KEMBAR78
Chapter 8: Emotional Intelligence: Intensity of Emotion | PDF | Emotions | Leadership
0% found this document useful (0 votes)
286 views6 pages

Chapter 8: Emotional Intelligence: Intensity of Emotion

1. Emotional intelligence involves the ability to recognize and manage emotions in oneself and others. It includes abilities like self-awareness, self-regulation, motivation, empathy, and social skills. 2. Emotional intelligence is important for developing and maintaining personal and social relationships. It allows people to understand how emotions affect themselves and relationships over time. 3. There are five domains of emotional intelligence: self-awareness, self-management, social awareness, relationship management, and motivational management. People with high emotional intelligence are better able to handle their own and others' emotions.

Uploaded by

Chezka Malabanan
Copyright
© © All Rights Reserved
We take content rights seriously. If you suspect this is your content, claim it here.
Available Formats
Download as DOCX, PDF, TXT or read online on Scribd
0% found this document useful (0 votes)
286 views6 pages

Chapter 8: Emotional Intelligence: Intensity of Emotion

1. Emotional intelligence involves the ability to recognize and manage emotions in oneself and others. It includes abilities like self-awareness, self-regulation, motivation, empathy, and social skills. 2. Emotional intelligence is important for developing and maintaining personal and social relationships. It allows people to understand how emotions affect themselves and relationships over time. 3. There are five domains of emotional intelligence: self-awareness, self-management, social awareness, relationship management, and motivational management. People with high emotional intelligence are better able to handle their own and others' emotions.

Uploaded by

Chezka Malabanan
Copyright
© © All Rights Reserved
We take content rights seriously. If you suspect this is your content, claim it here.
Available Formats
Download as DOCX, PDF, TXT or read online on Scribd
You are on page 1/ 6

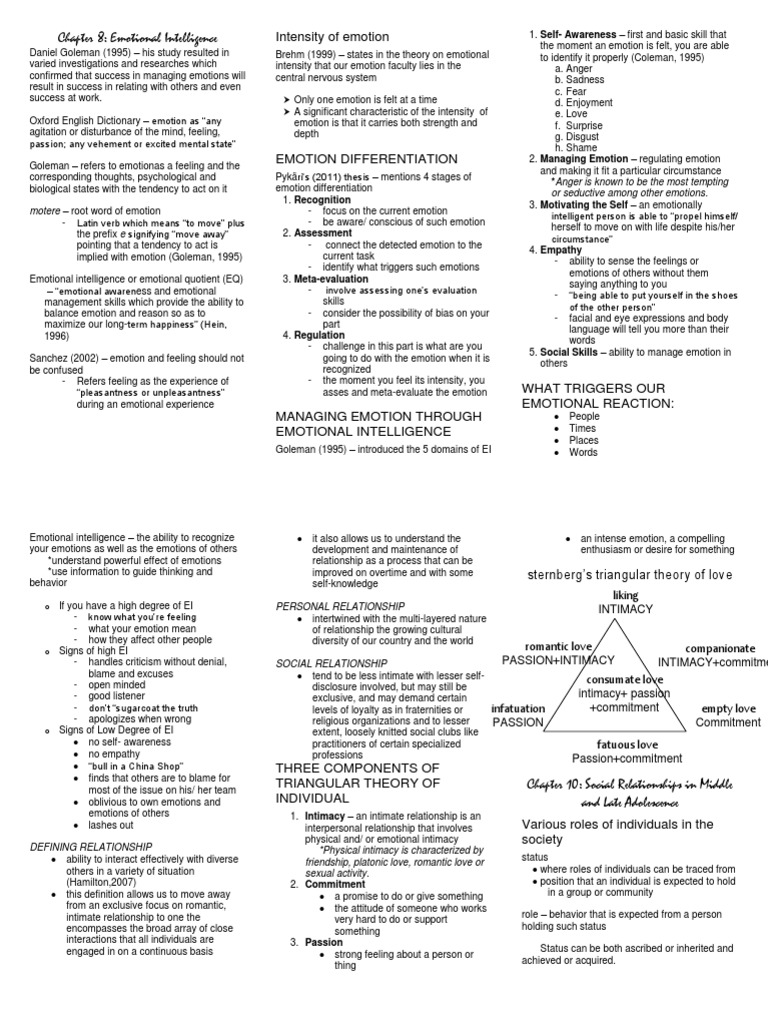
Chapter 8: Emotional Intelligence Intensity of emotion 1.

