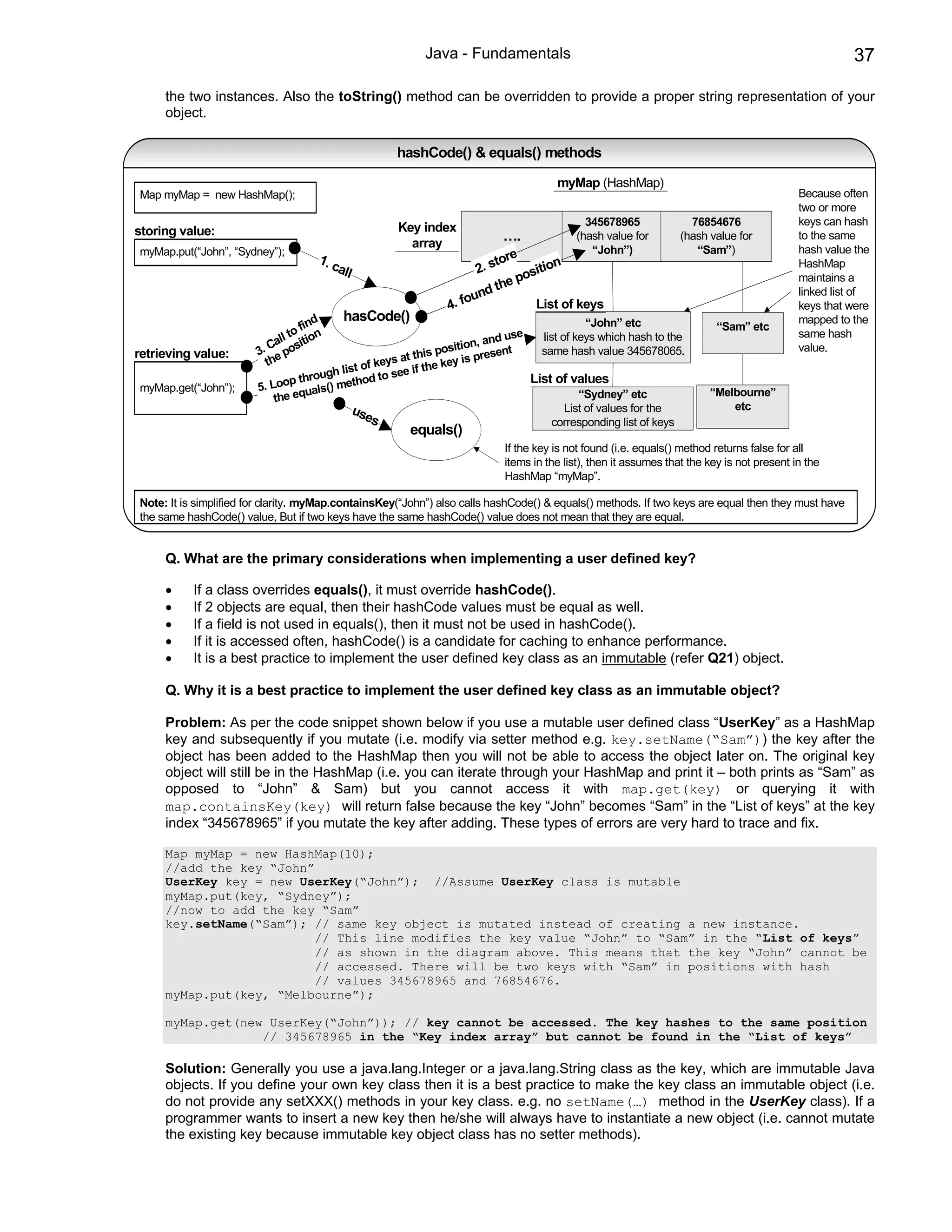
Q 20: When providing a user defined key class for storing objects in the HashMaps or Hashtables, what methods do you
       have to provide or override (i.e. method overriding)? LF PI CO FAQ
A 20: You should override the equals() and hashCode() methods from the Object class. The default implementation of
       the equals() and hashcode(), which are inherited from the java.lang.Object uses an object instance’s memory
       location (e.g. MyObject@6c60f2ea). This can cause problems when two instances of the car objects have the
       same color but the inherited equals() will return false because it uses the memory location, which is different for
Java - Fundamentals                                                                         37

     the two instances. Also the toString() method can be overridden to provide a proper string representation of your
     object.

                                                     hashCode() & equals() methods

                                                                                       myMap (HashMap)
Map myMap = new HashMap();                                                                                                                   Because often
                                                                                                                                             two or more
                                                                                             345678965               76854676                keys can hash
storing value:                                       Key index
                                                       array
                                                                            ….             (hash value for         (hash value for           to the same
myMap.put(“John”, “Sydney”);                                                                  “John”)                 “Sam”)                 hash value the
                                    1. c                                  tore       n
                                        all                           2. s       itio                                                        HashMap
                                                                            e pos                                                            maintains a
                                                                        d th                                                                 linked list of
                                                                    oun
                                                                4. f             List of keys                                                keys that were
                                      d     hasCode()                                           “John” etc                                   mapped to the
                                   fin                                                                                     “Sam” etc
                              l to ition                                       use   list of keys which hash to the                          same hash
                            al s                                        n, and
                          C
                        3. e po                                   ositio esent                                                               value.
retrieving value:                                           this p        r          same hash value 345678065.
                          th                         eys at        ey is p
                                              st of k see if the k
                                        ugh li od to
                                p thro                                             List of values
myMap.get(“John”);      5. Loo quals() meth                                                                              “Melbourne”
                            the e                                                             “Sydney” etc
                                              use                                          List of values for the            etc
                                                   s                                    corresponding list of keys
                                                        equals()
                                                                            If the key is not found (i.e. equals() method returns false for all
                                                                            items in the list), then it assumes that the key is not present in the
                                                                            HashMap “myMap”.

Note: It is simplified for clarity. myMap.containsKey(“John”) also calls hashCode() & equals() methods. If two keys are equal then they must have
the same hashCode() value, But if two keys have the same hashCode() value does not mean that they are equal.


     Q. What are the primary considerations when implementing a user defined key?

     •     If a class overrides equals(), it must override hashCode().
     •     If 2 objects are equal, then their hashCode values must be equal as well.
     •     If a field is not used in equals(), then it must not be used in hashCode().
     •     If it is accessed often, hashCode() is a candidate for caching to enhance performance.
     •     It is a best practice to implement the user defined key class as an immutable (refer Q21) object.

     Q. Why it is a best practice to implement the user defined key class as an immutable object?

     Problem: As per the code snippet shown below if you use a mutable user defined class “UserKey” as a HashMap
     key and subsequently if you mutate (i.e. modify via setter method e.g. key.setName(“Sam”)) the key after the
     object has been added to the HashMap then you will not be able to access the object later on. The original key
     object will still be in the HashMap (i.e. you can iterate through your HashMap and print it – both prints as “Sam” as
     opposed to “John” & Sam) but you cannot access it with map.get(key) or querying it with
     map.containsKey(key) will return false because the key “John” becomes “Sam” in the “List of keys” at the key
     index “345678965” if you mutate the key after adding. These types of errors are very hard to trace and fix.

     Map myMap = new HashMap(10);
     //add the key “John”
     UserKey key = new UserKey(“John”); //Assume UserKey class is mutable
     myMap.put(key, “Sydney”);
     //now to add the key “Sam”
     key.setName(“Sam”); // same key object is mutated instead of creating a new instance.
                          // This line modifies the key value “John” to “Sam” in the “List of keys”
                          // as shown in the diagram above. This means that the key “John” cannot be
                          // accessed. There will be two keys with “Sam” in positions with hash
                          // values 345678965 and 76854676.
     myMap.put(key, “Melbourne”);

     myMap.get(new UserKey(“John”)); // key cannot be accessed. The key hashes to the same position
                  // 345678965 in the “Key index array” but cannot be found in the “List of keys”

     Solution: Generally you use a java.lang.Integer or a java.lang.String class as the key, which are immutable Java
     objects. If you define your own key class then it is a best practice to make the key class an immutable object (i.e.
     do not provide any setXXX() methods in your key class. e.g. no setName(…) method in the UserKey class). If a
     programmer wants to insert a new key then he/she will always have to instantiate a new object (i.e. cannot mutate
     the existing key because immutable key object class has no setter methods).
42                                                         Java - Fundamentals

      performance benefit in explicitly declaring your serialVersionUID (because does not have to be calculated). So, it
      is best practice to add your own serialVersionUID to your Serializable classes as soon as you create them as
      shown below:

      public class Car {
           static final long serialVersionUID = 1L; //assign a long value
      }

      Note: Alternatively you can use the serialver tool comes with Sun’s JDK. This tool takes a full class name on the
      command line and returns the serialVersionUID for that compiled class. For example:

      static final long serialVersionUID = 10275439472837494L; //generated by serialver tool.



Q 24: Explain the Java I/O streaming concept and the use of the decorator design pattern in Java I/O? LF DP PI SI
A 24: Java input and output is defined in terms of an abstract concept called a “stream”, which is a sequence of data.
      There are 2 kinds of streams.

           Byte streams (8 bit bytes)  Abstract classes are: InputStream and OutputStream
           Character streams (16 bit UNICODE)      Abstract classes are: Reader and Writer

      Design pattern: java.io.* classes use the decorator design pattern. The decorator design pattern attaches
      responsibilities to objects at runtime. Decorators are more flexible than inheritance because the inheritance
      attaches responsibility to classes at compile time. The java.io.* classes use the decorator pattern to construct
      different combinations of behavior at runtime based on some basic classes.

        Attaching responsibilities to classes at                    Attaching responsibilities to objects at runtime using a decorator
        compile time using subclassing.                             design pattern.
        Inheritance      (aka    subclassing)      attaches         By attaching responsibilities to objects at runtime, you can apply changes
        responsibilities to classes at compile time. When           to each individual object you want to change.
        you extend a class, each individual changes you
        make to child class will affect all instances of the        File file = new File(“c:/temp”);
        child classes. Defining many classes using                  FileInputStream fis = new FileInputStream(file);
        inheritance to have all possible combinations is            BufferedInputStream bis = new BufferedInputStream(fis);
        problematic and inflexible.
                                                                    Decorators decorate an object by enhancing or restricting functionality of
                                                                    an object it decorates. The decorators add or restrict functionality to
                                                                    decorated objects either before or after forwarding the request. At runtime
                                                                    the BufferedInputStream (bis), which is a decorator (aka a wrapper
                                                                    around decorated object), forwards the method call to its decorated object
                                                                    FileInputStream (fis). The “bis” will apply the additional functionality of
                                                                    buffering around the lower level file (i.e. fis) I/O.



                                                                   java.io.* class hierarchy

                                                                java.lang.Object




              java.io.InputStream        java.io.OutputStream           java.lang.System                java.io.Reader                 java.io.Writer




            java.io.FileInputStream     java.io.FileOutputStream                                   java.io.InputStreamReader     java.io.OutputStreamWriter




           Note: Only a few subclasses of abstract classes are                     java.io.BufferedReader   java.io.FileReader       java.io.FileWriter
           shown for clarity.



      Q. How does the new I/O (NIO) offer better scalability and better performance?
Java - Fundamentals                                                                 45

              It is recommended to use logging frameworks like Log4J with SLF4J (Simple Logging Façade for Java),
              which uses buffering instead of using default behavior of System.out.println(…..) for better performance.
              Frameworks like Log4J are configurable, flexible, extensible and easy to use.

             Use the NIO package, if you are using JDK 1.4 or later, which uses performance-enhancing features like
             buffers to hold data, memory mapping of files, non-blocking I/O operations etc.

             I/O performance can be improved by minimizing the calls to the underlying operating systems. The Java
             runtime itself cannot know the length of a file, querying the file system for isDirectory(), isFile(), exists() etc
             must query the underlying operating system.

             Where applicable caching can be used to improve performance by reading in all the lines of a file into a Java
             Collection class like an ArrayList or a HashMap and subsequently access the data from an in-memory
             collection instead of the disk.


Q 26: What is the main difference between shallow cloning and deep cloning of objects? DC LF MI PI
A 26: The default behavior of an object’s clone() method automatically yields a shallow copy. So to achieve a deep copy
      the classes must be edited or adjusted.

      Shallow copy: If a shallow copy is performed on obj-1 as shown in fig-2 then it is copied but its contained objects
      are not. The contained objects Obj-1 and Obj-2 are affected by changes to cloned Obj-2. Java supports shallow
      cloning of objects by default when a class implements the java.lang.Cloneable interface.

      Deep copy: If a deep copy is performed on obj-1 as shown in fig-3 then not only obj-1 has been copied but the
      objects contained within it have been copied as well. Serialization can be used to achieve deep cloning. Deep
      cloning through serialization is faster to develop and easier to maintain but carries a performance overhead.

                                                          Shallow Vs Deep cloning



                        O bj-1                           O bj-1                                                           C loned
                                                                                             O bj-1
                                                                                                                           O bj-2

          contains               contains

                                            contained                contained   contained            contained   contained     contained
                                              O bj-1                   O bj-2      O bj-1               O bj-2      O bj-1        O bj-2


            contained        contained
              O bj-1           O bj-2                   C loned                               Fig-3:D eep cloning
                                                         O bj-2



             Fig-1:O riginal O bject          Fig-2:Shallow cloning

      For example invoking clone() method on a collection like HashMap, List etc returns a shallow copy of HashMap,
      List, instances. This means if you clone a HashMap, the map instance is cloned but the keys and values
      themselves are not cloned. If you want a deep copy then a simple method is to serialize the HashMap to a
      ByteArrayOutputSream and then deserialize it. This creates a deep copy but does require that all keys and values
      in the HashMap are Serializable. Main advantage of this approach is that it will deep copy any arbitrary object
      graph. Refer Q23 in Java section for deep copying using Serialization. Alternatively you can provide a static
      factory method to deep copy. Example: to deep copy a list of Car objects.

      public static List deepCopy(List listCars) {
           List copiedList = new ArrayList(10);
                 for (Object object : listCars) {                 //JDK 1.5 for each loop
                     Car original = (Car)object;
                     Car carCopied = new Car(); //instantiate a new Car object
                     carCopied.setColor((original.getColor()));
                     copiedList.add(carCopied);
             }
             return copiedList;
      }
Java - Fundamentals                                                                 61

Q 49: If 2 different threads hit 2 different synchronized methods in an object at the same time will they both continue?
       LF
A 49: No. Only one method can acquire the lock.
                                                            Thread synchronization

             Thread1
              run(){                                                                                            Car1 object
                car1.method2();                                                                                  synchronized method1() {}
                                                      1. ok . m et
              }                                                    ho d1 () is no
                                                                                    t bu sy .
                                                                                 b usy                           synchronized method2() {}
                                                                       d2 ( ) is
                                                                e th o
             Thread2                                       o. m
                                                      2. N                                                       method3() {}
              run(){                                                                                 n iz e d
                                                                                        y n c h ro
                                                                             is n o t s
                car1.method1();
                                                             me  th o d 3 ()
                                                     ys o k.
                car2.method1();           4 . A lw a
                car1.method3()                        3. o k. M e
                                                                  th o   d2 () is no                            Car2 object
              }                                                                      t bu sy
                                                                                                                synchronized method1() {}
             Thread3
              run(){                                                                                            synchronized method2() {}
                                                                        () is bu sy.
                                                      5. No . me tho d1
                car2.method2();
                car2.method3();           6.Always ok. method3() is not synchronized                            method3() {}
              }



       Note: If your job requires deeper understanding of threads then please refer to the following articles by Allen Holub at
       http://www.javaworld.com. There are number of parts (part 1 – Part - 8) to the article entitled “Programming Java threads in
       the real world”.     URLs for some of the parts are: http://www.javaworld.com/javaworld/jw-09-1998/jw-09-threads.html,
       http://www.javaworld.com/javaworld/jw-10-1998/jw-10-toolbox.html, etc.



Q 50: Explain threads blocking on I/O? LF
A 50: Occasionally threads have to block on conditions other than object locks. I/O is the best example of this. Threads
       block on I/O (i.e. enters the waiting state) so that other threads may execute while the I/O operation is performed.
       When threads are blocked (say due to time consuming reads or writes) on an I/O call inside an object’s
       synchronized method and also if the other methods of the object are also synchronized then the object is
       essentially frozen while the thread is blocked.

       Be sure to not synchronize code that makes blocking calls, or make sure that a non-synchronized method
       exists on an object with synchronized blocking code. Although this technique requires some care to ensure that
       the resulting code is still thread safe, it allows objects to be responsive to other threads when a thread holding its
       locks is blocked.

       Note: The java.nio.* package was introduced in JDK1.4. The coolest addition is non-blocking I/O (aka NIO that stands for New
       I/O). Refer Q24 in Java section for NIO.



Note: Q51 & Q52 in Java section are very popular questions on design patterns.

Q 51: What is a singleton pattern? How do you code it in Java? DP MI CO FAQ
A 51: A singleton is a class that can be instantiated only one time in a JVM per class loader. Repeated calls always
       return the same instance. Ensures that a class has only one instance, and provide a global point of access. It
       can be an issue if singleton class gets loaded by multiple class loaders or JVMs.

       public class OnlyOne {

            private static OnlyOne one = new OnlyOne();

            // private constructor. This class cannot be instantiated from outside and
            // prevents subclassing.
            private OnlyOne(){}

            public static OnlyOne getInstance() {
                     return one;
            }
       }
78                                    Java – Performance and Memory issues


Java – Performance and Memory issues



Q. Give me an instance where you made a significant contribution in improving performance ?

There is a good chance that the position you are being interviewed for require someone with skills to identify performance
and/or memory issues and ability to optimize performance and solve memory issues. If you happen to be in an interview
with an organization facing serious issues with regards to their Java application relating to memory leaks, performance
problems or a crashing JVM etc then you are likely to be asked questions on these topics. You will find more questions
and answers relating to these key areas (i.e. performance and memory issues) in the Enterprise Java section and “How
would you go about…” sections. You could also demonstrate your skills in these key areas by reflecting back on your
past experiences as discussed in Q82 in Java section. Even though Q82 is a situational or behavioral question, you can
streamline your answer to demonstrate your technical strengths relating to these key areas as well as your behavioral
ability to cope with stress.




Q 72: How would you improve performance of a Java application? PI BP FAQ
A 72:
          Pool valuable system resources like threads, database connections, socket connections etc. Emphasize on
          reuse of threads from a pool of threads. Creating new threads and discarding them after use can adversely
          affect performance. Also consider using multi-threading in your single-threaded applications where possible to
          enhance performance. Optimize the pool sizes based on system and application specifications and
          requirements. Having too many threads in a pool also can result in performance and scalability problems
          due to consumption of memory stacks (i.e. each thread has its own stack. Refer Q34, Q42 in Java section)
          and CPU context switching (i.e. switching between threads as opposed to doing real computation.).

          Minimize network overheads by retrieving several related items simultaneously in one remote invocation if
          possible. Remote method invocations involve a network round-trip, marshaling and unmarshaling of
          parameters, which can cause huge performance problems if the remote interface is poorly designed. (Refer
          Q125 in Enterprise section).

          Most applications need to retrieve data from and save/update data into one or more databases. Database calls
          are remote calls over the network. In general data should be lazily loaded (i.e. load only when required as
          opposed to pre-loading from the database with a view that it can be used later) from a database to conserve
          memory but there are use cases (i.e. need to make several database calls) where eagerly loading data and
          caching can improve performance by minimizing network trips to the database. Data can be eagerly loaded
          with a help of SQL scripts with complex joins or stored procedures and cached using third party frameworks or
          building your own framework. At this point your interviewer could intercept you and ask you some pertinent
          questions relating to caching like:

          Q: How would you refresh your cache?
          A: You could say that one of the two following strategies can be used:

             1.   Timed cache strategy where the cache can be replenished periodically (i.e. every 30 minutes, every
                  hour etc). This is a simple strategy applicable when it is acceptable to show dirty data at times and also
                  the data in the database does not change very frequently.

             2.   Dirty check strategy where your application is the only one which can mutate (i.e. modify) the data in
                  the database. You can set a “isDirty” flag to true when the data is modified in the database through your
                  application and consequently your cache can be refreshed based on the “isDirty” flag.

          Q: How would you refresh your cache if your database is shared by more than one application?
          A: You could use one of the following strategies:

              1. Database triggers: You could use database triggers to communicate between applications sharing the
                 same database and write pollers which polls the database periodically to determine when the cache
                 should be refreshed. (Refer Q102 in Enterprise section)

              2. XML messaging (Refer Enterprise – JMS subsection in Enterprise section) to communicate between
                 other applications sharing the same database or separate databases to determine when the cache
                 should be refreshed.
86                                    Java – Personal and Behavioral/Situational

behavioral technique is used to evaluate a candidate’s future success from past behaviors. The answers to these
questions must describe in detail a particular situation like an event, a project or an experience and how you acted on that
situation and what the results were. Prepare your answers prior to the interview using the “Situation Action Result (SAR)”
approach and avoid fabricating or memorizing your answers. You should try to relate back to your past experiences at
your previous employments, community events, sporting events etc. Sample questions and answers are shown below:


Q 82: Give me an example of a time when you set a goal and were able to achieve it? Give me an example of a time you
        showed initiatiative and took the lead? Tell me about a difficult decision you made in the last year? Give me an
        example of a time you motivated others? Tell me about a most complex project you were involved in? FAQ
A 82:
        Situation: When you were working for the ZCC Software Technology Corporation, the overnight batch process
        called the “Data Pacakager” was developed for a large fast food chain which has over 100 stores. This overnight
        batch process is responsible for performing a very database intensive search and compute changes like cost of
        ingredients, selling price, new menu item etc made in various retail stores and package those changes into XML
        files and send those XML data to the respective stores where they get uploaded into their point of sale registers to
        reflect the changes. This batch process had been used for the past two years, but since then the number of stores
        had increased and so did the size of the data in the database. The batch process, which used to take 6-8 hours to
        complete, had increased to 14-16 hours, which obviously started to adversely affect the daily operations of these
        stores. The management assigned you with the task of improving the performance of the batch process to 5-6
        hours (i.e. suppose to be an overnight process).

        Action: After having analyzed the existing design and code for the “Data Packager”, you had to take the
        difficult decision to let the management know that this batch process needed to be re-designed and re-written as
        opposed to modifying the existing code, since it was poorly designed. It is hard to extend, maintain (i.e. making a
        change in one place can break the code some where else and so on) and had no object reuse through caching
        (makes too many unnecessary network trips to the database) etc. The management was not too impressed with
        this approach and concerned about the time required to rewrite this batch process since the management had
        promised the retail stores to provide a solution within 8-12 weeks. You took the initiative and used your
        persuasive skills to convince the management that you would be able to provide a re-designed and re-written
        solution within the 8-12 weeks with the assistance of 2-3 additional developers and two testers. You were
        entrusted with the task to rewrite the batch process and you set your goal to complete the task in 8 weeks. You
        decided to build the software iteratively by building individual vertical slices as opposed to the big bang waterfall
        approach [Refer subsection “Enterprise – Software development process” in Enterprise – Java section]. You
        redesigned and wrote the code for a typical use case from end to end (i.e. full vertical slice) within 2 weeks and
        subsequently carried out functional and integration testing to iron out any unforeseen errors or issues. Once the
        first iteration is stable, you effectively communicated the architecture to the management and to your fellow
        developers. Motivated and mentored your fellow developers to build the other iterations, based on the first
        iteration. At the end of iteration, it was tested by the testers, while the developers moved on to the next iteration.

        Results: After having enthusiastically worked to your plan with hard work, dedication and teamwork, you were
        able to have the 90% of the functionality completed in 9 weeks and spent the next 3 weeks fixing bugs, tuning
        performance and coding rest of the functionality. The fully functional data packager was completed in 12 weeks
        and took only 3-4 hours to package XML data for all the stores. The team was under pressure at times but you
        made them believe that it is more of a challenge as opposed to think of it as a stressful situation. The newly
        designed data packager was also easier to maintain and extend. The management was impressed with the
        outcome and rewarded the team with an outstanding achievement award. The performance of the newly
        developed data packager was further improved by 20% by tuning the database (i.e. partitioning the tables,
        indexing etc).


Q 83: Describe a time when you were faced with a stressful situation that demonstrated your coping skills? Give me an
        example of a time when you used your fact finding skills to solve a problem? Describe a time when you applied
        your analytical and/or problem solving skills? FAQ

A 83:
        Situation: When you were working for the Surething insurance corporation pty ltd, you were responsible for the
        migration of an online insurance application (i.e. external website) to a newer version of application server (i.e. the
        current version is no longer supported by the vendor). The migration happened smoothly and after a couple of
        days of going live, you started to experience “OutOfMemoryError”, which forced you to restart the application
        server every day. This raised a red alert and the immediate and the senior management were very concerned and
        consequently constantly calling for meetings and updates on the progress of identifying the root cause of this
        issue. This has created a stressful situation.
94                                                     Enterprise Java




                                SECTION TWO



                                Enterprise Java – Interview questions & answers


                                   Specification Fundamentals                     SF
                         K
                         E         Design Concepts DC
                         Y         Design Patterns DP
                                   Concurrency Issues CI
                         A         Performance Issues PI
                         R         Memory Issues MI
                         E
                         A
                                   Exception Handling EH
                         S         Transactional Issues TI
                                   Security SE
                                   Scalability Issues SI
                                   Best Practices BP
                                   Coding1 CO




                                FAQ - Frequently Asked Questions




1
 Unlike other key areas, the CO is not always shown against the question but shown above the actual content of relevance within a
question.
Enterprise – J2EE Overview                                                                                 95


Enterprise - J2EE Overview


Q 01: What is J2EE? What are J2EE components and services? SF FAQ
A 01: J2EE (Java 2 Enterprise Edition) is an environment for developing and deploying enterprise applications. The
      J2EE platform consists of J2EE components, services, Application Programming Interfaces (APIs) and protocols
      that provide the functionality for developing multi-tiered and distributed Web based applications.


