KEMBAR78
Sap sd-user-manual | PDF
USER MANUAL
FOR
SALES AND DISTRIBUTION
Submitted to

1
Table of Contents
A. MASTER DATA IN SALES AND DISTRIBUTION ……………………………………………….6
1 Customer Master ……………………………………………………………………………………..6
a) Creating Customer Master ……………………………………………………………………….6
b) Changing The Customer Master…………………………………………………………………19
c) Create Contact Person……………………………………………………………………………22
2. Material Master ……………………………………………………………………………………..25
a) Extending Sales View……………………………………………………………………………26
b) Extending the Sales Area from existing Sales Area……………………………………………..36
3 Pricing Condition records…………………………………………………………………………...42
a) Creating Condition Records …………………………………………………………………….44
i) Condition Record for Price …………………………………………………………………...44
ii) Condition Record for Excise Duty …………………………………………………………..46
iii) Condition Record for Sales Tax …………………………………………………………….49
b) Change/ Display Condition Records ……………………………………………………………51
4 Output Condition Record ………………………………………………………………………….51
5 Maintenance of Customer Related Excise details ………………………………………………….54
6 Maintenance of Excise Bond for Export under Bond ……………………………………………...56
B. BUSINESS PROCESS………………………………………………………………………………60
1 Sales MTO………………………………………………………………………………………….60
Create Inquiry ………………………………………………………………………………….60
Create Quotation…………………………………………………………………………………...64
Create Order Acceptance ………………………………………………………………………….83
Create Proforma Invoice…………………………………………………………………………...96
Availability Check ………………………………………………………………………………..101
Create Delivery……………………………………………………………………………………104
Creating Billing Document ……………………………………………………………………….109
Changing the Tax Value if Concession form is not issued by the customer ……………………..114
Adding Header Conditions like Freight etc. ……………………………………………………...119
Create Excise Invoice …………………………………………………………………………….121
2 Agent Sales ………………………………………………………………………………………126
Sales Returns …………………………………………………………………………………….129
3 Create Return Sales Order ………………………………………………………………………..129
Create Returns Delivery ………………………………………………………………………….133

2
Create Credit for Returns ………………………………………………………………………...135
Capture Excise Duty ……………………………………………………………………………..137
4 Exports Under Bond ………………………………………………………………………………144
Create Inquiry …………………………………………………………………………………144
Create Quotation ………………………………………………………………………………….146
Create Export Order ………………………………………………………………………………151
Create Export Delivery …………………………………………………………………………...154
Create Export Invoice ………………………………………………………………………….156
Create Excise Invoice .……………………………………………………………………………160
Create ARE1 ……………………………………………………………………………………...161
Post ARE1 ……………………………………………………………………………………......164
Update ARE1 …………………………………………………………………………………......165
Print ARE1 Document ……………………………………………………………………………174
Closing ARE1 …………………………………………………………………………………….175
5 Exports Under LOU ………………………………………………………………………………177
6 Deemed Export ……………………………………………………………………………………178
Create Excise Invoice ………………………………………………………………………….178
Create ARE3 ……………………………………………………………………………………..178
7 Export No Bond …………………………………………………………………………………...179
8 Cancellation of Invoice ……………………………………………………………………….. ….180
9 Reversal of Post Goods Issue ……………………………………………………………………..181
10 Trading Sales ………………………………………………………………………………..…....182
Create Sales Order ……………………………………………………………………………….183
11 Creation of debit Memo Request …………………………………………………………………189
Debit Memo …………………………………………………………………………………….197
12 Service and Spare Sales …………………………………………………………………………..198
Create Inquiry …………………………………………………………………………………...198
Under Warranty Scenario ……………………………………………………………………….202
Create Sales Order ………………………………………………………………………………202
Non Warranty Scenario ………………………………………………………………………..207
Create Quotation ………………………………………………………………………………..207
13. Scrap Sales ……………………………………………………………………………………….217
Create Sales Order ……………………………………………………………………………...217
Create Delivery ………………………………………………………………………………...227
Creating Billing Document …………………………………………………………………….231
14. Annual Maintenance Contract …………………………………………………………………...234
Create Inquiry …………………………………………………………………………………..234
Create Quotation ………………………………………………………………………………..239
Create Contract …………………………………………………………………………………247
Creating Billing Document ……………………………………………………………………..254
15. Retrofit and Job Work Sales …………………………………………………………………….257
Create Inquiry ……………………………………………………………………………………257
Create Quotation …………………………………………………………………………………262
Create Order Acceptance ………………………………………………………………………...273

3
Create Delivery …………………………………………………………………………………..279
Creating Billing Document ………………………………………………………………………283
Create Excise Invoice ……………………………………………………………………………286

C. REPORTS IN SALES AND DISTRIBUTION ………………………………………………………
1 LISTS …………………………………………………………………………………………………
List of Sale Orders VA05 ………………………………………………………………………….
List of Sale Orders VA05N …………………………………………………………………………
Outbound Delivery Monitor VL06O ………………………………………………………………..
List of Billing Documents VF05 …………………………………………………………………….
List Of Billing Documents VF05N ………………………………………………………………….
Billing Due List VF04 ………………………………………………………………………………
List of Blocked Billing Documents VFX3 ………………………………………………………….
Price List V/LD with option 15 ……………………………………………………………………..
2 Reports ……………………………………………………………………………………………….
ANALYSIS CUSTOMER MCTA …………………………………………………………………
ANALYSIS MATERIAL MCTC ……………………………………………………………………
ANALYSIS SALES ORGANIZATION MCTE ……………………………………………………
ANALYSIS SALES EMPLOYEE MCTI …………………………………………………………..
ANALYSIS SALES OFFICE MCTG ……………………………………………………………….
D. APPENDIX ……………………………………………………………………………………………
1. Important Icons in Various SD Screens …………………………………………………………….
a) SAP EASY ACCESS SCREEN ………………………………………………………………….
b) Icons ……………………………………………………………………………………………….
2. Various Fundamental Aspects to be considered for executing Transactions…………………………
a) Account Groups used in Customer Master………………………………………………………..
b) Tax Codes being used in this configuration in present Scenario………………………………….
c) Tips to select the Customer, Material etc. ………………………………………………………...

4
A. MASTER DATA IN SALES AND DISTRIBUTION
Master Data forms the backbone in Sales and distribution module (hereafter will be shortly called as “SD”)
as any other modules in SAP. The Primary level of Masters in SD are:
1. Customer Master
2. Material Master (Sales Views)
3. Pricing Conditions

The Secondary level of one of the Masters in SD is:
1. Output Conditions
Pl refer the Appendix for the SAP EASY Access Screen details

1 Customer Master
a) Creating Customer Master
The Customer has to be created in the System
SAP R/3 menu

Logistics  Sales and Distribution  Master Data
Business Partners Customer  Create Complete

Transaction code

XD01

5
Click select icon and select
the Account Group ex. ASK1
Enter Customer number, Account
Group having external number range

Enter Co
Code -1800

1810 for Domestic Sales 1820 for exports
10 – Direct Sales 20 – Agent Sales
30 – Institutional Sales 40 – Distributor Sales

10 – Turning Center
20 – Machining Center
30 – Service
40 – Trading
50 - Common

Clicking this tab will show all
the sales area available for a
customer. Mainly used in
Change/Display Modes
Clicking this tab will show all
the possible sales areas.

When creating a customer with reference to other
customer with similar details, the reference
customer can be entered here.
Refer Appendix for Account Group Details.
We take an example of creating a Sold-To-Party for the Domestic Customer. Account Group to be selected:
ASK1 ASKAR Microns Sold-To-Party Company Code 1800, Sales Organization – 1810, Distribution
Channel – 10, Division – 10.

6
Click Here

The Subsequent screen will be:

7
External number
range

(Note: The Customer Master has 3 broad sections:
a) General Data: Address and other details will be entered here.
b) Company Code Data: Accounting related data will be entered here.
c) Sales Area Data: SD related data will be entered here.)
The Screen above shows the ADDRESS TAB of the General Data Section and the details like Name,
Address shall be entered here. The Symbol
shows the required entry ie., without which you cannot
proceed further.

The Screen after filling up the details will be as follows:

8
Clicking “More
Fields” Icon will
show more fields for
filling up detailed
address, if needed
Clicking this icon will display the
possible input values for a field

The Region field is very important for determining the appropriate tax like CST, LST, VAT etc.
As all the required fields are filled up, we can proceed to the CONTROL TAB of the GENERAL DATA
section by clicking the control tab as above.
The CONTROL TAB section will be as follows:

9
There is 1 important field to be filled up:
VAT Reg. NO.: In VAT Scenario, this field is very important. If the concerned customer is VAT Registered
dealer, then his 11 digit TIN Number is entered here. Based on this, during invoicing VAT Invoice will be
generated for the customer. Otherwise Bill Of Sale will be generated.

Now click the
will be “Account Management”.

tab shown by arrow. The Default screen under Company Code Data

10
2640000 – Sundry Debtors – Domestic
2640001 – Sundry Debtors - Exports

This Reconcilliation account is used for Customer Payment Reconciliation. The following GL accounts are
used:

Next click the Payment Transactions Tab.

11
Suitable payment terms shall be chosen from the drilldown list. This payment terms shall be changed
manually in the sales order and the payment due shall be based on the payment terms.
Payment Methods shall be: C – Cheque E – Cash Payment T- Bank Transfer. We can select either one or all
the methods.
Now click the “Correspondence” Tab

12
Enter the Dunning Procedure as above. This dunning procedure will generate the dunning letters for the
overdue payments.
Now click the

Tab . The default screen will be “Sales”

13
Exchange rate type “M”
has to maintain for Export
Customer.

Sales Order
Sales Office shall be selected from the input help by clicking the drill down button

.

All the above fields help us a lot in analyses.
Enter The Currency. Usually it is “INR” for the domestic customer and for the export customer, appropriate
Currency shall be maintained like “USD”. Further exchange rate type “M” shall also be maintained for the
Export Customer.

14
Pricing
Customer Pricing Procedure plays an important role along with Document Pricing Procedure in arriving at
specific pricing procedure. For example Customer pricing Procedure “1” and the Document Pricing
Procedure “A” along with sales Area 1810 10 10 will select the AMPL MTO Pricing Procedure.
Customer Statistics Group along with Material statistics Group in Material Master will update the
information systems for all the Sales transactions. Always fill “1” in this field.
Now Click the SHIPPING Tab

Shipping Conditions along with Loading Group in Material Master and Plant shall determine the Shipping
Point for Delivery in Logistics Execution.
Now clock the BILLING Tab

15
The INCOTERMS and the PAYMENT TERMS also to be appropriately picked after drilling down and
choosing from the Input Help.

16
ACCOUNT ASSIGNMENT GROUP in Customer Master along with Account Assignment Group in
Material Master along with Sales Organisation/AccountKey/ChartofAccounts helps the system in deciding
the correct GL Account.
The Tax classification fields shall be filled with appropriate values from the INPUT Help. For example the
customer is in Maharastra and is buying from Mysore plant where generally CST 3% is applicable on
products being sold, then the option “4” under VAT 4% shall be chosen and for all the other tax conditions,
option “0” has to be chosen as they are not applicable. When creating sale order/invoicing, the system based
on the tax classification details in Customer master and material master and the region of the delivering
plant and the region of the customer shall calculate appropriate tax and the tax registers will be updated
accordingly.
Now Click the Partner Functions Tab

The Partner Functions SP,SH,PY and BP will be defaulted. The Partner Function CR - Forwarding Agent
shall be manually entered.
Now save the customer master.
The message as below is displayed.

17
b) Changing the Customer Master
Note: The Customer thus created, can be modified further using Transaction code: XD02. Example: The
Customer’s Door No. is to be modified and the Customer Tax Classification has to be modified in Billing
View of Sales Area data. This can be executed in change mode. The Customer Change Screen is as follows
(self explanatory):

Click here after entering the
Customer number and the
company code and all the
possible sales areas will be
displayed.

18
Click the
button above. Enter the Door No. and Select the
button and then the “Billing
Documents” Tab. Modify the Tax Classification from “0”( Nil Excise, Nil Tax) to “2”( Full Excis,3% CST)
as the case may be.

19
20
Then click the

- save icon to save the changes made. The message will be as follows:

For mere display of details transaction Code “XD03” can be used.

c) Create Contact Person
The Customer has to be created in the System
SAP R/3 menu

Logistics  Sales and Distribution  Master Data
Business Partners Contact Person  Create

Transaction code

VAP1

21
Enter
Customer
No.

Continue to press Enter, you will get new screen as bellow:

22
Title and Last name is
mandatory in this screen
balance available data you
can fill.

Press save icon, you will get bellow message:

23
Press Enter you will get billow message:

2 Material Master
For any sales transactions, Material code is important apart from Customer code. The Material is created in
the system by the Materials Department. The Person responsible for Sales related Materials has to extend
the sales views only after the relevant materials are created in the system.

24
a) Extending Sales View
SAP R/3 menu

Logistics  Sales and Distribution  Master Data
Products Material  Other MaterialCreate

Transaction code

MM01

Material Master has many views being maintained by different functions.

Sales & Distribution Module will be concerned with maintaining the Sales Views. Material code with Basic
data will be created with other relevant views by Materials Department. Now the person responsible for
maintaining the Sales Views has to extend the sales views as illustrated in the following steps:

25
Enter the material code already created and
press “ENTER”. Industry Sector and Material
Type will be defaulted and the Select view
screen will Pop-Up
If the material to be extended from one sale area to
other sale area, the material code can be entered here
also

26
Continue to Press “Enter” and then Selection view will pop-up as below, where you have to select views
related to SD:

27
Hitting this tab will make the
above selections default one.
Use it only for repeated entries.

Click here and one more
pop-up for entering
Organizational details
will appear

28
Enter the Plant, Sales Organization and Distribution Channel for which the material to be created(extended).
Repeated entries has to be made for various materials with the above selections, then the above selection
can be made default values by hitting

button. Now press

29

to proceed.
Just observe the message which says the material has been already created and being extended only.
Note: There are many fields, all of which need not be entered. Only those fields which are essential from
operational/statistical aspects are instructed to be entered here.

30
Enter appropriate
division

Enter Tax Classification and press
ENTER (Main Screen for Tax
maintenance will pop up)
This value is defaulted from the previous
views maintained by the materials
Department. This material group is
concerned with Material grouping from MM
point of view

Note: As already mentioned for customer tax classification, the entry in Tax Classification against each
condition types plays a vital part in correct tax determination during sale order creation and invoicing.

31
The data maintained in this view are vital for analysis. Each will be explained briefly.
Material Statistics Group: Enter “1” always. This field has to be entered without fail. The value in this field
along with Customer Statistical Group maintained in customer master will update the information system.
Gen Item Category Group and Item Category Group: Generally for Finished Products(Material Type:
FERT) “ NORM” will default in both the fields. Here in this example for Semifinished Products(Material
Type: HALB) vale “ NORM” however can be filled. In sales order processing, based on the sales Document
Type, the system determines the Item category of the material entered based on the Item Category Group
found here. (Pricing, Billing Relevance etc. are controlled by the item category)

32
The Sales:
Salesorg. 2 view after filling up the details are as follows:

Now click on the Sales:General/Plant View

33
Always enter ZSER if
Material is FG, like
Spinner 15, Spinner dot
com. and Spinner 22

Transportation Group: 0001 grouping of materials that share the same route and transportation
requirements. Always maintain 0001.
Loading Group: This loading Group along with Shipping Condition value from shipping tab of customer
master and the plant code will help the system in determining the shipping point. Always maintain 0001.

Press ENTER and pop up will prompt for saving the record and press ENTER again and the message will
be displayed

34
b) Extending the Sales Area from existing Sales Area
Example: Material to be extended from sale area 1810 10 to 1820 10.
Enter the material code as shown below:

press ENTER. Observe the screen for messages.

Press ENTER again and the selection view pop-up will come. Select the sales views as shown below:

35
press the

button and again a pop-up will come.

36
In the copy from portion, enter the existing organizational details ie., Plant – 1800, Sales Org – 1810,
Distribution Channel – 10. Under Organizational levels enter the plant and sales org and distribution
channel for which the material being extended.

Press

button.

37
Since almost all the details are same go on press “ENTER” till the system prompts for saving (if any field to
be modified, it can be suitably done).

38
Press “ENTER” to continue.

39
Press ENTER. A Pop – Up will prompt you to save.
Press ENTER to save the Material Master. Material Master saved with the below message.

To Change the material use the Transaction Code MM02 and for Display use the Transaction code MM03.