Self- Awareness – first and basic skill that


the moment an emotion is felt, you are able
Daniel Goleman (1995) – his study resulted in Brehm (1999) – states in the theory on emotional to identify it properly (Coleman, 1995)
varied investigations and researches which intensity that our emotion faculty lies in the a. Anger
confirmed that success in managing emotions will central nervous system b. Sadness
result in success in relating with others and even c. Fear
success at work.  Only one emotion is felt at a time d. Enjoyment
 A significant characteristic of the intensity of e. Love
Oxford English Dictionary – emotion as “any emotion is that it carries both strength and f. Surprise
agitation or disturbance of the mind, feeling, depth g. Disgust
passion; any vehement or excited mental state” h. Shame
Goleman – refers to emotionas a feeling and the
EMOTION DIFFERENTIATION 2. Managing Emotion – regulating emotion
and making it fit a particular circumstance
corresponding thoughts, psychological and Pykäri’s (2011) thesis – mentions 4 stages of
*Anger is known to be the most tempting
biological states with the tendency to act on it emotion differentiation
or seductive among other emotions.
1. Recognition
3. Motivating the Self – an emotionally
motere – root word of emotion - focus on the current emotion
intelligent person is able to “propel himself/
- Latin verb which means “to move” plus - be aware/ conscious of such emotion
herself to move on with life despite his/her
the prefix e signifying “move away” 2. Assessment
circumstance”
pointing that a tendency to act is - connect the detected emotion to the
4. Empathy
implied with emotion (Goleman, 1995) current task
- ability to sense the feelings or
- identify what triggers such emotions
emotions of others without them
Emotional intelligence or emotional quotient (EQ) 3. Meta-evaluation
saying anything to you
– “emotional awareness and emotional - involve assessing one’s evaluation
- “being able to put yourself in the shoes
management skills which provide the ability to skills
of the other person”
balance emotion and reason so as to - consider the possibility of bias on your
- facial and eye expressions and body
maximize our long-term happiness” (Hein, part
language will tell you more than their
1996) 4. Regulation
words
- challenge in this part is what are you
5. Social Skills – ability to manage emotion in
Sanchez (2002) – emotion and feeling should not going to do with the emotion when it is
others
be confused recognized
- Refers feeling as the experience of - the moment you feel its intensity, you
“pleasantness or unpleasantness” asses and meta-evaluate the emotion WHAT TRIGGERS OUR
during an emotional experience EMOTIONAL REACTION:
MANAGING EMOTION THROUGH  People
EMOTIONAL INTELLIGENCE  Times
 Places
Goleman (1995) – introduced the 5 domains of EI  Words
Emotional intelligence – the ability to recognize  it also allows us to understand the  an intense emotion, a compelling
your emotions as well as the emotions of others development and maintenance of enthusiasm or desire for something
*understand powerful effect of emotions relationship as a process that can be
*use information to guide thinking and improved on overtime and with some sternberg’s triangular theory of love
