KEMBAR78
System Programming Unit III | PPTX
UNIT-III
Programming Language
• Lexical and Syntactic features of a
  programming Language are specified by its
  grammar
• Language:- collection of valid sentences.
• Sentences: These are the sequence of words.
• Word:- Sequence of letters of graphic symbols.
• The Language specified in this manner is
  called as formal Language.
Programming Language Grammar
• A formal Language is a set of rules which
  precisely specify the sentence of L.
• Formal Grammar can be represented as :-
• G= {∑ , NT, S, P}
  – ∑ set of terminals
  – NT set of non terminals
  – S Distinguished symbol (Starting symbol)
  – P set of productions.
• Terminal Symbol:- These are the symbols
  which can not further sub divided
  – Ex:- ∑= { a, b,c,d…….0,1,2,3……}
• No terminal symbols:- These are the
  combination of terminal symbols which can be
  further sub divided.
  – Ex:- <A> or <Noun>
• Production :- It is called as re-writing rule
• It can be represented as :-
   – Each production consists of a No terminal
     followed by an arrow (-) or equal to
     (=), followed by string of Non terminals and
     terminals
   – Ex:- A  b
          S  Aa
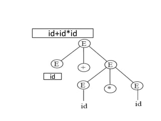
Syntax Tree


• A Graphical representation of any statement
  of a Language is called as syntax tree.
id+id*id



id
Derivation
• The replacement of Non terminal symbols
  according to the given production rule is
  called as derivation
• Types of Derivation:
  – Leftmost derivation
  – Rightmost derivation
Rules for English Language
1)   <Sentence>  <NP><VP>
2)   <NP>        <article><noun>
3)   <VP>        <verb>
4)   <VP>        <verb><adverb>
5)   <article>   The
6)   <noun>      student
7)   <verb>      studies
8)   <adverb>  hard
9)   <adverb>  slowly
Derivation
•   Structure                        Rules applied
•   <Sentence>
•   <NP><VP>                                  (1)
•   <article><noun>< VP>                      (2)
•   <article><noun> <verb><adverb>            (4)
•   The <noun> <verb><adverb>                 (5)
•   The student <verb> <adverb>               (6)
•   The student studies <adverb>              (7)
•   The student studies hard                  (8)
• Ex. Consider the full grammar,
•     E → E+E
•     E → E*E
•     E → id
•     Let us derive the string “ id + id * id”
Using leftmost derivation:-
Using Right most derivation:-
Rules
Required string is bbaa
• Derive the string

  –babbaaaba
Required string is




   baab
Reduction
• It is the process of replacement of string or
  part of string by non terminal according to the
  production rule.
•   Structure                       Rules applied
•   The student studies hard
•   <article> student studies hard            (5)
•   <article><noun> studies hard             (6)
•   <article><noun> <verb> hard              (7)
•   <article><noun> <verb> <adverb>          (8)
•   <NP> <verb> <adverb>                     (2)
•   <NP><VP>                                 (4)
•   <Sentence>                               (1)
Ambiguity of Grammar
• The Grammar for a language is said to be
  ambiguous if there exists at least one string
  which can be generated (or, derived) in more
  than one way
• i. e. there can be more than one leftmost
  derivations, more than one rightmost
  derivations & also more than one derivation
  trees associated with such a string.
• Ex. Consider the full grammar,
•     E → E+E
•     E → E*E
•     E → id
•     Let us derive the string “ id + id * id”
id   id
Compiler
• Complier:-
     • These are the system programs which will
       automatically translate the High level language
       program in to the machine language program

Source program                                 Target program /
High level Lang.           Compiler            M/C Lang. Prog.
Prog.



