KEMBAR78
Ans To The Report in Exp3 | PDF | Branches Of Thermodynamics | Quantity
0% found this document useful (0 votes)
192 views3 pages

Ans To The Report in Exp3

1. The ice plant can produce 14.4 tons of ice in 24 hours at 8 deg F from raw water at 76 deg F. 2. The mass of ice required is 163.44 kg to cool 4 million tons of vegetables over 4 days with an initial temp of 26 deg C and average temp of 10 deg C, accounting for heat gain. 3. The refrigeration capacity of a plant producing 20 million tons of ice per day at -12 deg C from water at 26 deg C is (a) 30.87 tons and (b) the volume of cooling medium required is 7.97 cubic meters per minute.

Uploaded by

dracarys
Copyright
© © All Rights Reserved
We take content rights seriously. If you suspect this is your content, claim it here.
Available Formats
Download as DOCX, PDF, TXT or read online on Scribd
0% found this document useful (0 votes)
192 views3 pages

Ans To The Report in Exp3

1. The ice plant can produce 14.4 tons of ice in 24 hours at 8 deg F from raw water at 76 deg F. 2. The mass of ice required is 163.44 kg to cool 4 million tons of vegetables over 4 days with an initial temp of 26 deg C and average temp of 10 deg C, accounting for heat gain. 3. The refrigeration capacity of a plant producing 20 million tons of ice per day at -12 deg C from water at 26 deg C is (a) 30.87 tons and (b) the volume of cooling medium required is 7.97 cubic meters per minute.

Uploaded by

dracarys
Copyright
© © All Rights Reserved
We take content rights seriously. If you suspect this is your content, claim it here.
Available Formats
Download as DOCX, PDF, TXT or read online on Scribd
You are on page 1/ 3

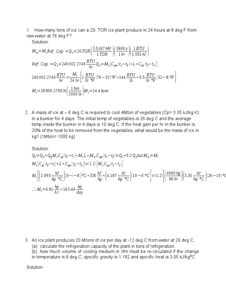
1.

How many tons of ice can a 20- TOR ice plant produce in 24 hours at 8 deg F from
raw water at 76 deg F?
Solution:
3.5167 kW 3600 s 1 BTU
M w =M i Ref . Cap .=Q s=20 TOR
1 TOR 1hr (
1.055 kJ )( )( )
BTU
Ref . Cap .=Q s=240 002.2749 Q =M i [ C pw ( t s−t f ) + L+C pi ( t f −t e ) ]
hr s
BTU Mi BTU BTU BTU
240 002.2749
hr
= 1
24 hr lb ∙℉ [
(76−32 ) ℉ +144
lb
+ 0.5
lb∙ ℉
( 32−8 ) ℉ ]
1 ton
M i=28 800.2799 lb ( 2000 lb )
M =14.4 tons
i

2. A mass of ice at – 8 deg C is required to cool 4Mton of vegetables (Cp= 3.35 kJ/kg K)
in a bunker for 4 days. The initial temp of vegetables is 26 deg C and the average
temp inside the bunker in 4 days is 10 deg C. If the heat gain per hr in the bunker is
20% of the heat to be removed from the vegetables, what would be the mass of ice in
kg? (1Mton= 1000 kg)

Solution:
Q i=Q s+ Q g M i C pi ( t f −t i )+ M i L+ M w C pw ( t e −t f ) =Q s +0.2 Q sbut M w =M i
M i [ C pi ( t f −t i ) + L+C pw ( t e −t f ) ]=( 1.2 ) [ M s C ps ( t s−t e ) ]

kJ kJ kJ 4000 kg kJ
{(
M i 2.093
kg ∙ ℃
[ )
0−(−8 ) ] ℃ +335 + 4.187
kg kg ∙ ℃ (
( 10−0 ) ℃ =( 1.2 )
96 hr) 3.35
kg ∙℃ } [(
( 26−10 ) ℃)( )
kg kg
∴ M i =6.81 ∨163.44
hr day

3. An ice plant produces 20 Mtons of ice per day at -12 deg C from water at 26 deg C.
(a) calculate the refrigeration capacity of the plant in tons of refrigeration.
(b) how much volume of cooling medium in cfm must be re-circulated if the change
in temperature is 8 deg C, specific gravity is 1.182 and specific heat is 3.05 kJ/kg 0C.

Solution:
a)

Ref . Cap=Q s +Qg ; Qg =0Ref . Cap=Q s=M s [ C pa ( t s−t f ) + L+C pb ( t f −t e ) ]


20 000 kg kJ kJ kJ
Ref . Cap=
24 hr [
4.187
kg ∙ K
( 26−0 ) ℃ +335 +2.093
kg kg ∙ K
( 0+ 12 ) ℃ ]
kJ 1 hr 1 TOR
Ref . Cap=390 815 (
hr 3600 s )( 3.5167 kW )
Ref . Cap=30.87 TOR

b)
M s C ps ( t s−t e )=( M C p ∆ T )cooling med .( M =ρV )cooling med . ; ( ρ=S . G . ρ w ) cooling med .

( mkg )=1182 mkg


ρmed . =1.182 1000 3 3

m3 3.28 ft 3
kJ kg kJ
hr (
390 815 = 1182
m ) ( V ) ( 3.05
3
kg ∙℃ )
med ( 8 ℃ )V med =13.55 (
hr 1 m ) ( 601hrmin )
ft 3
V med =7.97
min

4. A 40-TOR, ammonia ice plant operates on a simple saturation cycle with the
following temperatures: condensing temp = 35 0C and evaporating temp = - 15 0C. It
produces tons of ice per day at – 6 0C from water with raw temperature of 25 0C. Draw
the cycle on PH plane and determine:
(a) The tons of ice it can produce in one day at – 8 deg C if the raw temperature of
water is 28 deg C.
(b) COP

Solution:
( a ) Ref . Cap .=40TOR ( 3.5167 kW 3600 s
1TOR )( 1 hr )
=506 404.8
kJ
hr
Ref . Cap=Q s=M i [ C pw ( t s−t f ) + L+C pi ( t f −t e ) ]
kJ Mi kJ kJ kJ
506 404.8 =
hr 24 hr
4.187[kg ∙ K
( 28−0 ) ℃ +335 +2.093
kg kg ∙ K
( 0+ 8 ) ℃ ]
tons
M i=25 915.21003 kg ( 2.205
1 kg
lb
)( 1 ton
2000 lb ) M =28.57
i
day

( b ) Ideal COP for cooling


Q A h1 −h4 kJ
Ideal COP= = where :h1=hg at −15 ℃=1443.9
TP h 2−h1 kg
kJ kJ
h2 ≅ 17 07 using diagram for superheated ammonia vaporh 4=h 3=h f at 35 ℃=366.072
kg kg
kJ kJ
Ideal COP=
h −h
=
(1
1443.9 )−( 366.072 )
4 kg kg
Ideal COP=4.1
h −h kJ kJ
2
(17 0 7 kg )−(1443.9 kg )
1

You might also like