KEMBAR78
Ansys 11 tutorial | PDF
ANSYS CFX
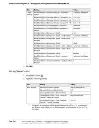
Tutorials



ANSYS CFX Release 11.0




December 2006
ANSYS, Inc.
Southpointe
275 Technology Drive
Canonsburg, PA 15317
ansysinfo@ansys.com
http://www.ansys.com
(T) 724-746-3304
(F) 724-514-9494
Copyright and Trademark Information
  © 1996-2006 ANSYS Europe, Ltd. All rights reserved. Unauthorized use, distribution, or duplication is
                                                prohibited.
 ANSYS, ANSYS Workbench, AUTODYN, CFX, FLUENT and any and all ANSYS, Inc. brand, product, service
   and feature names, logos and slogans are registered trademarks or trademarks of ANSYS, Inc. or its
subsidiaries located in the United States or other countries. ICEM CFD is a trademark used by ANSYS, Inc.
  under license. CFX is a trademark of Sony Corporation in Japan. All other brand, product, service and
                feature names or trademarks are the property of their respective owners.


                                       Disclaimer Notice
THIS ANSYS SOFTWARE PRODUCT AND PROGRAM DOCUMENTATION INCLUDE TRADE SECRETS AND ARE
  CONFIDENTIAL AND PROPRIETARY PRODUCTS OF ANSYS, INC., ITS SUBSIDIARIES, OR LICENSORS. The
 software products and documentation are furnished by ANSYS, Inc., its subsidiaries, or affiliates under a
  software license agreement that contains provisions concerning non-disclosure, copying, length and
    nature of use, compliance with exporting laws, warranties, disclaimers, limitations of liability, and
   remedies, and other provisions. The software products and documentation may be used, disclosed,
     transferred, or copied only in accordance with the terms and conditions of that software license
                                               agreement.
             ANSYS, Inc. and ANSYS Europe, Ltd. are UL registered ISO 9001:2000 companies.


                                 U.S. Government Rights
For U.S. Government users, except as specifically granted by the ANSYS, Inc. software license agreement,
the use, duplication, or disclosure by the United States Government is subject to restrictions stated in the
             ANSYS, Inc. software license agreement and FAR 12.212 (for non DOD licenses).


                                    Third-Party Software
     See the online documentation in the product help files for the complete Legal Notice for ANSYS
    proprietary software and third-party software. The ANSYS third-party software information is also
available via download from the Customer Portal on the ANSYS web page. If you are unable to access the
                          third-party legal notices, please contact ANSYS, Inc.
                                          Published in the U.S.A.
Table of Contents
Copyright and Trademark Information


Disclaimer Notice


U.S. Government Rights


Third-Party Software


Introduction to the
ANSYS CFX Tutorials

   Overview . . . . . . . . . . . . . . . . . . . . . . . . . . . . . . . . . . . . . . . . . . . . . . . . . . . . . . . . . . . . . . . . . . . . . . . . . . . . . . . . . . . . . . . . . . . . . . 1
   Setting the Working Directory . . . . . . . . . . . . . . . . . . . . . . . . . . . . . . . . . . . . . . . . . . . . . . . . . . . . . . . . . . . . . . . . . . . . . . . . . . 1
   Changing the Display Colors. . . . . . . . . . . . . . . . . . . . . . . . . . . . . . . . . . . . . . . . . . . . . . . . . . . . . . . . . . . . . . . . . . . . . . . . . . . . 2

Tutorial 1:
Simulating Flow in a Static Mixer Using CFX in Standalone Mode

   Introduction . . . . . . . . . . . . . . . . . . . . . . . . . . . . . . . . . . . . . . . . . . . . . . . . . . . . . . . . . . . . . . . . . . . . . . . . . . . . . . . . . . . . . . . . . . . 3
   Before You Begin . . . . . . . . . . . . . . . . . . . . . . . . . . . . . . . . . . . . . . . . . . . . . . . . . . . . . . . . . . . . . . . . . . . . . . . . . . . . . . . . . . . . . . . 4
   Tutorial 1 Features . . . . . . . . . . . . . . . . . . . . . . . . . . . . . . . . . . . . . . . . . . . . . . . . . . . . . . . . . . . . . . . . . . . . . . . . . . . . . . . . . . . . . 4
   Overview of the Problem to Solve. . . . . . . . . . . . . . . . . . . . . . . . . . . . . . . . . . . . . . . . . . . . . . . . . . . . . . . . . . . . . . . . . . . . . . . 5
   Defining a Simulation in ANSYS CFX-Pre . . . . . . . . . . . . . . . . . . . . . . . . . . . . . . . . . . . . . . . . . . . . . . . . . . . . . . . . . . . . . . . . 6
   Obtaining a Solution Using ANSYS CFX-Solver Manager . . . . . . . . . . . . . . . . . . . . . . . . . . . . . . . . . . . . . . . . . . . . . . . .12
   Viewing the Results in ANSYS CFX-Post . . . . . . . . . . . . . . . . . . . . . . . . . . . . . . . . . . . . . . . . . . . . . . . . . . . . . . . . . . . . . . . .15

Tutorial 1a:
Simulating Flow in a Static Mixer Using Workbench

   Introduction . . . . . . . . . . . . . . . . . . . . . . . . . . . . . . . . . . . . . . . . . . . . . . . . . . . . . . . . . . . . . . . . . . . . . . . . . . . . . . . . . . . . . . . . . .31
   Before You Begin . . . . . . . . . . . . . . . . . . . . . . . . . . . . . . . . . . . . . . . . . . . . . . . . . . . . . . . . . . . . . . . . . . . . . . . . . . . . . . . . . . . . . .32
   Tutorial 1a Features . . . . . . . . . . . . . . . . . . . . . . . . . . . . . . . . . . . . . . . . . . . . . . . . . . . . . . . . . . . . . . . . . . . . . . . . . . . . . . . . . . .32


ANSYS CFX Tutorials                                                                                                                                                                         Page v
Table of Contents: Tutorial 2: Flow in a Static Mixer (Refined Mesh)
    Overview of the Problem to Solve. . . . . . . . . . . . . . . . . . . . . . . . . . . . . . . . . . . . . . . . . . . . . . . . . . . . . . . . . . . . . . . . . . . . . .33
    Defining a Simulation in ANSYS CFX-Pre . . . . . . . . . . . . . . . . . . . . . . . . . . . . . . . . . . . . . . . . . . . . . . . . . . . . . . . . . . . . . . .34
    Obtaining a Solution Using ANSYS CFX-Solver Manager . . . . . . . . . . . . . . . . . . . . . . . . . . . . . . . . . . . . . . . . . . . . . . . .41
    Viewing the Results in ANSYS CFX-Post . . . . . . . . . . . . . . . . . . . . . . . . . . . . . . . . . . . . . . . . . . . . . . . . . . . . . . . . . . . . . . . .43

Tutorial 2:
Flow in a Static Mixer
(Refined Mesh)

    Introduction . . . . . . . . . . . . . . . . . . . . . . . . . . . . . . . . . . . . . . . . . . . . . . . . . . . . . . . . . . . . . . . . . . . . . . . . . . . . . . . . . . . . . . . . . .59
    Tutorial 2 Features . . . . . . . . . . . . . . . . . . . . . . . . . . . . . . . . . . . . . . . . . . . . . . . . . . . . . . . . . . . . . . . . . . . . . . . . . . . . . . . . . . . .60
    Overview of the Problem to Solve. . . . . . . . . . . . . . . . . . . . . . . . . . . . . . . . . . . . . . . . . . . . . . . . . . . . . . . . . . . . . . . . . . . . . .60
    Defining a Simulation using General Mode in ANSYS CFX-Pre . . . . . . . . . . . . . . . . . . . . . . . . . . . . . . . . . . . . . . . . . . .61
    Obtaining a Solution Using Interpolation with ANSYS CFX-Solver . . . . . . . . . . . . . . . . . . . . . . . . . . . . . . . . . . . . . . .66
    Viewing the Results in ANSYS CFX-Post . . . . . . . . . . . . . . . . . . . . . . . . . . . . . . . . . . . . . . . . . . . . . . . . . . . . . . . . . . . . . . . .68

Tutorial 3:
Flow in a Process Injection Mixing Pipe

    Introduction . . . . . . . . . . . . . . . . . . . . . . . . . . . . . . . . . . . . . . . . . . . . . . . . . . . . . . . . . . . . . . . . . . . . . . . . . . . . . . . . . . . . . . . . . .77
    Tutorial 3 Features . . . . . . . . . . . . . . . . . . . . . . . . . . . . . . . . . . . . . . . . . . . . . . . . . . . . . . . . . . . . . . . . . . . . . . . . . . . . . . . . . . . .78
    Overview of the Problem to Solve. . . . . . . . . . . . . . . . . . . . . . . . . . . . . . . . . . . . . . . . . . . . . . . . . . . . . . . . . . . . . . . . . . . . . .78
    Defining a Simulation using General Mode in ANSYS CFX-Pre . . . . . . . . . . . . . . . . . . . . . . . . . . . . . . . . . . . . . . . . . . .79
    Obtaining a Solution Using ANSYS CFX-Solver Manager . . . . . . . . . . . . . . . . . . . . . . . . . . . . . . . . . . . . . . . . . . . . . . . .87
    Viewing the Results in ANSYS CFX-Post . . . . . . . . . . . . . . . . . . . . . . . . . . . . . . . . . . . . . . . . . . . . . . . . . . . . . . . . . . . . . . . .88

Tutorial 4:
Flow from a Circular Vent

    Introduction . . . . . . . . . . . . . . . . . . . . . . . . . . . . . . . . . . . . . . . . . . . . . . . . . . . . . . . . . . . . . . . . . . . . . . . . . . . . . . . . . . . . . . . . . .93
    Tutorial 4 Features . . . . . . . . . . . . . . . . . . . . . . . . . . . . . . . . . . . . . . . . . . . . . . . . . . . . . . . . . . . . . . . . . . . . . . . . . . . . . . . . . . . .94
    Overview of the Problem to Solve. . . . . . . . . . . . . . . . . . . . . . . . . . . . . . . . . . . . . . . . . . . . . . . . . . . . . . . . . . . . . . . . . . . . . .95
    Defining a Steady-State Simulation in ANSYS CFX-Pre . . . . . . . . . . . . . . . . . . . . . . . . . . . . . . . . . . . . . . . . . . . . . . . . . .95
    Obtaining a Solution to the Steady-State Problem . . . . . . . . . . . . . . . . . . . . . . . . . . . . . . . . . . . . . . . . . . . . . . . . . . . . . .99
    Defining a Transient Simulation in ANSYS CFX-Pre. . . . . . . . . . . . . . . . . . . . . . . . . . . . . . . . . . . . . . . . . . . . . . . . . . . . 100
    Obtaining a Solution to the Transient Problem . . . . . . . . . . . . . . . . . . . . . . . . . . . . . . . . . . . . . . . . . . . . . . . . . . . . . . . 104
    Viewing the Results in ANSYS CFX-Post . . . . . . . . . . . . . . . . . . . . . . . . . . . . . . . . . . . . . . . . . . . . . . . . . . . . . . . . . . . . . . 105

Tutorial 5:
Flow Around a Blunt Body

    Introduction . . . . . . . . . . . . . . . . . . . . . . . . . . . . . . . . . . . . . . . . . . . . . . . . . . . . . . . . . . . . . . . . . . . . . . . . . . . . . . . . . . . . . . . . 109
    Tutorial 5 Features . . . . . . . . . . . . . . . . . . . . . . . . . . . . . . . . . . . . . . . . . . . . . . . . . . . . . . . . . . . . . . . . . . . . . . . . . . . . . . . . . . 109
    Overview of the Problem to Solve. . . . . . . . . . . . . . . . . . . . . . . . . . . . . . . . . . . . . . . . . . . . . . . . . . . . . . . . . . . . . . . . . . . . 111
    Defining a Simulation in ANSYS CFX-Pre . . . . . . . . . . . . . . . . . . . . . . . . . . . . . . . . . . . . . . . . . . . . . . . . . . . . . . . . . . . . . 111


Page vi                                                                                                                                                          ANSYS CFX Tutorials
Table of Contents: Tutorial 6: Buoyant Flow in a Partitioned Cavity
   Obtaining a Solution Using ANSYS CFX-Solver Manager . . . . . . . . . . . . . . . . . . . . . . . . . . . . . . . . . . . . . . . . . . . . . . 116
   Viewing the Results in ANSYS CFX-Post . . . . . . . . . . . . . . . . . . . . . . . . . . . . . . . . . . . . . . . . . . . . . . . . . . . . . . . . . . . . . . 119

Tutorial 6:
Buoyant Flow in a Partitioned Cavity

   Introduction . . . . . . . . . . . . . . . . . . . . . . . . . . . . . . . . . . . . . . . . . . . . . . . . . . . . . . . . . . . . . . . . . . . . . . . . . . . . . . . . . . . . . . . . 127
   Tutorial 6 Features . . . . . . . . . . . . . . . . . . . . . . . . . . . . . . . . . . . . . . . . . . . . . . . . . . . . . . . . . . . . . . . . . . . . . . . . . . . . . . . . . . 128
   Overview of the Problem to Solve. . . . . . . . . . . . . . . . . . . . . . . . . . . . . . . . . . . . . . . . . . . . . . . . . . . . . . . . . . . . . . . . . . . . 128
   Defining a Simulation in ANSYS CFX-Pre . . . . . . . . . . . . . . . . . . . . . . . . . . . . . . . . . . . . . . . . . . . . . . . . . . . . . . . . . . . . . 129
   Obtaining a Solution using ANSYS CFX-Solver Manager . . . . . . . . . . . . . . . . . . . . . . . . . . . . . . . . . . . . . . . . . . . . . . 134
   Viewing the Results in ANSYS CFX-Post . . . . . . . . . . . . . . . . . . . . . . . . . . . . . . . . . . . . . . . . . . . . . . . . . . . . . . . . . . . . . . 135

Tutorial 7:
Free Surface Flow Over a Bump

   Introduction . . . . . . . . . . . . . . . . . . . . . . . . . . . . . . . . . . . . . . . . . . . . . . . . . . . . . . . . . . . . . . . . . . . . . . . . . . . . . . . . . . . . . . . . 139
   Tutorial 7 Features . . . . . . . . . . . . . . . . . . . . . . . . . . . . . . . . . . . . . . . . . . . . . . . . . . . . . . . . . . . . . . . . . . . . . . . . . . . . . . . . . . 139
   Overview of the Problem to Solve. . . . . . . . . . . . . . . . . . . . . . . . . . . . . . . . . . . . . . . . . . . . . . . . . . . . . . . . . . . . . . . . . . . . 140
   Defining a Simulation in ANSYS CFX-Pre . . . . . . . . . . . . . . . . . . . . . . . . . . . . . . . . . . . . . . . . . . . . . . . . . . . . . . . . . . . . . 141
   Obtaining a Solution using ANSYS CFX-Solver Manager . . . . . . . . . . . . . . . . . . . . . . . . . . . . . . . . . . . . . . . . . . . . . . 148
   Viewing the Results in ANSYS CFX-Post . . . . . . . . . . . . . . . . . . . . . . . . . . . . . . . . . . . . . . . . . . . . . . . . . . . . . . . . . . . . . . 149
   Using a Supercritical Outlet Condition . . . . . . . . . . . . . . . . . . . . . . . . . . . . . . . . . . . . . . . . . . . . . . . . . . . . . . . . . . . . . . . 154

Tutorial 8:
Supersonic Flow Over a Wing

   Introduction . . . . . . . . . . . . . . . . . . . . . . . . . . . . . . . . . . . . . . . . . . . . . . . . . . . . . . . . . . . . . . . . . . . . . . . . . . . . . . . . . . . . . . . . 155
   Tutorial 8 Features . . . . . . . . . . . . . . . . . . . . . . . . . . . . . . . . . . . . . . . . . . . . . . . . . . . . . . . . . . . . . . . . . . . . . . . . . . . . . . . . . . 155
   Overview of the Problem to Solve. . . . . . . . . . . . . . . . . . . . . . . . . . . . . . . . . . . . . . . . . . . . . . . . . . . . . . . . . . . . . . . . . . . . 157
   Defining a Simulation in ANSYS CFX-Pre . . . . . . . . . . . . . . . . . . . . . . . . . . . . . . . . . . . . . . . . . . . . . . . . . . . . . . . . . . . . . 157
   Obtaining a Solution using ANSYS CFX-Solver Manager . . . . . . . . . . . . . . . . . . . . . . . . . . . . . . . . . . . . . . . . . . . . . . 162
   Viewing the Results in ANSYS CFX-Post . . . . . . . . . . . . . . . . . . . . . . . . . . . . . . . . . . . . . . . . . . . . . . . . . . . . . . . . . . . . . . 162

Tutorial 9:
Flow Through a Butterfly Valve

   Introduction . . . . . . . . . . . . . . . . . . . . . . . . . . . . . . . . . . . . . . . . . . . . . . . . . . . . . . . . . . . . . . . . . . . . . . . . . . . . . . . . . . . . . . . . 165
   Tutorial 9 Features . . . . . . . . . . . . . . . . . . . . . . . . . . . . . . . . . . . . . . . . . . . . . . . . . . . . . . . . . . . . . . . . . . . . . . . . . . . . . . . . . . 165
   Overview of the Problem to Solve. . . . . . . . . . . . . . . . . . . . . . . . . . . . . . . . . . . . . . . . . . . . . . . . . . . . . . . . . . . . . . . . . . . . 166
   Defining a Simulation in ANSYS CFX-Pre . . . . . . . . . . . . . . . . . . . . . . . . . . . . . . . . . . . . . . . . . . . . . . . . . . . . . . . . . . . . . 167
   Obtaining a Solution using ANSYS CFX-Solver Manager . . . . . . . . . . . . . . . . . . . . . . . . . . . . . . . . . . . . . . . . . . . . . . 180
   Viewing the Results in ANSYS CFX-Post . . . . . . . . . . . . . . . . . . . . . . . . . . . . . . . . . . . . . . . . . . . . . . . . . . . . . . . . . . . . . . 180

Tutorial 10:


ANSYS CFX Tutorials                                                                                                                                                                  Page vii
Table of Contents: Tutorial 11: Non-Newtonian Fluid Flow in an Annulus
Flow in a Catalytic Converter

    Introduction . . . . . . . . . . . . . . . . . . . . . . . . . . . . . . . . . . . . . . . . . . . . . . . . . . . . . . . . . . . . . . . . . . . . . . . . . . . . . . . . . . . . . . . . 185
    Tutorial 10 Features . . . . . . . . . . . . . . . . . . . . . . . . . . . . . . . . . . . . . . . . . . . . . . . . . . . . . . . . . . . . . . . . . . . . . . . . . . . . . . . . . 185
    Overview of the Problem to Solve. . . . . . . . . . . . . . . . . . . . . . . . . . . . . . . . . . . . . . . . . . . . . . . . . . . . . . . . . . . . . . . . . . . . 186
    Defining a Simulation in ANSYS CFX-Pre . . . . . . . . . . . . . . . . . . . . . . . . . . . . . . . . . . . . . . . . . . . . . . . . . . . . . . . . . . . . . 187
    Obtaining a Solution using ANSYS CFX-Solver Manager . . . . . . . . . . . . . . . . . . . . . . . . . . . . . . . . . . . . . . . . . . . . . . 193
    Viewing the Results in ANSYS CFX-Post . . . . . . . . . . . . . . . . . . . . . . . . . . . . . . . . . . . . . . . . . . . . . . . . . . . . . . . . . . . . . . 194

Tutorial 11:
Non-Newtonian Fluid Flow in an Annulus

    Introduction . . . . . . . . . . . . . . . . . . . . . . . . . . . . . . . . . . . . . . . . . . . . . . . . . . . . . . . . . . . . . . . . . . . . . . . . . . . . . . . . . . . . . . . . 199
    Tutorial 11 Features . . . . . . . . . . . . . . . . . . . . . . . . . . . . . . . . . . . . . . . . . . . . . . . . . . . . . . . . . . . . . . . . . . . . . . . . . . . . . . . . . 200
    Overview of the Problem to Solve. . . . . . . . . . . . . . . . . . . . . . . . . . . . . . . . . . . . . . . . . . . . . . . . . . . . . . . . . . . . . . . . . . . . 201
    Defining a Simulation in ANSYS CFX-Pre . . . . . . . . . . . . . . . . . . . . . . . . . . . . . . . . . . . . . . . . . . . . . . . . . . . . . . . . . . . . . 201
    Obtaining a Solution using ANSYS CFX-Solver Manager . . . . . . . . . . . . . . . . . . . . . . . . . . . . . . . . . . . . . . . . . . . . . . 205
    Viewing the Results in ANSYS CFX-Post . . . . . . . . . . . . . . . . . . . . . . . . . . . . . . . . . . . . . . . . . . . . . . . . . . . . . . . . . . . . . . 206

Tutorial 12:
Flow in an Axial Rotor/Stator

    Introduction . . . . . . . . . . . . . . . . . . . . . . . . . . . . . . . . . . . . . . . . . . . . . . . . . . . . . . . . . . . . . . . . . . . . . . . . . . . . . . . . . . . . . . . . 207
    Tutorial 12 Features . . . . . . . . . . . . . . . . . . . . . . . . . . . . . . . . . . . . . . . . . . . . . . . . . . . . . . . . . . . . . . . . . . . . . . . . . . . . . . . . . 208
    Overview of the Problem to Solve. . . . . . . . . . . . . . . . . . . . . . . . . . . . . . . . . . . . . . . . . . . . . . . . . . . . . . . . . . . . . . . . . . . . 209
    Defining a Frozen Rotor Simulation in ANSYS CFX-Pre . . . . . . . . . . . . . . . . . . . . . . . . . . . . . . . . . . . . . . . . . . . . . . . . 210
    Obtaining a Solution to the Frozen Rotor Model . . . . . . . . . . . . . . . . . . . . . . . . . . . . . . . . . . . . . . . . . . . . . . . . . . . . . . 214
    Viewing the Frozen Rotor Results in ANSYS CFX-Post . . . . . . . . . . . . . . . . . . . . . . . . . . . . . . . . . . . . . . . . . . . . . . . . . 215
    Setting up a Transient Rotor-Stator Calculation. . . . . . . . . . . . . . . . . . . . . . . . . . . . . . . . . . . . . . . . . . . . . . . . . . . . . . . 216
    Obtaining a Solution to the Transient Rotor-Stator Model. . . . . . . . . . . . . . . . . . . . . . . . . . . . . . . . . . . . . . . . . . . . . 219
    Viewing the Transient Rotor-Stator Results in ANSYS CFX-Post . . . . . . . . . . . . . . . . . . . . . . . . . . . . . . . . . . . . . . . . 220

Tutorial 13:
Reacting Flow in a Mixing Tube

    Introduction . . . . . . . . . . . . . . . . . . . . . . . . . . . . . . . . . . . . . . . . . . . . . . . . . . . . . . . . . . . . . . . . . . . . . . . . . . . . . . . . . . . . . . . . 223
    Tutorial 13 Features . . . . . . . . . . . . . . . . . . . . . . . . . . . . . . . . . . . . . . . . . . . . . . . . . . . . . . . . . . . . . . . . . . . . . . . . . . . . . . . . . 223
    Overview of the Problem to Solve. . . . . . . . . . . . . . . . . . . . . . . . . . . . . . . . . . . . . . . . . . . . . . . . . . . . . . . . . . . . . . . . . . . . 224
    Outline of the Process . . . . . . . . . . . . . . . . . . . . . . . . . . . . . . . . . . . . . . . . . . . . . . . . . . . . . . . . . . . . . . . . . . . . . . . . . . . . . . . 224
    Defining a Simulation in ANSYS CFX-Pre . . . . . . . . . . . . . . . . . . . . . . . . . . . . . . . . . . . . . . . . . . . . . . . . . . . . . . . . . . . . . 225
    Obtaining a Solution using ANSYS CFX-Solver Manager . . . . . . . . . . . . . . . . . . . . . . . . . . . . . . . . . . . . . . . . . . . . . . 237
    Viewing the Results in ANSYS CFX-Post . . . . . . . . . . . . . . . . . . . . . . . . . . . . . . . . . . . . . . . . . . . . . . . . . . . . . . . . . . . . . . 237

Tutorial 14:



Page viii                                                                                                                                                      ANSYS CFX Tutorials
Table of Contents: Tutorial 15: Multiphase Flow in Mixing Vessel
Conjugate Heat Transfer in a Heating Coil

   Introduction . . . . . . . . . . . . . . . . . . . . . . . . . . . . . . . . . . . . . . . . . . . . . . . . . . . . . . . . . . . . . . . . . . . . . . . . . . . . . . . . . . . . . . . . 239
   Tutorial 14 Features . . . . . . . . . . . . . . . . . . . . . . . . . . . . . . . . . . . . . . . . . . . . . . . . . . . . . . . . . . . . . . . . . . . . . . . . . . . . . . . . . 240
   Overview of the Problem to Solve. . . . . . . . . . . . . . . . . . . . . . . . . . . . . . . . . . . . . . . . . . . . . . . . . . . . . . . . . . . . . . . . . . . . 241
   Defining a Simulation in ANSYS CFX-Pre . . . . . . . . . . . . . . . . . . . . . . . . . . . . . . . . . . . . . . . . . . . . . . . . . . . . . . . . . . . . . 241
   Obtaining a Solution using ANSYS CFX-Solver Manager . . . . . . . . . . . . . . . . . . . . . . . . . . . . . . . . . . . . . . . . . . . . . . 246
   Viewing the Results in ANSYS CFX-Post . . . . . . . . . . . . . . . . . . . . . . . . . . . . . . . . . . . . . . . . . . . . . . . . . . . . . . . . . . . . . . 246
   Exporting the Results to ANSYS . . . . . . . . . . . . . . . . . . . . . . . . . . . . . . . . . . . . . . . . . . . . . . . . . . . . . . . . . . . . . . . . . . . . . . 247