                                       J2EE Physical Tiers , Containers, Components , Services & APIs



                                 Firewall                Firewall
                                               DMZ




                         internet

           Client
                                            Web Server         Application Server                                                             Database Server



        Client Tier                 Application Tier (Middle Tier)                                                                            Data (EIS) Tier


          (X)HTML,                    Web                  J2EE Application Server
             XML       HTTP(S)       Server
          (Browser)                                                                    Web Container                                         JDBC


                                                                                                             Tag                                         RDBMS
                                     HTML                                                                  library
           Applet     HTTP(S)
                                                                           Servlets    JSP                                                   JavaMail

                                      CSS
                                                                RMI/IIOP




                                                                                                                            JavaMail
                                                                                                    JDBC
                                                                                JNDI




                                                                                                                     JMS
                                                                                        JTA




                                                                                                                                       JAF
                                                                                                                                                           Java
                                                                                                                                             RMI
                                                                                                                                                         Application
                                                                                              RMI / IIOP




                                                                                                                                                      Messaging
                                                                                                                                             JMS

                                                                                       EJB Container
          Client Application
          (stand alone Java                 RMI/IIOP                                                                                         IIOP       Corba Server
              program)


                                                                                        Entity Beans Message Driven Beans
                                                                  Session Beans
                                                                RMI/IIOP




                                                                                                                           JavaMail




                                                                                                                                               JNDI
                                                                                                  JDBC
                                                                                JNDI




                                                                                                                     JMS
                                                                                       JTA




                                                                                                                                       JAF




                                                                                                                                                      Directory
                                                                                                                                                      Service


                                                          Other Services + APIs provided by server/container:
                                                          Security (SSL, ACL, JAAS,X.509)
                                                          transactions, threading, Resource pooling (Eg: Connection pooling) etc
                                                          ,Fault Tolerance, Load Balancing, clustering
                                                          Monitoring, Auditing, Logging etc
                                                          more...............
96                                             Enterprise – J2EE Overview

     A J2EE component is a self-contained functional software unit that is assembled into a J2EE application with its
     related classes and files and communicates with other components. The J2EE specification defines the following
     J2EE components:

      Component type            Components                                          Packaged as
      Applet                    applets                                             JAR (Java ARchive)

      Application client        Client side Java codes.                             JAR (Java ARchive)

      Web component             JSP, Servlet                                        WAR (Web ARchive)

      Enterprise JavaBeans      Session beans, Entity beans, Message driven beans   JAR (EJB Archive)

      Enterprise application    WAR, JAR, etc                                       EAR (Enterprise ARchive)

      Resource adapters         Resource adapters                                   RAR (Resource Adapter ARchive)




     Q. So what is the difference between a component and a service?

     A component is an application level software unit as shown in the table above. All the J2EE components depend
     on the container for the system level support like transactions, security, pooling, life cycle management, threading
     etc. A service is a component that can be used remotely through a remote interface either synchronously or
     asynchronously (e.g. Web service, messaging system, sockets, RPC etc). A service is a step up from “distributed
     objects”. A service is a function that has a clearly defined service contract (e.g. interface, XML contract) to their
     consumers or clients, self contained and does not depend on the context or state of other services.

     Q. What is a Service Oriented Architecture (SOA)?

     SOA is an evolution of the fundamentals governing a component based development. Component based
     development provides an opportunity for greater code reuse than what is possible with Object Oriented (OO)
     development. SOA provides even greater code reuse by utilizing OO development, component based
     development and also by identifying and organizing right services into a hierarchy of composite services. SOA
     results in loosely coupled application components, in which code is not necessarily tied to a particular database.
     SOAs are very popular and there is a huge demand exists for development and implementation of SOAs. Refer
     Q14 in How would you go about…? section for a more detailed discussion on SOA and Web services.


     Q. What are Web and EJB containers?

     Containers (Web & EJB containers) are the interface between a J2EE component and the low level platform
     specific functionality that supports J2EE components. Before a Web, enterprise bean (EJB), or application client
     component can be executed, it must be assembled into a J2EE module (jar, war, and/or ear) and deployed into its
     container.

     Q. Why do you need a J2EE server? What services does a J2EE server provide?

     A J2EE server provides system level support services such us security, transaction management, JNDI (Java
     Naming and Directory Interface) lookups, remote access etc. J2EE architecture provides configurable and non-
     configurable services. The configurable service enables the J2EE components within the same J2EE application
     to behave differently based on where they are deployed. For example the security settings can be different for the
     same J2EE application in two different production environments. The non-configurable services include enterprise
     bean (EJB) and servlet life cycle management, resource pooling etc.

     Server supports various protocols. Protocols are used for access to Internet services. J2EE platform supports
     HTTP (HyperText Transfer Protocol), TCP/IP (Transmission Control Protocol / Internet Protocol), RMI (Remote
     Method Invocation), SOAP (Simple Object Access Protocol) and SSL (Secured Socket Layer) protocol.

     The J2EE API can be summarized as follows:
      J2EE technology category       API (Application Programming Interface)
      Component model technology     Java Servlet, JavaServer Pages(JSP), Enterprise JavaBeans(EJB).

                                     JAXP (Java API for XML Processing), JAXR (Java API for XML Registries), SAAJ (SOAP
      Web Services technology        with attachment API for Java), JAX-RPC (Java API for XML-based RPC), JAX-WS (Java
                                     API for XML-based Web Services).
Enterprise – J2EE Overview                                                  97

                                         JDBC (Java DataBase Connectivity), JNDI (Java Naming and Directory Interface), JMS
       Other                             (Java Messaging Service), JCA (J2EE Connector Architecture), JTA (Java Transaction
                                         API), JavaMail, JAF (JavaBeans Activation Framework – used by JavaMail), JAAS (Java
                                         Authentication and Authorization Service), JMX (Java Management eXtensions).




Q 02: Explain the J2EE 3-tier or n-tier architecture? SF DC FAQ
A 02: This is a very commonly asked question. Be prepared to draw some diagrams on the board. The J2EE platform is
      a multi-tiered system. A tier is a logical or functional partitioning of a system.

                     2 – tier system                                                  3 – tier system

                2-Tier (Client/Server)                                              3-Tier (or n-tier)

          Client M /C 1          Client M /C 2                            Client M/C 1             Client M/C 2
           UserInterface          UserInterface                            UserInterface            UserInterface
           /display Logic         /display Logic                           /display logic           /display logic
              Business               Business
                logic                  logic
             Database               Database
                logic                  logic                                     Middle-tier server
                                                                                        Business Logic
                                                                                         Database Logic



                    Business Logic
                    Database logic
                         Data
                                                                                               Data

                      Database                                                              Database

       When the developers are not disciplined, the      The advantages of the multi-tier architecture are:
       display logic, business logic and database
       logic are muddled up and/or duplicated in a 2-         Forced separation of user interface logic and business logic.
       tier client server system.                             Business logic sits on small number of centralized machines (may be
                                                              just one).
                                                              Easy to maintain, to manage, to scale, loosely coupled etc.


      Each tier is assigned a unique responsibility in a 3-tier system. Each tier is logically separated and loosely coupled
      from each other, and may be distributed.

      Client tier represents Web browser, a Java or other application, Applet, WAP phone etc. The client tier makes
      requests to the Web server who will be serving the request by either returning static content if it is present in the
      Web server or forwards the request to either Servlet or JSP in the application server for either static or dynamic
      content.

      Presentation tier encapsulates the presentation logic required to serve clients. A Servlet or JSP in the
      presentation tier intercepts client requests, manages logons, sessions, accesses the business services, and finally
      constructs a response, which gets delivered to client.

      Business tier provides the business services. This tier contains the business logic and the business data. All the
      business logic is centralized into this tier as opposed to 2-tier systems where the business logic is scattered
      between the front end and the backend. The benefit of having a centralized business tier is that same business
      logic can support different types of clients like browser, WAP (Wireless Application Protocol) client, other stand-
      alone applications written in Java, C++, C# etc.

      Integration tier is responsible for communicating with external resources such as databases, legacy systems,
      ERP systems, messaging systems like MQSeries etc. The components in this tier use JDBC, JMS, J2EE
      Connector Architecture (JCA) and some proprietary middleware to access the resource tier.

      Resource tier is the external resource such as a database, ERP system, Mainframe system etc responsible for
      storing the data. This tier is also known as Data Tier or EIS (Enterprise Information System) Tier.
98                                                Enterprise – J2EE Overview


                                                     J 2 E E T ie rs
               H ig h L e v e l                               L o g ic a l o r
                   T ie rs                               F u n c tio n a l T ie rs



             C lie n t T ie r
                                                             C lie n t T ie r
                                            A p p le ts , H T M L ,W M L , J a v a S c rip t,
                       C lie n t
                                                    A p p lic a tio n C lie n ts e tc

             M id d le T ie r
                                                         P re s e n ta tio n T ie r
                                                     H T M L , C S S , G IF F ile s e tc
                                                            (s ta tic c o n te n t)
                W e b S e rve r


                                                      J S P s , S e rv le ts , T a g s e tc
                                                           (d y n a m ic c o n te n t)




                                                                                                                            ply
                                                                                                            J2EE patterns ap
                                                            B u s in e s s T ie r

                                           E J B , J a v a C la s s e s , B u s in e s s O b je c ts e tc

                                                           In te g ra tio n T ie r

                                                J M S , J D B C , C o n n e c to rs (J C A ), e tc
            A p p lic a tio n S e rv e r


             D a ta T ie r
                                                            R e s o u rc e T ie r

              XML
                                           D a ta b a s e s , E R P & C R M s y s te m s , L e g a c y
                         RDBMS                                   S y s te m s e tc




       Note: On a high level J2EE can be construed as a 3-tier system consisting of Client Tier, Middle Tier (or
       Application Tier) and Data Tier. But logically or functionally J2EE is a multi-tier (or n-tier) platform.


       The advantages of a 3-tiered or n-tiered application: 3-tier or multi-tier architectures force separation among
       presentation logic, business logic and database logic. Let us look at some of the key benefits:

           Manageability: Each tier can be monitored, tuned and upgraded independently and different people can have
           clearly defined responsibilities.
           Scalability: More hardware can be added and allows clustering (i.e. horizontal scaling).
           Maintainability: Changes and upgrades can be performed without affecting other components.
           Availability: Clustering and load balancing can provide availability.
           Extensibility: Additional features can be easily added.

The following diagram gives you a bigger picture of the logical tiers and the components.
Enterprise – J2EE Overview                                              105

              <security-role>
                  <description>Advisor</description>
                  <role-name>advisor</role-name>
              </security-role>

            </web-app>



Q 08: Explain J2EE class loaders? SF
A 08: J2EE application server sample class loader hierarchy is shown below. (Also refer to Q5 in Java section). As per
      the diagram the J2EE application specific class loaders are children of the “System –classpath” class loader.
      When the parent class loader is above the “System –classpath” class loader in the hierarchy as shown in the
      diagram (i.e. bootstrap class loader or extensions class loader) then child class loaders implicitly have visibility to
      the classes loaded by its parents. When a parent class loader is below a “System -classpath” class loader in the
      hierarchy then the child class loaders will only have visibility into the classes loaded by its parents only if they
      are explicitly specified in a manifest file (MANIFEST.MF) of the child class loader.

      Example As per the diagram, if the EJB module MyAppsEJB.jar wants to refer to MyAppsCommon.jar and
      MyAppsUtil.jar we need to add the following entry in the MyAppsEJB.jar’s manifest file MANIFEST.MF.

      class-path: MyAppsCommon.jar MyAppsUtil.jar


                                       J2EE application server sample class loader hierarchy


                                                                                             MyApps.ear
                                      Bootstrap(JVM)
                                       (rt.jar, i18.jar)

                                                                                                       MyAppsUtil.jar
                                     Extensions(JVM)
                                         (lib/ext)                                                     MyAppsCommon.jar

                                       System(JVM)                                                     MyAppsEJB.jar
                                        (-classpath)
                                                                                                       MyAppsWeb.war

                Application class                          Application class   Each EAR gets its own
                 loader (EAR)                               loader (EAR)       instance of class loader


                EJB class loader                            EJB class loader    All the EJB jars in a ear file share
                                                                                the same EJB class loader.


                                                              WAR class        Each WAR gets its own instance of
            WAR class           WAR class                      loader          class loader. The WEB-INF/lib libraries
             loader              loader                                        are specific to each WAR

                            Note: Application vendor's Server class loader hierarchy might slightly vary
                            .

      This is because the application (EAR) class loader loads the MyAppsCommon.jar and MyAppsUtil.jar. The EJB
      class loader loads the MyAppsEJB.jar, which is the child class loader of the application class loader. The WAR
      class loader loads the MyAppsWeb.war.

      Every J2EE application or EAR gets its own instance of the application class loader. This class loader is also
      responsible for loading all the dependency jar files, which are shared by both Web and EJB modules. For
      example third party libraries like log4j, utility (e.g. MyAppsUtility.jar) and common (e.g. MyAppsCommon.jar) jars
      etc. Any application specific exception like MyApplicationException thrown by an EJB module should be caught by
      a Web module. So the exception class MyApplicationException is shared by both Web and EJB modules.

      The key difference between the EJB and WAR class loader is that all the EJB jars in the application share the
      same EJB class loader whereas WAR files get their own class loader. This is because the EJBs have inherent
      relationship between one another (i.e. EJB-EJB communication between EJBs in different applications but hosted
      on the same JVM) but the Web modules do not. Every WAR file should be able to have its own WEB-INF/lib third
238            How would you go about …?




      SECTION THREE


      How would you go about…?


        This section basically assesses your knowledge of how to perform certain
        tasks like documenting your project, identifying any potential performance,
        memory, transactional, and/or design issues etc.

        It also assesses if you have performed any of these tasks before. If you have
        not done a particular task, you can demonstrate that you know how to go about
        it if the task is assigned to you.

        This section also recaps some of the key considerations discussed in the Java
        and Enterprise sections. Question numbers are used for cross-referencing
        with Java and Enterprise sections.

        Q11 & Q14 are discussed in more detail and can be used as a quick reference
        guide in a software project. All the other questions excluding Q11 & Q14 can
        be read just before an interview.
How would you go about …?                                                          253


Q 11: How would you go about applying the design patterns in your Java/J2EE application?
A 11: It is really worth reading books and articles on design patterns. It is sometimes hard to remember the design
patterns, which you do not use regularly. So if you do not know a particular design pattern you can always honestly say
that you have not used it and subsequently suggest that you can explain another design pattern, which you have used
recently or more often. It is always challenging to decide, which design pattern to use when? How do you improve your
design pattern skills? Practice, practice, practice. I have listed some of the design patterns below with scenarios and
examples:

To understand design patterns you need to have a basic understanding of object-oriented concepts like:

Decomposition: The process of dividing a problem into smaller pieces (i.e. divide and conquer approach). The following
examples will break different scenarios into objects, each with specific responsibilities. A good decomposition will often
result in improved reusability.

Polymorphism, Inheritance, and Encapsulation: Refer Q10 in Java section.

Loose coupling: The process of making objects independent of each other rather than dependent of one another.
Loosely coupled objects are easier to reuse and change.



Note: To keep it simple, System.out.println(…) is used. In real practice, use logging frameworks like log4j. Also package constructs are
not shown. In real practice, each class should be stored in their relevant packages like com.items etc. Feel free to try these code
samples by typing them into a Java editor of your choice and run the main class Shopping. Also constants should be declared in a
typesafe manner as shown below:

/**
 * use typesafe enum pattern as shown below if you are using below J2SE 5.0 or use “enum” if you are using J2SE 5.0
 */
public class ItemType {
      private final String name;

     public   static    final   ItemType    Book = new ItemType("book");
     public   static    final   ItemType    CD = new ItemType("cd");
     public   static    final   ItemType    COSMETICS = new ItemType("cosmetics");
     public   static    final   ItemType    CD_IMPORTED = new ItemType("cd_imported");

     private ItemType(String name) {this.name = name;}
     public String toString() {return name;}
     //add compareTo(), readResolve() methods etc as required ...
}



Scenario: A company named XYZ Retail is in the business of selling Books, CDs and Cosmetics. Books are sales tax
exempt and CDs and Cosmetics have a sales tax of 10%. CDs can be imported and attracts an import tax of 5%. Write a
shopping basket program, which will calculate extended price (qty * (unitprice + tax)) inclusive of tax for each item in the
basket, total taxes and grand total.

Solution: Sample code for the items (i.e. Goods) sold by XYZ Retail. Let’s define an Item interface to follow the design
principle of code to an interface not to an implementation. CO

public interface Item {

     public   static    final   int   TYPE_BOOK = 1;
     public   static    final   int   TYPE_CD = 2;
     public   static    final   int   TYPE_COSMETICS = 3;
     public   static    final   int   TYPE_CD_IMPORTED = 4;

     public   double getExtendedTax();
     public   double getExtendedTaxPrice() throws ItemException;
     public   void setImported(boolean b);
     public   String getDescription();
}


The following class Goods cannot be instantiated (since it is abstract). You use this abstract class to achieve code
reuse.
Emerging Technologies/Frameworks…                                                            311




SECTION FOUR



Emerging Technologies/Frameworks…


This section covers some of the popular emerging technologies you need to be at
least aware of, if you have not already used them. If there are two or more interview
candidates with similar skills and experience then awareness or experience with
some of the emerging technologies can play a role in the decision making. Some
organizations might be considering or already started using these technologies. So
it is well worth your effort to demonstrate that you understand the basic concepts or
have an appreciation for the following technologies/frameworks and an eagerness
to learn.


      Test Driven Development (TDD).

      Aspect Oriented Programming (AOP).

      Inversion of Control (IoC) (Also known as Dependency Injection).

      Annotation or attribute based programming (xdoclet etc).

      Spring framework.

      Hibernate framework.

      EJB 3.0

      Component based Web frameworks like (JSF, Tapestry etc)




Note: It is out of scope for this book to cover all of these technologies/frameworks in detail. Important
and popular technologies (TDD, AOP, IoC, and Annotations) and frameworks (Hibernate, Spring, EJB
3.0) are discussed with examples. If you hire smart people with a good understanding of Java/J2EE
core concepts and key areas with some basic understanding of emerging technologies and frameworks
then their current skills are not as important as their ability to learn quickly, eagerness to learn, and be
productive.
312                                      Emerging Technologies/Frameworks…

Q. What is the hot trend in Enterprise apps these days?

This section covers some of the recent and popular design paradigms such as Plain Old Java Objects (POJOs) and Plain Old Java
Interfaces (POJI) based services and interceptors, Aspect Oriented Programming (AOP), Dependency Injection (aka IoC), attributes or
annotations oriented programming, etc and tools and frameworks which apply these new paradigms such as Spring (IoC and AOP),
Hibernate (O/R mapping), EJB 3.0 (POJO, POJI, and annotations), XDoclet (attributes oriented programming) , JSF (component based
Web framework), Tapestry (component based Web framework) etc. All these have emerged over the past 2-4 years.


Q. Why should you seriously consider these technologies?
These new paradigms and frameworks can offer great benefits such as ease of maintenance, reduction in code size, elimination of
duplication of code, ease of unit testing, loose coupling among components, light weight and fine grained objects, and developer
productivity.

Q. How would you convince a development team to use these new paradigms/frameworks?
Build a vertical slice with some code for a business use case to demonstrate the above mentioned benefits.



Q 01: What is Test Driven Development (TDD)? FAQ
A 01: TDD is an iterative software development process where you first write the test with the idea that it must fail.
      This is a different approach to the traditional development where you write the application functionality first and
      then write test cases. The major benefit of this approach is that the code becomes thoroughly unit tested (you can
      use JUnit or other unit testing frameworks). For JUnit refer Q14 on “How would you go about…” section. TDD is
      based on two important principles preached by its originator Kent Beck:

           Write new business code only if an automated unit test has failed: Business application requirements
           drive the tests and tests drive the actual functional code. Each test should test only one business concept,
           which means avoid writing a single test which tests withdrawing money from an account and depositing money
           into an account. Any change in the business requirements will impact pre and post conditions of the test.
           Talking about pre and post conditions, following design by contract methodology (Refer Q11 in Java section)
           helps achieving TDD. In design by contract, you specify the pre and post conditions that act as contracts of a
           method, which provides a specification to write your tests against.

           Eliminate duplication from the code: A particular business concept should be implemented only once within
           the application code. Code for checking an account balance should be centralized to only one place within the
           application code. This makes your code decoupled, more maintainable and reusable.

       I can hear some of you all saying how can we write the unit test code without the actual application code. Let’s
       look at how it works in steps. The following steps are applied iteratively for business requirements.

       STEP: 1 write some tests for a specific business requirement.

       STEP: 2 write some basic structural code so that your test compiles but the test should fail (failures are the
       pillars of success). For example just create the necessary classes and corresponding methods with skeletal code.

       STEP: 3 write the required business code to pass the tests which you wrote in step 1.

       STEP: 4 finally refactor the code you just wrote to make it is as simple as it can be. You can refactor your code
       with confidence that if it breaks the business logic then you have unit test cases that can quickly detect it.

       STEP: 5 run your tests to make sure that your refactored code still passes the tests.

       STEP: 6 Repeat steps 1-5 for another business requirement.

       To write tests efficiently some basic guidelines need to be followed:

               You should be able to run each test in isolation and in any order.
               The test code should not have any duplicate business logic.
               You should test for all the pre and post conditions as well as exceptions.
               Each test should concentrate on one business requirement as mentioned earlier.
               There are many ways to write test conditions so proper care and attention should be taken. In some cases
               pair programming can help by allowing two brains to work in collaboration. You should have strategies to
               overcome issues around state of data in RDBMS (Should you persist sample test data, which is a snapshot
               of your actual data prior to running your tests? Or should you hard code data? Or Should you combine both
               strategies? Etc).
344                                         Sample interview questions




                             SECTION FIVE


                             Sample interview questions…


                             Tips:

                                Try to find out the needs of the project in which you will be working and the
                                needs of the people within the project.

                                80% of the interview questions are based on your own resume.

                                Where possible briefly demonstrate how you applied your skills/knowledge in the
                                key areas as described in this book. Find the right time to raise questions and
                                answer those questions to show your strength.

                                Be honest to answer technical questions, you are not expected to know
                                everything (for example you might know a few design patterns but not all of
                                them etc).

                                Do not be critical, focus on what you can do. Also try to be humorous.

                                Do not act in superior way.




