KEMENTERIAN PENDIDIKAN, KEBUDAYAAN,
RISET, DAN TEKNOLOGI
                                  UNIVERSITAS TRUNOJOYO MADURA
                               FAKULTAS ILMU SOSIAL DAN ILMU BUDAYA
                                   Jl. Raya Telang, PO.Box. 2 Kamal, Bangkalan – Madura
                                          Telp : (031) 3011146, Fax. (031) 3011506
                                                Laman : www.trunojoyo.ac.id
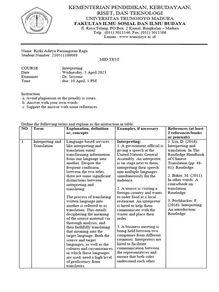
Name: Rizki Aditya Parningotan Raga
Student Number: 210511100088
                                                MID TEST
COURSE                : Interpreting
Date                  : Wednesday, 5 April 2023
Examiner              : Dr. Sriyono
Time                  : due, 10 April, 1 PM
Instruction
 a. Avoid plagiarism or the penalty is yours.
 b. Answer with your own words
 c. Support the answer with some references
Define the following terms and explain as the instruction in table:
NO Term                  Explanation, definition        Examples, if necessary        References (at least
                         or, concepts                                                 2 references/books
                                                                                      or journals)
1      Interpreting and   Language-based services       Interpreting:                 1. Liu, D. (2016).
       Translation        like interpreting and         1. A government official is   Interpreting and
                          translation entail            giving a speech at the        translation. In The
                          transforming information      United Nations General        Routledge Handbook
                          from one language into        Assembly. An interpreter      of Chinese
                          another. Despite the          is on stage next to them,     Translation (pp. 48-
                          frequent confusion            interpreting their speech     61). Routledge.
                          between the two titles,       into multiple languages
                          there are some significant    simultaneously for the        2. Baker, M. (2011).
                          distinctions between          audience.                     In other words: A
                          interpreting and                                            coursebook on
                          translating.                  2. A tourist is visiting a    translation.
                                                        foreign country and wants     Routledge.
                          The process of translating    to order food at a local
                          written language into         restaurant. An interpreter    3. Pöchhacker, F.
                          another is referred to as     is hired to help them         (2016). Interpreting:
                          translation. This entails     communicate with the          An introduction.
                          deciphering the meaning       waiter and place their        Routledge.
                          of the source material via    order.
                          thorough analysis, and
                          then faithfully translating   3. A business meeting is
                          that meaning into the         being held between two
                          target language. Both the     companies from different
                          source and target             countries. Interpreters are
                          languages, as well as the     hired to facilitate
                          cultures and circumstances    communication between
                          in which those languages      the representatives and
                          are used, need a high level   ensure that both sides
                          of proficiency from           understand each other.
                          translators.
 KEMENTERIAN PENDIDIKAN, KEBUDAYAAN,
        RISET, DAN TEKNOLOGI
       UNIVERSITAS TRUNOJOYO MADURA
    FAKULTAS ILMU SOSIAL DAN ILMU BUDAYA
        Jl. Raya Telang, PO.Box. 2 Kamal, Bangkalan – Madura
               Telp : (031) 3011146, Fax. (031) 3011506
                     Laman : www.trunojoyo.ac.id
On the other side,             Translation:
interpreting entails           1. A company is looking to
translating spoken words       expand its business into
in real time between two       new markets and wants to
languages. Interpreters are    translate its marketing
employed in a variety of       materials, such as
contexts, including            brochures and
conferences, business          advertisements, into
meetings, courtrooms, and      multiple languages.
even the operating room.