Tutorial 15:
Multiphase Flow in Mixing Vessel

   Introduction . . . . . . . . . . . . . . . . . . . . . . . . . . . . . . . . . . . . . . . . . . . . . . . . . . . . . . . . . . . . . . . . . . . . . . . . . . . . . . . . . . . . . . . . 251
   Tutorial 15 Features . . . . . . . . . . . . . . . . . . . . . . . . . . . . . . . . . . . . . . . . . . . . . . . . . . . . . . . . . . . . . . . . . . . . . . . . . . . . . . . . . 252
   Overview of the Problem to Solve. . . . . . . . . . . . . . . . . . . . . . . . . . . . . . . . . . . . . . . . . . . . . . . . . . . . . . . . . . . . . . . . . . . . 253
   Defining a Simulation in ANSYS CFX-Pre . . . . . . . . . . . . . . . . . . . . . . . . . . . . . . . . . . . . . . . . . . . . . . . . . . . . . . . . . . . . . 253
   Obtaining a Solution using ANSYS CFX-Solver Manager . . . . . . . . . . . . . . . . . . . . . . . . . . . . . . . . . . . . . . . . . . . . . . 265
   Viewing the Results in ANSYS CFX-Post . . . . . . . . . . . . . . . . . . . . . . . . . . . . . . . . . . . . . . . . . . . . . . . . . . . . . . . . . . . . . . 265

Tutorial 16:
Gas-Liquid Flow in an Airlift Reactor

   Introduction . . . . . . . . . . . . . . . . . . . . . . . . . . . . . . . . . . . . . . . . . . . . . . . . . . . . . . . . . . . . . . . . . . . . . . . . . . . . . . . . . . . . . . . . 269
   Tutorial 16 Features . . . . . . . . . . . . . . . . . . . . . . . . . . . . . . . . . . . . . . . . . . . . . . . . . . . . . . . . . . . . . . . . . . . . . . . . . . . . . . . . . 270
   Overview of the Problem to Solve. . . . . . . . . . . . . . . . . . . . . . . . . . . . . . . . . . . . . . . . . . . . . . . . . . . . . . . . . . . . . . . . . . . . 270
   Defining a Simulation in ANSYS CFX-Pre . . . . . . . . . . . . . . . . . . . . . . . . . . . . . . . . . . . . . . . . . . . . . . . . . . . . . . . . . . . . . 271
   Obtaining a Solution using ANSYS CFX-Solver Manager . . . . . . . . . . . . . . . . . . . . . . . . . . . . . . . . . . . . . . . . . . . . . . 277
   Viewing the Results in ANSYS CFX-Post . . . . . . . . . . . . . . . . . . . . . . . . . . . . . . . . . . . . . . . . . . . . . . . . . . . . . . . . . . . . . . 278
   Additional Fine Mesh Simulation Results . . . . . . . . . . . . . . . . . . . . . . . . . . . . . . . . . . . . . . . . . . . . . . . . . . . . . . . . . . . . . 280

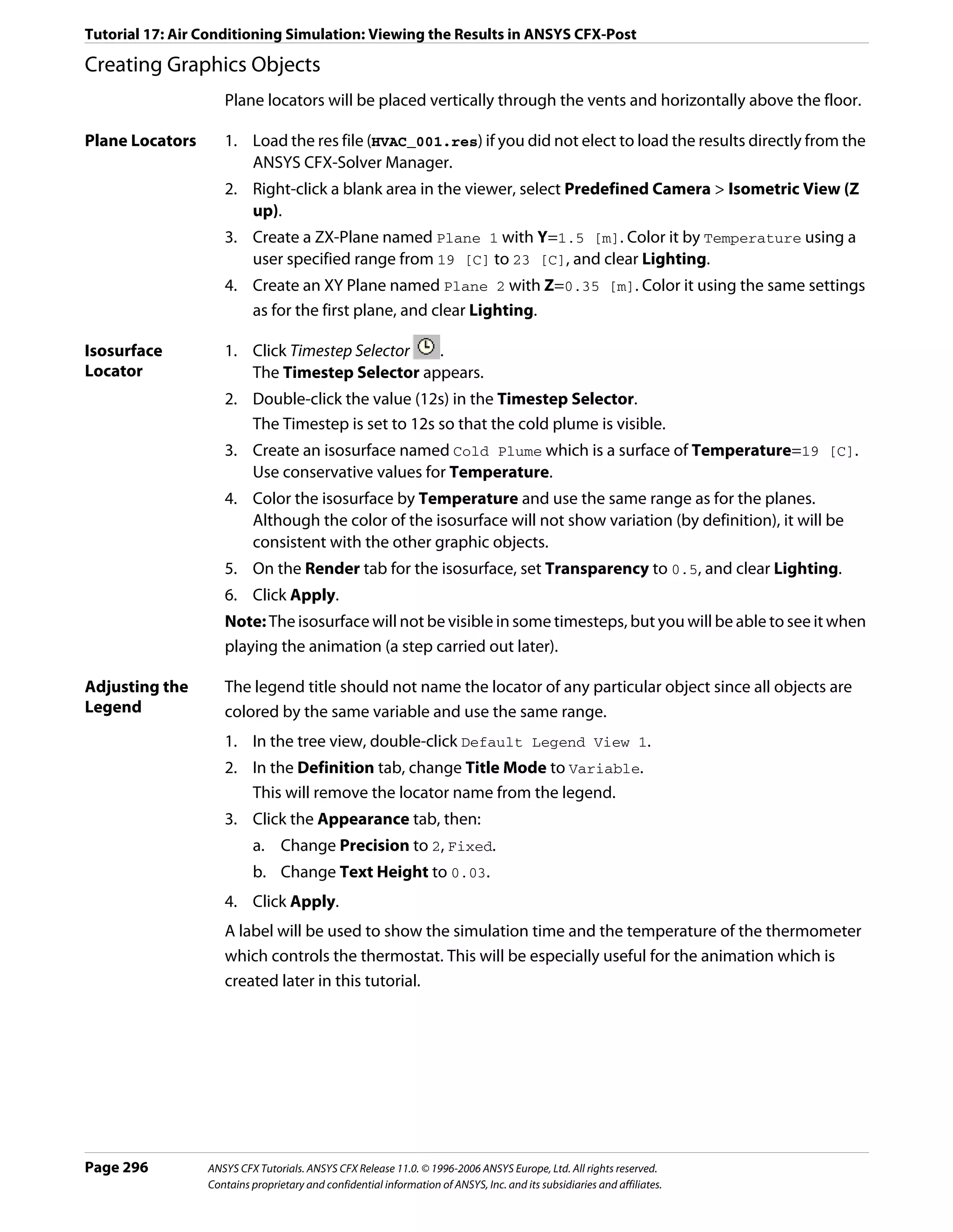
Tutorial 17:
Air Conditioning Simulation

   Introduction . . . . . . . . . . . . . . . . . . . . . . . . . . . . . . . . . . . . . . . . . . . . . . . . . . . . . . . . . . . . . . . . . . . . . . . . . . . . . . . . . . . . . . . . 283
   Tutorial 17 Features . . . . . . . . . . . . . . . . . . . . . . . . . . . . . . . . . . . . . . . . . . . . . . . . . . . . . . . . . . . . . . . . . . . . . . . . . . . . . . . . . 284
   Overview of the Problem to Solve. . . . . . . . . . . . . . . . . . . . . . . . . . . . . . . . . . . . . . . . . . . . . . . . . . . . . . . . . . . . . . . . . . . . 285
   Defining a Simulation in ANSYS CFX-Pre . . . . . . . . . . . . . . . . . . . . . . . . . . . . . . . . . . . . . . . . . . . . . . . . . . . . . . . . . . . . . 285
   Obtaining a Solution using ANSYS CFX-Solver Manager . . . . . . . . . . . . . . . . . . . . . . . . . . . . . . . . . . . . . . . . . . . . . . 295
   Viewing the Results in ANSYS CFX-Post . . . . . . . . . . . . . . . . . . . . . . . . . . . . . . . . . . . . . . . . . . . . . . . . . . . . . . . . . . . . . . 295

Tutorial 18:
Combustion and Radiation in a Can Combustor

   Introduction . . . . . . . . . . . . . . . . . . . . . . . . . . . . . . . . . . . . . . . . . . . . . . . . . . . . . . . . . . . . . . . . . . . . . . . . . . . . . . . . . . . . . . . . 299


ANSYS CFX Tutorials                                                                                                                                                                   Page ix
Table of Contents: Tutorial 19: Cavitation Around a Hydrofoil
    Tutorial 18 Features . . . . . . . . . . . . . . . . . . . . . . . . . . . . . . . . . . . . . . . . . . . . . . . . . . . . . . . . . . . . . . . . . . . . . . . . . . . . . . . . . 300
    Overview of the Problem to Solve. . . . . . . . . . . . . . . . . . . . . . . . . . . . . . . . . . . . . . . . . . . . . . . . . . . . . . . . . . . . . . . . . . . . 301
    Using Eddy Dissipation and P1 Models . . . . . . . . . . . . . . . . . . . . . . . . . . . . . . . . . . . . . . . . . . . . . . . . . . . . . . . . . . . . . . . 301
    Defining a Simulation in ANSYS CFX-Pre . . . . . . . . . . . . . . . . . . . . . . . . . . . . . . . . . . . . . . . . . . . . . . . . . . . . . . . . . . . . . 302
    Obtaining a Solution using ANSYS CFX-Solver Manager . . . . . . . . . . . . . . . . . . . . . . . . . . . . . . . . . . . . . . . . . . . . . . 307
    Viewing the Results in ANSYS CFX-Post . . . . . . . . . . . . . . . . . . . . . . . . . . . . . . . . . . . . . . . . . . . . . . . . . . . . . . . . . . . . . . 308
    Laminar Flamelet and Discrete Transfer Models . . . . . . . . . . . . . . . . . . . . . . . . . . . . . . . . . . . . . . . . . . . . . . . . . . . . . . 311
    Further Postprocessing . . . . . . . . . . . . . . . . . . . . . . . . . . . . . . . . . . . . . . . . . . . . . . . . . . . . . . . . . . . . . . . . . . . . . . . . . . . . . . 316

Tutorial 19:
Cavitation Around a Hydrofoil

    Introduction . . . . . . . . . . . . . . . . . . . . . . . . . . . . . . . . . . . . . . . . . . . . . . . . . . . . . . . . . . . . . . . . . . . . . . . . . . . . . . . . . . . . . . . . 317
    Tutorial 19 Features . . . . . . . . . . . . . . . . . . . . . . . . . . . . . . . . . . . . . . . . . . . . . . . . . . . . . . . . . . . . . . . . . . . . . . . . . . . . . . . . . 318
    Overview of the Problem to Solve. . . . . . . . . . . . . . . . . . . . . . . . . . . . . . . . . . . . . . . . . . . . . . . . . . . . . . . . . . . . . . . . . . . . 319
    Creating an Initial Simulation . . . . . . . . . . . . . . . . . . . . . . . . . . . . . . . . . . . . . . . . . . . . . . . . . . . . . . . . . . . . . . . . . . . . . . . . 319
    Obtaining an Initial Solution using ANSYS CFX-Solver Manager . . . . . . . . . . . . . . . . . . . . . . . . . . . . . . . . . . . . . . . 323
    Viewing the Results of the Initial Simulation . . . . . . . . . . . . . . . . . . . . . . . . . . . . . . . . . . . . . . . . . . . . . . . . . . . . . . . . . . 324
    Preparing a Simulation with Cavitation. . . . . . . . . . . . . . . . . . . . . . . . . . . . . . . . . . . . . . . . . . . . . . . . . . . . . . . . . . . . . . . 326
    Obtaining a Cavitation Solution using ANSYS CFX-Solver Manager . . . . . . . . . . . . . . . . . . . . . . . . . . . . . . . . . . . . 328
    Viewing the Results of the Cavitation Simulation . . . . . . . . . . . . . . . . . . . . . . . . . . . . . . . . . . . . . . . . . . . . . . . . . . . . . 328

Tutorial 20:
Fluid Structure Interaction and Mesh Deformation

    Introduction . . . . . . . . . . . . . . . . . . . . . . . . . . . . . . . . . . . . . . . . . . . . . . . . . . . . . . . . . . . . . . . . . . . . . . . . . . . . . . . . . . . . . . . . 331
    Tutorial 20 Features . . . . . . . . . . . . . . . . . . . . . . . . . . . . . . . . . . . . . . . . . . . . . . . . . . . . . . . . . . . . . . . . . . . . . . . . . . . . . . . . . 332
    Overview of the Problem to Solve. . . . . . . . . . . . . . . . . . . . . . . . . . . . . . . . . . . . . . . . . . . . . . . . . . . . . . . . . . . . . . . . . . . . 333
    Using CEL Expressions to Govern Mesh Deformation . . . . . . . . . . . . . . . . . . . . . . . . . . . . . . . . . . . . . . . . . . . . . . . . . 334
    Using a Junction Box Routine to Govern Mesh Deformation . . . . . . . . . . . . . . . . . . . . . . . . . . . . . . . . . . . . . . . . . . 343

Tutorial 21:
Oscillating Plate with Two-Way Fluid-Structure Interaction

    Introduction . . . . . . . . . . . . . . . . . . . . . . . . . . . . . . . . . . . . . . . . . . . . . . . . . . . . . . . . . . . . . . . . . . . . . . . . . . . . . . . . . . . . . . . . 353
    Tutorial 21 Features . . . . . . . . . . . . . . . . . . . . . . . . . . . . . . . . . . . . . . . . . . . . . . . . . . . . . . . . . . . . . . . . . . . . . . . . . . . . . . . . . 354
    Overview of the Problem to Solve. . . . . . . . . . . . . . . . . . . . . . . . . . . . . . . . . . . . . . . . . . . . . . . . . . . . . . . . . . . . . . . . . . . . 354
    Setting up the Solid Physics in Simulation (ANSYS Workbench) . . . . . . . . . . . . . . . . . . . . . . . . . . . . . . . . . . . . . . . 355
    Setting up the Fluid Physics and ANSYS Multi-field Settings in ANSYS CFX-Pre. . . . . . . . . . . . . . . . . . . . . . . . . 358
    Obtaining a Solution using ANSYS CFX-Solver Manager . . . . . . . . . . . . . . . . . . . . . . . . . . . . . . . . . . . . . . . . . . . . . . 364
    Viewing Results in ANSYS CFX-Post . . . . . . . . . . . . . . . . . . . . . . . . . . . . . . . . . . . . . . . . . . . . . . . . . . . . . . . . . . . . . . . . . . 365

Tutorial 22:




Page x                                                                                                                                                         ANSYS CFX Tutorials
Table of Contents: Tutorial 23: Aerodynamic & Structural Performance of a Centrifugal Compressor
Optimizing Flow in a Static Mixer

   Introduction . . . . . . . . . . . . . . . . . . . . . . . . . . . . . . . . . . . . . . . . . . . . . . . . . . . . . . . . . . . . . . . . . . . . . . . . . . . . . . . . . . . . . . . . 369
   Tutorial 22 Features . . . . . . . . . . . . . . . . . . . . . . . . . . . . . . . . . . . . . . . . . . . . . . . . . . . . . . . . . . . . . . . . . . . . . . . . . . . . . . . . . 370
   Overview of the Problem to Solve. . . . . . . . . . . . . . . . . . . . . . . . . . . . . . . . . . . . . . . . . . . . . . . . . . . . . . . . . . . . . . . . . . . . 370
   Creating the Project . . . . . . . . . . . . . . . . . . . . . . . . . . . . . . . . . . . . . . . . . . . . . . . . . . . . . . . . . . . . . . . . . . . . . . . . . . . . . . . . . 371
   Creating the Geometry . . . . . . . . . . . . . . . . . . . . . . . . . . . . . . . . . . . . . . . . . . . . . . . . . . . . . . . . . . . . . . . . . . . . . . . . . . . . . . 372
   Creating the Mesh. . . . . . . . . . . . . . . . . . . . . . . . . . . . . . . . . . . . . . . . . . . . . . . . . . . . . . . . . . . . . . . . . . . . . . . . . . . . . . . . . . . 377
   Overview of ANSYS CFX-Pre . . . . . . . . . . . . . . . . . . . . . . . . . . . . . . . . . . . . . . . . . . . . . . . . . . . . . . . . . . . . . . . . . . . . . . . . . 380
   Setting the Output Parameter in ANSYS CFX-Post . . . . . . . . . . . . . . . . . . . . . . . . . . . . . . . . . . . . . . . . . . . . . . . . . . . . 386
   Running Design Studies in DesignXplorer . . . . . . . . . . . . . . . . . . . . . . . . . . . . . . . . . . . . . . . . . . . . . . . . . . . . . . . . . . . . 387

Tutorial 23:
Aerodynamic & Structural Performance of a Centrifugal Compressor

   Introduction . . . . . . . . . . . . . . . . . . . . . . . . . . . . . . . . . . . . . . . . . . . . . . . . . . . . . . . . . . . . . . . . . . . . . . . . . . . . . . . . . . . . . . . . 395
   Tutorial 23 Features . . . . . . . . . . . . . . . . . . . . . . . . . . . . . . . . . . . . . . . . . . . . . . . . . . . . . . . . . . . . . . . . . . . . . . . . . . . . . . . . . 396
   Overview of the Problem to Solve. . . . . . . . . . . . . . . . . . . . . . . . . . . . . . . . . . . . . . . . . . . . . . . . . . . . . . . . . . . . . . . . . . . . 397
   Reviewing the Centrifugal Compressor Design . . . . . . . . . . . . . . . . . . . . . . . . . . . . . . . . . . . . . . . . . . . . . . . . . . . . . . . 397
   Creating the Mesh in ANSYS TurboGrid . . . . . . . . . . . . . . . . . . . . . . . . . . . . . . . . . . . . . . . . . . . . . . . . . . . . . . . . . . . . . . 398
   Defining the Aerodynamic Simulation in ANSYS CFX-Pre . . . . . . . . . . . . . . . . . . . . . . . . . . . . . . . . . . . . . . . . . . . . . 401
   Obtaining a Solution using ANSYS CFX-Solver Manager . . . . . . . . . . . . . . . . . . . . . . . . . . . . . . . . . . . . . . . . . . . . . . 403
   Viewing the Results in ANSYS CFX-Post . . . . . . . . . . . . . . . . . . . . . . . . . . . . . . . . . . . . . . . . . . . . . . . . . . . . . . . . . . . . . . 404
   Importing Geometry into DesignModeler . . . . . . . . . . . . . . . . . . . . . . . . . . . . . . . . . . . . . . . . . . . . . . . . . . . . . . . . . . . . 405
   Simulating Structural Stresses Due to Pressure Loads . . . . . . . . . . . . . . . . . . . . . . . . . . . . . . . . . . . . . . . . . . . . . . . . . 406
   Simulating Structural Stresses Due to Rotation . . . . . . . . . . . . . . . . . . . . . . . . . . . . . . . . . . . . . . . . . . . . . . . . . . . . . . . 407




ANSYS CFX Tutorials                                                                                                                                                                   Page xi
Table of Contents: Tutorial 23: Aerodynamic & Structural Performance of a Centrifugal Compressor




Page xii                                                                                  ANSYS CFX Tutorials
Introduction to the
ANSYS CFX Tutorials

Overview
                               These tutorials are designed to introduce general techniques used in ANSYS CFX and
                               provide tips on advanced modeling.
                               Earlier tutorials introduce general principles used in ANSYS CFX, including setting up the
                               physical models, running ANSYS CFX-Solver and visualizing the results. The remaining
                               tutorials highlight specialized features of ANSYS CFX.
                               Files required to complete each tutorial is listed in the introduction to the tutorial, and
                               located in <CFXROOT>/examples, where <CFXROOT> is the installation directory.



Setting the Working Directory
                               One of the first things you must do when using ANSYS CFX is to set a working directory. The
                               working directory is the default location for loading and saving files for a particular session
                               or project.
                               The working directory is set according to how you run ANSYS CFX:
                               •     Workbench
                                     Set the working directory by saving a project file.
                               •     Standalone
                                     Set the working directory by entering it in CFX Launcher.




ANSYS CFX Tutorials                                                                                                     Page 1
ANSYS CFX Release 11.0. © 1996-2006 ANSYS Europe, Ltd. All rights reserved.
Contains proprietary and confidential information of ANSYS, Inc. and its subsidiaries and affiliates.
Introduction to the ANSYS CFX Tutorials: Changing the Display Colors

Changing the Display Colors
                    If viewing objects in ANSYS CFX becomes difficult due to contrast with the background, the
                    colors can be altered for improved viewing. The color options are set in different places,
                    depending on how you run ANSYS CFX, as follows:
                    •     In standalone mode (i.e., after using CFX Launcher to launch ANSYS CFX-Pre or ANSYS
                          CFX-Post):
                          a. Select Edit > Options.
                             The Options dialog box appears.
                          b. Adjust the color settings under CFX-Pre > Viewer (for ANSYS CFX-Pre) or CFX-Post
                             > Viewer (for ANSYS CFX-Post).
                          c. Click OK.
                    •     In ANSYS Workbench:
                          a. Select Tools > Options from the Project page.
                          b. Adjust the color settings under Common Settings > Graphics Style.
                          c. Click OK.




Page 2           ANSYS CFX Tutorials. ANSYS CFX Release 11.0. © 1996-2006 ANSYS Europe, Ltd. All rights reserved.
                 Contains proprietary and confidential information of ANSYS, Inc. and its subsidiaries and affiliates.
Tutorial 1:
Simulating Flow in a Static
Mixer Using CFX in Standalone
Mode

Introduction
                               This tutorial simulates a static mixer consisting of two inlet pipes delivering water into a
                               mixing vessel; the water exits through an outlet pipe. A general workflow is established for
                               analyzing the flow of fluid into and out of a mixer.
                               This tutorial includes:
                               •     Before You Begin (p. 4)
                               •     Tutorial 1 Features (p. 4)
                               •     Overview of the Problem to Solve (p. 5)
                               •     Defining a Simulation in ANSYS CFX-Pre (p. 6)
                               •     Obtaining a Solution Using ANSYS CFX-Solver Manager (p. 12)
                               •     Viewing the Results in ANSYS CFX-Post (p. 15)

                               If this is the first tutorial you are working with, it is important to review the following topics
                               before beginning:
                               •     Setting the Working Directory (p. 1)
                               •     Changing the Display Colors (p. 2)
                               To learn how to perform these tasks in Workbench, see Tutorial 1a: Simulating Flow in a
                               Static Mixer Using Workbench (p. 31 in "ANSYS CFX Tutorials").




ANSYS CFX Tutorials                                                                                                       Page 3
ANSYS CFX Release 11.0. © 1996-2006 ANSYS Europe, Ltd. All rights reserved.
Contains proprietary and confidential information of ANSYS, Inc. and its subsidiaries and affiliates.
Tutorial 1: Simulating Flow in a Static Mixer Using CFX in Standalone Mode: Before You Begin

Before You Begin
                    Create a working directory for your files. Once this is done, copy the sample files used in this
                    tutorial to your working directory from the installation folder for your software
                    (<CFXROOT>/examples/ (for example, C:Program FilesANSYS
                    Incv110CFXexamples)) to avoid overwriting source files provided with your
                    installation. If you plan to use a session file, please refer to Playing a Session File (p. 7).
                    Sample files used by this tutorial are:
                    •     StaticMixerMesh.gtm
                    •     StaticMixer.pre




Tutorial 1 Features
                    This tutorial addresses the following features of ANSYS CFX.


                     Component                             Feature                                              Details
                     ANSYS CFX-Pre                         User Mode                                            Quick Setup Wizard
                                                           Simulation Type                                      Steady State
                                                           Fluid Type                                           General Fluid
                                                           Domain Type                                          Single Domain
                                                           Turbulence Model                                     k-Epsilon
                                                           Heat Transfer                                        Thermal Energy
                                                           Boundary Conditions                                  Inlet (Subsonic)
                                                                                                                Outlet (Subsonic)
                                                                                                                Wall: No-Slip
                                                                                                                Wall: Adiabatic
                                                           Timestep                                             Physical Time Scale
                     ANSYS CFX-Post                        Plots                                                Animation
                                                                                                                Contour
                                                                                                                Outline Plot (Wireframe)
                                                                                                                Point
                                                                                                                Slice Plane
                                                                                                                Streamline

                    In this tutorial you will learn about:
                    •     Using Quick Setup mode in ANSYS CFX-Pre to set up a problem.
                    •     Modifying the outline plot in ANSYS CFX-Post.
                    •     Using streamlines in ANSYS CFX-Post to trace the flow field from a point.
                    •     Viewing temperature using colored planes and contours in ANSYS CFX-Post.
                    •     Creating an animation and saving it to an MPEG file.




Page 4           ANSYS CFX Tutorials. ANSYS CFX Release 11.0. © 1996-2006 ANSYS Europe, Ltd. All rights reserved.
                 Contains proprietary and confidential information of ANSYS, Inc. and its subsidiaries and affiliates.
Tutorial 1: Simulating Flow in a Static Mixer Using CFX in Standalone Mode: Overview of the Problem to Solve

Overview of the Problem to Solve
                               This tutorial simulates a static mixer consisting of two inlet pipes delivering water into a
                               mixing vessel; the water exits through an outlet pipe. A general workflow is established for
                               analyzing the flow of fluid into and out of a mixer.
                               Water enters through both pipes at the same rate but at different temperatures. The first
                               entry is at a rate of 2 m/s and a temperature of 315 K and the second entry is at a rate of 2
                               m/s at a temperature of 285 K. The radius of the mixer is 2 m.
                               Your goal in this tutorial is to understand how to use ANSYS CFX to determine the speed and
                               temperature of the water when it exits the static mixer.
                               Figure 1                 Static Mixer with 2 Inlet Pipes and 1 Outlet Pipe
                                                                                     2 m/s
                                                              r=2m                   285 K




                                2 m/s
                                315 K




ANSYS CFX Tutorials. ANSYS CFX Release 11.0. © 1996-2006 ANSYS Europe, Ltd. All rights reserved.                      Page 5
Contains proprietary and confidential information of ANSYS, Inc. and its subsidiaries and affiliates.
Tutorial 1: Simulating Flow in a Static Mixer Using CFX in Standalone Mode: Defining a Simulation in ANSYS CFX-Pre

Defining a Simulation in ANSYS CFX-Pre
                    Because you are starting with an existing mesh, you can immediately use ANSYS CFX-Pre to
                    define the simulation. This is how ANSYS CFX-Pre will look with the imported mesh:




                    In the image above, the left pane of ANSYS CFX-Pre displays the Outline . When you
                    double-click on items in the Outline, the Outline editor opens and can be used to create,
                    modify, and view objects.

                    Note: In this documentation, the details view can also be referenced by the name of the
                    object being edited, followed by the word “details view” (for example, if you double-click
                    the Wireframe object, the Wireframe details view appears).