General Tip #11:

There is a difference between looking excited about a job or a job offer and looking desperate for one. Do not immediately
jump at the opportunity. If you have any impending interviews ask the interviewer for some time to respond to the offer.
Never give into the pressure (e.g. this is the best job and if you do not take it right now you might miss out etc) from the
job agencies. Interviewers are generally happy to wait for the right candidate. Give yourself attention to all the aspects on
offer like salary, type of industry (finance, telecom, consulting etc), opportunity for growth, type of project (large scale
mission critical, medium sized etc), type of role (design, development and design, team lead, architect etc), type of
technology used and opportunity to learn new things (e.g. Spring, Hibernate, Tapestry, JSF, Web services, messaging
etc) to keep you motivated at your job as well as improve your future job prospects. Never think of salary aspect alone.
You should have a long term plan. Sometimes it is worth your while to compromise on a few quid to acquire most sought
after skills (at the time of writing Spring, Hibernate, JSF, Tapestry etc) and/or valuable skills (design skills, leadership
skills etc). So for each interview you attend keep a checklist of aspects on offer and always act calmly and professionally
to make the right decision for you.
348                                    GLOSSARY OF TERMS




GLOSSARY OF TERMS




TERM            DESCRIPTION
ACID            Atomicity, Consistency, Isolation, Durability.
Ajax            Asynchronous JavaScript And XML
aka             also known as.
AOP             Aspect Oriented Programming
API             Application Programming Interface
AWT             Abstract Window Toolkit
BLOB            Binary Large Object
BMP             Bean Managed Persistence
CGI             Common Gateway Interface
CLOB            Character Large OBject
CMP             Container Managed Persistence
CORBA           Common Object Request Broker Architecture
CRM             Customer Relationships Management
CRUD            Create, Read, Update and Delete
CSS             Cascading Style Sheets
csv             Comma Separated Value
CRC             Cyclic Redundancy Checks
DAO             Data Access Object
DNS             Domain Name Service
DOM             Document Object Model
DTD             Document Type Definition
EAR             Enterprise ARchive
EIS             Enterprise Information System
EJB             Enterprise JavaBean
EL              Expression Language
ERP             Enterprise Resource Planning
FDD             Feature Driven Development
GIF             Graphic Interchange Format
GOF             Gang Of Four
HQL             Hibernate Query Language.
HTML            Hyper Text Markup Language
HTTP            Hyper Text Transfer Protocol
I/O             Input/Output
IDE             Integrated Development Environment
IIOP            Internet Inter-ORB Protocol
IoC             Inversion of Control
IP              Internet Protocol
J2EE            Java 2 Enterprise Edition
JAAS            Java Authentication and Authorization Service
JAF             JavaBeans Activation Framework
JAR             Java ARchive
JAXB            Java API for XML Binding
JAXP            Java API for XML Parsing
JAXR            Java API for XML Registries
JAX-RPC         Java API for XML-based RPC
JAX-WS          Java API for XML-based Web Services
JCA             J2EE Connector Architecture
JDBC            Java Database Connectivity
JDK             Java Development Kit
JFC             Java Foundation Classes
JMS             Java Messaging Service
JMX             Java Management eXtensions
JNDI            Java Naming and Directory Interface
JNI             Java Native Interface
JRMP            Java Remote Method Protocol
JSF             JavaServer Faces
JSP             Java Server Pages
JSTL            Java Standard Tag Library
JTA             Java Transaction API
JVM             Java Virtual Machine
LDAP            Lightweight Directory Access Protocol
GLOSSARY OF TERMS                                                                349

MOM           Message Oriented Middleware
MVC           Model View Controller
NDS           Novell Directory Service
NIO           New I/O
O/R mapping   Object to Relational mapping.
OO            Object Oriented
OOP           Object Oriented Programming
OOPL          Object Oriented Programming Language
ORB           Object Request Broker
ORM           Object to Relational Mapping.
POJI          Plain Old Java Interface
POJO          Plain Old Java Object
RAR           Resource adapter ARchive
RDBMS         Relational Database Management System
RMI           Remote Method Invocation
RPC           Remote Procedure Call
RUP           Rational Unified Process
SAAJ          SOAP with attachment API for Java
SAX           Simple API for XML
SOA           Service Oriented Architecture
SOAP          Simple Object Access Protocol
SQL           Structured Query Language
SSL           Secure Sockets Layer
TCP           Transmission Control Protocol
TDD           Test Driven Development
UDDI          Universal Description Discovery and Integration
UDP           User Datagram Protocol
UI            User Interface
UML           Unified Modeling Language
URI           Uniform Resource Identifier
URL           Uniform Resource Locator
UTF
VO            Value Object which is a plain Java class which has attributes or fields and corresponding getter   getXXX()
              and setter   setXXX() methods .
WAR           Web ARchive
WML           Wireless Markup Language
WSDL          Web Service Description Language
XHTML         Extensible Hypertext Markup Language
XML           Extensible Markup Language
XP            Extreme Programming
XPath         XML Path
XSD           XML Schema Definition
XSL           Extensible Style Language
XSL-FO        Extensible Style Language – Formatting Objects
XSLT          Extensible Style Language Transformation
350                                                     RESOURCES




RESOURCES




Articles

      Sun Java Certified Enterprise Architect by Leo Crawford on http://www.leocrawford.org.uk/work/jcea/part1/index.html.
      Practical UML: A Hands-On Introduction for Developers by Randy Miller on http://bdn.borland.com/article/0,1410,31863,00.html
      W3 Schools on http://www.w3schools.com/default.asp.
      LDAP basics on http://publib.boulder.ibm.com/iseries/v5r2/ic2924/index.htm?info/rzahy/rzahyovrco.htm.
      Java World articles on design patterns: http://www.javaworld.com/columns/jw-Java-design-patterns-index.shtml.
      Web Servers vs. App Servers: Choosing Between the Two By Nelson King on
      http://www.serverwatch.com/tutorials/article.php/1355131.
      Follow the Chain of Responsibility by David Geary on Java World - http://www.javaworld.com/javaworld/jw-08-2003/jw-0829-
      designpatterns.html.
      J2EE Design Patterns by Sue Spielman on http://www.onjava.com/pub/a/onjava/2002/01/16/patterns.html.
      The New Methodology by Martin Fowler on http://www.martinfowler.com/articles/newMethodology.html.
      Merlin brings nonblocking I/O to the Java platform by Aruna Kalagnanam and Balu G on
      http://www.ibm.com//developerworks/Java/library/j-javaio.
      Hibernate Tips and Pitfalls by Phil Zoio on http://www.realsolve.co.uk/site/tech/hib-tip-pitfall-series.php.
      Hibernate Reference Documentation on http://www.hibernate.org/hib_docs/reference/en/html_single/.
      Object-relation mapping without the container by Richard Hightower on http://www-128.ibm.com/developerworks/library/j-
      hibern/?ca=dnt515.
      Object to Relational Mapping and Relationships with Hibernate by Mark Eagle on http://www.meagle.com:8080/hibernate.jsp.
      Mapping Objects to Relational databases: O/R Mapping In detail by Scott W. Ambler on
      http://www.agiledata.org/essays/mappingObjects.html.
      I want my AOP by Ramnivas Laddad on Java World.
      WebSphere Application Server 5.0 for iSeries – Performance Considerations by Jill Peterson.
      Dependency Injection using pico container by Subbu Ramanathan .
      WebSphere Application Server & Database Performance tuning by Michael S. Pallos on
      http://www.bizforum.org/whitepapers/candle-5.htm.
      A beginners guide to Dependency Injection by Dhananjay Nene on
      http://www.theserverside.com/articles/article.tss?l=IoCBeginners.
      The Spring series: Introduction to the Spring framework by Naveen Balani on http://www-
      128.ibm.com/developerworks/web/library/wa-spring1.
      The Spring Framework by Benoy Jose.
      Inversion of Control Containersband the Dependency Injection pattern by Martin Fowler.
      Migrate J2EE Applications for EJB 3.0 by Debu Panda on JavaPro.
      EJB 3.0 in a nutshell by Anil Sharma on JavaWorld.
      Preparing for EJB 3.0 by Mike Keith on ORACLE Technology Network.
      Simplify enterprise Java development with EJB 3.0 by Michael Juntao Yuan on JavaWorld.
      J2SE: New I/O by John Zukowski on http://java.sun.com/developer/technicalArticles/releases/nio/.
      High-Performance I/O arrives by Danniel F. Savarese on JavaPro.
      Hibernate – Proxy Visitor Pattern by Kurtis Williams.
      Best Practices for Exception Handling by Gunjan Doshi.
      Three Rules for Effective Exception Handling by Jim Cushing.
      LDAP and JNDI: Together forever – by Sameer Tyagi.
      Introduction To LDAP – by Brad Marshall.
      Java theory and practice: Decorating with dynamic proxies by Brian Goetz.
      Java Dynamic Proxies: One Step from Aspect-Oriented Programming by Lara D’Abreo.
      Java Design Patterns on http://www.allapplabs.com/java_design_patterns .
      Software Design Patterns on http://www.dofactory.com/Patterns/Patterns.aspx .
      JRun: Core Dump and Dr. Watson Errors on http://www.macromedia.com/cfusion/knowledgebase/index.cfm?id=tn_17534
      The Guerrilla Guide to Interviewing by Joel Spolsky at http://www.joelonsoftware.com/printerFriendly/articles/fog0000000073.html
      The Riddle of Job Interviews by Kate Kane at http://www.fastcompany.com/online/01/jobint_Printer_Fiendly.html
      An Introduction to Aspect-Oiented Programming with the Spring Framework, Part 1 by Russell Miles at
      http://www.onjava.com/lpt/a/4994
      5 Habits Of Best Software Developers by Angusman Chakraborty at http://blog.taragana.com/index.php/archive/5-habits-of-best-
      doftware-developers/
      Getting started with Hibernate by Alan P Saxton at http://www.cs.bham.ac.uk/~aps/syllabi/2004_2005/issws/h03/hibernate.html
      Hibernate Tips by Jason Carreira at http://jroller.com/page/jcarreira/20050223
      Five Things I Love About Spring by Bruce A. Tate at http://www.onjava.com/lpt/a/5833
      Service-oriented modeling and architecture by Ali Arsanjani , Ph.D at http://www-
      128.ibm.com/developerworks/webservices/library/ws-soa-design1/
      Delving into Service-Oriented Architecture by Bernhad Borges, Kerrie Holley and Ali Arsanjani at
      http://www.developer.com/design/print.php/10925_3409221_1
      SOA: Are We Reinventing the Wheel? By Nick Simha at http://dev2dev.bea.com/lpt/a/435
      Getting a little closer to SOA by Fabrice Marguerie at http://madgeek.com/Articles/SOA/EN/SOA-Softly.html
      What is sevice-oriented architecture by Raghu R. Kodali at http://www.javaworld.com/javaworld/jw-06-2005/jw-0613-soa_p.html
RESOURCES                                                            351

    J2EE-Supported Web Service standards and Technologies by Vijay Ramachandran, Sean Brydon, Greg Murray. Inderjeet Singh,
    Beth Stearns, Thierry Violleau.
    J2EE 1.4 eases Web service development by Frank Sommers at http://www.javaworld.com/javaworld/jw-06-2003/jw-0620-
    webservices_p.html
    A developer’s introduction to JAX-RPC, Part 1 & 2 by Joshy Joseph at http://www-
    128.ibm.com/developerworks/webservices/library/
    Developing Web Services with Java 2 Platform, Enterprise Edition (J2EE) 1.4 Platform by Qusay H. Mahmoud at
    http://java.sun.com/developer/technicalArticles/J2EE/j2ee_ws/
    Scriptless JSP Pages: The Front Man by Bear Bibeault at http://www.javaranch.com/journal/200603/Journal200603.jsp
    Advanced DAO programming by Sean Sullivan at http://www-128.ibm.com/developerworks/library/j-dao/
    Understanding JavaServer Pages Model 2 architecture by Govind Seshadri at http://www.javaworld.com/javaworld/jw-12-1999/jw-
    12-ssj-jspmvc_p.html
    A Fast Introduction to Basic Servlet Programming by Marty Hall at
    http://www.informit.com/articles/printerfriendly.asp/p=29817&r1=1
    What’s new in J2Se 5.0? based on Joshua Bloch’s on-line talk.
    Introducing Java 5 by Andy Grant at http://www.sitepoint.com/print/introducing-java-5
    Experiences with the New Java 5 Language Features by Jess Garms and Tim Hanson at http://dev2dev.bea.com/lpt/a/442
    Five Favorite Features from 5.0 by David Flanagan at http://www.onjava.com/lpt/a/5799
    First among equals by Kevlin Henney at http://www.regdeveloper.com/2005/12/29/first_among_equals/print.html
    Painting in AWT and Swing by Amy Fowler.
    A Hands-On Introduction for Developers by Randy Miller at http://bdn.borland.com/article/0,1410,31863,00.html



    www.javaworld.com articles.
    http://www-128.ibm.com/developerworks/java articles.
    http://www.devx.com/java articles.
    www.theserverside.com/tss articles.
    http://javaboutique.internet.com/articles articles.



Books

    Beginning Java 2 by Ivor Horton.
    Design Patterns by Erich Gamma, Richard Helm, Ralph Johnson, John Vlissides (GoF) .
    UML Distilled by Martin Fowler, Kendall Scott .
    Mastering Enterprise Java Beans II by Ed Roman, Scott Ambler, Tyler Jewell, Floyd Marinescu.
    EJB Design Patterns by Floyd Marinescu .
    Sun Certified Enterprise Architect for J2EE Technology Study Guide by Mark Cade and Simon Roberts.
    Professional Java Server Programming - J2EE edition by Wrox publication.
    Design Patterns Java Companion by James W. Cooper (Free download: http://www.patterndepot.com/put/8/JavaPatterns.htm).
    Test Driven Development – By Example, by Kent Beck.
    Effective Java – programming language guide by Joshua Bloch
352                                                         INDEX




INDEX




Emerging Technologies/Frameworks                                      What is the difference between Container Managed
  Briefly explain key features of the JavaServer Faces (JSF)            Persistence (CMP) and Bean Managed Persistence
      framework?                                           339          (BMP)?                                                168
  Explain Object-to-Relational (O/R) mapping?              323        What is the difference between EJB 1.1 and EJB 2.0? What
  Explain some of the pitfalls of Hibernate and explain how to          is the difference between EJB 2.x and EJB 3.0?        169
      avoid them?                                          333        What is the difference between EJB and JavaBeans? 164
  Give an overview of hibernate framework?                 324        What is the difference between optimistic and pessimistic
  Give an overview of the Spring framework?                334          concurrency control?                                  173
  How would EJB 3.0 simplify your Java development                    What is the difference between session and entity beans?
      compared to EJB 1.x, 2.x?                            337                                                                168
  How would the JSF framework compare with the Struts                 What is the difference between stateful and stateless
      framework?                                           341          session beans?                                        168
  What are the benefits of IoC (aka Dependency Injection)?            What is the role of EJB 2.x in J2EE?                    163
                                                           322      Enterprise - J2EE
  What are the differences between OOP and AOP?            317        Explain J2EE class loaders?                           105
  What are the different types of dependency injections? 321          Explain MVC architecture relating to J2EE?             99
  What are the pros and cons of annotations over XML based            Explain the J2EE 3-tier or n-tier architecture?        97
      deployment descriptors?                              318        So what is the difference between a component and a
  What is aspect oriented programming? Explain AOP? 313                  service you may ask?                                96
  What is attribute or annotation oriented programming? 317           What are ear, war and jar files? What are J2EE Deployment
  What is inversion of control (IoC) (also known as                      Descriptors?                                       101
      dependency injection)?                               319        What is J2EE? What are J2EE components and services?
  What is Test Driven Development (TDD)?                   312                                                               95
  What is the difference between a service locator pattern            What is the difference between a Web server and an
      and an inversion of control pattern?                 323           application server?                                101
  What is the point of Test Driven Development (TDD)? 313             Why use design patterns in a J2EE application?        101
  What is XDoclet?                                         319      Enterprise - JDBC
  Why dependency injection is more elegant than a JNDI                Explain differences among java.util.Date, java.sql.Date,
      lookup to decouple client and the service?           323           java.sql.Time, and java.sql.Timestamp?                153
Enterprise - Best practices and performance                           How to avoid the “running out of cursors” problem?       152
  considerations                                                      What are JDBC Statements? What are different types of
  Explain some of the J2EE best practices to improve                     statements? How can you create them?                  147
     performance?                                       223           What is a Transaction? What does setAutoCommit do? 147
  Explain some of the J2EE best practices?              222           What is JDBC? How do you connect to a database?          145
  Give some tips on J2EE application server performance               What is the difference between JDBC-1.0 and JDBC-2.0?
     tuning?                                            222              What are Scrollable ResultSets, Updateable ResultSets,
Enterprise - EJB 2.x                                                     RowSets, and Batch updates?                           152
  Can an EJB client invoke a method on a bean directly? 168           What is the difference between statements and prepared
  Discuss EJB container security?                        174             statements?                                           153
  Explain EJB architecture?                              165        Enterprise - JMS
  Explain exception handling in EJB?                     172          Discuss some of the design decisions you need to make
  Explain lazy loading and dirty marker strategies?      179             regarding your message delivery?                   186
  How can we determine if the data is stale (for example              Give an example of a J2EE application using Message
     when using optimistic locking)?                     174             Driven Bean with JMS?                              189
  How do you rollback a container managed transaction in              How JMS is different from RPC?                        180
     EJB?                                                173          What are some of the key message characteristics defined
  How to design transactional conversations with session                 in a message header?                               184
     beans?                                              172          What is Message Oriented Middleware? What is JMS? 180
  What are EJB best practices?                           176          What type of messaging is provided by JMS?            185
  What are isolation levels?                             170        Enterprise - JNDI & LDAP
  What are not allowed within the EJB container?         174          Explain the difference between the look up of “java
  What are the implicit services provided by an EJB                      comp/env/ejb/MyBean” and “ejb/MyBean”?               156
     container?                                          170          Explain the RMI architecture?                           159
  What are transactional attributes?                     170          How will you pass parameters in RMI?                    161
  What is a business delegate? Why should you use a                   What are the differences between RMI and a socket?      161
     business delegate?                                  176          What are the services provided by the RMI Object?       161
  What is a distributed transaction? What is a 2-phase                What is a JNDI InitialContext?                          156
     commit?                                             171          What is a remote object? Why should we extend
  What is a fast-lane reader?                            178             UnicastRemoteObject?                                 160
  What is a Service Locator?                             178          What is an LDAP server? And what is it used for in an
  What is a session façade?                              177             enterprise environment?                              156
  What is a value object pattern?                        177          What is HTTP tunnelling or how do you make RMI calls
  What is dooming a transaction?                         171             across firewalls?                                    161
INDEX                                                              353

  What is JNDI? And what are the typical uses within a J2EE            How do you get your servlet to stop timing out on a really
    application?                                         155               long database query?                                    118
  What is the difference between RMI and CORBA?          161           How do you make a Servlet thread safe? What do you need
  Why use LDAP when you can do the same with relational                    to be concerned about with storing data in Servlet
    database (RDBMS)?                                    157               instance fields?                                        117
Enterprise - JSP                                                       How would you get the browser to request for an updated
  Explain hidden and output comments?                   139                page in 10 seconds?                                     109
  Explain the life cycle methods of a JSP?              133            HTTP is a stateless protocol, so, how do you maintain
  How will you avoid scriptlet code in JSP?             144                state? How do you store user data between requests?
  Is JSP variable declaration thread safe?              139                                                                        110
  Tell me about JSP best practices?                     143            If an object is stored in a session and subsequently you
  What are custom tags? Explain how to build custom tags?                  change the state of the object, will this state change
                                                        140                replicated to all the other distributed sessions in the
  What are implicit objects and list them?              137                cluster?                                                121
  What are the differences between static and a dynamic                What are the considerations for servlet clustering?         120
      include?                                          137            What are the different scopes or places where a servlet can
  What are the different scope values or what are the                      save data for its processing?                           110
      different scope values for <jsp                                  What are the ServletContext and ServletConfig objects?
     usebean> ?                                            137             What are Servlet environment objects?                   115
  What are the main elements of JSP? What are scriplets?               What are the two objects a servlet receives when it accepts
    What are expressions?                              134                 a call from its client?                                 109
  What is a JSP? What is it used for? What do you                      What can you do in your Servlet/JSP code to tell browser
    understand by the term JSP translation phase or                        not to cache the pages?                                 109
    compilation phase?                                 126             What is a filter, and how does it work?                     121
  What is a TagExtraInfo class?                        142             What is a RequestDispatcher? What object do you use to
  What is the difference between custom JSP tags and                       forward a request?                                      119
    Javabeans?                                         142             What is pre-initialization of a Servlet?                    119
Enterprise - Logging, testing and deployment                           What is the difference between CGI and Servlet?             108
  Enterprise - Logging, testing and deployment           226           What is the difference between doGet () and doPost () or
  Give an overview of log4J?                             225               GET and POST?                                           115
  How do you initialize and use Log4J?                   225           What is the difference between forwarding a request and
  What is the hidden cost of parameter construction when                   redirecting a request?                                  119
     using Log4J?                                        225           What is the difference between HttpServlet and
  What is the test phases and cycles?                    226               GenericServlet?                                         116
                                                                       What is the difference between request parameters and
Enterprise - Personal
                                                                           request attributes?                                     109
  Have you used any load testing tools?                     228
                                                                       Which code line should be set in a response object before
  Tell me about yourself or about some of the recent projects
                                                                           using the PrintWriter or the OutputStream?              110
      you have worked with? What do you consider your most
      significant achievement? Why do you think you are              Enterprise - Software development process
      qualified for this position? Why should we hire you and          What software development processes/principles are you
      what kind of contributions will you make?             228          familiar with?                                     230
  What operating systems are you comfortable with? 228, 229          Enterprise - SQL, Tuning and O/R mapping
  What source control systems have you used?                228        Explain a sub-query? How does a sub-query impact on
  Which on-line technical resources do you use to resolve                 performance?                                         198
      any design and/or development issues?                 229        Explain inner and outer joins?                          197
Enterprise - RUP & UML                                                 How can you performance tune your database?             199
  Explain the 4 phases of RUP?                           206           How do you implement one-to-one, one-to-many and many-
  What are the characteristics of RUP? Where can you use                  to-many relationships while designing tables?        199
     RUP?                                                208           How do you map inheritance class structure to relational
  What are the different types of UML diagrams?          208              data model?                                          201
  What is RUP?                                           206           How will you map objects to a relational database? How will
  What is the difference between a collaboration diagram and              you map class inheritance to relational data model? 200
     a sequence diagram?                                 213           What is a view? Why will you use a view? What is an
  What is the difference between aggregation and                          aggregate function?                                  201
     composition?                                        213           What is normalization? When to denormalize?             199
  When to use ‘use case’ diagrams?                       209         Enterprise - Struts
  When to use activity diagrams?                         213           Are Struts action classes thread-safe?                   216
  When to use class diagrams?                            209           Give an overview of Struts?                              214
  When to use interaction diagrams?                      211           How do you implement internationalization in Struts?     216
  When to use object diagrams?                           210           How do you upload a file in Struts?                      216
  When to use package diagrams?                          210           What design patterns are used in Struts?                 217
  When to use statechart diagram?                        212           What is a synchronizer token pattern in Struts or how will
  Why is UML important?                                  208              you protect your Web against multiple submissions? 215
Enterprise - Servlet                                                   What is an action mapping in Struts? How will you extend
  Briefly discuss the following patterns Composite view, View             Struts?                                               217
     helper, Dispatcher view and Service to worker? Or               Enterprise - Web and Application servers
     explain J2EE design patterns?                         123         Explain Java Management Extensions (JMX)?             219
  Explain declarative security for Web applications?       122         What application servers, Web servers, LDAP servers, and
  Explain Servlet URL mapping?                             125            Database servers have you used?                    218
  Explain the directory structure of a Web application?    114         What is a virtual host?                               218
  Explain the Front Controller design pattern or explain J2EE          What is application server clustering?                219
     design patterns?                                      122         What is the difference between a Web server and an
  Explain the life cycle methods of a servlet?             113            application server?                                218
354                                                            INDEX