Interpreters must be able      2. An author has written a
to grasp spoken language       book in their native
and translate it into the      language and wants to
target language on-the-        have it translated into
spot, in contrast to           English so that it can be
translators who have time      published and read by a
to thoroughly examine and      wider audience.
translate written content
swiftly and accurately.        3. A law firm has received
                               legal documents in a
Simultaneous and               foreign language and
consecutive interpretation     needs to have them
are the two primary forms.     translated into their native
The interpreter uses           language to better
specialized tools like         understand their contents
headphones and                 and implications.
microphones to convert
the speaker's words into
the target language in real
time for simultaneous
interpreting. When
interpreting consecutively,
the interpreter listens to
the speaker while taking
notes and then reads aloud
the translated text once the
speaker has completed.
Overall, interpreting and
translating are essential
tools for overcoming
language barriers and
promoting cross-cultural
communication. These
services can ensure that
everyone can understand
and be understood,
whether you need to
translate a document or
speak to someone in a
                      KEMENTERIAN PENDIDIKAN, KEBUDAYAAN,
                             RISET, DAN TEKNOLOGI
                            UNIVERSITAS TRUNOJOYO MADURA
                         FAKULTAS ILMU SOSIAL DAN ILMU BUDAYA
                              Jl. Raya Telang, PO.Box. 2 Kamal, Bangkalan – Madura
                                     Telp : (031) 3011146, Fax. (031) 3011506
                                           Laman : www.trunojoyo.ac.id
                     foreign language.
2   The Procedure    Consecutive interpreting is     1) Round-table discussions 1. Gillies, A. (2013).
    of Consecutive   a type of interpretation in     (usually small groups of 8- Conference
    Interpreting     which the interpreter           10 people or less)          Interpreting: A
                     listens to the speaker's                                    Student's Practice
                     message before translating      2) Interviews               Book. Routledge.
                     it into a different language
                     after the speaker is done       3) Speeches and              2. Moser-Mercer, B.,
                     speaking. In situations         statements                   & Garcia, A. (2000).
                     with a limited number of                                     Conference
                     people, such conferences,       4) Press conferences         Interpreting: A
                     discussions, and                                             Complete Course.
                                                     5) International political   John Benjamins
                     interviews, consecutive
                                                     events                       Publishing.
                     interpreting is frequently
                     employed.
                                                                                  3. Pöchhacker, F.
                     The procedure of                                             (2016). Introducing
                     consecutive interpreting                                     Interpreting Studies.
                     can be broken down into                                      Routledge.
                     several steps:
                     1) The speaker delivers
                     their message in their
                     native language.
                     2) The interpreter listens to
                     the message carefully and
                     takes notes to ensure
                     accuracy and
                     completeness.
                     3) The speaker pauses or
                     finishes their message,
                     allowing the interpreter to
                     interpret what was said
                     into the target language.
                     4) The interpreter delivers
                     the interpretation to the
                     audience, using
                     appropriate intonation,
                     gestures, and expressions
                     to convey the speaker's
                     message accurately.
                     5) The process continues
                     in this way until the
                     speaker has completed
                     their message or the
                     interpretation is no longer
 KEMENTERIAN PENDIDIKAN, KEBUDAYAAN,
        RISET, DAN TEKNOLOGI
       UNIVERSITAS TRUNOJOYO MADURA
    FAKULTAS ILMU SOSIAL DAN ILMU BUDAYA
          Jl. Raya Telang, PO.Box. 2 Kamal, Bangkalan – Madura
                 Telp : (031) 3011146, Fax. (031) 3011506
                       Laman : www.trunojoyo.ac.id
needed.
It's important to keep in
mind that in sequential
interpreting, the interpreter
speaks after the speaker
has completed speaking
rather than concurrently
with them. As a result, the
interpreter can provide a
more accurate and
thorough interpretation
since they have had time to
thoroughly comprehend
and digest the speaker's
content.
In sequential
interpretation, the
interpreter's job is to
faithfully transmit the
speaker's meaning while
simultaneously taking into
account the idiomatic
idioms and cultural
subtleties of both the
source and destination
languages. High-level
language fluency is
necessary for this, along
with excellent note-taking
and memory abilities.
In conclusion, sequential
interpreting entails
attentive listening and
note-taking before
accurately and culturally
sensitively translating the
speaker's message into the
target language.