40
3 Pricing Condition records
Pricing in SD is either automatic or manual. If the pricing is to be automatic, then the condition records to
be maintained in the system for suitable combinations so that system will pickup the price based on the
combination and the selection will be made based on the access sequence.
The following are the various condition types with suitable combinations being used:
Table 1

Description

Available Combination

Pricing Combination
generally chosen

Remarks

ZBP1

PRICE STD

a) Customer / Material with release
status
b) Price list Category / currency /
Material with release status
c) Material with release status

b) Price list Category /
currency /
Material with release status
c) Material with release status

For Domestic sales
pricing combination
(C) is chosen. For
Export sales pricing
(B) combination is
chosen

ZDIS

Material Discount

a) Material with release status
b) Customer with release status

a) Material with release status

ZPNF

packing n forwarding

Header condition no combination

Condition Type

Description

Available Combination

Condition Type

UTXJ

Tax Jurisdiction Code

a) Country / Plant / Region / Tax cl. 1
Cust / Tax Cl. Material.
b) Country / region / Plant region
c) Export taxes
d) Country / State / Customer Classifi.1 /
Material Classif. 1

41

Select manually
whenever required in
order

Pricing Combination
generally chosen

d) Country / State / Customer
Classifi.1 / Material Classif. 1

Remarks

For Domestic Sales
chose (d). For
Export sales chosen
(C).
JMOD

IN:A/R BED

Tax Classification

Tax Classification

JCES

IN: A/R Cess

Tax Classification

Tax Classification

JECS

IN: A/R Ed. Cess

Tax Classification

Tax Classification

Excise Duty @ 16%

a) Sales Organization /
Country.
b) Sales Organization

Destination

JEX2

Edu. Cess @ 2%

a) Sales Organization /
Country.
b) Sales Organization

Destination

ZECS

S&H Edu.Cess @ 1%

a) Sales Organization /
Country.
b) Sales Organization

Destination

JHEC

JIN1

IN A/R CST

a) Departure Country / Destination
Country.
b) Domestic Tax
c) Export Tax
d) Country / Plant / Region

JIN6

IN A/R VAT

a) Sales Organization /
Country.
b) Sales Organization

Condition Type

Description

Available Combination

Service Charges

a) Customer / Material with release
status
b) Price list Category / currency /
Material with release status
c) Material with release status

Service Discount %

a) Customer / Material with release
status
b) Vendor
c) Sales Org. / Distr. Chl / Division /
Customer / Vendor

Service Discount

a) Customer / Material with release
status
b) Vendor
c) Sales Org. / Distr. Chl / Division /
Customer / Vendor

ZLCR

ZSVP

ZSVD

42

b) Sales Organization

b) Sales Organization

b) Sales Organization

b) Domestic Tax

Destination
b) Sales Organization

Pricing Combination
generally chosen

N/A

N /A

N /A

Remarks
Manual condition
type not required
any of these
combination.
Manual condition
type not required
any of these
combination
Manual condition
type not required
any of these
combination
IN A/R SERVICE TAX%

a) Departure Country / Destination
Country.
b) Domestic Tax
c) Export Tax
d) Country / Plant / Region

d) Country / Plant / Region

IN A/R Service Ed. Cess 2%

a) Departure Country / Destination
Country.
b) Domestic Tax
c) Export Tax
d) Country / Plant / Region

d) Country / Plant / Region

JSHE

Service SHE-Cess 1%

a) Departure Country / Destination
Country.
b) Domestic Tax
c) Export Tax
d) Country / Plant / Region

d) Country / Plant / Region

IN A/R TCS%

a) Material with release status

a) Material with release status

ZSTX

JSEC

UTXJ/JMOD/JEX2/JECS/JCES/JIN1/JIN6/ZSTX/JSEC/JSHE are Tax Conditions and hence appropriate
tax codes to be entered during creation of condition records. For Other Condition types, we cannot enter tax
codes as it is not necessary. We shall see the examples which are fairly representative.

a) Creating Condition Records

SAP R/3 menu

Logistics  Sales and Distribution  Master Data
Conditions Select Using Condition Type Create

Transaction code

VK11

i) Condition Record for Price

43
Click here

After clicking

the pop up will be as follows:

Refer the table for clarification. Choose the last option and click

44
Enter 1. Sales Org 2. Distribution Channel 3. Material Code 4. Amount 5. Unit – INR or appropriate
currency 6.Valid From date 7. Valid to date

If dates are not entered, then the system will default current date for valid from date and 31.12.9999 for
ValidTo date which can be modified. Now save the condition record using save icon
. We can enter as
many materials for this combination of sales organization and distribution channel.
Message

is displayed

ii) Condition Record for Excise Duty
SAP R/3 menu

Logistics  Sales and Distribution  Master Data
Conditions Select Using Condition Type Create

Transaction code

VK11

45
On clicking the key combination, the following pop-up will appear

Select the 2nd option from the top. ie., Sales Org/ Destination Country by selecting the radio button and
clicking

. This will take us to the Create Fast Entry screen as shown below:

46
Enter
Amount

Enter Sales
Org.

Enter From and
To dates for
validity
After entry the screen is as follows

Save the condition by clicking

. Message

is displayed.

Similarly For Condition Type ZECX (Ecess) and JHEC (H.E.Cess) condition record has to be created.

47
iii) Condition Record for Sales Tax
SAP R/3 menu
Transaction code

VF11

Select the option Tax Classification and click

to continue.

48
Enter
appropriate
tax code..

Enter Amount

Enter
appropriate
tax code

Save the condition record.

Similarly sales tax to be maintain for JIN1.
For Service Tax, ECess on Service Tax, Individually condition records to be maintained as per the
combinations mentioned in the table referred above. Appropriate Tax Codes shall also be referred under
Appendix.

49
b) Change/ Display Condition Records
SAP R/3 menu

Logistics  Sales and Distribution  Master Data
Conditions Select Using Condition Type Change

Transaction code

VK12/FV12

SAP R/3 menu

Logistics  Sales and Distribution  Master Data
Conditions Select Using Condition Type Display

Transaction code

VK13/FV13

The Condition records created can be changed or displayed using the above Menu Path/Transaction Codes.
The input data in the form of Organizational data/Material etc. to be provided to fetch the data.

4 Output Condition Record
Outputs are issued from SAP as a result of various transactions being executed. Particularly in SAP, there
are various OUTPUTS like, Order Confirmation, Delivery Note, Invoice etc. are being generated in the
system. In this implementation, the Invoice output only being considered for SD Module.
The following output types are available:
ZRD0 – Factory Invoice Output , ZRD1 – Depot Invoice Output , ZRD2 – Export Invoice Output
This output shall be generated automatically based on the condition records. We shall take an example of
creating condition record for Billing Output for Factory Invoice.
SAP R/3 menu

Logistics  Sales and Distribution Master Data 
Output Billing Document→ Create

Transaction code

VV31

50
2. Click here

1. Enter the output
type
The Popup will be like this.

Press continue

to proceed.

51
Enter the billing type and press “ENTER”. The other details will default as shown above. Flag the line item
and click the

tab to define the printer.

52
Enter the Printer “LOCAL” and make settings as above and save. All the other output records are to be
created as shown above. Condition record is saved with the following message:
.
To change the output condition record, transaction code is VV32. For mere Display, use the Transaction
code VV33.

5 Maintenance of Customer Related Excise details
Customer Related Excise and Sales Tax details are to be maintained in the system. For this we have to go to
India Localization Menu using Transaction Code: J1ILN
India Localization menu

SAP Menu→Indirect Taxes→Master Data→Excise Rate
53
Maintenance
Transaction code

J1ID

Select the Customer excise details and Press

Click the

to continue.

and enter the details.

54
Details like LST no., CST no. etc., are to be provided. For Domestic Customer, without fail, the Customer
Excise Indicator “1” has to be maintained as shown below:

Save the above entries using the Save

icon.

6 Maintenance of Excise Bond for Export under Bond
For Exports under Bond/Letter of Undertaking, Excise Bond/Letter of Undertaking issued by authorities are
to be captured in the system.

India Localization menu

SAP

Menu→Indirect

55

Taxes→Master

Data→Excise
Bond→Create
Transaction code

J1IBN01

Enter the Plant code ie., 1800
Bond Type as applicable by selecting from the list,
Bond no. as per Excise Department has to be entered as it is appearing in the Physical document.
Bond Value as per the Bond. This value will be Nil for Letter of undertaking (LOUT).
Type of Dispatch Select Single or Multiple Dispatches as applicable

56
Upon saving the entries, system will generate the document number for reference.

Specimen screen shot for LOUT (Letter of Undertaking)

57
Note: Enter value under Bond value and press enter the Bond value field will disappear for LOUT.

58
B. BUSINESS PROCESS
1 Sales MTO
MTO Scenario is explained here step by step. Inquiries receive from the customers.
Sales made from the factory is explained here step by step. Orders are received from the customers verbally
or as purchase order. Stock items are delivered for the ordered quantity and invoice raised and sent to the
customer for payment. (sale order entry and other documents will be explained in detail for this process
only).

Create Inquiry
SAP R/3 menu

Logistics  Sales and Distribution Sales  Inquiry 
Create

Transaction code

VA11

First we have to select appropriate sales Organization, Distribution Channel and Division. The Sales
organization is 1810, the Distribution Channel is 10 for direct sales and the Division 10 is for Turning

59
Center. (SalesOrganization+Distribution Channel+Division constitute a sales area). The sales Office is
optional entry which helps a lot for reporting purposes. After the organizational data is entered, now select
the Inquiry type and drill down and all the Inquiry documents assigned to the sales area will be displayed
like as bellow:

Select the Inquiry Type ZIN1 for MTO Direct sales.

60
Now press ENTER to continue. The Overview screen will be as follows:

61
Enter Customer No.

If the ship-to party is different
from sold-to-party, then enter
the ship-to party
Inquiry Validity needs
to enter

Enter Material
Code

Enter Material
quantity

The customer details shall be fetched from the customer master and the material details will be collected
from the sales views of the material master. The pricing details will flow from the appropriate pricing
condition records.
Once entered all necessary field will get screen as bellow:

62
Click on save icon. You will get as bellow message:

Create Quotation
SAP R/3 menu

Logistics  Sales and Distribution Sales  Quotation
 Create

Transaction code

VA21

63
Select radio button you will get list of Quotation as billow:

64
Select required quotation type. Example ZQSO and ENTER.

65
Click on Create with
reference icon.

Click on Create with reference icon you will get new screen as shown billow:

66
67
Enter Inquiry Number.

Select Copy icon, you will get new screen as shown follows:

68
All the details shall be fetched from the Inquiry document.

69
Enter quotation Valid to field. Click on forwarding icon until you get Material groups fields like as billow.

70
71
Fill all 5 material groups by selecting drop down list. Then press ENTER to go to main screen.
1)
2)
3)
4)
5)

C / H Form required, not required or received.
Commissioning required, not required or done.
CT3 Form required, not required or received.
Road permit Form required not required or received.
Under warranty, Non warranty or not relevant.

72
Select the line item by using select icon. And click on Item condition icon you will get new screen as
billow shown:

73
Check here all conditions like.
ZBP1 for Price, JEX2 for Excise duty 16%. Etc. Select Back icon to reach main screen.

74
Step 1: Select
the Material

1) Step 1: Select the Material
2) Step 2: Click on Goto icon and select shipping screen as shown, you will get new screen as shown
billow:

75
Enter Net weight and
Gross weight.

Click on Billing document tap page, you will get new screen as shown billow.

76
Need to select Incoterms by selecting Radio button to get list of Incoterms. Select which is required.
Incoterms is nothing but transportation planning. How we are supply the material to the Customer. Example
selects ZDD - Door Delivery. It will look like as billow.

77
Click on Back button to go back to main screen.

78
Click on Header detail icon to complete text details. You will get new screen as follows:

79
Click on Texts tap page to view text details.

80
Here we can add additional details like:
Click on the field Terms & Condition to write details of terms and condition and also you can download by
clicking on Load local file icon.

81
Continue to do the other required texts same. You can right your own and also download. If you want to
right your own click on the text type you want example Prepared by and enter name.

Select Save icon to save the document. You will get the message as follows.

Create Sales Order (Order Acceptance)
SAP R/3 menu

Logistics  Sales and Distribution Sales  Order
Create

Transaction code

VA01

82
First we have to select appropriate sales Organization, Distribution Channel and Division. The Sales
organization is 1810, the Distribution Channel is 10 for Direct sales and the Division 10. (Sales
Organization + Distribution Channel + Division constitute a sales area). The sales Office is optional entries
which helps a lot for reporting purposes. After the organizational data is entered, now select the order type
and drill down and all the sales documents assigned to the sales area will be displayed.

83
Select the Order Type ZOR1 for MTO sales.

84
Click on Create with
Reference icon

85
Now press Copy icon to continue. The Overview screen will be as follows:

86
Click on Continue Icon.

This screen is showing status of Material Availability. And it says Confirmed quantity is zero for this order.
After entering the Continue Icon, the screen will appear like this:

87
1) Enter PO Number
2) Enter PO date

Note: The Delivery block and Billing block as shown above can be removed, if the user has authorization,
otherwise the authorized user has to go the change mode [VA02] and shall remove the delivery and Billing
Blocks.
Now press “ENTER”. The customer details shall be fetched from the customer master and the material
details will be collected from the sales views of the material master. The pricing details will flow from the
appropriate pricing condition records.

88
All the encircled
data flows from
respective masters
The Item category
TAN1/TAC is based on
configuration.

The payment terms and the Incoterms defaulted from the customer master can be modified as per the
current trend. The delivering plant is also defaulted which is not visible above but shown a partial portion
for understanding.

89
Flag the item line as shown below and click the condition icon
screen.

The Pricing screen for this line will appear.

90

in the bottom portion to go to the pricing
We can see the pricing details as above. Being MTO sale, we can see the excise duty and the ecess being
calculated.

Observe the tax details. Being Local sales, System is calculating the VAT Sales.
Now select the

tab encircled above by clicking it.

We can see that the item being confirmed qty. is zero means that the stock is not available.
Now press the

go to the overview screen.

91
Click
Header
details

Now click the header details icon as above which will display the Header Data Screen.

Click the

tab as shown above.

92
Generally the sales Contact person will default from the Customer master, which you can change here.
Otherwise you have to enter the sales Contact person code by selecting from the input help.
Now press the

to go to the overview screen. In overview screen, check for the incompletion as shown:

If there is no incompletion, the message “Document is complete” is displayed.

Let us suppose the Incoterms is not there, when doing incompletion check and how to complete the same.

93
Click here
Flag the line and click the
tab. This will take us to the Partner screen as before where we
have to enter the sales employee number.

94
After entering the Incoterms, You will get information Freight is redetermined, Press enter now click on the
Edit Next Data

tab. If there is further incompletion, it will go to the respective screens else it will say
.

Now save the Sale Order by clicking the save
generate the Sales Order number.

icon. The Sales Order will be saved and the system will

Proforma Invoice
Once Order Acceptance document is ready we can generate Proforma Invoice if it’s required. Procedure is
as follows:
SAP R/3 menu

Logistics  Sales and Distribution Billing  Billing
Document → Create

Transaction code

VF01

95
Create Proforma Invoice Document Initial Entry Screen will be like this:

Enter OA doc. No.

Press ENTER to continue.

96
Select save icon to save. You will get message as follows:

To take print out follow the billow procedure:

SAP R/3 menu

Logistics  Sales and Distribution Billing  Billing
Document → Change

Transaction code

VF02

97
Select Proforma Invoice Doc.
No.

Click on

Click on

icon. You will get list of option as billow:

icon you will get as billow shown box.

98
Select Message type

Select print

icon for print.

Select print preview

icon for preview.

Same procedure follows for any printout like Quotation [VA22], Order Acceptance [VA02] Service Invoice
[VF02].
Once we create Order acceptance document, it will go to Production department for Production planning.
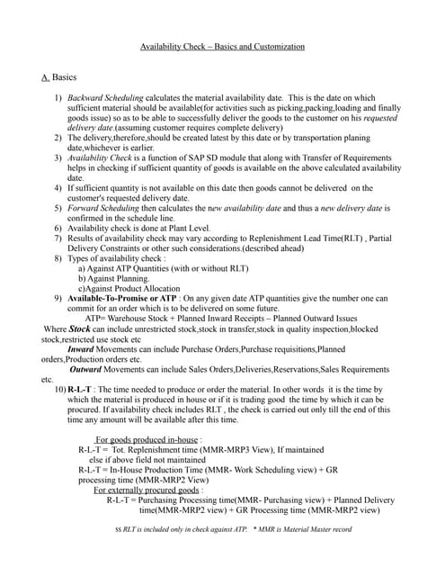
Once all necessary activities completed from production and Material Management need to run availability
check in SD. Procedure is as follows:

99
Availability Check
SAP R/3 menu

Logistics  Sales and Distribution  Sales  Order
Change

Transaction code

VA02

Enter order no.

Press ENTER to continue. You will get screen as follows:

100
Step 1: Click here to
select Material

Step 2: Click here to run
Availability
You will get new screen as follows:

101
Now you can see Confirmed quantity is one, Click on
You will get the message as follows:

To confirm the same fallow the billow procedure:

Step 1: Click here to
select Material

Step 2: Click here to
select Schedule lines
102

icon.
Now you can see the Schedule lines screen as follows:

Now you can see the Confirmed quantity is one. It was zero when we created order. Now the next step is
creating the Delivery.

Create Delivery
Now the next step is creating the Delivery.
SAP R/3 menu

Logistics  Sales and Distribution Sales  Shipping
and Transportation → Outbound Delivery →Create→
Single Document With Reference to Sales Order

Transaction code

VL01N

The Creation of delivery is with reference to the sale order already created, which will be illustrated below:

103
In the Create Outbound Delivery with Order reference, we have to enter the appropriate shipping point,
selection date and the relevant sales document.
For AMPL MTO sales, the Shipping point for 1800, for AMSPL sales 2700 and for HIE sales, shipping
point will be 3600 and SSTPL sales Shipping point will be 4500.
Now the Sale being AMPL, we shall select the shipping point 1800. As far the selection date is concerned, it
shall be the date on or after the confirmation date of the respective schedule line in the sale order. In the
Order field enter the Sale Order number which has been created.
(If the delivery is selective, we can enter the line item as appearing in the sale order. Else do not enter
anything against item number. Even if the item selection is random, do not enter the item number, and all
the line items will be copied in delivery and the line item which need not be delivered shall be deleted).

104
Now Press ENTER to Continue. This will take to the “Create delivery: Overview Screen”

105
We can see the Ship to Party and the Material Code and the quantity are all copied from the sale order. We
have to do one thing in Delivery Document a) Post Goods Issue.
All the items are to be picked in the system. For this click the

tab.

The delivery quantity has to be entered as picking quantity also. Then press ENTER. This will modify the
picking status.

106
The OverallPickStatus changed from “A” to “C”.
Now the next step is to do “POST GOODS ISSUE”. Before doing post goods issue, let us have a look at the
Stock Position, for example:

Now let us click the

as shown below.

107
The system says that the goods movement has not started. Now click the
as shown above.
The system will do the goods issue and Delivery Document Number will be generated. The system displays
the message as follows:

Transaction Codes: VL02N – Change Delivery Document, VL03N – Display Billing Document.

Creating Billing Document
After creating the delivery, Invoice has to be generated with reference to the delivery.
SAP R/3 menu

Logistics  Sales and Distribution Billing  Billing
Document → Create

Transaction code

VF01

108
Create Billing Document Initial Entry Screen will be like this:

Enter the delivery
document number here
Now press ENTER. This will take to Billing Overview Screen

Going to the conditions screen, price can be verified before saving.

109
Flag the line item and click the display item conditions icon.

110
Now Go Back to the overview screen by clicking the

icon.

Now click the Header conditions icon and Header Pricing Conditions will be displayed.

111
112
If there is more than one line item, the total of all the line items will be reflected in the header data
conditions screen.

Changing the Tax Value in Billing.

Go back to the Overview screen using
This will take to the Header Data Screen

icon. Now click the Display Header Doc details icon

113

.
Roll down the Pull down Tab in the side.

114
The first classification was VAT and select 8 which stands for 4% VAT.

115
Now the classification we have changed to 3 which stands for 12.5% VAT.
Now see the Item Condition screen and it will be observed that the VAT is 12.5%.

Thus the sales tax is modified as per the requirement.