Synopsis of Quick Setup Mode
                    Quick Setup mode provides a simple wizard–like interface for setting up simple cases. This
                    is useful for getting familiar with the basic elements of a CFD problem setup. This section
                    describes using Quick Setup mode to develop a simulation in ANSYS CFX-Pre.

Workflow Overview
                    This tutorial follows the general workflow for Quick Setup mode:
                    1. Creating a New Simulation (p. 7)
                    2. Setting the Physics Definition (p. 7)
                    3. Importing a Mesh (p. 7)
                    4. Defining Model Data (p. 9)
                    5. Defining Boundaries (p. 9)
Page 6           ANSYS CFX Tutorials. ANSYS CFX Release 11.0. © 1996-2006 ANSYS Europe, Ltd. All rights reserved.
                 Contains proprietary and confidential information of ANSYS, Inc. and its subsidiaries and affiliates.
Tutorial 1: Simulating Flow in a Static Mixer Using CFX in Standalone Mode: Defining a Simulation in ANSYS CFX-Pre
                               6. Setting Boundary Data (p. 9)
                               7. Setting Flow Specification (p. 9)
                               8. Setting Temperature Specification (p. 10)
                               9. Reviewing the Boundary Condition Definitions (p. 10)
                               10. Creating the Second Inlet Boundary Definition (p. 10)
                               11. Creating the Outlet Boundary Definition (p. 10)
                               12. Moving to General Mode (p. 11)
                               13. Writing the Solver (.def) File (p. 11)

Playing a                      If you want to skip past these instructions and have ANSYS CFX-Pre set up the simulation
Session File                   automatically, you can select Session > Play Tutorial from the menu in ANSYS CFX-Pre,
                               then run the appropriate session file. For details, see Playing the Session File and Starting
                               ANSYS CFX-Solver Manager (p. 12). After you have played the session file, proceed to
                               Obtaining a Solution Using ANSYS CFX-Solver Manager (p. 12).

Creating a New Simulation
                               Before importing and working with a mesh, a simulation needs to be started using Quick
                               Setup mode.

Procedure                      1. If required, launch ANSYS CFX-Pre.
                               2. Select File > New Simulation.
                                  The New Simulation File dialog box is displayed.
                               3. Select Quick Setup and click OK.
                               Note: If this is the first time you are running this software, a message box will appear
                               notifying you that automatic generation of the default domain is active. To avoid seeing this
                               message again uncheck Show This Message Again.
                               4. Select File > Save Simulation As.
                               5. Under File name, type: StaticMixer
                               6. Click Save.

Setting the Physics Definition
                               You need to specify the fluids used in a simulation. A variety of fluids are already defined as
                               library materials. For this tutorial you will use a prepared fluid, Water, which is defined to be
                               water at 25°C.

Procedure                      1. Ensure that Simulation Definition is displayed at the top of the details view.
                               2. Under Fluid select Water.

Importing a Mesh
                               At least one mesh must be imported before physics are applied.

Procedure                      1. In Simulation Definition, under Mesh File, click Browse               .
                                     The Import Mesh dialog box appears.
ANSYS CFX Tutorials. ANSYS CFX Release 11.0. © 1996-2006 ANSYS Europe, Ltd. All rights reserved.                         Page 7
Contains proprietary and confidential information of ANSYS, Inc. and its subsidiaries and affiliates.
Tutorial 1: Simulating Flow in a Static Mixer Using CFX in Standalone Mode: Defining a Simulation in ANSYS CFX-Pre
                    2. Under File type, select CFX Mesh (*gtm *cfx).
                    3. From your working directory, select StaticMixerMesh.gtm.
                    4. Click Open.
                       The mesh loads.
                    5. Click Next.

Using the Viewer
                    Now that the mesh is loaded, take a moment to explore how you can use the viewer toolbar
                    to zoom in or out and to rotate the object in the viewer.

Using the Zoom      There are several icons available for controlling the level of zoom in the viewer.
Tools
                    1. Click Zoom Box
                    2. Click and drag a rectangular box over the geometry.
                    3. Release the mouse button to zoom in on the selection.
                       The geometry zoom changes to display the selection at a greater resolution.

                    4. Click Fit View                 to re-center and re-scale the geometry.

Rotating the        If you need to rotate an object or to view it from a new angle, you can use the viewer toolbar.
geometry
                    1. Click Rotate                  on the viewer toolbar.
                    2. Click and drag within the geometry repeatedly to test the rotation of the geometry.
                       The geometry rotates based on the direction of movement.
                       Notice how the mouse cursor changes depending on where you are in the viewer:




                    3. Right-click a blank area in the viewer and select Predefined Camera > View
                       Towards-X).
                    4. Right-click a blank area in the viewer and select Predefined Camera > Isometric View
                       (Z Up).
                          A clearer view of the mesh is displayed.




Page 8           ANSYS CFX Tutorials. ANSYS CFX Release 11.0. © 1996-2006 ANSYS Europe, Ltd. All rights reserved.
                 Contains proprietary and confidential information of ANSYS, Inc. and its subsidiaries and affiliates.
Tutorial 1: Simulating Flow in a Static Mixer Using CFX in Standalone Mode: Defining a Simulation in ANSYS CFX-Pre

Defining Model Data
                               You need to define the type of flow and the physical models to use in the fluid domain.
                               You will specify the flow as steady state with turbulence and heat transfer. Turbulence is
                               modeled using the k - ε turbulence model and heat transfer using the thermal energy
                               model. The k - ε turbulence model is a commonly used model and is suitable for a wide
                               range of applications. The thermal energy model neglects high speed energy effects and is
                               therefore suitable for low speed flow applications.

Procedure                      1. Ensure that Physics Definition is displayed.
                               2. Under Model Data, set Reference Pressure to 1 [atm].
                                  All other pressure settings are relative to this reference pressure.
                               3. Set Heat Transfer to Thermal Energy.
                               4. Set Turbulence to k-Epsilon.
                               5. Click Next.

Defining Boundaries
                               The CFD model requires the definition of conditions on the boundaries of the domain.

Procedure                      1. Ensure that Boundary Definition is displayed.
                               2. Delete Inlet and Outlet from the list by right-clicking each and selecting Delete.
                               3. Right-click in the blank area where Inlet and Outlet were listed, then select New.
                               4. Set Name to in1.
                               5. Click OK.
                                     The boundary is created and, when selected, properties related to the boundary are
                                     displayed.

Setting Boundary Data
                               Once boundaries are created, you need to create associated data. Based on Figure 1, you will
                               define the first inlet boundary condition’s velocity and temperature.

Procedure                      1. Ensure that Boundary Data is displayed.
                               2. Set Boundary Type to Inlet.
                               3. Set Location to in1.

Setting Flow Specification
                               Once boundary data is defined, the boundary needs to have the flow specification assigned.

Procedure                      1. Ensure that Flow Specification is displayed.
                               2. Set Option to Normal Speed.
                               3. Set Normal Speed to 2 [m s^-1].




ANSYS CFX Tutorials. ANSYS CFX Release 11.0. © 1996-2006 ANSYS Europe, Ltd. All rights reserved.                     Page 9
Contains proprietary and confidential information of ANSYS, Inc. and its subsidiaries and affiliates.
Tutorial 1: Simulating Flow in a Static Mixer Using CFX in Standalone Mode: Defining a Simulation in ANSYS CFX-Pre

Setting Temperature Specification
                    Once flow specification is defined, the boundary needs to have temperature assigned.

Procedure           1. Ensure that Temperature Specification is displayed.
                    2. Set Static Temperature to 315 [K].

Reviewing the Boundary Condition Definitions
                    Defining the boundary condition for in1 required several steps. Here the settings are
                    reviewed for accuracy.
                    Based on Figure 1, the first inlet boundary condition consists of a velocity of 2 m/s and a
                    temperature of 315 K at one of the side inlets.

Procedure           1. Review the boundary in1 settings for accuracy. They should be as follows:


                            Tab                                               Setting                                    Value
                            Boundary Data                                     Boundary Type                              Inlet
                                                                              Location                                   in1
                            Flow Specification                                Option                                     Normal Speed
                                                                              Normal Speed                               2 [m s^-1]
                            Temperature Specification                         Static Temperature                         315 [K]


Creating the Second Inlet Boundary Definition
                    Based on Figure 1, you know the second inlet boundary condition consists of a velocity of 2
                    m/s and a temperature of 285 K at one of the side inlets. You will define that now.

Procedure           1. Under Boundary Definition, right-click in the selector area and select New.
                    2. Create a new boundary named in2 with these settings:


                            Tab                                               Setting                                    Value
                            Boundary Data                                     Boundary Type                              Inlet
                                                                              Location                                   in2
                            Flow Specification                                Option                                     Normal Speed
                                                                              Normal Speed                               2 [m s^-1]
                            Temperature Specification                         Static Temperature                         285 [K]


Creating the Outlet Boundary Definition
                    Now that the second inlet boundary has been created, the same concepts can be applied to
                    building the outlet boundary.
                    1. Create a new boundary named out with these settings:




Page 10          ANSYS CFX Tutorials. ANSYS CFX Release 11.0. © 1996-2006 ANSYS Europe, Ltd. All rights reserved.
                 Contains proprietary and confidential information of ANSYS, Inc. and its subsidiaries and affiliates.
Tutorial 1: Simulating Flow in a Static Mixer Using CFX in Standalone Mode: Defining a Simulation in ANSYS CFX-Pre


                                      Tab                                               Setting             Value
                                      Boundary Data                                     Boundary Type       Outlet
                                                                                        Location            out
                                      Flow Specification                                Option              Average Static Pressure
                                                                                        Relative Pressure   0 [Pa]

                               2. Click Next.

Moving to General Mode
                               There are no further boundary conditions that need to be set. All 2D exterior regions that
                               have not been assigned to a boundary condition are automatically assigned to the default
                               boundary condition.

Procedure                      1. Set Operation to Enter General Mode and click Finish.
                                     The three boundary conditions are displayed in the viewer as sets of arrows at the
                                     boundary surfaces. Inlet boundary arrows are directed into the domain. Outlet
                                     boundary arrows are directed out of the domain.

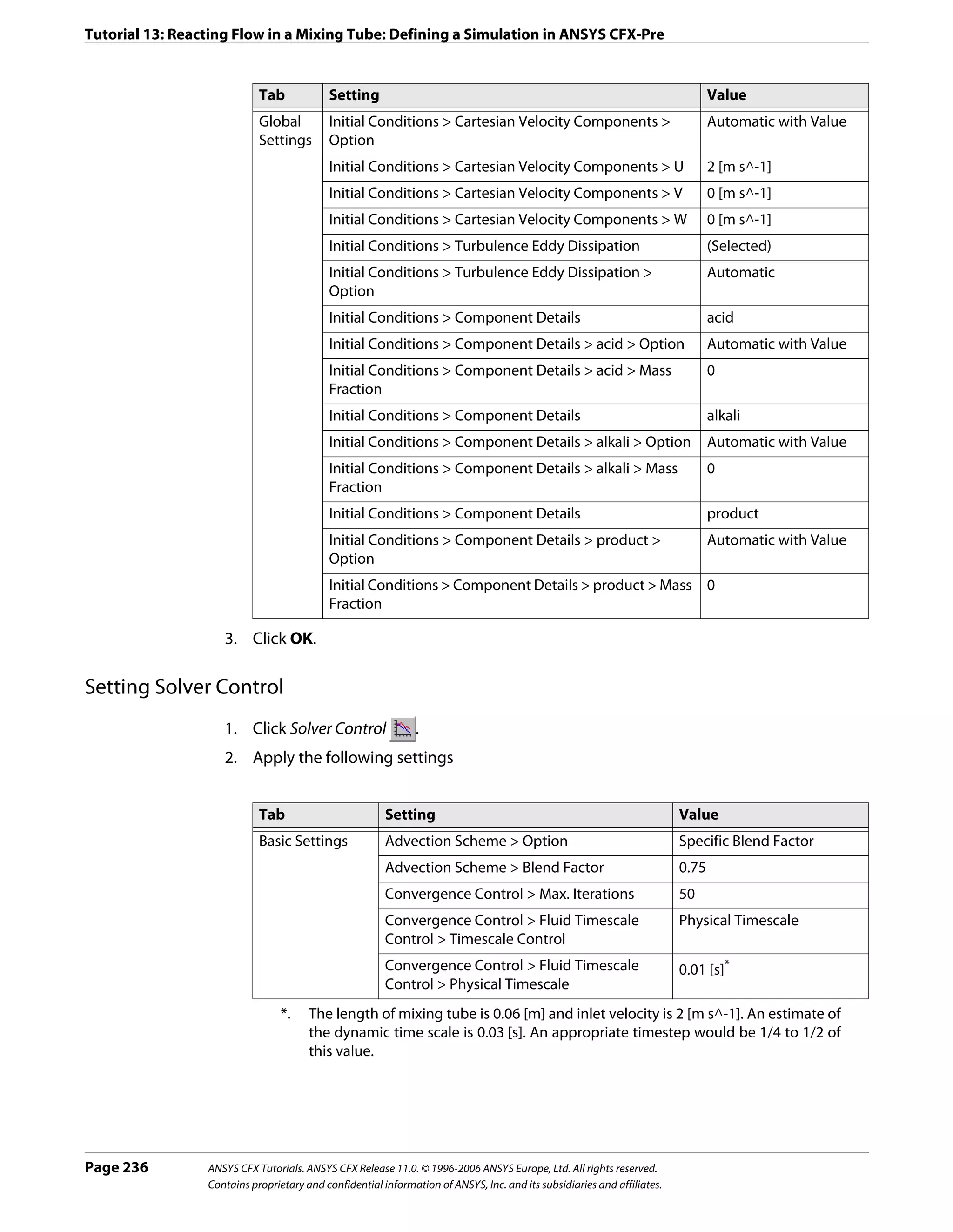
Setting Solver Control
                               Solver Control parameters control aspects of the numerical solution generation process.
                               While an upwind advection scheme is less accurate than other advection schemes, it is also
                               more robust. This advection scheme is suitable for obtaining an initial set of results, but in
                               general should not be used to obtain final accurate results.
                               The time scale can be calculated automatically by the solver or set manually. The Automatic
                               option tends to be conservative, leading to reliable, but often slow, convergence. It is often
                               possible to accelerate convergence by applying a time scale factor or by choosing a manual
                               value that is more aggressive than the Automatic option. In this tutorial, you will select a
                               physical time scale, leading to convergence that is twice as fast as the Automatic option.

Procedure                      1. Click Solver Control                   .
                               2. On the Basic Settings tab, set Advection Scheme > Option to Upwind.
                               3. Set Convergence Control > Fluid Timescale Control > Timescale Control to
                                  Physical Timescale and set the physical timescale value to 2 [s].
                               4. Click OK.

Writing the Solver (.def) File
                               The simulation file, StaticMixer.cfx, contains the simulation definition in a format that
                               can be loaded by ANSYS CFX-Pre, allowing you to complete (if applicable), restore, and
                               modify the simulation definition. The simulation file differs from the definition file in that it
                               can be saved at any time while defining the simulation.

Procedure                      1. Click Write Solver File                    .

ANSYS CFX Tutorials. ANSYS CFX Release 11.0. © 1996-2006 ANSYS Europe, Ltd. All rights reserved.                                Page 11
Contains proprietary and confidential information of ANSYS, Inc. and its subsidiaries and affiliates.
Tutorial 1: Simulating Flow in a Static Mixer Using CFX in Standalone Mode: Obtaining a Solution Using ANSYS
                         The Write Solver File dialog box is displayed.
                   2. Set File name to StaticMixer.def.
                   3. Ensure that Start Solver Manager is selected from the drop down menu located in
                      the top-right corner of the dialog box.
                   4. Select Quit ANSYS CFX-Pre.
                      This forces standalone ANSYS CFX-Pre to close after the definition file has been written.
                   5. Click Save.
                   6. If you are notified the file already exists, click Overwrite.
                      This file is provided in the tutorial directory and may exist in your tutorial folder if you
                      have copied it there.
                   7. If prompted, click Yes or Save & Quit to save StaticMixer.cfx.
                      The definition file (StaticMixer.def) and the simulation file (StaticMixer.cfx) are
                      created. ANSYS CFX-Solver Manager automatically starts and the definition file is set in
                      the Define Run dialog box.
                   8. Proceed to Obtaining a Solution Using ANSYS CFX-Solver Manager (p. 12).

Playing the Session File and Starting ANSYS CFX-Solver Manager
                   Note: This task is required only if you are starting here with the session file that was provided
                   in the examples directory. If you have performed all the tasks in the previous steps, proceed
                   directly to Obtaining a Solution Using ANSYS CFX-Solver Manager (p. 12).
                   Events in ANSYS CFX-Pre can be recorded to a session file and then played back at a later
                   date to drive ANSYS CFX-Pre. Session files have been created for each tutorial so that the
                   problems can be set up rapidly in ANSYS CFX-Pre, if desired.

Procedure          1. If required, launch ANSYS CFX-Pre.
                   2. Select Session > Play Tutorial.
                   3. Select StaticMixer.pre.
                   4. Click Open.
                      A definition file is written.
                   5. Select File > Quit.
                   6. Launch the ANSYS CFX-Solver Manager from CFX Launcher.
                   7. After the ANSYS CFX-Solver starts, select File > Define Run.

                   8. Under Definition File, click Browse                               .
                   9. Select StaticMixer.def, located in the working directory.
                   10. Proceed to Obtaining a Solution Using ANSYS CFX-Solver Manager (p. 12).



Obtaining a Solution Using ANSYS CFX-Solver Manager
                   ANSYS CFX-Solver Manager has a visual interface that displays a variety of results and should
                   be used when plotted data needs to be viewed during problem solving.



Page 12         ANSYS CFX Tutorials. ANSYS CFX Release 11.0. © 1996-2006 ANSYS Europe, Ltd. All rights reserved.
                Contains proprietary and confidential information of ANSYS, Inc. and its subsidiaries and affiliates.
Tutorial 1: Simulating Flow in a Static Mixer Using CFX in Standalone Mode: Obtaining a Solution Using ANSYS
                               Two windows are displayed when ANSYS CFX-Solver Manager runs. There is an adjustable
                               split between the windows, which is oriented either horizontally or vertically depending on
                               the aspect ratio of the entire ANSYS CFX-Solver Manager window (also adjustable).




                               One window shows the convergence history plots and the other displays text output from
                               ANSYS CFX-Solver.
                               The text lists physical properties, boundary conditions and various other parameters used
                               or calculated in creating the model. All the text is written to the output file automatically (in
                               this case, StaticMixer_001.out).

Start the Run
                               The Define Run dialog box allows configuration of a run for processing by ANSYS
                               CFX-Solver.
                               When ANSYS CFX-Solver Manager is launched automatically from ANSYS CFX-Pre, all of the
                               information required to perform a new serial run (on a single processor) is entered
                               automatically. You do not need to alter the information in the Define Run dialog box. This
                               is a very quick way to launch into ANSYS CFX-Solver without having to define settings and
                               values.

Procedure                      1. Ensure that the Define Run dialog box is displayed.
                               2. Click Start Run.




ANSYS CFX Tutorials. ANSYS CFX Release 11.0. © 1996-2006 ANSYS Europe, Ltd. All rights reserved.                        Page 13
Contains proprietary and confidential information of ANSYS, Inc. and its subsidiaries and affiliates.
Tutorial 1: Simulating Flow in a Static Mixer Using CFX in Standalone Mode: Obtaining a Solution Using ANSYS
                         ANSYS CFX-Solver launches and a split screen appears and displays the results of the run
                         graphically and as text. The panes continue to build as ANSYS CFX-Solver Manager
                         operates.
                   Note: Once the second iteration appears, data begins to plot. Plotting may take a long time
                   depending on the amount of data to process. Let the process run.

Move from ANSYS CFX-Solver to ANSYS CFX-Post
                   Once ANSYS CFX-Solver has finished, you can use ANSYS CFX-Post to review the finished
                   results.

Procedure          1. When ANSYS CFX-Solver is finished, click Yes to post-process the results.




                         After a short pause, ANSYS CFX-Post starts and ANSYS CFX-Solver Manager closes.




Page 14         ANSYS CFX Tutorials. ANSYS CFX Release 11.0. © 1996-2006 ANSYS Europe, Ltd. All rights reserved.
                Contains proprietary and confidential information of ANSYS, Inc. and its subsidiaries and affiliates.
Tutorial 1: Simulating Flow in a Static Mixer Using CFX in Standalone Mode: Viewing the Results in ANSYS CFX-Post

Viewing the Results in ANSYS CFX-Post
                               When ANSYS CFX-Post starts, the viewer and Outline workspace are displayed.




                               The viewer displays an outline of the geometry and other graphic objects. You can use the
                               mouse or the toolbar icons to manipulate the view, exactly as in ANSYS CFX-Pre.

Workflow Overview
                               This tutorial describes the following workflow for viewing results in ANSYS CFX-Post:
                               1. Setting the Edge Angle for a Wireframe Object (p. 16)
                               2. Creating a Point for the Origin of the Streamline (p. 17)
                               3. Creating a Streamline Originating from a Point (p. 18)
                               4. Rearranging the Point (p. 19)
                               5. Configuring a Default Legend (p. 19)
                               6. Creating a Slice Plane (p. 20)
                               7. Defining Slice Plane Geometry (p. 21)
                               8. Configuring Slice Plane Views (p. 21)
                               9. Rendering Slice Planes (p. 22)
                               10. Coloring the Slice Plane (p. 23)
                               11. Moving the Slice Plane (p. 23)
                               12. Adding Contours (p. 24)
                               13. Working with Animations (p. 25)
                               14. Showing the Animation Dialog Box (p. 25)

ANSYS CFX Tutorials. ANSYS CFX Release 11.0. © 1996-2006 ANSYS Europe, Ltd. All rights reserved.                  Page 15
Contains proprietary and confidential information of ANSYS, Inc. and its subsidiaries and affiliates.
Tutorial 1: Simulating Flow in a Static Mixer Using CFX in Standalone Mode: Viewing the Results in ANSYS CFX-Post
                    15. Creating the First Keyframe (p. 26)
                    16. Creating the Second Keyframe (p. 26)
                    17. Viewing the Animation (p. 27)
                    18. Modifying the Animation (p. 28)
                    19. Saving to MPEG (p. 29)

Setting the Edge Angle for a Wireframe Object
                    The outline of the geometry is called the wireframe or outline plot.
                    By default, ANSYS CFX-Post displays only some of the surface mesh. This sometimes means
                    that when you first load your results file, the geometry outline is not displayed clearly. You
                    can control the amount of the surface mesh shown by editing the Wireframe object listed
                    in the Outline.
                    The check boxes next to each object name in the Outline control the visibility of each
                    object. Currently only the Wireframe and Default Legend objects have visibility selected.
                    The edge angle determines how much of the surface mesh is visible. If the angle between
                    two adjacent faces is greater than the edge angle, then that edge is drawn. If the edge angle
                    is set to 0°, the entire surface mesh is drawn. If the edge angle is large, then only the most
                    significant corner edges of the geometry are drawn.
                    For this geometry, a setting of approximately 15° lets you view the model location without
                    displaying an excessive amount of the surface mesh.
                    In this module you can also modify the zoom settings and view of the wireframe.

Procedure           1. In the Outline, under User Locations and Plots, double-click Wireframe.
                          Tip: While it is not necessary to change the view to set the angle, do so to explore the
                          practical uses of this feature.
                    2. Right-click on a blank area anywhere in the viewer, select Predefined Camera from the
                       shortcut menu and select Isometric View (Z up).
                    3. In the Wireframe details view, under Definition, click in the Edge Angle box.
                       An embedded slider is displayed.
                    4. Type a value of 10 [degree].
                    5. Click Apply to update the object with the new setting.




Page 16          ANSYS CFX Tutorials. ANSYS CFX Release 11.0. © 1996-2006 ANSYS Europe, Ltd. All rights reserved.
                 Contains proprietary and confidential information of ANSYS, Inc. and its subsidiaries and affiliates.
Tutorial 1: Simulating Flow in a Static Mixer Using CFX in Standalone Mode: Viewing the Results in ANSYS CFX-Post
                                     Notice that more surface mesh is displayed.




                               6. Drag the embedded slider to set the Edge Angle value to approximately 45 [degree].
                               7. Click Apply to update the object with the new setting.
                                  Less of the outline of the geometry is displayed.
                               8. Type a value of 15 [degree].
                               9. Click Apply to update the object with the new setting.
                               10. Right-click on a blank area anywhere in the viewer, select Predefined Camera from the
                                   shortcut menu and select View Towards -X.

Creating a Point for the Origin of the Streamline
                               A streamline is the path that a particle of zero mass would follow through the domain.

Procedure                      1. Select Insert > Location > Point from the main menu.
                                  You can also use the toolbars to create a variety of objects. Later modules and tutorials
                                  explore this further.
                               2. Click OK.
                                  This accepts the default name.
                               3. Under Definition, ensure that Method is set to XYZ.
                               4. Under Point, enter the following coordinates: -1, -1, 1.
                                  This is a point near the first inlet.
                               5. Click Apply.
                                     The point appears as a symbol in the viewer as a crosshair symbol.



ANSYS CFX Tutorials. ANSYS CFX Release 11.0. © 1996-2006 ANSYS Europe, Ltd. All rights reserved.                   Page 17
Contains proprietary and confidential information of ANSYS, Inc. and its subsidiaries and affiliates.
Tutorial 1: Simulating Flow in a Static Mixer Using CFX in Standalone Mode: Viewing the Results in ANSYS CFX-Post

Creating a Streamline Originating from a Point
                    Where applicable, streamlines can trace the flow direction forwards (downstream) and/or
                    backwards (upstream).

Procedure           1. From the main menu, select Insert > Streamline.
                       You can also use the toolbars to create a variety of objects. Later modules and tutorials
                       will explore this further.
                    2. Click OK.
                       This accepts the default name.
                    3. Under Definition, in Start From, ensure that Point 1 is set.
                          Tip: To create streamlines originating from more than one location, click the ellipsis icon
                          to the right of the Start From box. This displays the Location Selector dialog box,
                          where you can use the <Ctrl> and <Shift> keys to pick multiple locators.
                    4. Click the Color tab.
                    5. Set Mode to Variable.
                    6. Set Variable to Total Temperature.
                    7. Set Range to Local.
                    8. Click Apply.
                       The streamline shows the path of a zero mass particle from Point 1. The temperature
                       is initially high near the hot inlet, but as the fluid mixes the temperature drops.