High language competence
is necessary for
consecutive interpreting,
along with excellent note-
taking and memory
abilities. The ability to
effectively transmit the
speaker's content while
keeping the proper tone,
                    KEMENTERIAN PENDIDIKAN, KEBUDAYAAN,
                           RISET, DAN TEKNOLOGI
                          UNIVERSITAS TRUNOJOYO MADURA
                       FAKULTAS ILMU SOSIAL DAN ILMU BUDAYA
                            Jl. Raya Telang, PO.Box. 2 Kamal, Bangkalan – Madura
                                   Telp : (031) 3011146, Fax. (031) 3011506
                                         Laman : www.trunojoyo.ac.id
                   style, and cultural
                   subtleties of the target
                   language is crucial for
                   interpreters.
3   Simultaneous   In simultaneous                 1. International           1. Pöchhacker, F.
    interpreting   interpreting, the interpreter   Conferences                (2016). Introducing
                   listens to the speaker's                                   Interpreting Studies.
                   words and then instantly        2) Diplomatic Meetings:    Routledge.
                   translates them into
                   another language without        3) Multilingual Business   2) UNESCO (2008).
                   interrupting the speaker.       Negotiations               The AIIC Guide to
                   This kind of interpretation                                Professional
                   is frequently employed in       4) European Parliament     Standards in
                   multilingual international                                 Conference
                                                   5) World Economic          Interpreting.
                   conferences, seminars, and
                   events.                         6) Olympic Games:          3) International
                   Simultaneous interpreting                                  Association of
                   needs a high level of focus                                Conference
                   and linguistic proficiency.                                Interpreters (AIIC)
                   To reduce interruptions                                    (2021).
                   and guarantee accuracy,                                    Simultaneous
                   interpreters employ                                        Interpreting.
                   specialized equipment
                   including headsets,                                        4) Katan, D. (2019).
                   microphones, and                                           Understanding
                   soundproof booths.                                         Interpreting.
                                                                              Routledge.
                   Simultaneous interpreting
                   is a complex and
                   demanding task that
                   requires a high degree of
                   skill, training, and
                   concentration.
                   The basic procedure of
                   simultaneous interpreting
                   involves the following
                   steps:
                   1) Preparation: Before the
                   event, the interpreter
                   prepares by researching
                   the subject matter,
                   becoming familiar with the
                   speakers' accents, and
                   speaking styles, and
                   reviewing any relevant
                   documents or materials.
 KEMENTERIAN PENDIDIKAN, KEBUDAYAAN,
        RISET, DAN TEKNOLOGI
       UNIVERSITAS TRUNOJOYO MADURA
    FAKULTAS ILMU SOSIAL DAN ILMU BUDAYA
         Jl. Raya Telang, PO.Box. 2 Kamal, Bangkalan – Madura
                Telp : (031) 3011146, Fax. (031) 3011506
                      Laman : www.trunojoyo.ac.id
2) Equipment setup: The
interpreter is typically
situated in a soundproof
booth, equipped with a
headset, microphone, and
other specialized
equipment. The speaker's
voice is transmitted to the
interpreter's headset
through a microphone, and
the interpreter's translation
is transmitted to the
audience through a
separate audio channel.
3) Listening and
comprehension: As the
speaker speaks, the
interpreter listens carefully
and processes the message
in their head, while
simultaneously translating
the message into the target
language.
4) Translation: The
interpreter begins to
translate the message in
real-time, using a
combination of listening,
comprehension, and rapid
translation skills. The
interpreter must be able to
translate complex and
technical language,
idioms, and cultural
references quickly and
accurately.
5) Delivery: The
interpreter delivers the
translated message through
a microphone, which is
transmitted to the audience
in their language through
headsets or other audio
equipment. The interpreter
must deliver the
translation in a clear and
                         KEMENTERIAN PENDIDIKAN, KEBUDAYAAN,
                                RISET, DAN TEKNOLOGI
                               UNIVERSITAS TRUNOJOYO MADURA
                            FAKULTAS ILMU SOSIAL DAN ILMU BUDAYA
                                Jl. Raya Telang, PO.Box. 2 Kamal, Bangkalan – Madura
                                       Telp : (031) 3011146, Fax. (031) 3011506
                                             Laman : www.trunojoyo.ac.id
                        coherent manner, without
                        interrupting the speaker's
                        flow.