116
Same procedure we can follow suppose the Customer has accepted to issue Form “C” and therefore sales
tax being charged at 3% against Form “C”. However, Customer says that they will not be able to provide
Form “C”. Thereby there is no other alternative than charging 12.5% CST. For this Tax Classification has to
be modified in Billing Header details as per the steps given.
Note: Generally as per the requirement sales tax will be determined at highest value, based on concession
forms user can manually modify the tax classification thereby the tax value. Care should always be taken to
avoid errors.

Adding Header Conditions like Freight etc.
The ASKAR requirements are as such, the discounts, freights, insurance etc. are added at the Header level
rather than at item level. When applied at header level, it is valid for the total document. Now we take an
example of adding Freight Value, if it is applicable.
Go to the Header Pricing Screen as described before.

Observe here after
adding freight etc.

Click Here

117
Select Condition Type “ZHD0” Freight.( If the component has to be “Insurance” select ZHD1).

Press ENTER

118
We can see the effect. The price got updated and the net value got increased. We can see the Freight amount
entered is a fixed amount and is applicable to the whole document instead of a single item. Similarly Cash
Discount for advance payment can be given by selecting the condition type ZADV.
Use this icon to save the document.

If the message like “ No accounting document is generated” is displayed that should be communicated to
the help desk immediately for analysis and resolution.
Other relevant Transaction codes: VF02 – Change Billing Document, VF03 – Display Billing Document.

Create Excise Invoice
Now the Excise Invoice has to be created for factory sale with respect to the invoice created above:
This can be created using Transaction Code J1IIN or by following menu path in India Localization Menu.
The Transaction code to go to India Localization Menu is J1ILN

SAP Easy Access India SAPMenu→IndirectTaxes→Sales/OutboundMovements →
Excise Invoice→For Sale Order→ Create
Localization Menu

119
Transaction code

J1IIN

Transaction code

J1IIN

Upon executing the above Transaction Code, EXCISE INVOICE FOR FACTORY SALE screen is
displayed where

to be clicked

On clicking the “From Billing” Tab, a new screen will appear as follows:

120
Just clicking the due list will display the Bills due for excise invoicing otherwise directly enter the invoice
number and give the correct posting date.

Upon entering the Company Code, Plant Code and Excise group and executing, the system will display the
duelist.

121
After selecting the billing document and giving the correct posting date, press ENTER. The Excise Invoice
screen will be as follows:

122
Enter the Excise Group “E1” and series group “S1”.
We can see all the values defaulted from the previous document. Now save the document by clicking the
save icon.
The system will give a message:

.

For Change/Display, use the same transaction code,

For cancel click
cancel icon
For change
click change
icon

For display
click display
icon

123
Enter the Excise invoice number, excise year and series group and press ENTER. The document will be
displayed.
Thus ends the MTO Direct Sales Process.

2 Agent Sales
Agent sales scenario is same like MTO Direct sales. Difference is need to capture agent commission in
Quotation or Order Acceptance. You can see in billow screen how to maintain the agent commission.

Create Sales Order
SAP R/3 menu

Logistics  Sales and Distribution Sales  Order
Create

Transaction code

VA01

124
Select all required field like shown in the screen. Press enter to continue.

Fill all necessary fields as mentioned in MTO scenario. Worming message will appear as shown billow:

125
Select the line item and click on pricing icon

Scroll down to select condition type YCMM for vale and ZCMM for percentage by using radio button
option. Enter value example Rs.5000.

126
Since these conditions types are statistical net value will not update. Save the document. Same procedure
can follow to maintain at Quotation level.
Other Sales documents for Agent sale Inquiry ZINA Quotation ZQTA.
Now we shall see the Sales returns

3 Sales Returns
Let s consider the case of delivered items being returned due to some reasons. This items are to be taken as
returns and if the returns are within the period, modvat can be reversed.

Create Return Sales Order
A sales order has to be created for returns as it has been for the normal sales order. Here we have the option
of creating the same with or without reference to the preceding document. In this configuration the
reference document is not made mandatory as the returns may belong to the dispatches made prior to this
SAP Implementation. However, if the preceding document is available in SAP, then it is strongly
recommended to refer the same. It is highly better to have the preceding document reference as Invoice
rather than a sales order for obvious reasons.

SAP R/3 menu

Logistics  Sales and Distribution Sales  Order
Create

Transaction code

VA01

127
On clicking the “Create with Reference”, there will be popup asking for reference document.

Press the Copy Button as above and all the contents of the preceding document will be copied in to the
returns sales order.

128
Let us assume that out of 2 nos. supplied 1 is being returned. Edit the quantity from 2 to 1 being the returned
quantity. The quantity field thus can be edited as it is required.
Note: The Billing block as shown above can be removed, if the user has authorization, otherwise the
authorized user has to go the change mode and shall remove the Billing Block.
In Purchase Order field you can enter the old reference or new reference as required.
The price and other data can be checked, as usual.
Now the incompletion has to be checked, before saving the document.

129
Being Sales return, the system is asking for the order reason. Flag the line and click the “Complete Data”
Tab. This take us to the Header Data sales Tab.

130
We can select a suitable reason, for example “009 Defective” being chosen. After click “EDIT Next Data”
button in the top. If there is no other incompletion, “Document is complete” message will be displayed.

Now save the sales document. The message

is displayed.

Create Returns Delivery
SAP R/3 menu

Logistics  Sales and Distribution Sales  Shipping
and Transportation → Outbound Delivery →Create→
Single Document With Reference to Sales Order

Transaction code

VL01N

The Returns Delivery is created with reference to the Returns Sales Order.

131
Press ENTER to continue. The resulting screen will be as follows:

For Returns, this tab is “Post
Goods Receipt” instead of “Post
Goods Issue”.

Now do the “POST GOODS RECEPT”. Picking not relevant for Returns.
Now do the Post Goods Receipt. The Returns Delivery Document number will be generated after doing the
Post Goods receipt.

.

132
As we can see item has bee posted in the returns stock. Authorised person will move the returns to the
unrestricted, if found suitable, by transfer posting using movement type 453.

Create Credit for Returns
Now Credit Note has to be created for returns. Generally, Credit for Returns will be based Order related
billing unlike usual delivery related billing.

We can see the sale order number there. Press ENTER to continue. Note: Before creating invoice, Billing
block in sale order has to be removed.

133
Important: Now go to the item pricing details and note down the basic price, excise duty and ecess as this
will help when capturing the excise invoice for Modvat Reversal.
Basic Value: Rs. 54.72, BED: Rs. 8.76 ECess: Rs. 0.18
Now save the billing document and the following message will appear:
.
There is no automatic posting. This has to be manually released, if you have authorization.

134
The release can be effected in change mode by clicking the
will appear

icon. Upon release, the following message

.

We know the Outgone reference invoice number is 1010000108

Capture Excise Duty
First enter TCode: J1ILN to go to India Localization Menu.
SAP Easy Access India SAP Menu→ Indirect Tax → Procurement → Excise
Invoice → Incoming Excise Invoice →Central Processing
Localization Menu
→ Capture
Transaction code

J1IEX

135
Here in the above screen all the data to be manually entered.
Header data:
Excise Invoice no: First we have to enter Excise Invoice number under which the item was originally
Dispatched.
Doc date: Document date
Excise Group: E1 Sub transaction Type: 01
Posting date: date on which this returns to be posted
Vendor: This is standard SAP Screen, thereby asking Vendor number. However, for information purpose,
we have to create Dummy Vendor “Excise Returns” which you can select enter. In search term give
“returns” to select this vendor.
Item data:
Item data to be entered line by line.

Material code and the plant to be entered. Item OK check box to be checked. The proper chapter id has to be
given. The Finished goods shall be entered as Input/Output material in CENVAT Determination table.

136
Under Duty Values, we have to enter the details, which we have taken earlier.

To enter next line click the
next item icon. If there is difficulty in viewing this portion, then we can click
in the header portion to collapse the header data as shown here:

137
After this line item portion will be more clear for entering the data.
After all the line items are entered, then we can check for consistency by clicking the

tab.

When everything is OK, then there will not be error log, except certain warnings. Now Simulate using
tab.

The Simulate Tab will popup the following screen:

138
Press ENTER to Continue. Now post the document by clicking the

tab.

The Document will be posted and the internal number will be generated as shown below:

139
We can go to the Display mode and see the Modvat utilization

140
Press enter to go inside the document.

Just click Part II where it will show the link to the accounting document

If you click the accounting entries will be displayed.

141
Thus ends the Sales Returns and Modvat Utilization in MTO.

4 Exports under Bond
Exports are made to various countries. The Exports involves some concessions based on the Government
incentives. The Exports exempted from Duty against the Excise Bond issued by excise authorities. The
Export should accompany ARE1 Form for the concession to be availed.

Create Inquiry
The Enquiry (Verbal/written) made by prospect has to be captured in the system.
SAP R/3 menu

Logistics  Sales and Distribution Sales  Inquiry
Create

Transaction code

VA11

Order Type: ZIE1

142
Press ENTER to continue.

143
Enter the details as above. The Pricing Date has to be given which will help for exchange rate
determination. Enter Quotation validity date and Payment terms. Now check for incompletion. Message:
. Now save the document.
Message:

is displayed.

Create Quotation
The enquiry received from the prospect is analyzed and a quotation is prepared with competitive price and
this can done in SAP as follows:
SAP R/3 menu

Logistics  Sales and Distribution Sales  Quotation
Create

Transaction code

VA21

144
The quotation can be created with or without reference to the Inquiry.

Click on the
tab. The following pop-up will come where the inquiry tab has to be
selected and the inquiry number created as above has to be entered.

145
146
We can see that all the details flown from the inquiry and we can modify the quantity and other details as it
is applicable. Now Click on the conditions icon
and go to the pricing screens and enter the pricing
details for all the line items.

147
Now check for the incompletion and note the message:

Since quotations will have a validity period, system is throwing it as incompletion, in case it is not filled up.
Flag the line and click the
validity date.

tab. The system will go to the respective screen/field. Enter the

148
After that click the Edit Next Data Button
. If any other incompletion list like Material group, gross
weight, net weight and payment terms are needs to complete use same procedure. Once every thing filled
is displayed. Now save the document.

Create Export Order
After quotation being sent, Customer places the order with reference to the quotation submitted. A Sale
order can be created with or without reference to the quotation.
SAP R/3 menu

Logistics  Sales and Distribution Sales  Order 
Create

Transaction code

VA01

149
150
Click on the copy icon to continue. The Details in quotation will be copied in to the sale order.

151
Check for the price and other details and then Check for incompletion. If the document is complete, save
the document. Message:

is displayed.

Create Export Delivery
SAP R/3 menu

Logistics  Sales and Distribution Sales  Shipping
and Transportation → OutboundDelivery →Create→
Single Document With Reference to Sales Order

Transaction code

VL01N

152
Enter shipping point as 1800 and enter the export order

153
Do Picking and Post Goods Issue as usual.

Create Export Invoice
SAP R/3 menu

Logistics  Sales and Distribution Billing  Billing
Document → Create

Transaction code

VF01

154
155
We can see that Excise duty is not calculated.
After checking for the pricing, and entering the header pricing details like freight, insurance etc., like as
follow:

156
Mod of Transport – Border - select 3 for Road, 1 for sea and 4 for Air.
Domestic Mode of Transport - select 3 for Road, 1 for sea and 4 for Air.
Press Set icon to activate export trade, and it will look like as billow screen:

157
We can save the billing document.

.

Create Excise Invoice
SAP Easy Access India SAP Menu→ Indirect Taxes→ Sales/Outbound Movements
→ Excise Invoice → For Sale Order→ Create
Localization Menu
Transaction code

J1IIN

Observe the series Group it is S2 for export sales(For domestic and Merchant Export sales it is S1).

158
Time of removal – Select radio button and select time.
Now click on
Utilization tab, which will take to the next screen.

In this Excise Utilization Factory Sale Screen, click on the
to determine the type of Excise invoice. We
can notice Bond is highlighted in blue Colour so that it is Bond type excise invoice. Now click on the
tab and save the Excise Invoice. There being no Duty Payment due to Bond, accounting
document will not be generated for this excise invoice.

.
Note: In the above screen shot, the type of excise invoice has to be created by repeatedly clicking on the
icon. If the Export is based on Letter of Undertaking(LoU) then by go on clicking the above pencil icon,
LoU will become blue. For No Bond sale and Merchant sale Export, NoBond and Deemed options will turn
to blue respectively.

Create ARE1
Now ARE1 as to be created with reference to the excise invoice.
SAP Easy Access India SAP Menu → Indirect Taxes → Sales/Outbound Movements
→ Exports Under Excise Regulations → Exports → Central
Localization Menu
Processing → Create/Change/Post/Update/Cancel/Display/
Reverse ARE1
Transaction code

J1IA101

159
Enter the Outgoing Excise Invoice Number as reference and select other two fields as shown, Press ENTER
to continue. All the data from the preceding documents flow here. We have to enter the following details in
Header data:
1) Check the Print ARE Document Check Box
2) Bond details(refer master data section on how to create excise bond)

160
Click here to
navigate in the
item details

161
Certification dates has to be filled in at the time of posting
Now check for the document entries by clicking on the Check Icon
Message:

.

. Now the created ARE1 can be saved for further processing.

Post ARE1

Enter the ARE1 from input help

162
Now Enter The Dispatch date say 30.11.2007 and Time

Now Check for Consistency by clicking on the Check Tab above
Message:

is displayed. The Document is posted.

Update ARE1

163
Now the Items being dispatched and verified at port. If there is quantity variation, ie., 10 items being
declared exported and only 8 items are vailable during customs check, then for the 2 items duty has to be
paid by the Update Process.

Give the ARE1 Number and Press ENTER to continue.

All the details like arrival at customs etc. are to be entered.
164
Now go to the Quantity Tab of the Item Detail Data Block

If 1 quantity is missing, Enter the amended quantity has 4, Differential quantity will be automatically
default as 1. Duty has to be paid for this quantity

Now Go To the header Details, where you can see a New Tab Named UTILIZATION has appeared after
the amended quantity is entered.

Now check the change values checkbox.

165
We can see that BED is calculated for 1 item, and entered in appropriate head RG23A/RG23C/PLA as
applicable. Now click the Document details Tab and enter the reason “10” Quantity discrepancy.

Now check for consistency.
Message:

.

Important Note: At present we cannot Update for Ecess values, due to some pending development by SAP
for ARE1 Procedure. For that we have to Update ECess values in J1IH Excise JV Other Adjustments.
(will be explained subsequently).
Upon Saving, the popup will be:

166
Press Enter to Continue.
Message:
Since the Utilization for ECess is not happening in ARE1 directly, it has to be carried out separately as
described below:
SAP Easy Access India SAPMenu→IndirectTaxes→Excise JV→ Create
Localization Menu
Transaction code

Click on

J1IH

Tab.

167
Now Enter the ARE1 Document number for which ECess to be updated and other details which are self
explanatory. Under Modvat Account Selection, we can choose RG23A or PLA.

168
(For ARE1 Transaction of Updation, The Entries is as follows:

ie., Cenvat Reversal Account 13113930 Dr
PLA ECS 24880200
Cr
RG23AECS 24840200
Cr)
Now Press Enter to Continue in J1IH Screen.

169
Enter the ECS Value for the missing portion and Click on

170

tab.
We can modify the Cevat Clearing Account as Cenvat Reversal Account 13113930

171
Press ENTER to continue and SAVE.
Once again the above popup comes, Modify the Dr GL Account as 13113930 – Cenvat Reversal account
and Press ENTER to continue. Message:
is displayed.

Print ARE1 Document
Transaction Code: J1IA101 Display Mode
Input: ARE1 Internal Document number for example 0000000081 created here.

172
Press ENTER to continue.

Click on the Printer Icon as above and proceed based on the system driven directions.

Closing ARE1
Transaction Code: J1IA101 and Select UPDATE Option.
Input Value is ARE1 Internal document number 0000000081. and Press ENTER to continue.
Select the “Certification Dates” Tab and Enter the Export Confirmed Date

173
Now Save the Document and ARE1 is complete and the POPUP is as follows:

174
Press ENTER to continue.

Thus ends the ARE1 Procedure.

5 Exports Under Letter of Undertaking
Process is same as Exports under Bond. When creating Excise Invoice, in Transaction Code J1IIN, you
have to select LOUT option instead of Bond under EXCISE INVOICE TYPE.

6 Deemed (Merchant) Exports

175
Process is same as Exports under Bond. When creating Excise Invoice, in Transaction Code J1IIN, you
have to select Deemed option instead of Bond under EXCISE INVOICE TYPE
Sales Order Type: ZOD1

7 Export No Bond
Process is same as Exports under Bond. When creating Excise Invoice, in Transaction Code J1IIN, you
have to select No Bond option instead of Bond under EXCISE INVOICE TYPE

176
8 Cancellation of Invoice
SAP R/3 menu

Logistics  Sales and Distribution Billing  Billing
Document → Cancel

Transaction code

VF11

Sometimes, Values like Freight, Discount may not be added by oversight. Whatever may be the reason, the
Billing document can be cancelled using the above transaction code.

177
Press ENTER to continue

Now save the Document. Message:

.

178
9 Reversal of Post Goods Issue
SAP R/3 menu

Logistics  Sales and Distribution Sales  Shipping
and
Transportation
→
Post
Goods
Issue
Cancellation/Reversal

Transaction code

VL09

Sometimes after goods issue, that quantity has been delivered more than required. There may be various
other reasons where such decision to be taken to reverse the goods issue.

Click the Execute Button

.

After selecting the line, clickon the

tab.

179
Press

to continue.

10 Trading Sales
In Trading sales scenario against Customer purchase order will buy the Material from the vendor/Market
and supply the same to the Customer. Sales document for Inquiry ZIT1, Quotation ZQTT and Order ZORT.
Inquiry and Quotation procedure will be same like MTO. But when we are creating Order Acceptance
against Customer Purchase order by default system will generate Purchase requisition number. With
reference to this Purchase requisition number will procure the Material.

Create Sales Order
SAP R/3 menu

Logistics  Sales and Distribution Sales  Order
Create

Transaction code

VA01

180
Create with reference:

Enter the Quotation number, click on Copy icon to continue.

181
Fill Valuation price and Purchase group.

182
Click on
icon to continue. Check the necessary fields as explained in MTO scenario and Save.
By default system will generate Purchase requisition number. We cab see this number by using change
mode Transaction code is VA02.

183
Enter Order Acceptance number and press ENTER.

Select the line item and click on Schedule lines for item.

184
Now you can see the purchase requisition number. Click on
icon on to come out. Balance other
procedure like delivery, Billing document and Excise invoice are same like MTO.

