KEMBAR78
Consent Form | PDF
0% found this document useful (0 votes)
5 views2 pages

Consent Form

This Consent Form outlines the purpose of collecting personal information for issuing an offer letter and related payroll matters to be shared with Accenture Solutions Pvt. Ltd. It confirms the individual's consent to share sensitive personal data, understanding its use for lawful purposes, and the security measures in place for data protection. By signing, the individual agrees to the processing of their information by 2COMS and Accenture, including potential international transfers.

Uploaded by

saha.swagata97
Copyright
© © All Rights Reserved
We take content rights seriously. If you suspect this is your content, claim it here.
Available Formats
Download as PDF, TXT or read online on Scribd
0% found this document useful (0 votes)
5 views2 pages

Consent Form

This Consent Form outlines the purpose of collecting personal information for issuing an offer letter and related payroll matters to be shared with Accenture Solutions Pvt. Ltd. It confirms the individual's consent to share sensitive personal data, understanding its use for lawful purposes, and the security measures in place for data protection. By signing, the individual agrees to the processing of their information by 2COMS and Accenture, including potential international transfers.

Uploaded by

saha.swagata97
Copyright
© © All Rights Reserved
We take content rights seriously. If you suspect this is your content, claim it here.
Available Formats
Download as PDF, TXT or read online on Scribd
You are on page 1/ 2

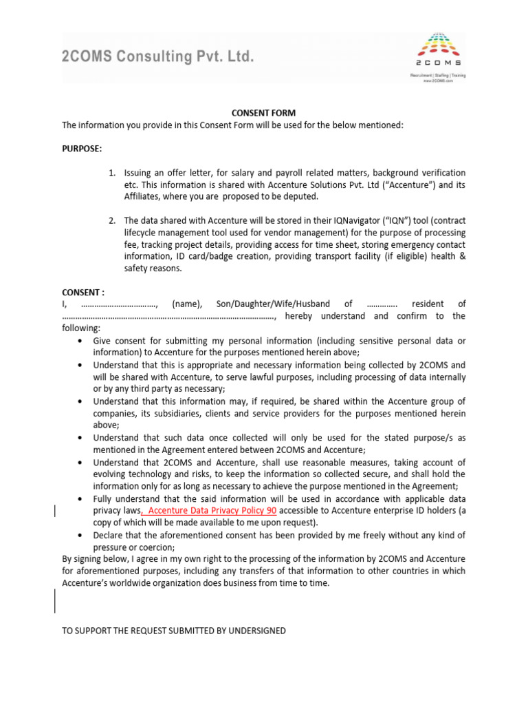
CONSENT FORM

The information you provide in this Consent Form will be used for the below mentioned:

PURPOSE:

1. Issuing an offer letter, for salary and payroll related matters, background verification
etc. This information is shared with Accenture Solutions Pvt. Ltd (“Accenture”) and its
Affiliates, where you are proposed to be deputed.

2. The data shared with Accenture will be stored in their IQNavigator (“IQN”) tool (contract
lifecycle management tool used for vendor management) for the purpose of processing
fee, tracking project details, providing access for time sheet, storing emergency contact
information, ID card/badge creation, providing transport facility (if eligible) health &
safety reasons.

CONSENT :
I, ……………………………., (name), Son/Daughter/Wife/Husband of ………….. resident of
……………………………………………………………………………………., hereby understand and confirm to the
following:
 Give consent for submitting my personal information (including sensitive personal data or
information) to Accenture for the purposes mentioned herein above;
 Understand that this is appropriate and necessary information being collected by 2COMS and
will be shared with Accenture, to serve lawful purposes, including processing of data internally
or by any third party as necessary;
 Understand that this information may, if required, be shared within the Accenture group of
companies, its subsidiaries, clients and service providers for the purposes mentioned herein
above;
 Understand that such data once collected will only be used for the stated purpose/s as
mentioned in the Agreement entered between 2COMS and Accenture;
 Understand that 2COMS and Accenture, shall use reasonable measures, taking account of
evolving technology and risks, to keep the information so collected secure, and shall hold the
information only for as long as necessary to achieve the purpose mentioned in the Agreement;
 Fully understand that the said information will be used in accordance with applicable data
privacy laws, Accenture Data Privacy Policy 90 accessible to Accenture enterprise ID holders (a
copy of which will be made available to me upon request).
 Declare that the aforementioned consent has been provided by me freely without any kind of
pressure or coercion;
By signing below, I agree in my own right to the processing of the information by 2COMS and Accenture
for aforementioned purposes, including any transfers of that information to other countries in which
Accenture’s worldwide organization does business from time to time.

TO SUPPORT THE REQUEST SUBMITTED BY UNDERSIGNED


Employee Name: ______________________________________
Signature: ______________________________________
Date: ______________________________________

You might also like