Page 18          ANSYS CFX Tutorials. ANSYS CFX Release 11.0. © 1996-2006 ANSYS Europe, Ltd. All rights reserved.
                 Contains proprietary and confidential information of ANSYS, Inc. and its subsidiaries and affiliates.
Tutorial 1: Simulating Flow in a Static Mixer Using CFX in Standalone Mode: Viewing the Results in ANSYS CFX-Post

Rearranging the Point
                               Once created, a point can be rearranged manually or by setting specific coordinates.
                                     Tip: In this module, you may choose to display various views and zooms from the
                                     Predefined Camera option in the shortcut menu (such as Isometric View (Z up) or
                                     View Towards -X) and by using Zoom Box                             if you prefer to change the display.

Procedure                      1. In Outline, under User Locations and Plots double-click Point 1.
                                  Properties for the selected user location are displayed.
                               2. Under Point, set these coordinates: -1, -2.9, 1.
                               3. Click Apply.
                                  The point is moved and the streamline redrawn.
                               4. In the selection tools, click Single Select.




                                     While in this mode, the normal behavior of the left mouse button is disabled.
                               5. In the viewer, drag Point 1 (appears as a yellow addition sign) to a new location within
                                  the mixer.
                                  The point position is updated in the details view and the streamline is redrawn at the
                                  new location. The point moves normal in relation to the viewing direction.

                               6. Click Rotate                .
                                     Tip: You can also click in the viewer area, and press the space bar to toggle between
                                     Select and Viewing Mode. A way to pick objects from Viewing Mode is to hold down
                                     <Ctrl> + <Shift> while clicking on an object with the left mouse button.
                               7. Under Point, reset these coordinates: -1, -1, 1.
                               8. Click Apply.
                                  The point appears at its original location.
                               9. Right-click a blank area in the viewer and select Predefined Camera > View Towards
                                  -X.

Configuring a Default Legend
                               You can modify the appearance of the default legend.
                               The default legend appears whenever a plot is created that is colored by a variable. The
                               streamline color is based on temperature; therefore, the legend shows the temperature
                               range. The color pattern on the legend’s color bar is banded in accordance with the bands
                               in the plot1.


                                     1. An exception occurs when one or more bands in a contour plot represent values beyond the
                                        legend’s range. In this case, such bands are colored using a color that is extrapolated slightly
                                        past the range of colors shown in the legend. This can happen only when a user-specified
                                        range is used for the legend.

ANSYS CFX Tutorials. ANSYS CFX Release 11.0. © 1996-2006 ANSYS Europe, Ltd. All rights reserved.                                        Page 19
Contains proprietary and confidential information of ANSYS, Inc. and its subsidiaries and affiliates.
Tutorial 1: Simulating Flow in a Static Mixer Using CFX in Standalone Mode: Viewing the Results in ANSYS CFX-Post
                    The default legend displays values for the last eligible plot that was opened in the details
                    view. To maintain a legend definition during an ANSYS CFX-Post session, you can create a
                    new legend by clicking Legend                           .
                    Because there are many settings that can be customized for the legend, this module allows
                    you the freedom to experiment with them. In the last steps you will set up a legend, based
                    on the default legend, with a minor modification to the position.
                          Tip: When editing values, you can restore the values that were present when you began
                          editing by clicking Reset. To restore the factory-default values, click Default.

Procedure           1. Double click Default Legend View 1.
                       The Definition tab of the default legend is displayed.
                    2. Apply the following settings


                            Tab                                  Setting                                           Value
                            Definition                           Title Mode                                        User Specified
                                                                 Title                                             Streamline Temp.
                                                                 Horizontal                                        (Selected)
                                                                 Location > Y Justification                        Bottom

                    3. Click Apply.
                       The appearance and position of the legend changes based on the settings specified.
                    4. Modify various settings in Definition and click Apply after each change.
                    5. Select Appearance.
                    6. Modify a variety of settings in the Appearance and click Apply after each change.
                    7. Click Defaults.
                    8. Click Apply.
                    9. Under Outline, in User Locations and Plots, clear the check boxes for Point 1 and
                       Streamline 1.
                          Since both are no longer visible, the associated legend no longer appears.

Creating a Slice Plane
                    Defining a slice plane allows you to obtain a cross–section of the geometry.
                    In ANSYS CFX-Post you often view results by coloring a graphic object. The graphic object
                    could be an isosurface, a vector plot, or in this case, a plane. The object can be a fixed color
                    or it can vary based on the value of a variable.
                    You already have some objects defined by default (listed in the Outline). You can view
                    results on the boundaries of the static mixer by coloring each boundary object by a variable.
                    To view results within the geometry (that is, on non-default locators), you will create new
                    objects.
                    You can use the following methods to define a plane:
                    •     Three Points: creates a plane from three specified points.



Page 20          ANSYS CFX Tutorials. ANSYS CFX Release 11.0. © 1996-2006 ANSYS Europe, Ltd. All rights reserved.
                 Contains proprietary and confidential information of ANSYS, Inc. and its subsidiaries and affiliates.
Tutorial 1: Simulating Flow in a Static Mixer Using CFX in Standalone Mode: Viewing the Results in ANSYS CFX-Post
                               •     Point and Normal: defines a plane from one point on the plane and a normal vector
                                     to the plane.
                               •     YZ Plane, ZX Plane, and XY Plane: similar to Point and Normal, except that the
                                     normal is defined to be normal to the indicated plane.

Procedure                      1. From the main menu, select Insert > Location > Plane or click Location > Plane.
                               2. In the New Plane window, type: Slice
                               3. Click OK.
                                  The Geometry, Color, Render and View tabs let you switch between settings.
                               4. Click the Geometry tab.

Defining Slice Plane Geometry
                               You need to choose the vector normal to the plane. You want the plane to lie in the x-y
                               plane, hence its normal vector points along the z-axis. You can specify any vector that points
                               in the z-direction, but you will choose the most obvious (0,0,1).

Procedure                      1. If required, under Geometry, expand Definition.
                               2. Under Method select Point and Normal.
                               3. Under Point enter 0,0,1.
                               4. Under Normal enter 0, 0,1.
                               5. Click Apply.
                                     Slice appears under User Locations and Plots. Rotate the view to see the plane.


Configuring Slice Plane Views
                               Depending on the view of the geometry, various objects may not appear because they fall
                               in a 2D space that cannot be seen.

Procedure                      1. Right-click a blank area in the viewer and select Predefined Camera > Isometric View
                                  (Z up).




ANSYS CFX Tutorials. ANSYS CFX Release 11.0. © 1996-2006 ANSYS Europe, Ltd. All rights reserved.                     Page 21
Contains proprietary and confidential information of ANSYS, Inc. and its subsidiaries and affiliates.
Tutorial 1: Simulating Flow in a Static Mixer Using CFX in Standalone Mode: Viewing the Results in ANSYS CFX-Post
                          The slice is now visible in the viewer.




                    2. Click Zoom Box                    .
                    3. Click and drag a rectangular selection over the geometry.
                    4. Release the mouse button to zoom in on the selection.

                    5. Click Rotate                 .
                    6. Click and drag the mouse pointer down slightly to rotate the geometry towards you.
                    7. Select Isometric View (Z up) as described earlier.

Rendering Slice Planes
                    Render settings determine how the plane is drawn.

Procedure           1. Select the Render tab.
                    2. Clear Draw Faces.
                    3. Select Draw Lines.
                    4. Under Draw Lines change Color Mode to User Specified.
                    5. Click the current color in Line Color to change to a different color.
                       For a greater selection of colors, click the ellipsis to use the Select color dialog box.
                    6. Click Apply.

                    7. Click Zoom Box                    .
                    8. Zoom in on the geometry to view it in greater detail.



Page 22          ANSYS CFX Tutorials. ANSYS CFX Release 11.0. © 1996-2006 ANSYS Europe, Ltd. All rights reserved.
                 Contains proprietary and confidential information of ANSYS, Inc. and its subsidiaries and affiliates.
Tutorial 1: Simulating Flow in a Static Mixer Using CFX in Standalone Mode: Viewing the Results in ANSYS CFX-Post
                                     The line segments show where the slice plane intersects with mesh element faces. The
                                     end points of each line segment are located where the plane intersects mesh element
                                     edges.
                               9. Right-click a blank area in the viewer and select Predefined Camera > View Towards
                                  -Z.
                                  The image shown below can be used for comparison with tutorial 2 (in the section
                                  Creating a Slice Plane (p. 68)), where a refined mesh is used.




Coloring the Slice Plane
                               The Color panel is used to determine how the object faces are colored.

Procedure                      1. Apply the following settings to Slice


                                      Tab                                   Setting                     Value
                                      Color                                 Mode                        Variable*
                                                                            Variable                    Temperature
                                      Render                                Draw Faces                  (Selected)
                                                                            Draw Lines                  (Cleared)
                                           *.    You can specify the variable (in this case, temperature) used to color the graphic
                                                 element. The Constant mode allows you to color the plane with a fixed color.

                               2. Click Apply.
                                     Hot water (red) enters from one inlet and cold water (blue) from the other.

Moving the Slice Plane
                               The plane can be moved to different locations.



ANSYS CFX Tutorials. ANSYS CFX Release 11.0. © 1996-2006 ANSYS Europe, Ltd. All rights reserved.                              Page 23
Contains proprietary and confidential information of ANSYS, Inc. and its subsidiaries and affiliates.
Tutorial 1: Simulating Flow in a Static Mixer Using CFX in Standalone Mode: Viewing the Results in ANSYS CFX-Post
Procedure           1. Right-click a blank area in the viewer and select Predefined Camera > Isometric View
                       (Z up) from the shortcut menu.
                    2. Click the Geometry tab.
                       Review the settings in Definition under Point and under Normal.
                    3. Click Single Select                   .
                    4. Click and drag the plane to a new location that intersects the domain.
                       As you drag the mouse, the viewer updates automatically. Note that Point updates with
                       new settings.
                    5. Set Point settings to 0,0,1.
                    6. Click Apply.

                    7. Click Rotate                 .
                    8. Turn off visibility for Slice by clearing the check box next to Slice in the Outline.

Adding Contours
                    Contours connect all points of equal value for a scalar variable (for example, Temperature)
                    and help to visualize variable values and gradients. Colored bands fill the spaces between
                    contour lines. Each band is colored by the average color of its two bounding contour lines
                    (even if the latter are not displayed).

Procedure           1. Select Insert > Contour from the main menu or click Contour                                              .
                          The New Contour dialog box is displayed.
                    2. Set Name to Slice Contour.
                    3. Click OK.
                    4. Apply the following settings


                            Tab                                  Setting                                           Value
                            Geometry                             Locations                                         Slice
                                                                 Variable                                          Temperature
                            Render                               Draw Faces                                        (Selected)

                    5. Click Apply.
                    Important: The colors of 3D graphics object faces are slightly altered when lighting is on. To
                    view colors with highest accuracy, clear Lighting under Draw Faces on the Render tab and
                    click Apply.




Page 24          ANSYS CFX Tutorials. ANSYS CFX Release 11.0. © 1996-2006 ANSYS Europe, Ltd. All rights reserved.
                 Contains proprietary and confidential information of ANSYS, Inc. and its subsidiaries and affiliates.
Tutorial 1: Simulating Flow in a Static Mixer Using CFX in Standalone Mode: Viewing the Results in ANSYS CFX-Post
                                     The graphic element faces are visible, producing a contour plot as shown.




                               Note: Make sure that the checkbox next to Slice in the Outline is cleared.

Working with Animations
                               Animations build transitions between views for development of video files.

Workflow                       This tutorial follows the general workflow for creating a keyframe animation:
Overview
                               1. Showing the Animation Dialog Box (p. 25)
                               2. Creating the First Keyframe (p. 26)
                               3. Creating the Second Keyframe (p. 26)
                               4. Viewing the Animation (p. 27)
                               5. Modifying the Animation (p. 28)
                               6. Saving to MPEG (p. 29)

Showing the Animation Dialog Box
                               The Animation dialog box is used to define keyframes and to export to a video file.

Procedure                      1. Select Tools > Animation or click Animation                           .
                                     The Animation dialog box can be repositioned as required.




ANSYS CFX Tutorials. ANSYS CFX Release 11.0. © 1996-2006 ANSYS Europe, Ltd. All rights reserved.                 Page 25
Contains proprietary and confidential information of ANSYS, Inc. and its subsidiaries and affiliates.
Tutorial 1: Simulating Flow in a Static Mixer Using CFX in Standalone Mode: Viewing the Results in ANSYS CFX-Post

Creating the First Keyframe
                    Keyframes are required in order to produce an animation. You need to define the first viewer
                    state, a second (and final) viewer state, and set the number of interpolated intermediate
                    frames.

Procedure           1. Right-click a blank area in the viewer and select Predefined Camera > Isometric View
                       (Z up).
                    2. In the Outline, under User Locations and Plots, clear the visibility of Slice
                       Contour and select the visibility of Slice.

                    3. In the Animation dialog box, click New                                  .
                          A new keyframe named KeyframeNo1 is created. This represents the current image
                          displayed in the viewer.




Creating the Second Keyframe
                    Keyframes are required in order to produce an animation.

Procedure           1. In the Outline, under User Locations and Plots, double-click Slice.
                    2. On the Geometry tab, set Point coordinate values to (0,0,-1.99).
                    3. Click Apply.
                       The slice plane moves to the bottom of the mixer.

                    4. In the Animation dialog box, click New                                  .
                          KeyframeNo2 is created and represents the image displayed in the Viewer.


Page 26          ANSYS CFX Tutorials. ANSYS CFX Release 11.0. © 1996-2006 ANSYS Europe, Ltd. All rights reserved.
                 Contains proprietary and confidential information of ANSYS, Inc. and its subsidiaries and affiliates.
Tutorial 1: Simulating Flow in a Static Mixer Using CFX in Standalone Mode: Viewing the Results in ANSYS CFX-Post
                               5. Select KeyframeNo1.
                               6. Set # of Frames (located below the list of keyframes) to 20.
                                  This is the number of intermediate frames used when going from KeyframeNo1 to
                                  KeyframeNo2. This number is displayed in the Frames column for KeyframeNo1.
                               7. Press Enter.
                                  The Frame # column shows the frame in which each keyframe appears. KeyframeNo1
                                  appears at frame 1 since it defines the start of the animation. KeyframeNo2 is at frame
                                  22 since you have 20 intermediate frames (frames 2 to 21) in between KeyframeNo1 and
                                  KeyframeNo2.




Viewing the Animation
                               More keyframes could be added, but this animation has only two keyframes (which is the
                               minimum possible).

Synopsis                       The controls previously greyed-out in the Animation dialog box are now available. The
                               number of intermediate frames between keyframes is listed beside the keyframe having the
                               lowest number of the pair. The number of keyframes listed beside the last keyframe is
                               ignored.

Procedure                      1. Click Play the animation                          .
                                     The animation plays from frame 1 to frame 22. It plays relatively slowly because the slice
                                     plane must be updated for each frame.




ANSYS CFX Tutorials. ANSYS CFX Release 11.0. © 1996-2006 ANSYS Europe, Ltd. All rights reserved.                       Page 27
Contains proprietary and confidential information of ANSYS, Inc. and its subsidiaries and affiliates.
Tutorial 1: Simulating Flow in a Static Mixer Using CFX in Standalone Mode: Viewing the Results in ANSYS CFX-Post

Modifying the Animation
                    To make the plane sweep through the whole geometry, you will set the starting position of
                    the plane to be at the top of the mixer. You will also modify the Range properties of the
                    plane so that it shows the temperature variation better. As the animation is played, you can
                    see the hot and cold water entering the mixer. Near the bottom of the mixer (where the
                    water flows out) you can see that the temperature is quite uniform. The new temperature
                    range lets you view the mixing process more accurately than the global range used in the
                    first animation.

Procedure           1. Apply the following settings to Slice


                            Tab                                               Setting                                    Value
                            Geometry                                          Point                                      0, 0, 1.99
                            Color                                             Variable                                   Temperature
                                                                              Range                                      User Specified
                                                                              Min                                        295 [K]
                                                                              Max                                        305 [K]

                    2. Click Apply.
                       The slice plane moves to the top of the static mixer.

                    Note: Do not double click in the next step.
                    3. In the Animation dialog box, single click (do not double-click) KeyframeNo1 to select it.
                       If you had double-clicked KeyFrameNo1, the plane and viewer states would have been
                       redefined according to the stored settings for KeyFrameNo1. If this happens, click
                          Undo             and try again to select the keyframe.

                    4. Click Set Keyframe                     .
                          The image in the Viewer replaces the one previously associated with KeyframeNo1.
                    5. Double-click KeyframeNo2.
                       The object properties for the slice plane are updated according to the settings in
                       KeyFrameNo2.
                    6. Apply the following settings to Slice


                            Tab                                               Setting                                    Value
                            Color                                             Variable                                   Temperature
                                                                              Range                                      User Specified
                                                                              Min                                        295 [K]
                                                                              Max                                        305 [K]

                    7. Click Apply.
                    8. In the Animation dialog box, single-click KeyframeNo2.

                    9. Click Set Keyframe                         to save the new settings to KeyframeNo2.


Page 28          ANSYS CFX Tutorials. ANSYS CFX Release 11.0. © 1996-2006 ANSYS Europe, Ltd. All rights reserved.
                 Contains proprietary and confidential information of ANSYS, Inc. and its subsidiaries and affiliates.
Tutorial 1: Simulating Flow in a Static Mixer Using CFX in Standalone Mode: Viewing the Results in ANSYS CFX-Post

Saving to MPEG
                               By defining the geometry and then saving to MPEG, the results can be saved to a video file.

Procedure                      1. Click More Animation Options                             to view the additional options.
                                     The Loop and Bounce radio buttons determine what happens when the animation
                                     reaches the last keyframe. When Loop is selected, the animation repeats itself the
                                     number of times defined by Repeat. When Bounce is selected, every other cycle is
                                     played in reverse order, starting with the second.
                               2. Click Save MPEG.

                               3. Click Browse                  next to Save MPEG.
                               4. Under File name type: StaticMixer.mpg
                               5. If required, set the path location to a different folder.
                               6. Click Save.
                                  The MPEG file name (including path) is set. At this point, the animation has not yet been
                                  produced.
                               7. Click Previous Keyframe   .
                                  Wait a moment as the display updates the keyframe display.

                               8. Click Play the animation                          .
                               9. If prompted to overwrite an existing movie click Overwrite.
                                  The animation plays and builds an MPEG file.
                               10. Click the Options button at the bottom of the Animation dialog box.
                                   In Advanced, you can see that a Frame Rate of 24 frames per second was used to create
                                   the animation. The animation you produced contains a total of 22 frames, so it takes just
                                   under 1 second to play in a media player.
                               11. Click Cancel to close the dialog box.
                               12. Close the Animation dialog box.
                               13. Review the animation in third–party software as required.

Exiting ANSYS CFX-Post
                               When finished with ANSYS CFX-Post exit the current window:
                               1. When you are finished, select File > Quit to exit ANSYS CFX-Post.
                               2. Click Quit if prompted to save.




ANSYS CFX Tutorials. ANSYS CFX Release 11.0. © 1996-2006 ANSYS Europe, Ltd. All rights reserved.                             Page 29
Contains proprietary and confidential information of ANSYS, Inc. and its subsidiaries and affiliates.
Tutorial 1: Simulating Flow in a Static Mixer Using CFX in Standalone Mode: Viewing the Results in ANSYS CFX-Post




Page 30          ANSYS CFX Tutorials. ANSYS CFX Release 11.0. © 1996-2006 ANSYS Europe, Ltd. All rights reserved.
                 Contains proprietary and confidential information of ANSYS, Inc. and its subsidiaries and affiliates.
Tutorial 1a:
Simulating Flow in a Static
Mixer Using Workbench

Introduction
                               This tutorial simulates a static mixer consisting of two inlet pipes delivering water into a
                               mixing vessel; the water exits through an outlet pipe. A general workflow is established for
                               analyzing the flow of fluid into and out of a mixer.
                               This tutorial comprises:
                               •     Before You Begin (p. 32)
                               •     Tutorial 1a Features (p. 32)
                               •     Overview of the Problem to Solve (p. 33)
                               •     Defining a Simulation in ANSYS CFX-Pre (p. 34)
                               •     Obtaining a Solution Using ANSYS CFX-Solver Manager (p. 41)
                               •     Viewing the Results in ANSYS CFX-Post (p. 43)

                               If this is the first tutorial you are working with, it is important to review the following topics
                               before beginning:
                               •     Setting the Working Directory (p. 1)
                               •     Changing the Display Colors (p. 2)
                               To learn how to perform these tasks using CFX in Standalone mode, see Tutorial 1:
                               Simulating Flow in a Static Mixer Using CFX in Standalone Mode (p. 3 in "ANSYS CFX
                               Tutorials").




ANSYS CFX Tutorials                                                                                                      Page 31
ANSYS CFX Release 11.0. © 1996-2006 ANSYS Europe, Ltd. All rights reserved.
Contains proprietary and confidential information of ANSYS, Inc. and its subsidiaries and affiliates.
Tutorial 1a: Simulating Flow in a Static Mixer Using Workbench: Before You Begin

Before You Begin
                    Create a working directory for your files. Once this is done, copy the sample files used in this
                    tutorial to your working directory from the installation folder for your software
                    (<CFXROOT>/examples/ (for example, C:Program FilesANSYS
                    Incv110CFXexamples)) to avoid overwriting source files provided with your
                    installation. If you plan to use a session file, please refer to Playing a Session File (p. 35).
                    Sample files used by this tutorial are:
                    •     StaticMixerMesh.gtm
                    •     StaticMixer.pre




Tutorial 1a Features
                    This tutorial addresses the following features of ANSYS CFX.


                     Component                             Feature                                              Details
                     ANSYS CFX-Pre                         User Mode                                            Quick Setup Wizard
                                                           Simulation Type                                      Steady State
                                                           Fluid Type                                           General Fluid
                                                           Domain Type                                          Single Domain
                                                           Turbulence Model                                     k-Epsilon
                                                           Heat Transfer                                        Thermal Energy
                                                           Boundary Conditions                                  Inlet (Subsonic)
                                                                                                                Outlet (Subsonic)
                                                                                                                Wall: No-Slip
                                                                                                                Wall: Adiabatic
                                                           Timestep                                             Physical Time Scale
                     ANSYS CFX-Post                        Plots                                                Animation
                                                                                                                Contour
                                                                                                                Outline Plot (Wireframe)
                                                                                                                Point
                                                                                                                Slice Plane
                                                                                                                Streamline

                    In this tutorial you will learn about:
                    •     Using Quick Setup mode in ANSYS CFX-Pre to set up a problem.
                    •     Modifying the outline plot in ANSYS CFX-Post.
                    •     Using streamlines in ANSYS CFX-Post to trace the flow field from a point.
                    •     Viewing temperature using colored planes and contours in ANSYS CFX-Post.
                    •     Creating an animation and saving it to an MPEG file.




Page 32          ANSYS CFX Tutorials. ANSYS CFX Release 11.0. © 1996-2006 ANSYS Europe, Ltd. All rights reserved.
                 Contains proprietary and confidential information of ANSYS, Inc. and its subsidiaries and affiliates.
Tutorial 1a: Simulating Flow in a Static Mixer Using Workbench: Overview of the Problem to Solve

Overview of the Problem to Solve
                               This tutorial simulates a static mixer consisting of two inlet pipes delivering water into a
                               mixing vessel; the water exits through an outlet pipe. A general workflow is established for
                               analyzing the flow of fluid into and out of a mixer.
                               Water enters through both pipes at the same rate but at different temperatures. The first
                               entry is at a rate of 2 m/s and a temperature of 315 K and the second entry is at a rate of 2
                               m/s at a temperature of 285 K. The radius of the mixer is 2 m.
                               Your goal in this tutorial is to understand how to use ANSYS CFX to determine the speed and
                               temperature of the water when it exits the static mixer.
                               Figure 1                 Static Mixer with 2 Inlet Pipes and 1 Outlet Pipe
                                                                                     2 m/s
                                                              r=2m                   285 K




                                2 m/s
                                315 K




ANSYS CFX Tutorials. ANSYS CFX Release 11.0. © 1996-2006 ANSYS Europe, Ltd. All rights reserved.                     Page 33
Contains proprietary and confidential information of ANSYS, Inc. and its subsidiaries and affiliates.
Tutorial 1a: Simulating Flow in a Static Mixer Using Workbench: Defining a Simulation in ANSYS CFX-Pre

Defining a Simulation in ANSYS CFX-Pre
                    Because you are starting with an existing mesh, you can immediately use ANSYS CFX-Pre to
                    define the simulation. This is how ANSYS CFX-Pre will look with the imported mesh:




                    In the image above, the left pane of ANSYS CFX-Pre displays the Outline. When you
                    double-click on items in the Outline, the Outline editor opens and can be used to create,
                    modify, and view objects.

                    Note: In this documentation, the details view can also be referenced by the name of the
                    object being edited, followed by the word “details view” (for example, if you double-click
                    the Wireframe object, the Wireframe details view appears).

Synopsis of Quick Setup Mode
                    Quick Setup mode provides a simple wizard–like interface for setting up simple cases. This
                    is useful for getting familiar with the basic elements of a CFD problem setup. This section
                    describes using Quick Setup mode to develop a simulation in ANSYS CFX-Pre.

Workflow Overview
                    This tutorial follows the general workflow for Quick Setup mode:
                    1. Creating a New Simulation (p. 35)
                    2. Setting the Physics Definition (p. 35)
                    3. Importing a Mesh (p. 36)
                    4. Defining Model Data (p. 37)
                    5. Defining Boundaries (p. 37)
Page 34          ANSYS CFX Tutorials. ANSYS CFX Release 11.0. © 1996-2006 ANSYS Europe, Ltd. All rights reserved.
                 Contains proprietary and confidential information of ANSYS, Inc. and its subsidiaries and affiliates.
Tutorial 1a: Simulating Flow in a Static Mixer Using Workbench: Defining a Simulation in ANSYS CFX-Pre
                               6. Setting Boundary Data (p. 37)
                               7. Setting Flow Specification (p. 37)
                               8. Setting Temperature Specification (p. 38)
                               9. Reviewing the Boundary Condition Definitions (p. 38)
                               10. Creating the Second Inlet Boundary Definition (p. 38)
                               11. Creating the Outlet Boundary Definition (p. 39)
                               12. Moving to General Mode (p. 39)
                               13. Writing the Solver (.def) File (p. 40)

Playing a                      If you want to skip past these instructions and have ANSYS CFX-Pre set up the simulation
Session File                   automatically, you can select Session > Play Tutorial from the menu in ANSYS CFX-Pre,
                               then run the appropriate session file. For details, see Playing the Session File and Starting
                               ANSYS CFX-Solver Manager (p. 40). After you have played the session file, proceed to
                               Obtaining a Solution Using ANSYS CFX-Solver Manager (p. 41).