11 Credit/Debit Memo Process
In Business there are many situations Debit/Credit Memo are issued o the customer. We shall consider an
example that is a situation may arise where the items supplied to the Customer, may be Customer asked to
make payment of freight and insist for debit memo.
a. Creation of Debit Memo Request with reference to respective invoice
b. Release of Debit Memo request
c. Creation of Debit Memo.

185
Creation of Debit Memo Request
Transaction Code: VA01

Click on
request has to be created.

tab. Enter the Billing Document with reference to which a debit memo

186
Press ENTER to continue.

187
As it has seen above that line item has been copied and we have to delete price. By selection tab select the
line as shown billow. Further the Billing Block shown in circled portion can be removed by authorized
person.

Click on pricing condition icon.

188
Remove the price from Amount field which has copied from billing document and press ENTER.

189
Select back icon to go back.

190
Select header details icon and select condition tab page.

Scroll down to enter freight condition type

191
Step 1: Select the condition type ZHD0 for fright
Step 2: Enter the freight value example Rs.5000
Step 3: Click on Activate icon
Now you can see net value field is showing Rs.5000

Now check for incompletion. Document will prompt you to give Order Reason. Provide the order reason as
shown below:

192
Complete the Document by clicking the Edit Next Data icon. Save the Document. Message:
.

193
Debit Memo
Transaction Code: VF01
Debit Memo has to be created with reference to the respective debit Memo Request created.

194
Value can be changed if needed. Save the Document. Message:

.

Similarly Credit Memo can be raised.
Credit memo request document type is ZCR1

12 Service and Spare Sales
The machine which we have supplied to the Customer will carry warranty period. If machine is not
performing at Customer site, Customer complaints the same which need to address. Service Engineer gives
a report for the same after inspecting the machine. If machine is under warranty need to give service free of
cost. If material is non warranty need to submit quotation for the same to the Customer.

Create Inquiry
The Enquiry (Verbal/written) made by prospect has to be captured in the system.
SAP R/3 menu

Logistics  Sales and Distribution Sales  Inquiry
Create

Transaction code

VA11

195
Maintain all necessary fields in initial screen to continue.
Press ENTER.

196
Fill all necessary fields like:
Customer Name: S000015
Valid from: 03.12.2007 Inquiry received date
Valid to: 31.12.2007
Order reason: Maintain what customer is complaining. i.e. Oil/air leakage.

Identify machine warranty status.

SAP R/3 menu

Logistics  Material Management  Physical Inventory
 Environment  Serial Numbers  Display

Transaction code

IQ03

197
Enter Serial number and press enter to continue.

We can see now Customer Order Acceptance number. With reference this number we can check the status
of delivery and billing dates.
Go to VA03

198
Enter OA number and click on document flow icon.

Now we can see entire history flow of this serial number.
Let us assume it is under warranty. With reference to Inquiry create sales order to issue the spare part for the
same.

Under Warranty Scenario
Create Sales Order (Order Acceptance)
SAP R/3 menu

Logistics  Sales and Distribution Sales  Order
Create

Transaction code

VA01

199
By default system copied Customer details, but not material (Machine) because here need to enter required
spare parts.
Change payment terms as: ST16 – 100% free of cost.
Select spare parts by using radio button.

200
Select material and click on pricing condition icon.

201
Since need to supply this spare part at free of cost to the Customer and also needs to pay Excise Duty and
CST and LST to the Government.

202
Scroll down and enter Condition type JFCG for 100% discount. Now you can see only Excise Duty and
VAT value is displayed in Net and Tax fields.
Save the document

Next procedures PGI (Delivery), Create Billing Document and Excise Invoice (if Material relevant for
Excise Duty) use same procedure as earlier mentioned in MTO scenario.

203
Non Warranty Scenario
If Machine is under non-Warranty with reference to Inquiry, need to create Quotation.

Create Quotation
SAP R/3 menu

Logistics  Sales and Distribution Sales  Quotation
 Create

Transaction code

VA21

Click on Create with
reference icon.

Enter Inquiry Number.

Select radio button you will get list of Quotation as below:
Select required quotation type. Example ZQS1 and ENTER.

Select Copy icon, you will get new screen as shown follows:

204
All the details shall be fetched from the Inquiry document.

205
Enter the Material No & Service

Enter quotation Valid to field.

206
Select the line item by using select icon. And click on Item condition icon you will get new screen as
billow shown:

207
Check here all conditions like. ZBP1 for Price, JEX2 for Excise duty 16%. Etc. Charges and enter the
required price.

208
Now we can see overall Pricing conditions like Base price and Taxes.

209
Select the line item by using select icon. And click on Item condition icon you will get new screen as
billow shown:

210
Check here all conditions like. ZLCR for Service Charges and enter the required price.

211
Now we can see overall Pricing conditions like Service Charges Including Taxes.

212
Now go to Edit Tab and select Incompletion Log to check the missing data.
Now save the Quotation by clicking the save
generate the Quotation number.

icon. The Quotation will be saved and the system will

Next procedures Sales Order Acceptance, PGI (Delivery), Create Billing Document and Excise Invoice (if
Material relevant for Excise Duty) use same procedure as earlier mentioned in MTO scenario

213
12. Scrap Sales

Create Sales Order
SAP R/3 menu

Logistics  Sales and Distribution Sales  Order
Create

Transaction code

VA01

214
First we have to select appropriate sales Organization, Distribution Channel and Division. The Sales
organization is 1810, the Distribution Channel is 10 for Direct sales and the Division 10. (Sales
Organization + Distribution Channel + Division constitute a sales area). The sales Office is optional entries
which helps a lot for reporting purposes. After the organizational data is entered, now select the order type
and drill down and all the sales documents assigned to the sales area will be displayed.
Select the Order Type ZSC1 for Scrap sales.

215
Now press ENTER to continue. The Overview screen will be as follows:

216
Enter the Customer no. here
If the ship to party is different
from sold-to-party, then enter
the ship to party

Enter the Customer’s
purchase Order Reference

Enter
Material
Code

Enter the Order
Quantity

(Please refer the appendix for help to make selections for customer/material)

217
After entering the required details, the screen will appear like this:

Enter the Plant
Code.
Now press “ENTER”. The customer details shall be fetched from the customer master and the material
details will be collected from the sales views of the material master.

218
219
Flag the item line as shown below and click the condition icon
screen.

in the bottom portion to go to the pricing

The Pricing screen for this line will appear. Enter Condition Type ZBP1 manually and enter the price of the
Scrap Material.

220
221
We can see the pricing details as above. Being Scrap sale, we can see the excise duty and the ecess being
not calculated.

222
Now in overview screen, go to Incompletion log and check for the incompletion as shown. If there is no
incompletion, the message “Document is complete” is displayed.

Now save the Sale Order by clicking the save
generate the Sales Order number.

icon. The Sales Order will be saved and the system will

223
Create Delivery
Now the next step is creating the Delivery.
SAP R/3 menu

Logistics  Sales and Distribution Sales  Shipping
and Transportation → Outbound Delivery →Create→
Single Document With Reference to Sales Order

Transaction code

VL01N

In the Create Outbound Delivery with Order reference, we have to enter the appropriate shipping point,
selection date and the relevant sales document.
For AMPL Retrofit sales, the Shipping point for 1800, for AMSPL sales 2700 and for HIE sales, shipping
point will be 3600 and SSTPL sales Shipping point will be 4500.
Now Press ENTER to Continue. This will take to the “Create delivery: Overview Screen”
224
Enter Storage Location
& Pick Quantity

We can see the Ship to Party and the Material Code and the quantity are all copied from the sale order. We
have to do one thing in Delivery Document a) Post Goods Issue.
All the items are to be picked in the system. For this click the

225

tab.
The system says that the goods movement has not started. Now click the
as shown above.
The system will do the goods issue and Delivery Document Number will be generated. The system displays
the message as follows:
Now save the Delivery Order by clicking the save
system will generate the Delivery number.

icon. The Delivery Order will be saved and the

226
Creating Billing Document
After creating the delivery, Invoice has to be generated with reference to the delivery.
SAP R/3 menu

Logistics  Sales and Distribution Billing  Billing
Document → Create

Transaction code

VF01

Create Billing Document Initial Entry Screen will be like this:

227
Enter the delivery
document number here

Now press ENTER. This will take to Billing Overview Screen

228
Going to the conditions screen, price can be verified before saving.

229
Now Go Back to the overview screen by clicking the

Use this icon to save the document.

230

icon.
14. Annual Maintenance Contract

Create Inquiry
SAP R/3 menu

Logistics  Sales and Distribution Sales  Inquiry 
Create

Transaction code

VA11

First we have to select appropriate sales Organization, Distribution Channel and Division. The Sales
organization is 1810, the Distribution Channel is 10 for direct sales and the Division 10 is for Turning
Center. (SalesOrganization+Distribution Channel+Division constitute a sales area). The sales Office is
optional entry which helps a lot for reporting purposes. After the organizational data is entered, now select
the Inquiry type and drill down and all the Inquiry documents assigned to the sales area will be displayed
select Enquiry type ZIC1 and press enter.

231
Now press ENTER to continue. The Overview screen will be as follows:

Enter Customer No.
If the ship-to party is
different from sold-toparty, then enter the
ship-to party

Inquiry Validity needs
to enter

Enter Material
Code

Enter Material
quantity

The customer details shall be fetched from the customer master and the material details will be collected
from the sales views of the material master. The pricing details will flow from the appropriate pricing
condition records.

232
Once entered all necessary field will get screen as below:

233
Now go to Edit Tab and select Incompletion Log to check the missing data.

234
Click on save icon. You will get as bellow message:

235
Create Quotation
SAP R/3 menu

Logistics  Sales and Distribution Sales  Quotation
 Create

Transaction code

VA21

Select radio button you will get list of Quotation as billow:
Select required quotation type. Example ZQC1 and ENTER.

236
Click on Create with
reference icon.

Enter Inquiry Number.

Select Copy icon, you will get new screen as shown follows:

237
All the details shall be fetched from the Inquiry document.

238
Enter quotation Valid to field.
Select the line item by using select icon. And click on Item condition icon you will get new screen as
billow shown:

239
Check here all conditions like. Select ZLCR for Service Charges and enter the required price.

240
241
Now go to Edit Tab and select Incompletion Log to check the missing data.

242
Click on save icon. You will get as bellow message:

243
Create Contract
SAP R/3 menu

Logistics  Sales and Distribution Sales  Contract
Create

Transaction code

VA41

Click on Create with
Reference icon

Now press Copy icon to continue. The Overview screen will be as follows:

244
First we have to select appropriate sales Organization, Distribution Channel and Division. The Sales
organization is 1810, the Distribution Channel is 10 for Direct sales and the Division 10. (Sales
Organization + Distribution Channel + Division constitute a sales area). The sales Office is optional entries
which helps a lot for reporting purposes. After the organizational data is entered, now select the order type
and drill down and all the sales documents assigned to the sales area will be displayed.
Select the Contract Type ZAC1 for AMC.

1) Enter PO Number
2) Enter PO date

Now press “ENTER”. The customer details shall be fetched from the customer master and the material
details will be collected from the sales views of the material master. The pricing details will flow from the
appropriate pricing condition records.

245
The pricing details will flow from the appropriate pricing condition records.

246
Now go to Contract Data and enter the Mandatory fields.

Enter Cancellation
Procedure

Enter Validity
Period Category

247

Enter Contract
Validity Period
Once all the required mandatory fields are entered, the contract data screen looks as below.

248
Enter Contract Start
Date

Enter Contract End
Date

249
Now go to Edit Tab and select Incompletion Log to check the missing data.

Now save the Sale Order by clicking the save
generate the Contract number.

icon. The Contract will be saved and the system will

250
Creating Billing Document
After creating the delivery, Invoice has to be generated with reference to the delivery.
SAP R/3 menu

Logistics  Sales and Distribution Billing  Billing
Document → Create

Transaction code

VF01

Create Billing Document Initial Entry Screen will be like this:

Enter the delivery
document number here

251
Now press ENTER. This will take to Billing Overview Screen

Going to the conditions screen, price can be verified before saving.

252
Now Go Back to the overview screen by clicking the

Use this icon to save the document.

253

icon.
15. Retrofit Sales

Create Inquiry
SAP R/3 menu

Logistics  Sales and Distribution Sales  Inquiry 
Create

Transaction code

VA11

First we have to select appropriate sales Organization, Distribution Channel and Division. The Sales
organization is 1810, the Distribution Channel is 10 for direct sales and the Division 10 is for Turning
Center. (SalesOrganization+Distribution Channel+Division constitute a sales area). The sales Office is
optional entry which helps a lot for reporting purposes. After the organizational data is entered, now select
the Inquiry type and drill down and all the Inquiry documents assigned to the sales area will be displayed
select Enquiry type ZIR1 and press enter.

254
Now press ENTER to continue. The Overview screen will be as follows:

Enter Customer No.
If the ship-to party is
different from sold-toparty, then enter the
ship-to party

Inquiry Validity needs
to enter

Enter Material
Code

Enter Material
quantity

The customer details shall be fetched from the customer master and the material details will be collected
from the sales views of the material master. The pricing details will flow from the appropriate pricing
condition records.

255
Once entered all necessary field will get screen as below:

256
Now go to Edit Tab and select Incompletion Log to check the missing data.

257
Click on save icon. You will get as bellow message:

258
Create Quotation
SAP R/3 menu

Logistics  Sales and Distribution Sales  Quotation
 Create

Transaction code

VA21

Select radio button you will get list of Quotation as billow:
Select required quotation type. Example ZQR1 and ENTER.

259
Click on Create with reference icon you will get new screen as shown below:
Click on Create with
reference icon.

Enter Inquiry Number.

Select Copy icon, you will get new screen as shown follows:

260
All the details shall be fetched from the Inquiry document.

261
Enter quotation Valid to field .

Enter the Material No.

262
Select the line item by using select icon. And click on Item condition icon you will get new screen as
billow shown:

263
Check here all conditions like. Select ZLCR for Service Charges and enter the required price.

264
265
Select the line item by using select icon. And click on Item condition icon you will get new screen as
billow shown:

266
Check here all conditions like. ZBP1 for Price, JEX2 for Excise duty 16%. Etc. Charges and enter the
required price.

267
268
Now go to Edit Tab and select Incompletion Log to check the missing data.
Now save the Quotation by clicking the save
generate the Quotation number.

icon. The Quotation will be saved and the system will

269
Create Sales Order (Order Acceptance)
SAP R/3 menu

Logistics  Sales and Distribution Sales  Order
Create

Transaction code

VA01

Click on Create with
Reference icon

Now press Copy icon to continue. The Overview screen will be as follows:

270
First we have to select appropriate sales Organization, Distribution Channel and Division. The Sales
organization is 1810, the Distribution Channel is 10 for Direct sales and the Division 10. (Sales
Organization + Distribution Channel + Division constitute a sales area). The sales Office is optional entries
which helps a lot for reporting purposes. After the organizational data is entered, now select the order type
and drill down and all the sales documents assigned to the sales area will be displayed.
Select the Order Type ZRF1 for Retrofit sales.

1) Enter PO Number
2) Enter PO date

Now press “ENTER”. The customer details shall be fetched from the customer master and the material
details will be collected from the sales views of the material master. The pricing details will flow from the
appropriate pricing condition records.

271
Check for Item
Availabilty

272
Select the Tick mark to confirm the availability of the material.

273
274
Now Availability check will be carried out.

Now in overview screen, go to Incompletion log and check for the incompletion as shown. If there is no
incompletion, the message “Document is complete” is displayed.

275
.
Now save the Sale Order by clicking the save
generate the Sales Order number.

icon. The Sales Order will be saved and the system will

Create Delivery
Now the next step is creating the Delivery.
SAP R/3 menu

Logistics  Sales and Distribution Sales  Shipping
and Transportation → Outbound Delivery →Create→
Single Document With Reference to Sales Order

Transaction code

VL01N

276
In the Create Outbound Delivery with Order reference, we have to enter the appropriate shipping point,
selection date and the relevant sales document.
For AMPL Retrofit sales, the Shipping point for 1800, for AMSPL sales 2700 and for HIE sales, shipping
point will be 3600 and SSTPL sales Shipping point will be 4500.
Now Press ENTER to Continue. This will take to the “Create delivery: Overview Screen”

277
Enter Storage Location
& Pick Quantity

We can see the Ship to Party and the Material Code and the quantity are all copied from the sale order. We
have to do one thing in Delivery Document a) Post Goods Issue.
All the items are to be picked in the system. For this click the

278

tab.
The system says that the goods movement has not started. Now click the
as shown above.
The system will do the goods issue and Delivery Document Number will be generated. The system displays
the message as follows:

279
Creating Billing Document
After creating the delivery, Invoice has to be generated with reference to the delivery.
SAP R/3 menu

Logistics  Sales and Distribution Billing  Billing
Document → Create

Transaction code

VF01

Create Billing Document Initial Entry Screen will be like this:

Enter the delivery
document number here

280
Now press ENTER. This will take to Billing Overview Screen

Going to the conditions screen, price can be verified before saving the document.

281
Now Go Back to the overview screen by clicking the

Use this icon to save the document.

