KEMBAR78
Operating System (Chapter 7) | PDF | Computers
0% found this document useful (0 votes)
36 views2 pages

Operating System (Chapter 7)

The document discusses memory management techniques in operating systems. It contains the following key points: 1) A system with 16MB memory partitioned into 64KB blocks requires 8 bits to identify each partition. The limit register for addressing partitions needs 16 bits. 2) Given memory partitions of 600K, 400K, 500K, 300K, processes of 200K, 300K, 470K, 500K can all be allocated contiguously. 3) A logical address space of 64 pages of 1024 words each mapped to 32 physical frames requires 16 bits for logical addresses and 15 bits for physical addresses.
Copyright
© © All Rights Reserved
We take content rights seriously. If you suspect this is your content, claim it here.
Available Formats
Download as DOCX, PDF, TXT or read online on Scribd
0% found this document useful (0 votes)
36 views2 pages

Operating System (Chapter 7)

The document discusses memory management techniques in operating systems. It contains the following key points: 1) A system with 16MB memory partitioned into 64KB blocks requires 8 bits to identify each partition. The limit register for addressing partitions needs 16 bits. 2) Given memory partitions of 600K, 400K, 500K, 300K, processes of 200K, 300K, 470K, 500K can all be allocated contiguously. 3) A logical address space of 64 pages of 1024 words each mapped to 32 physical frames requires 16 bits for logical addresses and 15 bits for physical addresses.
Copyright
© © All Rights Reserved
We take content rights seriously. If you suspect this is your content, claim it here.
Available Formats
Download as DOCX, PDF, TXT or read online on Scribd
You are on page 1/ 2

Operating System (Chapter 7)

1. Consider a system with 16MB of memory and fixed partitions, all of size 64KB, answer the
following:
a. Identify the minimum number of bits needed in an entry in the process table to record
the partition to which a process has been allocated
b. Identify the number of bits in the limit register
i. Solution
1. (a) Number of partitions = 256 = 28
Number of bits need to score one of 256 partition numbers = 8

2. (b) Partition address = 0 to 65535


Number of bits in the limit register = 16

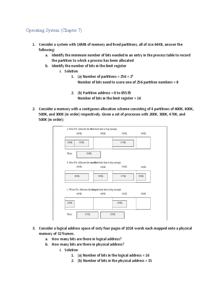
2. Consider a memory with a contiguous allocation scheme consisting of 4 partitions of 600K, 400K,
500K, and 300K (in order) respectively. Given a set of processes with 200K, 300K, 470K, and
500K (in order):

3. Consider a logical address space of sixty four pages of 1024 words each mapped onto a physical
memory of 32 frames.
a. How many bits are there in logical address?
b. How many bits are there in physical address?
i. Solution
1. (a) Number of bits in the logical address = 16
2. (b) Number of bits in the physical address = 15
4. a. Consider a single level paging system with the page table stored in memory

Assume the usage of Translation Look-aside Buffer (TLB) with 70 percentage hit ratio, and
also assume that it takes 30 nanoseconds to search the TLB and 200 nanoseconds to access
memory. Identify the effective memory access time.

b. Repeat the above calculations for a two level paging system

You might also like