Creating a New Simulation
                               Before importing and working with a mesh, a simulation needs to be started using Quick
                               Setup mode.

Procedure                      1. If required, launch ANSYS Workbench.
                               2. Click Empty Project.
                                  The Project page appears displaying an unsaved project.

                               3. Select File > Save or click Save                           .
                               4. If required, set the path location to the working folder you created for this tutorial.
                               5. Under File name, type: StaticMixer
                               6. Click Save.
                               7. On the left-hand task bar under Advanced CFD, click Start CFX-Pre.
                               8. Select File > New Simulation.
                               9. Select Quick Setup in the New Simulation File dialog box and click OK.
                               10. Select File > Save Simulation As.
                               11. Under File name, type: StaticMixer
                               12. Click Save.

Setting the Physics Definition
                               You need to specify the fluids used in a simulation. A variety of fluids are already defined as
                               library materials. For this tutorial you will use a prepared fluid, Water, which is defined to be
                               water at 25°C.

Procedure                      1. Ensure that Simulation Definition is displayed at the top of the Details view.
                               2. Under Fluid select Water.




ANSYS CFX Tutorials. ANSYS CFX Release 11.0. © 1996-2006 ANSYS Europe, Ltd. All rights reserved.                        Page 35
Contains proprietary and confidential information of ANSYS, Inc. and its subsidiaries and affiliates.
Tutorial 1a: Simulating Flow in a Static Mixer Using Workbench: Defining a Simulation in ANSYS CFX-Pre

Importing a Mesh
                    At least one mesh must be imported before physics are applied.

Procedure           1. In Simulation Definition, under Mesh File, click Browse                                           .
                          The Import Mesh dialog box appears.
                    2. Under File type, select CFX Mesh (*gtm).
                    3. From your working directory, select StaticMixerMesh.gtm.
                    4. Click Open.
                       The mesh loads.
                    5. Click Next.

Using the Viewer
                    Now that the mesh is loaded, take a moment to explore how you can use the viewer toolbar
                    to zoom in or out and to rotate the object in the viewer.

Using the Zoom      There are several icons available for controlling the level of zoom in the viewer.
Tools
                    1. Click Zoom Box
                    2. Click and drag a rectangular box over the geometry.
                    3. Release the mouse button to zoom in on the selection.
                       The geometry zoom changes to display the selection at a greater resolution.

                    4. Click Fit View                 to re-center and re-scale the geometry.

Rotating the        If you need to rotate an object or to view it from a new angle, you can use the viewer toolbar.
geometry
                    1. Click Rotate                  on the viewer toolbar.
                    2. Click and drag within the geometry repeatedly to test the rotation of the geometry.
                       The geometry rotates based on the direction of movement.
                       Notice how the mouse cursor changes depending on where you are in the viewer:




                    3. Right-click a blank area in the viewer and select Predefined Camera > View
                       Towards-X).

Page 36          ANSYS CFX Tutorials. ANSYS CFX Release 11.0. © 1996-2006 ANSYS Europe, Ltd. All rights reserved.
                 Contains proprietary and confidential information of ANSYS, Inc. and its subsidiaries and affiliates.
Tutorial 1a: Simulating Flow in a Static Mixer Using Workbench: Defining a Simulation in ANSYS CFX-Pre
                               4. Right-click a blank area in the viewer and select Predefined Camera > Isometric View
                                  (Z Up).
                                     A clearer view of the mesh is displayed.

Defining Model Data
                               You need to define the type of flow and the physical models to use in the fluid domain.
                               You will specify the flow as steady state with turbulence and heat transfer. Turbulence is
                               modelled using the k - ε turbulence model and heat transfer using the thermal energy
                               model. The k - ε turbulence model is a commonly used model and is suitable for a wide
                               range of applications. The thermal energy model neglects high speed energy effects and is
                               therefore suitable for low speed flow applications.

Procedure                      1. Ensure that Physics Definition is displayed.
                               2. Under Model Data, set Reference Pressure to 1 [atm].
                                  All other pressure settings are relative to this reference pressure.
                               3. Set Heat Transfer to Thermal Energy.
                               4. Set Turbulence to k-Epsilon.
                               5. Click Next.

Defining Boundaries
                               The CFD model requires the definition of conditions on the boundaries of the domain.

Procedure                      1. Ensure that Boundary Definition is displayed.
                               2. Delete Inlet and Outlet from the list by right-clicking each and selecting Delete.
                               3. Right-click in the blank area where Inlet and Outlet were listed, then select New.
                               4. Set Name to: in1
                               5. Click OK.
                                     The boundary is created and, when selected, properties related to the boundary are
                                     displayed.

Setting Boundary Data
                               Once boundaries are created, you need to create associated data. Based on Figure 1, you will
                               define the first inlet boundary condition to have a velocity of 2 m/s and a temperature of 315
                               K at one of the side inlets.

Procedure                      1. Ensure that Boundary Data is displayed.
                               2. Set Boundary Type to Inlet.
                               3. Set Location to in1.

Setting Flow Specification
                               Once boundary data is defined, the boundary needs to have the flow specification assigned.


ANSYS CFX Tutorials. ANSYS CFX Release 11.0. © 1996-2006 ANSYS Europe, Ltd. All rights reserved.                     Page 37
Contains proprietary and confidential information of ANSYS, Inc. and its subsidiaries and affiliates.
Tutorial 1a: Simulating Flow in a Static Mixer Using Workbench: Defining a Simulation in ANSYS CFX-Pre
Procedure           1. Ensure that Flow Specification is displayed.
                    2. Set Option to Normal Speed.
                    3. Set Normal Speed to 2 [m s^-1].

Setting Temperature Specification
                    Once flow specification is defined, the boundary needs to have temperature assigned.

Procedure           1. Ensure that Temperature Specification is displayed.
                    2. Set Static Temperature to 315 [K].

Reviewing the Boundary Condition Definitions
                    Defining the boundary condition for in1 required several steps. Here the settings are
                    reviewed for accuracy.
                    Based on Figure 1, the first inlet boundary condition consists of a velocity of 2 m/s and a
                    temperature of 315 K at one of the side inlets.

Procedure           1. Review the boundary in1 settings for accuracy. They should be as follows:


                            Tab                                               Setting                                    Value
                            Boundary Data                                     Boundary Type                              Inlet
                                                                              Location                                   in1
                            Flow Specification                                Option                                     Normal Speed
                                                                              Normal Speed                               2 [m s^-1]
                            Temperature Specification                         Static Temperature                         315 [K]


Creating the Second Inlet Boundary Definition
                    Based on Figure 1, you know the second inlet boundary condition consists of a velocity of 2
                    m/s and a temperature of 285 K at one of the side inlets. You will define that now.

Procedure           1. Under Boundary Definition, right-click in the selector area and select New.
                    2. Create a new boundary named in2 with these settings:


                            Tab                                               Setting                                    Value
                            Boundary Data                                     Boundary Type                              Inlet
                                                                              Location                                   in2
                            Flow Specification                                Option                                     Normal Speed
                                                                              Normal Speed                               2 [m s^-1]
                            Temperature Specification                         Static Temperature                         285 [K]




Page 38          ANSYS CFX Tutorials. ANSYS CFX Release 11.0. © 1996-2006 ANSYS Europe, Ltd. All rights reserved.
                 Contains proprietary and confidential information of ANSYS, Inc. and its subsidiaries and affiliates.
Tutorial 1a: Simulating Flow in a Static Mixer Using Workbench: Defining a Simulation in ANSYS CFX-Pre

Creating the Outlet Boundary Definition
                               Now that the second inlet boundary has been created, the same concepts can be applied to
                               building the outlet boundary.
                               1. Create a new boundary named out with these settings:


                                      Tab                                               Setting             Value
                                      Boundary Data                                     Boundary Type       Outlet
                                                                                        Location            out
                                      Flow Specification                                Option              Average Static Pressure
                                                                                        Relative Pressure   0 [Pa]

                               2. Click Next.

Moving to General Mode
                               There are no further boundary conditions that need to be set. All 2D exterior regions that
                               have not been assigned to a boundary condition are automatically assigned to the default
                               boundary condition.

Procedure                      1. Set Operation to Enter General Mode and click Finish.
                                     The three boundary conditions are displayed in the viewer as sets of arrows at the
                                     boundary surfaces. Inlet boundary arrows are directed into the domain. Outlet
                                     boundary arrows are directed out of the domain.

Setting Solver Control
                               Solver Control parameters control aspects of the numerical solution generation process.
                               While an upwind advection scheme is less accurate than other advection schemes, it is also
                               more robust. This advection scheme is suitable for obtaining an initial set of results, but in
                               general should not be used to obtain final accurate results.
                               The time scale can be calculated automatically by the solver or set manually. The Automatic
                               option tends to be conservative, leading to reliable, but often slow, convergence. It is often
                               possible to accelerate convergence by applying a time scale factor or by choosing a manual
                               value that is more aggressive than the Automatic option. In this tutorial, you will select a
                               physical time scale, leading to convergence that is twice as fast as the Automatic option.

Procedure                      1. Click Solver Control                   .
                               2. On the Basic Settings tab, set Advection Scheme > Option to Upwind.
                               3. Set Convergence Control > Fluid Timescale Control > Timescale Control to
                                  Physical Timescale and set the physical timescale value to 2 [s].
                               4. Click OK.




ANSYS CFX Tutorials. ANSYS CFX Release 11.0. © 1996-2006 ANSYS Europe, Ltd. All rights reserved.                                Page 39
Contains proprietary and confidential information of ANSYS, Inc. and its subsidiaries and affiliates.
Tutorial 1a: Simulating Flow in a Static Mixer Using Workbench: Defining a Simulation in ANSYS CFX-Pre

Writing the Solver (.def) File
                    The simulation file, StaticMixer.cfx, contains the simulation definition in a format that
                    can be loaded by ANSYS CFX-Pre, allowing you to complete (if applicable), restore, and
                    modify the simulation definition. The simulation file differs from the definition file in that it
                    can be saved at any time while defining the simulation.

Procedure           1. Click Write Solver File                   .
                          The Write Solver File dialog box is displayed.
                    2. Set File name to StaticMixer.def.
                    3. Ensure that Start Solver Manager is selected from the drop down menu located in
                       the top-right corner of the dialog box.
                    4. Click Save.
                    5. If you are notified the file already exists, click Overwrite.
                       This file is provided in the tutorial directory and may exist in your tutorial folder if you
                       have copied it there.
                    6. If prompted, click Yes or Save & Quit to save StaticMixer.cfx.
                       The definition file (StaticMixer.def) and the simulation file (StaticMixer.cfx) are
                       created. ANSYS CFX-Solver Manager automatically starts and the definition file is set in
                       the Define Run dialog box.
                    7. Proceed to Obtaining a Solution Using ANSYS CFX-Solver Manager (p. 41).

Playing the Session File and Starting ANSYS CFX-Solver Manager
                    Note: This task is required only if you are starting here with the session file that was provided
                    in the examples directory. If you have performed all the tasks in the previous steps, proceed
                    directly to Obtaining a Solution Using ANSYS CFX-Solver Manager (p. 41).
                    Events in ANSYS CFX-Pre can be recorded to a session file and then played back at a later
                    date to drive ANSYS CFX-Pre. Session files have been created for each tutorial so that the
                    problems can be set up rapidly in ANSYS CFX-Pre, if desired.

Procedure           1. If required, launch ANSYS Workbench.
                    2. Click Empty Project.

                    3. Select File > Save or click Save                           .
                    4. Under File name, type: StaticMixer
                    5. Click Save.
                    6. Click Start CFX-Pre.
                    7. Select Session > Play Tutorial.
                    8. Select StaticMixer.pre.
                    9. Click Open.
                       A definition file is written.
                    10. Click the CFX-Solver tab.
                    11. Select File > Define Run.

                    12. Under Definition File, click Browse                              .

Page 40          ANSYS CFX Tutorials. ANSYS CFX Release 11.0. © 1996-2006 ANSYS Europe, Ltd. All rights reserved.
                 Contains proprietary and confidential information of ANSYS, Inc. and its subsidiaries and affiliates.
Tutorial 1a: Simulating Flow in a Static Mixer Using Workbench: Obtaining a Solution Using ANSYS CFX-Solver
                               13. Select StaticMixer.def, located in the working directory.



Obtaining a Solution Using ANSYS CFX-Solver Manager
                               ANSYS CFX-Solver Manager has a visual interface that displays a variety of results and should
                               be used when plotted data needs to be viewed during problem solving.
                               Two windows are displayed when ANSYS CFX-Solver Manager runs. There is an adjustable
                               split between the windows, which is oriented either horizontally or vertically depending on
                               the aspect ratio of the entire ANSYS CFX-Solver Manager window (also adjustable).




                               One window shows the convergence history plots and the other displays text output from
                               ANSYS CFX-Solver.
                               The text lists physical properties, boundary conditions and various other parameters used
                               or calculated in creating the model. All the text is written to the output file automatically (in
                               this case, StaticMixer_001.out).

Start the Run
                               The Define Run dialog box allows configuration of a run for processing by ANSYS
                               CFX-Solver.




ANSYS CFX Tutorials. ANSYS CFX Release 11.0. © 1996-2006 ANSYS Europe, Ltd. All rights reserved.                        Page 41
Contains proprietary and confidential information of ANSYS, Inc. and its subsidiaries and affiliates.
Tutorial 1a: Simulating Flow in a Static Mixer Using Workbench: Obtaining a Solution Using ANSYS CFX-Solver
                   When ANSYS CFX-Solver Manager is launched automatically from ANSYS CFX-Pre, all of the
                   information required to perform a new serial run (on a single processor) is entered
                   automatically. You do not need to alter the information in the Define Run dialog box. This
                   is a very quick way to launch into ANSYS CFX-Solver without having to define settings and
                   values.

Procedure          1. Ensure that the Define Run dialog box is displayed.
                   2. Click Start Run.
                      ANSYS CFX-Solver launches and a split screen appears and displays the results of the run
                      graphically and as text. The panes continue to build as ANSYS CFX-Solver Manager
                      operates.
                   Note: Once the second iteration appears, data begins to plot. Plotting may take a long time
                   depending on the amount of data to process. Let the process run.

Move from ANSYS CFX-Solver to ANSYS CFX-Post
                   Once ANSYS CFX-Solver has finished, you can use ANSYS CFX-Post to review the finished
                   results.

Procedure          1. When ANSYS CFX-Solver is finished, click Yes to post-process the results.




                         After a short pause, ANSYS CFX-Post starts and ANSYS CFX-Solver Manager closes.




Page 42         ANSYS CFX Tutorials. ANSYS CFX Release 11.0. © 1996-2006 ANSYS Europe, Ltd. All rights reserved.
                Contains proprietary and confidential information of ANSYS, Inc. and its subsidiaries and affiliates.
Tutorial 1a: Simulating Flow in a Static Mixer Using Workbench: Viewing the Results in ANSYS CFX-Post

Viewing the Results in ANSYS CFX-Post
                               When ANSYS CFX-Post starts, the viewer and Outline workspace are displayed.




                               The viewer displays an outline of the geometry and other graphic objects. You can use the
                               mouse or the toolbar icons to manipulate the view, exactly as in ANSYS CFX-Pre.

Workflow Overview
                               This tutorial describes the following workflow for viewing results in ANSYS CFX-Post:
                               1. Setting the Edge Angle for a Wireframe Object (p. 44)
                               2. Creating a Point for the Origin of the Streamline (p. 45)
                               3. Creating a Streamline Originating from a Point (p. 46)
                               4. Rearranging the Point (p. 47)
                               5. Configuring a Default Legend (p. 47)
                               6. Creating a Slice Plane (p. 48)
                               7. Defining Slice Plane Geometry (p. 49)
                               8. Configuring Slice Plane Views (p. 49)
                               9. Rendering Slice Planes (p. 50)
                               10. Coloring the Slice Plane (p. 51)
                               11. Moving the Slice Plane (p. 51)
                               12. Adding Contours (p. 52)
                               13. Working with Animations (p. 53)




ANSYS CFX Tutorials. ANSYS CFX Release 11.0. © 1996-2006 ANSYS Europe, Ltd. All rights reserved.                  Page 43
Contains proprietary and confidential information of ANSYS, Inc. and its subsidiaries and affiliates.
Tutorial 1a: Simulating Flow in a Static Mixer Using Workbench: Viewing the Results in ANSYS CFX-Post

Setting the Edge Angle for a Wireframe Object
                    The outline of the geometry is called the wireframe or outline plot.
                    By default, ANSYS CFX-Post displays only some of the surface mesh. This sometimes means
                    that when you first load your results file, the geometry outline is not displayed clearly. You
                    can control the amount of the surface mesh shown by editing the Wireframe object listed
                    in the Outline.
                    The check boxes next to each object name in the Outline control the visibility of each
                    object. Currently only the Wireframe and Default Legend objects have visibility selected.
                    The edge angle determines how much of the surface mesh is visible. If the angle between
                    two adjacent faces is greater than the edge angle, then that edge is drawn. If the edge angle
                    is set to 0°, the entire surface mesh is drawn. If the edge angle is large, then only the most
                    significant corner edges of the geometry are drawn.
                    For this geometry, a setting of approximately 15° lets you view the model location without
                    displaying an excessive amount of the surface mesh.
                    In this module you can also modify the zoom settings and view of the wireframe.

Procedure           1. In the Outline, under User Locations and Plots, double-click Wireframe.
                          Tip: While it is not necessary to change the view to set the angle, do so to explore the
                          practical uses of this feature.
                    2. Right-click on a blank area anywhere in the viewer, select Predefined Camera from the
                       shortcut menu and select Isometric View (Z up).
                    3. In the Wireframe details view, under Definition, click in the Edge Angle box.
                       An embedded slider is displayed.
                    4. Type a value of 10 [degree].
                    5. Click Apply to update the object with the new setting.




Page 44          ANSYS CFX Tutorials. ANSYS CFX Release 11.0. © 1996-2006 ANSYS Europe, Ltd. All rights reserved.
                 Contains proprietary and confidential information of ANSYS, Inc. and its subsidiaries and affiliates.
Tutorial 1a: Simulating Flow in a Static Mixer Using Workbench: Viewing the Results in ANSYS CFX-Post
                                     Notice that more surface mesh is displayed.




                               6. Drag the embedded slider to set the Edge Angle value to approximately 45 [degree].
                               7. Click Apply to update the object with the new setting.
                                  Less of the outline of the geometry is displayed.
                               8. Type a value of 15 [degree].
                               9. Click Apply to update the object with the new setting.
                               10. Right-click on a blank area anywhere in the viewer, select Predefined Camera from the
                                   shortcut menu and select View Towards -X.

Creating a Point for the Origin of the Streamline
                               A streamline is the path that a particle of zero mass would follow through the domain.

Procedure                      1. Select Insert > Location > Point from the main menu.
                                  You can also use the toolbars to create a variety of objects. Later modules and tutorials
                                  explore this further.
                               2. Click OK.
                                  This accepts the default name.
                               3. Under Definition, ensure that Method is set to XYZ.
                               4. Under Point, enter the following coordinates: -1, -1, 1.
                                  This is a point near the first inlet.
                               5. Click Apply.
                                     The point appears as a symbol in the viewer as a crosshair symbol.




ANSYS CFX Tutorials. ANSYS CFX Release 11.0. © 1996-2006 ANSYS Europe, Ltd. All rights reserved.                   Page 45
Contains proprietary and confidential information of ANSYS, Inc. and its subsidiaries and affiliates.
Tutorial 1a: Simulating Flow in a Static Mixer Using Workbench: Viewing the Results in ANSYS CFX-Post

Creating a Streamline Originating from a Point
                    Where applicable, streamlines can trace the flow direction forwards (downstream) and/or
                    backwards (upstream).

Procedure           1. From the main menu, select Insert > Streamline.
                       You can also use the toolbars to create a variety of objects. Later modules and tutorials
                       will explore this further.
                    2. Click OK.
                       This accepts the default name.
                    3. Under Definition, in Start From, ensure that Point 1 is set.
                          Tip: To create streamlines originating from more than one location, click the ellipsis icon
                          to the right of the Start From box. This displays the Location Selector dialog box,
                          where you can use the <Ctrl> and <Shift> keys to pick multiple locators.
                    4. Click the Color tab.
                    5. Set Mode to Variable.
                    6. Set Variable to Total Temperature.
                    7. Set Range to Local.
                    8. Click Apply.
                       The streamline shows the path of a zero mass particle from Point 1. The temperature
                       is initially high near the hot inlet, but as the fluid mixes the temperature drops.




Page 46          ANSYS CFX Tutorials. ANSYS CFX Release 11.0. © 1996-2006 ANSYS Europe, Ltd. All rights reserved.
                 Contains proprietary and confidential information of ANSYS, Inc. and its subsidiaries and affiliates.
Tutorial 1a: Simulating Flow in a Static Mixer Using Workbench: Viewing the Results in ANSYS CFX-Post

Rearranging the Point
                               Once created, a point can be rearranged manually or by setting specific coordinates.
                                     Tip: In this module, you may choose to display various views and zooms from the
                                     Predefined Camera option in the shortcut menu (such as Isometric View (Z up) or
                                     View Towards -X) and by using Zoom Box                             if you prefer to change the display.

Procedure                      1. In Outline, under User Locations and Plots double-click Point 1.
                                  Properties for the selected user location are displayed.
                               2. Under Point, set these coordinates: -1, -2.9, 1.
                               3. Click Apply.
                                  The point is moved and the streamline redrawn.
                               4. In the selection tools, click Single Select.




                                     While in this mode, the normal behavior of the left mouse button is disabled.
                               5. In the viewer, drag Point 1 (appears as a yellow addition sign) to a new location within
                                  the mixer.
                                  The point position is updated in the details view and the streamline is redrawn at the
                                  new location. The point moves normal in relation to the viewing direction.

                               6. Click Rotate                .
                                     Tip: You can also click in the viewer area, and press the space bar to toggle between
                                     Select and Viewing Mode. A way to pick objects from Viewing Mode is to hold down
                                     <Ctrl> + <Shift> while clicking on an object with the left mouse button.
                               7. Under Point, reset these coordinates: -1, -1, 1.
                               8. Click Apply.
                                  The point appears at its original location.
                               9. Right-click a blank area in the viewer and select Predefined Camera > View Towards
                                  -X.

Configuring a Default Legend
                               You can modify the appearance of the default legend.
                               The default legend appears whenever a plot is created that is colored by a variable. The
                               streamline color is based on temperature; therefore, the legend shows the temperature
                               range. The color pattern on the legend’s color bar is banded in accordance with the bands
                               in the plot1.


                                     1. An exception occurs when one or more bands in a contour plot represent values beyond the
                                        legend’s range. In this case, such bands are colored using a color that is extrapolated slightly
                                        past the range of colors shown in the legend. This can happen only when a user-specified
                                        range is used for the legend.

ANSYS CFX Tutorials. ANSYS CFX Release 11.0. © 1996-2006 ANSYS Europe, Ltd. All rights reserved.                                        Page 47
Contains proprietary and confidential information of ANSYS, Inc. and its subsidiaries and affiliates.
Tutorial 1a: Simulating Flow in a Static Mixer Using Workbench: Viewing the Results in ANSYS CFX-Post
                    The default legend displays values for the last eligible plot that was opened in the details
                    view. To maintain a legend definition during an ANSYS CFX-Post session, you can create a
                    new legend by clicking Legend                           .
                    Because there are many settings that can be customized for the legend, this module allows
                    you the freedom to experiment with them. In the last steps you will set up a legend, based
                    on the default legend, with a minor modification to the position.
                          Tip: When editing values, you can restore the values that were present when you began
                          editing by clicking Reset. To restore the factory-default values, click Default.

Procedure           1. Double click Default Legend View 1.
                       The Definition tab of the default legend is displayed.
                    2. Apply the following settings


                            Tab                                  Setting                                           Value
                            Definition                           Title Mode                                        User Specified
                                                                 Title                                             Streamline Temp.
                                                                 Horizontal                                        (Selected)
                                                                 Location > Y Justification                        Bottom

                    3. Click Apply.
                       The appearance and position of the legend changes based on the settings specified.
                    4. Modify various settings in Definition and click Apply after each change.
                    5. Select Appearance.
                    6. Modify a variety of settings in the Appearance and click Apply after each change.
                    7. Click Defaults.
                    8. Click Apply.
                    9. Under Outline, in User Locations and Plots, clear the check boxes for Point 1 and
                       Streamline 1.
                          Since both are no longer visible, the associated legend no longer appears.

Creating a Slice Plane
                    Defining a slice plane allows you to obtain a cross–section of the geometry.
                    In ANSYS CFX-Post you often view results by coloring a graphic object. The graphic object
                    could be an isosurface, a vector plot, or in this case, a plane. The object can be a fixed color
                    or it can vary based on the value of a variable.
                    You already have some objects defined by default (listed in the Outline). You can view
                    results on the boundaries of the static mixer by coloring each boundary object by a variable.
                    To view results within the geometry (that is, on non-default locators), you will create new
                    objects.
                    You can use the following methods to define a plane:
                    •     Three Points: creates a plane from three specified points.



Page 48          ANSYS CFX Tutorials. ANSYS CFX Release 11.0. © 1996-2006 ANSYS Europe, Ltd. All rights reserved.
                 Contains proprietary and confidential information of ANSYS, Inc. and its subsidiaries and affiliates.
Tutorial 1a: Simulating Flow in a Static Mixer Using Workbench: Viewing the Results in ANSYS CFX-Post
                               •     Point and Normal: defines a plane from one point on the plane and a normal vector
                                     to the plane.
                               •     YZ Plane, ZX Plane, and XY Plane: similar to Point and Normal, except that the
                                     normal is defined to be normal to the indicated plane.

