KEMBAR78
ES Assignment 2 | PDF | Microcontroller | Embedded System
0% found this document useful (0 votes)
23 views44 pages

ES Assignment 2

Uploaded by

armanlekhak222
Copyright
© © All Rights Reserved
We take content rights seriously. If you suspect this is your content, claim it here.
Available Formats
Download as PDF, TXT or read online on Scribd
0% found this document useful (0 votes)
23 views44 pages

ES Assignment 2

Uploaded by

armanlekhak222
Copyright
© © All Rights Reserved
We take content rights seriously. If you suspect this is your content, claim it here.
Available Formats
Download as PDF, TXT or read online on Scribd
You are on page 1/ 44

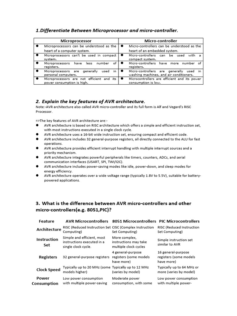
1.Differentiate Between Microprocessor and micro-controller.

Microprocessor Micro-controller
 Microprocessors can be understood as the  Micro-controllers can be understood as the
heart of a computer system. heart of an embedded system.
 Microprocessors can’t be used in compact  Micro-controllers can be used with a
system. compact system.
 Microprocessors have less number of  Micro-controllers have more number of
registers. registers.
 Microprocessors are generally used in  Micro-controllers are generally used in
personal computers. washing machines, and air conditioners.
 Microprocessors are not efficient and its  Microcontrollers are efficient and its power
power consumption is high. consumption is low.

2. Explain the key features of AVR architecture.


Note:-AVR architecture also called AVR micro-controller and its full form is Alf and Vegard's RISC
Processor.

=>The key features of AVR architecture are:-


 AVR architecture is based on RISC architecture which offers a simple and efficient instruction set,
with most instructions executed in a single clock cycle.
 AVR architecture uses a 16-bit wide instruction set, ensuring compact and efficient code.
 AVR architecture includes 32 general-purpose registers, all directly connected to the ALU for fast
operations.
 AVR architecture provides efficient interrupt handling with multiple interrupt sources and a
priority mechanism.
 AVR architecture integrates powerful peripherals like timers, counters, ADCs, and serial
communication interfaces (USART, SPI, TWI/I2C).
 AVR architecture includes power-saving modes like idle, power-down, and sleep modes for
energy efficiency.
 AVR architecture operates over a wide voltage range (typically 1.8V to 5.5V), suitable for battery-
powered applications.

3. What is the difference between AVR micro-controllers and other


micro-controllers(e.g. 8051,PIC)?

Feature AVR Microcontrollers 8051 Microcontrollers PIC Microcontrollers


RISC (Reduced Instruction Set CISC (Complex Instruction RISC (Reduced Instruction
Architecture Computing) Set Computing) Set Computing)
Simple and efficient, most More complex,
Instruction Simple instruction set
instructions executed in a instructions may take
Set single clock cycle. multiple clock cycles
similar to AVR

4 general-purpose 16 general-purpose
Registers 32 general-purpose registers registers (some models registers (some models
have more) have more)
Typically up to 20 MHz (some Typically up to 12 MHz Typically up to 64 MHz or
Clock Speed models higher) (varies by model) more (varies by model)
Power Low power consumption Moderate power Low power consumption
Consumption with multiple power-saving consumption, with some with multiple power-
Feature AVR Microcontrollers 8051 Microcontrollers PIC Microcontrollers
modes low-power modes saving modes
Internal oscillator or external Typically uses external Internal oscillator or
Clock Source crystal crystals or oscillators external crystal
Fewer I/O ports compared Typically fewer I/O ports
I/O Ports More I/O ports integrated
to AVR than AVR
Typically low cost,
Typically low cost, especially Cost varies by model but
Cost in lower-end models
especially for basic
generally low to moderate
versions
Popular in embedded
Popular for embedded Older, widely used in
Popularity systems and Arduino projects industrial control systems
systems and automotive
applications
Programming C, Assembly, Arduino (for Assembly, C, and other
C, Assembly
Language beginners) high-level languages
Available in a wide range of Available in a wide range
Limited scalability
Scalability models for different
compared to AVR and PIC
of models for different
applications applications

4. What are the different types of registers available in an AVR micro-


controller and how are they used?
=>AVR is 8 bit micro-controller therefore all its ports are 8 bit wide. Every port has 3 registers
associated with it each one have size of 8 bits. Every bit in those registers configures the pins of
particular port. Bit0 of these registers are associated with Pin0 of the port, Bit1 of these registers are
associated with Pin1 of the port, and same as for other bits.

The three registers available in AVR micro-controller are as follows:

o DDRx register
o PORTx register
o PINx register

DDRx register:- Data Direction Register configures the data direction of port pins. These
registers are used for determining whether port pins will be used for input or output. On writing
1 to a bit in DDRx makes corresponding port pin as output, while writing 0 to a bit in DDRx makes
corresponding port pin as input.For example:-

For making all pins of port A as output pins:


DDRA= 0b11111111;

For making all pins of port A as input pins:


DDRA= 0b00000000;

For making lower nibble of port B as output and higher nibble as input:
DDRB=0b00001111;
PORTx register:- In general PORTx register can be used for two purposes:

A. To output data: when port is configured as output then PORTx register is used. When we set bits in
DDRx to 1, corresponding pins becomes output pins. Now we can write the data into respective bits in
PORTx register. This will immediately change the output state of pins according to data we have
written on the ports.For example:

To output data in variable x on port A

. DDRA = 0xFF; //make port A as outputs


. PORTA = x; //output variable on port

To output 0xFF data on port B

. DDRB = 0b11111111; //set all the pins of port B as outputs


. PORTB = 0xFF; //write the data on port

To output data on only 0th bit of port C

. DDRC.0 = 1; //set only 0th pin of port C as an output


. PORTC.0 = 1; //make it high signal.

B. To activate/deactivate pull up resistors: when port is configured as input we set the bits in DDRx
to 0, i.e. make port pins as inputs the corresponding bits in PORTx registers used to
activate/deactivate pull-up registers associated with that pin. In order for activating pull-up resistor,
set the bit in PORTx register to 1, and for deactivating (i.e. to make port as tri stated) set it to zero.
In input mode, when pull-up is enabled, default state of the pin is '1'. So if we don't add anything to
pin and if we try to read it then it will read as 1.

Note: While using on chip Analog to Digital Converter (ADC), ADC port pins must be used as
tri stated input.

For example:

To make lower nibble of port A as output, higher nibble as input with pull-ups enabled

DDRA = 0x0F; // higher nib> input, lower nib> output

PORTA = 0xF0; //lower nib> set output pins to 0

To make port B as tri stated input

DDRB = 0x00; //use port B as input


PORTB = 0x00; //Disable pull-ups register and make it tri state
To make port C as input with pull-ups enabled and read data from port a

DDRC = 0x00; //make port C as input


PORTC = 0xFF; //enable all pull-ups
y = PINC; //read data from port C pins

PINx register:- PINx register used to read the data from port pins. In order to read the data from
port pin, first we have to change the port?s data direction to input. This is done by setting bits in
DDRx to zero. If port is made output, then reading PINx register will give a data that has been output
on port pins.