Enterprise - Web and Applications servers                              Explain the Java I/O streaming concept and the use of the
  Explain some of the portability issues between different                 decorator design pattern in Java I/O?                      42
     application servers?                                  220         Explain threads blocking on I/O?                               61
Enterprise - XML                                                       Give a few reasons for using Java?                             14
  Explain where your project needed XML documents? 196                 Give an example where you might use a static method? 46
  How do you write comments in an XML document?             195        How can threads communicate with each other? How would
  What is a CDATA section in an XML?                        194            you implement a producer (one thread) and a consumer
  What is a namespace in an XML document?                   195            (another thread) passing data (via stack)?                 59
  What is a valid XML document?                             195        How can you improve Java I/O performance?                      44
  What is a version information in XML?                     194        How do you express an ‘is a’ relationship and a ‘has a’
  What is a well-formed XML document?                       195            relationship or explain inheritance and composition?
  What is the difference between a SAX parser and a DOM                    What is the difference between composition and
     parser?                                                190            aggregation?                                               18
  What is XML? And why is XML important?                    190        How does Java allocate stack and heap memory? Explain
  What is XPATH? What is XSLT/XSL/XSL-FO/XSD/DTD                           re-entrant, recursive and idempotent
     etc? What is JAXB? What is JAXP?                       191            methods/functions?                                         48
  What is your favorite XML framework or a tool?            196        How does the Object Oriented approach improve software
  Which is better to store data as elements or as attributes?              development?                                               18
                                                            191        How does thread synchronization occurs inside a monitor?
  Why use an XML document as opposed to other types of                     What levels of synchronization can you apply? What is
     documents like a text file etc?                        196            the difference between synchronized method and
How would you go about...?                                                 synchronized block?                                        58
  How would you go about applying the design patterns in               How will you call a Web server from a stand alone Java
    your Java/J2EE application?                               253          application?                                               64
  How would you go about applying the Object Oriented (OO)             If 2 different threads hit 2 different synchronized methods in
    design concepts in your Java/J2EE application?            247          an object at the same time will they both continue? 61
  How would you go about applying the UML diagrams in                  If you have a circular reference of objects, but you no
    your Java/J2EE project?                                   249          longer reference it from an execution thread, will this
  How would you go about describing the open source                        object be a potential candidate for garbage collection?
    projects like JUnit (unit testing), Ant (build tool), CVS                                                                         53
    (version control system) and log4J (logging tool) which            What are “static initializers” or “static blocks with no function
    are integral part of most Java/J2EE projects?             292          names”?                                                    17
  How would you go about describing the software                       What are access modifiers?                                     46
    development processes you are familiar with?              251      What are some of the best practices relating to Java
  How would you go about describing Web services? 3, 299                   collection?                                                30
  How would you go about designing a Java/J2EE                         What are the advantages of Object Oriented Programming
    application?                                              240          Languages (OOPL)?                                          18
  How would you go about designing a Web application                   What are the benefits of the Java Collections Framework?
    where the business tier is on a separate machine from                                                                             29
    the presentation tier. The business tier should talk to 2          What are the flow control statements in Java                   55
    different databases and your design should point out the           What are the non-final methods in Java Object class, which
    different design patterns?                                286          are meant primarily for extension?                         34
  How would you go about determining the enterprise                    What are the usages of Java packages?                          15
    security requirements for yor Java/J2EE application?287            What do you know about the Java garbage collector? When
  How would you go about documenting your Java/J2EE                        does the garbage collection occur? Explain different
    application?                                              239          types of references in Java?                               51
  How would you go about identifying any potential thread-             What do you mean by polymorphism, inheritance,
    safety issues in your Java/J2EE application?              245          encapsulation, and dynamic binding?                        19
  How would you go about identifying any potential                     What is a daemon thread?                                       59
    transactional issues in your Java/J2EE application? 246            What is a factory pattern?                                     62
  How would you go about identifying performance and/or                What is a final modifier? Explain other Java modifiers? 46
    memory issues in your Java/J2EE application?              243      What is a singleton pattern? How do you code it in Java? 61
  How would you go about improving performance in your                 What is a socket? How do you facilitate inter process
    Java/J2EE application?                                    244          communication in Java?                                     64
  How would you go about minimizing memory leaks in your               What is a user defined exception?                              55
    Java/J2EE application?                                    244      What is design by contract? Explain the assertion
                                                                           construct?                                                 22
Java
                                                                       What is serialization? How would you exclude a field of a
  Briefly explain high-level thread states?                  58
                                                                           class from serialization or what is a transient variable?
  Discuss the Java error handling mechanism? What is the
                                                                           What is the common use?                                    41
      difference between Runtime (unchecked) exceptions
                                                                       What is the difference between “==” and equals(…)
      and checked exceptions? What is the implication of
                                                                           method? What is the difference between shallow
      catching all the exceptions with the type “Exception”? 53
                                                                           comparison and deep comparison of objects?                 33
  Explain different ways of creating a thread?               57
                                                                       What is the difference between aggregation and
  Explain Java class loaders? Explain dynamic class loading?
                                                                           composition?                                               19
                                                             15
                                                                       What is the difference between an abstract class and an
  Explain Outer and Inner classes (or Nested classes) in
                                                                           interface and when should you use them?                    24
      Java? When will you use an Inner Class?                49
                                                                       What is the difference between an instance variable and a
  Explain some of the new features in J2SE 5.0, which
                                                                           static variable? Give an example where you might use a
      improves ease of development                           65
                                                                           static variable?                                           46
  Explain static vs dynamic class loading?                   16
                                                                       What is the difference between C++ and Java?                   14
  Explain the assertion construct?                           24
                                                                       What is the difference between constructors and other
  Explain the Java Collections Framework?                    26
                                                                           regular methods? What happens if you do not provide a
INDEX                                                            355

    constructor? Can you call one constructor from another?               How would you improve performance of a Java application?
    How do you call the superclass’ constructor?                17                                                              78
  What is the difference between final, finally and finalize() in         Why does the JVM crash with a core dump or a Dr.Watson
    Java?                                                       47          error?                                              81
  What is the difference between processes and threads? 56              Java - Personal
  What is the difference between yield and sleeping?            58        Did you have to use any design patterns in your Java
  What is the main difference between a String and a                          project?                                               83
    StringBuffer class?                                         38        Do you have any role models in software development? 88
  What is the main difference between an ArrayList and a                  How do you handle pressure? Do you like or dislike these
    Vector? What is the main difference between HashMap                       situations?                                            85
    and Hashtable?                                              25        Java – Behaving right in an interview                      89
  What is the main difference between pass-by-reference and               Tell me about yourself or about some of the recent projects
    pass-by-value?                                              40            you have worked with? What do you consider your most
  What is the main difference between shallow cloning and                     significant achievement? Why do you think you are
    deep cloning of objects?                                    45            qualified for this position? Why should we hire you and
  What is the main difference between the Java platform and                   what kind of contributions will you make?              83
    the other software platforms?                               14        What are your career goals? Where do you see yourself in
  What is type casting? Explain up casting vs down casting?                   5-10 years?                                            85
    When do you get ClassCastException?                         50        What do you like and/or dislike most about your current
  When is a method said to be overloaded and when is a                        and/or last position?                                  84
    method said to be overridden?                               25        What past accomplishments gave you satisfaction? What
  When providing a user defined key class for storing objects                 makes you want to work hard?                           88
    in the HashMaps or Hashtables, what methods do you                    What was the last Java related book or article you read? 87
    have to provide or override (i.e. method overriding)? 36              Which Java related website(s) or resource(s) do you use to
  When should you use a checked exception and when                            keep your knowledge up to date beyond Google           88
    should you use an unchecked exception                       55        Why are you leaving your current position?                 84
  When to use an abstract class?                                25        Why do you want to work for us?                            88
  When to use an interface?                                     25      Java - Swing
  Where and how can you use a private constructor?              46        Explain layout managers?                              74
  Why is it not advisable to catch type “Exception”?            54        Explain the Swing Action architecture?                70
  Why should you catch a checked exception late in a catch                Explain the Swing delegation event model?             75
    {} block?                                                   55        Explain the Swing event dispatcher mechanism?         73
  Why should you throw an exception early?                      54        How does Swing painting happen? How will you improve
  Why there are some interfaces with no defined methods                       the painting performance?                         70
    (i.e. marker interfaces) in Java?                           25        How will you go about building a Swing GUI client     69
  Why would you prefer a short circuit “&&, ||” operators over            If you add a component to the CENTER of a border layout,
    logical “& , |” operators                                   47            which directions will the component stretch?      72
Java - Applet                                                             What do you understand by MVC as used in a JTable? 74
  How will you communicate between two Applets?                76         What is the base class for all Swing components?      72
  How will you initialize an applet?                           76         What is the difference between AWT and Swing?         69
  How would you communicate between applets and                         Java/J2EE - Personal
    servlets?                                                  76         What are your strengths and weaknesses? Can you
  What is a signed Applet?                                     76           describe a situation where you took initiative? Can you
  What is the difference between an applet and an                           describe a situation where you applied your problem
    application?                                               77           solving skills?                                        85
  What is the order of method invocation in an applet?         76       Key Points
Java - Performance and Memory issues                                      Enterprise - Key Points                                  233
  How would you detect and minimize memory leaks in Java?                 Java - Key Points                                         91
                                                       81
356