282

icon.
Create Excise Invoice
Now the Excise Invoice has to be created for factory sale with respect to the invoice created above:
This can be created using Transaction Code J1IIN or by following menu path in India Localization Menu.
The Transaction code to go to India Localization Menu is J1ILN
SAP Easy Access India SAPMenu→IndirectTaxes→Sales/OutboundMovements →
Excise Invoice→For Sale Order→ Create
Localization Menu
Transaction code

J1IIN

Transaction code

J1IIN

Upon executing the above Transaction Code, EXCISE INVOICE FOR FACTORY SALE screen is
displayed where

to be clicked

283
On clicking the “From Billing” Tab, a new screen will appear as follows:

284
Just clicking the due list will display the Bills due for excise invoicing otherwise directly enter the invoice
number and give the correct posting date.
After selecting the billing document and giving the correct posting date, press ENTER. The Excise Invoice
screen will be as follows:

285
Enter the Excise Group “E1” and series group “S1”.
We can see all the values defaulted from the previous document. Now save the document by clicking the
save icon.
The system will give a message:

286

Sap sd-user-manual

  • 1.
    USER MANUAL FOR SALES ANDDISTRIBUTION Submitted to 1
  • 2.
    Table of Contents A.MASTER DATA IN SALES AND DISTRIBUTION ……………………………………………….6 1 Customer Master ……………………………………………………………………………………..6 a) Creating Customer Master ……………………………………………………………………….6 b) Changing The Customer Master…………………………………………………………………19 c) Create Contact Person……………………………………………………………………………22 2. Material Master ……………………………………………………………………………………..25 a) Extending Sales View……………………………………………………………………………26 b) Extending the Sales Area from existing Sales Area……………………………………………..36 3 Pricing Condition records…………………………………………………………………………...42 a) Creating Condition Records …………………………………………………………………….44 i) Condition Record for Price …………………………………………………………………...44 ii) Condition Record for Excise Duty …………………………………………………………..46 iii) Condition Record for Sales Tax …………………………………………………………….49 b) Change/ Display Condition Records ……………………………………………………………51 4 Output Condition Record ………………………………………………………………………….51 5 Maintenance of Customer Related Excise details ………………………………………………….54 6 Maintenance of Excise Bond for Export under Bond ……………………………………………...56 B. BUSINESS PROCESS………………………………………………………………………………60 1 Sales MTO………………………………………………………………………………………….60 Create Inquiry ………………………………………………………………………………….60 Create Quotation…………………………………………………………………………………...64 Create Order Acceptance ………………………………………………………………………….83 Create Proforma Invoice…………………………………………………………………………...96 Availability Check ………………………………………………………………………………..101 Create Delivery……………………………………………………………………………………104 Creating Billing Document ……………………………………………………………………….109 Changing the Tax Value if Concession form is not issued by the customer ……………………..114 Adding Header Conditions like Freight etc. ……………………………………………………...119 Create Excise Invoice …………………………………………………………………………….121 2 Agent Sales ………………………………………………………………………………………126 Sales Returns …………………………………………………………………………………….129 3 Create Return Sales Order ………………………………………………………………………..129 Create Returns Delivery ………………………………………………………………………….133 2
  • 3.
    Create Credit forReturns ………………………………………………………………………...135 Capture Excise Duty ……………………………………………………………………………..137 4 Exports Under Bond ………………………………………………………………………………144 Create Inquiry …………………………………………………………………………………144 Create Quotation ………………………………………………………………………………….146 Create Export Order ………………………………………………………………………………151 Create Export Delivery …………………………………………………………………………...154 Create Export Invoice ………………………………………………………………………….156 Create Excise Invoice .……………………………………………………………………………160 Create ARE1 ……………………………………………………………………………………...161 Post ARE1 ……………………………………………………………………………………......164 Update ARE1 …………………………………………………………………………………......165 Print ARE1 Document ……………………………………………………………………………174 Closing ARE1 …………………………………………………………………………………….175 5 Exports Under LOU ………………………………………………………………………………177 6 Deemed Export ……………………………………………………………………………………178 Create Excise Invoice ………………………………………………………………………….178 Create ARE3 ……………………………………………………………………………………..178 7 Export No Bond …………………………………………………………………………………...179 8 Cancellation of Invoice ……………………………………………………………………….. ….180 9 Reversal of Post Goods Issue ……………………………………………………………………..181 10 Trading Sales ………………………………………………………………………………..…....182 Create Sales Order ……………………………………………………………………………….183 11 Creation of debit Memo Request …………………………………………………………………189 Debit Memo …………………………………………………………………………………….197 12 Service and Spare Sales …………………………………………………………………………..198 Create Inquiry …………………………………………………………………………………...198 Under Warranty Scenario ……………………………………………………………………….202 Create Sales Order ………………………………………………………………………………202 Non Warranty Scenario ………………………………………………………………………..207 Create Quotation ………………………………………………………………………………..207 13. Scrap Sales ……………………………………………………………………………………….217 Create Sales Order ……………………………………………………………………………...217 Create Delivery ………………………………………………………………………………...227 Creating Billing Document …………………………………………………………………….231 14. Annual Maintenance Contract …………………………………………………………………...234 Create Inquiry …………………………………………………………………………………..234 Create Quotation ………………………………………………………………………………..239 Create Contract …………………………………………………………………………………247 Creating Billing Document ……………………………………………………………………..254 15. Retrofit and Job Work Sales …………………………………………………………………….257 Create Inquiry ……………………………………………………………………………………257 Create Quotation …………………………………………………………………………………262 Create Order Acceptance ………………………………………………………………………...273 3
  • 4.
    Create Delivery …………………………………………………………………………………..279 CreatingBilling Document ………………………………………………………………………283 Create Excise Invoice ……………………………………………………………………………286 C. REPORTS IN SALES AND DISTRIBUTION ……………………………………………………… 1 LISTS ………………………………………………………………………………………………… List of Sale Orders VA05 …………………………………………………………………………. List of Sale Orders VA05N ………………………………………………………………………… Outbound Delivery Monitor VL06O ……………………………………………………………….. List of Billing Documents VF05 ……………………………………………………………………. List Of Billing Documents VF05N …………………………………………………………………. Billing Due List VF04 ……………………………………………………………………………… List of Blocked Billing Documents VFX3 …………………………………………………………. Price List V/LD with option 15 …………………………………………………………………….. 2 Reports ………………………………………………………………………………………………. ANALYSIS CUSTOMER MCTA ………………………………………………………………… ANALYSIS MATERIAL MCTC …………………………………………………………………… ANALYSIS SALES ORGANIZATION MCTE …………………………………………………… ANALYSIS SALES EMPLOYEE MCTI ………………………………………………………….. ANALYSIS SALES OFFICE MCTG ………………………………………………………………. D. APPENDIX …………………………………………………………………………………………… 1. Important Icons in Various SD Screens ……………………………………………………………. a) SAP EASY ACCESS SCREEN …………………………………………………………………. b) Icons ………………………………………………………………………………………………. 2. Various Fundamental Aspects to be considered for executing Transactions………………………… a) Account Groups used in Customer Master……………………………………………………….. b) Tax Codes being used in this configuration in present Scenario…………………………………. c) Tips to select the Customer, Material etc. ………………………………………………………... 4
  • 5.
    A. MASTER DATAIN SALES AND DISTRIBUTION Master Data forms the backbone in Sales and distribution module (hereafter will be shortly called as “SD”) as any other modules in SAP. The Primary level of Masters in SD are: 1. Customer Master 2. Material Master (Sales Views) 3. Pricing Conditions The Secondary level of one of the Masters in SD is: 1. Output Conditions Pl refer the Appendix for the SAP EASY Access Screen details 1 Customer Master a) Creating Customer Master The Customer has to be created in the System SAP R/3 menu Logistics  Sales and Distribution  Master Data Business Partners Customer  Create Complete Transaction code XD01 5
  • 6.
    Click select iconand select the Account Group ex. ASK1 Enter Customer number, Account Group having external number range Enter Co Code -1800 1810 for Domestic Sales 1820 for exports 10 – Direct Sales 20 – Agent Sales 30 – Institutional Sales 40 – Distributor Sales 10 – Turning Center 20 – Machining Center 30 – Service 40 – Trading 50 - Common Clicking this tab will show all the sales area available for a customer. Mainly used in Change/Display Modes Clicking this tab will show all the possible sales areas. When creating a customer with reference to other customer with similar details, the reference customer can be entered here. Refer Appendix for Account Group Details. We take an example of creating a Sold-To-Party for the Domestic Customer. Account Group to be selected: ASK1 ASKAR Microns Sold-To-Party Company Code 1800, Sales Organization – 1810, Distribution Channel – 10, Division – 10. 6
  • 7.
    Click Here The Subsequentscreen will be: 7
  • 8.
    External number range (Note: TheCustomer Master has 3 broad sections: a) General Data: Address and other details will be entered here. b) Company Code Data: Accounting related data will be entered here. c) Sales Area Data: SD related data will be entered here.) The Screen above shows the ADDRESS TAB of the General Data Section and the details like Name, Address shall be entered here. The Symbol shows the required entry ie., without which you cannot proceed further. The Screen after filling up the details will be as follows: 8
  • 9.
    Clicking “More Fields” Iconwill show more fields for filling up detailed address, if needed Clicking this icon will display the possible input values for a field The Region field is very important for determining the appropriate tax like CST, LST, VAT etc. As all the required fields are filled up, we can proceed to the CONTROL TAB of the GENERAL DATA section by clicking the control tab as above. The CONTROL TAB section will be as follows: 9
  • 10.
    There is 1important field to be filled up: VAT Reg. NO.: In VAT Scenario, this field is very important. If the concerned customer is VAT Registered dealer, then his 11 digit TIN Number is entered here. Based on this, during invoicing VAT Invoice will be generated for the customer. Otherwise Bill Of Sale will be generated. Now click the will be “Account Management”. tab shown by arrow. The Default screen under Company Code Data 10
  • 11.
    2640000 – SundryDebtors – Domestic 2640001 – Sundry Debtors - Exports This Reconcilliation account is used for Customer Payment Reconciliation. The following GL accounts are used: Next click the Payment Transactions Tab. 11
  • 12.
    Suitable payment termsshall be chosen from the drilldown list. This payment terms shall be changed manually in the sales order and the payment due shall be based on the payment terms. Payment Methods shall be: C – Cheque E – Cash Payment T- Bank Transfer. We can select either one or all the methods. Now click the “Correspondence” Tab 12
  • 13.
    Enter the DunningProcedure as above. This dunning procedure will generate the dunning letters for the overdue payments. Now click the Tab . The default screen will be “Sales” 13
  • 14.
    Exchange rate type“M” has to maintain for Export Customer. Sales Order Sales Office shall be selected from the input help by clicking the drill down button . All the above fields help us a lot in analyses. Enter The Currency. Usually it is “INR” for the domestic customer and for the export customer, appropriate Currency shall be maintained like “USD”. Further exchange rate type “M” shall also be maintained for the Export Customer. 14
  • 15.
    Pricing Customer Pricing Procedureplays an important role along with Document Pricing Procedure in arriving at specific pricing procedure. For example Customer pricing Procedure “1” and the Document Pricing Procedure “A” along with sales Area 1810 10 10 will select the AMPL MTO Pricing Procedure. Customer Statistics Group along with Material statistics Group in Material Master will update the information systems for all the Sales transactions. Always fill “1” in this field. Now Click the SHIPPING Tab Shipping Conditions along with Loading Group in Material Master and Plant shall determine the Shipping Point for Delivery in Logistics Execution. Now clock the BILLING Tab 15
  • 16.
    The INCOTERMS andthe PAYMENT TERMS also to be appropriately picked after drilling down and choosing from the Input Help. 16
  • 17.
    ACCOUNT ASSIGNMENT GROUPin Customer Master along with Account Assignment Group in Material Master along with Sales Organisation/AccountKey/ChartofAccounts helps the system in deciding the correct GL Account. The Tax classification fields shall be filled with appropriate values from the INPUT Help. For example the customer is in Maharastra and is buying from Mysore plant where generally CST 3% is applicable on products being sold, then the option “4” under VAT 4% shall be chosen and for all the other tax conditions, option “0” has to be chosen as they are not applicable. When creating sale order/invoicing, the system based on the tax classification details in Customer master and material master and the region of the delivering plant and the region of the customer shall calculate appropriate tax and the tax registers will be updated accordingly. Now Click the Partner Functions Tab The Partner Functions SP,SH,PY and BP will be defaulted. The Partner Function CR - Forwarding Agent shall be manually entered. Now save the customer master. The message as below is displayed. 17
  • 18.
    b) Changing theCustomer Master Note: The Customer thus created, can be modified further using Transaction code: XD02. Example: The Customer’s Door No. is to be modified and the Customer Tax Classification has to be modified in Billing View of Sales Area data. This can be executed in change mode. The Customer Change Screen is as follows (self explanatory): Click here after entering the Customer number and the company code and all the possible sales areas will be displayed. 18
  • 19.
    Click the button above.Enter the Door No. and Select the button and then the “Billing Documents” Tab. Modify the Tax Classification from “0”( Nil Excise, Nil Tax) to “2”( Full Excis,3% CST) as the case may be. 19
  • 20.
  • 21.
    Then click the -save icon to save the changes made. The message will be as follows: For mere display of details transaction Code “XD03” can be used. c) Create Contact Person The Customer has to be created in the System SAP R/3 menu Logistics  Sales and Distribution  Master Data Business Partners Contact Person  Create Transaction code VAP1 21
  • 22.
    Enter Customer No. Continue to pressEnter, you will get new screen as bellow: 22
  • 23.
    Title and Lastname is mandatory in this screen balance available data you can fill. Press save icon, you will get bellow message: 23
  • 24.
    Press Enter youwill get billow message: 2 Material Master For any sales transactions, Material code is important apart from Customer code. The Material is created in the system by the Materials Department. The Person responsible for Sales related Materials has to extend the sales views only after the relevant materials are created in the system. 24
  • 25.
    a) Extending SalesView SAP R/3 menu Logistics  Sales and Distribution  Master Data Products Material  Other MaterialCreate Transaction code MM01 Material Master has many views being maintained by different functions. Sales & Distribution Module will be concerned with maintaining the Sales Views. Material code with Basic data will be created with other relevant views by Materials Department. Now the person responsible for maintaining the Sales Views has to extend the sales views as illustrated in the following steps: 25
  • 26.
    Enter the materialcode already created and press “ENTER”. Industry Sector and Material Type will be defaulted and the Select view screen will Pop-Up If the material to be extended from one sale area to other sale area, the material code can be entered here also 26
  • 27.
    Continue to Press“Enter” and then Selection view will pop-up as below, where you have to select views related to SD: 27
  • 28.
    Hitting this tabwill make the above selections default one. Use it only for repeated entries. Click here and one more pop-up for entering Organizational details will appear 28
  • 29.
    Enter the Plant,Sales Organization and Distribution Channel for which the material to be created(extended). Repeated entries has to be made for various materials with the above selections, then the above selection can be made default values by hitting button. Now press 29 to proceed.
  • 30.
    Just observe themessage which says the material has been already created and being extended only. Note: There are many fields, all of which need not be entered. Only those fields which are essential from operational/statistical aspects are instructed to be entered here. 30
  • 31.
    Enter appropriate division Enter TaxClassification and press ENTER (Main Screen for Tax maintenance will pop up) This value is defaulted from the previous views maintained by the materials Department. This material group is concerned with Material grouping from MM point of view Note: As already mentioned for customer tax classification, the entry in Tax Classification against each condition types plays a vital part in correct tax determination during sale order creation and invoicing. 31
  • 32.
    The data maintainedin this view are vital for analysis. Each will be explained briefly. Material Statistics Group: Enter “1” always. This field has to be entered without fail. The value in this field along with Customer Statistical Group maintained in customer master will update the information system. Gen Item Category Group and Item Category Group: Generally for Finished Products(Material Type: FERT) “ NORM” will default in both the fields. Here in this example for Semifinished Products(Material Type: HALB) vale “ NORM” however can be filled. In sales order processing, based on the sales Document Type, the system determines the Item category of the material entered based on the Item Category Group found here. (Pricing, Billing Relevance etc. are controlled by the item category) 32
  • 33.
    The Sales: Salesorg. 2view after filling up the details are as follows: Now click on the Sales:General/Plant View 33
  • 34.
    Always enter ZSERif Material is FG, like Spinner 15, Spinner dot com. and Spinner 22 Transportation Group: 0001 grouping of materials that share the same route and transportation requirements. Always maintain 0001. Loading Group: This loading Group along with Shipping Condition value from shipping tab of customer master and the plant code will help the system in determining the shipping point. Always maintain 0001. Press ENTER and pop up will prompt for saving the record and press ENTER again and the message will be displayed 34
  • 35.
    b) Extending theSales Area from existing Sales Area Example: Material to be extended from sale area 1810 10 to 1820 10. Enter the material code as shown below: press ENTER. Observe the screen for messages. Press ENTER again and the selection view pop-up will come. Select the sales views as shown below: 35
  • 36.
    press the button andagain a pop-up will come. 36
  • 37.
    In the copyfrom portion, enter the existing organizational details ie., Plant – 1800, Sales Org – 1810, Distribution Channel – 10. Under Organizational levels enter the plant and sales org and distribution channel for which the material being extended. Press button. 37
  • 38.
    Since almost allthe details are same go on press “ENTER” till the system prompts for saving (if any field to be modified, it can be suitably done). 38
  • 39.
  • 40.
    Press ENTER. APop – Up will prompt you to save. Press ENTER to save the Material Master. Material Master saved with the below message. To Change the material use the Transaction Code MM02 and for Display use the Transaction code MM03. 40
  • 41.
    3 Pricing Conditionrecords Pricing in SD is either automatic or manual. If the pricing is to be automatic, then the condition records to be maintained in the system for suitable combinations so that system will pickup the price based on the combination and the selection will be made based on the access sequence. The following are the various condition types with suitable combinations being used: Table 1 Description Available Combination Pricing Combination generally chosen Remarks ZBP1 PRICE STD a) Customer / Material with release status b) Price list Category / currency / Material with release status c) Material with release status b) Price list Category / currency / Material with release status c) Material with release status For Domestic sales pricing combination (C) is chosen. For Export sales pricing (B) combination is chosen ZDIS Material Discount a) Material with release status b) Customer with release status a) Material with release status ZPNF packing n forwarding Header condition no combination Condition Type Description Available Combination Condition Type UTXJ Tax Jurisdiction Code a) Country / Plant / Region / Tax cl. 1 Cust / Tax Cl. Material. b) Country / region / Plant region c) Export taxes d) Country / State / Customer Classifi.1 / Material Classif. 1 41 Select manually whenever required in order Pricing Combination generally chosen d) Country / State / Customer Classifi.1 / Material Classif. 1 Remarks For Domestic Sales chose (d). For Export sales chosen (C).
  • 42.