Procedure                      1. From the main menu, select Insert > Location > Plane or click Location > Plane.
                               2. In the New Plane window, type: Slice
                               3. Click OK.
                                  The Geometry, Color, Render, and View tabs let you switch between settings.
                               4. Click the Geometry tab.

Defining Slice Plane Geometry
                               You need to choose the vector normal to the plane. You want the plane to lie in the x-y
                               plane, hence its normal vector points along the z-axis. You can specify any vector that points
                               in the z-direction, but you will choose the most obvious (0,0,1).

Procedure                      1. If required, under Geometry, expand Definition.
                               2. Under Method select Point and Normal.
                               3. Under Point enter 0,0,1.
                               4. Under Normal enter 0, 0,1.
                               5. Click Apply.
                                     Slice displays under User Locations and Plots. Rotate the view to see the plane.


Configuring Slice Plane Views
                               Depending on the view of the geometry, various objects may not appear because they fall
                               in a 2D space that cannot be seen.

Procedure                      1. Right-click a blank area in the viewer and select Predefined Camera > Isometric View
                                  (Z up).




ANSYS CFX Tutorials. ANSYS CFX Release 11.0. © 1996-2006 ANSYS Europe, Ltd. All rights reserved.                     Page 49
Contains proprietary and confidential information of ANSYS, Inc. and its subsidiaries and affiliates.
Tutorial 1a: Simulating Flow in a Static Mixer Using Workbench: Viewing the Results in ANSYS CFX-Post
                          The slice is now visible in the viewer.




                    2. Click Zoom Box                    .
                    3. Click and drag a rectangular selection over the geometry.
                    4. Release the mouse button to zoom in on the selection.

                    5. Click Rotate                 .
                    6. Click and drag the mouse pointer down slightly to rotate the geometry towards you.
                    7. Select Isometric View (Z up) as described earlier.

Rendering Slice Planes
                    Render settings determine how the plane is drawn.

Procedure           1. In the Details pane for Slice, select the Render tab.
                    2. Clear Draw Faces.
                    3. Select Draw Lines.
                    4. Under Draw Lines change Color Mode to User Specified.
                    5. Click the current color in Line Color to change to a different color.
                       For a greater selection of colors, click the ellipsis to use the Select color dialog box.
                    6. Click Apply.

                    7. Click Zoom Box                    .
                    8. Zoom in on the geometry to view it in greater detail.



Page 50          ANSYS CFX Tutorials. ANSYS CFX Release 11.0. © 1996-2006 ANSYS Europe, Ltd. All rights reserved.
                 Contains proprietary and confidential information of ANSYS, Inc. and its subsidiaries and affiliates.
Tutorial 1a: Simulating Flow in a Static Mixer Using Workbench: Viewing the Results in ANSYS CFX-Post
                                     The line segments show where the slice plane intersects with mesh element faces. The
                                     end points of each line segment are located where the plane intersects mesh element
                                     edges.
                               9. Right-click a blank area in the viewer and select Predefined Camera > View Towards
                                  -Z.
                                  The image shown below can be used for comparison with tutorial 2 (in the section
                                  Creating a Slice Plane (p. 68)), where a refined mesh is used.




Coloring the Slice Plane
                               The Color panel is used to determine how the object faces are colored.

Procedure                      1. Apply the following settings to Slice


                                      Tab                                   Setting                     Value
                                      Color                                 Mode                        Variable*
                                                                            Variable                    Temperature
                                      Render                                Draw Faces                  (Selected)
                                                                            Draw Lines                  (Cleared)
                                           *.    You can specify the variable (in this case, temperature) used to color the graphic
                                                 element. The Constant mode allows you to color the plane with a fixed color.

                               2. Click Apply.
                                     Hot water (red) enters from one inlet and cold water (blue) from the other.

Moving the Slice Plane
                               The plane can be moved to different locations.



ANSYS CFX Tutorials. ANSYS CFX Release 11.0. © 1996-2006 ANSYS Europe, Ltd. All rights reserved.                              Page 51
Contains proprietary and confidential information of ANSYS, Inc. and its subsidiaries and affiliates.
Tutorial 1a: Simulating Flow in a Static Mixer Using Workbench: Viewing the Results in ANSYS CFX-Post
Procedure           1. Right-click a blank area in the viewer and select Predefined Camera > Isometric View
                       (Z up) from the shortcut menu.
                    2. Click the Geometry tab.
                       Review the settings in Definition under Point and under Normal.
                    3. Click Single Select                   .
                    4. Click and drag the plane to a new location that intersects the domain.
                       As you drag the mouse, the viewer updates automatically. Note that Point updates with
                       new settings.
                    5. Set Point settings to 0,0,1.
                    6. Click Apply.

                    7. Click Rotate                 .
                    8. Turn off visibility for Slice by clearing the check box next to Slice in the Outline.

Adding Contours
                    Contours connect all points of equal value for a scalar variable (for example, Temperature)
                    and help to visualize variable values and gradients. Colored bands fill the spaces between
                    contour lines. Each band is colored by the average color of its two bounding contour lines
                    (even if the latter are not displayed).

Procedure           1. Right-click a blank area in the viewer and select Predefined Camera > Isometric View
                       (Z up) from the shortcut menu.

                    2. Select Insert > Contour from the main menu or click Contour                                              .
                          The New Contour dialog box is displayed.
                    3. Set Name to Slice Contour.
                    4. Click OK.
                    5. Apply the following settings


                            Tab                                  Setting                                           Value
                            Geometry                             Locations                                         Slice
                                                                 Variable                                          Temperature
                            Render                               Draw Faces                                        (Selected)

                    6. Click Apply.

                    Important: The colors of 3D graphics object faces are slightly altered when lighting is on. To
                    view colors with highest accuracy, on the Render tab under Draw Faces clear Lighting and
                    click Apply.




Page 52          ANSYS CFX Tutorials. ANSYS CFX Release 11.0. © 1996-2006 ANSYS Europe, Ltd. All rights reserved.
                 Contains proprietary and confidential information of ANSYS, Inc. and its subsidiaries and affiliates.
Tutorial 1a: Simulating Flow in a Static Mixer Using Workbench: Viewing the Results in ANSYS CFX-Post
                                     The graphic element faces are visible, producing a contour plot as shown.




Working with Animations
                               Animations build transitions between views for development of video files.

Workflow                       This tutorial follows the general workflow for creating a keyframe animation:
Overview
                               1. Showing the Animation Dialog Box (p. 53)
                               2. Creating the First Keyframe (p. 53)
                               3. Creating the Second Keyframe (p. 54)
                               4. Viewing the Animation (p. 55)
                               5. Modifying the Animation (p. 56)
                               6. Saving to MPEG (p. 57)

Showing the Animation Dialog Box
                               The Animation dialog box is used to define keyframes and to export to a video file.

Procedure                      1. Select Tools > Animation or click Animation                           .
                                     The Animation dialog box can be repositioned as required.

Creating the First Keyframe
                               Keyframes are required in order to produce an animation. You need to define the first viewer
                               state, a second (and final) viewer state, and set the number of interpolated intermediate
                               frames.
ANSYS CFX Tutorials. ANSYS CFX Release 11.0. © 1996-2006 ANSYS Europe, Ltd. All rights reserved.                   Page 53
Contains proprietary and confidential information of ANSYS, Inc. and its subsidiaries and affiliates.
Tutorial 1a: Simulating Flow in a Static Mixer Using Workbench: Viewing the Results in ANSYS CFX-Post
Procedure           1. Right-click a blank area in the viewer and select Predefined Camera > Isometric View
                       (Z up).
                    2. In the Outline, under User Locations and Plots, clear the visibility of Slice
                       Contour and select the visibility of Slice.

                    3. Select Tools > Animation or click Animation                                      .
                          The Animation dialog box can be repositioned as required.

                    4. In the Animation dialog box, click New                                   .
                          A new keyframe named KeyframeNo1 is created. This represents the current image
                          displayed in the viewer.




Creating the Second Keyframe
                    Keyframes are required in order to produce an animation.

Procedure           1. In the Outline, under User Locations and Plots, double-click Slice.
                    2. On the Geometry tab, set Point coordinate values to (0,0,-1.99).
                    3. Click Apply.
                       The slice plane moves to the bottom of the mixer.

                    4. In the Animation dialog box, click New                                  .
                          KeyframeNo2 is created and represents the image displayed in the Viewer.
                    5. Select KeyframeNo1.
                    6. Set # of Frames (located below the list of keyframes) to 20.


Page 54          ANSYS CFX Tutorials. ANSYS CFX Release 11.0. © 1996-2006 ANSYS Europe, Ltd. All rights reserved.
                 Contains proprietary and confidential information of ANSYS, Inc. and its subsidiaries and affiliates.
Tutorial 1a: Simulating Flow in a Static Mixer Using Workbench: Viewing the Results in ANSYS CFX-Post
                                     This is the number of intermediate frames used when going from KeyframeNo1 to
                                     KeyframeNo2. This number is displayed in the Frames column for KeyframeNo1.
                               7. Press Enter.
                                  The Frame # column shows the frame in which each keyframe appears. KeyframeNo1
                                  appears at frame 1 since it defines the start of the animation. KeyframeNo2 is at frame
                                  22 since you have 20 intermediate frames (frames 2 to 21) in between KeyframeNo1 and
                                  KeyframeNo2.




Viewing the Animation
                               More keyframes could be added, but this animation has only two keyframes (which is the
                               minimum possible).
                               The controls previously greyed-out in the Animation dialog box are now available. The
                               number of intermediate frames between keyframes is listed beside the keyframe having the
                               lowest number of the pair. The number of keyframes listed beside the last keyframe is
                               ignored.

Procedure                      1. Click Play the animation                          .
                                     The animation plays from frame 1 to frame 22. It plays relatively slowly because the slice
                                     plane must be updated for each frame.




ANSYS CFX Tutorials. ANSYS CFX Release 11.0. © 1996-2006 ANSYS Europe, Ltd. All rights reserved.                       Page 55
Contains proprietary and confidential information of ANSYS, Inc. and its subsidiaries and affiliates.
Tutorial 1a: Simulating Flow in a Static Mixer Using Workbench: Viewing the Results in ANSYS CFX-Post

Modifying the Animation
                    To make the plane sweep through the whole geometry, you will set the starting position of
                    the plane to be at the top of the mixer. You will also modify the Range properties of the
                    plane so that it shows the temperature variation better. As the animation is played, you can
                    see the hot and cold water entering the mixer. Near the bottom of the mixer (where the
                    water flows out) you can see that the temperature is quite uniform. The new temperature
                    range lets you view the mixing process more accurately than the global range used in the
                    first animation.

Procedure           1. Apply the following settings to Slice


                            Tab                                               Setting                                    Value
                            Geometry                                          Point                                      0, 0, 1.99
                            Color                                             Mode                                       Variable
                                                                              Range                                      User Specified
                                                                              Min                                        295 [K]
                                                                              Max                                        305 [K]

                    2. Click Apply.
                       The slice plane moves to the top of the static mixer.

                    Note: Do not double click in the next step.
                    3. In the Animation dialog box, single click (do not double-click) KeyframeNo1 to select it.
                       If you had double-clicked KeyFrameNo1, the plane and viewer states would have been
                       redefined according to the stored settings for KeyFrameNo1. If this happens, click
                          Undo             and try again to select the keyframe.

                    4. Click Set Keyframe                     .
                          The image in the Viewer replaces the one previously associated with KeyframeNo1.
                    5. Double-click KeyframeNo2.
                       The object properties for the slice plane are updated according to the settings in
                       KeyFrameNo2.
                    6. Apply the following settings to Slice


                            Tab                                               Setting                                    Value
                            Color                                             Mode                                       Variable
                                                                              Range                                      User Specified
                                                                              Min                                        295 [K]
                                                                              Max                                        305 [K]

                    7. Click Apply.
                    8. In the Animation dialog box, single-click KeyframeNo2.

                    9. Click Set Keyframe                         to save the new settings to KeyframeNo2.


Page 56          ANSYS CFX Tutorials. ANSYS CFX Release 11.0. © 1996-2006 ANSYS Europe, Ltd. All rights reserved.
                 Contains proprietary and confidential information of ANSYS, Inc. and its subsidiaries and affiliates.
Tutorial 1a: Simulating Flow in a Static Mixer Using Workbench: Viewing the Results in ANSYS CFX-Post

Saving to MPEG
                               By defining the geometry and then saving to MPEG, the results can be saved to a video file.

Procedure                      1. Click More Animation Options                             to view the additional options.
                                     The Loop and Bounce radio buttons determine what happens when the animation
                                     reaches the last keyframe. When Loop is selected, the animation repeats itself the
                                     number of times defined by Repeat. When Bounce is selected, every other cycle is
                                     played in reverse order, starting with the second.
                               2. Click Save MPEG.

                               3. Click Browse                  next to Save MPEG.
                               4. Under File name type: StaticMixer.mpg
                               5. If required, set the path location to a different folder.
                               6. Click Save.
                                  The MPEG file name (including path) is set. At this point, the animation has not yet been
                                  produced.
                               7. Click Previous Keyframe   .
                                  Wait a moment as the display updates the keyframe display.

                               8. Click Play the animation                          .
                               9. If prompted to overwrite an existing movie click Overwrite.
                                  The animation plays and builds an MPEG file.
                               10. Click the Options button at the bottom of the Animation dialog box.
                                   In Advanced, you can see that a Frame Rate of 24 frames per second was used to create
                                   the animation. The animation you produced contains a total of 22 frames, so it takes just
                                   under 1 second to play in a media player.
                               11. Click Cancel to close the dialog box.
                               12. Close the Animation dialog box.
                               13. Review the animation in third–party software as required.

Exiting ANSYS CFX-Post
                               When finished with ANSYS CFX-Post, exit the current window:
                               1. Select File > Close to close the current file.
                               2. If prompted to save, click Close.
                               3. Return to the Project page. Select File > Close Project.
                               4. Select No, then close Workbench.




ANSYS CFX Tutorials. ANSYS CFX Release 11.0. © 1996-2006 ANSYS Europe, Ltd. All rights reserved.                             Page 57
Contains proprietary and confidential information of ANSYS, Inc. and its subsidiaries and affiliates.
Tutorial 1a: Simulating Flow in a Static Mixer Using Workbench: Viewing the Results in ANSYS CFX-Post




Page 58          ANSYS CFX Tutorials. ANSYS CFX Release 11.0. © 1996-2006 ANSYS Europe, Ltd. All rights reserved.
                 Contains proprietary and confidential information of ANSYS, Inc. and its subsidiaries and affiliates.
Tutorial 2:
Flow in a Static Mixer
(Refined Mesh)

Introduction
                               This tutorial includes:
                               •     Tutorial 2 Features (p. 60)
                               •     Overview of the Problem to Solve (p. 60)
                               •     Defining a Simulation using General Mode in ANSYS CFX-Pre (p. 61)
                               •     Obtaining a Solution Using Interpolation with ANSYS CFX-Solver (p. 66)
                               •     Viewing the Results in ANSYS CFX-Post (p. 68)

                               If this is the first tutorial you are working with, it is important to review the following topics
                               before beginning:
                               •     Setting the Working Directory (p. 1)
                               •     Changing the Display Colors (p. 2)
                               Unless you plan on running a session file, you should copy the sample files used in this
                               tutorial from the installation folder for your software (<CFXROOT>/examples/) to your
                               working directory. This prevents you from overwriting source files provided with your
                               installation. If you plan to use a session file, please refer to Playing a Session File (p. 61).
                               Sample files used by this tutorial are:
                               •     StaticMixerRefMesh.gtm
                               •     StaticMixerRef.pre
                               •     StaticMixer.def
                               •     StaticMixer_001.res




ANSYS CFX Tutorials                                                                                                        Page 59
ANSYS CFX Release 11.0. © 1996-2006 ANSYS Europe, Ltd. All rights reserved.
Contains proprietary and confidential information of ANSYS, Inc. and its subsidiaries and affiliates.
Tutorial 2: Flow in a Static Mixer (Refined Mesh): Tutorial 2 Features

Tutorial 2 Features
                     This tutorial addresses the following features of ANSYS CFX.


                      Component                                   Feature                                           Details
                      ANSYS CFX-Pre                               User Mode                                         General Mode
                                                                  Simulation Type                                   Steady State
                                                                  Fluid Type                                        General Fluid
                                                                  Domain Type                                       Single Domain
                                                                  Turbulence Model                                  k-Epsilon
                                                                  Heat Transfer                                     Thermal Energy
                                                                  Boundary Conditions                               Inlet (Subsonic)
                                                                                                                    Outlet (Subsonic)
                                                                                                                    Wall: No-Slip
                                                                                                                    Wall: Adiabatic
                                                                  Timestep                                          Physical Time Scale
                      ANSYS CFX-Post                              Plots                                             Planevolume
                                                                                                                    Slice Plane
                                                                                                                    Spherevolume
                                                                  Other                                             Viewing the Mesh

                     In this tutorial you will learn about:
                     •     Using the General Mode of ANSYS CFX-Pre (this mode is used for more complex cases).
                     •     Rerunning a problem with a refined mesh.
                     •     Importing CCL to copy the definition of a different simulation into the current
                           simulation.
                     •     Viewing the mesh with a Sphere volume locator and a Surface Plot.
                     •     Using a Plane Volume locator and the Mesh Calculator to analyze mesh quality.



Overview of the Problem to Solve
                     In this tutorial, you use a refined mesh to obtain a better solution to the Static Mixer problem
                     created in Tutorial 1: Simulating Flow in a Static Mixer Using CFX in Standalone Mode (p. 3).
                     You establish a general workflow for analyzing the flow of fluid into and out of a mixer. This
                     tutorial uses a specific problem to teach the general approach taken when working with an
                     existing mesh.
                     You start a new simulation in ANSYS CFX-Pre and import the refined mesh. This tutorial
                     introduces General Mode—the mode used for most tutorials—in ANSYS CFX-Pre. The
                     physics for this tutorial are the same as for Tutorial 1: Simulating Flow in a Static Mixer Using
                     CFX in Standalone Mode (p. 3); therefore, you can import the physics settings used in that
                     tutorial to save time.




Page 60           ANSYS CFX Tutorials. ANSYS CFX Release 11.0. © 1996-2006 ANSYS Europe, Ltd. All rights reserved.
                  Contains proprietary and confidential information of ANSYS, Inc. and its subsidiaries and affiliates.
Tutorial 2: Flow in a Static Mixer (Refined Mesh): Defining a Simulation using General Mode in ANSYS CFX-Pre

Defining a Simulation using General Mode in ANSYS CFX-Pre
                               After having completed meshing, ANSYS CFX-Pre is used as a consistent and intuitive
                               interface for the definition of complex CFD problems.

Playing a Session File
                               If you want to skip past these instructions, and have ANSYS CFX-Pre set up the simulation
                               automatically, you can select Session > Play Tutorial from the menu in ANSYS CFX-Pre,
                               then run the appropriate session file. For details, see Playing the Session File and Starting
                               ANSYS CFX-Solver Manager (p. 65). After you have played the session file, proceed to
                               Obtaining a Solution Using Interpolation with ANSYS CFX-Solver (p. 66).

Workflow Overview
                               This section provides a brief summary of the topics so that you can see the workflow:
                               1. Creating a New Simulation (p. 61)
                               2. Importing a Mesh (p. 62)
                               3. Importing CCL (p. 62)
                               4. Viewing Domain Settings (p. 63)
                               5. Viewing the Boundary Condition Setting (p. 64)
                               6. Defining Solver Parameters (p. 64)
                               7. Writing the Solver (.def) File (p. 64)
                               As an alternative to these steps, you can also review Playing the Session File and Starting
                               ANSYS CFX-Solver Manager (p. 65)
                               To begin this tutorial and create a new simulation in ANSYS CFX-Pre, continue from Creating
                               a New Simulation (p. 61).

Creating a New Simulation
                               Before importing and working with a mesh, a simulation needs to be developed using
                               General mode.

                               Note: Two procedures are documented. Depending on your installation of ANSYS CFX,
                               follow either the Standalone procedure or the Workbench procedure.

Procedure in                   1. If required, launch ANSYS CFX-Pre.
Standalone                     2. Select File > New Simulation.
                               3. Select General in the New Simulation File dialog box and click OK.
                               4. Select File > Save Simulation As.
                               5. Under File name, type StaticMixerRef and click Save.
                               6. Proceed to Importing a Mesh (p. 62).

Procedure in                   1. If required, launch ANSYS Workbench.
Workbench                      2. Click Empty Project.


ANSYS CFX Tutorials. ANSYS CFX Release 11.0. © 1996-2006 ANSYS Europe, Ltd. All rights reserved.                     Page 61
Contains proprietary and confidential information of ANSYS, Inc. and its subsidiaries and affiliates.
Tutorial 2: Flow in a Static Mixer (Refined Mesh): Defining a Simulation using General Mode in ANSYS CFX-Pre
                          The Project page appears displaying an unsaved project.

                    3. Select File > Save or click Save                             .
                    4. If required, set the path location to your working folder.
                    5. Under File name, type StaticMixerRef and click Save.
                    6. Click Start CFX-Pre under Advanced CFD on the left hand task bar.
                    7. Select File > New Simulation.
                    8. Click General in the New Simulation File window, and then click OK.
                    9. Select File > Save Simulation As.
                    10. Under File name, type StaticMixerRef and click Save.

Importing a Mesh
                    At least one mesh must be imported before physics are applied.
                    An assembly is a group of mesh regions that are topologically connected. Each assembly
                    can contain only one mesh, but multiple assemblies are permitted. The Mesh tree shows the
                    regions in Assembly in a tree structure. The level below Assembly displays 3D regions and
                    the level below each 3D region shows the 2D regions associated with it. The check box next
                    to each item in the Mesh tree indicates the visibility status of the object in the viewer; you
                    can click these to toggle visibility.

Procedure           1. Select File > Import Mesh or right-click Mesh and select Import Mesh.
                    2. In the Import Mesh dialog box, select StaticMixerRefMesh.gtm from your working
                       directory.
                       This is a mesh that is more refined than the one used in Tutorial 1.
                    3. Click Open.
                    4. Right-click a blank area in the viewer and select Predefined Camera > Isometric View
                       (Z up) from the shortcut menu.

Importing CCL
                    Since the physics for this simulation is very similar to that for Tutorial 1, you can save time
                    by importing the settings used there.
                    The CCL contains settings that reference mesh regions. For example, the outlet boundary
                    condition references the mesh region named out. In this tutorial, the name of the mesh
                    regions are the same as in Tutorial 1, so you can import the CCL without error.
                    The physics for a simulation can be saved to a CCL (CFX Command Language) file at any time
                    by selecting File > Export CCL. However, a number of other files can also be used as sources
                    to import CCL including:
                    •     Simulation files (*.cfx)
                    •     Results files (*.res)
                    •     Definition files(*.def)
                    Note: If you import CCL that references non-existent mesh regions, you will get errors.


Page 62          ANSYS CFX Tutorials. ANSYS CFX Release 11.0. © 1996-2006 ANSYS Europe, Ltd. All rights reserved.
                 Contains proprietary and confidential information of ANSYS, Inc. and its subsidiaries and affiliates.
Tutorial 2: Flow in a Static Mixer (Refined Mesh): Defining a Simulation using General Mode in ANSYS CFX-Pre
Procedure                      1. Select File > Import CCL.
                                  The Import CCL dialog box appears.
                               2. Under Import Method, select Append.
                                  Replace is useful if you have defined physics and want to update or replace them with
                                  newly imported physics.
                               3. Under File type, select CFX-Solver Files (*def *res).
                               4. Select StaticMixer.def created in Tutorial 1. If you did not work through Tutorial 1,
                                  you can copy this file from the examples directory.
                               5. Click Open.
                               6. Select the Outline tab.
                                     Tip: To select Outline you may need to click the navigation icons next to the tabs to
                                     move ‘forward’ or ‘backward’ through the various tabs.
                                     The tree view displays a summary of the current simulation in a tree structure. Some
                                     items may be recognized from Tutorial 1—for example the boundary condition objects
                                     in1, in2, and out.


Viewing Domain Settings
                               It is useful to review the options available in General Mode.
                               Various domain settings can be set. These include:
                               •     General Options
                                     Specifies the location of the domain, coordinate frame settings and the fluids/solids that
                                     are present in the domain. You also reference pressure, buoyancy and whether the
                                     domain is stationary or rotating. Mesh motion can also be set.
                               •     Fluid Models
                                     Sets models that apply to the fluid(s) in the domain, such as heat transfer, turbulence,
                                     combustion, and radiation models. An option absent in Tutorial 1 is Turbulent Wall
                                     Functions, which is set to Scalable. Wall functions model the flow in the near-wall
                                     region. For the k-epsilon turbulence model, you should always use scalable wall
                                     functions.
                               •     Initialization
                                     Sets the initial conditions for the current domain only. This is generally used when
                                     multiple domains exist to allow setting different initial conditions in each domain, but
                                     can also be used to initialize single-domain simulations. Global initialization allows the
                                     specification of initial conditions for all domains that do not have domain-specific
                                     initialization.

Procedure                      1. On the Outline tree view, under Simulation, double-click Default Domain.
                                  The domain Default Domain is opened for editing.
                               2. Click General Options and review, but do not change, the current settings.
                               3. Click Fluid Models and review, but do not change, the current settings.
                               4. Click Initialization and review, but do not change, the current settings.
                               5. Click Close.



ANSYS CFX Tutorials. ANSYS CFX Release 11.0. © 1996-2006 ANSYS Europe, Ltd. All rights reserved.                       Page 63
Contains proprietary and confidential information of ANSYS, Inc. and its subsidiaries and affiliates.
Tutorial 2: Flow in a Static Mixer (Refined Mesh): Defining a Simulation using General Mode in ANSYS CFX-Pre

Viewing the Boundary Condition Setting
                    For the k-epsilon turbulence model, you must specify the turbulent nature of the flow
                    entering through the inlet boundary. For this simulation, the default setting of Medium
                    (Intensity = 5%) is used. This is a sensible setting if you do not know the turbulence
                    properties of the incoming flow.

Procedure           1. Under Default Domain, double-click in1.
                    2. Click the Boundary Details tab and review the settings for Flow Regime, Mass and
                       Momentum, Turbulence and Heat Transfer.
                    3. Click Close.

