KEMBAR78
Legendre Polynomials Assignment | PDF | Polynomial | Mathematical Problem Solving
100% found this document useful (1 vote)
275 views2 pages

Legendre Polynomials Assignment

This document provides information about Legendre polynomials including: 1) Properties such as values of Pn(1), Pn(-1) and Rodrigue's formula 2) Proofs of additional properties involving generating functions, orthogonality, and recurrence relations 3) Examples of using Legendre polynomials to solve differential equations and find Fourier series representations of functions

Uploaded by

Manpreet Singh
Copyright
© Attribution Non-Commercial (BY-NC)
We take content rights seriously. If you suspect this is your content, claim it here.
Available Formats
Download as PDF, TXT or read online on Scribd
100% found this document useful (1 vote)
275 views2 pages

Legendre Polynomials Assignment

This document provides information about Legendre polynomials including: 1) Properties such as values of Pn(1), Pn(-1) and Rodrigue's formula 2) Proofs of additional properties involving generating functions, orthogonality, and recurrence relations 3) Examples of using Legendre polynomials to solve differential equations and find Fourier series representations of functions

Uploaded by

Manpreet Singh
Copyright
© Attribution Non-Commercial (BY-NC)
We take content rights seriously. If you suspect this is your content, claim it here.
Available Formats
Download as PDF, TXT or read online on Scribd
You are on page 1/ 2

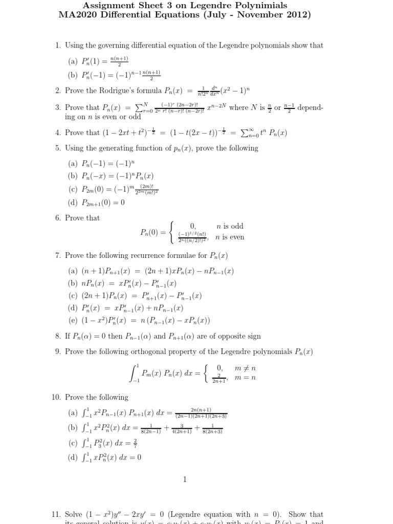
Assignment Sheet 3 on Legendre Polynimials MA2020 Dierential Equations (July - November 2012)

1. Using the governing dierential equation of the Legendre polynomials show that
(a) Pn (1) = n(n+1) 2

+1) (b) Pn (1) = (1)n1 n(n2

2. Prove the Rodrigues formula Pn (x) =


r

1 dn (x2 n!2n dxn

1)n
n 2

N (1) (2n2r )! n2N 3. Prove that Pn (x) = where N is r =0 2n r ! (nr )! (n2r )! x ing on n is even or odd

or

n1 2

depend-

4. Prove that (1 2xt + t2 ) 2 = (1 t(2x t)) 2 = (a) Pn (1) = (1)n

n n=0 t

Pn (x)

5. Using the generating function of pn (x), prove the following (b) Pn (x) = (1)n Pn (x) (d) P2m+1 (0) = 0 6. Prove that Pn (0) = 0,
(1)1/2 (n!) , 2n ((n/2)!)2

m)! (c) P2m (0) = (1)m 22(2 m (m!)2

n is odd n is even

7. Prove the following recurrence formulae for Pn (x) (a) (n + 1)Pn+1 (x) = (2n + 1)xPn (x) nPn1 (x)
(c) (2n + 1)Pn (x) = Pn +1 (x) Pn1 (x)

(b) nPn (x) = xPn (x) Pn 1 (x)

(d) Pn (x) = xPn 1 (x) + nPn1 (x)

(e) (1 x2 )Pn (x) = n (Pn1 (x) xPn (x))

8. If Pn () = 0 then Pn1 () and Pn+1 () are of opposite sign 9. Prove the following orthogonal property of the Legendre polynomials Pn (x)
1

Pm (x) Pn (x) dx =
1

0,
2 , 2n+1

m=n m=n

10. Prove the following (a) (b) (c) (d)


1 x2 Pn1 (x) 1 1 2 x2 Pn (x) 1

Pn+1 (x) dx =
1 8(2n1)

2n(n+1) (2n1)(2n+1)(2n+3)

dx =

3 4(2n+1)

1 8(2n+3)

1 P 2 (x) dx = 2 7 1 3 1 2 xPn (x) dx = 0 1

12. Solve (1 x2 )y 2xy + 2y = 0. (Legendre equation with n = 1) 13. Show that the coecient of xn in Pn (x) is (2n)! . 2n (n!)2

11. Solve (1 x2 )y 2xy = 0 (Legendre equation with n = 0). Show that its general solution is y (x) = c1 y1 (x) + c2 y2 (x) with y1 (x) = P0 (x) = 1 and (3)(1)2.4 5 1 1+x 2 y2 (x) = x + x3 + x + ... = ln 3! 5! 2 1x

14. Show that there are constants 0 , 1 , ..., n such that xn = 0 P0 (x) + 1 P1 (x) + ... + n Pn (x) 15. Show that any polynomial of degree n is a linear combination of P0 (x), P1 (x), ..., Pn (x). 16. Find the rst three terms of the Legendre series of 0, 1 x < 0 i) f (x)= ii) f (x)= ex , 1 x 1 x, 0 x 1 17. Let Pn (x) be the Legendre polynomial. Show that m<n 0, 1 m (i) x Pn (x)dx= 2n+1 (n!)2 , m=n 1 (2n + 1)! 2n(n + 1) 1 (ii) (1 x2 )Pn (x)Pn (x)dx = 2n + 1 1 18. The function on the left side of 1 = P0 (x) + P1 (x)t + P2 (x)t2 + ... + Pn (x)tn + ... 2 1 2xt + t

is called the generating function of the Legendre polynomials. Assuming that this relation is true and use it a) To verify that Pn (1) = 1, Pn (1) = (1)n . 1.3...(2n 1) b) P2n+1 (0) = 0, P2n (0) = (1)n 2n (n!) c) Dierentiate (1) with respect to t and show that

(x t)

n=0

Pn (x)tn = (1 2xt + t2 )

nPn (x)tn1
n=1

d) Equate the coecients of tn in (c) and obtain the recurrence relation (n + 1)Pn+1(x) = (2n + 1)xPn (x) nPn1 (x) e) Use recurrence relation in (d) to nd P2 (x), P3 (x), P4 (x) and P5 (x) assuming that P0 (x) = 1, P1 (x) = x. 19. Find the rst few terms of the Fourier-Legendre series. 0, 1 < x < 0 (a) f (x) = cos (x) (b) f (x)= 2 x, 0 < x < 1

You might also like