behavior self-knowledge
liking
o If you have a high degree of EI PERSONAL RELATIONSHIP INTIMACY
- know what you’re feeling  intertwined with the multi-layered nature
- what your emotion mean of relationship the growing cultural
- how they affect other people diversity of our country and the world
o Signs of high EI romantic love companionate
- handles criticism without denial, SOCIAL RELATIONSHIP PASSION+INTIMACY INTIMACY+commitme
blame and excuses  tend to be less intimate with lesser self- consumate love
- open minded disclosure involved, but may still be
- good listener exclusive, and may demand certain intimacy+ passion
- don’t “sugarcoat the truth levels of loyalty as in fraternities or infatuation +commitment empty love
- apologizes when wrong religious organizations and to lesser PASSION Commitment
o Signs of Low Degree of EI extent, loosely knitted social clubs like
 no self- awareness practitioners of certain specialized fatuous love
 no empathy professions Passion+commitment
 “bull in a China Shop” THREE COMPONENTS OF
 finds that others are to blame for
most of the issue on his/ her team
TRIANGULAR THEORY OF Chapter 10: Social Relationships in Middle
 oblivious to own emotions and INDIVIDUAL and Late Adolescence
emotions of others 1. Intimacy – an intimate relationship is an
 lashes out interpersonal relationship that involves Various roles of individuals in the
physical and/ or emotional intimacy society
DEFINING RELATIONSHIP *Physical intimacy is characterized by
 ability to interact effectively with diverse friendship, platonic love, romantic love or status
others in a variety of situation sexual activity.  where roles of individuals can be traced from
(Hamilton,2007) 2. Commitment  position that an individual is expected to hold
 this definition allows us to move away  a promise to do or give something in a group or community
from an exclusive focus on romantic,  the attitude of someone who works
intimate relationship to one the role – behavior that is expected from a person
very hard to do or support
encompasses the broad array of close holding such status
something
interactions that all individuals are 3. Passion
engaged in on a continuous basis Status can be both ascribed or inherited and
 strong feeling about a person or
achieved or acquired.
thing
Ascribed or inherited status – comes by virtue of  they gain their authority and John Maxwell, 21 Irrefutable Laws of Leadership
birth such as age, gender, family background and credibility if they are licensed  “The true measure of leadership is
ethnicity (TESDA certification) influence – nothing more, nothing less.”
5. Youth leaders – lead young people and  If a leader lacks the ability to influence,
Achieved or acquired status – comes by virtue of initiate activities that may motivate leading is nearly impossible
hardwork young people to be productive
6. Youth organization members Dr. Wayne Dyer
articles on Family Roles (2003, 2004) – identified  follow their leaders  counseling psychologist from New York
various roles which connect with other functions  perform specific functions that may  believes that one does not need a title to
in Philippine society develop or enhance their skills be a leader