There are two input modes. Either we can use port pins as internal pull up or as tri stated inputs. It
will be explained as shown below:

For reading the data from port A,

. DDRA = 0x00; //Set port A as input


. x = PINA; //Read contents of port a

5. Explain the pipelining concept in AVR architecture and its impact on


instruction execution.
=>Pipelining is a key feature of the AVR architecture, designed to improve the efficiency and speed of
instruction execution. It allows multiple stages of instruction processing to occur simultaneously,
significantly enhancing performance.

Pipelining Concept

Stages in Pipelining:

1. Fetch: The CPU retrieves the next instruction from the program memory.
2. Decode: The fetched instruction is decoded to determine what operation needs to
be performed.
3. Execute: The CPU performs the operation, including arithmetic, logical, or data
movement tasks.

Parallel Execution:

1. In a pipelined system, while one instruction is being executed, the next instruction is
fetched and decoded simultaneously.
2. For AVR, this overlap is possible because of its Harvard architecture, which
separates the program memory (for instructions) and data memory (for operands).
Single Clock Cycle Execution:

1. Most instructions in AVR execute in a single clock cycle due to pipelining. While one
instruction is being executed, the next instruction is being prepared, ensuring no
idle CPU cycles.

Impact on Instruction Execution

1.Pipelining ensures that the CPU is always doing useful work, reducing the overall instruction
execution time.

2.The ability to execute most instructions in a single clock cycle makes AVR microcontrollers faster
and more efficient than non-pipelined architectures(improving performance).

3.By overlapping stages, the time required to execute multiple instructions is significantly reduced
compared to sequential processing(result in reduced latency).

4.Real-time embedded systems benefit greatly from pipelining, as it ensures consistent and
predictable instruction execution timing.

Summary

Pipelining in AVR architecture enables parallel instruction processing by overlapping fetch, decode,
and execute stages. This results in faster and more efficient execution, making AVR microcontrollers
ideal for high-speed and real-time applications. The single clock cycle execution of most instructions is
a direct result of its effective pipelining mechanism.

6. Discuss the different types of AVR micro-controllers and their


applications.
=>AVR microcontrollers, developed by Atmel (now part of Microchip Technology), come in various
types categorized based on features, memory size, and intended applications. These are some of the
commonly used types and their applications:-

1. TinyAVR

Features:-

 Small size and low power consumption.


 Limited peripherals and memory (up to 8 KB Flash).
 Operates at low voltages.

Applications:-

 Simple and compact systems.


o Small consumer electronics like remote controls.
o Sensors and basic IoT devices.
o LED drivers and wearable gadgets.

2. MegaAVR

Features:-

 Rich feature set with extended memory (up to 256 KB Flash).


 Advanced peripherals like ADCs, PWM, and USART.
 Suitable for moderate to complex applications.

Applications:

 Medium to high complexity systems.


o Home automation (smart appliances).
o Robotics and motor control systems.
o Medical devices like glucometers.
o Data acquisition systems.

3. XMEGA AVR

Features:-

 High-performance microcontrollers with larger memory (up to 384 KB Flash).


 Advanced features like DMA, event systems, and high-speed ADC/DAC.
 Higher processing power and clock speeds.

Applications:

 High-performance and real-time applications.


o Industrial automation and control systems.
o High-speed communication devices.
o Complex IoT systems requiring efficient data handling.
o Audio and video processing equipment.

4. AVR32 (32-bit AVR Microcontrollers)

Features:-

 32-bit architecture for more processing power.


 Integrated with advanced peripherals.
 Designed for higher computational needs.
Applications:-

 Advanced and computation-heavy systems.


o Multimedia applications (e.g., MP3 players).
o Wireless communication modules.
o Automotive systems like engine control units.
o Security and surveillance systems.

Comparison Summary:

Type Key Features Applications


TinyAVR Compact, low power, limited memory. Simple systems (remote controls, sensors).
MegaAVR Rich peripherals, larger memory. Home automation, robotics, medical devices.
XMEGA AVR High speed, advanced peripherals. Industrial automation, high-speed IoT systems.
AVR32 32-bit architecture, high processing. Automotive, multimedia, and security systems.

Conclusion

Each type of AVR micro-controller is designed with specific use cases in mind,
ranging from basic applications with low power requirements to high-performance
real-time systems. Selecting the right AVR micro-controller depends on the
application's complexity, processing requirements, and peripheral needs.

7. What is RISC architecture and how does it benefit AVR micro-


controllers?
=>RISC stands for Reduced Instruction Set Computer Processor, a microprocessor architecture with a
simple collection and highly customized set of instructions. It is built to minimize the instruction
execution time by optimizing and limiting the number of instructions. It means each instruction cycle
requires only one clock cycle, and each cycle contains three parameters: fetch, decode and execute.
The RISC processor is also used to perform various complex instructions by combining them into
simpler ones. RISC chips require several transistors, making it cheaper to design and reduce the
execution time for instruction.

Examples of RISC processors are SUN's SPARC, PowerPC, Microchip PIC processors, RISC-V.

=>AVR micro-controllers are based on the RISC (Reduced Instruction Set Computer) architecture,
which offers several advantages that enhance the performance, efficiency, and usability of these
micro-controllers. Below are the key benefits:

1.RISC architecture provides a simple and efficient set of instructions, reducing complexity in
execution.

2.The RISC design reduces the need for complex hardware, making AVR micro-controllers cost-
effective and energy-efficient.
3.RISC architecture minimizes code size, allowing efficient memory usage in AVR micro-controllers.

4.RISC-based AVR micro-controllers consume less power, making them ideal for battery-powered
devices.

5.RISC architecture allows pipelining, enabling overlapping of instruction execution stages and
improving processing speed in AVR.

6.The speed and efficiency of RISC architecture improve real-time performance in AVR systems.

Conclusion
The RISC architecture in AVR micro-controllers provides speed, efficiency, and simplicity, making them
well-suited for a wide range of embedded systems. Its ability to deliver high performance with low
power consumption and reduced design complexity is a significant advantage for developers.

8. Explain the role of the following AVR components:SRAM,EEPROM,


and Flash memory.

1.SRAM (Static Random Access Memory):

1. Purpose: SRAM in AVR micro-controllers is used as working memory during program


execution.
2. Characteristics: Volatile memory, meaning its contents are lost when the micro-
controller powers off.
3. Usage:
1. Stores variables, temporary data, and intermediate calculations during
runtime.
2. Facilitates the execution of program instructions by acting as a fast-access
storage area.

2.EEPROM (Electrically Erasable Programmable Read-Only Memory):

1. Purpose: EEPROM provides non-volatile memory for storing data that must be
preserved even when power is removed.
2. Characteristics:
1. Data can be written, erased, and re-written electrically.
2. Limited write/erase cycles (typically around 100,000 cycles).

