KEMBAR78
Employees Table.: 5 The HR Department Has Requested A Report of All Employees and Their Job Ids | PDF | Sql | Databases
0% found this document useful (0 votes)
13 views20 pages

Employees Table.: 5 The HR Department Has Requested A Report of All Employees and Their Job Ids

The document outlines various SQL queries and corrections needed for an HR department's database tasks, including identifying coding errors, displaying unique job codes, and generating reports on employee salaries and hire dates. It emphasizes the use of proper SQL syntax, including aliases, filtering conditions, and sorting results. Additionally, it provides explanations for each query to aid understanding of the SQL commands used.

Uploaded by

azoz.ahmed1992
Copyright
© © All Rights Reserved
We take content rights seriously. If you suspect this is your content, claim it here.
Available Formats
Download as PDF, TXT or read online on Scribd
0% found this document useful (0 votes)
13 views20 pages

Employees Table.: 5 The HR Department Has Requested A Report of All Employees and Their Job Ids

The document outlines various SQL queries and corrections needed for an HR department's database tasks, including identifying coding errors, displaying unique job codes, and generating reports on employee salaries and hire dates. It emphasizes the use of proper SQL syntax, including aliases, filtering conditions, and sorting results. Additionally, it provides explanations for each query to aid understanding of the SQL commands used.

Uploaded by

azoz.ahmed1992
Copyright
© © All Rights Reserved
We take content rights seriously. If you suspect this is your content, claim it here.
Available Formats
Download as PDF, TXT or read online on Scribd
You are on page 1/ 20

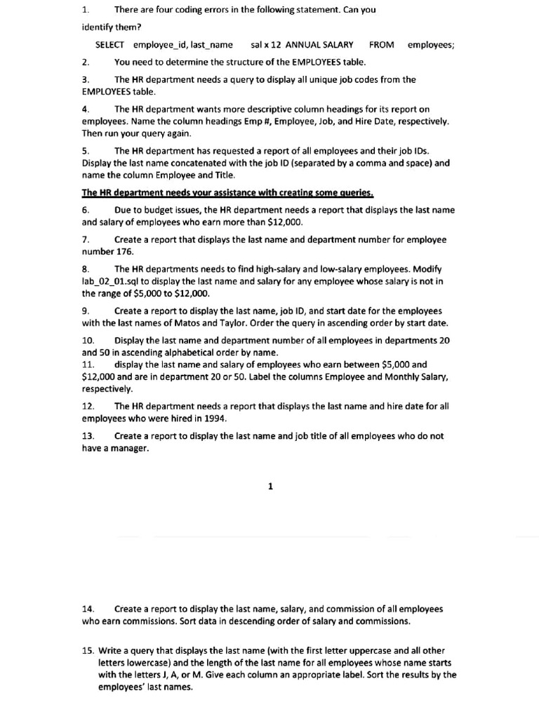
1 There are four coding errors in the following statement.

Can you
identify them?
SELECT employee_id, last_name sal x 12 ANNUAL SALARY FROM employees;
2 You need to determine the structure of the EMPLOYEES table.
3 The HR department needs a query to display all unique job codes from the
EMPLOYEES table.
4 The HR department wants more descriptive column headings for its report on
employees. Name the column headings Emp #, Employee, Job, and Hire Date, respectively.
Then run your query again.
5 The HR department has requested a report of all employees and their job IDs.
Display the last name concatenated with the job ID (separated by a comma and space) and
name the column Employee and Title.
The HR department needs VOur assistance with creating some queries.
6. Due to budget issues, the HR department needs a report that displays the last name
and salary of employees who earn more than $12,000.
7. Create a report that displays the last name and department number for employee
number 176.

8 The HR departments needs to find high-salary and low-salary employees. Modify


lab_02_01.sql to display the last name and salay for any employee whose salary is not in
the range of $5,000 to $12,000.
9. Create a report to display the last name, job ID, and start date for the employees
with the last names of Matos and Taylor. Order the query in ascending order by start date.
10. Display the last name and department number of all employees in departments 20
and 50 in ascending alphabetical order by name.
11. display the last name and salary of employees who earn between $5,000 and
$12,000 and are in department 20 or 50. Label the columns Employee and Monthly Salary,
respectively.
12. The HR department needs a report that displays the last name and hire date for all
employees who were hired in 1994.
13. Create a report to display the last name and job title of all employees who do not
have a manager.

