KEMBAR78
Howtoapply | PDF | Image Scanner | Payments
0% found this document useful (0 votes)
71 views5 pages

Howtoapply

The document provides guidelines for applying online for a recruitment process. It details the procedures for application registration, payment of fees, and document upload requirements. Candidates must apply online between specific dates and the application requires uploading photo, signature, thumb impression, and handwritten declaration as per image specifications provided.
Copyright
© © All Rights Reserved
We take content rights seriously. If you suspect this is your content, claim it here.
Available Formats
Download as PDF, TXT or read online on Scribd
0% found this document useful (0 votes)
71 views5 pages

Howtoapply

The document provides guidelines for applying online for a recruitment process. It details the procedures for application registration, payment of fees, and document upload requirements. Candidates must apply online between specific dates and the application requires uploading photo, signature, thumb impression, and handwritten declaration as per image specifications provided.
Copyright
© © All Rights Reserved
We take content rights seriously. If you suspect this is your content, claim it here.
Available Formats
Download as PDF, TXT or read online on Scribd
You are on page 1/ 5

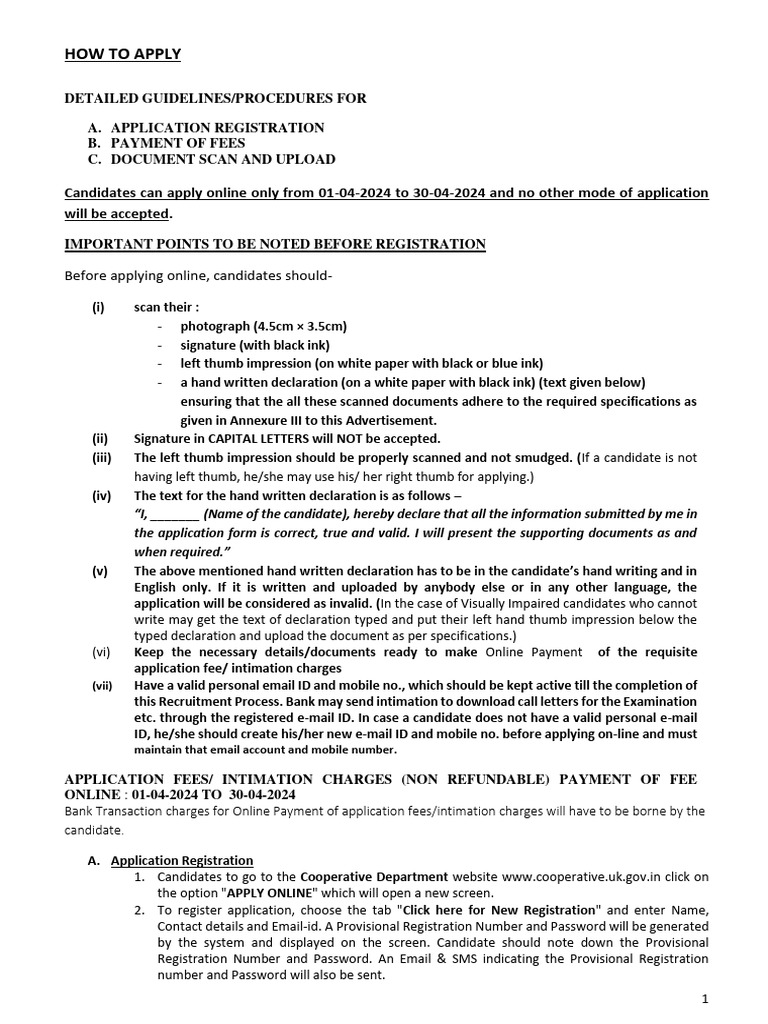
HOW TO APPLY

DETAILED GUIDELINES/PROCEDURES FOR

A. APPLICATION REGISTRATION
B. PAYMENT OF FEES
C. DOCUMENT SCAN AND UPLOAD

Candidates can apply online only from 01-04-2024 to 30-04-2024 and no other mode of application
will be accepted.

IMPORTANT POINTS TO BE NOTED BEFORE REGISTRATION

Before applying online, candidates should-

(i) scan their :


- photograph (4.5cm × 3.5cm)
- signature (with black ink)
- left thumb impression (on white paper with black or blue ink)
- a hand written declaration (on a white paper with black ink) (text given below)
ensuring that the all these scanned documents adhere to the required specifications as
given in Annexure III to this Advertisement.
(ii) Signature in CAPITAL LETTERS will NOT be accepted.
(iii) The left thumb impression should be properly scanned and not smudged. (If a candidate is not
having left thumb, he/she may use his/ her right thumb for applying.)
(iv) The text for the hand written declaration is as follows –
“I, _______ (Name of the candidate), hereby declare that all the information submitted by me in
the application form is correct, true and valid. I will present the supporting documents as and
when required.”
(v) The above mentioned hand written declaration has to be in the candidate’s hand writing and in
English only. If it is written and uploaded by anybody else or in any other language, the
application will be considered as invalid. (In the case of Visually Impaired candidates who cannot
write may get the text of declaration typed and put their left hand thumb impression below the
typed declaration and upload the document as per specifications.)
(vi) Keep the necessary details/documents ready to make Online Payment of the requisite
application fee/ intimation charges
(vii) Have a valid personal email ID and mobile no., which should be kept active till the completion of
this Recruitment Process. Bank may send intimation to download call letters for the Examination
etc. through the registered e-mail ID. In case a candidate does not have a valid personal e-mail
ID, he/she should create his/her new e-mail ID and mobile no. before applying on-line and must
maintain that email account and mobile number.