3. Usage:

1. Used to store configuration settings, calibration data, or user preferences.


2. Ideal for small data that changes infrequently.
3.Flash Memory:

4. Purpose: Flash memory is used to store the main program code in AVR micro-
controllers.

5. Characteristics:

1. Non-volatile memory, retaining its contents even when power is off.


2. Supports high read/write speeds and has a limited number of write/erase
cycles.

6. Usage:

1. Stores firmware or application code executed by the microcontroller.


2. Supports in-system programming (ISP), allowing updates to program code
without removing the chip from the system.

Summary Table

Component Type Purpose Characteristics Usage


Temporary data Storing variables,
Volatile Fast, but data is lost on
SRAM storage during intermediate results,
Memory power-off
program execution and stack data
Persistent storage for Storing settings,
Non- Electrically erasable, limited
EEPROM user or configuration calibration, or user
volatile cycles
data data
Non- Storage of main Retains data after power- Storing firmware or
Flash volatile program code off, reprogrammable application programs

Each of these components plays a crucial role in the operation and functionality of
AVR micro-controllers, making them versatile for various applications.

9. Describe the function of the following components in an AVR micro-


controller:

A. General purpose registers:-

 Function:
 Store temporary data and intermediate results during program execution.
 Directly connected to the Arithmetic Logic Unit (ALU), enabling fast data manipulation.
 Used for arithmetic, logical, and data transfer operations.

 Characteristics:

 AVR micro-controllers typically have 32 general-purpose registers for efficient computation.

B. ALU(Arithmetic Logic Unit):-

 Function:-
o Performs arithmetic operations (e.g., addition, subtraction) and logical operations
(e.g., AND, OR, NOT).
o Supports bitwise operations and shift operations.
o Handles operations between the general-purpose registers and immediate data.
 Characteristics:

o Operates in coordination with the RISC architecture, ensuring most operations are
completed in a single clock cycle.

C. Program Counter:-

 Function:-

 Tracks the address of the next instruction to be executed in the program memory (Flash).
 Ensures sequential execution of instructions unless altered by control flow instructions (e.g.,
jumps, calls, interrupts).

 Characteristics:-

 Automatically increments after fetching an instruction unless modified by a branch or


interrupt.
 Essential for managing program flow.

D. Watchdog Timer:-

 Function:-
o Acts as a safety feature to prevent the system from hanging or freezing.
o Automatically resets the microcontroller if the software fails to reset the timer
within a specified period.
 Characteristics:-

o Configurable timeout periods.


o Useful in real-time systems to ensure reliable operation by recovering from
unforeseen errors or failures.
Summary Table

Component Function Characteristics


Temporary data storage for
General-Purpose 32 registers in AVR for fast data
computations and direct interaction
Registers access and manipulation
with the ALU
ALU (Arithmetic Performs arithmetic and logical Supports single clock cycle
Logic Unit) operations execution with RISC architecture

Program Counter Tracks the address of the next Automatically increments or


(PC) instruction updates based on control flow

Watchdog Timer Resets the microcontroller during Prevents system hangs;


(WDT) software malfunctions configurable timeout periods

These components are fundamental to the efficient operation of AVR micro-


controllers.

10.What is the significance of the Harvard architecture in AVR micro-


controller?
=>Significance of the Harvard architecture in AVR micro-controller are:-

1. Harvard architecture separates program memory (Flash) and data memory (SRAM), enabling
simultaneous access to both.
2. Instructions can be fetched from program memory while data is accessed from data memory,
enhancing execution speed.
3. Enables instruction-level pipelining, where the next instruction is fetched while the current
instruction is executed, improving overall performance.
4. he separation of memories ensures efficient usage of storage resources, reducing contention
between program and data access.
5. The architecture simplifies memory access logic, resulting in a more straightforward and reliable
design.
6. Parallel access to program and data memory reduces delays, especially in real-time applications.
7. Faster execution due to reduced memory contention leads to lower power consumption, which is
vital for battery-powered devices.

Note:-AVR are the modified Harvard Architecture.

11.How is data transferred between the CPU and peripherals in an AVR


micro-controller?
=>In an AVR microcontroller, data transfer between the CPU and peripherals is
managed through several mechanisms, depending on the type of peripheral and the
nature of the communication. Here’s an explanation:
Methods of Data Transfer in AVR Micro-controller

Using General-Purpose I/O Ports:

 AVR micro-controllers have general-purpose I/O (GPIO) ports that the CPU uses to
communicate with external devices. Data can be written to or read from GPIO pins by
manipulating the PORTx, PINx, and DDRx registers.

Memory-Mapped I/O:

 AVR uses memory-mapped I/O, where peripheral registers (e.g., for UART, SPI,
Timer/Counter) are assigned specific memory addresses. The CPU interacts with peripherals
by reading or writing to these memory locations.

Polling:

 The CPU continuously checks the status of peripheral flags (e.g., a transmit buffer empty flag)
to determine when to transfer data.
 Example: UART data transmission by monitoring the UDRE (USART Data Register Empty) flag.

Direct Memory Access (DMA) (In advanced AVR models):

 Certain AVR micro-controllers support DMA, allowing data to be transferred between


peripherals and memory without CPU intervention, improving efficiency.

Process Flow

·The CPU initiates communication by configuring the relevant registers.

This step involves setting up peripheral control registers (e.g., enabling UART, SPI, or ADC, configuring
baud rates, etc.).

·Data transfer occurs through one of the above methods, depending on the peripheral type.

Data can be transferred via polling, interrupts, or serial communication protocols, as per the
peripheral's mechanism.

·Flags and interrupts ensure synchronization between the CPU and peripherals.

Flags indicate the status (e.g., buffer empty, data received), while interrupts allow peripherals to
notify the CPU about data readiness without constant polling.

12. Explain the differences between Standard C programming and


Embedded C programming.

Parameters C Embedded C

General  C is a general-purpose  Embedded C is simply an


programming language, which can be extension of C language and it is used
used to design any type of desktop- to develop micro-controller-based
Parameters C Embedded C

based application. applications.


 It is a type of high-level  It is nothing but an extension of
language. C.

Dependency  C language is a hardware-  Embedded C is a fully hardware-


independent language. dependent language.
 C compilers are OS-dependent.  Embedded C is OS-independent.

Compiler  For C language, the standard  For Embedded C, specific


compilers can be used to compile and compilers that are able to generate
execute the program. particular hardware/micro-controller-
 Popular Compiler to execute a C based output are used.
language program are:  Popular Compiler to execute an
o GCC (GNU Compiler Embedded C language program are:
collection) o Keil compiler
o Borland turbo C, o BiPOM ELECTRONIC
o Intel C++ o Green Hill Software

Usability and  Formatting depends upon the


Applications  C language has a free format of
type of microprocessor that is used.
program coding.
 It is used for limited resources
 It is specifically used for desktop
like RAM and ROM.
applications.
 High level of optimization.
 Optimization is normal.
 It is not easy to read and modify
 It is very easy to read and
the Embedded C language.
modify the C language.
 Bug fixing is complicated in an
 Bug fixing is very easy in a C
Embedded C language program.
language program.
 It supports only the required
 It supports other various
processor of the application and not
programming languages during
the programming languages.
application.
 Only the pre-defined input can
 Input can be given to the
be given to the running program.
program while it is running.
 Applications of Embedded C
 Applications of C Program:
Program:
o Logical programs
o DVD
o System software
o TV
programs
o Digital camera

13. Why is Embedded C preferred for micro-controller


programming?Provide examples.
=>Embedded C is most popular programming language in software field for developing electronic
gadgets. Each processor used in electronic system is associated with embedded software.