14. Create a report to display the last name, salary, and commission of all employees
who earn commissions. Sort data in descending order of salary and commissions.

15. Write a query that displays the last name (with the first letter uppercase and all other
letters lowercase) and the length of the last name for all employees whose name starts
with the letters J, A, or M. Give each column an appropriate label. Sort the results by the
employees' last names.
Important Assumptions:
You have access to an Oracle 12c database.
The tables involved are likely EMPLOYEES and
DEPARTMENTS, following the standard HR
schema often used in Oracle examples.
Column names are as implied by the questions
(e.g., employee_id, first_name, last_name,
salary, department_id, department_name,
job_id, hire_date, manager_id).
Let's break down each problem:

Question 1: Current issues in Databases and


oracle 12c assignment two
1. There are four codingerrors in the following
statement. Can you identify them?
SELECT employee_id, last_name sal x 12
ANNUAL SALARY FROM employees;
Errors ldentified:

1. Missing AS keyword for alias sal x 12:When


creating an alias for an expression or a column,
especially if the alias itself contains spaces or
special characters, you should use the AS
keyword.
2. Invalid arithmetic operator x: In SQL, the
multiplication operator is *, not x.
3. Alias ANNUAL SALARY needs quotes: Since the
alias ANNUAL SALARY Contains a space, it must
be enclosed indouble quotes.
4. Missingsemicolon after FROM employees: While
Oracle SQL often tolerates missing semicolons in
single statements executed interactively, it's a
best practice and often required in scripts or
when combining multiple statements.
Corrected Statement:

sql

SELECT employee_id, last_name, sal * 12


AS "ANNUAL SALARY" FROM employees;
Question 2:
2. You need to determine the structure of the
EMPLOYEES table.

sQL Query:

sql

DESCRIBE employees;
OR
DESC employees ;

Explanation:
The DESCRIBE (or DESC) command is aSQL*Plus
and SQL Developer command (not a standard SQL
command, but widely used in Oracle environments)
that shows the column names, data types, and
nullability of a table.
Question 3:

3. The HR department needs a query to display all


unique job codes from the EMPLOYEES table.
SQL Query:

sql

SELECT DISTINCT job_id


FROM employees ;

Explanation:
SELECT DISTINCT is used to retrieve only
unique values from a specified column. In this
case, it will list each job_id only once, even if
multiple employees have the same job.
Question 4:

4. The HRdepartment wants more descriptive column


headings for its report on employees. Name the
column headings Emp #, Employee, Job, and Hire Date,
respectively. Then run your query again.
SQL Query:

sql

SELECT employee_id AS "Emp #"


last_name AS "Employee",
job_id AS "Job",
hire_date AS "Hire Date"
FROM employees;

Explanation:
The AS keyword is used to assign an alias (a
temporary, more descriptive name) to a column
in the query result.
Aliases with spaces or special characters must
enclosed in double quotes (e.g., "Emp #").
Question 5:

5. The HR department has requested a report of all


employees and their job IDs. Display the last name
concatenated with the job ID (separated by a comma
and space) and name the column Employee and Title.
SQL Query:

sql

SELECT last_name | | '. | | job_id AS


"Employee and Title"
FROM employees;

Explanation:
" || is the concatenation operator in Oracle SQL.
It joins two or more strings together.
We're concatenating last_name, a literal string
' (comma and space), and job_id.
" AS "Employee and Title" renames the
resulting column for the report.
Question 6:

6. Due to budget issues, the HR department needs a


report that displays the last name and salary of
employees who earn more than $12,000.
SQL Query:

sql

SELECT last_name, salary


FROM employees
WHERE salary > 12000;

Explanation:
WHERE clause is used to filter rows based on a
specified condition.
salary > 12000 selects only those rows where
the salary column has a value greater than
12000.
Question 7:

