KEMBAR78
How To Update FA100 Program | PDF | Personal Computers | Random Access Memory
0% found this document useful (0 votes)
499 views14 pages

How To Update FA100 Program

The document describes the process for updating the program on the FA-100 system. It has five CPUs that each run individual programs. The updating process is outlined and described for the Main CPU and Sub CPU. Key steps include connecting the PC to the unit, selecting the correct program file, downloading the update files, and verifying the new program version number after completion. Memory must be cleared after Main and Sub CPU updates.

Uploaded by

dimitriap
Copyright
© Attribution Non-Commercial (BY-NC)
We take content rights seriously. If you suspect this is your content, claim it here.
Available Formats
Download as PDF, TXT or read online on Scribd
0% found this document useful (0 votes)
499 views14 pages

How To Update FA100 Program

The document describes the process for updating the program on the FA-100 system. It has five CPUs that each run individual programs. The updating process is outlined and described for the Main CPU and Sub CPU. Key steps include connecting the PC to the unit, selecting the correct program file, downloading the update files, and verifying the new program version number after completion. Memory must be cleared after Main and Sub CPU updates.

Uploaded by

dimitriap
Copyright
© Attribution Non-Commercial (BY-NC)
We take content rights seriously. If you suspect this is your content, claim it here.
Available Formats
Download as PDF, TXT or read online on Scribd
You are on page 1/ 14

Chapter 5.

Updating program

5.1 General
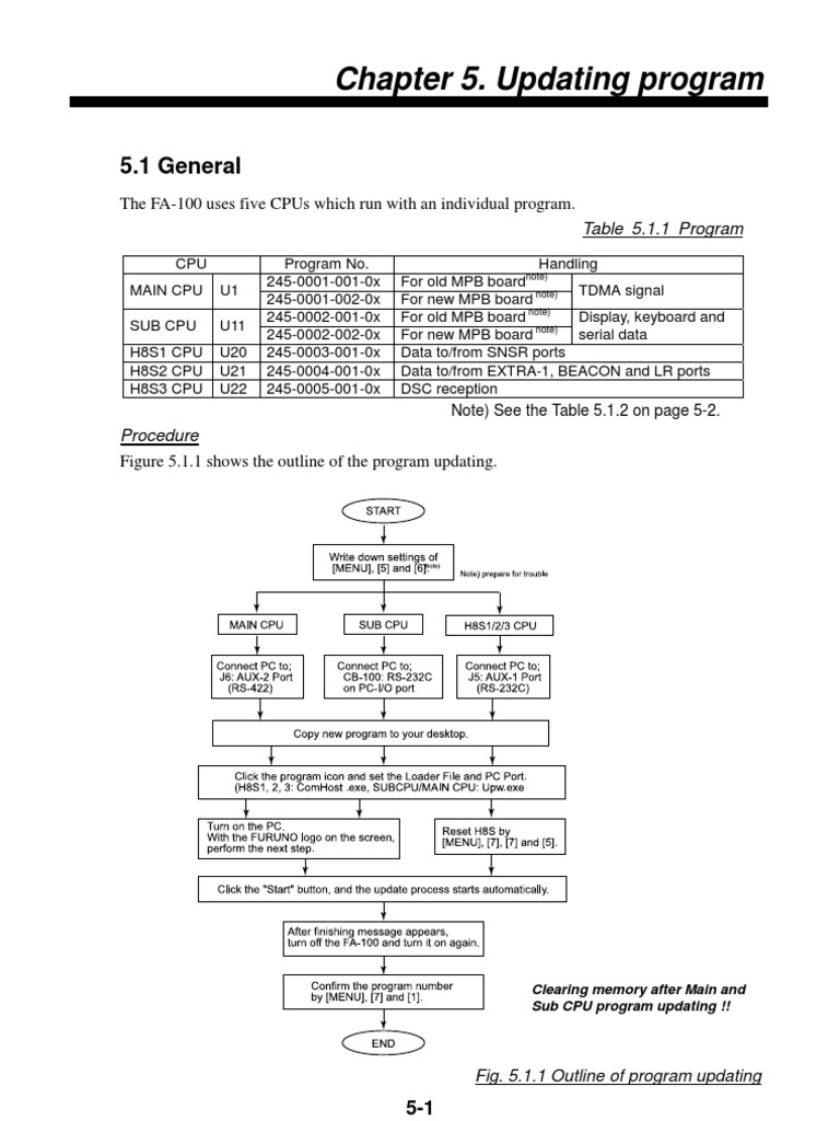
The FA-100 uses five CPUs which run with an individual program.
Table 5.1.1 Program