Embedded C programming plays a key role in performing specific function by the processor. In day-to-
day life we used many electronic devices such as mobile phone, washing machine, digital camera, etc.
These all device working is based on micro-controller that are programmed by embedded C.
In embedded system programming C code is preferred over other language. Due to the following
reasons:

o Easy to understand
o High Reliability
o Portability
o Scalability

Easy to Understand

Embedded C is derived from the standard C language, making it easy to learn for those
already familiar with C. Its syntax and structure are simple, which reduces the learning
curve.

High Reliability

Embedded C offers robust error handling, memory management, and deterministic


performance, ensuring that the code works reliably in critical applications such as
medical devices or automotive systems.

Portability

Embedded C programs can be ported between different micro-controller architectures


with minimal changes, especially when adhering to standard C libraries.

Scalability

Embedded C is scalable to various levels of embedded systems, from simple 8-bit micro-
controllers to advanced 32-bit or 64-bit processors.

Example:-

#include <avr/io.h> // Include AVR library for I/O operations.


#include <util/delay.h> // Include library for delays.

#define LED_PIN PB0 // Define the LED pin (connected to Port B, Pin 0).

int main(void) {
DDRB |= (1 << LED_PIN); // Set LED_PIN (PB0) as output by setting the corresponding bit in DDRB register.
while (1) {
PORTB |= (1 << LED_PIN); // Turn on LED by setting the LED_PIN bit in PORTB register.
_delay_ms(500); // Wait for 500 milliseconds.
PORTB &= ~(1 << LED_PIN); // Turn off LED by clearing the LED_PIN bit in PORTB register.
_delay_ms(500); // Wait for 500 milliseconds.
}

return 0; // Return 0 (this is just a formality in embedded systems, as main typically runs indefinitely).
}
14. List the data types commonly used in Embedded C. How are they
different from standard C data types?
=>Commonly used data types in Embedded C are:-

1. Fixed-Width Integer Types

Fixed-width integer types are essential in embedded systems due to their predictable size,
which is crucial for memory management and interfacing with hardware registers.

2. Volatile Keyword

The volatile keyword is vital in embedded systems for variables that can be changed by
hardware interrupts or other asynchronous processes. It prevents the compiler from
optimizing away necessary reads and writes.

Using volatile ensures that every read from statusRegister fetches the actual value from the
hardware register, not a cached value.

3. Bit-Fields

Bit-fields are used in embedded systems to pack multiple variables into a single byte or word,
which is useful for manipulating hardware registers and flags.

This struct allows efficient manipulation of individual bits within an 8-bit register, saving
memory and processing time.

4. Enumerations

Enumerations enhance code readability and maintainability, providing a way to define a set of
named integer constants.

5. Floating-Point Types

While not as common in embedded systems due to their computational cost, floating-point
types are sometimes necessary for specific applications like sensor data processing.

7. Pointers

Pointers are fundamental in embedded systems for direct memory access, handling dynamic
memory, and interacting with hardware registers. They provide flexibility but require careful
handling to avoid issues like memory leaks and buffer overflows.

=>Choosing the right data types in embedded C programming is crucial for optimizing
performance, memory usage, and interfacing with hardware. By understanding and leveraging
fixed-width integers, the volatile keyword, bit-fields, enumerations, floating-point types,
advanced programmers can write more efficient and reliable embedded software.
Embedded C data types differ from standard C data types primarily due to the
unique requirements and constraints of embedded systems. Here’s how they are
different:

1. Memory Constraints:

 Embedded C: Data types in embedded systems are often optimized for memory usage. For
example, the use of fixed-width integer types (such as int8_t, int16_t, etc.) ensures
that variables occupy a known, specific amount of memory, which is crucial in memory-
constrained environments.
 Standard C: While standard C provides flexibility in data type sizes (e.g., int, float, char),
it doesn't necessarily prioritize minimizing memory usage, especially in general-purpose
applications where memory is less of a constraint.

2. Fixed-Width Integer Types:

 Embedded C: In embedded systems, using fixed-width integer types like int8_t, int16_t,
and uint32_t is crucial for precise control over memory and data representation. These
types are defined in <stdint.h> to ensure consistency across different platforms and
compilers.
 Standard C: Standard C allows for general integer types (int, long, etc.), which can vary in
size depending on the compiler and platform. This variability can cause issues in embedded
systems where exact memory usage is critical.

3. Volatile Keyword:

 Embedded C: The volatile keyword in embedded C is frequently used to prevent the


compiler from optimizing out variables that are being modified by external hardware or
interrupts, such as status registers and flags.
 Standard C: The volatile keyword is used in standard C as well but is more common in
embedded C due to the frequent interaction with hardware and peripherals. In standard C,
volatile variables are less commonly required because the code usually doesn't interact with
hardware directly.

4. Bit-Fields:

 Embedded C: Bit-fields are commonly used in embedded C to pack multiple values into a
single byte or word, enabling efficient manipulation of hardware registers. This is essential
for controlling hardware and working with peripheral registers.
 Standard C: Bit-fields are supported in standard C, but they are less common because they
are not typically required for general-purpose application development. Standard C doesn't
usually need to optimize for hardware-specific bit-level manipulations.

5. Floating-Point Types:

 Embedded C: Floating-point types (e.g., float, double) are often avoided in embedded
systems because they are computationally expensive and require more memory and
processing power, which are limited in embedded systems.
 Standard C: Floating-point types are commonly used in standard C for applications that
require decimal calculations, and performance or memory usage is not as critical.
6. Pointers:

 Embedded C: Pointers in embedded C are used for direct memory access to hardware
registers and manipulating data in specific memory-mapped locations. They are essential for
efficient hardware control but require careful handling to avoid memory corruption, buffer
overflows, and other issues.

7. OS Independence:

 Embedded C: Embedded C is often used in OS-independent environments (bare-metal


programming), where memory management and real-time constraints are paramount. It
doesn't rely on an operating system, making low-level control of hardware and peripheral
devices essential.
 Standard C: Standard C is used in environments where the program typically runs on an
operating system, and the focus is more on application-level programming rather than direct
hardware control.

8. Compiler-Specific Extensions:

 Embedded C: Embedded C often includes compiler-specific extensions and libraries tailored


to specific microcontrollers, hardware platforms, or peripheral devices. These extensions
provide more direct access to the hardware.
 Standard C: Standard C does not include these specialized compiler extensions. The standard
C language is more generalized for a wide range of platforms, rather than being designed to
interface with specific hardware components.