APPLICATION FEES/ INTIMATION CHARGES (NON REFUNDABLE) PAYMENT OF FEE


ONLINE : 01-04-2024 TO 30-04-2024
Bank Transaction charges for Online Payment of application fees/intimation charges will have to be borne by the
candidate.

A. Application Registration
1. Candidates to go to the Cooperative Department website www.cooperative.uk.gov.in click on
the option "APPLY ONLINE" which will open a new screen.
2. To register application, choose the tab "Click here for New Registration" and enter Name,
Contact details and Email-id. A Provisional Registration Number and Password will be generated
by the system and displayed on the screen. Candidate should note down the Provisional
Registration Number and Password. An Email & SMS indicating the Provisional Registration
number and Password will also be sent.
1
3. In case the candidate is unable to complete the application form in one go, he / she can save the
data already entered by choosing "SAVE AND NEXT" tab. Prior to submission of the online
application candidates are advised to use the "SAVE AND NEXT" facility to verify the details in
the online application form and modify the same if required. Visually Impaired candidates should
fill the application form carefully and verify/ get the details verified to ensure that the same are
correct prior to final submission.
4. Candidates are advised to carefully fill and verify the details filled in the online application
themselves as no change will be possible/ entertained after clicking the COMPLETE
REGISTRATION BUTTON.
5. The Name of the candidate or his /her Father/ Husband etc. should be spelt correctly in the
application as it appears in the Certificates/ Mark sheets/Identity proof. Any change/alteration
found may disqualify the candidature.
6. Validate your details and Save your application by clicking the 'Validate your details' and 'Save &
Next' button.
7. Candidates can proceed to upload Photo & Signature as per the specifications given in the
Guidelines for Scanning and Upload of Photograph and Signature detailed under point "C".
8. Candidates can proceed to fill other details of the Application Form.
9. Click on the Preview Tab to preview and verify the entire application form before 'COMPLETE
REGISTRATION’.
10. Modify details, if required, and click on 'COMPLETE REGISTRATION' ONLY after verifying and
ensuring that the photograph, signature uploaded and other details filled by you are correct.
11. Click on 'Payment' Tab and proceed for payment.
12. Click on 'Submit' button.

B. PAYMENT OF FEES

ONLINE MODE

1. The application form is integrated with the payment gateway and the payment process can be
completed by following the instructions.
2. The payment can be made by using Debit Cards (RuPay/Visa/MasterCard/Maestro), Credit Cards,
Internet Banking, IMPS, Cash Cards/ Mobile Wallets.
3. After submitting your payment information in the online application form, PLEASE WAIT FOR THE
INTIMATION FROM THE SERVER. DO NOT PRESS BACK OR REFRESH BUTTON IN ORDER TO AVOID
DOUBLE CHARGE
4. On successful completion of the transaction, an e-Receipt will be generated.
5. Non-generation of 'E-Receipt' indicates PAYMENT FAILURE. On failure of payment, Candidates
are advised to login again using their Provisional Registration Number and Password and repeat
the process of payment.
6. Candidates are required to take a printout of the e-Receipt and online Application Form
containing fee details .Please note that if the same cannot be generated, online transaction
may not have been successful.
7. For Credit Card users: All charges are listed in Indian Rupee. If you use a non-Indian credit card,
your bank will convert to your local currency based on prevailing exchange rates.
8. To ensure the security of your data, please close the browser window once your transaction is
completed.
9. There is facility to print application form containing fee details after payment of fees.

C. Guidelines for scanning and Upload of Documents

Before applying online a candidate will be required to have a scanned (digital) image of his/her photograph,
signature, left thumb impression and the hand written declaration as per the specifications given below.

2
Photograph Image: (4.5cm × 3.5cm)

 Photograph must be a recent passport style colour picture.


 Make sure that the picture is in colour, taken against a light-coloured, preferably white,
background.
 Look straight at the camera with a relaxed face
 If the picture is taken on a sunny day, have the sun behind you, or place yourself in the
shade, so that you are not squinting and there are no harsh shadows
 If you have to use flash, ensure there's no "red-eye"
 If you wear glasses make sure that there are no reflections and your eyes can be clearly
seen.
 Caps, hats and dark glasses are not acceptable. Religious headwear is allowed but it must
not cover your face.
 Dimensions 200 x 230 pixels (preferred)
 Size of file should be between 20kb–50 kb
 Ensure that the size of the scanned image is not more than 50kb. If the size of the file is
more than 50 kb, then adjust the settings of the scanner such as the DPI resolution, no. of
colours etc., during the process of scanning.