    JMOD IN:A/R BED Tax Classification TaxClassification JCES IN: A/R Cess Tax Classification Tax Classification JECS IN: A/R Ed. Cess Tax Classification Tax Classification Excise Duty @ 16% a) Sales Organization / Country. b) Sales Organization Destination JEX2 Edu. Cess @ 2% a) Sales Organization / Country. b) Sales Organization Destination ZECS S&H Edu.Cess @ 1% a) Sales Organization / Country. b) Sales Organization Destination JHEC JIN1 IN A/R CST a) Departure Country / Destination Country. b) Domestic Tax c) Export Tax d) Country / Plant / Region JIN6 IN A/R VAT a) Sales Organization / Country. b) Sales Organization Condition Type Description Available Combination Service Charges a) Customer / Material with release status b) Price list Category / currency / Material with release status c) Material with release status Service Discount % a) Customer / Material with release status b) Vendor c) Sales Org. / Distr. Chl / Division / Customer / Vendor Service Discount a) Customer / Material with release status b) Vendor c) Sales Org. / Distr. Chl / Division / Customer / Vendor ZLCR ZSVP ZSVD 42 b) Sales Organization b) Sales Organization b) Sales Organization b) Domestic Tax Destination b) Sales Organization Pricing Combination generally chosen N/A N /A N /A Remarks Manual condition type not required any of these combination. Manual condition type not required any of these combination Manual condition type not required any of these combination
  • 43.
    IN A/R SERVICETAX% a) Departure Country / Destination Country. b) Domestic Tax c) Export Tax d) Country / Plant / Region d) Country / Plant / Region IN A/R Service Ed. Cess 2% a) Departure Country / Destination Country. b) Domestic Tax c) Export Tax d) Country / Plant / Region d) Country / Plant / Region JSHE Service SHE-Cess 1% a) Departure Country / Destination Country. b) Domestic Tax c) Export Tax d) Country / Plant / Region d) Country / Plant / Region IN A/R TCS% a) Material with release status a) Material with release status ZSTX JSEC UTXJ/JMOD/JEX2/JECS/JCES/JIN1/JIN6/ZSTX/JSEC/JSHE are Tax Conditions and hence appropriate tax codes to be entered during creation of condition records. For Other Condition types, we cannot enter tax codes as it is not necessary. We shall see the examples which are fairly representative. a) Creating Condition Records SAP R/3 menu Logistics  Sales and Distribution  Master Data Conditions Select Using Condition Type Create Transaction code VK11 i) Condition Record for Price 43
  • 44.
    Click here After clicking thepop up will be as follows: Refer the table for clarification. Choose the last option and click 44
  • 45.
    Enter 1. SalesOrg 2. Distribution Channel 3. Material Code 4. Amount 5. Unit – INR or appropriate currency 6.Valid From date 7. Valid to date If dates are not entered, then the system will default current date for valid from date and 31.12.9999 for ValidTo date which can be modified. Now save the condition record using save icon . We can enter as many materials for this combination of sales organization and distribution channel. Message is displayed ii) Condition Record for Excise Duty SAP R/3 menu Logistics  Sales and Distribution  Master Data Conditions Select Using Condition Type Create Transaction code VK11 45
  • 46.
    On clicking thekey combination, the following pop-up will appear Select the 2nd option from the top. ie., Sales Org/ Destination Country by selecting the radio button and clicking . This will take us to the Create Fast Entry screen as shown below: 46
  • 47.
    Enter Amount Enter Sales Org. Enter Fromand To dates for validity After entry the screen is as follows Save the condition by clicking . Message is displayed. Similarly For Condition Type ZECX (Ecess) and JHEC (H.E.Cess) condition record has to be created. 47
  • 48.
    iii) Condition Recordfor Sales Tax SAP R/3 menu Transaction code VF11 Select the option Tax Classification and click to continue. 48
  • 49.
    Enter appropriate tax code.. Enter Amount Enter appropriate taxcode Save the condition record. Similarly sales tax to be maintain for JIN1. For Service Tax, ECess on Service Tax, Individually condition records to be maintained as per the combinations mentioned in the table referred above. Appropriate Tax Codes shall also be referred under Appendix. 49
  • 50.
    b) Change/ DisplayCondition Records SAP R/3 menu Logistics  Sales and Distribution  Master Data Conditions Select Using Condition Type Change Transaction code VK12/FV12 SAP R/3 menu Logistics  Sales and Distribution  Master Data Conditions Select Using Condition Type Display Transaction code VK13/FV13 The Condition records created can be changed or displayed using the above Menu Path/Transaction Codes. The input data in the form of Organizational data/Material etc. to be provided to fetch the data. 4 Output Condition Record Outputs are issued from SAP as a result of various transactions being executed. Particularly in SAP, there are various OUTPUTS like, Order Confirmation, Delivery Note, Invoice etc. are being generated in the system. In this implementation, the Invoice output only being considered for SD Module. The following output types are available: ZRD0 – Factory Invoice Output , ZRD1 – Depot Invoice Output , ZRD2 – Export Invoice Output This output shall be generated automatically based on the condition records. We shall take an example of creating condition record for Billing Output for Factory Invoice. SAP R/3 menu Logistics  Sales and Distribution Master Data  Output Billing Document→ Create Transaction code VV31 50
  • 51.
    2. Click here 1.Enter the output type The Popup will be like this. Press continue to proceed. 51
  • 52.
    Enter the billingtype and press “ENTER”. The other details will default as shown above. Flag the line item and click the tab to define the printer. 52
  • 53.
    Enter the Printer“LOCAL” and make settings as above and save. All the other output records are to be created as shown above. Condition record is saved with the following message: . To change the output condition record, transaction code is VV32. For mere Display, use the Transaction code VV33. 5 Maintenance of Customer Related Excise details Customer Related Excise and Sales Tax details are to be maintained in the system. For this we have to go to India Localization Menu using Transaction Code: J1ILN India Localization menu SAP Menu→Indirect Taxes→Master Data→Excise Rate 53
  • 54.
    Maintenance Transaction code J1ID Select theCustomer excise details and Press Click the to continue. and enter the details. 54
  • 55.
    Details like LSTno., CST no. etc., are to be provided. For Domestic Customer, without fail, the Customer Excise Indicator “1” has to be maintained as shown below: Save the above entries using the Save icon. 6 Maintenance of Excise Bond for Export under Bond For Exports under Bond/Letter of Undertaking, Excise Bond/Letter of Undertaking issued by authorities are to be captured in the system. India Localization menu SAP Menu→Indirect 55 Taxes→Master Data→Excise
  • 56.
    Bond→Create Transaction code J1IBN01 Enter thePlant code ie., 1800 Bond Type as applicable by selecting from the list, Bond no. as per Excise Department has to be entered as it is appearing in the Physical document. Bond Value as per the Bond. This value will be Nil for Letter of undertaking (LOUT). Type of Dispatch Select Single or Multiple Dispatches as applicable 56
  • 57.
    Upon saving theentries, system will generate the document number for reference. Specimen screen shot for LOUT (Letter of Undertaking) 57
  • 58.
    Note: Enter valueunder Bond value and press enter the Bond value field will disappear for LOUT. 58
  • 59.
    B. BUSINESS PROCESS 1Sales MTO MTO Scenario is explained here step by step. Inquiries receive from the customers. Sales made from the factory is explained here step by step. Orders are received from the customers verbally or as purchase order. Stock items are delivered for the ordered quantity and invoice raised and sent to the customer for payment. (sale order entry and other documents will be explained in detail for this process only). Create Inquiry SAP R/3 menu Logistics  Sales and Distribution Sales  Inquiry  Create Transaction code VA11 First we have to select appropriate sales Organization, Distribution Channel and Division. The Sales organization is 1810, the Distribution Channel is 10 for direct sales and the Division 10 is for Turning 59
  • 60.
    Center. (SalesOrganization+Distribution Channel+Divisionconstitute a sales area). The sales Office is optional entry which helps a lot for reporting purposes. After the organizational data is entered, now select the Inquiry type and drill down and all the Inquiry documents assigned to the sales area will be displayed like as bellow: Select the Inquiry Type ZIN1 for MTO Direct sales. 60
  • 61.
    Now press ENTERto continue. The Overview screen will be as follows: 61
  • 62.
    Enter Customer No. Ifthe ship-to party is different from sold-to-party, then enter the ship-to party Inquiry Validity needs to enter Enter Material Code Enter Material quantity The customer details shall be fetched from the customer master and the material details will be collected from the sales views of the material master. The pricing details will flow from the appropriate pricing condition records. Once entered all necessary field will get screen as bellow: 62
  • 63.
    Click on saveicon. You will get as bellow message: Create Quotation SAP R/3 menu Logistics  Sales and Distribution Sales  Quotation  Create Transaction code VA21 63
  • 64.
    Select radio buttonyou will get list of Quotation as billow: 64
  • 65.
    Select required quotationtype. Example ZQSO and ENTER. 65
  • 66.
    Click on Createwith reference icon. Click on Create with reference icon you will get new screen as shown billow: 66
  • 67.
  • 68.
    Enter Inquiry Number. SelectCopy icon, you will get new screen as shown follows: 68
  • 69.
    All the detailsshall be fetched from the Inquiry document. 69
  • 70.
    Enter quotation Validto field. Click on forwarding icon until you get Material groups fields like as billow. 70
  • 71.
  • 72.
    Fill all 5material groups by selecting drop down list. Then press ENTER to go to main screen. 1) 2) 3) 4) 5) C / H Form required, not required or received. Commissioning required, not required or done. CT3 Form required, not required or received. Road permit Form required not required or received. Under warranty, Non warranty or not relevant. 72
  • 73.
    Select the lineitem by using select icon. And click on Item condition icon you will get new screen as billow shown: 73
  • 74.
    Check here allconditions like. ZBP1 for Price, JEX2 for Excise duty 16%. Etc. Select Back icon to reach main screen. 74
  • 75.
    Step 1: Select theMaterial 1) Step 1: Select the Material 2) Step 2: Click on Goto icon and select shipping screen as shown, you will get new screen as shown billow: 75
  • 76.
    Enter Net weightand Gross weight. Click on Billing document tap page, you will get new screen as shown billow. 76
  • 77.
    Need to selectIncoterms by selecting Radio button to get list of Incoterms. Select which is required. Incoterms is nothing but transportation planning. How we are supply the material to the Customer. Example selects ZDD - Door Delivery. It will look like as billow. 77
  • 78.
    Click on Backbutton to go back to main screen. 78
  • 79.
    Click on Headerdetail icon to complete text details. You will get new screen as follows: 79
  • 80.
    Click on Textstap page to view text details. 80
  • 81.
    Here we canadd additional details like: Click on the field Terms & Condition to write details of terms and condition and also you can download by clicking on Load local file icon. 81
  • 82.
    Continue to dothe other required texts same. You can right your own and also download. If you want to right your own click on the text type you want example Prepared by and enter name. Select Save icon to save the document. You will get the message as follows. Create Sales Order (Order Acceptance) SAP R/3 menu Logistics  Sales and Distribution Sales  Order Create Transaction code VA01 82
  • 83.
    First we haveto select appropriate sales Organization, Distribution Channel and Division. The Sales organization is 1810, the Distribution Channel is 10 for Direct sales and the Division 10. (Sales Organization + Distribution Channel + Division constitute a sales area). The sales Office is optional entries which helps a lot for reporting purposes. After the organizational data is entered, now select the order type and drill down and all the sales documents assigned to the sales area will be displayed. 83
  • 84.
    Select the OrderType ZOR1 for MTO sales. 84
  • 85.
    Click on Createwith Reference icon 85
  • 86.
    Now press Copyicon to continue. The Overview screen will be as follows: 86
  • 87.
    Click on ContinueIcon. This screen is showing status of Material Availability. And it says Confirmed quantity is zero for this order. After entering the Continue Icon, the screen will appear like this: 87
  • 88.
    1) Enter PONumber 2) Enter PO date Note: The Delivery block and Billing block as shown above can be removed, if the user has authorization, otherwise the authorized user has to go the change mode [VA02] and shall remove the delivery and Billing Blocks. Now press “ENTER”. The customer details shall be fetched from the customer master and the material details will be collected from the sales views of the material master. The pricing details will flow from the appropriate pricing condition records. 88
  • 89.
    All the encircled dataflows from respective masters The Item category TAN1/TAC is based on configuration. The payment terms and the Incoterms defaulted from the customer master can be modified as per the current trend. The delivering plant is also defaulted which is not visible above but shown a partial portion for understanding. 89
  • 90.
    Flag the itemline as shown below and click the condition icon screen. The Pricing screen for this line will appear. 90 in the bottom portion to go to the pricing
  • 91.
    We can seethe pricing details as above. Being MTO sale, we can see the excise duty and the ecess being calculated. Observe the tax details. Being Local sales, System is calculating the VAT Sales. Now select the tab encircled above by clicking it. We can see that the item being confirmed qty. is zero means that the stock is not available. Now press the go to the overview screen. 91
  • 92.
    Click Header details Now click theheader details icon as above which will display the Header Data Screen. Click the tab as shown above. 92
  • 93.
    Generally the salesContact person will default from the Customer master, which you can change here. Otherwise you have to enter the sales Contact person code by selecting from the input help. Now press the to go to the overview screen. In overview screen, check for the incompletion as shown: If there is no incompletion, the message “Document is complete” is displayed. Let us suppose the Incoterms is not there, when doing incompletion check and how to complete the same. 93
  • 94.
    Click here Flag theline and click the tab. This will take us to the Partner screen as before where we have to enter the sales employee number. 94
  • 95.
    After entering theIncoterms, You will get information Freight is redetermined, Press enter now click on the Edit Next Data tab. If there is further incompletion, it will go to the respective screens else it will say . Now save the Sale Order by clicking the save generate the Sales Order number. icon. The Sales Order will be saved and the system will Proforma Invoice Once Order Acceptance document is ready we can generate Proforma Invoice if it’s required. Procedure is as follows: SAP R/3 menu Logistics  Sales and Distribution Billing  Billing Document → Create Transaction code VF01 95
  • 96.
    Create Proforma InvoiceDocument Initial Entry Screen will be like this: Enter OA doc. No. Press ENTER to continue. 96
  • 97.
    Select save iconto save. You will get message as follows: To take print out follow the billow procedure: SAP R/3 menu Logistics  Sales and Distribution Billing  Billing Document → Change Transaction code VF02 97
  • 98.
    Select Proforma InvoiceDoc. No. Click on Click on icon. You will get list of option as billow: icon you will get as billow shown box. 98
  • 99.
    Select Message type Selectprint icon for print. Select print preview icon for preview. Same procedure follows for any printout like Quotation [VA22], Order Acceptance [VA02] Service Invoice [VF02]. Once we create Order acceptance document, it will go to Production department for Production planning. Once all necessary activities completed from production and Material Management need to run availability check in SD. Procedure is as follows: 99
  • 100.
    Availability Check SAP R/3menu Logistics  Sales and Distribution  Sales  Order Change Transaction code VA02 Enter order no. Press ENTER to continue. You will get screen as follows: 100
  • 101.
    Step 1: Clickhere to select Material Step 2: Click here to run Availability You will get new screen as follows: 101
  • 102.
    Now you cansee Confirmed quantity is one, Click on You will get the message as follows: To confirm the same fallow the billow procedure: Step 1: Click here to select Material Step 2: Click here to select Schedule lines 102 icon.
  • 103.
    Now you cansee the Schedule lines screen as follows: Now you can see the Confirmed quantity is one. It was zero when we created order. Now the next step is creating the Delivery. Create Delivery Now the next step is creating the Delivery. SAP R/3 menu Logistics  Sales and Distribution Sales  Shipping and Transportation → Outbound Delivery →Create→ Single Document With Reference to Sales Order Transaction code VL01N The Creation of delivery is with reference to the sale order already created, which will be illustrated below: 103
  • 104.
    In the CreateOutbound Delivery with Order reference, we have to enter the appropriate shipping point, selection date and the relevant sales document. For AMPL MTO sales, the Shipping point for 1800, for AMSPL sales 2700 and for HIE sales, shipping point will be 3600 and SSTPL sales Shipping point will be 4500. Now the Sale being AMPL, we shall select the shipping point 1800. As far the selection date is concerned, it shall be the date on or after the confirmation date of the respective schedule line in the sale order. In the Order field enter the Sale Order number which has been created. (If the delivery is selective, we can enter the line item as appearing in the sale order. Else do not enter anything against item number. Even if the item selection is random, do not enter the item number, and all the line items will be copied in delivery and the line item which need not be delivered shall be deleted). 104
  • 105.
    Now Press ENTERto Continue. This will take to the “Create delivery: Overview Screen” 105
  • 106.
    We can seethe Ship to Party and the Material Code and the quantity are all copied from the sale order. We have to do one thing in Delivery Document a) Post Goods Issue. All the items are to be picked in the system. For this click the tab. The delivery quantity has to be entered as picking quantity also. Then press ENTER. This will modify the picking status. 106
  • 107.
    The OverallPickStatus changedfrom “A” to “C”. Now the next step is to do “POST GOODS ISSUE”. Before doing post goods issue, let us have a look at the Stock Position, for example: Now let us click the as shown below. 107
  • 108.
    The system saysthat the goods movement has not started. Now click the as shown above. The system will do the goods issue and Delivery Document Number will be generated. The system displays the message as follows: Transaction Codes: VL02N – Change Delivery Document, VL03N – Display Billing Document. Creating Billing Document After creating the delivery, Invoice has to be generated with reference to the delivery. SAP R/3 menu Logistics  Sales and Distribution Billing  Billing Document → Create Transaction code VF01 108
  • 109.
    Create Billing DocumentInitial Entry Screen will be like this: Enter the delivery document number here Now press ENTER. This will take to Billing Overview Screen Going to the conditions screen, price can be verified before saving. 109
  • 110.
    Flag the lineitem and click the display item conditions icon. 110
  • 111.
    Now Go Backto the overview screen by clicking the icon. Now click the Header conditions icon and Header Pricing Conditions will be displayed. 111
  • 112.
  • 113.
    If there ismore than one line item, the total of all the line items will be reflected in the header data conditions screen. Changing the Tax Value in Billing. Go back to the Overview screen using This will take to the Header Data Screen icon. Now click the Display Header Doc details icon 113 .
  • 114.
    Roll down thePull down Tab in the side. 114
  • 115.
    The first classificationwas VAT and select 8 which stands for 4% VAT. 115
  • 116.
    Now the classificationwe have changed to 3 which stands for 12.5% VAT. Now see the Item Condition screen and it will be observed that the VAT is 12.5%. Thus the sales tax is modified as per the requirement. 116
  • 117.
    Same procedure wecan follow suppose the Customer has accepted to issue Form “C” and therefore sales tax being charged at 3% against Form “C”. However, Customer says that they will not be able to provide Form “C”. Thereby there is no other alternative than charging 12.5% CST. For this Tax Classification has to be modified in Billing Header details as per the steps given. Note: Generally as per the requirement sales tax will be determined at highest value, based on concession forms user can manually modify the tax classification thereby the tax value. Care should always be taken to avoid errors. Adding Header Conditions like Freight etc. The ASKAR requirements are as such, the discounts, freights, insurance etc. are added at the Header level rather than at item level. When applied at header level, it is valid for the total document. Now we take an example of adding Freight Value, if it is applicable. Go to the Header Pricing Screen as described before. Observe here after adding freight etc. Click Here 117