Conclusion:

Embedded C data types are designed with a focus on efficient use of memory,
precise control over hardware, and the constraints of embedded systems (such as
low power, real-time processing, and limited resources). In contrast, standard C data
types are more generalized, with flexibility for general-purpose programming on
systems where hardware-specific optimizations are less of a concern.

By using data types such as fixed-width integers, volatile, and bit-fields, embedded C
ensures the program behaves as expected while interacting with hardware in a
resource-constrained environment.

15. Discuss the role of header files in Embedded programming with


examples.
=>Header files play an essential role in embedded programming, just as they do in
general programming, but they are especially important for ensuring efficient
interaction with hardware and managing system resources in embedded systems.
Here are the key roles of header files in embedded programming:
1. Hardware Abstraction

 Header files define hardware-specific constants, macros, and functions that abstract the
interaction with micro-controller registers, peripherals, and hardware features.
 They provide definitions for pin configurations, memory-mapped registers, interrupt
vectors, and other hardware-related settings. These abstractions help make the code
portable and easier to manage across different microcontrollers.

2. Simplification of Code

 Instead of repeating definitions and declarations throughout the source files, header files
allow these to be placed in a single location, making the code modular and more
manageable.
 By including the header files, the main code is cleaner, shorter, and easier to understand.

3. Function Prototypes

 Header files typically contain function prototypes, so the compiler knows the functions’
signatures before they are used in the main program. This enables the use of functions
defined in separate files.
 In embedded systems, this is particularly useful for organizing the program into logical blocks,
such as separating hardware interaction code, algorithms, and application code.

7. Platform-Specific Code

 Header files are used to separate platform-specific code from application logic. For example,
in embedded systems, different microcontrollers or hardware platforms may require specific
initialization code or register manipulation.
 Platform-specific header files allow the main code to remain portable while providing the
necessary functionality for each microcontroller.

8. Conditional Compilation

 Header files can include conditional compilation statements (using #ifdef, #ifndef, etc.)
to manage different hardware configurations, features, or platform-specific code. This is
useful when working with different versions of hardware or peripherals.
 Example: Including different code blocks based on whether the device has an onboard ADC
or external ADC.

Example:-
// example_header.h

#ifndef EXAMPLE_HEADER_H

#define EXAMPLE_HEADER_H
#define LED_PIN 5 // Macro for LED pin.

#define UART_BAUD 9600 // Baud rate for UART communication.

// Function Prototypes.

void init_uart(void);

void send_data(uint8_t data);

#endif // EXAMPLE_HEADER_H.

In the main source file:

#include "example_header.h"

int main() {
// Initialize UART with defined baud rate.
init_uart();

// Send data using the function declared in the header.


send_data(0x55);

while(1) {
// Main loop.
}
}

Conclusion:

Header files in embedded programming are crucial for organizing code, abstracting
hardware, improving modularity, and ensuring that hardware-specific configurations
and functions are clearly defined and easy to manage. They significantly improve
code readability, reusability, and maintainability, making embedded system
development more efficient.

16. Explain the use of control structures(if-else,switch-case) in


Embedded C programming with examples.

=>Control structures, such as if-else and switch-case, are used in embedded C


programming to control the flow of execution based on specific conditions. These
structures are essential for decision-making in embedded systems, enabling the
program to respond dynamically to inputs, sensor data, or hardware status.
1. if-else Statement
The if-else statement evaluates a condition and executes a block of code if the
condition is true. Otherwise, the code under else executes.

Usage in Embedded Systems:

 Controlling outputs based on sensor inputs.


 Checking hardware status like button press or ADC values.

Example: LED Control Using if-else

#include <avr/io.h> // AVR I/O header file.


int main(void) {
DDRB |= (1 << 0); // Configure PORTB pin 0 as output (LED).
DDRD &= ~(1 << 1); // Configure PORTD pin 1 as input (Button).

while(1) {
if(PIND & (1 << 1)) { // Check if button is pressed.
PORTB |= (1 << 0); // Turn ON LED.
} else {
PORTB &= ~(1 << 0); // Turn OFF LED.
}
}

return 0;
}

Explanation:

 The if condition checks if the button (PORTD pin 1) is pressed.


 If true, it turns on the LED connected to PORTB pin 0.
 Otherwise, the else block turns off the LED.

2. switch-case Statement
The switch-case structure is used when there are multiple conditions to evaluate. It
is more efficient and readable than a series of if-else statements for scenarios with
several choices.

Usage in Embedded Systems:

 Handling multiple commands from UART or keypad inputs.


 Selecting different modes of operation based on input.
Example: Motor Control Using switch-case

#include <avr/io.h> // AVR I/O header file.


void motor_control(char command) {
switch(command) {
case 'F': // Move Forward.
PORTB = 0b00000001; // Example motor control signals.
break;

case 'B': // Move Backward.


PORTB = 0b00000010;
break;

case 'L': // Turn Left.


PORTB = 0b00000100;
break;

case 'R': // Turn Right.


PORTB = 0b00001000;
break;

default: // Stop.
PORTB = 0b00000000;
break;
}
}
int main(void) {
DDRB = 0xFF; // Configure PORTB as output.
char command = 'F'; // Example input command.

motor_control(command); // Control motor based on command.

while(1) {
// Infinite loop.
}

return 0;
}

Explanation:

 The switch-case checks the value of the command variable.


 Depending on the command ('F', 'B', 'L', 'R'), the motor is controlled to move forward,
backward, left, or right.
 The default case stops the motor if no valid command is provided.
Key Differences Between if-else and switch-
case:
Feature if-else switch-case
Suitable for multiple conditions
Usage Suitable for simple, binary decisions.
or choices.
Slower when there are many Faster for evaluating multiple
Performance
conditions. fixed values.
Becomes less readable for multiple More readable for multiple
Readability
conditions. conditions.

Conclusion:

Both if-else and switch-case structures are critical in embedded C programming.

 Use if-else for binary decisions or range-based conditions.


 Use switch-case for multiple discrete options or command handling.

17. What are the roles of the compiler,linker, and debugger in


Embedded C development?

=>Roles of the Compiler, Linker, and Debugger in Embedded C Development are:-

1. Compiler
The compiler translates the high-level Embedded C code into machine code (binary
format) that the micro-controller can execute.

Key Roles:

1. Translation: Converts C source code into assembly or machine code understandable by the
micro-controller.
2. Optimization: Optimizes the code for speed, memory usage, and performance in embedded
systems.
3. Error Checking: Detects and reports syntax errors, missing semicolons, undeclared variables,
etc.
4. Platform-Specific Code Generation: Generates code compatible with the target micro-
controller architecture.
Example:

A compiler translates the following C code:

PORTB = 0xFF;

into machine code that sets all pins of PORTB to HIGH.

2. Linker
The linker combines multiple object files (.o) and libraries into a single executable
file (.hex or .bin) suitable for the micro-controller.

Key Roles:

1. Symbol Resolution: Resolves references between functions, variables, and libraries.


2. Address Assignment: Maps program code and variables to specific memory addresses.
3. Library Linking: Incorporates precompiled functions (e.g., printf, UART drivers) from external
libraries.
4. Output File Creation: Generates the final executable file required for programming the
micro-controller.