CPU Program No. Handling


245-0001-001-0x For old MPB boardnote)
MAIN CPU U1 TDMA signal
245-0001-002-0x For new MPB board note)
note)
245-0002-001-0x For old MPB board Display, keyboard and
SUB CPU U11
245-0002-002-0x For new MPB board note) serial data
H8S1 CPU U20 245-0003-001-0x Data to/from SNSR ports
H8S2 CPU U21 245-0004-001-0x Data to/from EXTRA-1, BEACON and LR ports
H8S3 CPU U22 245-0005-001-0x DSC reception
Note) See the Table 5.1.2 on page 5-2.
Procedure
Figure 5.1.1 shows the outline of the program updating.

Clearing memory after Main and


Sub CPU program updating !!

Fig. 5.1.1 Outline of program updating


5-1
5.1 General

Every program is updated asynchronously in no flow control at 9600 bps. It is


unnecessary to set the SET I/O PORT of [MENU][6][1].

1. Confirming the program version


Pressing [MENU][7] and [1], shows the list of the program number and version.
Press [CLR], shows the program version in detail.

[PROGRAM NO.] [PROGRAM NO.]

MAIN : 245-0001-00x MAIN : 245-0001-00x0x


SUB : 245-0002-00x SUB : 245-0002-00x0x
H8S1 : 245-0003-001 [CLR] H8S1 : 245-0003-0010x
H8S2 : 245-0004-001 H8S2 : 245-0004-0010x
H8S3 : 245-0005-001 H8S3 : 245-0005-0010x

When the program number differs from one in the above list, update the program again
with the correct selection of the Loader File.

Note: Program number of MAIN and SUB CPUs


There are two types of MPB board (24P0015): old type (24P0015-55 and before) and
new type (24P0015-66 and after). These boards are loaded with different MAIN- and
SUB-CPU programs. Use MPB board (hardware) and software in correct combination.
Before servicing, verify the program number.
Table 5.1.2 Program files

MAIN and SUB CPU program numbers


MAIN: 245-0001-001 MAIN: 245-0001-002
SUB: 245-0002-001 SUB: 245-0002-002
Old MPB board
Possible Not possible
(24P0015-55 and before)
Possible by changing jumpers Possible
New MPB board
JP6: Cut JP6: Short
(24P0015-66 and after)
JP’: Short JP7: Open

JP6
JP7

Fig. 5.1.2 Jumper-6 and 7 position in MPB board : 24P0015-66

5-2
5.1 General

2. Clearing memory after updating


See page 8-14 for “Factory reset”. (Turn on the unit while holding [CLR]. Release the
hand when “COMPLETE” appears.)
After clearing the memory, reset “INTI SETTING” and “SYSTEM SETTING”.

3. Checking “ROM/RAM” after updating


See page 8-8 for “MEMORY TEST”. (Press [MENU][7] and [2] to confirm the
ROM/RAM TEST result.)
ROM/RAM test must be OK.

[MEMORY TEST]
ROM RAM
MAIN : OK OK
SUB : OK OK
H8S1 : OK OK
H8S2 : OK OK
H8S3 : OK OK

Fig 5.1.3 MEMORY TEST display

4. When BACK UP error is displayed


When BACK UP error message appears after updating SUB CPU program, INIT
SETTING in [MENU][5] and SYSTEM SETTING in [MENU][6] must be carried out.

[ERROR]
BACKUP ERROR !

ESC :[ENT]

Significant change of SUB CPU program will come above in convenience.

5-3
5.2 Program files

5.2 Program files


Each program disk contains following files. The file size varies depends on the
version level.