A. FAMILY *Roles, however, may be influenced by FOLLOWERSHIP


1. Father varied factors such as social influence,
 recognized as the breadwinner  refers to one’s ability to take directions
leadership and followership.
 also expected to be the leader and and to deliver what is instructed of him/
authority figure her
SOCIAL INFLUENCE
2. Mother – take care of and nurture her  a role held by an individual who involves
 impact that social factors and constructs
husband and children himself/ herself in any group or
have on the person in terms of emotions,
3. Children – expected to perform tasks at organization
opinions, or behaviors brought about by
home
social engagements
B. COMMUNITY Robert Kelley – presented 4 main qualities of
influence – may mean a change in behavior
1. Church Leaders – lead the faithful and effective leadership
caused by a person to another
the entire congregation in church 1. Self- management – follower’s ability to
services critically think, control and work
THREE AREAS OF SOCIAL INFLUENCE:
2. Government officials – perform their
1. Conformity – when adolescents change their independently
roles and responsibilities and abide by
behavior to be like others 2. Commitment – quality of followers who stick
the code of ethics for government
2. Compliance – will be reminded of the to the goals or thrusts of the group or team
service
consequences or disadvantages of not
3. Professionals (teachers, bankers, 3. Competence – essential skills and aptitudes
joining or involving themselves in such types
doctors, lawyers, engineers, IT of followers that allow them to perform their
of activities
practitioners, etc.) – roles and duties and responsibilities as well as to
3. Obedience – when adolescents submit
functions are defined by their trainings improve and upgrade themselves
themselves to authorities; adolescents may
4. Skilled workers (mechanics, craftsmen, continually
have no choice but to do
electicians, bakers, etc.)
 highly needed in the community 4. Courage – follower’s ability to stand their
since their respective specialized GROUP LEADERSHIP ground, unbent by unethical practices;
honest and loyal; properly assert
skills are exclusive leader – expected to lead others
themselves to their leaders
A group of Technology and Communication Chapter 11: Family Structures and Legacies  may be products of separated
Management students at the University of marriages or death of the previous
Science and Technology of Southern Philippines family – basic unit of society according to partner
(2017) conducted a survey in 150 first-time sociology  in other countries, over 50% of
voters on the research topic “Presidential *From the perspective of psychology, genetic marriages end up in divorce or
Candidates as Viewed by the First- Time Voters and environmental influences within the family separation
and Its Impact on Choosing a Candidate.” The contribute to such development. 5. Grandparent Family
result shows that the popularity of the candidate  a type of family structure where
has a big impact on the choice of first-time DIFFERENT FAMILY grandparents take on the role of
voters. parenting and nurturing the children
STRUCTURES AND FAMILY CARE
Michelle Blessing THE GENOGRAM
COMPARISON BETWEEN SELF-  a mental health professional in the US
PERCEPTION AND OTHER’S  mentioned family structures  a pictorial display of a person’s family
PERCEPTION relationships and medical history
1. Nuclear Family  goes beyond a traditional family tree by
perception  ideal family allowing the user to visualize hereditary
 starts with the senses  consists of two parents and children patterns and psychological factors that
 happens when there is awareness and  ideal setting where the children are punctuate relationships
identification of the person raised with a more stable home  was first used and made popular in the
Thus, in psychology, sensation and clinical setting by Monica McGoldrick and
environment
perception go together. Randy Gerson
2. Single- Parent Family
 comprises of a solo parent raising the
Plotnik (2006) – defines perception as “the Family Times
children
experience of a meaningful pattern or image that
 parenting is highly challenging as this  a publication of New Mexico University
the brain assembles from thousands of individual,  states that communication is the key to
may mean nobody shares the
meaningless sensations; a perception is normally healthy family relationships
responsibility and accountability of
changed, biased, colored, or distorted by a
taking care of the children
person’s unique set of experiences.” Proper communication – sends respect to family
3. Extended Family
 comprised of two parents, children, members
Self-perception – relates with how one perceives
oneself aunts, uncles, grandparents or non-
relatives living together under one roof Communication – at the heart of intimate human
Johari Window – shows windows where one relationships, a foundation on which all else is
knows aspects of himself/herself while other  product of financial difficulties
4. Stepfamily built
windows shoe the person’s aspects on traits
known to others, and those not known to the  refers to two families being merged
person together due to the marriage of a
parent of one family to another
Chapter 12: Persons and Careers
Education 1. Physical aspect – physical features of a
 should not be self-serving, that is, LIFE GOALS person
finishing school for one’s personal gain 2. Mental aspect – refers to the manner of
 true purpose: service for others goal – an end towards which one’s efforts are all talking, and the range and depth of ideas
*Preparing students for their careers should directed shared by the person