Example:

 Combines the main source file (main.o) with external libraries like libmath.a into a single
output.hex file.

3. Debugger
The debugger is used to test, analyze, and debug the program running on the micro-
controller.

Key Roles:

1. Breakpoints: Allows halting execution at specific points for inspection.


2. Step Execution: Executes code line-by-line to analyze behavior.
3. Watch Variables: Monitors variables and registers to track changes during runtime.
4. Error Diagnosis: Identifies runtime errors, such as memory access violations or logical errors.
5. Simulation and Emulation: Provides tools to simulate microcontroller behavior without
hardware, or emulate it with connected hardware.
Example:

A debugger can pause execution at the line:

if(sensor_value > threshold)

and check the value of sensor_value during runtime.

Conclusion:

 Compiler: Converts high-level code to machine code.


 Linker: Combines object files and libraries into an executable.
 Debugger: Tests and analyzes code behavior during execution.

Together, these tools ensure smooth development, testing, and deployment of


embedded C programs on micro-controllers.

18. Explain Cross assemblers, Cross compilers, Debuggers and


Downloaders.

1.Cross compiler:-Compilers are the tool used to translate high-level programming


language to low-level programming language. The simple compiler works in one
system only, but what will happen if we need a compiler that can compile code from
another platform, to perform such compilation, the cross compiler is introduced. In
this article, we are going to discuss cross-compiler.

A cross compiler is a compiler capable of creating executable code for a platform


other than the one on which the compiler is running. For example, a cross compiler
executes on machine X and produces machine code for machine Y.

Where is the cross compiler used?

A.In bootstrapping, a cross-compiler is used for transitioning to a new platform.


When developing software for a new platform, a cross-compiler is used to compile
necessary tools such as the operating system and a native compiler.

B.For micro-controllers, we use cross compiler because it doesn’t support an


operating system.

C.It is useful for embedded computers which are with limited computing resources.

D.To compile for a platform where it is not practical to do the compiling, a cross-
compiler is used.
E.When direct compilation on the target platform is not infeasible, so we can use the
cross compiler.

F.It helps to keep the target environment separate from the built environment.

2.Cross assembler:-A cross-assembler is an assembler that runs on a computer with


one type of processor but generates machine code for a different type of processor.
For example, if we use a PC with the 8086 compatible machine language to generate
a machine code for the 8085 processor, we need a cross-assembler program that
runs on the PC compatible machine but generates the machine code for 8085
mnemonics. It takes assembly language as input and give machine language as
output.

Features of Cross-Assembler :

A.Cross-assembler is used to convert assembly language into binary machine code.

B.Cross-assemblers are also used to develop program which will run on game
console and other small electronic system which are not able to run development
environment on their own.

C.Cross-assembler can be used to give speed development on low powered system.

D.C 64 is the best example of Cross-assembler.

3.Debuggers:- A debugger is a tool that allows you to examine the state of a running
program. Debugging is the process of locating and then removing bugs or errors in a program. An interactive
debugging system gives programmers tools to help them test and debug their programs. Debugging is the
methodical process of locating and eliminating bugs or defects in a computer program.

Types of Debuggers:
 Static debugger: A static debugger does not rely on any specific software. The debugging can be
completed by the user.

 Dynamic debugger: A dynamic debugger can be either software or hardware. There are several
types of dynamic debuggers, including the following:

o Breakpoint Debugger: Adding conditional and unconditional breakpoints to the program at
various points
o Kernel Debugger: To debug the operating system, a debugger with kernel debugging
capabilities is provided.
o Meta Debugger: Debugger includes debugging and meta-debugging features.
o Debugger with the same process: The debugger and debuggee processes are identical, and
they both share the main memory. This type of debugger is simple and straightforward to
implement. This debugger executes more quickly.

5. Downloaders:- A downloader is a tool used to transfer compiled code (hex or


binary files) from a development environment to the memory of a micro-
controller or embedded system.
Key Features and Roles:

 Code Uploading: Loads executable files into the target device's Flash memory.
 Communication Protocols: Uses protocols like UART, SPI, I2C, or JTAG for data transfer.
 Programming Interface: Often combined with debugging tools for seamless code uploading
and testing.
 Bootloader Support: Works with bootloaders to facilitate easy updates without external
hardware programmers.
 Examples:
o AVRDUDE for AVR microcontrollers.
o ST-Link for STM32 devices.

Importance:

Downloaders ensure smooth deployment of software into embedded systems,


enabling testing and real-time execution.

19. What is the importance of pointers in micro-controller


programming?

=> Importance of pointers in micro-controller programming are:-

1. It Enables direct access to hardware registers and memory locations.


2. It allows manipulation of data structures like arrays and strings efficiently.
3. It Facilitates dynamic memory allocation and deallocation.
4. It simplifies accessing and configuring I/O ports and registers.
5. It enables flexible and modular code design by pointing to functions dynamically.
6. It reduces code redundancy and improves performance in embedded systems.
7. It enables interaction with peripherals and sensors through memory-mapped
registers.

20. What are the challenges of dynamic memory allocation in


embedded system?

=> The challenges of dynamic memory allocation in embedded system are:-

1. Over time, dynamic allocation can lead to memory fragmentation, where free memory is
scattered in small, non-contiguous blocks, making it difficult to allocate large contiguous blocks of
memory.
2. Improper management of dynamically allocated memory can result in memory leaks, where
memory that is no longer needed is not released back to the system, gradually reducing available
memory.
3. In real-time systems, dynamic memory allocation can introduce unpredictable latencies due to
variable allocation and deallocation times, potentially violating timing constraints.
4. Embedded systems often have limited memory resources, making it essential to carefully plan
and manage memory allocation to avoid running out of memory.
5. In multi-threaded environments, dynamic memory allocation must be thread-safe to prevent race
conditions and data corruption.
21. Explain the different types of memory available in AVR micro-
controllers.

=>There are three types of memory in the AVR architecture:

 Program Memory
 Data Memory
 EEPROM

Program Memory
Program Memory, also referred to as flash, is where your code is stored. Depending on settings in the
fuse bits, the entire flash memory can be used as application storage or a portion can be code-
blocked off for a bootloader program.
Flash memory is non-volatile meaning its data does not go away when the micro-controller loses
power. Flash cannot be accessed as quickly as Data Memory and individual bytes cannot be modified
at a time so it is not a good place to store variables which constantly change. However, in addition to
storing your application code, it is a good place to put constants like lookup tables or strings.

Data Memory
Data Memory is composed of four parts:

 Register File
 I/O Registers
 Extended I/O Registers
 Internal SRAM

Unlike flash, Data Memory is not composed of a single memory type. Rather, it is a contiguous
mapping of addresses across multiple memory types.
The breakdown of data memory is shown below. The location and size of the general purpose
working registers, I/O registers, and extended I/O registers are the same across all chips (even if some
of the extended I/O features are not implemented). However, the size of internal SRAM varies
between different models.