Table 5.2.1 Program files

CPU MAIN SUB H8S1 H8S2 H8S3


File (245-0001-00x0x) (245-0002-00x0x) (245-0003-00010x) (245-004-0010x) (245-005-0010x)
Him.bin
X X
(89kB)
Upw.exe
X X
(449kB)
Himmain.mot
X
(669kB)
Himsub.mot
X
(773kB)
ComHost.exe
X X X
(446kB)
Loader.bin
X X X
(2kB)
H8s1.bin
X
(24kB)
H8s2.bin
X
(25kB)
H8s3.bin
X
(52kB)

5-4
5.3 MAIN CPU

5.3 MAIN CPU


5.3.1 Connection for updating MAIN CPU
The PC is connected to EXTERNAL GPS(AUX-2) port (J6) via RS-232C/RS-422
level converter. See Fig. 5.3.1. Use the level converter of which transmission rate is
9600 bps or more. The interconnection cable and the converter are arranged locally.
Make shorts on the COM part of the PC.
.

Fig. 5.3.1 Connection for updating MAIN CPU program

5.3.2 Updating Procedure

1. Turn off the FA-100.

2. Insert the MAIN CPU program disk into the PC.

3. Download all files in the disk to your desktop.


The files are;
- Him.bin, Upw.exe : used to download the program
- Himmain.mot : Main CPU program

5-5
5.3 MAIN CPU

4. Click the “Upw.exe”. The UPW window appears.

Port setting
Loader File selection

Status window

Start button

5. Select “Loader File”; click SH3 MAIN.

CAUTION: Do this carefully, otherwise a wrong program is installed.

6. Select the PC serial “Port” to be used. When the [COM1] port of the PC is used,
select ”COM1”.

7. Turn on the FA-100.

8. After hearing a beep, click [Start] in UPW window during the presence of the
FURUNO logo on the FA-100 screen. The updating starts automatically.
FURUNO logo

plotter display
Press [Start] during
this period.

Fig. 5.3.2 Start-up Sequence

5-6
5.3 MAIN CPU

9. The messages appear in the ”Status” window on the PC. The display of the
FA-100 changed to plotter display.

Response waiting from target.


Response detection from target.
Loading program transmission beginning.
Loading program transmission completion.
19694line is transmitted.
Now Erasing
Writing was completed.

10. Updating is complete with the following message.


“Writing was completed.”
The necessary time for program update is about 10 minutes.

11. Turn off the PC, and turn it on again.

12. Press [MENU][7] and [1] to confirm the program number and version,
245-0001-00x. Press [CLR], shows the program version in detail; 245-0001-00x0x.

Clearing memory after updating


Turn on the unit while holding [CLR]. Release the hand when “COMPLETE” appears.
After clearing the memory, reset “INTI SETTING” and “SYSTEM SETTING”.
See page 8-14.

5-7
5.4 SUB CPU

5.4 SUB CPU


5.4.1 Connection for updating SUB CPU
The PC is connected in the junction box CB-100 as shown in Fig. 5.4.1.
The interconnection cable is arranged locally. Make shorts on the COM port of the
PC.

Fig. 5.4.1 Connection for updating SUB CPU

5.4.2 Updating Procedure

1. Turn off the FA-100.

2. Insert the SUB CPU program disk into the PC.

3. Download all files in the disk to your desktop.


The files are;
- Him.bin, Upw.exe : used to download the program
- Himsub.mot : Sub CPU program

5-8
5.4 SUB CPU

4. Click the “Upw.exe”. The UPW window appears.

Loader File selection Port setting

SH3 SUB

Status window

Start button

5. Select “Loader File”; click SH3 SUB.

CAUTION: Do this carefully, otherwise a wrong program is installed.

6. Select the PC serial “Port” to be used. When the [COM1] port of the PC is used,
select ”COM1”.

7. Turn on the FA-100.

8. After hearing a beep, click [Start] in UPW window during the presence of the
FURUNO logo on the FA-100 screen. The updating starts automatically.

FURUNO logo

Press [Start] during


this period.

Fig. 5.4.2 Start-up Sequence

5-9
5.4 SUB CPU

9. The messages appear in the ”Status” window on the PC. The display of the FA-100
remains unchanged (FURUNO logo).

Response waiting from target.