be a journey of finding one’s passion. life goals – provide direction and meaning to why 3. Emotional aspect – person’s emotional
one wakes up in the morning and continue living propensities and expressions, his or her
Preparing you for the World of Work (Libed, likes and dislikes. including his or her unique
2017) *For a graduating student, being anxious is responses to emotional situations
 entails risks and challenges in part of the journey. 4. Social aspect – refers to how one conducts
determining one’s goals and career himself/ herself with other people
choice Anxiety – caused by lack of certainty about Socialization is an art and there are varied
youself and the future approaches that one can take when
interacting with others.
CAREER DEVELOPMENT
ASSESSING ONE’S PERSONALITY 5. Spiritual aspect – refers to the
career – defined as a profession for which one is acknowledgement of higher values in life
Personality is defined by diff. authors in the
being trained and undertaken as a permanent (eg. one’s religious beliefs)
following manner:
calling (Merriam Webster Dictionary) 6. Moral aspect – acknowledges what is right
 Individually unique, consistent pattern of and wrong in certain situations
behavioral and psychological attributes Morality serves as a compass that guides
PERSONAL FACTORS AND that endure over time and across decision- making.
CAREER CHOICE situations (Smith,1998)
Trait and factor (Flanigan, 2011) – one of the  A combination of long lasting and The 16 Personality Factors Model
career development theories distinctive behaviors, thoughts, motives, - was developed by Raymond Cattell,
and emotions that typify how we react and (Sanchez & Berin, 2002)
trait – refers to the unique characteristics of a adapt to other people and situations - used to assess personality based on 16
person (Plotnik, 2006) variables or personality traits
factor – refers to the known requirements for the  The overall pattern or the integration of
structure, modes of behavior, interests,
job
attitudes, intellectual abilities, aptitudes, Chapter 13: Career Pathways
and many other distinguishable personality Internal factors (such as personal constructs and
*Parson states that a wise vocation choice
traits (Snachez & Berin, 2002) characteristics) – may influence career decisions;
requires understanding of the self – attitudes,
supplemented by external factors
abilities, interest, ambitions, resources, and
limitations. *Thus, personality is a combination of traits
unique to each person. External factors – influential in an adolescent’s
One also needs to know the specific
decision- making process
requirements and conditions of varied lines of
work.
Lastly, one needs to apply reason to connect DIFFERENT ASPECTS OF PERSONALITY:
the relationships between the two.
EXTERNAL FACTORS THAT INFLUENCE practical information related to the pros - shared his “True Millionaire’s Prayer” to
CAREER CHOICES and cons of certain careers help you realize what it really means to be
1. Life roles 2. Teachers – their varied exposures may rich
Super’s Lifespan theory – states provide guidance to a confused - did not just teach us to visualize but to be
that we play varied roles throughout our adolescent; their facilitating skills may lead completely committed to one’s vision
life span and these roles shape the way the adolescent into realizing the diff pros - give his readers a guide through a form of
we look at things and our choices and cons of taking certain career prayer
- these roles may shape his or her programs in college
decision regarding which particular 3. Counselors – part of the counselor’s work MAKING A FIRM STAND ON
career to take is career guidance
2. Previous experiences CAREER CHOICES
Krumboltz’s Social Learning and Lisa McQuerrey – shares ideas in preparing for a Career choice should be taken seriously.
Planned Happentance Theories – an career path Bo Sanchez – “the truly rich person knows how to
individual’s previous work experiences give, part of his intention to be rich is to reach out
with people whom they consider to be Chapter 14: Insights into One’s Personal to those who may need them.”
positive role models will direct his or her
choice of a specific career Development *The essential truth about having a career is
3. Culture and community – expectations to partake in the mission of serving of others.
may be embraced by the individual out of THE IMPORTANCE OF PERSONAL
a need for acceptance within the group or DEVELOPMENT FACTORS IN Development – state of being developed or
community where he or she belongs progression into higher and much better
4. Social and economic conditions CAREER DECISIONS AND MORE standards
5. Childhood fantasies – concept is Personal development factors – valuable in - illustrates a goal of a much better
supported by Ginzberg’s theory describing making career choices and improved version of oneself
3 life stages related to career
development; the first stage is fantasy, CREATIVE VISUALIZATION
where early concepts about careers are
formed up 14 years old Visualization – refers to the process of looking
6. “Ideal Job” – idea of a perfect job where forward and seeing your desires and aspirations
it could be something that is “exactly what happening
you want to get up, go and do everyday” The process of visualization empowers you
7. Parents – an influential factor in career and helps you face such challenge in the future.
decisions as shown in the records of You can become the person you visualize.
career
Bo Sanchez (2007)
Seek advice from the ff about the pros and cons - author of the book 8 Secrets of the Truly
in choosing a career: Rich
1. Parents – their background and
experiences may provide you with

You might also like