EEPROM
EEPROM is another non-volatile storage location in the AVR architecture. Unlike flash, individual bytes
may be written to it, although its access time is much slower. EEPROM is best served for configuration
settings, i.e. things that need to be available at startup but may be changed at runtime and used the
next time the chip starts up.

22. Discuss how memory is managed in embedded C for AVR micro-


controllers.Explain with C code.

=>In AVR micro-controllers, memory is divided into three types: Program Memory
(Flash), Data Memory (SRAM), and EEPROM. Embedded C programs manage
memory using variables, pointers, and specific functions provided by AVR libraries.
Example Code for Memory Management

Explanation of the Code:

Program Memory (Flash):

1. PROGMEM keyword stores constants in Flash memory.


2. strcpy_P() fetches the data into SRAM when needed.

SRAM (Data Memory):

1. Variables (dataSRAM) and pointers (ptrSRAM) demonstrate runtime data storage


and modification.
EEPROM Memory:

1. eeprom_write_byte() writes data to EEPROM.


2. eeprom_read_byte() reads stored data for persistent configurations.

Hardware Interfacing:

1. The code interacts with PORTB to toggle an LED based on EEPROM values,
showcasing direct hardware manipulation.

Key Takeaways:

 Flash memory is used for constants and program code.


 SRAM is used for variables, stacks, and runtime data.
 EEPROM is used for non-volatile data storage like configuration settings.
 Efficient use of memory types improves performance and resource utilization in embedded
systems.

23. What are the difference between stack and heap memory in an
embedded system?

Aspect Stack Memory Heap Memory


Temporary memory used
Dynamic memory used for allocating data
Definition for function calls and
at runtime.
local variables.
Automatically allocated Manually allocated and deallocated using
Allocation Type
and deallocated. pointers.
LIFO (Last In, First Out) Random access based on memory
Access Method
structure. address.
Larger, but depends on available memory
Size Limited and fixed size.
in the system.
Faster as memory is
Slower due to dynamic memory
Speed allocated in a single
allocation and deallocation.
block.
Exists only during the Exists until explicitly deallocated or
Lifetime
function execution. program terminates.
Suitable for local variables Suitable for dynamic memory
Usage
and function calls. requirements, like linked lists.
No fragmentation, as
Memory Prone to fragmentation due to dynamic
memory is allocated
Fragmentation allocation and freeing.
sequentially.
Less flexible due to fixed Highly flexible for varying memory
Flexibility
size allocation. requirements at runtime.
Stack overflow can occur
Risk of memory leaks if dynamically
Error Handling if memory limit is
allocated memory isn’t freed properly.
exceeded.

24. WAP to allocate memory dynamically and free it in Embedded C.

=>Note:-This code is valid only if your embedded system support standard C libraries
and also support function like malloc() and free(). And here we are writing it in C
because we are assuming our embedded system fullfill this criteria.
25. How can you optimize memory usage in systems with limited SRAM?

=>Here are some strategies to optimize memory usage in systems with


limited SRAM:

 Avoid dynamic memory allocation; use static or fixed-size buffers to minimize


fragmentation.

· Use smaller data types (e.g., uint8_t instead of int) to reduce memory usage.

· Use memory pools to manage memory in fixed blocks, preventing fragmentation.

· Keep the stack size small and avoid deep recursion, as the stack consumes SRAM.

· Use bit-fields and structures to store multiple variables in a single memory location.

· Limit the use of global variables, as they consume SRAM throughout the program's
life.

· Enable compiler optimization flags to reduce memory usage, such as -Os for size
optimization.

By implementing these strategies, you can make efficient use of limited SRAM in
embedded systems.

Note:-Embedded system typically have less SRAM compared to the general system.

26. What is an Interrupt? How does an AVR micro-controller handle


interrupts?

=>The interrupt is a signal emitted by hardware or software when a process or an


event needs immediate attention. It alerts the processor to a high-priority process
requiring interruption of the current working process. In I/O devices one of the bus
control lines is dedicated for this purpose and is called the Interrupt Service Routine
(ISR).

The AVR micro-controller handle interrupts in following ways:-

1. The AVR micro-controller uses an Interrupt Vector Table to associate each


interrupt source with a specific Interrupt Service Routine (ISR).
2. When an interrupt event occurs, it sets the Interrupt Flag (IF) in the
corresponding peripheral register,indicating that an interrupt condition is met.
3. AVR prioritized interrupts based on their position in the vector table,where
lower memory addresses have higher priority.
4. The RETI (Return from Interrupt) instruction is executed at the end of the ISR
which restores the PC from the stack and resumes normal program execution.
5. In AVR micro-controllers, the Global Interrupt Enable (GIE) bit is located in the
Status Register (SREG). It must be set to 1 to allow the AVR core to process
interrupts. This bit acts as a master switch for enabling or disabling all interrupts
globally.

27. How do software interrupt differ from hardware interrupts?Provide


example of each.

Hardware Interrupt Software Interrupt

Hardware interrupt is an interrupt Software interrupt is the interrupt that is


generated from an external device or generated by any internal system of the
hardware. computer.

It do not increment the program


It increment the program counter.
counter.

Hardware interrupt can be invoked


with some external device such as Software interrupt can be invoked with the
request to start an I/O or occurrence help of INT instruction.
of a hardware failure.

It has lowest priority than software


It has highest priority among all interrupts.
interrupts

Software interrupt is triggered by software


Hardware interrupt is triggered by
and considered one of the ways to
external hardware and is considered
communicate with kernel or to trigger
one of the ways to communicate with
system calls, especially during error or
the outside peripherals, hardware.
exception handling.

It is an asynchronous event. It is synchronous event.

Hardware interrupts can be classified Software interrupts can be classified into


into two types they are: 1. Maskable two types they are: 1. Normal Interrupts.
Interrupt. 2. Non Maskable Interrupt. 2. Exception

Keystroke depressions and mouse


All system calls are examples of software
movements are examples of
interrupts
hardware interrupt.
28. Explain the role of the Interrupt Vector Table(IVT) in AVR.

=>The Interrupt Vector Table (IVT) in AVR micro-controllers plays a critical role in
the interrupt handling process. Its key roles are:

1. The IVT holds the memory addresses of all Interrupt Service Routines (ISRs) for
each interrupt source.
2. When an interrupt occurs, the micro-controller uses the IVT to find the address of
the corresponding ISR.
3. The IVT ensures that the micro-controller knows exactly where to jump to
execute the ISR based on the interrupt that triggered.
4. The position of interrupt entries in the IVT determines their priority, with lower
addresses having higher priority.

In short, the IVT stores and organizes the memory addresses of ISRs, ensuring
efficient and prioritized interrupt handling.

29. Explain the steps involved in configuring and enabling an interrupt


in AVR.