                        6) Repeat: The interpreter
                        continues this process
                        throughout the event,
                        repeating the cycle of
                        listening, comprehension,
                        translation, and delivery
                        until the event is complete.
                        Simultaneous interpreting
                        needs a lot of
                        concentration, endurance,
                        and specific training. A
                        high level of language
                        knowledge and cultural
                        sensitivity are required of
                        interpreters in addition to
                        their ability to work
                        swiftly and accurately
                        under duress.
4   Review (this        Jing Ma's research work                               https://
    review is not       "A Study of Interpreting                              www.academypublic
    copy and paste      Skills from the Perspective                           ation.com/issues/
    from the article,   of Interpreting Process"                              past/jltr/
    not summary,        examines the mental                                   vol04/06/11.pdf
    but read dan        procedures involved in
    comprehend, the     interpreting. To develop a
    identify the        thorough knowledge of the
    benefit of the      interpretive process, the
    article and the     study used a mixed-
    weaknesses.         methods methodology that
                        includes both qualitative
                        and quantitative data.
                        The study focuses on the
                        four major cognitive
                        functions of
                        comprehension, memory,
                        attention, and decision-
                        making that are involved
                        in interpreting. Twenty
                        experienced interpreters
                        were instructed to think
                        aloud while translating by
                        the researchers, who
                        utilized verbal protocol
                        analysis to gather their
                        data. After then, the data
 KEMENTERIAN PENDIDIKAN, KEBUDAYAAN,
        RISET, DAN TEKNOLOGI
       UNIVERSITAS TRUNOJOYO MADURA
    FAKULTAS ILMU SOSIAL DAN ILMU BUDAYA
         Jl. Raya Telang, PO.Box. 2 Kamal, Bangkalan – Madura
                Telp : (031) 3011146, Fax. (031) 3011506
                      Laman : www.trunojoyo.ac.id
was analysed both
qualitatively and
quantitatively.
According to the study's
findings, interpreting is a
difficult cognitive job that
requires the cooperation of
several different cognitive
processes. The study finds
several variables that may
influence how well one
interprets, including
working memory capacity,
attentional control, and
decision-making
techniques.
The study has several
advantages and qualities,
including the fact that it
makes a novel contribution
to the area of interpreting
studies, that it has useful
ramifications for
interpreting instruction and
practice, and that it
provides a thorough
examination of the
cognitive processes
involved in interpreting.
A small sample size, a
mixed-methods design that
might not give adequate
depth and information, and
the study's dependence on
verbal protocol analysis,
which might not capture
all parts of the interpretive
process, are some of the
study's limitations and
flaws.
In general, the study offers
insightful perspectives on
the interpreting process
and has useful
ramifications for
interpreting practice and
 KEMENTERIAN PENDIDIKAN, KEBUDAYAAN,
        RISET, DAN TEKNOLOGI
       UNIVERSITAS TRUNOJOYO MADURA
    FAKULTAS ILMU SOSIAL DAN ILMU BUDAYA
            Jl. Raya Telang, PO.Box. 2 Kamal, Bangkalan – Madura
                   Telp : (031) 3011146, Fax. (031) 3011506
                         Laman : www.trunojoyo.ac.id
training.
The article "A Study of
Interpreting Skills from
the Perspective of
Interpreting Process" by
Jing Ma offers several
benefits and strengths that
make it a valuable
contribution to the field of
interpreting studies.
1)The article provides an
original contribution to the
field by offering a detailed
analysis of the interpreting
process from a cognitive
perspective. This analysis
includes a discussion of
the cognitive processes
involved in interpreting,
such as comprehension,
memory, attention, and
decision-making. By
exploring these processes,
the article provides new
insights into how
interpreters perform their
job, which can help
improve the training and
practice of interpreting.