                           Database
• Cross Compiler:-
     • These are the system programs which will automatically
       translate the HLL program compatible with M/C A, in to the
       machine language program compatible with M/C A , but the
       underlying M/C is M/C B
Source program                                      Target program /
HLL Prog.                   Cross Compiler          M/C Lang. Prog.
Compatible with
M/C A



                               M/C B
P Code Compiler
 Source
Program


Compiler     P-Code interpreter



  Obj
Program



Exexute     P-Code interpreter
• Very similar in concept of Interpreter
• In pseudo- code complier program is analyzed
  and converted into an intermediate form,
  which is then executed interpretively.
• The source program is compiled, the resulted
  object program is in p-code. This p-code
  program is then read and executed under
  control of p-code interpreter.
Compilation process overview
• Compilation process is vast and complex.
• Hence it is divided into a series of subtasks
  called as phases.
• Each of which transform the source program
  form one representation to another.
• The compilation process involves two major
  tasks.
Compilation process overview

Analysis of   +    Synthesis of   =   Translation
source text       Target text         of prog in
                                      obj form
• Analysis of source text
  – Lexical Analysis (Scanner)
  – Syntax Analysis (Parser)
  – Semantic analysis.


• Synthesis of target text
  – Storage allocation
  – Code generation
Analysis of source text

• Determine validity of source statement from
  the analysis view point.
• Determine the content of source statement.
• Construct the suitable representation of the
  source statement f0r use by the subsequent
  analysis phase or by the synthesis phase of
  compiler.
Synthesis of target text

• Memory allocation:- It is the simple task given to
  the presence of symbol table. The memory
  requirement of an identifier is computed from its
  length, type and dimension and memory is
  allocated to it.
• Code generation:- the code generation uses the
  knowledge of target architecture , knowledge of
  instruction and also the addressing modes in the
  target computer to select the appropriate
  instruction.
Synthesis of target text

• The important issues in code generation are
  – Determine the space where the intermediate
    results should ne kept i.e. whether they should be
    kept in memory location or held in machine
    register.
  – Determine which instruction should be used for
    type conversion operation.
  – Determine which addressing mode should be
    used.
Phase Structure of Compiler
Code Optimization
• This is an optional phase to improve the
  intermediate code so that ultimate object
  program can run faster and also take less phase.
•     The ultimate aim of this technique is to
  improve the execution efficiency of a program by
  – Eliminating redundancies
  – Rearranging the computation in the program with out
    affecting target machine.
Code optimization techniques

1.   Compile time evaluation
2.   Elimination of common sub expressions
3.   Frequency reduction
4.   Strength reduction
5.   Dead code elimination
6.   Boolean sub expressions optimization
7.   Local and Global optimization.