Defining Solver Parameters
                    Solver Control parameters control aspects of the numerical-solution generation process.
                    In Tutorial 1 you set some solver control parameters, such as Advection Scheme and
                    Timescale Control, while other parameters were set automatically by ANSYS CFX-Pre.
                    In this tutorial, High Resolution is used for the advection scheme. This is more accurate
                    than the Upwind Scheme used in Tutorial 1. You usually require a smaller timestep when
                    using this model. You can also expect the solution to take a higher number of iterations to
                    converge when using this model.

Procedure           1. Select Insert > Solver > Solver Control from the main menu or click Solver Control                               .
                    2. Apply the following Basic Settings


                            Setting                                                                                Value
                            Advection Scheme > Option                                                              High Resolution
                            Convergence Control > Max. Iterations*                                                 150
                            Convergence Control > Fluid Timescale Control >                                        Physical Timescale
                            Timescale Control
                            Convergence Control > Fluid Timescale Control > Physical                               0.5 [s]
                            Timescale
                                 *.    If your solution does not meet the convergence criteria after this number of
                                       timesteps, the ANSYS CFX-Solver will stop.

                    3. Click Apply.
                    4. Click the Advanced Options tab.
                    5. Ensure that Global Dynamic Model Control is selected.
                    6. Click OK.

Writing the Solver (.def) File
                    Once all boundaries are created you move from ANSYS CFX-Pre into ANSYS CFX-Solver.




Page 64          ANSYS CFX Tutorials. ANSYS CFX Release 11.0. © 1996-2006 ANSYS Europe, Ltd. All rights reserved.
                 Contains proprietary and confidential information of ANSYS, Inc. and its subsidiaries and affiliates.
Tutorial 2: Flow in a Static Mixer (Refined Mesh): Defining a Simulation using General Mode in ANSYS CFX-Pre
                               The simulation file—StaticMixerRef.cfx—contains the simulation definition in a format
                               that can be loaded by ANSYS CFX-Pre, allowing you to complete (if applicable), restore, and
                               modify the simulation definition. The simulation file differs from the definition file in two
                               important ways:
                               •     The simulation file can be saved at any time while defining the simulation.
                               •     The definition file is an encapsulated set of meshes and CCL defining a solver run, and is
                                     a subset of the data in the simulation file.

Procedure                      1. Click Write Solver File                   .
                                     The Write Solver File dialog box is displayed.
                               2. If required, set the path to your working directory.
                               3. Apply the following settings:


                                      Setting                                           Value
                                      File name                                         StaticMixerRef.def
                                      Quit CFX–Pre*                                     (Selected)

                                           *.    If using ANSYS CFX-Pre in Standalone Mode.

                               4. Ensure Start Solver Manager is selected and click Save.
                               5. If you are notified that the file already exists, click Overwrite.
                               6. If prompted, click Yes or Save & Quit to save StaticMixerRef.cfx.
                                  The definition file (StaticMixerRef.def) and the simulation file
                                  (StaticMixerRef.cfx) are created. ANSYS CFX-Solver Manager automatically starts
                                  and the definition file is set in the Definition File box of Define Run.
                               7. Proceed to Obtaining a Solution Using Interpolation with ANSYS CFX-Solver (p. 66).

Playing the Session File and Starting ANSYS CFX-Solver Manager
                               If you have performed all the tasks in the previous steps, proceed directly to Obtaining a
                               Solution Using Interpolation with ANSYS CFX-Solver (p. 66).
                               Two procedures are documented. Depending on your installation of ANSYS CFX follow
                               either the standalone procedure or the ANSYS Workbench procedure.

Procedure in                   1. If required, launch ANSYS CFX-Pre.
Standalone                     2. Select Session > Play Tutorial.
                               3. Select StaticMixerRef.pre.
                               4. Click Open.
                                  A definition file is written.
                               5. Select File > Quit.
                               6. Launch ANSYS CFX-Solver Manager from CFX Launcher.
                               7. After ANSYS CFX-Solver starts, select File > Define Run.

                               8. Under Definition File, click Browse                              .
                               9. Select StaticMixerRef.def, located in the working directory.

ANSYS CFX Tutorials. ANSYS CFX Release 11.0. © 1996-2006 ANSYS Europe, Ltd. All rights reserved.                       Page 65
Contains proprietary and confidential information of ANSYS, Inc. and its subsidiaries and affiliates.
Tutorial 2: Flow in a Static Mixer (Refined Mesh): Obtaining a Solution Using Interpolation with ANSYS CFX-Solver
                    10. Proceed to Obtaining a Solution Using Interpolation with ANSYS CFX-Solver (p. 66).

Procedure in        1. If required, launch ANSYS Workbench.
ANSYS               2. Click Empty Project.
Workbench
                    3. Select File > Save or click Save                             .

                    4. Under File name, type StaticMixerRef and click Save.
                    5. Click Start CFX-Pre.
                    6. Select Session > Play Tutorial.
                    7. Select StaticMixerRef.pre.
                    8. Click Open.
                       A definition file is written.
                    9. Click the CFX-Solver tab.
                    10. Select File > Define Run.

                    11. Under Definition File, click Browse                              .
                    12. Select StaticMixerRef.def, located in the working directory.



Obtaining a Solution Using Interpolation with ANSYS
        CFX-Solver
                    Two windows are displayed when ANSYS CFX-Solver Manager runs. There is an adjustable
                    split between the windows which is oriented either horizontally or vertically, depending on
                    the aspect ratio of the entire ANSYS CFX-Solver Manager window (also adjustable).

Workflow Overview
                    This section provides a brief summary of the topics to follow as a general workflow:
                    1. Interpolating the Results and Starting the Run (p. 66)
                    2. Confirming Results (p. 67)
                    3. Moving from ANSYS CFX-Solver to ANSYS CFX-Post (p. 67)

Interpolating the Results and Starting the Run
                    In the ANSYS CFX-Solver Manager, Define Run is visible and Definition File has
                    automatically been set to the definition file from ANSYS CFX-Pre: StaticMixerRef.def.
                    You want to make use of the results from Tutorial 1, but the two meshes are not identical.
                    The initial values file needs to have its data interpolated onto the new mesh associated with
                    the definition file.
                    The ANSYS CFX-Solver supports automatic interpolation that will be used in the following
                    steps:




Page 66          ANSYS CFX Tutorials. ANSYS CFX Release 11.0. © 1996-2006 ANSYS Europe, Ltd. All rights reserved.
                 Contains proprietary and confidential information of ANSYS, Inc. and its subsidiaries and affiliates.
Tutorial 2: Flow in a Static Mixer (Refined Mesh): Obtaining a Solution Using Interpolation with ANSYS CFX-Solver
                               The values from StaticMixer_001.res will be interpolated onto the definition file’s mesh
                               when the run is started. The results from StaticMixer_001.res will be used as the initial
                               guess for this simulation (rather than Solver defaults) because you have set the initialization
                               for all variables in ANSYS CFX-Pre to Automatic or Automatic with Value.

Procedure                      1. Under Initial Values File, click Browse                               .
                               2. Select the results file from Tutorial 1: StaticMixer_001.res
                                  If you did not complete the first tutorial, you can use StaticMixer_001.res from your
                                  working directory.
                               3. Click Open.
                               4. Select Interpolate Initial Values onto Def File Mesh.
                               5. Click Start Run.
                               Note: The message Finished interpolation successfully appears relatively quickly.
                               Convergence information is plotted once the second outer loop iteration is complete.

Confirming Results
                               When interpolation is successful, specific information appears in the text screen of ANSYS
                               CFX-Solver.
                               To confirm that the interpolation was successful, look in the text pane in ANSYS CFX-Solver
                               Manager. The following text appears before the convergence history begins:
                               +---------------------------------------------------------+
                               | Initial Conditions Supplied by Fields in the Input Files
                               +---------------------------------------------------------+
                               This lists the variables that were interpolated from the results file. After the final iteration, a
                               message similar to the following content appears:
                               CFD Solver finished: Tue Oct 19 08:06:45 2004
                               CFD Solver wall clock seconds: 1.7100E+02
                               Execution terminating:
                               all residual
                               are below their target criteria
                               This indicates that ANSYS CFX-Solver has successfully calculated the solution for the
                               problem to the specified accuracy or has run out of coefficient loops.

Procedure                      1. When the run finishes and asks if you want to post-process the results, click No to keep
                                  ANSYS CFX-Solver open. Review the results on the Out File tab for details on the run
                                  results.

Moving from ANSYS CFX-Solver to ANSYS CFX-Post
                               Once ANSYS CFX-Solver has finished, you can use ANSYS CFX-Post to review the finished
                               results.

Procedure                      1. Select Tools > Post–Process Results or click Post–Process Results            in the toolbar.
                               2. If using ANSYS CFX-Solver in Standalone Mode, select Shut down Solver Manager.
                                  This forces Standalone ANSYS CFX-Solver to close when finished. This option is not
                                  required in Workbench.
                               3. Click OK.

ANSYS CFX Tutorials. ANSYS CFX Release 11.0. © 1996-2006 ANSYS Europe, Ltd. All rights reserved.                          Page 67
Contains proprietary and confidential information of ANSYS, Inc. and its subsidiaries and affiliates.
Tutorial 2: Flow in a Static Mixer (Refined Mesh): Viewing the Results in ANSYS CFX-Post
                          After a short pause, ANSYS CFX-Post starts.



Viewing the Results in ANSYS CFX-Post
                    In the following sections, you will explore the differences between the mesh and the results
                    from this tutorial and tutorial 1.

Creating a Slice Plane
                    More information exists for use by ANSYS CFX-Post in this tutorial than in Tutorial 1 because
                    the slice plane is more detailed.
                    Once a new slice plane is created it can be compared with Tutorial 1. There are three
                    noticeable differences between the two slice planes.
                    •     Around the edges of the mixer geometry there are several layers of narrow rectangles.
                          This is the region where the mesh contains prismatic elements (which are created as
                          inflation layers). The bulk of the geometry contains tetrahedral elements.
                    •     There are more lines on the plane than there were in Tutorial 1. This is because the slice
                          plane intersects with more mesh elements.
                    •     The curves of the mixer are smoother than in Tutorial 1 because the finer mesh better
                          represents the true geometry.

Procedure           1. Right-click a blank area in the viewer and select Predefined Camera > Isometric View
                       (Z up).
                    2. From the main menu, select Insert > Location > Plane or under Location, click Plane.
                    3. In the Insert Plane dialog box, type Slice and click OK.
                       The Geometry, Color, Render and View tabs let you switch between settings.
                    4. Apply the following settings


                            Tab                                               Setting                                    Value
                            Geometry                                          Domains                                    Default Domain
                                                                              Definition > Method                        XY Plane
                                                                              Definition > Z                             1 [m]
                            Render                                            Draw Faces                                 (Cleared)
                                                                              Draw Lines                                 (Selected)

                    5. Click Apply.
                    6. Right-click a blank area in the viewer and select Predefined Camera > View Towards
                       -Z.

                    7. Click Zoom Box                    .
                    8. Zoom in on the geometry to view it in greater detail.




Page 68          ANSYS CFX Tutorials. ANSYS CFX Release 11.0. © 1996-2006 ANSYS Europe, Ltd. All rights reserved.
                 Contains proprietary and confidential information of ANSYS, Inc. and its subsidiaries and affiliates.
Tutorial 2: Flow in a Static Mixer (Refined Mesh): Viewing the Results in ANSYS CFX-Post
                                     Compare the on-screen image with the equivalent picture from tutorial 1 (in the section
                                     Rendering Slice Planes (p. 22)).




Coloring the Slice Plane
                               Here, you will color the plane by temperature.

Procedure                      1. Apply the following settings


                                      Tab                                               Setting            Value
                                      Color                                             Mode    *          Variable
                                                                                        Variable           Temperature
                                                                                        Range              Global
                                      Render                                            Draw Faces         (Selected)
                                                                                        Draw Lines         (Cleared)
                                           *.    A mode setting of Constant would allow you to color the plane with a fixed color.

                               2. Click Apply.

Loading Results from Tutorial 1 for Comparison
                               In ANSYS CFX-Post, you may load multiple results files into the same instance for
                               comparison.

Procedure                      1. To load the results file from Tutorial 1, select File > Load Results or click
                                     Load Results               .
                               2. Be careful not to click Open until instructed to do so. In the Load Results File dialog
                                  box, select StaticMixer_001.res in the <CFXROOT>examples directory or from your
                                  working directory if it has been copied.

ANSYS CFX Tutorials. ANSYS CFX Release 11.0. © 1996-2006 ANSYS Europe, Ltd. All rights reserved.                              Page 69
Contains proprietary and confidential information of ANSYS, Inc. and its subsidiaries and affiliates.
Tutorial 2: Flow in a Static Mixer (Refined Mesh): Viewing the Results in ANSYS CFX-Post
                    3. On the right side of the dialog box, there are two frames. Under Results file option,
                       select Add to current results.
                    4. Select the Offset in Y direction check box.
                    5. Under Additional actions, ensure that the Clear user state before loading check box
                       is cleared.
                    6. Click Open to load the results.
                       In the tree view, there is now a second group of domains, meshes and boundary
                       conditions with the heading StaticMixer_001.
                    7. Double-click the Wireframe object under User Locations and Plots.
                    8. In the Definition tab, set Edge Angle to 5 [degree].
                    9. Click Apply.
                    10. Right-click a blank area in the viewer and select Predefined Camera > Isometric View
                        (Z up).
                        Both meshes are now displayed in a line along the Y axis. Notice that one mesh is of a
                        higher resolution than the other.
                    11. Set Edge Angle to 30 [degree].
                    12. Click Apply.

Creating a Second Slice Plane
Procedure           1. In the tree view, right-click the plane named Slice and select Duplicate.
                    2. Click OK to accept the default name Slice 1.
                    3. In the tree view, double-click the plane named Slice 1.
                    4. On the Geometry tab, set Domains to Default Domain 1.
                    5. On the Color tab, ensure that Range is set to Global.
                    6. Click Apply.
                    7. Double-click Slice and make sure that Range is set to Global.

Comparing Slice Planes using Multiple Views
Procedure           1. Select the option with the two vertical rectangles. Notice that the Viewer now has two
                       separate views.




                          The visibility status of each object is maintained separately for each view or figure that
                          can be displayed in a given viewport. This allows some planes to be shown while others
                          are hidden.



Page 70          ANSYS CFX Tutorials. ANSYS CFX Release 11.0. © 1996-2006 ANSYS Europe, Ltd. All rights reserved.
                 Contains proprietary and confidential information of ANSYS, Inc. and its subsidiaries and affiliates.
Tutorial 2: Flow in a Static Mixer (Refined Mesh): Viewing the Results in ANSYS CFX-Post
                               2. Click in the viewport that is set to show View 1, then clear the visibility check box for
                                  Slice in the Outline tree view and ensure that the visibility check box for Slice 1 is
                                  selected.
                               3. Click in the viewport that is set to show View 2, then select the visibility check box for
                                  Slice and ensure that the visibility check box for Slice 1 is cleared.
                               4. In the tree view, double-click StaticMixer_001 and clear Apply Translation.
                               5. Click Apply.

                               6. In the viewer toolbar, click Synchronise Active Views                 .
                                     Notice that both views move in the same way and are zoomed in at the same level.
                               7. Right-click in the viewer and select Predefined Camera > View Towards -Z.
                                  Note the difference in temperature distribution.
                               8. To return to a single viewport, select the option with a single rectangle.




                               9. Right-click Slice 1 in the tree view and select Delete.
                               10. Ensure that the visibility check box for Slice is cleared.
                               11. Right-click StaticMixer_001 in the tree view and select Unload.

Viewing the Surface Mesh on the Outlet
                               In this part of the tutorial, you will view the mesh on the outlet. You will see five layers of
                               inflated elements against the wall. You will also see the triangular faces of the tetrahedral
                               elements closer to the center of the outlet.

Procedure                      1. Right-click a blank area in the viewer and select Predefined Camera > Isometric View
                                  (Z up).
                               2. In the tree view, ensure that the visibility check box for StaticMixerRef_001 >
                                  Default Domain > out is selected, then double-click out to open it for editing.
                                  Since the boundary location geometry was defined in ANSYS CFX-Pre, the details view
                                  does not display a Geometry tab as it did for the planes.
                               3. Apply the following settings


                                      Tab                                               Setting             Value
                                      Render                                            Draw Faces          (Cleared)
                                                                                        Draw Lines          (Selected)
                                                                                        Color Mode          User Specified
                                                                                        Line Color          (Select any light color)
                               4. Click Apply.

ANSYS CFX Tutorials. ANSYS CFX Release 11.0. © 1996-2006 ANSYS Europe, Ltd. All rights reserved.                                       Page 71
Contains proprietary and confidential information of ANSYS, Inc. and its subsidiaries and affiliates.
Tutorial 2: Flow in a Static Mixer (Refined Mesh): Viewing the Results in ANSYS CFX-Post

                    5. Click Zoom Box                    .
                    6. Zoom in on the geometry to view out in greater detail.

                    7. Click Rotate                 on the Viewing Tools toolbar.
                    8. Rotate the image as required to clearly see the mesh.

Looking at the Inflated Elements in Three Dimensions
                    To show more clearly what effect inflation has on the shape of the elements, you will use
                    volume objects to show two individual elements. The first element that will be shown is a
                    normal tetrahedral element; the second is a prismatic element from an inflation layer of the
                    mesh.
                    Leave the surface mesh on the outlet visible to help see how surface and volume meshes are
                    related.

Procedure           1. From the main menu, select Insert > Location > Volume or, under Location click
                       Volume.
                    2. In the Insert Volume dialog box, type Tet Volume and click OK.
                    3. Apply the following settings


                            Tab                                               Setting                                    Value
                            Geometry                                          Definition > Method                        Sphere
                                                                              Definition > Point       *                 0.08, 0, -2
                                                                              Definition > Radius                        0.14 [m]
                                                                              Definition > Mode                          Below Intersection
                                                                              Inclusive†                                 (Cleared)
                            Color                                             Color                                      Red
                            Render                                            Draw Faces > Transparency                  0.3
                                                                              Draw Lines                                 (Selected)
                                                                              Draw Lines > Line Width                    1
                                                                              Draw Lines > Color Mode                    User Specified
                                                                              Draw Lines > Line Color                    Grey
                                 *.    The z slider’s minimum value corresponds to the minimum z value of the entire
                                       geometry, which, in this case, occurs at the outlet.
                                 †.    Only elements that are entirely contained within the sphere volume will be
                                       included.

                    4. Click Apply to create the volume object.
                    5. Right-click Tet Volume and choose Duplicate.
                    6. In the Duplicate Tet Volume dialog box, type Prism Volume and click OK.
                    7. Double-click Prism Volume.
                    8. Apply the following settings




Page 72          ANSYS CFX Tutorials. ANSYS CFX Release 11.0. © 1996-2006 ANSYS Europe, Ltd. All rights reserved.
                 Contains proprietary and confidential information of ANSYS, Inc. and its subsidiaries and affiliates.
Tutorial 2: Flow in a Static Mixer (Refined Mesh): Viewing the Results in ANSYS CFX-Post


                                      Tab                                               Setting               Value
                                      Geometry                                          Definition > Point    -0.22, 0.4, -1.85
                                                                                        Definition > Radius   0.206 [m]
                                      Color                                             Color                 Orange

                               9. Click Apply.

Viewing the Surface Mesh on the Mixer Body
Procedure                      1. Double-click the Default Domain Default object.
                               2. Apply the following settings


                                      Tab                                               Setting               Value
                                      Render                                            Draw Faces            (Selected)
                                                                                        Draw Lines            (Selected)
                                                                                        Line Width            2

                               3. Click Apply.

Viewing the Layers of Inflated Elements on a Plane
                               You will see the layers of inflated elements on the wall of the main body of the mixer. Within
                               the body of the mixer, there will be many lines that are drawn wherever the face of a mesh
                               element intersects the slice plane.

Procedure                      1. From the main menu, select Insert > Location > Plane or under Location, click Plane.
                               2. In the Insert Plane dialog box, type Slice 2 and click OK.
                               3. Apply the following settings


                                      Tab                                               Setting               Value
                                      Geometry                                          Definition > Method   YZ Plane
                                                                                        Definition > X        0 [m]
                                      Render                                            Draw Faces            (Cleared)
                                                                                        Draw Lines            (Selected)

                               4. Click Apply.
                               5. Turn off the visibility of all objects except Slice 2.
                               6. To see the plane clearly, right-click in the viewer and select Predefined Camera > View
                                  Towards -X.

Viewing the Mesh Statistics
                               You can use the Report Viewer to check the quality of your mesh. For example, you can load
                               a .def file into ANSYS CFX-Post and check the mesh quality before running the .def file in
                               the solver.

ANSYS CFX Tutorials. ANSYS CFX Release 11.0. © 1996-2006 ANSYS Europe, Ltd. All rights reserved.                                  Page 73
Contains proprietary and confidential information of ANSYS, Inc. and its subsidiaries and affiliates.
Tutorial 2: Flow in a Static Mixer (Refined Mesh): Viewing the Results in ANSYS CFX-Post
Procedure           1. Click the Report Viewer tab (located below the viewer window).
                       A report appears. Look at the table shown in the “Mesh Report” section.
                    2. Double-click Report > Mesh Report in the Outline tree view.
                    3. In the Mesh Report details view, select Statistics > Maximum Face Angle.
                    4. Click Refresh Preview.
                          Note that a new table, showing the maximum face angle for all elements in the mesh,
                          has been added to the “Mesh Report” section of the report. The maximum face angle is
                          reported as 148.95°.
                    As a result of generating this mesh statistic for the report, a new variable, Maximum Face
                    Angle, has been created and stored at every node. This variable will be used in the next
                    section.

Viewing the Mesh Elements with Largest Face Angle
                    In this section, you will visualize the mesh elements that have a Maximum Face Angle value
                    greater than 140°.

Procedure           1. Click the 3D Viewer tab (located below the viewer window).
                    2. Right-click a blank area in the viewer and select Predefined Camera > Isometric View
                       (Z up).
                    3. In the Outline tree view, select the visibility check box of Wireframe.
                    4. From the main menu, select Insert > Location > Volume or under Location, click
                       Volume.
                    5. In the Insert Volume dialog box, type Max Face Angle Volume and click OK.
                    6. Apply the following settings


                            Tab                                               Setting                                    Value
                            Geometry                                          Definition > Method                        Isovolume
                                                                              Definition > Variable                      Maximum Face Angle*
                                                                              Definition > Mode                          Above Value
                                                                              Definition > Value                         140 [degree]
                                                                              Inclusive†                                 (Selected)

                                 *.    Select Maximum Face Angle from the larger list of variables available by clicking

                                             to the right of the Variable box.
                                 †.    This includes any elements that have at least one node with a variable value greater
                                       than or equal to the given value.

                    7. Click Apply.
                          The volume object appears in the viewer.




Page 74          ANSYS CFX Tutorials. ANSYS CFX Release 11.0. © 1996-2006 ANSYS Europe, Ltd. All rights reserved.
                 Contains proprietary and confidential information of ANSYS, Inc. and its subsidiaries and affiliates.
Tutorial 2: Flow in a Static Mixer (Refined Mesh): Viewing the Results in ANSYS CFX-Post

Viewing the Mesh Elements with Largest Face Angle Using a Point
                               Next, you will create a point object to show a node that has the maximum value of Maximum
                               Face Angle. The point object will be represented by a 3D yellow crosshair symbol. In order
                               to avoid obscuring the point object with the volume object, you may want to turn off the
                               visibility of the latter.

Procedure                      1. From the main menu, select Insert > Location > Point or under Location, click Point.
                               2. Click OK to use the default name.
                               3. Apply the following settings


                                      Tab                                               Setting                 Value
                                      Geometry                                          Definition > Method     Variable Maximum
                                                                                        Definition > Location   Default Domain
                                                                                        Definition > Variable   Maximum Face Angle
                                      Symbol                                            Symbol Size             2

                               4. Click Apply.

Quitting ANSYS CFX-Post
                               Two procedures are documented. Depending on your installation of ANSYS CFX, follow
                               either the standalone procedure or the ANSYS Workbench procedure.

Procedure in                   1. When you are finished, select File > Quit to exit ANSYS CFX-Post.
Standalone                     2. Click Quit if prompted to save.

Procedure in                   1. When you are finished, select File > Close to close the current file.
Workbench                      2. Click Close if prompted to save.
                               3. Return to the Project page. Select File > Close Project.
                               4. Select No, then close Workbench.




ANSYS CFX Tutorials. ANSYS CFX Release 11.0. © 1996-2006 ANSYS Europe, Ltd. All rights reserved.                                     Page 75
Contains proprietary and confidential information of ANSYS, Inc. and its subsidiaries and affiliates.
Tutorial 2: Flow in a Static Mixer (Refined Mesh): Viewing the Results in ANSYS CFX-Post




Page 76          ANSYS CFX Tutorials. ANSYS CFX Release 11.0. © 1996-2006 ANSYS Europe, Ltd. All rights reserved.
                 Contains proprietary and confidential information of ANSYS, Inc. and its subsidiaries and affiliates.
Tutorial 3:
Flow in a Process Injection
Mixing Pipe

Introduction
                               This tutorial includes:
                               •     Tutorial 3 Features (p. 78)
                               •     Overview of the Problem to Solve (p. 78)
                               •     Defining a Simulation using General Mode in ANSYS CFX-Pre (p. 79)
                               •     Obtaining a Solution Using ANSYS CFX-Solver Manager (p. 87)
                               •     Viewing the Results in ANSYS CFX-Post (p. 88)

                               If this is the first tutorial you are working with, it is important to review the following topics
                               before beginning:
                               •     Setting the Working Directory (p. 1)
                               •     Changing the Display Colors (p. 2)
                               Unless you plan on running a session file, you should copy the sample files used in this
                               tutorial from the installation folder for your software (<CFXROOT>/examples/) to your
                               working directory. This prevents you from overwriting source files provided with your
                               installation. If you plan to use a session file, please refer to Playing a Session File (p. 79).
                               Sample files referenced by this tutorial include:
                               •     InjectMixer.pre
                               •     InjectMixer_velocity_profile.csv
                               •     InjectMixerMesh.gtm




ANSYS CFX Tutorials                                                                                                        Page 77
ANSYS CFX Release 11.0. © 1996-2006 ANSYS Europe, Ltd. All rights reserved.
Contains proprietary and confidential information of ANSYS, Inc. and its subsidiaries and affiliates.
Tutorial 3: Flow in a Process Injection Mixing Pipe: Tutorial 3 Features

Tutorial 3 Features
                     This tutorial addresses the following features of ANSYS CFX.


