KEMBAR78
Fgtech Boot Mode Tricore List | PDF | Wheeled Vehicles | Motor Vehicle
100% found this document useful (1 vote)
879 views6 pages

Fgtech Boot Mode Tricore List

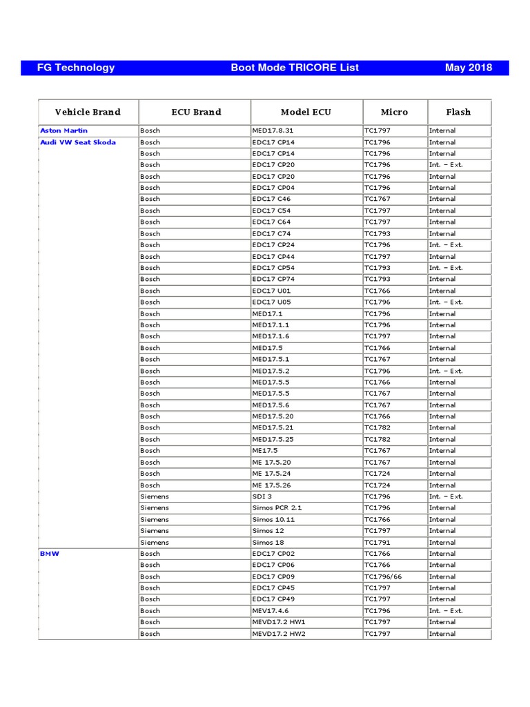
The document is a list of vehicle brands, ECU brands, ECU models, microcontrollers, and flash memory types from FG Technology. It includes information on over 100 combinations of vehicle brands like Audi, BMW, Ford, and Honda paired with ECU brands like Bosch and Siemens along with the specific ECU model used, microcontroller, and whether the flash memory is internal or can be internal/external.

Uploaded by

Milena Perez
Copyright
© © All Rights Reserved
We take content rights seriously. If you suspect this is your content, claim it here.
Available Formats
Download as PDF, TXT or read online on Scribd
100% found this document useful (1 vote)
879 views6 pages

Fgtech Boot Mode Tricore List

The document is a list of vehicle brands, ECU brands, ECU models, microcontrollers, and flash memory types from FG Technology. It includes information on over 100 combinations of vehicle brands like Audi, BMW, Ford, and Honda paired with ECU brands like Bosch and Siemens along with the specific ECU model used, microcontroller, and whether the flash memory is internal or can be internal/external.

Uploaded by

Milena Perez
Copyright
© © All Rights Reserved
We take content rights seriously. If you suspect this is your content, claim it here.
Available Formats
Download as PDF, TXT or read online on Scribd
You are on page 1/ 6