Response detection from target.
Loading program transmission beginning.
Loading program transmission completion.
19694line is transmitted.
Now Erasing
Writing was completed.

10. Updating is complete with the following message.


“Writing was completed.”
The necessary time for program update is about 15 minutes.

11. Turn off the PC, and turn it on again.

12. Press [MENU][7] and [1] to confirm the program number and version,
245-0002-00x. Press [CLR], shows the program version in detail; 245-0002-00x0x.

Clearing memory after updating


Turn on the unit while holding [CLR]. Release the hand when “COMPLETE” appears.
After clearing the memory, reset “INTI SETTING” and “SYSTEM SETTING”.
See page 8-14.

5-10
5.5 H8S1/2/3

5.5 H8S1/2/3
5.5.1 Connection for updating H8S1/2/3
The PC is connected to LOG CONTACT(AUX-1) port (J5) as shown in Fig. 5.5.1.
The interconnection cable is arranged locally. Make shorts between #4 and #6, and
between #7 and #8 on the COM port of the PC.

Fig. 5.5.1 Connection for updating H8S program

5.5.2 Updating procedure


To update H8S1/2/3 program;

Setup to PC
1. Insert the H8S program disk into the PC.

2. Download all files in the disk to your desktop. The files are;
- ComHost.exe, Loader.bin: used to download the program
- H8S1.bin: H8S1 program
- H8S2.bin: H8S3 program
- H8S3.bin: H8S3 program

5-11
5.5 H8S1/2/3

3. Click the “ComHost.exe”. The BOOT LOADER window appears.

Loader File selection Port setting

Status window

Start button

4. Select “Loader File”; click H8S1.bin, H8S2.bin or H8S3.bin.

CAUTION: Do this carefully, otherwise a wrong program is installed.

5. Select the PC serial “Port” to be used. When the [COM1] port of the PC is used,
select ”COM1”.

Setup to FA-100
6. Press [MENU][7] and [7]. The display asks the password to access to the
“SERVICE” menu.
[ENTER PASSWORD]
PASSWORD:

7. Type password (xxxxxx) followed by [ENT], and the service menu appears.

[FOR SERVICE]
1 TX/RX TEST
2 SIO TEST
3 ALARM HISTORY
4 SET CH&PWR
5 H8S RESET

5-12
5.5 H8S1/2/3

8. Press [5] to select ”H8S RESET”. “H8S LOADER RESET menu” is displayed.

[H8S LOADER RESET]

H8S1 RESET
H8S2 RESET
H8S3 RESET

9. Select the loader to be reset by using [!] or ["] key and press [ENT].
The menu changes to ”H8S RESET”.

[H8S RESET]

H8S x PROGRAM Note: To close this window, turn off the PC.
LOADING……

Start
10. Click [Start] in the BOOT LOADER window. The new program is installed on
to the FA-100 automatically. The messages appear in “Status” window. The
FURUNO logo on the FA-100 is remains unchanged.

Loader transmission preparation.


Loader transmission preparation completion.
LSI initialization instruction.
LSI initialization completion.
Loader program byte number beginning.
Loader program byte number transmitting completion.
Loader program transmitting beginning.
Loader program byte number transmitting completion.
Loader program transmitting beginning.
Loader program transmitting end.
The main program saving preparation.
The main program saving preparation. . . Completion
Transmission bytes number transmission beginning.
Transmission bytes number transmission beginning . . . Completion
The main program forwarding beginning.
Checksum calculation beginning. . . .Completion

11. Updating is complete with the following message.


“Checksum calculation beginning. . . .Completion”
The necessary time for program update is;
- H8S1 and H8S2: about 5 minutes
- H8S3: about 8 minutes

5-13
5.5 H8S1/2/3

12. Turn off the PC, and turn it on again.

13. Press [MENU][7] and [1] to confirm the program number.


- H8S1 : 245-0003-001
- H8S2 : 245-0004-001
- H8S3 : 245-0005-001
Press [CLR], shows the program version in detail.
- H8S1 : 245-0003-0010x
- H8S2 : 245-0004-0010x
- H8S3 : 245-0005-0010x

If the program number is wrong, repeat above steps. (A wrong program is


loaded if the load file selection is incorrect.)

5-14

You might also like