One java book

  • 1.
    1 Learn Java/J2EE core concepts and key areas With Java/J2EE Job Interview Companion By K.Arulkumaran & A.Sivayini Technical Reviewers Craig Malone Stuart Watson Arulazi Dhesiaseelan Lara D’Albreo Cover Design, Layout, & Editing A.Sivayini Acknowledgements A. Sivayini Mr. & Mrs. R. Kumaraswamipillai
  • 2.
    2 Java/J2EE Job Interview Companion Copy Right 2005-2007 ISBN 978-1-4116-6824-9 The author has made every effort in the preparation of this book to ensure the accuracy of the information. However, information in this book is sold without warranty either expressed or implied. The author will not be held liable for any damages caused or alleged to be caused either directly or indirectly by this book. Please e-mail feedback & corrections (technical, grammatical and/or spelling) to java-interview@hotmail.com First Edition (220+ Q&A): Dec 2005 Second Edition (400+ Q&A): March 2007
  • 3.
    3 Outline SECTION DESCRIPTION What this book will do for you? Motivation for this book Key Areas index SECTION 1 Interview questions and answers on: Java Fundamentals Swing Applet Performance and Memory issues Personal and Behavioral/Situational Behaving right in an interview Key Points SECTION 2 Interview questions and answers on: Enterprise Java J2EE Overview Servlet JSP JDBC / JTA JNDI / LDAP RMI EJB JMS XML SQL, Database, and O/R mapping RUP & UML Struts Web and Application servers. Best practices and performance considerations. Testing and deployment. Personal and Behavioral/Situational Key Points SECTION 3 Putting it all together section. How would you go about…? 1. How would you go about documenting your Java/J2EE application? 2. How would you go about designing a Java/J2EE application? 3. How would you go about identifying performance problems and/or memory leaks in your Java application? 4. How would you go about minimizing memory leaks in your Java/J2EE application? 5. How would you go about improving performance of your Java/J2EE application? 6. How would you go about identifying any potential thread-safety issues in your Java/J2EE application? 7. How would you go about identifying any potential transactional issues in your Java/J2EE
  • 4.
    4 application? 8. How would you go about applying the Object Oriented (OO) design concepts in your Java/J2EE application? 9. How would you go about applying the UML diagrams in your Java/J2EE project? 10. How would you go about describing the software development processes you are familiar with? 11. How would you go about applying the design patterns in your Java/J2EE application? 12. How would you go about designing a Web application where the business tier is on a separate machine from the presentation tier. The business tier should talk to 2 different databases and your design should point out the different design patterns? 13. How would you go about determining the enterprise security requirements for your Java/J2EE application? 14. How would you go about describing the open source projects like JUnit (unit testing), Ant (build tool), CVS (version control system) and log4J (logging tool) which are integral part of most Java/J2EE projects? 15. How would you go about describing Service Oriented Architecture (SOA) and Web services? SECTION 4 Emerging Technologies/Frameworks Test Driven Development (TDD). Aspect Oriented Programming (AOP). Inversion of Control (IoC) (Also known as Dependency Injection). Annotations or attributes based programming (xdoclet etc). Spring framework. Hibernate framework. EJB 3.0. JavaServer Faces (JSF) framework. SECTION 5 Sample interview questions … Java Web Components Enterprise Design General GLOSSARY OF TERMS RESOURCES INDEX
  • 5.
    5 Table of contents Outline_________________________________________________________________________________________3 Table of contents ________________________________________________________________________________ 5 What this book will do for you? ____________________________________________________________________ 7 Motivation for this book __________________________________________________________________________ 8 Key Areas Index ________________________________________________________________________________ 11 Java – Interview questions & answers _____________________________________________________________ 13 Java – Fundamentals _____________________________________________________________________________________ 14 Java – Swing ____________________________________________________________________________________________ 69 Java – Applet____________________________________________________________________________________________ 76 Java – Performance and Memory issues _____________________________________________________________________ 78 Java – Personal and Behavioral/Situational __________________________________________________________________ 83 Java – Behaving right in an interview________________________________________________________________________ 89 Java – Key Points ________________________________________________________________________________________ 91 Enterprise Java – Interview questions & answers ____________________________________________________ 94 Enterprise - J2EE Overview ________________________________________________________________________________ 95 Enterprise - Servlet ______________________________________________________________________________________ 108 Enterprise - JSP ________________________________________________________________________________________ 126 Enterprise – JDBC & JTA _________________________________________________________________________________ 145 Enterprise – JNDI & LDAP ________________________________________________________________________________ 155 Enterprise - RMI ________________________________________________________________________________________ 159 Enterprise – EJB 2.x _____________________________________________________________________________________ 163 Enterprise - JMS ________________________________________________________________________________________ 180 Enterprise - XML ________________________________________________________________________________________ 190 Enterprise – SQL, Database, and O/R mapping _______________________________________________________________ 197 Enterprise - RUP & UML __________________________________________________________________________________ 206 Enterprise - Struts_______________________________________________________________________________________ 214 Enterprise - Web and Application servers ___________________________________________________________________ 218 Enterprise - Best practices and performance considerations ___________________________________________________ 222 Enterprise – Logging, testing and deployment _______________________________________________________________ 225 Enterprise – Personal and Behavioral/Situational_____________________________________________________________ 228 Enterprise – Software development process _________________________________________________________________ 230 Enterprise – Key Points __________________________________________________________________________________ 233 How would you go about…?_____________________________________________________________________ 238 Q 01: How would you go about documenting your Java/J2EE application? FAQ ________________________________ 239 Q 02: How would you go about designing a Java/J2EE application? FAQ _____________________________________ 240 Q 03: How would you go about identifying performance and/or memory issues in your Java/J2EE application? FAQ _ 243 Q 04: How would you go about minimizing memory leaks in your Java/J2EE application? FAQ __________________ 244 Q 05: How would you go about improving performance in your Java/J2EE application? FAQ _____________________ 244 Q 06: How would you go about identifying any potential thread-safety issues in your Java/J2EE application? FAQ __ 245 Q 07: How would you go about identifying any potential transactional issues in your Java/J2EE application? FAQ __ 246
  • 6.
    6 Q 08: How would you go about applying the Object Oriented (OO) design concepts in your Java/J2EE application? FAQ 247 Q 09: How would you go about applying the UML diagrams in your Java/J2EE project? FAQ _____________________249 Q 10: How would you go about describing the software development processes you are familiar with? FAQ ________251 Q 11: How would you go about applying the design patterns in your Java/J2EE application? _____________________253 Q 12: How would you go about designing a Web application where the business tier is on a separate machine from the presentation tier. The business tier should talk to 2 different databases and your design should point out the different design patterns? FAQ ____________________________________________________________________________________286 Q 13: How would you go about determining the enterprise security requirements for your Java/J2EE application? ___287 Q 14: How would you go about describing the open source projects like JUnit (unit testing), Ant (build tool), CVS (version control system) and log4J (logging tool) which are integral part of most Java/J2EE projects? ________________292 Q 15: How would you go about describing Service Oriented Architecture (SOA) and Web services? FAQ ___________299 Emerging Technologies/Frameworks… ____________________________________________________________311 Q 01: What is Test Driven Development (TDD)? FAQ _______________________________________________________312 Q 02: What is the point of Test Driven Development (TDD)? What do you think of TDD?__________________________313 Q 03: What is aspect oriented programming (AOP)? Do you have any experience with AOP? _____________________313 Q 04: What are the differences between OOP and AOP? ____________________________________________________317 Q 05: What are the benefits of AOP?_____________________________________________________________________317 Q 06: What is attribute or annotation oriented programming? FAQ ___________________________________________317 Q 07: What are the pros and cons of annotations over XML based deployment descriptors? FAQ _________________318 Q 08: What is XDoclet? ________________________________________________________________________________319 Q 09: What is inversion of control (IoC) (also known more specifically as dependency injection)? FAQ_____________319 Q 10: What are the different types of dependency injections? FAQ ___________________________________________321 Q 11: What are the benefits of IoC (aka Dependency Injection)? FAQ _________________________________________322 Q 12: What is the difference between a service locator pattern and an inversion of control pattern? _______________323 Q 13: Why dependency injection is more elegant than a JNDI lookup to decouple client and the service? ___________323 Q 14: Explain Object-to-Relational (O/R) mapping? ________________________________________________________323 Q 15: Give an overview of hibernate framework? FAQ ______________________________________________________324 Q 16: Explain some of the pitfalls of Hibernate and explain how to avoid them? Give some tips on Hibernate best practices? FAQ _________________________________________________________________________________________333 Q 17: Give an overview of the Spring framework? What are the benefits of Spring framework? FAQ _______________334 Q 18: How would EJB 3.0 simplify your Java development compared to EJB 1.x, 2.x ? FAQ ______________________337 Q 19: Briefly explain key features of the JavaServer Faces (JSF) framework? __________________________________339 Q 20: How would the JSF framework compare with the Struts framework? How would a Spring MVC framework compare with Struts framework?___________________________________________________________________________________341 Sample interview questions… ____________________________________________________________________344 Java___________________________________________________________________________________________________345 Web components________________________________________________________________________________________345 Enterprise ______________________________________________________________________________________________345 Design_________________________________________________________________________________________________347 General ________________________________________________________________________________________________347 GLOSSARY OF TERMS__________________________________________________________________________348 RESOURCES __________________________________________________________________________________350 INDEX ________________________________________________________________________________________352
  • 7.
    7 What this bookwill do for you? Have you got the time to read 10 or more books and articles to add value prior to the interview? This book has been written mainly from the perspective of Java/J2EE job seekers and interviewers. There are numerous books and articles on the market covering specific topics like Java, J2EE, EJB, Design Patterns, ANT, CVS, Multi-Threading, Servlets, JSP, emerging technologies like AOP (Aspect Oriented Programming), Test Driven Development (TDD), Dependency Injection Dl (aka IoC – Inversion of Control) etc. But from an interview perspective it is not possible to brush up on all these books where each book usually has from 300 pages to 600 pages. The basic purpose of this book is to cover all the core concepts and key areas, which all Java/J2EE developers, designers and architects should be conversant with to perform well in their current jobs and to launch a successful career by doing well at interviews. The interviewer can also use this book to make sure that they hire the right candidate depending on their requirements. This book contains a wide range of topics relating to Java/J2EE development in a concise manner supplemented with diagrams, tables, sample codes and examples. This book is also appropriately categorized to enable you to choose the area of interest to you. This book will assist all Java/J2EE practitioners to become better at what they do. Usually it takes years to understand all the core concepts and key areas when you rely only on your work experience. The best way to fast track this is to read appropriate technical information and proactively apply these in your work environment. It worked for me and hopefully it will work for you as well. I was also at one stage undecided whether to name this book “Java/J2EE core concepts and key areas” or “Java/J2EE Job Interview Companion”. The reason I chose “Java/J2EE Job Interview Companion” is because the core concepts and key areas discussed in this book helped me to be successful in my interviews, helped me to survive and succeed at my work regardless what my job (junior developer, senior developer, technical lead, designer, contractor etc) was and also gave me thumbs up in code reviews. This book also has been set out as a handy reference guide and a roadmap for building enterprise Java applications.
  • 8.
    8 Motivation for thisbook I started using Java in 1999 when I was working as a junior developer. During those two years as a permanent employee, I pro-actively spent many hours studying the core concepts behind Java/J2EE in addition to my hands on practical experience. Two years later I decided to start contracting. Since I started contracting in 2001, my career had a much- needed boost in terms of contract rates, job satisfaction, responsibility etc. I moved from one contract to another with a view of expanding my skills and increasing my contract rates. In the last 5 years of contracting, I have worked for 5 different organizations both medium and large on 8 different projects. For each contract I held, on average I attended 6-8 interviews with different companies. In most cases multiple job offers were made and consequently I was in a position to negotiate my contract rates and also to choose the job I liked based on the type of project, type of organization, technology used, etc. I have also sat for around 10 technical tests and a few preliminary phone interviews. The success in the interviews did not come easily. I spent hours prior to each set of interviews wading through various books and articles as a preparation. The motivation for this book was to collate all this information into a single book, which will save me time prior to my interviews but also can benefit others in their interviews. What is in this book has helped me to go from just a Java/J2EE job to a career in Java/J2EE in a short time. It has also given me the job security that ‘I can find a contract/permanent job opportunity even in the difficult job market’. I am not suggesting that every one should go contracting but by performing well at the interviews you can be in a position to pick the permanent role you like and also be able to negotiate your salary package. Those of you who are already in good jobs can impress your team leaders, solution designers and/or architects for a possible promotion by demonstrating your understanding of the key areas discussed in this book. You can discuss with your senior team members about performance issues, transactional issues, threading issues (concurrency issues) and memory issues. In most of my previous contracts I was in a position to impress my team leads and architects by pinpointing some of the critical performance, memory, transactional and threading issues with the code and subsequently fixing them. Trust me it is not hard to impress someone if you understand the key areas. For example: Struts action classes are not thread-safe (Refer Q113 in Enterprise section). JSP variable declaration is not thread-safe (Refer Q34 in Enterprise section). Valuable resources like database connections should be closed properly to avoid any memory and performance issues (Refer Q45 in Enterprise section). Throwing an application exception will not rollback the transaction in EJB. (Refer Q77 in Enterprise section). The other key areas, which are vital to any software development, are a good understanding of some of key design concepts, design patterns, and a modeling language like UML. These key areas are really worthy of a mention in your resume and interviews. For example: Know how to use inheritance, polymorphism and encapsulation (Refer Q7, Q8, Q9, and Q10 in Java section.). Why use design patterns? (Refer Q5 in Enterprise section). Why is UML important? (Refer Q106 in Enterprise section). If you happen to be in an interview with an organization facing serious issues with regards to their Java application relating to memory leaks, performance problems or a crashing JVM etc then you are likely to be asked questions on these topics. Refer Q72 – Q74 in Java section and Q123, Q125 in Enterprise section. If you happen to be in an interview with an organization which is working on a pilot project using a different development methodology like agile methodology etc or has just started adopting a newer development process or methodology then you are likely to be asked questions on this key area. If the team lead/architect of the organization you are being interviewed for feels that the current team is lacking skills in the key areas of design concepts and design patterns then you are likely to be asked questions on these key areas.
  • 9.
    9 Another good reasonwhy these key areas like transactional issues, design concepts, design patterns etc are vital are because solution designers, architects, team leads, and/or senior developers are usually responsible for conducting the technical interviews. These areas are their favorite topics because these are essential to any software development. Some interviewers request you to write a small program during interview or prior to getting to the interview stage. This is to ascertain that you can code using object oriented concepts and design patterns. So I have included a coding key area to illustrate what you need to look for while coding. Apply OO concepts like inheritance, polymorphism and encapsulation: Refer Q10 in Java section. Program to interfaces not to implementations: Refer Q12, Q17 in Java section. Use of relevant design patterns: Refer Q11, Q12 in How would you go about… section. Use of Java collections API and exceptions correctly: Refer Q16 and Q39 in Java section. Stay away from hard coding values: Refer Q05 in Java section. L anguage F u n d a m e n ta ls H o w m a n y b o o k s d o I h a v e to re a d to P e rfo rm a n c e u n d e rs ta n d a n d p u t to g e th e r a ll th e s e Is s u e s k e y a re a s ? H o w m a n y y e a rs o f e x p e rie n c e s h o u ld I h a v e to u n d e rs ta n d a ll th e s e S p e c ific a tio n k e y a re a s ? E x c e p tio n F u n d a m e n ta ls H a n d lin g W ill th e s e k e y a re a s h e lp m e p ro g re s s in m y c a re e r? S o ftw a re D e v e lo p m e n t P ro c e s s W ill th e s e k e y a re a s h e lp m e c u t q u a lity c o d e ? D e s ig n D e s ig n C o n c e p ts S E c u rity P a tte rn s T ra n s a c tio n a l Is s u e s B est C o n c u rre n c y S c a la b ility P ra c tic e s Is s u e s Iss u e s M e m o ry Is su e s C O d in g LF DC CI PI SE EH SD DP SF MI SI TI BP CO This book aims to solve the above dilemma. My dad keeps telling me to find a permanent job (instead of contracting), which in his view provides better job security but I keep telling him that in my view in Information Technology the job security is achieved only by keeping your knowledge and skills sharp and up to date. The 8 contract positions I held over the last 5.5 years have given me broader experience in Java/J2EE and related technologies. It also kept me motivated since there was always something new to learn in each assignment, and not all companies will appreciate your skills and expertise until you decide to leave. Do the following statements sound familiar to you when you hand in your resignation or decide not to extend your contract after getting another job offer? “Can I tempt you to come back? What can I do to keep you here?” etc. You might even think why you waited so long. The best way to make an impression in any organizations is to understand and proactively apply and
  • 10.
    10 resolve the issuesrelating to the Key Areas discussed in this book. But be a team player, be tactful and don’t be critical of everything, do not act in a superior way and have a sense of humor. “Technical skills must be complemented with good business and interpersonal skills.” Describe a time when you were faced with a stressful situation that demonstrated Give me an example your coping skills? of a time when you set a goal and were able to achieve it? Development team You Knowledge/understanding of the business. Ability to communicate and interact effectively with the business users/customers. Ability to look at things from the user's perspective as opposed to only technology perspective. Ability to persuade/convince business with alternative solutions. Ability to communicate effectively with your fellow developers, immediate and senior management. Immediate Business users/ Ability to work in a team as well as independently. management External customers Problem solving/analytical skills. Organizational skills. Ability to cope with difficult situations like stress due to work load, deadlines etc and manage or deal with difficult people. Being a good listener with the right attitude. Give me an example of a time you Describe a time when you had to motivated others? Or dealt with a work with others in the organization difficult person? to accomplish the organizational goals? Senior management IMPORTANT: Technical skills alone are not sufficient for you to perform well in your interviews and progress in your career. Your technical skills must be complemented with business skills (i.e. knowledge/understanding of the business, ability to communicate and interact effectively with the business users/customers, ability to look at things from the users’ perspective as opposed to only from technology perspective, ability to persuade/convince business with alternative solutions, which can provide a win/win solution from users’ perspective as well as technology perspective), ability to communicate effectively with your fellow developers, immediate and senior management, ability to work in a team as well as independently, problem solving/analytical skills, organizational skills, ability to cope with difficult situations like stress due to work load, deadlines etc and manage or deal with difficult people, being a good listener with the right attitude (It is sometimes possible to have “I know it all attitude”, when you have strong technical skills. These are discussed in “Java – Personal” and “Enterprise Java – Personal” sub-sections with examples. Quick Read guide: It is recommended that you go through all the questions in all the sections (all it takes is to read a few questions & answers each day) but if you are pressed for time or would like to read it just before an interview then follow the steps shown below: -- Read/Browse all questions marked as “FAQ” in all four sections. -- Read/Browse Key Points in Java and Enterprise Java sections.
  • 11.
    11 Key Areas Index Ihave categorized the core concepts and issues into 14 key areas as listed below. These key areas are vital for any good software development. This index will enable you to refer to the questions based on key areas. Also note that each question has an icon next to it to indicate which key area or areas it belongs to. Additional reading is recommended for beginners in each of the key areas. Key Areas icon --------------------------------------- Question Numbers ------------------------------------------------ Java section Enterprise Java section How Emerging would you Technologies go / Frameworks about…? Language Q1-Q6, Q12-Q16, Q18- - Q10, Q15, Fundamentals Q24, Q26-Q33, Q35- Q17, Q19 LF Q38, Q41-Q50, Q53-Q71 Specification - Q1, Q2, Q4, Q6, Q7-Q15, Q15 Fundamentals Q17-Q19, Q22, Q26-Q33, Q35-Q38, Q41, Q42, Q44, Q46-Q81, Q89-Q93, Q95- SF Q97, Q99, 102, Q110, Q112-Q115, Q118-Q119, Q121, Q126, Q127, Q128 Design Concepts Q1, Q7-Q12, Q15, Q26, Q2, Q3, Q19, Q20, Q21, Q02, Q08, Q3 - Q13, Q22, Q56 Q31, Q45, Q91, Q94, Q98, Q09, Q15 Q13, Q14, DC Q101, Q106, Q107, Q108, Q16, Q17, Q109, Q111 Q18, Q20 Design Patterns Q12, Q16, Q24, Q36, Q5, Q5, Q22, Q24, Q25, Q11, Q12 Q9 - Q13 Q51, Q52, Q58, Q63, Q41, Q83, Q84, Q85, Q86, DP Q75 Q87, Q88, Q110, Q111, Q116 Transactional - Q43, Q71, Q72, Q73, Q74, Q7 Issues TI Q75, Q77, Q78, Q79 Concurrency Issues Q15, Q17, Q21, Q34, Q16, Q34, Q72, Q78, Q6 CI Q42, Q46, Q62 Q113 Performance Issues Q15, Q17,Q20-Q26, Q10, Q16, Q43, Q45, Q46, Q3, Q5 Q46, Q62, Q72 Q72, Q83-Q88, Q93, Q97, PI Q98, Q100, Q102, Q123, Q125, Q128 Memory Issues Q26, Q34, Q37,Q38, Q45, Q93 Q3, Q4 MI Q42, Q51, Q73, Q74 Scalability Issues Q23, Q24 Q20, Q21, Q120, Q122 SI Exception Handling Q39, Q40 Q76, Q77 EH Security Q10, Q35, Q70 Q12, Q13, Q23, Q35, Q46, Q13 SE Q51, Q58, Q81, Q92 Best Practices Q17, Q25, Q39, Q72, Q10, Q16, Q39, Q40, Q41, Q1, Q2 BP Q73 Q46, Q82, Q124, Q125
  • 12.
    12 Software - Q103-Q109, Q129, Q130, Q1, Q9, Q1, Q2 Development SD Q132, Q136 Q10, Q14 Process Coding1 Q05, Q10, Q12, Q14 – Q10, Q18, Q21, Q23, Q36, Q11, Q12 Q21, Q23, Q25, Q26, Q38, Q42, Q43, Q45, Q74, CO Q33, Q35, Q39, Q51, Q75, Q76, Q77, Q112, Q52, Q55 Q114, Q127, Q128 Frequently Asked Q1, Q6, Q7, Q9, Q10, Q1, Q2, Q3, Q7, Q10, Q11, Q1, Q2, Q1, Q6, Q7, Questions Q12, Q13, Q14, Q15, Q12, Q13, Q16, Q19, Q22, Q3, Q4, Q9, Q10, Q11, Q16, Q18, Q20, Q21, Q24, Q25, Q27, Q28, Q30, Q5, Q6, Q15, Q16, Q22, Q23, Q27, Q28, Q31, Q32, Q34, Q35, Q36, Q7, Q8, Q17, Q18 Q29, Q30, Q31, Q32, Q39, Q40, Q41, Q42, Q43, Q9, Q10, Q36, Q37, Q43, Q45, Q45, Q46, Q48, Q49, Q50, Q12, Q15 Q46, Q48, Q51, Q52, Q52, Q53, Q61, Q63, Q65, Q55, Q58, Q60, Q62, Q66, Q69, Q70, Q71, Q72, FAQ Q63, Q64, Q67, Q68, Q73, Q76, Q77, Q82, Q83, Q69, Q70, Q71 Q84, Q85, Q86, Q87, Q90, Q72 – Q86 Q91, Q93, Q95, Q96, Q97, Q98, Q100, Q101, Q102, Q107, Q108, Q110, Q113, Q115, Q116, Q118, Q123, Q124, Q125, Q126, Q129, Q130, Q131, Q133, Q134, Q135, Q136. 1 Some interviewers request you to write a small program during interview or prior to getting to the interview stage. This is to ascertain that you can code using object oriented concepts and design patterns. I have included a coding key area to illustrate what you need to look for while coding. Unlike other key areas, the CO is not always shown against the question but shown above the actual section of relevance within a question.
  • 13.
    Java 13 SECTION ONE Java – Interview questions & answers Language Fundamentals LF K E Design Concepts DC Y Design Patterns DP Concurrency Issues CI A Performance Issues PI R Memory Issues MI E Exception Handling EH A S Security SE Scalability Issues SI Coding1 CO FAQ - Frequently Asked Questions 1 Unlike other key areas, the CO is not always shown against the question but shown above the actual content of relevance within a question.
  • 14.
    14 Java - Fundamentals Java – Fundamentals Q 01: Give a few reasons for using Java? LF DC FAQ A 01: Java is a fun language. Let’s look at some of the reasons: Built-in support for multi-threading, socket communication, and memory management (automatic garbage collection). Object Oriented (OO). Better portability than other languages across operating systems. Supports Web based applications (Applet, Servlet, and JSP), distributed applications (sockets, RMI, EJB etc) and network protocols (HTTP, JRMP etc) with the help of extensive standardized APIs (Application Programming Interfaces). Q 02: What is the main difference between the Java platform and the other software platforms? LF A 02: Java platform is a software-only platform, which runs on top of other hardware-based platforms like UNIX, NT etc. The Java platform has 2 components: Java Virtual Machine (JVM) – ‘JVM’ is a software that can be ported onto various hardware platforms. Byte codes are the machine language of the JVM. Java Application Programming Interface (Java API) – set of classes written using the Java language and run on the JVM. Q 03: What is the difference between C++ and Java? LF A 03: Both C++ and Java use similar syntax and are Object Oriented, but: Java does not support pointers. Pointers are inherently tricky to use and troublesome. Java does not support multiple inheritances because it causes more problems than it solves. Instead Java supports multiple interface inheritance, which allows an object to inherit many method signatures from different interfaces with the condition that the inheriting object must implement those inherited methods. The multiple interface inheritance also allows an object to behave polymorphically on those methods. [Refer Q9 and Q10 in Java section.] Java does not support destructors but adds a finalize() method. Finalize methods are invoked by the garbage collector prior to reclaiming the memory occupied by the object, which has the finalize() method. This means you do not know when the objects are going to be finalized. Avoid using finalize() method to release non- memory resources like file handles, sockets, database connections etc because Java has only a finite number of these resources and you do not know when the garbage collection is going to kick in to release these resources through the finalize() method. Java does not include structures or unions because the traditional data structures are implemented as an object oriented framework (Java Collections Framework – Refer Q16, Q17 in Java section).
  • 15.
    Java - Fundamentals 15 All the code in Java program is encapsulated within classes therefore Java does not have global variables or functions. C++ requires explicit memory management, while Java includes automatic garbage collection. [Refer Q37 in Java section]. Q 04: What are the usages of Java packages? LF A 04: It helps resolve naming conflicts when different packages have classes with the same names. This also helps you organize files within your project. For example: java.io package do something related to I/O and java.net package do something to do with network and so on. If we tend to put all .java files into a single package, as the project gets bigger, then it would become a nightmare to manage all your files. You can create a package as follows with package keyword, which is the first keyword in any Java program followed by import statements. The java.lang package is imported implicitly by default and all the other packages must be explicitly imported. package com.xyz.client ; import java.io.File; import java.net.URL; Q 05: Explain Java class loaders? If you have a class in a package, what do you need to do to run it? Explain dynamic class loading? LF A 05: Class loaders are hierarchical. Classes are introduced into the JVM as they are referenced by name in a class that is already running in the JVM. So, how is the very first class loaded? The very first class is especially loaded with the help of static main( ) method declared in your class. All the subsequently loaded classes are loaded by the classes, which are already loaded and running. A class loader creates a namespace. All JVMs include at least one class loader that is embedded within the JVM called the primordial (or bootstrap) class loader. Now let’s look at non-primordial class loaders. The JVM has hooks in it to allow user defined class loaders to be used in place of primordial class loader. Let us look at the class loaders created by the JVM. CLASS LOADER reloadable? Explanation Bootstrap No Loads JDK internal classes, java.* packages. (as defined in the sun.boot.class.path (primordial) system property, typically loads rt.jar and i18n.jar) Extensions No Loads jar files from JDK extensions directory (as defined in the java.ext.dirs system property – usually lib/ext directory of the JRE) System No Loads classes from system classpath (as defined by the java.class.path property, which is set by the CLASSPATH environment variable or –classpath or –cp command line options) JVM class loaders Bootstrap (primordial) Classes loaded by Bootstrap class loader have no visibility into classes (rt.jar, i18.jar) loaded by its descendants (ie Extensions and Systems class loaders). Extensions The classes loaded by system class loader have visibility into classes loaded (lib/ext) by its parents (ie Extensions and Bootstrap class loaders). If there were any sibling class loaders they cannot see classes loaded by System each other. They can only see the classes loaded by their parent class (-classpath) loader. For example Sibling1 class loader cannot see classes loaded by Sibling2 class loader Sibling1 Sibling2 Both Sibling1 and Sibling2 class loaders have visibilty into classes loaded classloader classloader by their parent class loaders (eg: System, Extensions, and Bootstrap) Class loaders are hierarchical and use a delegation model when loading a class. Class loaders request their parent to load the class first before attempting to load it themselves. When a class loader loads a class, the child class loaders in the hierarchy will never reload the class again. Hence uniqueness is maintained. Classes loaded
  • 16.