System Programming Unit III

  • 1.
  • 2.
    Programming Language • Lexicaland Syntactic features of a programming Language are specified by its grammar • Language:- collection of valid sentences. • Sentences: These are the sequence of words. • Word:- Sequence of letters of graphic symbols. • The Language specified in this manner is called as formal Language.
  • 3.
    Programming Language Grammar •A formal Language is a set of rules which precisely specify the sentence of L. • Formal Grammar can be represented as :- • G= {∑ , NT, S, P} – ∑ set of terminals – NT set of non terminals – S Distinguished symbol (Starting symbol) – P set of productions.
  • 4.
    • Terminal Symbol:-These are the symbols which can not further sub divided – Ex:- ∑= { a, b,c,d…….0,1,2,3……} • No terminal symbols:- These are the combination of terminal symbols which can be further sub divided. – Ex:- <A> or <Noun>
  • 5.
    • Production :-It is called as re-writing rule • It can be represented as :- – Each production consists of a No terminal followed by an arrow (-) or equal to (=), followed by string of Non terminals and terminals – Ex:- A  b S  Aa
  • 6.
    Syntax Tree • AGraphical representation of any statement of a Language is called as syntax tree.
  • 7.
  • 8.
    Derivation • The replacementof Non terminal symbols according to the given production rule is called as derivation • Types of Derivation: – Leftmost derivation – Rightmost derivation
  • 9.
    Rules for EnglishLanguage 1) <Sentence>  <NP><VP> 2) <NP>  <article><noun> 3) <VP>  <verb> 4) <VP>  <verb><adverb> 5) <article>  The 6) <noun>  student 7) <verb>  studies 8) <adverb>  hard 9) <adverb>  slowly
  • 10.
    Derivation • Structure Rules applied • <Sentence> • <NP><VP> (1) • <article><noun>< VP> (2) • <article><noun> <verb><adverb> (4) • The <noun> <verb><adverb> (5) • The student <verb> <adverb> (6) • The student studies <adverb> (7) • The student studies hard (8)
  • 11.
    • Ex. Considerthe full grammar, • E → E+E • E → E*E • E → id • Let us derive the string “ id + id * id”
  • 12.
  • 13.
    Using Right mostderivation:-
  • 14.
  • 15.
  • 16.
    • Derive thestring –babbaaaba
  • 18.
  • 20.
    Reduction • It isthe process of replacement of string or part of string by non terminal according to the production rule.
  • 21.
    Structure Rules applied • The student studies hard • <article> student studies hard (5) • <article><noun> studies hard (6) • <article><noun> <verb> hard (7) • <article><noun> <verb> <adverb> (8) • <NP> <verb> <adverb> (2) • <NP><VP> (4) • <Sentence> (1)
  • 22.
    Ambiguity of Grammar •The Grammar for a language is said to be ambiguous if there exists at least one string which can be generated (or, derived) in more than one way • i. e. there can be more than one leftmost derivations, more than one rightmost derivations & also more than one derivation trees associated with such a string.
  • 23.
    • Ex. Considerthe full grammar, • E → E+E • E → E*E • E → id • Let us derive the string “ id + id * id”
  • 26.
    id id
  • 27.
  • 28.
    • Complier:- • These are the system programs which will automatically translate the High level language program in to the machine language program Source program Target program / High level Lang. Compiler M/C Lang. Prog. Prog. Database
  • 29.
    • Cross Compiler:- • These are the system programs which will automatically translate the HLL program compatible with M/C A, in to the machine language program compatible with M/C A , but the underlying M/C is M/C B Source program Target program / HLL Prog. Cross Compiler M/C Lang. Prog. Compatible with M/C A M/C B
  • 30.
    P Code Compiler Source Program Compiler P-Code interpreter Obj Program Exexute P-Code interpreter
  • 31.
    • Very similarin concept of Interpreter • In pseudo- code complier program is analyzed and converted into an intermediate form, which is then executed interpretively. • The source program is compiled, the resulted object program is in p-code. This p-code program is then read and executed under control of p-code interpreter.
  • 32.
    Compilation process overview •Compilation process is vast and complex. • Hence it is divided into a series of subtasks called as phases. • Each of which transform the source program form one representation to another. • The compilation process involves two major tasks.
  • 33.
    Compilation process overview Analysisof + Synthesis of = Translation source text Target text of prog in obj form
  • 34.
    • Analysis ofsource text – Lexical Analysis (Scanner) – Syntax Analysis (Parser) – Semantic analysis. • Synthesis of target text – Storage allocation – Code generation
  • 35.
    Analysis of sourcetext • Determine validity of source statement from the analysis view point. • Determine the content of source statement. • Construct the suitable representation of the source statement f0r use by the subsequent analysis phase or by the synthesis phase of compiler.
  • 36.
    Synthesis of targettext • Memory allocation:- It is the simple task given to the presence of symbol table. The memory requirement of an identifier is computed from its length, type and dimension and memory is allocated to it. • Code generation:- the code generation uses the knowledge of target architecture , knowledge of instruction and also the addressing modes in the target computer to select the appropriate instruction.
  • 37.
    Synthesis of targettext • The important issues in code generation are – Determine the space where the intermediate results should ne kept i.e. whether they should be kept in memory location or held in machine register. – Determine which instruction should be used for type conversion operation. – Determine which addressing mode should be used.
  • 38.
  • 41.
    Code Optimization • Thisis an optional phase to improve the intermediate code so that ultimate object program can run faster and also take less phase. • The ultimate aim of this technique is to improve the execution efficiency of a program by – Eliminating redundancies – Rearranging the computation in the program with out affecting target machine.
  • 42.
    Code optimization techniques 1. Compile time evaluation 2. Elimination of common sub expressions 3. Frequency reduction 4. Strength reduction 5. Dead code elimination 6. Boolean sub expressions optimization 7. Local and Global optimization.