KEMBAR78
Assignment 4 | PDF | Mathematical Objects | Mathematics
0% found this document useful (0 votes)
28 views1 page

Assignment 4

Ode assignment
Copyright
© © All Rights Reserved
We take content rights seriously. If you suspect this is your content, claim it here.
Available Formats
Download as PDF, TXT or read online on Scribd
0% found this document useful (0 votes)
28 views1 page

Assignment 4

Ode assignment
Copyright
© © All Rights Reserved
We take content rights seriously. If you suspect this is your content, claim it here.
Available Formats
Download as PDF, TXT or read online on Scribd
You are on page 1/ 1

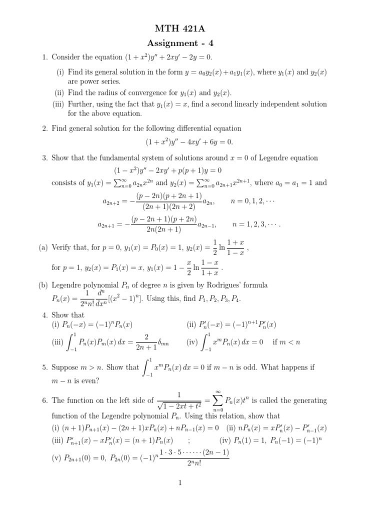
MTH 421A

Assignment - 4
1. Consider the equation (1 + x2 )y ′′ + 2xy ′ − 2y = 0.
(i) Find its general solution in the form y = a0 y2 (x) + a1 y1 (x), where y1 (x) and y2 (x)
are power series.
(ii) Find the radius of convergence for y1 (x) and y2 (x).
(iii) Further, using the fact that y1 (x) = x, find a second linearly independent solution
for the above equation.
2. Find general solution for the following differential equation
(1 + x2 )y ′′ − 4xy ′ + 6y = 0.

3. Show that the fundamental system of solutions around x = 0 of Legendre equation


(1 − x2 )y ′′ − 2xy ′ + p(p + 1)y = 0
consists of y1 (x) = ∞ 2n
and y2 (x) = ∞ 2n+1
P P
n=0 a2n x n=0 a2n+1 x , where a0 = a1 = 1 and
(p − 2n)(p + 2n + 1)
a2n+2 = − a2n , n = 0, 1, 2, · · ·
(2n + 1)(2n + 2)
(p − 2n + 1)(p + 2n)
a2n+1 = − a2n−1 , n = 1, 2, 3, · · · .
2n(2n + 1)
1 1+x
(a) Verify that, for p = 0, y1 (x) = P0 (x) = 1, y2 (x) =
ln ,
2 1−x
x 1−x
for p = 1, y2 (x) = P1 (x) = x, y1 (x) = 1 − ln .
2 1+x
(b) Legendre polynomial Pn of degree n is given by Rodrigues’ formula
1 dn
Pn (x) = n [(x2 − 1)n ]. Using this, find P1 , P2 , P3 , P4 .
2 n! dxn
4. Show that
(i) Pn (−x) = (−1)n Pn (x) (ii) Pn′ (−x) = (−1)n+1 Pn′ (x)
Z 1 Z 1
2
(iii) Pn (x)Pm (x) dx = δmn (iv) xm Pn (x) dx = 0 if m < n
−1 2n + 1 −1
Z 1
5. Suppose m > n. Show that xm Pn (x) dx = 0 if m − n is odd. What happens if
−1
m − n is even?

1 X
6. The function on the left side of √ = Pn (x)tn is called the generating
1 − 2xt + t2
n=0
function of the Legendre polynomial Pn . Using this relation, show that
(i) (n + 1)Pn+1 (x) − (2n + 1)xPn (x) + nPn−1 (x) = 0 (ii) nPn (x) = xPn′ (x) − Pn−1

(x)

(iii) Pn+1 (x) − xPn′ (x) = (n + 1)Pn (x) ; (iv) Pn (1) = 1, Pn (−1) = (−1)n
1 · 3 · 5 · · · · · · (2n − 1)
(v) P2n+1 (0) = 0, P2n (0) = (−1)n
2n n!

You might also like