    16 Java - Fundamentals by a child class loader have visibility into classes loaded by its parents up the hierarchy but the reverse is not true as explained in the above diagram. Q. What do you need to do to run a class with a main() method in a package? Example: Say, you have a class named “Pet” in a project folder “c:myProject” and package named com.xyz.client, will you be able to compile and run it as it is? package com.xyz.client; public class Pet { public static void main(String[] args) { System.out.println("I am found in the classpath"); } } To run c:myProject> java com.xyz.client.Pet The answer is no and you will get the following exception: “Exception in thread "main" java.lang.- NoClassDefFoundError: com/xyz/client/Pet”. You need to set the classpath. How can you do that? One of the following ways: 1. Set the operating system CLASSPATH environment variable to have the project folder “c:myProject”. [Shown in the above diagram as the System –classpath class loader] 2. Set the operating system CLASSPATH environment variable to have a jar file “c:/myProject/client.jar”, which has the Pet.class file in it. [Shown in the above diagram as the System –classpath class loader]. 3. Run it with –cp or –classpath option as shown below: c:>java –cp c:/myProject com.xyz.client.Pet OR c:>java -classpath c:/myProject/client.jar com.xyz.client.Pet Important: Two objects loaded by different class loaders are never equal even if they carry the same values, which mean a class is uniquely identified in the context of the associated class loader. This applies to singletons too, where each class loader will have its own singleton. [Refer Q51 in Java section for singleton design pattern] Q. Explain static vs. dynamic class loading? Static class loading Dynamic class loading Classes are statically loaded with Java’s Dynamic loading is a technique for programmatically invoking the functions of a “new” operator. class loader at run time. Let us look at how to load classes dynamically. class MyClass { Class.forName (String className); //static method which returns a Class public static void main(String args[]) { Car c = new Car(); The above static method returns the class object associated with the class } name. The string className can be supplied dynamically at run time. Unlike the } static loading, the dynamic loading will decide whether to load the class Car or the class Jeep at runtime based on a properties file and/or other runtime conditions. Once the class is dynamically loaded the following method returns an instance of the loaded class. It’s just like creating a class object with no arguments. class.newInstance (); //A non-static method, which creates an instance of a //class (i.e. creates an object). Jeep myJeep = null ; //myClassName should be read from a .properties file or a Constants class. // stay away from hard coding values in your program. CO String myClassName = "au.com.Jeep" ; Class vehicleClass = Class.forName(myClassName) ; myJeep = (Jeep) vehicleClass.newInstance(); myJeep.setFuelCapacity(50); A NoClassDefFoundException is A ClassNotFoundException is thrown when an application tries to load in a thrown if a class is referenced with class through its string name using the following methods but no definition for the Java’s “new” operator (i.e. static loading) class with the specified name could be found: but the runtime system cannot find the referenced class. The forName(..) method in class - Class. The findSystemClass(..) method in class - ClassLoader. The loadClass(..) method in class - ClassLoader.
  • 17.
    Java - Fundamentals 17 Q. What are “static initializers” or “static blocks with no function names”? When a class is loaded, all blocks that are declared static and don’t have function name (i.e. static initializers) are executed even before the constructors are executed. As the name suggests they are typically used to initialize static fields. CO public class StaticInitializer { public static final int A = 5; public static final int B; //note that it is not public static final int B = null; //note that since B is final, it can be initialized only once. //Static initializer block, which is executed only once when the class is loaded. static { if(A == 5) B = 10; else B = 5; } public StaticInitializer(){} //constructor is called only after static initializer block } The following code gives an Output of A=5, B=10. public class Test { System.out.println("A =" + StaticInitializer.A + ", B =" + StaticInitializer.B); } Q 06: What is the difference between constructors and other regular methods? What happens if you do not provide a constructor? Can you call one constructor from another? How do you call the superclass’s constructor? LF FAQ A 06: Constructors Regular methods Constructors must have the same name as the class Regular methods can have any name and can be called any number of name and cannot return a value. The constructors times. E.g. for a Pet.class. are called only once per creation of an object while regular methods can be called many times. E.g. for a public void Pet(){} // regular method has a void return type. Pet.class Note: method name is shown starting with an uppercase to public Pet() {} // constructor differentiate a constructor from a regular method. Better naming convention is to have a meaningful name starting with a lowercase like: public void createPet(){} // regular method has a void return type Q. What happens if you do not provide a constructor? Java does not actually require an explicit constructor in the class description. If you do not include a constructor, the Java compiler will create a default constructor in the byte code with an empty argument. This default constructor is equivalent to the explicit “Pet(){}”. If a class includes one or more explicit constructors like “public Pet(int id)” or “Pet(){}” etc, the java compiler does not create the default constructor “Pet(){}”. Q. Can you call one constructor from another? Yes, by using this() syntax. E.g. public Pet(int id) { this.id = id; // “this” means this object } public Pet (int id, String type) { this(id); // calls constructor public Pet(int id) this.type = type; // ”this” means this object } Q. How to call the superclass constructor? If a class called “SpecialPet” extends your “Pet” class then you can use the keyword “super” to invoke the superclass’s constructor. E.g. public SpecialPet(int id) { super(id); //must be the very first statement in the constructor. } To call a regular method in the super class use: “super.myMethod( );”. This can be called at any line. Some frameworks based on JUnit add their own initialization code, and not only do they need to remember to invoke
  • 18.
    18 Java - Fundamentals their parent's setup() method, you, as a user, need to remember to invoke theirs after you wrote your initialization code: public class DBUnitTestCase extends TestCase { public void setUp() { super.setUp(); // do my own initialization } } public void cleanUp() throws Throwable { try { … // Do stuff here to clean up your object(s). } catch (Throwable t) {} finally{ super.cleanUp(); //clean up your parent class. Unlike constructors // super.regularMethod() can be called at any line. } } Q 07: What are the advantages of Object Oriented Programming Languages (OOPL)? DC FAQ A 07: The Object Oriented Programming Languages directly represent the real life objects like Car, Jeep, Account, Customer etc. The features of the OO programming languages like polymorphism, inheritance and encapsulation make it powerful. [Tip: remember pie which, stands for Polymorphism, Inheritance and Encapsulation are the 3 pillars of OOPL] Q 08: How does the Object Oriented approach improve software development? DC A 08: The key benefits are: Re-use of previous work: using implementation inheritance and object composition. Real mapping to the problem domain: Objects map to real world and represent vehicles, customers, products etc: with encapsulation. Modular Architecture: Objects, systems, frameworks etc are the building blocks of larger systems. The increased quality and reduced development time are the by-products of the key benefits discussed above. If 90% of the new application consists of proven existing components then only the remaining 10% of the code have to be tested from scratch. Q 09: How do you express an ‘is a’ relationship and a ‘has a’ relationship or explain inheritance and composition? What is the difference between composition and aggregation? DC FAQ A 09: The ‘is a’ relationship is expressed with inheritance and ‘has a’ relationship is expressed with composition. Both inheritance and composition allow you to place sub-objects inside your new class. Two of the main techniques for code reuse are class inheritance and object composition. Inheritance [ is a ] Vs Composition [ has a ] Building is a is a [House is a Building] has a [House has a Bathroom] class Building{ class House { has a ....... Bathroom room = new Bathroom() ; } .... public void getTotMirrors(){ class House extends Building{ room.getNoMirrors(); Bathroom ......... .... House } } } Inheritance is uni-directional. For example House is a Building. But Building is not a House. Inheritance uses extends key word. Composition: is used when House has a Bathroom. It is incorrect to say House is a
  • 19.
    Java - Fundamentals 19 Bathroom. Composition simply means using instance variables that refer to other objects. The class House will have an instance variable, which refers to a Bathroom object. Q. Which one to favor, composition or inheritance? The guide is that inheritance should be only used when subclass ‘is a’ superclass. Don’t use inheritance just to get code reuse. If there is no ‘is a’ relationship then use composition for code reuse. Overuse of implementation inheritance (uses the “extends” key word) can break all the subclasses, if the superclass is modified. Do not use inheritance just to get polymorphism. If there is no ‘is a’ relationship and all you want is polymorphism then use interface inheritance with composition, which gives you code reuse (Refer Q10 in Java section for interface inheritance). What is the difference between aggregation and composition? Aggregation Composition Aggregation is an association in which one class Composition is an association in which one class belongs to a belongs to a collection. This is a part of a whole collection. This is a part of a whole relationship where a part relationship where a part can exist without a whole. cannot exist without a whole. If a whole is deleted then all parts are For example a line item is a whole and product is a deleted. For example An order is a whole and line items are parts. part. If a line item is deleted then corresponding If an order is deleted then all corresponding line items for that product need not be deleted. So aggregation has a order should be deleted. So composition has a stronger weaker relationship. relationship. Q 10: What do you mean by polymorphism, inheritance, encapsulation, and dynamic binding? DC SE FAQ A 10: Polymorphism – means the ability of a single variable of a given type to be used to reference objects of different types, and automatically call the method that is specific to the type of object the variable references. In a nutshell, polymorphism is a bottom-up method call. The benefit of polymorphism is that it is very easy to add new classes of derived objects without breaking the calling code (i.e. getTotArea() in the sample code shown below) that uses the polymorphic classes or interfaces. When you send a message to an object even though you don’t know what specific type it is, and the right thing happens, that’s called polymorphism. The process used by object-oriented programming languages to implement polymorphism is called dynamic binding. Let us look at some sample code to demonstrate polymorphism: CO Sam ple code: //client or calling code <<abstract>> For exam ple: given a base Shape double dim = 5.0; //ie 5 m eters radius or width List listShapes = new ArrayList(20); class/interface Shape, polymorphism allows the +area() : double Shape s = new Circle(); program m er to define listShapes.add(s); //add circle different area(double s = new Square(); dim 1) methods for any Circle listShapes.add(s); //add square number of derived classes Square such as Circle, Square etc. +area() : double getTotArea (listShapes,dim ); //returns 78.5+25.0=103.5 N o m atter what shape an +area() : double //Later on, if you decide to add a half circle then define object is, applying the area //a HalfCircle class, which extends Circle and then provide an m ethod to it will return the H alfC ircle //area(). m ethod but your called m ethod getTotArea(...) rem ains right results. //sam e. +area() : double s = new H alfCircle(); Later on H alfCicle can be listShapes.add(s); //add HalfC ircle added without breaking your called code i.e. getTotArea (listShapes,dim ); //returns 78.5+25.0+39.25=142.75 m ethod getTotalArea(...) «interface» Shape /** called m ethod: m ethod which adds up areas of various +area() : double ** shapes supplied to it. **/ Depending on what the public double getTotArea(List listShapes, double dim ){ shape is, appropriate Iterator it = listShapes.iterator(); area(double dim ) m ethod Circle Square double totalArea = 0.0; gets called and calculated. //loop through different shapes Circle area is 78.5sqm +area() : double +area() : double w hile(it.hasNext()) { Shape s = (Shape) it.next(); Square area is 25sqm totalArea += s.area(dim ); //polym orphic m ethod call HalfC ircle area is 39.25 HalfCircle } sqm return totalArea ; } +area() : double
  • 20.
    20 Java - Fundamentals Inheritance – is the inclusion of behavior (i.e. methods) and state (i.e. variables) of a base class in a derived class so that they are accessible in that derived class. The key benefit of Inheritance is that it provides the formal mechanism for code reuse. Any shared piece of business logic can be moved from the derived class into the base class as part of refactoring process to improve maintainability of your code by avoiding code duplication. The existing class is called the superclass and the derived class is called the subclass. Inheritance can also be defined as the process whereby one object acquires characteristics from one or more other objects the same way children acquire characteristics from their parents. There are two types of inheritances: 1. Implementation inheritance (aka class inheritance): You can extend an application’s functionality by reusing functionality in the parent class by inheriting all or some of the operations already implemented. In Java, you can only inherit from one superclass. Implementation inheritance promotes reusability but improper use of class inheritance can cause programming nightmares by breaking encapsulation and making future changes a problem. With implementation inheritance, the subclass becomes tightly coupled with the superclass. This will make the design fragile because if you want to change the superclass, you must know all the details of the subclasses to avoid breaking them. So when using implementation inheritance, make sure that the subclasses depend only on the behavior of the superclass, not on the actual implementation. For example in the above diagram, the subclasses should only be concerned about the behavior known as area() but not how it is implemented. 2. Interface inheritance (aka type inheritance): This is also known as subtyping. Interfaces provide a mechanism for specifying a relationship between otherwise unrelated classes, typically by specifying a set of common methods each implementing class must contain. Interface inheritance promotes the design concept of program to interfaces not to implementations. This also reduces the coupling or implementation dependencies between systems. In Java, you can implement any number of interfaces. This is more flexible than implementation inheritance because it won’t lock you into specific implementations which make subclasses difficult to maintain. So care should be taken not to break the implementing classes by modifying the interfaces. Which one to use? Prefer interface inheritance to implementation inheritance because it promotes the design concept of coding to an interface and reduces coupling. Interface inheritance can achieve code reuse with the help of object composition. If you look at Gang of Four (GoF) design patterns, you can see that it favors interface inheritance to implementation inheritance. CO Implementation inheritance Interface inheritance with composition Let’s assume that savings account and term deposit account Let’s look at an interface inheritance code sample, which makes use have a similar behavior in terms of depositing and of composition for reusability. In the following example the methods withdrawing money, so we will get the super class to deposit(…) and withdraw(…) share the same piece of code in implement this behavior and get the subclasses to reuse this AccountHelper class. The method calculateInterest(…) has its specific behavior. But saving account and term deposit account implementation in its own class. have specific behavior in calculating the interest. Super class Account has reusable code as methods public interface Account { deposit (double amount) and withdraw (double amount). public abstract double calculateInterest(double amount); public abstract void deposit(double amount); public abstract class Account { public abstract void withdraw(double amount); public void deposit (double amount) { } System.out.println("depositing " + amount); } Code to interface so that the implementation can change. public void withdraw (double amount) { public interface AccountHelper { System.out.println ("withdrawing " + amount); public abstract void deposit (double amount); } public abstract void withdraw (double amount); } public abstract double calculateInterest(double amount); } class AccountHelperImpl has reusable code as methods deposit (double amount) and withdraw (double amount). public class SavingsAccount extends Account { public class AccountHelperImpl implements AccountHelper { public void deposit(double amount) { public double calculateInterest (double amount) { System.out.println("depositing " + amount); // calculate interest for SavingsAccount } return amount * 0.03; } public void withdraw(double amount) { System.out.println("withdrawing " + amount); public void deposit (double amount) { } super.deposit (amount); // get code reuse // do something else } } public void withdraw (double amount) { public class SavingsAccountImpl implements Account {
  • 21.
    Java - Fundamentals 21 super.withdraw (amount); // get code reuse // composed helper class (i.e. composition). // do something else AccountHelper helper = new AccountHelperImpl (); } } public double calculateInterest (double amount) { // calculate interest for SavingsAccount public class TermDepositAccount extends Account { return amount * 0.03; } public double calculateInterest (double amount) { // calculate interest for SavingsAccount public void deposit (double amount) { return amount * 0.05; helper.deposit( amount); // code reuse via composition } } public void deposit(double amount) { public void withdraw (double amount) { super.deposit (amount); // get code reuse helper.withdraw (amount); // code reuse via composition // do something else } } } public void withdraw(double amount) { public class TermDepositAccountImpl implements Account { super.withdraw (amount); // get code reuse // do something else // composed helper class (i.e. composition). } AccountHelper helper = new AccountHelperImpl (); } public double calculateInterest (double amount) { //calculate interest for SavingsAccount return amount * 0.05; } public void deposit (double amount) { helper.deposit (amount) ; // code reuse via composition } public void withdraw (double amount) { helper.withdraw (amount) ; // code reuse via composition } } The Test class: public class Test { public static void main(String[] args) { Account acc1 = new SavingsAccountImpl(); acc1.deposit(50.0); Account acc2 = new TermDepositAccountImpl(); acc2.deposit(25.0); acc1.withdraw(25); acc2.withdraw(10); double cal1 = acc1.calculateInterest(100.0); double cal2 = acc2.calculateInterest(100.0); System.out.println("Savings --> " + cal1); System.out.println("TermDeposit --> " + cal2); } } The output: depositing 50.0 depositing 25.0 withdrawing 25.0 withdrawing 10.0 Savings --> 3.0 TermDeposit --> 5.0 Q. Why would you prefer code reuse via composition over inheritance? Both the approaches make use of polymorphism and gives code reuse (in different ways) to achieve the same results but: The advantage of class inheritance is that it is done statically at compile-time and is easy to use. The disadvantage of class inheritance is that because it is static, implementation inherited from a parent class cannot be changed at run-
  • 22.
    22 Java - Fundamentals time. In object composition, functionality is acquired dynamically at run-time by objects collecting references to other objects. The advantage of this approach is that implementations can be replaced at run-time. This is possible because objects are accessed only through their interfaces, so one object can be replaced with another just as long as they have the same type. For example: the composed class AccountHelperImpl can be replaced by another more efficient implementation as shown below if required: public class EfficientAccountHelperImpl implements AccountHelper { public void deposit(double amount) { System.out.println("efficient depositing " + amount); } public void withdraw(double amount) { System.out.println("efficient withdrawing " + amount); } } Another problem with class inheritance is that the subclass becomes dependent on the parent class implementation. This makes it harder to reuse the subclass, especially if part of the inherited implementation is no longer desirable and hence can break encapsulation. Also a change to a superclass can not only ripple down the inheritance hierarchy to subclasses, but can also ripple out to code that uses just the subclasses making the design fragile by tightly coupling the subclasses with the super class. But it is easier to change the interface/implementation of the composed class. Due to the flexibility and power of object composition, most design patterns emphasize object composition over inheritance whenever it is possible. Many times, a design pattern shows a clever way of solving a common problem through the use of object composition rather then a standard, less flexible, inheritance based solution. Encapsulation – refers to keeping all the related members (variables and methods) together in an object. Specifying member variables as private can hide the variables and methods. Objects should hide their inner workings from the outside view. Good encapsulation improves code modularity by preventing objects interacting with each other in an unexpected way, which in turn makes future development and refactoring efforts easy. CO Sample code Class MyMarks { private int vmarks = 0; k) in private String name; ar tg Member t m et (in M ar variables are ks encapsulated, public void setMarks(int mark) ar ks () throws MarkException { tM so that they if(mark > 0) se can only be this.vmarks = mark; accessed via else { private int vmarks; encapsulating throw new MarkException("No negative private String name; methods. Values"); } se tN ) } am e( e m (S tri tNa public int getMarks(){ ng ge na g return vmarks; rin } m e) St //getters and setters for attribute name goes here. } Being able to encapsulate members of a class is important for security and integrity. We can protect variables from unacceptable values. The sample code above describes how encapsulation can be used to protect the MyMarks object from having negative values. Any modification to member variable “vmarks” can only be carried out through the setter method setMarks(int mark). This prevents the object “MyMarks” from having any negative values by throwing an exception. Q 11: What is design by contract? Explain the assertion construct? DC A 11: Design by contract specifies the obligations of a calling-method and called-method to each other. Design by contract is a valuable technique, which should be used to build well-defined interfaces. The strength of this programming methodology is that it gets the programmer to think clearly about what a function does, what pre and post conditions it must adhere to and also it provides documentation for the caller. Java uses the assert statement to implement pre- and post-conditions. Java’s exceptions handling also support design by contract especially checked exceptions (Refer Q39 in Java section for checked exceptions). In design by contract in addition to specifying programming code to carrying out intended operations of a method the programmer also specifies:
  • 23.
    36 Java - Fundamentals followed by an “@” sign and then unsigned hexadecimal representation of the hashcode, for example Pet@162b91. This hexadecimal representation is not what the users of your class want to see. method with public Providing your toString() method makes your class much more pleasant to use and it is recommended access that all subclasses override this method. The toString() method is invoked automatically when your object modifier is passed to println(), assert() or the string concatenation operator (+). public class Pet { int id; String name; public boolean equals(Object obj){ //as shown above. } public int hashCode() { //as shown before } public String toString() { StringBuffer sb = new StringBuffer(); sb.append(“id=”).append(id); sb.append(“,name=”).append(name); return sb.toString(); } } clone() You should override the clone() method very judiciously. Implementing a properly functioning clone method is complex and it is rarely necessary. You are better off providing some alternative means of object copying (refer Q26 in Java section) or simply not providing the capability. A better approach is to provide a copy constructor or a static factory method in place of a constructor. method with protected //constructor access public Pet(Pet petToCopy){ modifier … } //static factory method public static Pet newInstance(Pet petToCopy){ … } The clone() method can be disabled as follows: public final Object clone() throws CloneNotSupportedException { throw new CloneNotSupportedException(); } finalize() Unlike C++ destructors, the finalize() method in Java is unpredictable, often dangerous and generally unnecessary. Use try{} finally{} blocks as discussed in Q32 in Java section & Q45 in Enterprise section. The finalize() method should method only be used in rare instances as a safety net or to terminate non-critical native resources. If you do happen to call the finalize() method in some rare instances then remember to call the super.finalize() as shown below: with protected protected void finalize() throws Throwable { access try{ modifier //finalize subclass state } finally { super.finalize(); } } Q 20: When providing a user defined key class for storing objects in the HashMaps or Hashtables, what methods do you have to provide or override (i.e. method overriding)? LF PI CO FAQ A 20: You should override the equals() and hashCode() methods from the Object class. The default implementation of the equals() and hashcode(), which are inherited from the java.lang.Object uses an object instance’s memory location (e.g. MyObject@6c60f2ea). This can cause problems when two instances of the car objects have the same color but the inherited equals() will return false because it uses the memory location, which is different for
  • 24.
    Java - Fundamentals 37 the two instances. Also the toString() method can be overridden to provide a proper string representation of your object. hashCode() & equals() methods myMap (HashMap) Map myMap = new HashMap(); Because often two or more 345678965 76854676 keys can hash storing value: Key index array …. (hash value for (hash value for to the same myMap.put(“John”, “Sydney”); “John”) “Sam”) hash value the 1. c tore n all 2. s itio HashMap e pos maintains a d th linked list of oun 4. f List of keys keys that were d hasCode() “John” etc mapped to the fin “Sam” etc l to ition use list of keys which hash to the same hash al s n, and C 3. e po ositio esent value. retrieving value: this p r same hash value 345678065. th eys at ey is p st of k see if the k ugh li od to p thro List of values myMap.get(“John”); 5. Loo quals() meth “Melbourne” the e “Sydney” etc use List of values for the etc s corresponding list of keys equals() If the key is not found (i.e. equals() method returns false for all items in the list), then it assumes that the key is not present in the HashMap “myMap”. Note: It is simplified for clarity. myMap.containsKey(“John”) also calls hashCode() & equals() methods. If two keys are equal then they must have the same hashCode() value, But if two keys have the same hashCode() value does not mean that they are equal. Q. What are the primary considerations when implementing a user defined key? • If a class overrides equals(), it must override hashCode(). • If 2 objects are equal, then their hashCode values must be equal as well. • If a field is not used in equals(), then it must not be used in hashCode(). • If it is accessed often, hashCode() is a candidate for caching to enhance performance. • It is a best practice to implement the user defined key class as an immutable (refer Q21) object. Q. Why it is a best practice to implement the user defined key class as an immutable object? Problem: As per the code snippet shown below if you use a mutable user defined class “UserKey” as a HashMap key and subsequently if you mutate (i.e. modify via setter method e.g. key.setName(“Sam”)) the key after the object has been added to the HashMap then you will not be able to access the object later on. The original key object will still be in the HashMap (i.e. you can iterate through your HashMap and print it – both prints as “Sam” as opposed to “John” & Sam) but you cannot access it with map.get(key) or querying it with map.containsKey(key) will return false because the key “John” becomes “Sam” in the “List of keys” at the key index “345678965” if you mutate the key after adding. These types of errors are very hard to trace and fix. Map myMap = new HashMap(10); //add the key “John” UserKey key = new UserKey(“John”); //Assume UserKey class is mutable myMap.put(key, “Sydney”); //now to add the key “Sam” key.setName(“Sam”); // same key object is mutated instead of creating a new instance. // This line modifies the key value “John” to “Sam” in the “List of keys” // as shown in the diagram above. This means that the key “John” cannot be // accessed. There will be two keys with “Sam” in positions with hash // values 345678965 and 76854676. myMap.put(key, “Melbourne”); myMap.get(new UserKey(“John”)); // key cannot be accessed. The key hashes to the same position // 345678965 in the “Key index array” but cannot be found in the “List of keys” Solution: Generally you use a java.lang.Integer or a java.lang.String class as the key, which are immutable Java objects. If you define your own key class then it is a best practice to make the key class an immutable object (i.e. do not provide any setXXX() methods in your key class. e.g. no setName(…) method in the UserKey class). If a programmer wants to insert a new key then he/she will always have to instantiate a new object (i.e. cannot mutate the existing key because immutable key object class has no setter methods).
  • 25.
    42 Java - Fundamentals performance benefit in explicitly declaring your serialVersionUID (because does not have to be calculated). So, it is best practice to add your own serialVersionUID to your Serializable classes as soon as you create them as shown below: public class Car { static final long serialVersionUID = 1L; //assign a long value } Note: Alternatively you can use the serialver tool comes with Sun’s JDK. This tool takes a full class name on the command line and returns the serialVersionUID for that compiled class. For example: static final long serialVersionUID = 10275439472837494L; //generated by serialver tool. Q 24: Explain the Java I/O streaming concept and the use of the decorator design pattern in Java I/O? LF DP PI SI A 24: Java input and output is defined in terms of an abstract concept called a “stream”, which is a sequence of data. There are 2 kinds of streams. Byte streams (8 bit bytes) Abstract classes are: InputStream and OutputStream Character streams (16 bit UNICODE) Abstract classes are: Reader and Writer Design pattern: java.io.* classes use the decorator design pattern. The decorator design pattern attaches responsibilities to objects at runtime. Decorators are more flexible than inheritance because the inheritance attaches responsibility to classes at compile time. The java.io.* classes use the decorator pattern to construct different combinations of behavior at runtime based on some basic classes. Attaching responsibilities to classes at Attaching responsibilities to objects at runtime using a decorator compile time using subclassing. design pattern. Inheritance (aka subclassing) attaches By attaching responsibilities to objects at runtime, you can apply changes responsibilities to classes at compile time. When to each individual object you want to change. you extend a class, each individual changes you make to child class will affect all instances of the File file = new File(“c:/temp”); child classes. Defining many classes using FileInputStream fis = new FileInputStream(file); inheritance to have all possible combinations is BufferedInputStream bis = new BufferedInputStream(fis); problematic and inflexible. Decorators decorate an object by enhancing or restricting functionality of an object it decorates. The decorators add or restrict functionality to decorated objects either before or after forwarding the request. At runtime the BufferedInputStream (bis), which is a decorator (aka a wrapper around decorated object), forwards the method call to its decorated object FileInputStream (fis). The “bis” will apply the additional functionality of buffering around the lower level file (i.e. fis) I/O. java.io.* class hierarchy java.lang.Object java.io.InputStream java.io.OutputStream java.lang.System java.io.Reader java.io.Writer java.io.FileInputStream java.io.FileOutputStream java.io.InputStreamReader java.io.OutputStreamWriter Note: Only a few subclasses of abstract classes are java.io.BufferedReader java.io.FileReader java.io.FileWriter shown for clarity. Q. How does the new I/O (NIO) offer better scalability and better performance?
  • 26.
    Java - Fundamentals 45 It is recommended to use logging frameworks like Log4J with SLF4J (Simple Logging Façade for Java), which uses buffering instead of using default behavior of System.out.println(…..) for better performance. Frameworks like Log4J are configurable, flexible, extensible and easy to use. Use the NIO package, if you are using JDK 1.4 or later, which uses performance-enhancing features like buffers to hold data, memory mapping of files, non-blocking I/O operations etc. I/O performance can be improved by minimizing the calls to the underlying operating systems. The Java runtime itself cannot know the length of a file, querying the file system for isDirectory(), isFile(), exists() etc must query the underlying operating system. Where applicable caching can be used to improve performance by reading in all the lines of a file into a Java Collection class like an ArrayList or a HashMap and subsequently access the data from an in-memory collection instead of the disk. Q 26: What is the main difference between shallow cloning and deep cloning of objects? DC LF MI PI A 26: The default behavior of an object’s clone() method automatically yields a shallow copy. So to achieve a deep copy the classes must be edited or adjusted. Shallow copy: If a shallow copy is performed on obj-1 as shown in fig-2 then it is copied but its contained objects are not. The contained objects Obj-1 and Obj-2 are affected by changes to cloned Obj-2. Java supports shallow cloning of objects by default when a class implements the java.lang.Cloneable interface. Deep copy: If a deep copy is performed on obj-1 as shown in fig-3 then not only obj-1 has been copied but the objects contained within it have been copied as well. Serialization can be used to achieve deep cloning. Deep cloning through serialization is faster to develop and easier to maintain but carries a performance overhead. Shallow Vs Deep cloning O bj-1 O bj-1 C loned O bj-1 O bj-2 contains contains contained contained contained contained contained contained O bj-1 O bj-2 O bj-1 O bj-2 O bj-1 O bj-2 contained contained O bj-1 O bj-2 C loned Fig-3:D eep cloning O bj-2 Fig-1:O riginal O bject Fig-2:Shallow cloning For example invoking clone() method on a collection like HashMap, List etc returns a shallow copy of HashMap, List, instances. This means if you clone a HashMap, the map instance is cloned but the keys and values themselves are not cloned. If you want a deep copy then a simple method is to serialize the HashMap to a ByteArrayOutputSream and then deserialize it. This creates a deep copy but does require that all keys and values in the HashMap are Serializable. Main advantage of this approach is that it will deep copy any arbitrary object graph. Refer Q23 in Java section for deep copying using Serialization. Alternatively you can provide a static factory method to deep copy. Example: to deep copy a list of Car objects. public static List deepCopy(List listCars) { List copiedList = new ArrayList(10); for (Object object : listCars) { //JDK 1.5 for each loop Car original = (Car)object; Car carCopied = new Car(); //instantiate a new Car object carCopied.setColor((original.getColor())); copiedList.add(carCopied); } return copiedList; }