7. Create areport that displays the last name and


department number for employee number 176.
sQL Query:

sql

SELECT last_name, department_id


FROM employees
WHERE employee_id = 176;

Explanation:
Again, the WHERE clause is used to filter.
employee_id = 176 specifically selects the
row where the employee_id matches 176.
Question 8:

8.The HRdepartments needs to find high-salary and


low-salary employees. Modify fab_02_01.sql to display
the last name and salary for any employee whose
salary is not in the range of 5,000 to 12,000.
SQL Query:

sql

SELECT last_name, salary


FROM employees
WHERE Ssalary NOT BETWEEN 5000 AND 12000;
OR
SELECT last_name, salary
FROM employees
WHERE salary < 5000 OR salary > 12000;

Explanation:

NOT BETWEEN low AND high is a convenient


way to select rows where a value falls outside a
specified inclusive range.
The alternative uses OR to combine two
conditions: salary < 5000 (less than the lower
bound)or salary > 12000 (greater than the
upper bound). Both achieve the same result.
Question 9:

9. Create a report to display the last name, job ID, and


start date for the employees with the last names of
Matos and Taylor. Order the query in ascending order
by hire date.

SQL Query:

sql

SELECT last_name, job_id, hire_date


FROM employees
WHERE last_name IN ('Matos', 'Taylor')
ORDER BY hire_date ASC;

Explanation:
IN ('value1', 'value2', ...)is used to
specify a list of possible values for a column. It's
equivalent to last_name = 'Matos' OR
last_name 'Taylor'.
ORDER BY column name ASC sorts the result
set in ascending order based on the specified
column. ASC is the default and can often be
omitted, but it's good practice to include it for
clarity.
Question 10:

10. Display the last name and department number of


allemployees in departments 20 and 50 in ascending
alphabetical order by name.
SQL Query:

sql

SELECT last_name, department_id


FROM employees
WHERE department_id IN (20, 50)
ORDER BY last _name ASC;

Explanation:
Similar to Question 9, IN (20, 50) filters for
employees in either department 20 or
department 50.
ORDER BY last _name ASCsorts the results
alphabetically by the employee's last name.
Question 11:

11. Display the last name and salary of employees who


earn between $5,000and $12,000 and are in
department 20 or 50. Label the columns Employee and
Monthly Salary, respectively.
SQL Query:

sql

SELECT last_name AS "Employee"


salary AS "Monthly Salary"
FROM employees
WHERE salary BETWEEN 5000 AND 12000
AND department_id IN (20, 50);

Explanation:
BETWEEN 5000 AND 12000 filters for salaries
within the inclusive range.
AND Combines two conditions, meaning both the
salary condition and the department condition
must be true for a row to be included.

Aliases AS "Employee" and AS "Monthly


Salary" are used for descriptive column
headings.
12. The HR department needs a report that displays
the last name and hire date for all employees who
were hired in 1994.

SQL Query:

sql

SELECT last_name, hire_date


FROM employees
WHERE TO_CHAR(hire_date, 'YYYY') =
1994!
OR (if hire_date is a DATE type and
for better performance with indeXes):
SELECT last_name, hire_date
FROM employees
WHERE hire date >= TO DATE('01-JAN-1994'
'DD-MON-YYYY')
AND hire_date < TO_DATE('01-JAN-1995',
'DD- MON-YYYY ');

Explanation:
Method 1 (usingT0_CHAR):
TO_CHAR(hire_date, 'YYYY') converts the
hire_date (which is typically a DATE data type)
into a string representing just the year. We then
compare this string to '1994 '. This is simple but
might prevent the use of an index on hire_date
for this filter.
SELECT last_name, hire_date
FROM employees
WHERE TO_CHAR(hire_date, 'YYYY') =
1994
OR (if hire_date is a DATE type and
for better performance with indexes):
SELECT last_name, hire_date
FROM employees
WHERE hire_date >= TO_ DATE('01-JAN-1994'
'DD-MON-YYYY')
AND hire_date <TO_DATE('01-JAN-1995'
'DD-MON-YYYY');

Explanation:
Method 1 (using T0_CHAR):
TO_CHAR(hire_date, 'YYYY') converts the
hire_date (which is typicaly a DATE data type)
into a string representing just the year. We then
compare thisstring to ' 1994'. This is simple but
might prevent the use of an index on hire_date
for this filter.