FG Technology Boot Mode TRICORE List May 2018

Vehicle Brand ECU Brand Model ECU Micro Flash

Aston Martin Bosch MED17.8.31 TC1797 Internal


Audi VW Seat Skoda Bosch EDC17 CP14 TC1796 Internal
Bosch EDC17 CP14 TC1796 Internal
Bosch EDC17 CP20 TC1796 Int. – Ext.
Bosch EDC17 CP20 TC1796 Internal
Bosch EDC17 CP04 TC1796 Internal
Bosch EDC17 C46 TC1767 Internal
Bosch EDC17 C54 TC1797 Internal
Bosch EDC17 C64 TC1797 Internal
Bosch EDC17 C74 TC1793 Internal
Bosch EDC17 CP24 TC1796 Int. – Ext.
Bosch EDC17 CP44 TC1797 Internal
Bosch EDC17 CP54 TC1793 Int. – Ext.
Bosch EDC17 CP74 TC1793 Internal
Bosch EDC17 U01 TC1766 Internal
Bosch EDC17 U05 TC1796 Int. – Ext.
Bosch MED17.1 TC1796 Internal
Bosch MED17.1.1 TC1796 Internal
Bosch MED17.1.6 TC1797 Internal
Bosch MED17.5 TC1766 Internal
Bosch MED17.5.1 TC1767 Internal
Bosch MED17.5.2 TC1796 Int. – Ext.
Bosch MED17.5.5 TC1766 Internal
Bosch MED17.5.5 TC1767 Internal
Bosch MED17.5.6 TC1767 Internal
Bosch MED17.5.20 TC1766 Internal
Bosch MED17.5.21 TC1782 Internal
Bosch MED17.5.25 TC1782 Internal
Bosch ME17.5 TC1767 Internal
Bosch ME 17.5.20 TC1767 Internal
Bosch ME 17.5.24 TC1724 Internal
Bosch ME 17.5.26 TC1724 Internal
Siemens SDI 3 TC1796 Int. – Ext.
Siemens Simos PCR 2.1 TC1796 Internal
Siemens Simos 10.11 TC1766 Internal
Siemens Simos 12 TC1797 Internal
Siemens Simos 18 TC1791 Internal
BMW Bosch EDC17 CP02 TC1766 Internal
Bosch EDC17 CP06 TC1766 Internal
Bosch EDC17 CP09 TC1796/66 Internal
Bosch EDC17 CP45 TC1797 Internal
Bosch EDC17 CP49 TC1797 Internal
Bosch MEV17.4.6 TC1796 Int. – Ext.
Bosch MEVD17.2 HW1 TC1797 Internal
Bosch MEVD17.2 HW2 TC1797 Internal
Bosch MEVD17.2 HW3 TC1797 Internal
Bosch MEVD1723 TC1793 Internal
Bosch ME17.2 BMSX TC1797 Internal
Bosch EDC17 C41 hw1 TC1797 Internal
Bosch EDC17 C50 TC1797 Internal
Bosch EDC17 C56 TC1797 Internal
Siemens MSD80 TC1796 Internal
Siemens MSD81 TC1796 Internal
Siemens MSD85 TC1796 Internal
Siemens MSD87 TC1796 Int. – Ext.
Siemens MSV80 TC1796 Internal
Challenger Bosch EDC17CV42/CV41 TC1797 Internal
Chevrolet Bosch EDC17 CP18 TC1796 Internal
Bosch EDC17 CP18 Acdelco E86 TC1797 Internal
Bosch EDC17 C59 Acdelco TC1767 Internal
Chrysler Bosch EDC17 CP27 TC1796 Internal
Bosch EDC17 C49/79 TC1796 Internal
Claas Bosch EDC17CV41/42 TC1797 Internal
Bosch EDC17C53 TC1767 Internal
Continental MCM2.1 TC1797 Internal
Daewoo Delphi MT60 TC1766 Internal
Deutz Bosch EDC17 CV52 TC1797 Internal
Bosch EDC17 CV44/54/56 TC1767 Internal
Dodge Bosch EDC17 C49/C79 TC1797 Internal
Ducati Bosch ME17.9.21 TC1724 Internal
Fendt Bosch EDC17 CV52 TC1797 Internal
Bosch EDC17 CV44/54/56 TC1767 Internal
Fiat-Alfa-Lancia-Abarth Bosch ME17.9.xx TC1767 Internal
Bosch MED17.3.0 HW01/02 TC1724 Internal
Bosch MED17.3.1 TC1766 Internal
Bosch MED17.3.4 TC1797 Internal
Bosch MED17.3.5 TC1793 Internal
Bosch EDC17C69 TC1793 Internal
Bosch EDC17 CP52 TC1797 Internal
Bosch EDC17 CP27 TC1796 Internal
Bosch EDC17 C49/79 TC1797 Internal
Ford Bosch EDC17 C10 TC1797 Internal
Bosch EDC17 C70 TC1793 Internal
Bosch EDC17 CP05 TC1796 Int. – Ext.
Bosch EDC17 CP05 TC1797 Internal