=> Steps for configuring and enabling an interrupt in AVR microcontrollers are:-

· Include header files: Add the avr/io.h and avr/interrupt.h header files to your
program to use interrupt functionality.
· Set the Global Interrupt Enable bit: Set the I bit in the SREG register to enable
global interrupts. You can use the sei() macro (in WinAVR) or the sei instruction in
assembly to enable interrupts globally.
· Enable individual interrupt bits: Enable the specific interrupt bits in the
peripheral's control register (e.g., enabling the Timer overflow interrupt bit in the
TIFR register).
· Provide an interrupt service routine (ISR): Write the ISR to define how the
program should handle the interrupt. The ISR must match the correct syntax and
naming convention.
· Configure the peripheral: Configure the peripheral (e.g., timer, ADC) to generate
the interrupt event, such as setting the timer to overflow after a certain period.
· Ensure conditions for interruption are met: Make sure the conditions for the
interrupt (e.g., timer overflow, ADC conversion completion) are satisfied so that the
interrupt is triggered.
· Disable interrupts (optional): If necessary, you can use the cli() macro to clear the
global interrupt enable bit and disable interrupts.

Note:-Not necessary but try to keep these point as it is in this


order and don’t change their position for best representation.
30. What are interrupt masks, and how are they used to control
interrupt handling in AVR?

=>An interrupt mask is a settable / resettable register within the CPU which
determines whether a particular external interrupt will be passed to the internal
control circuitry or not.

Interrupt masks are used to control the handling of interrupts by


enabling or disabling specific interrupt sources. This is achieved
using the interrupt enable (IE) bits in the corresponding control
registers for each peripheral, as well as global interrupt control
via the Status Register (SREG). Here's how interrupt masks are used
in AVR micro-controllers:

1. Global Interrupt Enable (SREG)

 The Global Interrupt Enable (I) bit in the Status Register (SREG) acts as the master switch for
interrupts.
 Setting this bit (sei() instruction in C or SEI instruction in assembly) allows interrupts to
be processed by the AVR core.
 If the I bit is cleared (cli() in C or CLI instruction in assembly), all interrupts are disabled,
regardless of individual interrupt masks.

2. Peripheral Interrupt Masks (Peripheral Control Registers)

 Each peripheral (e.g., Timer, ADC, UART) has an Interrupt Enable (IE) bit in its respective
control register.
 These bits control whether specific interrupts from that peripheral can trigger the interrupt
vector.
 For example:

o The Timer Overflow Interrupt Enable bit (TOIE0) in the TIMER0 control register
(TCCR0) enables the timer overflow interrupt.
o The ADC Interrupt Enable bit (ADIE) in the ADC control and status register
(ADCSRA) enables the ADC conversion complete interrupt.

 Setting the interrupt enable bit in the respective peripheral register allows the interrupt from
that peripheral to be processed, provided that the global interrupt flag is set.

3. Interrupt Flags (IF) and Masking

 Each interrupt source has a corresponding interrupt flag (IF) in its status register that is set
when the interrupt condition occurs (e.g., a timer overflow or ADC conversion complete).
 The interrupt enable bits in the control registers allow the corresponding interrupts to be
triggered when their respective flags are set.
 The interrupt mask in the control registers can be used to disable individual interrupts from
being triggered, even if the interrupt flag is set.
4. Masking Interrupts for Prioritization or Exclusion

 You can mask interrupts by clearing the corresponding interrupt enable bit in the
peripheral’s register. This ensures that the interrupt won't trigger the ISR, even if the
interrupt flag is set.
 Example: If you want to temporarily disable the ADC interrupt while performing some critical
operation, you can mask the ADC interrupt.

31. Differentiate between Polling and Interrupt based programming.

Interrupt Polling

In interrupt, the device notices


Whereas, in polling, CPU steadily checks
the CPU that it requires its
whether the device needs attention.
attention.

An interrupt is not a protocol, its a Whereas it isn’t a hardware mechanism, its a


hardware mechanism. protocol.

In interrupt, the device is serviced


While in polling, the device is serviced by CPU.
by interrupt handler.

Interrupt can take place at any Whereas CPU steadily ballots the device at
time. regular or proper interval.

In interrupt, interrupt request line While in polling, Command ready bit is used
is used as indication for indicating as indication for indicating that device
that device requires servicing. requires servicing.

On the opposite hand, in polling, processor


In interrupts, processor is simply
waste countless processor cycles by
disturbed once any device
repeatedly checking the command-ready little
interrupts it.
bit of each device.

32. How are Input and output ports configured in AVR micro-
controllers?

=>In AVR microcontrollers, input and output ports are configured


using the Data Direction Register (DDR) and the Port Data Register
(PORT). Here's how they work:
1. Configuring Output Ports

 To configure a pin as an output, set the corresponding bit in the Data Direction Register
(DDR) to 1.
 Once configured as an output, the value of the pin is controlled using the PORT register.
o PORTx (where x is the port number, such as PORTB, PORTC, etc.) is used to write a
logic 1 (high) or 0 (low) to the pin.

Example:-

DDRB |= (1 << PB0); // Set pin PB0 as output.

PORTB |= (1 << PB0); // Set PB0 high.

2. Configuring Input Ports

 To configure a pin as an input, set the corresponding bit in the Data Direction Register (DDR)
to 0.
 The input pin value can be read using the PIN register.
o PINx (where x is the port number) is used to read the value of the input pin.
 Additionally, the PORT register can be used to enable internal pull-up resistors if the pin is
configured as input (this is useful when the external circuit is not providing a signal).

o PORTx |= (1 << Px) enables the pull-up resistor on pin Px.

Example:-

DDRB &= ~(1 << PB0); // Set pin PB0 as input.

PORTB |= (1 << PB0); // Enable internal pull-up resistor on PB0.

if (PINB & (1 << PB0)) // Check if PB0 is high.

3. Steps for Configuration:

Set Direction (Input/Output):

o For output: DDRx |= (1 << Px);


o For input: DDRx &= ~(1 << Px);

Set Output Value (if pin is output):

o To set the pin high: PORTx |= (1 << Px);


o To set the pin low: PORTx &= ~(1 << Px);

Enable Pull-up Resistor (if pin is input):

o PORTx |= (1 << Px); (This enables the internal pull-up resistor)


Read Input (if pin is input):

o PINx & (1 << Px); (This reads the input value of the pin)

Example configuration:-

Summary of Registers:

 DDRx: Data Direction Register for Port x. Configures the direction (input or output).
 PORTx: Port Data Register for Port x. Used to write output values or enable internal pull-ups
for inputs.
 PINx: Pin Input Register for Port x. Used to read the current state of input pins.

This configuration allows flexible control of the pins for various tasks like controlling
LEDs, reading switches, etc., in embedded systems.
Program
1. Write an AVR program in C to toggle a bit of a specific port using
bitwise operation.

Explanation:-
2.Write a simple Embedded C program to blink an LED connected to
PORTB pin 0 of an AVR micro-controller.

Explanation:-
3.WAP to turn on an LED when a button connected to PD2 is pressed.

Explanation:-
6.Write an AVR program in C to generate a square wave using
Timer0,Timer1,and Timer2 in an AVR micro-controller.
Explanation:-
9.Write a program using a pointer to manipulate the value of port
register in AVR.

Explanation:-
10.Write a simple Embedded C program to blink an LED connected to an
AVR micro-controller.

You might also like