  • 118.
    Select Condition Type“ZHD0” Freight.( If the component has to be “Insurance” select ZHD1). Press ENTER 118
  • 119.
    We can seethe effect. The price got updated and the net value got increased. We can see the Freight amount entered is a fixed amount and is applicable to the whole document instead of a single item. Similarly Cash Discount for advance payment can be given by selecting the condition type ZADV. Use this icon to save the document. If the message like “ No accounting document is generated” is displayed that should be communicated to the help desk immediately for analysis and resolution. Other relevant Transaction codes: VF02 – Change Billing Document, VF03 – Display Billing Document. Create Excise Invoice Now the Excise Invoice has to be created for factory sale with respect to the invoice created above: This can be created using Transaction Code J1IIN or by following menu path in India Localization Menu. The Transaction code to go to India Localization Menu is J1ILN SAP Easy Access India SAPMenu→IndirectTaxes→Sales/OutboundMovements → Excise Invoice→For Sale Order→ Create Localization Menu 119
  • 120.
    Transaction code J1IIN Transaction code J1IIN Uponexecuting the above Transaction Code, EXCISE INVOICE FOR FACTORY SALE screen is displayed where to be clicked On clicking the “From Billing” Tab, a new screen will appear as follows: 120
  • 121.
    Just clicking thedue list will display the Bills due for excise invoicing otherwise directly enter the invoice number and give the correct posting date. Upon entering the Company Code, Plant Code and Excise group and executing, the system will display the duelist. 121
  • 122.
    After selecting thebilling document and giving the correct posting date, press ENTER. The Excise Invoice screen will be as follows: 122
  • 123.
    Enter the ExciseGroup “E1” and series group “S1”. We can see all the values defaulted from the previous document. Now save the document by clicking the save icon. The system will give a message: . For Change/Display, use the same transaction code, For cancel click cancel icon For change click change icon For display click display icon 123
  • 124.
    Enter the Exciseinvoice number, excise year and series group and press ENTER. The document will be displayed. Thus ends the MTO Direct Sales Process. 2 Agent Sales Agent sales scenario is same like MTO Direct sales. Difference is need to capture agent commission in Quotation or Order Acceptance. You can see in billow screen how to maintain the agent commission. Create Sales Order SAP R/3 menu Logistics  Sales and Distribution Sales  Order Create Transaction code VA01 124
  • 125.
    Select all requiredfield like shown in the screen. Press enter to continue. Fill all necessary fields as mentioned in MTO scenario. Worming message will appear as shown billow: 125
  • 126.
    Select the lineitem and click on pricing icon Scroll down to select condition type YCMM for vale and ZCMM for percentage by using radio button option. Enter value example Rs.5000. 126
  • 127.
    Since these conditionstypes are statistical net value will not update. Save the document. Same procedure can follow to maintain at Quotation level. Other Sales documents for Agent sale Inquiry ZINA Quotation ZQTA. Now we shall see the Sales returns 3 Sales Returns Let s consider the case of delivered items being returned due to some reasons. This items are to be taken as returns and if the returns are within the period, modvat can be reversed. Create Return Sales Order A sales order has to be created for returns as it has been for the normal sales order. Here we have the option of creating the same with or without reference to the preceding document. In this configuration the reference document is not made mandatory as the returns may belong to the dispatches made prior to this SAP Implementation. However, if the preceding document is available in SAP, then it is strongly recommended to refer the same. It is highly better to have the preceding document reference as Invoice rather than a sales order for obvious reasons. SAP R/3 menu Logistics  Sales and Distribution Sales  Order Create Transaction code VA01 127
  • 128.
    On clicking the“Create with Reference”, there will be popup asking for reference document. Press the Copy Button as above and all the contents of the preceding document will be copied in to the returns sales order. 128
  • 129.
    Let us assumethat out of 2 nos. supplied 1 is being returned. Edit the quantity from 2 to 1 being the returned quantity. The quantity field thus can be edited as it is required. Note: The Billing block as shown above can be removed, if the user has authorization, otherwise the authorized user has to go the change mode and shall remove the Billing Block. In Purchase Order field you can enter the old reference or new reference as required. The price and other data can be checked, as usual. Now the incompletion has to be checked, before saving the document. 129
  • 130.
    Being Sales return,the system is asking for the order reason. Flag the line and click the “Complete Data” Tab. This take us to the Header Data sales Tab. 130
  • 131.
    We can selecta suitable reason, for example “009 Defective” being chosen. After click “EDIT Next Data” button in the top. If there is no other incompletion, “Document is complete” message will be displayed. Now save the sales document. The message is displayed. Create Returns Delivery SAP R/3 menu Logistics  Sales and Distribution Sales  Shipping and Transportation → Outbound Delivery →Create→ Single Document With Reference to Sales Order Transaction code VL01N The Returns Delivery is created with reference to the Returns Sales Order. 131
  • 132.
    Press ENTER tocontinue. The resulting screen will be as follows: For Returns, this tab is “Post Goods Receipt” instead of “Post Goods Issue”. Now do the “POST GOODS RECEPT”. Picking not relevant for Returns. Now do the Post Goods Receipt. The Returns Delivery Document number will be generated after doing the Post Goods receipt. . 132
  • 133.
    As we cansee item has bee posted in the returns stock. Authorised person will move the returns to the unrestricted, if found suitable, by transfer posting using movement type 453. Create Credit for Returns Now Credit Note has to be created for returns. Generally, Credit for Returns will be based Order related billing unlike usual delivery related billing. We can see the sale order number there. Press ENTER to continue. Note: Before creating invoice, Billing block in sale order has to be removed. 133
  • 134.
    Important: Now goto the item pricing details and note down the basic price, excise duty and ecess as this will help when capturing the excise invoice for Modvat Reversal. Basic Value: Rs. 54.72, BED: Rs. 8.76 ECess: Rs. 0.18 Now save the billing document and the following message will appear: . There is no automatic posting. This has to be manually released, if you have authorization. 134
  • 135.
    The release canbe effected in change mode by clicking the will appear icon. Upon release, the following message . We know the Outgone reference invoice number is 1010000108 Capture Excise Duty First enter TCode: J1ILN to go to India Localization Menu. SAP Easy Access India SAP Menu→ Indirect Tax → Procurement → Excise Invoice → Incoming Excise Invoice →Central Processing Localization Menu → Capture Transaction code J1IEX 135
  • 136.
    Here in theabove screen all the data to be manually entered. Header data: Excise Invoice no: First we have to enter Excise Invoice number under which the item was originally Dispatched. Doc date: Document date Excise Group: E1 Sub transaction Type: 01 Posting date: date on which this returns to be posted Vendor: This is standard SAP Screen, thereby asking Vendor number. However, for information purpose, we have to create Dummy Vendor “Excise Returns” which you can select enter. In search term give “returns” to select this vendor. Item data: Item data to be entered line by line. Material code and the plant to be entered. Item OK check box to be checked. The proper chapter id has to be given. The Finished goods shall be entered as Input/Output material in CENVAT Determination table. 136
  • 137.
    Under Duty Values,we have to enter the details, which we have taken earlier. To enter next line click the next item icon. If there is difficulty in viewing this portion, then we can click in the header portion to collapse the header data as shown here: 137
  • 138.
    After this lineitem portion will be more clear for entering the data. After all the line items are entered, then we can check for consistency by clicking the tab. When everything is OK, then there will not be error log, except certain warnings. Now Simulate using tab. The Simulate Tab will popup the following screen: 138
  • 139.
    Press ENTER toContinue. Now post the document by clicking the tab. The Document will be posted and the internal number will be generated as shown below: 139
  • 140.
    We can goto the Display mode and see the Modvat utilization 140
  • 141.
    Press enter togo inside the document. Just click Part II where it will show the link to the accounting document If you click the accounting entries will be displayed. 141
  • 142.
    Thus ends theSales Returns and Modvat Utilization in MTO. 4 Exports under Bond Exports are made to various countries. The Exports involves some concessions based on the Government incentives. The Exports exempted from Duty against the Excise Bond issued by excise authorities. The Export should accompany ARE1 Form for the concession to be availed. Create Inquiry The Enquiry (Verbal/written) made by prospect has to be captured in the system. SAP R/3 menu Logistics  Sales and Distribution Sales  Inquiry Create Transaction code VA11 Order Type: ZIE1 142
  • 143.
    Press ENTER tocontinue. 143
  • 144.
    Enter the detailsas above. The Pricing Date has to be given which will help for exchange rate determination. Enter Quotation validity date and Payment terms. Now check for incompletion. Message: . Now save the document. Message: is displayed. Create Quotation The enquiry received from the prospect is analyzed and a quotation is prepared with competitive price and this can done in SAP as follows: SAP R/3 menu Logistics  Sales and Distribution Sales  Quotation Create Transaction code VA21 144
  • 145.
    The quotation canbe created with or without reference to the Inquiry. Click on the tab. The following pop-up will come where the inquiry tab has to be selected and the inquiry number created as above has to be entered. 145
  • 146.
  • 147.
    We can seethat all the details flown from the inquiry and we can modify the quantity and other details as it is applicable. Now Click on the conditions icon and go to the pricing screens and enter the pricing details for all the line items. 147
  • 148.
    Now check forthe incompletion and note the message: Since quotations will have a validity period, system is throwing it as incompletion, in case it is not filled up. Flag the line and click the validity date. tab. The system will go to the respective screen/field. Enter the 148
  • 149.
    After that clickthe Edit Next Data Button . If any other incompletion list like Material group, gross weight, net weight and payment terms are needs to complete use same procedure. Once every thing filled is displayed. Now save the document. Create Export Order After quotation being sent, Customer places the order with reference to the quotation submitted. A Sale order can be created with or without reference to the quotation. SAP R/3 menu Logistics  Sales and Distribution Sales  Order  Create Transaction code VA01 149
  • 150.
  • 151.
    Click on thecopy icon to continue. The Details in quotation will be copied in to the sale order. 151
  • 152.
    Check for theprice and other details and then Check for incompletion. If the document is complete, save the document. Message: is displayed. Create Export Delivery SAP R/3 menu Logistics  Sales and Distribution Sales  Shipping and Transportation → OutboundDelivery →Create→ Single Document With Reference to Sales Order Transaction code VL01N 152
  • 153.
    Enter shipping pointas 1800 and enter the export order 153
  • 154.
    Do Picking andPost Goods Issue as usual. Create Export Invoice SAP R/3 menu Logistics  Sales and Distribution Billing  Billing Document → Create Transaction code VF01 154
  • 155.
  • 156.
    We can seethat Excise duty is not calculated. After checking for the pricing, and entering the header pricing details like freight, insurance etc., like as follow: 156
  • 157.
    Mod of Transport– Border - select 3 for Road, 1 for sea and 4 for Air. Domestic Mode of Transport - select 3 for Road, 1 for sea and 4 for Air. Press Set icon to activate export trade, and it will look like as billow screen: 157
  • 158.
    We can savethe billing document. . Create Excise Invoice SAP Easy Access India SAP Menu→ Indirect Taxes→ Sales/Outbound Movements → Excise Invoice → For Sale Order→ Create Localization Menu Transaction code J1IIN Observe the series Group it is S2 for export sales(For domestic and Merchant Export sales it is S1). 158
  • 159.
    Time of removal– Select radio button and select time. Now click on Utilization tab, which will take to the next screen. In this Excise Utilization Factory Sale Screen, click on the to determine the type of Excise invoice. We can notice Bond is highlighted in blue Colour so that it is Bond type excise invoice. Now click on the tab and save the Excise Invoice. There being no Duty Payment due to Bond, accounting document will not be generated for this excise invoice. . Note: In the above screen shot, the type of excise invoice has to be created by repeatedly clicking on the icon. If the Export is based on Letter of Undertaking(LoU) then by go on clicking the above pencil icon, LoU will become blue. For No Bond sale and Merchant sale Export, NoBond and Deemed options will turn to blue respectively. Create ARE1 Now ARE1 as to be created with reference to the excise invoice. SAP Easy Access India SAP Menu → Indirect Taxes → Sales/Outbound Movements → Exports Under Excise Regulations → Exports → Central Localization Menu Processing → Create/Change/Post/Update/Cancel/Display/ Reverse ARE1 Transaction code J1IA101 159
  • 160.
    Enter the OutgoingExcise Invoice Number as reference and select other two fields as shown, Press ENTER to continue. All the data from the preceding documents flow here. We have to enter the following details in Header data: 1) Check the Print ARE Document Check Box 2) Bond details(refer master data section on how to create excise bond) 160
  • 161.
    Click here to navigatein the item details 161
  • 162.
    Certification dates hasto be filled in at the time of posting Now check for the document entries by clicking on the Check Icon Message: . . Now the created ARE1 can be saved for further processing. Post ARE1 Enter the ARE1 from input help 162
  • 163.
    Now Enter TheDispatch date say 30.11.2007 and Time Now Check for Consistency by clicking on the Check Tab above Message: is displayed. The Document is posted. Update ARE1 163
  • 164.
    Now the Itemsbeing dispatched and verified at port. If there is quantity variation, ie., 10 items being declared exported and only 8 items are vailable during customs check, then for the 2 items duty has to be paid by the Update Process. Give the ARE1 Number and Press ENTER to continue. All the details like arrival at customs etc. are to be entered. 164
  • 165.
    Now go tothe Quantity Tab of the Item Detail Data Block If 1 quantity is missing, Enter the amended quantity has 4, Differential quantity will be automatically default as 1. Duty has to be paid for this quantity Now Go To the header Details, where you can see a New Tab Named UTILIZATION has appeared after the amended quantity is entered. Now check the change values checkbox. 165
  • 166.
    We can seethat BED is calculated for 1 item, and entered in appropriate head RG23A/RG23C/PLA as applicable. Now click the Document details Tab and enter the reason “10” Quantity discrepancy. Now check for consistency. Message: . Important Note: At present we cannot Update for Ecess values, due to some pending development by SAP for ARE1 Procedure. For that we have to Update ECess values in J1IH Excise JV Other Adjustments. (will be explained subsequently). Upon Saving, the popup will be: 166
  • 167.
    Press Enter toContinue. Message: Since the Utilization for ECess is not happening in ARE1 directly, it has to be carried out separately as described below: SAP Easy Access India SAPMenu→IndirectTaxes→Excise JV→ Create Localization Menu Transaction code Click on J1IH Tab. 167
  • 168.
    Now Enter theARE1 Document number for which ECess to be updated and other details which are self explanatory. Under Modvat Account Selection, we can choose RG23A or PLA. 168
  • 169.
    (For ARE1 Transactionof Updation, The Entries is as follows: ie., Cenvat Reversal Account 13113930 Dr PLA ECS 24880200 Cr RG23AECS 24840200 Cr) Now Press Enter to Continue in J1IH Screen. 169
  • 170.
    Enter the ECSValue for the missing portion and Click on 170 tab.
  • 171.
    We can modifythe Cevat Clearing Account as Cenvat Reversal Account 13113930 171
  • 172.
    Press ENTER tocontinue and SAVE. Once again the above popup comes, Modify the Dr GL Account as 13113930 – Cenvat Reversal account and Press ENTER to continue. Message: is displayed. Print ARE1 Document Transaction Code: J1IA101 Display Mode Input: ARE1 Internal Document number for example 0000000081 created here. 172
  • 173.
    Press ENTER tocontinue. Click on the Printer Icon as above and proceed based on the system driven directions. Closing ARE1 Transaction Code: J1IA101 and Select UPDATE Option. Input Value is ARE1 Internal document number 0000000081. and Press ENTER to continue. Select the “Certification Dates” Tab and Enter the Export Confirmed Date 173
  • 174.
    Now Save theDocument and ARE1 is complete and the POPUP is as follows: 174
  • 175.
    Press ENTER tocontinue. Thus ends the ARE1 Procedure. 5 Exports Under Letter of Undertaking Process is same as Exports under Bond. When creating Excise Invoice, in Transaction Code J1IIN, you have to select LOUT option instead of Bond under EXCISE INVOICE TYPE. 6 Deemed (Merchant) Exports 175
  • 176.
    Process is sameas Exports under Bond. When creating Excise Invoice, in Transaction Code J1IIN, you have to select Deemed option instead of Bond under EXCISE INVOICE TYPE Sales Order Type: ZOD1 7 Export No Bond Process is same as Exports under Bond. When creating Excise Invoice, in Transaction Code J1IIN, you have to select No Bond option instead of Bond under EXCISE INVOICE TYPE 176
  • 177.
    8 Cancellation ofInvoice SAP R/3 menu Logistics  Sales and Distribution Billing  Billing Document → Cancel Transaction code VF11 Sometimes, Values like Freight, Discount may not be added by oversight. Whatever may be the reason, the Billing document can be cancelled using the above transaction code. 177
  • 178.
    Press ENTER tocontinue Now save the Document. Message: . 178
  • 179.
    9 Reversal ofPost Goods Issue SAP R/3 menu Logistics  Sales and Distribution Sales  Shipping and Transportation → Post Goods Issue Cancellation/Reversal Transaction code VL09 Sometimes after goods issue, that quantity has been delivered more than required. There may be various other reasons where such decision to be taken to reverse the goods issue. Click the Execute Button . After selecting the line, clickon the tab. 179
  • 180.
    Press to continue. 10 TradingSales In Trading sales scenario against Customer purchase order will buy the Material from the vendor/Market and supply the same to the Customer. Sales document for Inquiry ZIT1, Quotation ZQTT and Order ZORT. Inquiry and Quotation procedure will be same like MTO. But when we are creating Order Acceptance against Customer Purchase order by default system will generate Purchase requisition number. With reference to this Purchase requisition number will procure the Material. Create Sales Order SAP R/3 menu Logistics  Sales and Distribution Sales  Order Create Transaction code VA01 180
  • 181.
    Create with reference: Enterthe Quotation number, click on Copy icon to continue. 181
  • 182.
    Fill Valuation priceand Purchase group. 182
  • 183.
    Click on icon tocontinue. Check the necessary fields as explained in MTO scenario and Save. By default system will generate Purchase requisition number. We cab see this number by using change mode Transaction code is VA02. 183
  • 184.
    Enter Order Acceptancenumber and press ENTER. Select the line item and click on Schedule lines for item. 184
  • 185.
    Now you cansee the purchase requisition number. Click on icon on to come out. Balance other procedure like delivery, Billing document and Excise invoice are same like MTO. 11 Credit/Debit Memo Process In Business there are many situations Debit/Credit Memo are issued o the customer. We shall consider an example that is a situation may arise where the items supplied to the Customer, may be Customer asked to make payment of freight and insist for debit memo. a. Creation of Debit Memo Request with reference to respective invoice b. Release of Debit Memo request c. Creation of Debit Memo. 185