Method 2 (using TO_DATE and range): This


method is generally preferred for performance
when dealing with date ranges. It checks if the
hire_date is greater than or equal to January 1,
1994,AND strictly less than January 1, 1995. This
effectively captures all dates within 1994.
Question 13:
13. Create a report to display the last name, job and job
title of all employees who do not have a manager.
SQL Query:

sql

SELECT last_name, job_id, job_title - -

Assuming job_title' exists, or remove it


if not needed.
FROM employees
WHERE manager_id IS NULL;

Explanation:
" IS NULL 0s used to check for null values. You
cannot use = NULL because NULL represents an
unknown or undefined value, and equality
comparisons with NULL always evaluate to
UNKNOWN, not true or false.
Employees who do not have a manager typically
have NULL in their manager_idcolumn (e.g.
the company president or CEO).
Note: I've included job_title here, but if your
EMPLOYEES table only has job_id, you might
need to join it with a JOBS table if job_title is
in aseparate table, or simply remove job_title
sql

SELECT last_name, job_id, job_title


Assuming 'job_title' exists, or remove it
if not needed.
FROM employees
WHERE manager_id IS NULL;

Explanation:
" IS NULL 0S used to check for nullvalues. You
cannot use = NULL because NULL represents an
unknown or undefined value, and equality
comparisons with NULL always evaluate to
UNKNOWN, not true or false.
Employees who do not have a manager typically
have NULL in their manager_id column (e.g.,
the company president or CEO).
Note: I've included job_title here, but if your
EMPLOYEES table only has job_id, you mnight
need to join it with a JOBS table if job_title is
in a separate table, or simply remove job_title
from the SELECT list. Based on standard HR
schema, job_id is usually a foreign key to a
JOBS table that contains job_title. If not
explicitly available in EMPLOYEES, assume the
request means job_id.
Question 14:

14.Create a report to display the last name, salary, and


commissionof allemployees whoearn commissions.
Sort data in descending order of salary and
commissions.

SQL Query:

sql

SELECT last_name, salary, commission_pct


FROM employees
WHERE commission_pct IS NOT NULL
ORDER BY salary DESC, commission_pct
DESC;

Explanation:
IS NOT NULL filters for employees who do have
value in their commission_pct column (i.e.,
they earn commissions).
ORDER BY salary DESC, commission_pct
DESCSorts the results first by salary in
descending order. If two employees have the
same salary, then they are further sorted by
commission_pct in descending order.
Question 15:

15. Write a query that displays the last name (with the
first letter uppercase and all other letters lowercase),
length of the last name, and all employees whose last
name starts with the letters J, A, or M. Give each
column an appropriate label. Sort the results by the
employees' last names.

sQL Query:

sql

SELECT
INITCAP(last_name) AS "Formatted Last
Name"
LENGTH(last_name) AS "Length of Last
Name"
last_ame
FROM
employees
WHERE
SUBSTR(last_name, 1, 1) IN ('J', 'A',
'M')
ORDER BY
last_name;
LENGTH(last_name) AS "Length of Last
Name"
last_name
FROM
employees
WHERE
SUBSTR (last_name, 1, 1) IN ('J', 'A',
'M')
ORDER BY
last_name;

Explanation:
INITCAP(last_name): This Oracle function
converts the first letter of each word in a string
to uppercase and the rest to lowercase. This
fulfills the "first letter uppercase and all other
letters lowercase" requirement.
LENGTH(last_name): This function returns the
number of characters in the last_name string.
SUBSTR(last_name, 1, 1): This extracts
substring from last_name, starting at position 1
and taking 1character. This effectively gives you
the first letter.
IN ('J', 'A', 'M'): Checks if the first letter
is 'J, 'A', or 'M:.
ORDER BY last _name: Sorts the final result set
alphabetically by the last_name.

You might also like