2) The study uses a mixed-
methods approach that
combines both qualitative
and quantitative data. This
approach provides a more
comprehensive
understanding of the
interpreting process, as it
allows the researchers to
collect and analyse data
from multiple sources.
This contributes to the
validity and reliability of
the findings.
3) The article offers an in-
depth analysis of the
 KEMENTERIAN PENDIDIKAN, KEBUDAYAAN,
        RISET, DAN TEKNOLOGI
       UNIVERSITAS TRUNOJOYO MADURA
    FAKULTAS ILMU SOSIAL DAN ILMU BUDAYA
         Jl. Raya Telang, PO.Box. 2 Kamal, Bangkalan – Madura
                Telp : (031) 3011146, Fax. (031) 3011506
                      Laman : www.trunojoyo.ac.id
cognitive processes
involved in interpreting.
This analysis can help
interpreters better
understand how they can
improve their
performance, which has
practical implications for
interpreting trainers and
practitioners.
4) The article has practical
implications for
interpreting training and
practice. By providing new
insights into the
interpreting process, the
article can be used to
develop more effective
training programs and
improve the skills of
practicing interpreters.
5) The article is well-
written and organized,
making it accessible to a
wide range of readers,
including researchers,
practitioners, and students.
This accessibility makes it
easier for readers to
understand and apply the
insights gained from the
study.
Overall, the benefits and
strengths of the article
make it a valuable
contribution to the field of
interpreting studies, with
implications for both
research and practice.
While the article "A Study
of Interpreting Skills from
the Perspective of
Interpreting Process" by
Jing Ma has several
strengths and benefits,
there are also some
 KEMENTERIAN PENDIDIKAN, KEBUDAYAAN,
        RISET, DAN TEKNOLOGI
       UNIVERSITAS TRUNOJOYO MADURA
    FAKULTAS ILMU SOSIAL DAN ILMU BUDAYA
         Jl. Raya Telang, PO.Box. 2 Kamal, Bangkalan – Madura
                Telp : (031) 3011146, Fax. (031) 3011506
                      Laman : www.trunojoyo.ac.id
limitations and weaknesses
that should be considered.
1) The study has a
relatively small sample
size of 20 professional
interpreters, which may
limit the generalizability of
the findings. The study
would benefit from a
larger sample size to
increase the reliability and
validity of the data.
2) The mixed-methods
design used in the study
may not provide enough
depth and detail to fully
understand the complexity
of the interpreting process.
While the use of both
quantitative and qualitative
methods is a strength, a
more in-depth analysis of
each method may have
provided more
comprehensive results.
3) The study relies on
verbal protocol analysis to
collect data, which may
not capture all aspects of
the interpreting process,
such as non-verbal cues
and emotions. The study
would benefit from using
other data collection
methods to provide a more
complete picture of the
interpreting process.
4) The article does not
provide a detailed
description of the data
analysis process, which
may raise questions about
the validity and reliability
of the findings. More
transparency in the data
 KEMENTERIAN PENDIDIKAN, KEBUDAYAAN,
        RISET, DAN TEKNOLOGI
       UNIVERSITAS TRUNOJOYO MADURA
    FAKULTAS ILMU SOSIAL DAN ILMU BUDAYA
        Jl. Raya Telang, PO.Box. 2 Kamal, Bangkalan – Madura
               Telp : (031) 3011146, Fax. (031) 3011506
                     Laman : www.trunojoyo.ac.id
analysis process would
improve the credibility of
the study.
5) The article focuses on
interpreting skills from the
perspective of interpreting
process, but does not
address other important
factors that may affect
interpreting performance,
such as cultural and
linguistic competence.
This narrow focus limits
the scope of the study and
may not fully reflect the
complexity of the
interpreting profession.
Overall, these limitations
may limit the extent to
which the findings of the
study can be applied to
other interpreting contexts
and populations.