Signature, left thumb impression and hand-written declaration Image:

 The applicant has to sign on white paper with Black Ink pen.
o Dimensions 140 x 60 pixels (preferred)
o Size of file should be between 10kb – 20kb for signature and 20kb - 50kb for left
thumb impression.
o Ensure that the size of the scanned image is not more than 20kb

 The applicant has to put his left thumb impression on a white paper with black or blue ink.
o File type: jpg / jpeg
o Dimensions: 240 x 240 pixels in 200 DPI (Preferred for required quality) i.e 3 cm *
3 cm (Width * Height)
o File Size: 20 KB – 50 KB
 The applicant has to write the declaration in English clearly on a white paper with black
ink.
o File type: jpg / jpeg
o Dimensions: 800 x 400 pixels in 200 DPI (Preferred for required quality) i.e 10 cm
* 5 cm (Width * Height)
o File Size: 50 KB – 100 KB
 The signature, left thumb impression and the hand written declaration should be of the
applicant and not by any other person.
 If the Applicant’s signature on the attendance sheet or Call letter, signed at the time of the
examination, does not match the signature uploaded, the applicant will be disqualified.
 Signature / Hand written declaration in CAPITAL LETTERS shall NOT be accepted.

Scanning the documents:

o Set the scanner resolution to a minimum of 200 dpi (dots per inch)
o Set Colour to True Colour
o File Size as specified above
3
o Crop the image in the scanner to the edge of the photograph/signature/ left thumb
impression / hand written declaration, then use the upload editor to crop the image to the
final size (as specified above).
o The image file should be JPG or JPEG format. An example file name is: image01.jpg or
image01.jpeg. Image dimensions can be checked by listing the folder files or moving the
mouse over the file image icon.
o Candidates using MS Windows/MSOffice can easily obtain documents in .jpeg format by
using MS Paint or MSOffice Picture Manager. Scanned documents in any format can
be saved in .jpg / .jpeg format by using ‘Save As’ option in the File menu. Size can be
adjusted by using crop and then resize option.

Procedure for Uploading the documents


o While filling in the Online Application Form the candidate will be provided with separate
links for uploading Photograph, signature, left thumb impression and hand written
declaration
o Click on the respective link “Upload Photograph / signature / Upload left thumb
impression / hand written declaration”
o Browse and Select the location where the Scanned Photograph / signature / left thumb
impression / hand written declaration file has been saved.
o Select the file by clicking on it
o Click the ‘Open/Upload’
o If the file size and format are not as prescribed, an error message will be displayed.
o Preview of the uploaded image will help to see the quality of the image. In case of unclear
/ smudged, the same may be re-uploaded to the expected clarity /quality.

Your Online Application will not be registered unless you upload your Photograph, signature, left
thumb impression and hand written declaration as specified.

Note:

(1) In case the face in the photograph or signature or left thumb impression or the hand
written declaration is unclear / smudged the candidate’s application may be rejected.
(2) After uploading the Photograph / signature / left thumb impression / hand written
declaration in the online application form candidates should check that the images are
clear and have been uploaded correctly. In case the photograph or signature or left
thumb impression or the hand written declaration is not prominently visible, the
candidate may edit his/ her application and re-upload his/ her photograph or signature
or left thumb impression or the hand written declaration, prior to submitting the form.
(3) Candidate should also ensure that photo is uploaded at the place of photo and signature
at the place of signature. If photo in place of photo and signature in place of signature is
not uploaded properly, candidate will not be allowed to appear for the exam.
(4) Candidate must ensure that Photo to be uploaded is of required size and the face should
be clearly visible.
(5) If the photo is not uploaded at the place of Photo Admission for Examination will be
rejected/denied. Candidate him/herself will be responsible for the same.
(6) Candidates should ensure that the signature uploaded is clearly visible
(7) After registering online candidates are advised to take a printout of their system
generated online application forms.

4
Procedure for Uploading the documents
• While filling in the Online Application Form the candidate will be provided with separate links for uploading
left thumb impression and hand written declaration
• Click on the respective link “Upload left thumb impression / hand written declaration”
• Browse and Select the location where the Scanned left thumb impression / hand written declaration file has
been saved.
• Select the file by clicking on it
• Click the ‘Open/Upload’ button Your Online Application will not be registered unless you upload your
Left thumb impression and hand written declaration as specified.
• If the file size and format are not as prescribed, an error message will be displayed.
• Preview of the uploaded image will help to see the quality of the image. In case of unclear / smudged, the
same may be re-uploaded to the expected clarity /quality.
Note:
(1) In case the left thumb impression or the hand written declaration is unclear / smudged the candidate’s
application may be rejected.
(2) After uploading the left thumb impression / hand written declaration in the online application form
candidates should check that the images are clear and have been uploaded correctly. In case the left
thumb impression or the hand written declaration is not prominently visible, the candidate may edit his/ her
application and re-upload his/ her thumb impression / hand written declaration, prior to submitting the form.
(3) After registering online candidates are advised to take a printout of their system generated online
application forms.

You might also like