Bosch EDC17 CP10 TC1797 Internal
Bosch EDC17 CP11 TC1796 Int. – Ext.
Bosch EDC17 CP42 TC1797 Int. – Ext.
Bosch EDC17 CP65 TC1793 Internal
Bosch ME17.8.5 TC1766 Internal
Bosch MED17 TC1767 Internal
Bosch MED17.2 TC1767 Internal
Bosch MED17.2.2 TC1797 Internal
Siemens Continental SID807 TC1797 Internal
Siemens Continental SID208 TC1797 Internal
Siemens Continental SID209 TC1797 Internal
Siemens Continental EMS2205 TC1766 Internal
Geely Delphi MT80 TC1766 Internal
Honda Bosch EDC17 CP06 TC1792 Internal
Bosch EDC17 CP16 TC1796 Internal
Bosch EDC17 CP50 TC1797 Internal
Bosch EDC17 C58 TC1793 Internal
Bosch MED17.9.3 TC1793 Internal
Isuzu Bosch EDC17 C09 TC1766 Internal
Bosch EDC17 C83 TC1793 Internal
Bosch EDC17 CV42/41 TC1797 Internal
Iveco Bosch EDC17 CP52 TC1797 Internal
Bosch EDC17 C49 TC1797 Internal
Bosch EDC17 CV41 TC1797 Internal
Jaguar Bosch MED17.2 TC1767 Internal
Bosch MED17.2.2 TC1797 Internal
Bosch MEDC17.2.2 TC1793 Internal
Bosch EDC17 CP11 hw1/hw2 TC1796 Internal
Bosch EDC17 CP55 TC1796 Internal
JCB Bosch EDC17 CV54 TC1767 Internal
Jeep Bosch MED17.3.4 TC1797 Internal
Bosch EDC17 C69 TC1793 Internal
Bosch EDC17 CP27 TC1796 Internal
Bosch EDC17 C49/79 TC1797 Internal
Kia / Hyundai Bosch EDC17 TC1796 Internal
Bosch EDC17C08 TC1766 Internal
Bosch EDC17C53 TC1767 Internal
Bosch EDC17C57 TC1793 Internal
Bosch MED17.9.8 TC1767 Internal
Bosch MEDG17.9.8 TC1767 Internal
Bosch ME17.9.11 TC1762 Internal
Bosch MEG17.9.12 TC1762 Internal
Bosch ME17.9.1 TC1796 Internal
Delphi MT86 TC1766 Internal
Siemens Continental SIM 2K TC1767 – TC1766 Internal
KTM Bosch M17.8.7 TC1762 Internal
Kubota Bosch EDC17 C55 TC1767 Intenal
Lada Bosch ME17.9.7 TC1762 Internal
Land Rover Bosch MED17.2 TC1767 Internal
Bosch MED17.2.2 TC1797 Internal
Bosch MED17.3.4 TC1797 Internal
Bosch EDC17 CP11 TC1796 Internal
Bosch EDC17 CP42 TC1797 Internal
Bosch EDC17 CP55 TC1793 Internal
Siemens Continental SID 208 TC1797 Internal
Mahindra Bosch EDC17 C55 TC1767 Internal
Bosch EDC17 C42 TC1767 Internal
MAN Bosch EDC17 TC1797 Internal
Bosch EDC17 CV42 TC1797 Internal
Maserati Bosch EDC17 C49/79 TC1797 Internal
Bosch MED17.3.4 TC1797 Internal
Massey Fergusson Bosch EDC17 CV44/54/56 TC1767 Internal
Bosch EDC17 CV42/CV41 TC1797 Internal
MC Laren Bosch MED17.7.8 TC1797 Internal
Mercedes-Benz Bosch EDC17 TC1796 Internal
Bosch EDC17 CP01 TC1796 Internal
Bosch EDC17 CP10 TC1796 Internal
Bosch EDC17 CP46/01 TC1797 Internal
Bosch EDC17 CP57 TC1793 Internal
Bosch EDC17 CP60 TC1793 Internal
Bosch EDC17 C66 TC1793 Internal
Bosch EDC17 C43 TC1797 Internal
Bosch EDC17.1.1 TC1797 Internal
Bosch MED17.1.1 TC1797 Internal
Bosch MED17.7.2 TC1797 Internal
Bosch MED17.7.3 TC1797 Internal
Bosch MED17.7.3.1 TC1797 Int. – Ext.
Bosch MED17.7.8 TC1797 Internal
Continental ACM2.X TC1796 Int.F.+EEPROM
Continental MCM2 TC1796 Int.F.+EEPROM
Continental MCM2.1 TC1797 Int.F.+EEPROM
Delphi CRD3.10 Solenoid TC1797 Internal
Delphi CRD3.40 Solenoid TC1797 Internal
Delphi CRD3.50 Piezotec TC1797 Internal
Delphi CRD3.E1 TC1793 Internal
Siemens SID 307 TC1767 Internal