  • 27.
    Java - Fundamentals 61 Q 49: If 2 different threads hit 2 different synchronized methods in an object at the same time will they both continue? LF A 49: No. Only one method can acquire the lock. Thread synchronization Thread1 run(){ Car1 object car1.method2(); synchronized method1() {} 1. ok . m et } ho d1 () is no t bu sy . b usy synchronized method2() {} d2 ( ) is e th o Thread2 o. m 2. N method3() {} run(){ n iz e d y n c h ro is n o t s car1.method1(); me th o d 3 () ys o k. car2.method1(); 4 . A lw a car1.method3() 3. o k. M e th o d2 () is no Car2 object } t bu sy synchronized method1() {} Thread3 run(){ synchronized method2() {} () is bu sy. 5. No . me tho d1 car2.method2(); car2.method3(); 6.Always ok. method3() is not synchronized method3() {} } Note: If your job requires deeper understanding of threads then please refer to the following articles by Allen Holub at http://www.javaworld.com. There are number of parts (part 1 – Part - 8) to the article entitled “Programming Java threads in the real world”. URLs for some of the parts are: http://www.javaworld.com/javaworld/jw-09-1998/jw-09-threads.html, http://www.javaworld.com/javaworld/jw-10-1998/jw-10-toolbox.html, etc. Q 50: Explain threads blocking on I/O? LF A 50: Occasionally threads have to block on conditions other than object locks. I/O is the best example of this. Threads block on I/O (i.e. enters the waiting state) so that other threads may execute while the I/O operation is performed. When threads are blocked (say due to time consuming reads or writes) on an I/O call inside an object’s synchronized method and also if the other methods of the object are also synchronized then the object is essentially frozen while the thread is blocked. Be sure to not synchronize code that makes blocking calls, or make sure that a non-synchronized method exists on an object with synchronized blocking code. Although this technique requires some care to ensure that the resulting code is still thread safe, it allows objects to be responsive to other threads when a thread holding its locks is blocked. Note: The java.nio.* package was introduced in JDK1.4. The coolest addition is non-blocking I/O (aka NIO that stands for New I/O). Refer Q24 in Java section for NIO. Note: Q51 & Q52 in Java section are very popular questions on design patterns. Q 51: What is a singleton pattern? How do you code it in Java? DP MI CO FAQ A 51: A singleton is a class that can be instantiated only one time in a JVM per class loader. Repeated calls always return the same instance. Ensures that a class has only one instance, and provide a global point of access. It can be an issue if singleton class gets loaded by multiple class loaders or JVMs. public class OnlyOne { private static OnlyOne one = new OnlyOne(); // private constructor. This class cannot be instantiated from outside and // prevents subclassing. private OnlyOne(){} public static OnlyOne getInstance() { return one; } }
  • 28.
    78 Java – Performance and Memory issues Java – Performance and Memory issues Q. Give me an instance where you made a significant contribution in improving performance ? There is a good chance that the position you are being interviewed for require someone with skills to identify performance and/or memory issues and ability to optimize performance and solve memory issues. If you happen to be in an interview with an organization facing serious issues with regards to their Java application relating to memory leaks, performance problems or a crashing JVM etc then you are likely to be asked questions on these topics. You will find more questions and answers relating to these key areas (i.e. performance and memory issues) in the Enterprise Java section and “How would you go about…” sections. You could also demonstrate your skills in these key areas by reflecting back on your past experiences as discussed in Q82 in Java section. Even though Q82 is a situational or behavioral question, you can streamline your answer to demonstrate your technical strengths relating to these key areas as well as your behavioral ability to cope with stress. Q 72: How would you improve performance of a Java application? PI BP FAQ A 72: Pool valuable system resources like threads, database connections, socket connections etc. Emphasize on reuse of threads from a pool of threads. Creating new threads and discarding them after use can adversely affect performance. Also consider using multi-threading in your single-threaded applications where possible to enhance performance. Optimize the pool sizes based on system and application specifications and requirements. Having too many threads in a pool also can result in performance and scalability problems due to consumption of memory stacks (i.e. each thread has its own stack. Refer Q34, Q42 in Java section) and CPU context switching (i.e. switching between threads as opposed to doing real computation.). Minimize network overheads by retrieving several related items simultaneously in one remote invocation if possible. Remote method invocations involve a network round-trip, marshaling and unmarshaling of parameters, which can cause huge performance problems if the remote interface is poorly designed. (Refer Q125 in Enterprise section). Most applications need to retrieve data from and save/update data into one or more databases. Database calls are remote calls over the network. In general data should be lazily loaded (i.e. load only when required as opposed to pre-loading from the database with a view that it can be used later) from a database to conserve memory but there are use cases (i.e. need to make several database calls) where eagerly loading data and caching can improve performance by minimizing network trips to the database. Data can be eagerly loaded with a help of SQL scripts with complex joins or stored procedures and cached using third party frameworks or building your own framework. At this point your interviewer could intercept you and ask you some pertinent questions relating to caching like: Q: How would you refresh your cache? A: You could say that one of the two following strategies can be used: 1. Timed cache strategy where the cache can be replenished periodically (i.e. every 30 minutes, every hour etc). This is a simple strategy applicable when it is acceptable to show dirty data at times and also the data in the database does not change very frequently. 2. Dirty check strategy where your application is the only one which can mutate (i.e. modify) the data in the database. You can set a “isDirty” flag to true when the data is modified in the database through your application and consequently your cache can be refreshed based on the “isDirty” flag. Q: How would you refresh your cache if your database is shared by more than one application? A: You could use one of the following strategies: 1. Database triggers: You could use database triggers to communicate between applications sharing the same database and write pollers which polls the database periodically to determine when the cache should be refreshed. (Refer Q102 in Enterprise section) 2. XML messaging (Refer Enterprise – JMS subsection in Enterprise section) to communicate between other applications sharing the same database or separate databases to determine when the cache should be refreshed.
  • 29.
    86 Java – Personal and Behavioral/Situational behavioral technique is used to evaluate a candidate’s future success from past behaviors. The answers to these questions must describe in detail a particular situation like an event, a project or an experience and how you acted on that situation and what the results were. Prepare your answers prior to the interview using the “Situation Action Result (SAR)” approach and avoid fabricating or memorizing your answers. You should try to relate back to your past experiences at your previous employments, community events, sporting events etc. Sample questions and answers are shown below: Q 82: Give me an example of a time when you set a goal and were able to achieve it? Give me an example of a time you showed initiatiative and took the lead? Tell me about a difficult decision you made in the last year? Give me an example of a time you motivated others? Tell me about a most complex project you were involved in? FAQ A 82: Situation: When you were working for the ZCC Software Technology Corporation, the overnight batch process called the “Data Pacakager” was developed for a large fast food chain which has over 100 stores. This overnight batch process is responsible for performing a very database intensive search and compute changes like cost of ingredients, selling price, new menu item etc made in various retail stores and package those changes into XML files and send those XML data to the respective stores where they get uploaded into their point of sale registers to reflect the changes. This batch process had been used for the past two years, but since then the number of stores had increased and so did the size of the data in the database. The batch process, which used to take 6-8 hours to complete, had increased to 14-16 hours, which obviously started to adversely affect the daily operations of these stores. The management assigned you with the task of improving the performance of the batch process to 5-6 hours (i.e. suppose to be an overnight process). Action: After having analyzed the existing design and code for the “Data Packager”, you had to take the difficult decision to let the management know that this batch process needed to be re-designed and re-written as opposed to modifying the existing code, since it was poorly designed. It is hard to extend, maintain (i.e. making a change in one place can break the code some where else and so on) and had no object reuse through caching (makes too many unnecessary network trips to the database) etc. The management was not too impressed with this approach and concerned about the time required to rewrite this batch process since the management had promised the retail stores to provide a solution within 8-12 weeks. You took the initiative and used your persuasive skills to convince the management that you would be able to provide a re-designed and re-written solution within the 8-12 weeks with the assistance of 2-3 additional developers and two testers. You were entrusted with the task to rewrite the batch process and you set your goal to complete the task in 8 weeks. You decided to build the software iteratively by building individual vertical slices as opposed to the big bang waterfall approach [Refer subsection “Enterprise – Software development process” in Enterprise – Java section]. You redesigned and wrote the code for a typical use case from end to end (i.e. full vertical slice) within 2 weeks and subsequently carried out functional and integration testing to iron out any unforeseen errors or issues. Once the first iteration is stable, you effectively communicated the architecture to the management and to your fellow developers. Motivated and mentored your fellow developers to build the other iterations, based on the first iteration. At the end of iteration, it was tested by the testers, while the developers moved on to the next iteration. Results: After having enthusiastically worked to your plan with hard work, dedication and teamwork, you were able to have the 90% of the functionality completed in 9 weeks and spent the next 3 weeks fixing bugs, tuning performance and coding rest of the functionality. The fully functional data packager was completed in 12 weeks and took only 3-4 hours to package XML data for all the stores. The team was under pressure at times but you made them believe that it is more of a challenge as opposed to think of it as a stressful situation. The newly designed data packager was also easier to maintain and extend. The management was impressed with the outcome and rewarded the team with an outstanding achievement award. The performance of the newly developed data packager was further improved by 20% by tuning the database (i.e. partitioning the tables, indexing etc). Q 83: Describe a time when you were faced with a stressful situation that demonstrated your coping skills? Give me an example of a time when you used your fact finding skills to solve a problem? Describe a time when you applied your analytical and/or problem solving skills? FAQ A 83: Situation: When you were working for the Surething insurance corporation pty ltd, you were responsible for the migration of an online insurance application (i.e. external website) to a newer version of application server (i.e. the current version is no longer supported by the vendor). The migration happened smoothly and after a couple of days of going live, you started to experience “OutOfMemoryError”, which forced you to restart the application server every day. This raised a red alert and the immediate and the senior management were very concerned and consequently constantly calling for meetings and updates on the progress of identifying the root cause of this issue. This has created a stressful situation.
  • 30.
    94 Enterprise Java SECTION TWO Enterprise Java – Interview questions & answers Specification Fundamentals SF K E Design Concepts DC Y Design Patterns DP Concurrency Issues CI A Performance Issues PI R Memory Issues MI E A Exception Handling EH S Transactional Issues TI Security SE Scalability Issues SI Best Practices BP Coding1 CO FAQ - Frequently Asked Questions 1 Unlike other key areas, the CO is not always shown against the question but shown above the actual content of relevance within a question.
  • 31.
    Enterprise – J2EEOverview 95 Enterprise - J2EE Overview Q 01: What is J2EE? What are J2EE components and services? SF FAQ A 01: J2EE (Java 2 Enterprise Edition) is an environment for developing and deploying enterprise applications. The J2EE platform consists of J2EE components, services, Application Programming Interfaces (APIs) and protocols that provide the functionality for developing multi-tiered and distributed Web based applications. J2EE Physical Tiers , Containers, Components , Services & APIs Firewall Firewall DMZ internet Client Web Server Application Server Database Server Client Tier Application Tier (Middle Tier) Data (EIS) Tier (X)HTML, Web J2EE Application Server XML HTTP(S) Server (Browser) Web Container JDBC Tag RDBMS HTML library Applet HTTP(S) Servlets JSP JavaMail CSS RMI/IIOP JavaMail JDBC JNDI JMS JTA JAF Java RMI Application RMI / IIOP Messaging JMS EJB Container Client Application (stand alone Java RMI/IIOP IIOP Corba Server program) Entity Beans Message Driven Beans Session Beans RMI/IIOP JavaMail JNDI JDBC JNDI JMS JTA JAF Directory Service Other Services + APIs provided by server/container: Security (SSL, ACL, JAAS,X.509) transactions, threading, Resource pooling (Eg: Connection pooling) etc ,Fault Tolerance, Load Balancing, clustering Monitoring, Auditing, Logging etc more...............
  • 32.
    96 Enterprise – J2EE Overview A J2EE component is a self-contained functional software unit that is assembled into a J2EE application with its related classes and files and communicates with other components. The J2EE specification defines the following J2EE components: Component type Components Packaged as Applet applets JAR (Java ARchive) Application client Client side Java codes. JAR (Java ARchive) Web component JSP, Servlet WAR (Web ARchive) Enterprise JavaBeans Session beans, Entity beans, Message driven beans JAR (EJB Archive) Enterprise application WAR, JAR, etc EAR (Enterprise ARchive) Resource adapters Resource adapters RAR (Resource Adapter ARchive) Q. So what is the difference between a component and a service? A component is an application level software unit as shown in the table above. All the J2EE components depend on the container for the system level support like transactions, security, pooling, life cycle management, threading etc. A service is a component that can be used remotely through a remote interface either synchronously or asynchronously (e.g. Web service, messaging system, sockets, RPC etc). A service is a step up from “distributed objects”. A service is a function that has a clearly defined service contract (e.g. interface, XML contract) to their consumers or clients, self contained and does not depend on the context or state of other services. Q. What is a Service Oriented Architecture (SOA)? SOA is an evolution of the fundamentals governing a component based development. Component based development provides an opportunity for greater code reuse than what is possible with Object Oriented (OO) development. SOA provides even greater code reuse by utilizing OO development, component based development and also by identifying and organizing right services into a hierarchy of composite services. SOA results in loosely coupled application components, in which code is not necessarily tied to a particular database. SOAs are very popular and there is a huge demand exists for development and implementation of SOAs. Refer Q14 in How would you go about…? section for a more detailed discussion on SOA and Web services. Q. What are Web and EJB containers? Containers (Web & EJB containers) are the interface between a J2EE component and the low level platform specific functionality that supports J2EE components. Before a Web, enterprise bean (EJB), or application client component can be executed, it must be assembled into a J2EE module (jar, war, and/or ear) and deployed into its container. Q. Why do you need a J2EE server? What services does a J2EE server provide? A J2EE server provides system level support services such us security, transaction management, JNDI (Java Naming and Directory Interface) lookups, remote access etc. J2EE architecture provides configurable and non- configurable services. The configurable service enables the J2EE components within the same J2EE application to behave differently based on where they are deployed. For example the security settings can be different for the same J2EE application in two different production environments. The non-configurable services include enterprise bean (EJB) and servlet life cycle management, resource pooling etc. Server supports various protocols. Protocols are used for access to Internet services. J2EE platform supports HTTP (HyperText Transfer Protocol), TCP/IP (Transmission Control Protocol / Internet Protocol), RMI (Remote Method Invocation), SOAP (Simple Object Access Protocol) and SSL (Secured Socket Layer) protocol. The J2EE API can be summarized as follows: J2EE technology category API (Application Programming Interface) Component model technology Java Servlet, JavaServer Pages(JSP), Enterprise JavaBeans(EJB). JAXP (Java API for XML Processing), JAXR (Java API for XML Registries), SAAJ (SOAP Web Services technology with attachment API for Java), JAX-RPC (Java API for XML-based RPC), JAX-WS (Java API for XML-based Web Services).
  • 33.
    Enterprise – J2EEOverview 97 JDBC (Java DataBase Connectivity), JNDI (Java Naming and Directory Interface), JMS Other (Java Messaging Service), JCA (J2EE Connector Architecture), JTA (Java Transaction API), JavaMail, JAF (JavaBeans Activation Framework – used by JavaMail), JAAS (Java Authentication and Authorization Service), JMX (Java Management eXtensions). Q 02: Explain the J2EE 3-tier or n-tier architecture? SF DC FAQ A 02: This is a very commonly asked question. Be prepared to draw some diagrams on the board. The J2EE platform is a multi-tiered system. A tier is a logical or functional partitioning of a system. 2 – tier system 3 – tier system 2-Tier (Client/Server) 3-Tier (or n-tier) Client M /C 1 Client M /C 2 Client M/C 1 Client M/C 2 UserInterface UserInterface UserInterface UserInterface /display Logic /display Logic /display logic /display logic Business Business logic logic Database Database logic logic Middle-tier server Business Logic Database Logic Business Logic Database logic Data Data Database Database When the developers are not disciplined, the The advantages of the multi-tier architecture are: display logic, business logic and database logic are muddled up and/or duplicated in a 2- Forced separation of user interface logic and business logic. tier client server system. Business logic sits on small number of centralized machines (may be just one). Easy to maintain, to manage, to scale, loosely coupled etc. Each tier is assigned a unique responsibility in a 3-tier system. Each tier is logically separated and loosely coupled from each other, and may be distributed. Client tier represents Web browser, a Java or other application, Applet, WAP phone etc. The client tier makes requests to the Web server who will be serving the request by either returning static content if it is present in the Web server or forwards the request to either Servlet or JSP in the application server for either static or dynamic content. Presentation tier encapsulates the presentation logic required to serve clients. A Servlet or JSP in the presentation tier intercepts client requests, manages logons, sessions, accesses the business services, and finally constructs a response, which gets delivered to client. Business tier provides the business services. This tier contains the business logic and the business data. All the business logic is centralized into this tier as opposed to 2-tier systems where the business logic is scattered between the front end and the backend. The benefit of having a centralized business tier is that same business logic can support different types of clients like browser, WAP (Wireless Application Protocol) client, other stand- alone applications written in Java, C++, C# etc. Integration tier is responsible for communicating with external resources such as databases, legacy systems, ERP systems, messaging systems like MQSeries etc. The components in this tier use JDBC, JMS, J2EE Connector Architecture (JCA) and some proprietary middleware to access the resource tier. Resource tier is the external resource such as a database, ERP system, Mainframe system etc responsible for storing the data. This tier is also known as Data Tier or EIS (Enterprise Information System) Tier.
  • 34.
    98 Enterprise – J2EE Overview J 2 E E T ie rs H ig h L e v e l L o g ic a l o r T ie rs F u n c tio n a l T ie rs C lie n t T ie r C lie n t T ie r A p p le ts , H T M L ,W M L , J a v a S c rip t, C lie n t A p p lic a tio n C lie n ts e tc M id d le T ie r P re s e n ta tio n T ie r H T M L , C S S , G IF F ile s e tc (s ta tic c o n te n t) W e b S e rve r J S P s , S e rv le ts , T a g s e tc (d y n a m ic c o n te n t) ply J2EE patterns ap B u s in e s s T ie r E J B , J a v a C la s s e s , B u s in e s s O b je c ts e tc In te g ra tio n T ie r J M S , J D B C , C o n n e c to rs (J C A ), e tc A p p lic a tio n S e rv e r D a ta T ie r R e s o u rc e T ie r XML D a ta b a s e s , E R P & C R M s y s te m s , L e g a c y RDBMS S y s te m s e tc Note: On a high level J2EE can be construed as a 3-tier system consisting of Client Tier, Middle Tier (or Application Tier) and Data Tier. But logically or functionally J2EE is a multi-tier (or n-tier) platform. The advantages of a 3-tiered or n-tiered application: 3-tier or multi-tier architectures force separation among presentation logic, business logic and database logic. Let us look at some of the key benefits: Manageability: Each tier can be monitored, tuned and upgraded independently and different people can have clearly defined responsibilities. Scalability: More hardware can be added and allows clustering (i.e. horizontal scaling). Maintainability: Changes and upgrades can be performed without affecting other components. Availability: Clustering and load balancing can provide availability. Extensibility: Additional features can be easily added. The following diagram gives you a bigger picture of the logical tiers and the components.
  • 35.
    Enterprise – J2EEOverview 105 <security-role> <description>Advisor</description> <role-name>advisor</role-name> </security-role> </web-app> Q 08: Explain J2EE class loaders? SF A 08: J2EE application server sample class loader hierarchy is shown below. (Also refer to Q5 in Java section). As per the diagram the J2EE application specific class loaders are children of the “System –classpath” class loader. When the parent class loader is above the “System –classpath” class loader in the hierarchy as shown in the diagram (i.e. bootstrap class loader or extensions class loader) then child class loaders implicitly have visibility to the classes loaded by its parents. When a parent class loader is below a “System -classpath” class loader in the hierarchy then the child class loaders will only have visibility into the classes loaded by its parents only if they are explicitly specified in a manifest file (MANIFEST.MF) of the child class loader. Example As per the diagram, if the EJB module MyAppsEJB.jar wants to refer to MyAppsCommon.jar and MyAppsUtil.jar we need to add the following entry in the MyAppsEJB.jar’s manifest file MANIFEST.MF. class-path: MyAppsCommon.jar MyAppsUtil.jar J2EE application server sample class loader hierarchy MyApps.ear Bootstrap(JVM) (rt.jar, i18.jar) MyAppsUtil.jar Extensions(JVM) (lib/ext) MyAppsCommon.jar System(JVM) MyAppsEJB.jar (-classpath) MyAppsWeb.war Application class Application class Each EAR gets its own loader (EAR) loader (EAR) instance of class loader EJB class loader EJB class loader All the EJB jars in a ear file share the same EJB class loader. WAR class Each WAR gets its own instance of WAR class WAR class loader class loader. The WEB-INF/lib libraries loader loader are specific to each WAR Note: Application vendor's Server class loader hierarchy might slightly vary . This is because the application (EAR) class loader loads the MyAppsCommon.jar and MyAppsUtil.jar. The EJB class loader loads the MyAppsEJB.jar, which is the child class loader of the application class loader. The WAR class loader loads the MyAppsWeb.war. Every J2EE application or EAR gets its own instance of the application class loader. This class loader is also responsible for loading all the dependency jar files, which are shared by both Web and EJB modules. For example third party libraries like log4j, utility (e.g. MyAppsUtility.jar) and common (e.g. MyAppsCommon.jar) jars etc. Any application specific exception like MyApplicationException thrown by an EJB module should be caught by a Web module. So the exception class MyApplicationException is shared by both Web and EJB modules. The key difference between the EJB and WAR class loader is that all the EJB jars in the application share the same EJB class loader whereas WAR files get their own class loader. This is because the EJBs have inherent relationship between one another (i.e. EJB-EJB communication between EJBs in different applications but hosted on the same JVM) but the Web modules do not. Every WAR file should be able to have its own WEB-INF/lib third
  • 36.
    238 How would you go about …? SECTION THREE How would you go about…? This section basically assesses your knowledge of how to perform certain tasks like documenting your project, identifying any potential performance, memory, transactional, and/or design issues etc. It also assesses if you have performed any of these tasks before. If you have not done a particular task, you can demonstrate that you know how to go about it if the task is assigned to you. This section also recaps some of the key considerations discussed in the Java and Enterprise sections. Question numbers are used for cross-referencing with Java and Enterprise sections. Q11 & Q14 are discussed in more detail and can be used as a quick reference guide in a software project. All the other questions excluding Q11 & Q14 can be read just before an interview.
  • 37.
    How would yougo about …? 253 Q 11: How would you go about applying the design patterns in your Java/J2EE application? A 11: It is really worth reading books and articles on design patterns. It is sometimes hard to remember the design patterns, which you do not use regularly. So if you do not know a particular design pattern you can always honestly say that you have not used it and subsequently suggest that you can explain another design pattern, which you have used recently or more often. It is always challenging to decide, which design pattern to use when? How do you improve your design pattern skills? Practice, practice, practice. I have listed some of the design patterns below with scenarios and examples: To understand design patterns you need to have a basic understanding of object-oriented concepts like: Decomposition: The process of dividing a problem into smaller pieces (i.e. divide and conquer approach). The following examples will break different scenarios into objects, each with specific responsibilities. A good decomposition will often result in improved reusability. Polymorphism, Inheritance, and Encapsulation: Refer Q10 in Java section. Loose coupling: The process of making objects independent of each other rather than dependent of one another. Loosely coupled objects are easier to reuse and change. Note: To keep it simple, System.out.println(…) is used. In real practice, use logging frameworks like log4j. Also package constructs are not shown. In real practice, each class should be stored in their relevant packages like com.items etc. Feel free to try these code samples by typing them into a Java editor of your choice and run the main class Shopping. Also constants should be declared in a typesafe manner as shown below: /** * use typesafe enum pattern as shown below if you are using below J2SE 5.0 or use “enum” if you are using J2SE 5.0 */ public class ItemType { private final String name; public static final ItemType Book = new ItemType("book"); public static final ItemType CD = new ItemType("cd"); public static final ItemType COSMETICS = new ItemType("cosmetics"); public static final ItemType CD_IMPORTED = new ItemType("cd_imported"); private ItemType(String name) {this.name = name;} public String toString() {return name;} //add compareTo(), readResolve() methods etc as required ... } Scenario: A company named XYZ Retail is in the business of selling Books, CDs and Cosmetics. Books are sales tax exempt and CDs and Cosmetics have a sales tax of 10%. CDs can be imported and attracts an import tax of 5%. Write a shopping basket program, which will calculate extended price (qty * (unitprice + tax)) inclusive of tax for each item in the basket, total taxes and grand total. Solution: Sample code for the items (i.e. Goods) sold by XYZ Retail. Let’s define an Item interface to follow the design principle of code to an interface not to an implementation. CO public interface Item { public static final int TYPE_BOOK = 1; public static final int TYPE_CD = 2; public static final int TYPE_COSMETICS = 3; public static final int TYPE_CD_IMPORTED = 4; public double getExtendedTax(); public double getExtendedTaxPrice() throws ItemException; public void setImported(boolean b); public String getDescription(); } The following class Goods cannot be instantiated (since it is abstract). You use this abstract class to achieve code reuse.
  • 38.
    Emerging Technologies/Frameworks… 311 SECTION FOUR Emerging Technologies/Frameworks… This section covers some of the popular emerging technologies you need to be at least aware of, if you have not already used them. If there are two or more interview candidates with similar skills and experience then awareness or experience with some of the emerging technologies can play a role in the decision making. Some organizations might be considering or already started using these technologies. So it is well worth your effort to demonstrate that you understand the basic concepts or have an appreciation for the following technologies/frameworks and an eagerness to learn. Test Driven Development (TDD). Aspect Oriented Programming (AOP). Inversion of Control (IoC) (Also known as Dependency Injection). Annotation or attribute based programming (xdoclet etc). Spring framework. Hibernate framework. EJB 3.0 Component based Web frameworks like (JSF, Tapestry etc) Note: It is out of scope for this book to cover all of these technologies/frameworks in detail. Important and popular technologies (TDD, AOP, IoC, and Annotations) and frameworks (Hibernate, Spring, EJB 3.0) are discussed with examples. If you hire smart people with a good understanding of Java/J2EE core concepts and key areas with some basic understanding of emerging technologies and frameworks then their current skills are not as important as their ability to learn quickly, eagerness to learn, and be productive.
  • 39.
    312 Emerging Technologies/Frameworks… Q. What is the hot trend in Enterprise apps these days? This section covers some of the recent and popular design paradigms such as Plain Old Java Objects (POJOs) and Plain Old Java Interfaces (POJI) based services and interceptors, Aspect Oriented Programming (AOP), Dependency Injection (aka IoC), attributes or annotations oriented programming, etc and tools and frameworks which apply these new paradigms such as Spring (IoC and AOP), Hibernate (O/R mapping), EJB 3.0 (POJO, POJI, and annotations), XDoclet (attributes oriented programming) , JSF (component based Web framework), Tapestry (component based Web framework) etc. All these have emerged over the past 2-4 years. Q. Why should you seriously consider these technologies? These new paradigms and frameworks can offer great benefits such as ease of maintenance, reduction in code size, elimination of duplication of code, ease of unit testing, loose coupling among components, light weight and fine grained objects, and developer productivity. Q. How would you convince a development team to use these new paradigms/frameworks? Build a vertical slice with some code for a business use case to demonstrate the above mentioned benefits. Q 01: What is Test Driven Development (TDD)? FAQ A 01: TDD is an iterative software development process where you first write the test with the idea that it must fail. This is a different approach to the traditional development where you write the application functionality first and then write test cases. The major benefit of this approach is that the code becomes thoroughly unit tested (you can use JUnit or other unit testing frameworks). For JUnit refer Q14 on “How would you go about…” section. TDD is based on two important principles preached by its originator Kent Beck: Write new business code only if an automated unit test has failed: Business application requirements drive the tests and tests drive the actual functional code. Each test should test only one business concept, which means avoid writing a single test which tests withdrawing money from an account and depositing money into an account. Any change in the business requirements will impact pre and post conditions of the test. Talking about pre and post conditions, following design by contract methodology (Refer Q11 in Java section) helps achieving TDD. In design by contract, you specify the pre and post conditions that act as contracts of a method, which provides a specification to write your tests against. Eliminate duplication from the code: A particular business concept should be implemented only once within the application code. Code for checking an account balance should be centralized to only one place within the application code. This makes your code decoupled, more maintainable and reusable. I can hear some of you all saying how can we write the unit test code without the actual application code. Let’s look at how it works in steps. The following steps are applied iteratively for business requirements. STEP: 1 write some tests for a specific business requirement. STEP: 2 write some basic structural code so that your test compiles but the test should fail (failures are the pillars of success). For example just create the necessary classes and corresponding methods with skeletal code. STEP: 3 write the required business code to pass the tests which you wrote in step 1. STEP: 4 finally refactor the code you just wrote to make it is as simple as it can be. You can refactor your code with confidence that if it breaks the business logic then you have unit test cases that can quickly detect it. STEP: 5 run your tests to make sure that your refactored code still passes the tests. STEP: 6 Repeat steps 1-5 for another business requirement. To write tests efficiently some basic guidelines need to be followed: You should be able to run each test in isolation and in any order. The test code should not have any duplicate business logic. You should test for all the pre and post conditions as well as exceptions. Each test should concentrate on one business requirement as mentioned earlier. There are many ways to write test conditions so proper care and attention should be taken. In some cases pair programming can help by allowing two brains to work in collaboration. You should have strategies to overcome issues around state of data in RDBMS (Should you persist sample test data, which is a snapshot of your actual data prior to running your tests? Or should you hard code data? Or Should you combine both strategies? Etc).