  • 186.
    Creation of DebitMemo Request Transaction Code: VA01 Click on request has to be created. tab. Enter the Billing Document with reference to which a debit memo 186
  • 187.
    Press ENTER tocontinue. 187
  • 188.
    As it hasseen above that line item has been copied and we have to delete price. By selection tab select the line as shown billow. Further the Billing Block shown in circled portion can be removed by authorized person. Click on pricing condition icon. 188
  • 189.
    Remove the pricefrom Amount field which has copied from billing document and press ENTER. 189
  • 190.
    Select back iconto go back. 190
  • 191.
    Select header detailsicon and select condition tab page. Scroll down to enter freight condition type 191
  • 192.
    Step 1: Selectthe condition type ZHD0 for fright Step 2: Enter the freight value example Rs.5000 Step 3: Click on Activate icon Now you can see net value field is showing Rs.5000 Now check for incompletion. Document will prompt you to give Order Reason. Provide the order reason as shown below: 192
  • 193.
    Complete the Documentby clicking the Edit Next Data icon. Save the Document. Message: . 193
  • 194.
    Debit Memo Transaction Code:VF01 Debit Memo has to be created with reference to the respective debit Memo Request created. 194
  • 195.
    Value can bechanged if needed. Save the Document. Message: . Similarly Credit Memo can be raised. Credit memo request document type is ZCR1 12 Service and Spare Sales The machine which we have supplied to the Customer will carry warranty period. If machine is not performing at Customer site, Customer complaints the same which need to address. Service Engineer gives a report for the same after inspecting the machine. If machine is under warranty need to give service free of cost. If material is non warranty need to submit quotation for the same to the Customer. Create Inquiry The Enquiry (Verbal/written) made by prospect has to be captured in the system. SAP R/3 menu Logistics  Sales and Distribution Sales  Inquiry Create Transaction code VA11 195
  • 196.
    Maintain all necessaryfields in initial screen to continue. Press ENTER. 196
  • 197.
    Fill all necessaryfields like: Customer Name: S000015 Valid from: 03.12.2007 Inquiry received date Valid to: 31.12.2007 Order reason: Maintain what customer is complaining. i.e. Oil/air leakage. Identify machine warranty status. SAP R/3 menu Logistics  Material Management  Physical Inventory  Environment  Serial Numbers  Display Transaction code IQ03 197
  • 198.
    Enter Serial numberand press enter to continue. We can see now Customer Order Acceptance number. With reference this number we can check the status of delivery and billing dates. Go to VA03 198
  • 199.
    Enter OA numberand click on document flow icon. Now we can see entire history flow of this serial number. Let us assume it is under warranty. With reference to Inquiry create sales order to issue the spare part for the same. Under Warranty Scenario Create Sales Order (Order Acceptance) SAP R/3 menu Logistics  Sales and Distribution Sales  Order Create Transaction code VA01 199
  • 200.
    By default systemcopied Customer details, but not material (Machine) because here need to enter required spare parts. Change payment terms as: ST16 – 100% free of cost. Select spare parts by using radio button. 200
  • 201.
    Select material andclick on pricing condition icon. 201
  • 202.
    Since need tosupply this spare part at free of cost to the Customer and also needs to pay Excise Duty and CST and LST to the Government. 202
  • 203.
    Scroll down andenter Condition type JFCG for 100% discount. Now you can see only Excise Duty and VAT value is displayed in Net and Tax fields. Save the document Next procedures PGI (Delivery), Create Billing Document and Excise Invoice (if Material relevant for Excise Duty) use same procedure as earlier mentioned in MTO scenario. 203
  • 204.
    Non Warranty Scenario IfMachine is under non-Warranty with reference to Inquiry, need to create Quotation. Create Quotation SAP R/3 menu Logistics  Sales and Distribution Sales  Quotation  Create Transaction code VA21 Click on Create with reference icon. Enter Inquiry Number. Select radio button you will get list of Quotation as below: Select required quotation type. Example ZQS1 and ENTER. Select Copy icon, you will get new screen as shown follows: 204
  • 205.
    All the detailsshall be fetched from the Inquiry document. 205
  • 206.
    Enter the MaterialNo & Service Enter quotation Valid to field. 206
  • 207.
    Select the lineitem by using select icon. And click on Item condition icon you will get new screen as billow shown: 207
  • 208.
    Check here allconditions like. ZBP1 for Price, JEX2 for Excise duty 16%. Etc. Charges and enter the required price. 208
  • 209.
    Now we cansee overall Pricing conditions like Base price and Taxes. 209
  • 210.
    Select the lineitem by using select icon. And click on Item condition icon you will get new screen as billow shown: 210
  • 211.
    Check here allconditions like. ZLCR for Service Charges and enter the required price. 211
  • 212.
    Now we cansee overall Pricing conditions like Service Charges Including Taxes. 212
  • 213.
    Now go toEdit Tab and select Incompletion Log to check the missing data. Now save the Quotation by clicking the save generate the Quotation number. icon. The Quotation will be saved and the system will Next procedures Sales Order Acceptance, PGI (Delivery), Create Billing Document and Excise Invoice (if Material relevant for Excise Duty) use same procedure as earlier mentioned in MTO scenario 213
  • 214.
    12. Scrap Sales CreateSales Order SAP R/3 menu Logistics  Sales and Distribution Sales  Order Create Transaction code VA01 214
  • 215.
    First we haveto select appropriate sales Organization, Distribution Channel and Division. The Sales organization is 1810, the Distribution Channel is 10 for Direct sales and the Division 10. (Sales Organization + Distribution Channel + Division constitute a sales area). The sales Office is optional entries which helps a lot for reporting purposes. After the organizational data is entered, now select the order type and drill down and all the sales documents assigned to the sales area will be displayed. Select the Order Type ZSC1 for Scrap sales. 215
  • 216.
    Now press ENTERto continue. The Overview screen will be as follows: 216
  • 217.
    Enter the Customerno. here If the ship to party is different from sold-to-party, then enter the ship to party Enter the Customer’s purchase Order Reference Enter Material Code Enter the Order Quantity (Please refer the appendix for help to make selections for customer/material) 217
  • 218.
    After entering therequired details, the screen will appear like this: Enter the Plant Code. Now press “ENTER”. The customer details shall be fetched from the customer master and the material details will be collected from the sales views of the material master. 218
  • 219.
  • 220.
    Flag the itemline as shown below and click the condition icon screen. in the bottom portion to go to the pricing The Pricing screen for this line will appear. Enter Condition Type ZBP1 manually and enter the price of the Scrap Material. 220
  • 221.
  • 222.
    We can seethe pricing details as above. Being Scrap sale, we can see the excise duty and the ecess being not calculated. 222
  • 223.
    Now in overviewscreen, go to Incompletion log and check for the incompletion as shown. If there is no incompletion, the message “Document is complete” is displayed. Now save the Sale Order by clicking the save generate the Sales Order number. icon. The Sales Order will be saved and the system will 223
  • 224.
    Create Delivery Now thenext step is creating the Delivery. SAP R/3 menu Logistics  Sales and Distribution Sales  Shipping and Transportation → Outbound Delivery →Create→ Single Document With Reference to Sales Order Transaction code VL01N In the Create Outbound Delivery with Order reference, we have to enter the appropriate shipping point, selection date and the relevant sales document. For AMPL Retrofit sales, the Shipping point for 1800, for AMSPL sales 2700 and for HIE sales, shipping point will be 3600 and SSTPL sales Shipping point will be 4500. Now Press ENTER to Continue. This will take to the “Create delivery: Overview Screen” 224
  • 225.
    Enter Storage Location &Pick Quantity We can see the Ship to Party and the Material Code and the quantity are all copied from the sale order. We have to do one thing in Delivery Document a) Post Goods Issue. All the items are to be picked in the system. For this click the 225 tab.
  • 226.
    The system saysthat the goods movement has not started. Now click the as shown above. The system will do the goods issue and Delivery Document Number will be generated. The system displays the message as follows: Now save the Delivery Order by clicking the save system will generate the Delivery number. icon. The Delivery Order will be saved and the 226
  • 227.
    Creating Billing Document Aftercreating the delivery, Invoice has to be generated with reference to the delivery. SAP R/3 menu Logistics  Sales and Distribution Billing  Billing Document → Create Transaction code VF01 Create Billing Document Initial Entry Screen will be like this: 227
  • 228.
    Enter the delivery documentnumber here Now press ENTER. This will take to Billing Overview Screen 228
  • 229.
    Going to theconditions screen, price can be verified before saving. 229
  • 230.
    Now Go Backto the overview screen by clicking the Use this icon to save the document. 230 icon.
  • 231.
    14. Annual MaintenanceContract Create Inquiry SAP R/3 menu Logistics  Sales and Distribution Sales  Inquiry  Create Transaction code VA11 First we have to select appropriate sales Organization, Distribution Channel and Division. The Sales organization is 1810, the Distribution Channel is 10 for direct sales and the Division 10 is for Turning Center. (SalesOrganization+Distribution Channel+Division constitute a sales area). The sales Office is optional entry which helps a lot for reporting purposes. After the organizational data is entered, now select the Inquiry type and drill down and all the Inquiry documents assigned to the sales area will be displayed select Enquiry type ZIC1 and press enter. 231
  • 232.
    Now press ENTERto continue. The Overview screen will be as follows: Enter Customer No. If the ship-to party is different from sold-toparty, then enter the ship-to party Inquiry Validity needs to enter Enter Material Code Enter Material quantity The customer details shall be fetched from the customer master and the material details will be collected from the sales views of the material master. The pricing details will flow from the appropriate pricing condition records. 232
  • 233.
    Once entered allnecessary field will get screen as below: 233
  • 234.
    Now go toEdit Tab and select Incompletion Log to check the missing data. 234
  • 235.
    Click on saveicon. You will get as bellow message: 235
  • 236.
    Create Quotation SAP R/3menu Logistics  Sales and Distribution Sales  Quotation  Create Transaction code VA21 Select radio button you will get list of Quotation as billow: Select required quotation type. Example ZQC1 and ENTER. 236
  • 237.
    Click on Createwith reference icon. Enter Inquiry Number. Select Copy icon, you will get new screen as shown follows: 237
  • 238.
    All the detailsshall be fetched from the Inquiry document. 238
  • 239.
    Enter quotation Validto field. Select the line item by using select icon. And click on Item condition icon you will get new screen as billow shown: 239
  • 240.
    Check here allconditions like. Select ZLCR for Service Charges and enter the required price. 240
  • 241.
  • 242.
    Now go toEdit Tab and select Incompletion Log to check the missing data. 242
  • 243.
    Click on saveicon. You will get as bellow message: 243
  • 244.
    Create Contract SAP R/3menu Logistics  Sales and Distribution Sales  Contract Create Transaction code VA41 Click on Create with Reference icon Now press Copy icon to continue. The Overview screen will be as follows: 244
  • 245.
    First we haveto select appropriate sales Organization, Distribution Channel and Division. The Sales organization is 1810, the Distribution Channel is 10 for Direct sales and the Division 10. (Sales Organization + Distribution Channel + Division constitute a sales area). The sales Office is optional entries which helps a lot for reporting purposes. After the organizational data is entered, now select the order type and drill down and all the sales documents assigned to the sales area will be displayed. Select the Contract Type ZAC1 for AMC. 1) Enter PO Number 2) Enter PO date Now press “ENTER”. The customer details shall be fetched from the customer master and the material details will be collected from the sales views of the material master. The pricing details will flow from the appropriate pricing condition records. 245
  • 246.
    The pricing detailswill flow from the appropriate pricing condition records. 246
  • 247.
    Now go toContract Data and enter the Mandatory fields. Enter Cancellation Procedure Enter Validity Period Category 247 Enter Contract Validity Period
  • 248.
    Once all therequired mandatory fields are entered, the contract data screen looks as below. 248
  • 249.
    Enter Contract Start Date EnterContract End Date 249
  • 250.
    Now go toEdit Tab and select Incompletion Log to check the missing data. Now save the Sale Order by clicking the save generate the Contract number. icon. The Contract will be saved and the system will 250
  • 251.
    Creating Billing Document Aftercreating the delivery, Invoice has to be generated with reference to the delivery. SAP R/3 menu Logistics  Sales and Distribution Billing  Billing Document → Create Transaction code VF01 Create Billing Document Initial Entry Screen will be like this: Enter the delivery document number here 251
  • 252.
    Now press ENTER.This will take to Billing Overview Screen Going to the conditions screen, price can be verified before saving. 252
  • 253.
    Now Go Backto the overview screen by clicking the Use this icon to save the document. 253 icon.
  • 254.
    15. Retrofit Sales CreateInquiry SAP R/3 menu Logistics  Sales and Distribution Sales  Inquiry  Create Transaction code VA11 First we have to select appropriate sales Organization, Distribution Channel and Division. The Sales organization is 1810, the Distribution Channel is 10 for direct sales and the Division 10 is for Turning Center. (SalesOrganization+Distribution Channel+Division constitute a sales area). The sales Office is optional entry which helps a lot for reporting purposes. After the organizational data is entered, now select the Inquiry type and drill down and all the Inquiry documents assigned to the sales area will be displayed select Enquiry type ZIR1 and press enter. 254
  • 255.
    Now press ENTERto continue. The Overview screen will be as follows: Enter Customer No. If the ship-to party is different from sold-toparty, then enter the ship-to party Inquiry Validity needs to enter Enter Material Code Enter Material quantity The customer details shall be fetched from the customer master and the material details will be collected from the sales views of the material master. The pricing details will flow from the appropriate pricing condition records. 255
  • 256.
    Once entered allnecessary field will get screen as below: 256
  • 257.
    Now go toEdit Tab and select Incompletion Log to check the missing data. 257
  • 258.
    Click on saveicon. You will get as bellow message: 258
  • 259.
    Create Quotation SAP R/3menu Logistics  Sales and Distribution Sales  Quotation  Create Transaction code VA21 Select radio button you will get list of Quotation as billow: Select required quotation type. Example ZQR1 and ENTER. 259
  • 260.
    Click on Createwith reference icon you will get new screen as shown below: Click on Create with reference icon. Enter Inquiry Number. Select Copy icon, you will get new screen as shown follows: 260
  • 261.
    All the detailsshall be fetched from the Inquiry document. 261
  • 262.
    Enter quotation Validto field . Enter the Material No. 262
  • 263.
    Select the lineitem by using select icon. And click on Item condition icon you will get new screen as billow shown: 263
  • 264.
    Check here allconditions like. Select ZLCR for Service Charges and enter the required price. 264
  • 265.
  • 266.
    Select the lineitem by using select icon. And click on Item condition icon you will get new screen as billow shown: 266
  • 267.
    Check here allconditions like. ZBP1 for Price, JEX2 for Excise duty 16%. Etc. Charges and enter the required price. 267
  • 268.
  • 269.
    Now go toEdit Tab and select Incompletion Log to check the missing data. Now save the Quotation by clicking the save generate the Quotation number. icon. The Quotation will be saved and the system will 269
  • 270.
    Create Sales Order(Order Acceptance) SAP R/3 menu Logistics  Sales and Distribution Sales  Order Create Transaction code VA01 Click on Create with Reference icon Now press Copy icon to continue. The Overview screen will be as follows: 270
  • 271.
    First we haveto select appropriate sales Organization, Distribution Channel and Division. The Sales organization is 1810, the Distribution Channel is 10 for Direct sales and the Division 10. (Sales Organization + Distribution Channel + Division constitute a sales area). The sales Office is optional entries which helps a lot for reporting purposes. After the organizational data is entered, now select the order type and drill down and all the sales documents assigned to the sales area will be displayed. Select the Order Type ZRF1 for Retrofit sales. 1) Enter PO Number 2) Enter PO date Now press “ENTER”. The customer details shall be fetched from the customer master and the material details will be collected from the sales views of the material master. The pricing details will flow from the appropriate pricing condition records. 271
  • 272.
  • 273.
    Select the Tickmark to confirm the availability of the material. 273
  • 274.
  • 275.
    Now Availability checkwill be carried out. Now in overview screen, go to Incompletion log and check for the incompletion as shown. If there is no incompletion, the message “Document is complete” is displayed. 275
  • 276.
    . Now save theSale Order by clicking the save generate the Sales Order number. icon. The Sales Order will be saved and the system will Create Delivery Now the next step is creating the Delivery. SAP R/3 menu Logistics  Sales and Distribution Sales  Shipping and Transportation → Outbound Delivery →Create→ Single Document With Reference to Sales Order Transaction code VL01N 276
  • 277.
    In the CreateOutbound Delivery with Order reference, we have to enter the appropriate shipping point, selection date and the relevant sales document. For AMPL Retrofit sales, the Shipping point for 1800, for AMSPL sales 2700 and for HIE sales, shipping point will be 3600 and SSTPL sales Shipping point will be 4500. Now Press ENTER to Continue. This will take to the “Create delivery: Overview Screen” 277
  • 278.
    Enter Storage Location &Pick Quantity We can see the Ship to Party and the Material Code and the quantity are all copied from the sale order. We have to do one thing in Delivery Document a) Post Goods Issue. All the items are to be picked in the system. For this click the 278 tab.
  • 279.
    The system saysthat the goods movement has not started. Now click the as shown above. The system will do the goods issue and Delivery Document Number will be generated. The system displays the message as follows: 279
  • 280.
    Creating Billing Document Aftercreating the delivery, Invoice has to be generated with reference to the delivery. SAP R/3 menu Logistics  Sales and Distribution Billing  Billing Document → Create Transaction code VF01 Create Billing Document Initial Entry Screen will be like this: Enter the delivery document number here 280
  • 281.
    Now press ENTER.This will take to Billing Overview Screen Going to the conditions screen, price can be verified before saving the document. 281
  • 282.
    Now Go Backto the overview screen by clicking the Use this icon to save the document. 282 icon.
  • 283.
    Create Excise Invoice Nowthe Excise Invoice has to be created for factory sale with respect to the invoice created above: This can be created using Transaction Code J1IIN or by following menu path in India Localization Menu. The Transaction code to go to India Localization Menu is J1ILN SAP Easy Access India SAPMenu→IndirectTaxes→Sales/OutboundMovements → Excise Invoice→For Sale Order→ Create Localization Menu Transaction code J1IIN Transaction code J1IIN Upon executing the above Transaction Code, EXCISE INVOICE FOR FACTORY SALE screen is displayed where to be clicked 283
  • 284.
    On clicking the“From Billing” Tab, a new screen will appear as follows: 284
  • 285.
    Just clicking thedue list will display the Bills due for excise invoicing otherwise directly enter the invoice number and give the correct posting date. After selecting the billing document and giving the correct posting date, press ENTER. The Excise Invoice screen will be as follows: 285
  • 286.
    Enter the ExciseGroup “E1” and series group “S1”. We can see all the values defaulted from the previous document. Now save the document by clicking the save icon. The system will give a message: 286