Siemens SID 309 TC1767 Internal
Siemens SID 310 TC1791 Internal
Siemens EMS3155 TC1782 Internal
MG Bosch ME17.8.8 TC1767 Internal
Mitsubishi Bosch EDC17 CP15 TC1796 Int. – Ext.
Bosch EDC17 C49/79 TC1797 Internal
Bosch EDC17 TC1797 Internal
Siemens SID807 TC1797 Internal
Siemens SID807 TC1796 Int. – Ext.
New Holland Bosch EDC17C49 TC1797 Internal
Nissan Bosch VME17 TC1762 Internal
Bosch EDC17 CP58 TC1767 Internal
Bosch EDC17 C45 TC1766 Internal
Bosch EDC17 C84 TC1782 Internal
Siemens SID 307 TC1767 Internal
Siemens SID 309 TC1767 Internal
Siemens SID 310 TC1791 Internal
Siemens EMS3155 TC1782 Internal
Opel Bosch EDC17 C18 TC1766 Internal
Bosch EDC17 C19 TC1792 Internal
Bosch ACDelco EDC17 C42 TC1767 Internal
Bosch EDC17 C59 TC1767 Internal
Bosch ACDelco EDC17 CP47 TC1797 Internal
Peugeot-Citroen / MINI Bosch EDC17 CP11 TC1796 Int. – Ext.
Bosch EDC17 CP42 TC1797 Internal
Bosch EDC17 C10 TC1796 Int. – Ext.
Bosch EDC17 C10 TC1797 Internal
Bosch EDC17 C50 TC1797 Internal
Bosch EDC17 C60 TC1793 Internal
Bosch EDC17 C41 TC1797 Internal
Bosch MEG17.9.52 TC1782 Internal
Bosch MEV17.2 TC1796 Int. – Ext.
Bosch MEV17.4 TC1766 Internal
Bosch MEVD1722 TC1797 Internal
Bosch MED17 TC1796 Int. – Ext.
Bosch MED17 TC1766 Internal
Bosch MEVD17.2.7 TC1797 Internal
Bosch MEVD17.4.4 TC1793 Internal
Bosch MED17.2.2 TC1767 Internal
Bosch MEV17.4.2 TC1767 Internal
Bosch MED17.4 TC1796 Int. – Ext.
Bosch MED17.4 TC1766 Internal
Bosch MED17.4.2 TC1767 Int.
Siemens Continental SID 807 TC1797 Internal
Siemens Continental SID 807 TC1796 Int. – Ext.
Siemens Continental SID 208 TC1797 Internal
Piaggio Bosch EDC17 C08 TC1766 Internal
Polaris Bosch M17.8.7 TC1762 Internal
Bosch ME17.9.7 TC1762 Internal
Porsche Bosch EDC17 CP44 TC1797 Internal
Siemens Continental EMS SDI3 TC1796 Int. – Ext.
Renault Bosch EDC17 CP19 TC1766 Internal
Bosch EDC17 CP58 TC1767 Internal
Bosch EDC17 C11 hw1 TC1766 Internal
Bosch EDC17 C11 hw2 TC1766 Internal
Bosch EDC17 C42 TC1767 Internal
Bosch EDC17 C45 TC1766 Internal
Bosch EDC17 C84 TC1782 Internal
Siemens EMS3110 TC1766 Internal
Siemens EMS3150 TC1767 Internal
Siemens EMS3155 TC1782 Internal
Siemens SID 305 hw1 TC1766 Internal
Siemens SID 305 hw2 TC1766 Internal
Siemens SID 307 TC1767 Internal
Siemens SID 309 TC1767 Internal
Siemens SID 310 TC1791 Internal
Rotax Bosch MED17.8.5 TC1766 Internal
Saab Bosch EDC17 CP21 TC1792 Internal
Same Bosch EDC17 C53 TC1767 Internal
Bosch EDC17 CV44/54/56 TC1767 Internal
Suzuki Bosch ME17.8.xx TC1762 Internal
Bosch ME17.8.xx TC1767 Internal
Bosch VME17 TC1762 Internal
Bosch ME17.9.xx TC1767 Internal
Toyota Bosch EDC17 CP07/37 TC1766 Internal
Bosch EDC17 C47 TC1782 Internal
Bosch EDC17 C73 TC1793 Internal
Bosch MEG17.9.52 TC1782 Internal
UAZ Bosch ME17.9.7 TC1762 Internal
Valtra Bosch EDC17CV41/42 TC1797 Internal
Volvo Bosch MED17.2 TC1767 Internal
Bosch MED17.2.2 TC1797 Internal
Bosch EDC17 CP22 TC1796 Internal
Bosch EDC17 CP48 TC1797 Internal
Bosch EDC17 CP68 TC1797 Internal
Siemens SID 807 TC1797 Internal
Yanmar Bosch EDC17 CV54 TC1767 Internal

You might also like