  • 40.
    344 Sample interview questions SECTION FIVE Sample interview questions… Tips: Try to find out the needs of the project in which you will be working and the needs of the people within the project. 80% of the interview questions are based on your own resume. Where possible briefly demonstrate how you applied your skills/knowledge in the key areas as described in this book. Find the right time to raise questions and answer those questions to show your strength. Be honest to answer technical questions, you are not expected to know everything (for example you might know a few design patterns but not all of them etc). Do not be critical, focus on what you can do. Also try to be humorous. Do not act in superior way. General Tip #11: There is a difference between looking excited about a job or a job offer and looking desperate for one. Do not immediately jump at the opportunity. If you have any impending interviews ask the interviewer for some time to respond to the offer. Never give into the pressure (e.g. this is the best job and if you do not take it right now you might miss out etc) from the job agencies. Interviewers are generally happy to wait for the right candidate. Give yourself attention to all the aspects on offer like salary, type of industry (finance, telecom, consulting etc), opportunity for growth, type of project (large scale mission critical, medium sized etc), type of role (design, development and design, team lead, architect etc), type of technology used and opportunity to learn new things (e.g. Spring, Hibernate, Tapestry, JSF, Web services, messaging etc) to keep you motivated at your job as well as improve your future job prospects. Never think of salary aspect alone. You should have a long term plan. Sometimes it is worth your while to compromise on a few quid to acquire most sought after skills (at the time of writing Spring, Hibernate, JSF, Tapestry etc) and/or valuable skills (design skills, leadership skills etc). So for each interview you attend keep a checklist of aspects on offer and always act calmly and professionally to make the right decision for you.
  • 41.
    348 GLOSSARY OF TERMS GLOSSARY OF TERMS TERM DESCRIPTION ACID Atomicity, Consistency, Isolation, Durability. Ajax Asynchronous JavaScript And XML aka also known as. AOP Aspect Oriented Programming API Application Programming Interface AWT Abstract Window Toolkit BLOB Binary Large Object BMP Bean Managed Persistence CGI Common Gateway Interface CLOB Character Large OBject CMP Container Managed Persistence CORBA Common Object Request Broker Architecture CRM Customer Relationships Management CRUD Create, Read, Update and Delete CSS Cascading Style Sheets csv Comma Separated Value CRC Cyclic Redundancy Checks DAO Data Access Object DNS Domain Name Service DOM Document Object Model DTD Document Type Definition EAR Enterprise ARchive EIS Enterprise Information System EJB Enterprise JavaBean EL Expression Language ERP Enterprise Resource Planning FDD Feature Driven Development GIF Graphic Interchange Format GOF Gang Of Four HQL Hibernate Query Language. HTML Hyper Text Markup Language HTTP Hyper Text Transfer Protocol I/O Input/Output IDE Integrated Development Environment IIOP Internet Inter-ORB Protocol IoC Inversion of Control IP Internet Protocol J2EE Java 2 Enterprise Edition JAAS Java Authentication and Authorization Service JAF JavaBeans Activation Framework JAR Java ARchive JAXB Java API for XML Binding JAXP Java API for XML Parsing JAXR Java API for XML Registries JAX-RPC Java API for XML-based RPC JAX-WS Java API for XML-based Web Services JCA J2EE Connector Architecture JDBC Java Database Connectivity JDK Java Development Kit JFC Java Foundation Classes JMS Java Messaging Service JMX Java Management eXtensions JNDI Java Naming and Directory Interface JNI Java Native Interface JRMP Java Remote Method Protocol JSF JavaServer Faces JSP Java Server Pages JSTL Java Standard Tag Library JTA Java Transaction API JVM Java Virtual Machine LDAP Lightweight Directory Access Protocol
  • 42.
    GLOSSARY OF TERMS 349 MOM Message Oriented Middleware MVC Model View Controller NDS Novell Directory Service NIO New I/O O/R mapping Object to Relational mapping. OO Object Oriented OOP Object Oriented Programming OOPL Object Oriented Programming Language ORB Object Request Broker ORM Object to Relational Mapping. POJI Plain Old Java Interface POJO Plain Old Java Object RAR Resource adapter ARchive RDBMS Relational Database Management System RMI Remote Method Invocation RPC Remote Procedure Call RUP Rational Unified Process SAAJ SOAP with attachment API for Java SAX Simple API for XML SOA Service Oriented Architecture SOAP Simple Object Access Protocol SQL Structured Query Language SSL Secure Sockets Layer TCP Transmission Control Protocol TDD Test Driven Development UDDI Universal Description Discovery and Integration UDP User Datagram Protocol UI User Interface UML Unified Modeling Language URI Uniform Resource Identifier URL Uniform Resource Locator UTF VO Value Object which is a plain Java class which has attributes or fields and corresponding getter getXXX() and setter setXXX() methods . WAR Web ARchive WML Wireless Markup Language WSDL Web Service Description Language XHTML Extensible Hypertext Markup Language XML Extensible Markup Language XP Extreme Programming XPath XML Path XSD XML Schema Definition XSL Extensible Style Language XSL-FO Extensible Style Language – Formatting Objects XSLT Extensible Style Language Transformation
  • 43.
    350 RESOURCES RESOURCES Articles Sun Java Certified Enterprise Architect by Leo Crawford on http://www.leocrawford.org.uk/work/jcea/part1/index.html. Practical UML: A Hands-On Introduction for Developers by Randy Miller on http://bdn.borland.com/article/0,1410,31863,00.html W3 Schools on http://www.w3schools.com/default.asp. LDAP basics on http://publib.boulder.ibm.com/iseries/v5r2/ic2924/index.htm?info/rzahy/rzahyovrco.htm. Java World articles on design patterns: http://www.javaworld.com/columns/jw-Java-design-patterns-index.shtml. Web Servers vs. App Servers: Choosing Between the Two By Nelson King on http://www.serverwatch.com/tutorials/article.php/1355131. Follow the Chain of Responsibility by David Geary on Java World - http://www.javaworld.com/javaworld/jw-08-2003/jw-0829- designpatterns.html. J2EE Design Patterns by Sue Spielman on http://www.onjava.com/pub/a/onjava/2002/01/16/patterns.html. The New Methodology by Martin Fowler on http://www.martinfowler.com/articles/newMethodology.html. Merlin brings nonblocking I/O to the Java platform by Aruna Kalagnanam and Balu G on http://www.ibm.com//developerworks/Java/library/j-javaio. Hibernate Tips and Pitfalls by Phil Zoio on http://www.realsolve.co.uk/site/tech/hib-tip-pitfall-series.php. Hibernate Reference Documentation on http://www.hibernate.org/hib_docs/reference/en/html_single/. Object-relation mapping without the container by Richard Hightower on http://www-128.ibm.com/developerworks/library/j- hibern/?ca=dnt515. Object to Relational Mapping and Relationships with Hibernate by Mark Eagle on http://www.meagle.com:8080/hibernate.jsp. Mapping Objects to Relational databases: O/R Mapping In detail by Scott W. Ambler on http://www.agiledata.org/essays/mappingObjects.html. I want my AOP by Ramnivas Laddad on Java World. WebSphere Application Server 5.0 for iSeries – Performance Considerations by Jill Peterson. Dependency Injection using pico container by Subbu Ramanathan . WebSphere Application Server & Database Performance tuning by Michael S. Pallos on http://www.bizforum.org/whitepapers/candle-5.htm. A beginners guide to Dependency Injection by Dhananjay Nene on http://www.theserverside.com/articles/article.tss?l=IoCBeginners. The Spring series: Introduction to the Spring framework by Naveen Balani on http://www- 128.ibm.com/developerworks/web/library/wa-spring1. The Spring Framework by Benoy Jose. Inversion of Control Containersband the Dependency Injection pattern by Martin Fowler. Migrate J2EE Applications for EJB 3.0 by Debu Panda on JavaPro. EJB 3.0 in a nutshell by Anil Sharma on JavaWorld. Preparing for EJB 3.0 by Mike Keith on ORACLE Technology Network. Simplify enterprise Java development with EJB 3.0 by Michael Juntao Yuan on JavaWorld. J2SE: New I/O by John Zukowski on http://java.sun.com/developer/technicalArticles/releases/nio/. High-Performance I/O arrives by Danniel F. Savarese on JavaPro. Hibernate – Proxy Visitor Pattern by Kurtis Williams. Best Practices for Exception Handling by Gunjan Doshi. Three Rules for Effective Exception Handling by Jim Cushing. LDAP and JNDI: Together forever – by Sameer Tyagi. Introduction To LDAP – by Brad Marshall. Java theory and practice: Decorating with dynamic proxies by Brian Goetz. Java Dynamic Proxies: One Step from Aspect-Oriented Programming by Lara D’Abreo. Java Design Patterns on http://www.allapplabs.com/java_design_patterns . Software Design Patterns on http://www.dofactory.com/Patterns/Patterns.aspx . JRun: Core Dump and Dr. Watson Errors on http://www.macromedia.com/cfusion/knowledgebase/index.cfm?id=tn_17534 The Guerrilla Guide to Interviewing by Joel Spolsky at http://www.joelonsoftware.com/printerFriendly/articles/fog0000000073.html The Riddle of Job Interviews by Kate Kane at http://www.fastcompany.com/online/01/jobint_Printer_Fiendly.html An Introduction to Aspect-Oiented Programming with the Spring Framework, Part 1 by Russell Miles at http://www.onjava.com/lpt/a/4994 5 Habits Of Best Software Developers by Angusman Chakraborty at http://blog.taragana.com/index.php/archive/5-habits-of-best- doftware-developers/ Getting started with Hibernate by Alan P Saxton at http://www.cs.bham.ac.uk/~aps/syllabi/2004_2005/issws/h03/hibernate.html Hibernate Tips by Jason Carreira at http://jroller.com/page/jcarreira/20050223 Five Things I Love About Spring by Bruce A. Tate at http://www.onjava.com/lpt/a/5833 Service-oriented modeling and architecture by Ali Arsanjani , Ph.D at http://www- 128.ibm.com/developerworks/webservices/library/ws-soa-design1/ Delving into Service-Oriented Architecture by Bernhad Borges, Kerrie Holley and Ali Arsanjani at http://www.developer.com/design/print.php/10925_3409221_1 SOA: Are We Reinventing the Wheel? By Nick Simha at http://dev2dev.bea.com/lpt/a/435 Getting a little closer to SOA by Fabrice Marguerie at http://madgeek.com/Articles/SOA/EN/SOA-Softly.html What is sevice-oriented architecture by Raghu R. Kodali at http://www.javaworld.com/javaworld/jw-06-2005/jw-0613-soa_p.html
  • 44.
    RESOURCES 351 J2EE-Supported Web Service standards and Technologies by Vijay Ramachandran, Sean Brydon, Greg Murray. Inderjeet Singh, Beth Stearns, Thierry Violleau. J2EE 1.4 eases Web service development by Frank Sommers at http://www.javaworld.com/javaworld/jw-06-2003/jw-0620- webservices_p.html A developer’s introduction to JAX-RPC, Part 1 & 2 by Joshy Joseph at http://www- 128.ibm.com/developerworks/webservices/library/ Developing Web Services with Java 2 Platform, Enterprise Edition (J2EE) 1.4 Platform by Qusay H. Mahmoud at http://java.sun.com/developer/technicalArticles/J2EE/j2ee_ws/ Scriptless JSP Pages: The Front Man by Bear Bibeault at http://www.javaranch.com/journal/200603/Journal200603.jsp Advanced DAO programming by Sean Sullivan at http://www-128.ibm.com/developerworks/library/j-dao/ Understanding JavaServer Pages Model 2 architecture by Govind Seshadri at http://www.javaworld.com/javaworld/jw-12-1999/jw- 12-ssj-jspmvc_p.html A Fast Introduction to Basic Servlet Programming by Marty Hall at http://www.informit.com/articles/printerfriendly.asp/p=29817&r1=1 What’s new in J2Se 5.0? based on Joshua Bloch’s on-line talk. Introducing Java 5 by Andy Grant at http://www.sitepoint.com/print/introducing-java-5 Experiences with the New Java 5 Language Features by Jess Garms and Tim Hanson at http://dev2dev.bea.com/lpt/a/442 Five Favorite Features from 5.0 by David Flanagan at http://www.onjava.com/lpt/a/5799 First among equals by Kevlin Henney at http://www.regdeveloper.com/2005/12/29/first_among_equals/print.html Painting in AWT and Swing by Amy Fowler. A Hands-On Introduction for Developers by Randy Miller at http://bdn.borland.com/article/0,1410,31863,00.html www.javaworld.com articles. http://www-128.ibm.com/developerworks/java articles. http://www.devx.com/java articles. www.theserverside.com/tss articles. http://javaboutique.internet.com/articles articles. Books Beginning Java 2 by Ivor Horton. Design Patterns by Erich Gamma, Richard Helm, Ralph Johnson, John Vlissides (GoF) . UML Distilled by Martin Fowler, Kendall Scott . Mastering Enterprise Java Beans II by Ed Roman, Scott Ambler, Tyler Jewell, Floyd Marinescu. EJB Design Patterns by Floyd Marinescu . Sun Certified Enterprise Architect for J2EE Technology Study Guide by Mark Cade and Simon Roberts. Professional Java Server Programming - J2EE edition by Wrox publication. Design Patterns Java Companion by James W. Cooper (Free download: http://www.patterndepot.com/put/8/JavaPatterns.htm). Test Driven Development – By Example, by Kent Beck. Effective Java – programming language guide by Joshua Bloch
  • 45.
    352 INDEX INDEX Emerging Technologies/Frameworks What is the difference between Container Managed Briefly explain key features of the JavaServer Faces (JSF) Persistence (CMP) and Bean Managed Persistence framework? 339 (BMP)? 168 Explain Object-to-Relational (O/R) mapping? 323 What is the difference between EJB 1.1 and EJB 2.0? What Explain some of the pitfalls of Hibernate and explain how to is the difference between EJB 2.x and EJB 3.0? 169 avoid them? 333 What is the difference between EJB and JavaBeans? 164 Give an overview of hibernate framework? 324 What is the difference between optimistic and pessimistic Give an overview of the Spring framework? 334 concurrency control? 173 How would EJB 3.0 simplify your Java development What is the difference between session and entity beans? compared to EJB 1.x, 2.x? 337 168 How would the JSF framework compare with the Struts What is the difference between stateful and stateless framework? 341 session beans? 168 What are the benefits of IoC (aka Dependency Injection)? What is the role of EJB 2.x in J2EE? 163 322 Enterprise - J2EE What are the differences between OOP and AOP? 317 Explain J2EE class loaders? 105 What are the different types of dependency injections? 321 Explain MVC architecture relating to J2EE? 99 What are the pros and cons of annotations over XML based Explain the J2EE 3-tier or n-tier architecture? 97 deployment descriptors? 318 So what is the difference between a component and a What is aspect oriented programming? Explain AOP? 313 service you may ask? 96 What is attribute or annotation oriented programming? 317 What are ear, war and jar files? What are J2EE Deployment What is inversion of control (IoC) (also known as Descriptors? 101 dependency injection)? 319 What is J2EE? What are J2EE components and services? What is Test Driven Development (TDD)? 312 95 What is the difference between a service locator pattern What is the difference between a Web server and an and an inversion of control pattern? 323 application server? 101 What is the point of Test Driven Development (TDD)? 313 Why use design patterns in a J2EE application? 101 What is XDoclet? 319 Enterprise - JDBC Why dependency injection is more elegant than a JNDI Explain differences among java.util.Date, java.sql.Date, lookup to decouple client and the service? 323 java.sql.Time, and java.sql.Timestamp? 153 Enterprise - Best practices and performance How to avoid the “running out of cursors” problem? 152 considerations What are JDBC Statements? What are different types of Explain some of the J2EE best practices to improve statements? How can you create them? 147 performance? 223 What is a Transaction? What does setAutoCommit do? 147 Explain some of the J2EE best practices? 222 What is JDBC? How do you connect to a database? 145 Give some tips on J2EE application server performance What is the difference between JDBC-1.0 and JDBC-2.0? tuning? 222 What are Scrollable ResultSets, Updateable ResultSets, Enterprise - EJB 2.x RowSets, and Batch updates? 152 Can an EJB client invoke a method on a bean directly? 168 What is the difference between statements and prepared Discuss EJB container security? 174 statements? 153 Explain EJB architecture? 165 Enterprise - JMS Explain exception handling in EJB? 172 Discuss some of the design decisions you need to make Explain lazy loading and dirty marker strategies? 179 regarding your message delivery? 186 How can we determine if the data is stale (for example Give an example of a J2EE application using Message when using optimistic locking)? 174 Driven Bean with JMS? 189 How do you rollback a container managed transaction in How JMS is different from RPC? 180 EJB? 173 What are some of the key message characteristics defined How to design transactional conversations with session in a message header? 184 beans? 172 What is Message Oriented Middleware? What is JMS? 180 What are EJB best practices? 176 What type of messaging is provided by JMS? 185 What are isolation levels? 170 Enterprise - JNDI & LDAP What are not allowed within the EJB container? 174 Explain the difference between the look up of “java What are the implicit services provided by an EJB comp/env/ejb/MyBean” and “ejb/MyBean”? 156 container? 170 Explain the RMI architecture? 159 What are transactional attributes? 170 How will you pass parameters in RMI? 161 What is a business delegate? Why should you use a What are the differences between RMI and a socket? 161 business delegate? 176 What are the services provided by the RMI Object? 161 What is a distributed transaction? What is a 2-phase What is a JNDI InitialContext? 156 commit? 171 What is a remote object? Why should we extend What is a fast-lane reader? 178 UnicastRemoteObject? 160 What is a Service Locator? 178 What is an LDAP server? And what is it used for in an What is a session façade? 177 enterprise environment? 156 What is a value object pattern? 177 What is HTTP tunnelling or how do you make RMI calls What is dooming a transaction? 171 across firewalls? 161
  • 46.
    INDEX 353 What is JNDI? And what are the typical uses within a J2EE How do you get your servlet to stop timing out on a really application? 155 long database query? 118 What is the difference between RMI and CORBA? 161 How do you make a Servlet thread safe? What do you need Why use LDAP when you can do the same with relational to be concerned about with storing data in Servlet database (RDBMS)? 157 instance fields? 117 Enterprise - JSP How would you get the browser to request for an updated Explain hidden and output comments? 139 page in 10 seconds? 109 Explain the life cycle methods of a JSP? 133 HTTP is a stateless protocol, so, how do you maintain How will you avoid scriptlet code in JSP? 144 state? How do you store user data between requests? Is JSP variable declaration thread safe? 139 110 Tell me about JSP best practices? 143 If an object is stored in a session and subsequently you What are custom tags? Explain how to build custom tags? change the state of the object, will this state change 140 replicated to all the other distributed sessions in the What are implicit objects and list them? 137 cluster? 121 What are the differences between static and a dynamic What are the considerations for servlet clustering? 120 include? 137 What are the different scopes or places where a servlet can What are the different scope values or what are the save data for its processing? 110 different scope values for <jsp What are the ServletContext and ServletConfig objects? usebean> ? 137 What are Servlet environment objects? 115 What are the main elements of JSP? What are scriplets? What are the two objects a servlet receives when it accepts What are expressions? 134 a call from its client? 109 What is a JSP? What is it used for? What do you What can you do in your Servlet/JSP code to tell browser understand by the term JSP translation phase or not to cache the pages? 109 compilation phase? 126 What is a filter, and how does it work? 121 What is a TagExtraInfo class? 142 What is a RequestDispatcher? What object do you use to What is the difference between custom JSP tags and forward a request? 119 Javabeans? 142 What is pre-initialization of a Servlet? 119 Enterprise - Logging, testing and deployment What is the difference between CGI and Servlet? 108 Enterprise - Logging, testing and deployment 226 What is the difference between doGet () and doPost () or Give an overview of log4J? 225 GET and POST? 115 How do you initialize and use Log4J? 225 What is the difference between forwarding a request and What is the hidden cost of parameter construction when redirecting a request? 119 using Log4J? 225 What is the difference between HttpServlet and What is the test phases and cycles? 226 GenericServlet? 116 What is the difference between request parameters and Enterprise - Personal request attributes? 109 Have you used any load testing tools? 228 Which code line should be set in a response object before Tell me about yourself or about some of the recent projects using the PrintWriter or the OutputStream? 110 you have worked with? What do you consider your most significant achievement? Why do you think you are Enterprise - Software development process qualified for this position? Why should we hire you and What software development processes/principles are you what kind of contributions will you make? 228 familiar with? 230 What operating systems are you comfortable with? 228, 229 Enterprise - SQL, Tuning and O/R mapping What source control systems have you used? 228 Explain a sub-query? How does a sub-query impact on Which on-line technical resources do you use to resolve performance? 198 any design and/or development issues? 229 Explain inner and outer joins? 197 Enterprise - RUP & UML How can you performance tune your database? 199 Explain the 4 phases of RUP? 206 How do you implement one-to-one, one-to-many and many- What are the characteristics of RUP? Where can you use to-many relationships while designing tables? 199 RUP? 208 How do you map inheritance class structure to relational What are the different types of UML diagrams? 208 data model? 201 What is RUP? 206 How will you map objects to a relational database? How will What is the difference between a collaboration diagram and you map class inheritance to relational data model? 200 a sequence diagram? 213 What is a view? Why will you use a view? What is an What is the difference between aggregation and aggregate function? 201 composition? 213 What is normalization? When to denormalize? 199 When to use ‘use case’ diagrams? 209 Enterprise - Struts When to use activity diagrams? 213 Are Struts action classes thread-safe? 216 When to use class diagrams? 209 Give an overview of Struts? 214 When to use interaction diagrams? 211 How do you implement internationalization in Struts? 216 When to use object diagrams? 210 How do you upload a file in Struts? 216 When to use package diagrams? 210 What design patterns are used in Struts? 217 When to use statechart diagram? 212 What is a synchronizer token pattern in Struts or how will Why is UML important? 208 you protect your Web against multiple submissions? 215 Enterprise - Servlet What is an action mapping in Struts? How will you extend Briefly discuss the following patterns Composite view, View Struts? 217 helper, Dispatcher view and Service to worker? Or Enterprise - Web and Application servers explain J2EE design patterns? 123 Explain Java Management Extensions (JMX)? 219 Explain declarative security for Web applications? 122 What application servers, Web servers, LDAP servers, and Explain Servlet URL mapping? 125 Database servers have you used? 218 Explain the directory structure of a Web application? 114 What is a virtual host? 218 Explain the Front Controller design pattern or explain J2EE What is application server clustering? 219 design patterns? 122 What is the difference between a Web server and an Explain the life cycle methods of a servlet? 113 application server? 218
  • 47.
    354 INDEX Enterprise - Web and Applications servers Explain the Java I/O streaming concept and the use of the Explain some of the portability issues between different decorator design pattern in Java I/O? 42 application servers? 220 Explain threads blocking on I/O? 61 Enterprise - XML Give a few reasons for using Java? 14 Explain where your project needed XML documents? 196 Give an example where you might use a static method? 46 How do you write comments in an XML document? 195 How can threads communicate with each other? How would What is a CDATA section in an XML? 194 you implement a producer (one thread) and a consumer What is a namespace in an XML document? 195 (another thread) passing data (via stack)? 59 What is a valid XML document? 195 How can you improve Java I/O performance? 44 What is a version information in XML? 194 How do you express an ‘is a’ relationship and a ‘has a’ What is a well-formed XML document? 195 relationship or explain inheritance and composition? What is the difference between a SAX parser and a DOM What is the difference between composition and parser? 190 aggregation? 18 What is XML? And why is XML important? 190 How does Java allocate stack and heap memory? Explain What is XPATH? What is XSLT/XSL/XSL-FO/XSD/DTD re-entrant, recursive and idempotent etc? What is JAXB? What is JAXP? 191 methods/functions? 48 What is your favorite XML framework or a tool? 196 How does the Object Oriented approach improve software Which is better to store data as elements or as attributes? development? 18 191 How does thread synchronization occurs inside a monitor? Why use an XML document as opposed to other types of What levels of synchronization can you apply? What is documents like a text file etc? 196 the difference between synchronized method and How would you go about...? synchronized block? 58 How would you go about applying the design patterns in How will you call a Web server from a stand alone Java your Java/J2EE application? 253 application? 64 How would you go about applying the Object Oriented (OO) If 2 different threads hit 2 different synchronized methods in design concepts in your Java/J2EE application? 247 an object at the same time will they both continue? 61 How would you go about applying the UML diagrams in If you have a circular reference of objects, but you no your Java/J2EE project? 249 longer reference it from an execution thread, will this How would you go about describing the open source object be a potential candidate for garbage collection? projects like JUnit (unit testing), Ant (build tool), CVS 53 (version control system) and log4J (logging tool) which What are “static initializers” or “static blocks with no function are integral part of most Java/J2EE projects? 292 names”? 17 How would you go about describing the software What are access modifiers? 46 development processes you are familiar with? 251 What are some of the best practices relating to Java How would you go about describing Web services? 3, 299 collection? 30 How would you go about designing a Java/J2EE What are the advantages of Object Oriented Programming application? 240 Languages (OOPL)? 18 How would you go about designing a Web application What are the benefits of the Java Collections Framework? where the business tier is on a separate machine from 29 the presentation tier. The business tier should talk to 2 What are the flow control statements in Java 55 different databases and your design should point out the What are the non-final methods in Java Object class, which different design patterns? 286 are meant primarily for extension? 34 How would you go about determining the enterprise What are the usages of Java packages? 15 security requirements for yor Java/J2EE application?287 What do you know about the Java garbage collector? When How would you go about documenting your Java/J2EE does the garbage collection occur? Explain different application? 239 types of references in Java? 51 How would you go about identifying any potential thread- What do you mean by polymorphism, inheritance, safety issues in your Java/J2EE application? 245 encapsulation, and dynamic binding? 19 How would you go about identifying any potential What is a daemon thread? 59 transactional issues in your Java/J2EE application? 246 What is a factory pattern? 62 How would you go about identifying performance and/or What is a final modifier? Explain other Java modifiers? 46 memory issues in your Java/J2EE application? 243 What is a singleton pattern? How do you code it in Java? 61 How would you go about improving performance in your What is a socket? How do you facilitate inter process Java/J2EE application? 244 communication in Java? 64 How would you go about minimizing memory leaks in your What is a user defined exception? 55 Java/J2EE application? 244 What is design by contract? Explain the assertion construct? 22 Java What is serialization? How would you exclude a field of a Briefly explain high-level thread states? 58 class from serialization or what is a transient variable? Discuss the Java error handling mechanism? What is the What is the common use? 41 difference between Runtime (unchecked) exceptions What is the difference between “==” and equals(…) and checked exceptions? What is the implication of method? What is the difference between shallow catching all the exceptions with the type “Exception”? 53 comparison and deep comparison of objects? 33 Explain different ways of creating a thread? 57 What is the difference between aggregation and Explain Java class loaders? Explain dynamic class loading? composition? 19 15 What is the difference between an abstract class and an Explain Outer and Inner classes (or Nested classes) in interface and when should you use them? 24 Java? When will you use an Inner Class? 49 What is the difference between an instance variable and a Explain some of the new features in J2SE 5.0, which static variable? Give an example where you might use a improves ease of development 65 static variable? 46 Explain static vs dynamic class loading? 16 What is the difference between C++ and Java? 14 Explain the assertion construct? 24 What is the difference between constructors and other Explain the Java Collections Framework? 26 regular methods? What happens if you do not provide a
  • 48.
    INDEX 355 constructor? Can you call one constructor from another? How would you improve performance of a Java application? How do you call the superclass’ constructor? 17 78 What is the difference between final, finally and finalize() in Why does the JVM crash with a core dump or a Dr.Watson Java? 47 error? 81 What is the difference between processes and threads? 56 Java - Personal What is the difference between yield and sleeping? 58 Did you have to use any design patterns in your Java What is the main difference between a String and a project? 83 StringBuffer class? 38 Do you have any role models in software development? 88 What is the main difference between an ArrayList and a How do you handle pressure? Do you like or dislike these Vector? What is the main difference between HashMap situations? 85 and Hashtable? 25 Java – Behaving right in an interview 89 What is the main difference between pass-by-reference and Tell me about yourself or about some of the recent projects pass-by-value? 40 you have worked with? What do you consider your most What is the main difference between shallow cloning and significant achievement? Why do you think you are deep cloning of objects? 45 qualified for this position? Why should we hire you and What is the main difference between the Java platform and what kind of contributions will you make? 83 the other software platforms? 14 What are your career goals? Where do you see yourself in What is type casting? Explain up casting vs down casting? 5-10 years? 85 When do you get ClassCastException? 50 What do you like and/or dislike most about your current When is a method said to be overloaded and when is a and/or last position? 84 method said to be overridden? 25 What past accomplishments gave you satisfaction? What When providing a user defined key class for storing objects makes you want to work hard? 88 in the HashMaps or Hashtables, what methods do you What was the last Java related book or article you read? 87 have to provide or override (i.e. method overriding)? 36 Which Java related website(s) or resource(s) do you use to When should you use a checked exception and when keep your knowledge up to date beyond Google 88 should you use an unchecked exception 55 Why are you leaving your current position? 84 When to use an abstract class? 25 Why do you want to work for us? 88 When to use an interface? 25 Java - Swing Where and how can you use a private constructor? 46 Explain layout managers? 74 Why is it not advisable to catch type “Exception”? 54 Explain the Swing Action architecture? 70 Why should you catch a checked exception late in a catch Explain the Swing delegation event model? 75 {} block? 55 Explain the Swing event dispatcher mechanism? 73 Why should you throw an exception early? 54 How does Swing painting happen? How will you improve Why there are some interfaces with no defined methods the painting performance? 70 (i.e. marker interfaces) in Java? 25 How will you go about building a Swing GUI client 69 Why would you prefer a short circuit “&&, ||” operators over If you add a component to the CENTER of a border layout, logical “& , |” operators 47 which directions will the component stretch? 72 Java - Applet What do you understand by MVC as used in a JTable? 74 How will you communicate between two Applets? 76 What is the base class for all Swing components? 72 How will you initialize an applet? 76 What is the difference between AWT and Swing? 69 How would you communicate between applets and Java/J2EE - Personal servlets? 76 What are your strengths and weaknesses? Can you What is a signed Applet? 76 describe a situation where you took initiative? Can you What is the difference between an applet and an describe a situation where you applied your problem application? 77 solving skills? 85 What is the order of method invocation in an applet? 76 Key Points Java - Performance and Memory issues Enterprise - Key Points 233 How would you detect and minimize memory leaks in Java? Java - Key Points 91 81
  • 49.