                      Component                             Feature                                          Details
                      ANSYS CFX-Pre                         User Mode                                        General Mode
                                                            Simulation Type                                  Steady State
                                                            Fluid Type                                       General Fluid
                                                            Domain Type                                      Single Domain
                                                            Turbulence Model                                 k-Epsilon
                                                            Heat Transfer                                    Thermal Energy
                                                            Boundary Conditions                              Boundary Profile visualization
                                                                                                             Inlet (Profile)
                                                                                                             Inlet (Subsonic)
                                                                                                             Outlet (Subsonic)
                                                                                                             Wall: No-Slip
                                                                                                             Wall: Adiabatic
                                                            CEL (CFX Expression Language)
                                                            Timestep                                         Physical Time Scale
                      ANSYS CFX-Post                        Plots                                            default Locators
                                                                                                             Outline Plot (Wireframe)
                                                                                                             Slice Plane
                                                                                                             Streamline
                                                            Other                                            Changing the Color Range
                                                                                                             Expression Details View
                                                                                                             Legend
                                                                                                             Viewing the Mesh

                     In this tutorial you will learn about:
                     •     Applying a profile boundary condition using data stored in a file.
                     •     Visualizing the velocity on a boundary in ANSYS CFX-Pre.
                     •     Using the CFX Expression Language (CEL) to describe temperature dependent fluid
                           properties in ANSYS CFX-Pre.
                     •     Using the k-epsilon turbulence model.
                     •     Using streamlines in ANSYS CFX-Post to track flow through the domain.



Overview of the Problem to Solve
                     In this tutorial, you establish a general workflow for analyzing the flow of fluid into and out
                     of an injection pipe. This tutorial is important because it uses a specific problem to teach the
                     general approach taken when working with an existing mesh.




Page 78           ANSYS CFX Tutorials. ANSYS CFX Release 11.0. © 1996-2006 ANSYS Europe, Ltd. All rights reserved.
                  Contains proprietary and confidential information of ANSYS, Inc. and its subsidiaries and affiliates.
Tutorial 3: Flow in a Process Injection Mixing Pipe: Defining a Simulation using General Mode in ANSYS CFX-Pre
                               The injection mixing pipe, common in the process industry, is composed of two pipes: one
                               with a larger diameter than the other. Analyzing and optimizing the mixing process is often
                               critical for many chemical processes. CFD is useful not only in identifying problem areas
                               (where mixing is poor), but also in testing new designs before they are implemented.
                               The geometry for this example consists of a circular pipe of diameter 1.0 m with a 90° bend,
                               and a smaller pipe of diameter 0.3 m which joins with the main pipe at an oblique angle.
                               Figure 1                 Injection Mixing Pipe




                                                                                            0.5 m/s
                                   φ=1.0 m                                                  285.0 K




                                φ=0.3 m




                                                       5.0 m/s
                                                       315.0 K




Defining a Simulation using General Mode in ANSYS CFX-Pre
                               After having completed meshing, ANSYS CFX-Pre is used as a consistent and intuitive
                               interface for the definition of complex CFD problems.

Playing a Session File
                               If you wish to skip past these instructions, and have ANSYS CFX-Pre set up the simulation
                               automatically, you can select Session > Play Tutorial from the menu in ANSYS CFX-Pre,
                               then run the appropriate session file. For details, see Playing the Session File and Starting
                               ANSYS CFX-Solver Manager (p. 87). After you have played the session file, proceed to
                               Obtaining a Solution Using ANSYS CFX-Solver Manager (p. 87).

Workflow Overview
                               This section provides a brief summary of the topics to follow as a general workflow:
                               1. Creating a New Simulation (p. 80)
                               2. Importing a Mesh (p. 80)
                               3. Setting Temperature-Dependent Material Properties (p. 81)
                               4. Plotting an Expression (p. 82)

ANSYS CFX Tutorials. ANSYS CFX Release 11.0. © 1996-2006 ANSYS Europe, Ltd. All rights reserved.                     Page 79
Contains proprietary and confidential information of ANSYS, Inc. and its subsidiaries and affiliates.
Tutorial 3: Flow in a Process Injection Mixing Pipe: Defining a Simulation using General Mode in ANSYS CFX-Pre
                    5. Evaluating an Expression (p. 82)
                    6. Modify Material Properties (p. 82)
                    7. Creating the Domain (p. 82)
                    8. Creating the Side Inlet Boundary Conditions (p. 83)
                    9. Creating the Main Inlet Boundary Conditions (p. 84)
                    10. Creating the Main Outlet Boundary Condition (p. 85)
                    11. Setting Initial Values (p. 85)
                    12. Setting Solver Control (p. 85)
                    13. Writing the Solver (.def) File (p. 86)

Creating a New Simulation
                    Before importing and working with a mesh, a simulation needs to be started using General
                    Mode.

                    Note: Two procedures are documented. Depending on your installation of ANSYS CFX
                    follow either the Standalone procedure or the Workbench procedure.

Procedure in        1. If required, launch ANSYS CFX-Pre.
Standalone          2. Select File > New Simulation.
                    3. Ensure General is selected and click OK.
                    4. Select File > Save Simulation As.
                    5. Under File name, type InjectMixer.
                    6. Click Save.
                    7. Proceed to Importing a Mesh (p. 80).

Procedure in        1. If required, launch ANSYS Workbench.
Workbench           2. Click Empty Project.
                       The Project page will appear displaying an unsaved project.

                    3. Select File > Save or click Save                             .
                    4. If required, set the path location to your working folder.
                    5. Under File name, type InjectMixer.
                    6. Click Save.
                    7. Click Start CFX-Pre under Advanced CFD on the left hand task bar.
                    8. Select File > New Simulation.
                    9. Click General in the New Simulation File window and then click OK.
                    10. Select File > Save Simulation As.
                    11. Under File name, type InjectMixer.
                    12. Click Save.

Importing a Mesh
                    An assembly is a group of mesh regions that are topologically connected. Each assembly
                    can contain only one mesh, but multiple assemblies are permitted.

Page 80          ANSYS CFX Tutorials. ANSYS CFX Release 11.0. © 1996-2006 ANSYS Europe, Ltd. All rights reserved.
                 Contains proprietary and confidential information of ANSYS, Inc. and its subsidiaries and affiliates.
Tutorial 3: Flow in a Process Injection Mixing Pipe: Defining a Simulation using General Mode in ANSYS CFX-Pre
Procedure                      1. Select File > Import Mesh.
                               2. From your tutorial directory, select InjectMixerMesh.gtm.
                               3. Click Open.
                               4. Right-click a blank area in the viewer and select Predefined Camera > Isometric View
                                  (Y up) from the shortcut menu.

Setting Temperature-Dependent Material Properties
                               You will create an expression for viscosity as a function of temperature and then use this
                               expression to modify the properties of the library material: Water.
                               Viscosity will be made to vary linearly with temperature between the following conditions:
                               •     µ =1.8E-03 N s m-2 at T=275.0 K
                               •     µ =5.45E-04 N s m-2 at T=325.0 K
                               The variable T (Temperature) is a ANSYS CFX System Variable recognized by ANSYS CFX-Pre,
                               denoting static temperature. All variables, expressions, locators, functions, and constants
                               can be viewed by double-clicking the appropriate entry (such as Additional Variables
                               or Expressions) in the tree view.
                               All expressions must have consistent units. You should be careful if using temperature in an
                               expression with units other than [K].
                               The Expressions tab lets you define, modify, evaluate, plot, copy, delete and browse
                               through expressions used within ANSYS CFX-Pre.

Procedure                      1. From the main menu, select Insert > Expressions, Functions and Variables >
                                  Expression.
                               2. In the New Expression dialog box, type Tupper.
                               3. Click OK.
                                  The details view for the Tupper equation is displayed.
                               4. Under Definition, type 325 [K].
                               5. Click Apply to create the expression.
                                  The expression is added to the list of existing expressions.
                               6. Right-click in the Expressions workspace and select New.
                               7. In the New Expression dialog box, type Tlower.
                               8. Click OK.
                               9. Under Definition, type 275 [K].
                               10. Click Apply to create the expression.
                                   The expression is added to the list of existing expressions.
                               11. Create expressions for Visupper, Vislower and VisT using the following values.


                                      Name                                  Definition
                                      Visupper                              5.45E-04 [N s m^-2]
                                      Vislower                              1.8E-03 [N s m^-2]
                                      VisT                                  Vislower+(Visupper-Vislower)*(T-Tlower)/(Tupper-Tlower)

ANSYS CFX Tutorials. ANSYS CFX Release 11.0. © 1996-2006 ANSYS Europe, Ltd. All rights reserved.                                      Page 81
Contains proprietary and confidential information of ANSYS, Inc. and its subsidiaries and affiliates.
Tutorial 3: Flow in a Process Injection Mixing Pipe: Defining a Simulation using General Mode in ANSYS CFX-Pre

Plotting an Expression
Procedure           1. Right-click VisT in the Expressions tree view, and then select Edit.
                       The Expressions details view for VisT appears.
                          Tip: Alternatively, double-clicking the expression also opens the Expressions details
                          view.
                    2. Click the Plot tab and apply the following settings


                            Tab                                               Setting                                    Value
                            Plot                                              Number of Points                           10
                                                                              T                                          (Selected)
                                                                              Start of Range                             275 [K]
                                                                              End of Range                               325 [K]

                    3. Click Plot Expression.
                          A plot showing the variation of the expression VisT with the variable T is displayed.

Evaluating an Expression
Procedure           1. Click the Evaluate tab.
                    2. In T, type 300 [K].
                       This is between the start and end range defined in the last module.
                    3. Click Evaluate Expression.
                          The value of VisT for the given value of T appears in the Value field.

Modify Material Properties
                    Default material properties (such as those of Water) can be modified when required.

Procedure           1. Click the Outline tab.
                    2. Double click Water under Materials to display the Basic Settings tab.
                    3. Click the Material Properties tab.
                    4. Expand Transport Properties.
                    5. Select Dynamic Viscosity.
                    6. Under Dynamic Viscosity, click in Dynamic Viscosity.

                    7. Click Enter Expression                      .
                    8. Enter the expression VisT into the data box.
                    9. Click OK.

Creating the Domain
                    The domain will be set to use the thermal energy heat transfer model, and the k-ε
                    (k-epsilon) turbulence model.



Page 82          ANSYS CFX Tutorials. ANSYS CFX Release 11.0. © 1996-2006 ANSYS Europe, Ltd. All rights reserved.
                 Contains proprietary and confidential information of ANSYS, Inc. and its subsidiaries and affiliates.
Tutorial 3: Flow in a Process Injection Mixing Pipe: Defining a Simulation using General Mode in ANSYS CFX-Pre
                               Both General Options and Fluid Models are changed in this module. The Initialization tab
                               is for setting domain-specific initial conditions, which are not used in this tutorial. Instead,
                               global initialization is used to set the starting conditions.

Procedure                      1. Select Insert > Domain from the main menu or click Domain                                      .
                               2. In the Insert Domain dialog box, type InjectMixer.
                               3. Click OK.
                               4. Apply the following settings


                                      Tab                                               Setting                          Value
                                      General Options                                   Basic Settings > Location        B1.P3
                                                                                        Basic Settings > Fluids List     Water
                                                                                        Domain Models > Pressure > 0 [atm]
                                                                                        Reference Pressure

                               5. Click Fluid Models.
                               6. Apply the following settings


                                      Setting                                                           Value
                                      Heat Transfer > Option                                            Thermal Energy

                               7. Click OK.

Creating the Side Inlet Boundary Conditions
                               The side inlet boundary condition needs to be defined.

Procedure                      1. Select Insert > Boundary Condition from the main menu or click Boundary Condition
                                           .
                               2. Set Name to side inlet.
                               3. Click OK.
                               4. Apply the following settings


                                      Tab                                   Setting                                      Value
                                      Basic Settings                        Boundary Type                                Inlet
                                                                            Location                                     side inlet
                                      Boundary Details                      Mass and Momentum > Option                   Normal Speed
                                                                            Normal Speed                                 5 [m s^-1]
                                                                            Heat Transfer > Option                       Static Temperature
                                                                            Static Temperature                           315 [K]

                               5. Click OK.




ANSYS CFX Tutorials. ANSYS CFX Release 11.0. © 1996-2006 ANSYS Europe, Ltd. All rights reserved.                                              Page 83
Contains proprietary and confidential information of ANSYS, Inc. and its subsidiaries and affiliates.
Tutorial 3: Flow in a Process Injection Mixing Pipe: Defining a Simulation using General Mode in ANSYS CFX-Pre

Creating the Main Inlet Boundary Conditions
                    The main inlet boundary condition needs to be defined. This inlet is defined using a velocity
                    profile found in the example directory. Profile data needs to be initialized before the
                    boundary condition can be created.
                    You will create a plot showing the velocity profile data, marked by higher velocities near the
                    center of the inlet, and lower velocities near the inlet walls.

Procedure           1. Select Tools > Initialize Profile Data.

                    2. Under Data File, click Browse                            .
                    3. From your working directory, select InjectMixer_velocity_profile.csv.
                    4. Click Open.
                    5. Click OK.
                       The profile data is read into memory.
                    6. Select Insert > Boundary Condition from the main menu or click Boundary Condition
                                .
                    7. Set name Name to main inlet.
                    8. Click OK.
                    9. Apply the following settings


                            Tab                                               Setting                                    Value
                            Basic Settings                                    Boundary Type                              Inlet
                                                                              Location                                   main inlet
                                                                              Profile Boundary Conditions (Selected)
                                                                              > Use Profile Data
                                                                              Profile Boundary Setup >                   main inlet
                                                                              Profile Name

                    10. Click Generate Values.
                        This causes the profile values of U, V, W to be applied at the nodes on the main inlet
                        boundary, and U, V, W entries to be made in Boundary Details. To later modify the
                        velocity values at the main inlet and reset values to those read from the BC Profile file,
                        revisit Basic Settings for this boundary condition and click Generate Values.
                    11. Apply the following settings


                            Tab                                               Setting                                    Value
                            Boundary Details                                  Flow Regime > Option                       Subsonic
                                                                              Turbulence > Option                        Medium (Intensity = 5%)
                                                                              Heat Transfer > Option                     Static Temperature
                                                                              Static Temperature                         285 [K]
                            Plot Options                                      Boundary Contour                           (Selected)
                                                                              Profile Variable                           W

                    12. Click OK.

Page 84          ANSYS CFX Tutorials. ANSYS CFX Release 11.0. © 1996-2006 ANSYS Europe, Ltd. All rights reserved.
                 Contains proprietary and confidential information of ANSYS, Inc. and its subsidiaries and affiliates.
Tutorial 3: Flow in a Process Injection Mixing Pipe: Defining a Simulation using General Mode in ANSYS CFX-Pre
                               13. Zoom into the main inlet to view the inlet velocity contour.

Creating the Main Outlet Boundary Condition
                               In this module you create the outlet boundary condition. All other surfaces which have not
                               been explicitly assigned a boundary condition will remain in the InjectMixer Default
                               object, which is shown in the tree view. This boundary condition uses a No-Slip
                               Adiabatic Wall by default.

Procedure                      1. Select Insert > Boundary Condition from the main menu or click Boundary Condition
                                           .
                               2. Set Name to outlet.
                               3. Click OK.
                               4. Apply the following settings


                                      Tab                                         Setting                      Value
                                      Basic Settings                              Boundary Type                Outlet
                                                                                  Location                     outlet
                                      Boundary Details                            Flow Regime > Option         Subsonic
                                                                                  Mass and Momentum > Option   Average Static Pressure
                                                                                  Relative Pressure            0 [Pa]

                               5. Click OK.

Setting Initial Values
Procedure                      1. Click Global Initialization                     .
                               2. Select Turbulence Eddy Dissipation.
                               3. Click OK.

Setting Solver Control
Procedure                      1. Click Solver Control                   .
                               2. Apply the following settings




ANSYS CFX Tutorials. ANSYS CFX Release 11.0. © 1996-2006 ANSYS Europe, Ltd. All rights reserved.                                   Page 85
Contains proprietary and confidential information of ANSYS, Inc. and its subsidiaries and affiliates.
Tutorial 3: Flow in a Process Injection Mixing Pipe: Defining a Simulation using General Mode in ANSYS CFX-Pre


                            Tab                                               Setting                                    Value
                            Basic Settings                                    Advection Scheme > Option Specified Blend Factor
                                                                              Advection Scheme > Blend                   0.75
                                                                              Factor
                                                                              Convergence Control > Max. 50
                                                                              Iterations
                                                                              Convergence Control >                      Physical Timescale
                                                                              Fluid Timescale Control >
                                                                              Timescale Control
                                                                              Convergence Control >                      2 [s]
                                                                              Fluid Timescale Control >
                                                                              Physical Timescale
                                                                              Convergence Criteria >                     RMS
                                                                              Residual Type
                                                                              Convergence Criteria >                     1.E-4*
                                                                              Residual Target
                                 *.    An RMS value of at least 1.E-5 is usually required for adequate convergence, but the
                                       default value is sufficient for demonstration purposes.

                    3. Click OK.

Writing the Solver (.def) File
                    Once the problem has been defined you move from General Mode into ANSYS CFX-Solver.

Procedure           1. Click Write Solver File                   .
                          The Write Solver File dialog box appears.
                    2. Apply the following settings:


                            Setting                                           Value
                            File name                                         InjectMixer.def
                            Quit CFX–Pre*                                     (Selected)

                                 *.    If using ANSYS CFX-Pre in Standalone Mode.

                    3. Ensure Start Solver Manager is selected and click Save.
                    4. If you are notified the file already exists, click Overwrite.
                       This file is provided in the tutorial directory and may exist in your working folder if you
                       have copied it there.
                    5. If prompted, click Yes or Save & Quit to save InjectMixer.cfx.
                       The definition file (InjectMixer.def), mesh file (InjectMixer.gtm) and the
                       simulation file (InjectMixer.cfx) are created. ANSYS CFX-Solver Manager
                       automatically starts and the definition file is set in the Definition File box of Define
                       Run.
                    6. Proceed to Obtaining a Solution Using ANSYS CFX-Solver Manager (p. 87).



Page 86          ANSYS CFX Tutorials. ANSYS CFX Release 11.0. © 1996-2006 ANSYS Europe, Ltd. All rights reserved.
                 Contains proprietary and confidential information of ANSYS, Inc. and its subsidiaries and affiliates.
Tutorial 3: Flow in a Process Injection Mixing Pipe: Obtaining a Solution Using ANSYS CFX-Solver Manager

Playing the Session File and Starting ANSYS CFX-Solver Manager
                               If you have performed all the tasks in the previous steps, proceed directly to Obtaining a
                               Solution Using ANSYS CFX-Solver Manager (p. 87).
                               Two procedures are documented. Depending on your installation of ANSYS CFX, follow
                               either the standalone procedure or the ANSYS Workbench procedure.

Procedure in                   1. If required, launch ANSYS CFX-Pre.
Standalone                     2. Select Session > Play Tutorial.
                               3. Select InjectMixer.pre.
                               4. Click Open.
                                  A definition file is written.
                               5. Select File > Quit.
                               6. Launch ANSYS CFX-Solver Manager from CFX Launcher.
                               7. After ANSYS CFX-Solver starts, select File > Define Run.

                               8. Under Definition File, click Browse                              .
                               9. Select InjectMixer.def, located in the working directory.
                               10. Proceed to Obtaining a Solution Using ANSYS CFX-Solver Manager (p. 87).

Procedure in                   1. If required, launch ANSYS Workbench.
ANSYS                          2. Click Empty Project.
Workbench
                               3. Select File > Save or click Save                             .

                               4. Under Filename, type InjectMixer.
                               5. Click Save.
                               6. Click Start CFX-Pre.
                               7. Select Session > Play Tutorial.
                               8. Select InjectMixer.pre.
                               9. Click Open.
                                  A definition file is written.
                               10. Click the CFX-Solver tab.
                               11. Select File > Define Run.

                               12. Under Definition File, click Browse                             .
                               13. Select InjectMixer.def, located in the working directory.



Obtaining a Solution Using ANSYS CFX-Solver Manager
                               At this point, ANSYS CFX-Solver Manager is running, and the Define Run dialog box is
                               displayed, with the definition file set.
                               1. Click Start Run.
                               2. Click No to close the message box that appears when the run ends.

ANSYS CFX Tutorials. ANSYS CFX Release 11.0. © 1996-2006 ANSYS Europe, Ltd. All rights reserved.                   Page 87
Contains proprietary and confidential information of ANSYS, Inc. and its subsidiaries and affiliates.
Tutorial 3: Flow in a Process Injection Mixing Pipe: Viewing the Results in ANSYS CFX-Post

Moving from ANSYS CFX-Solver Manager to ANSYS CFX-Post

                     1. Select Tools > Post–Process Results or click Post–Process Results                                 .
                     2. If using ANSYS CFX-Solver Manager in standalone mode, optionally select Shut down
                        Solver Manager.
                     3. Click OK.



Viewing the Results in ANSYS CFX-Post
                     When ANSYS CFX-Post starts, the viewer and Outline workspace display by default.

Workflow Overview
                     This section provides a brief summary of the topics to follow as a general workflow:
                     1. Modifying the Outline of the Geometry (p. 88)
                     2. Creating and Modifying Streamlines (p. 88)
                     3. Modifying Streamline Color Ranges (p. 89)
                     4. Coloring Streamlines with a Constant Color (p. 89)
                     5. Duplicating and Modifying a Streamline Object (p. 90)
                     6. Examining Turbulent Kinetic Energy (p. 90)

Modifying the Outline of the Geometry
                     Throughout this and the following examples, use your mouse and the Viewing Tools
                     toolbar to manipulate the geometry as required at any time.

Procedure            1. In the tree view, double click Wireframe.
                     2. Set the Edge Angle to 15 [degree].
                     3. Click Apply.

Creating and Modifying Streamlines
                     When you complete this module you will see streamlines (mainly blue and green) starting
                     at the main inlet of the geometry and proceeding to the outlet. Above where the side pipe
                     meets the main pipe, there is an area where the flow re-circulates rather than flowing
                     roughly tangent to the direction of the pipe walls.

Procedure            1. Select Insert > Streamline from the main menu or click Streamline                                     .
                     2. Under Name, type MainStream.
                     3. Click OK.
                     4. Apply the following settings




Page 88           ANSYS CFX Tutorials. ANSYS CFX Release 11.0. © 1996-2006 ANSYS Europe, Ltd. All rights reserved.
                  Contains proprietary and confidential information of ANSYS, Inc. and its subsidiaries and affiliates.
Tutorial 3: Flow in a Process Injection Mixing Pipe: Viewing the Results in ANSYS CFX-Post


                                      Tab                                               Setting                   Value
                                      Geometry                                          Type                      3D Streamline
                                                                                        Definition > Start From   main inlet

                               5. Click Apply.
                               6. Right-click a blank area in the viewer, select Predefined Camera from the shortcut
                                  menu, then select Isometric View (Y up).
                                     The pipe is displayed with the main inlet in the bottom right of the viewer.

Modifying Streamline Color Ranges
                               You can change the appearance of the streamlines using the Range setting on the Color
                               tab.

Procedure                      1. Under User Locations and Plots, modify the streamline object MainStream by
                                  applying the following settings


                                      Tab                                               Setting                   Value
                                      Color                                             Range                     Local

                               2. Click Apply.
                                  The color map is fitted to the range of velocities found along the streamlines. The
                                  streamlines therefore collectively contain every color in the color map.
                               3. Apply the following settings


                                      Tab                                               Setting                   Value
                                      Color                                             Range                     User Specified
                                                                                        Min                       0.2 [m s^-1]
                                                                                        Max                       2.2 [m s^-1]

                               Note: Portions of streamlines that have values outside the range shown in the legend are
                               colored according to the color at the nearest end of the legend. When using tubes or
                               symbols (which contain faces), more accurate colors are obtained with lighting turned off.
                               4. Click Apply.
                                     The streamlines are colored using the specified range of velocity values.

Coloring Streamlines with a Constant Color
                               1. Apply the following settings


                                      Tab                                               Setting                   Value
                                      Color                                             Mode                      Constant
                                                                                        Color                     (Green)



ANSYS CFX Tutorials. ANSYS CFX Release 11.0. © 1996-2006 ANSYS Europe, Ltd. All rights reserved.                                   Page 89
Contains proprietary and confidential information of ANSYS, Inc. and its subsidiaries and affiliates.
Tutorial 3: Flow in a Process Injection Mixing Pipe: Viewing the Results in ANSYS CFX-Post
                           Color can be set to green by selecting it from the color pallet, or by repeatedly clicking
                           on the color box until it cycles through to the default green color.
                     2. Click Apply.

Duplicating and Modifying a Streamline Object
                     Any object can be duplicated to create a copy for modification without altering the original.

Procedure            1. Right-click MainStream and select Duplicate from the shortcut menu.
                     2. In the Name window, type SideStream.
                     3. Click OK.
                     4. Double click on the newly created streamline, SideStream.
                     5. Apply the following settings


                             Tab                                  Setting                                           Value
                             Geometry                             Definition > Start From                           side inlet
                             Color                                Mode                                              Constant
                                                                  Color                                             (Red)

                     6. Click Apply.
                        Red streamlines appear, starting from the side inlet.
                     7. For better view, select Isometric View (Y up).

Examining Turbulent Kinetic Energy
                     A common way of viewing various quantities within the domain is to use a slice plane, as
                     demonstrated in this module.

                     Note: This module has multiple changes compiled into single steps in preparation for other
                     tutorials that provide fewer specific instructions.

Procedure            1. Clear visibility for both the MainStream and the SideStream objects.
                     2. Create a plane named Plane 1 that is normal to X and passing through the X = 0 Point.
                        To do so, specific instructions follow.
                           a. From the main menu, select Insert > Location > Plane and click OK.
                           b. In the Details view set Definition > Method to YZ Plane and X to 0 [m].
                           c. Click Apply.
                     3. Color the plane using the variable Turbulence Kinetic Energy, to show regions of
                        high turbulence. To do so, apply the settings below.


                             Tab                                  Setting                                           Value
                             Color                                Mode                                              Variable
                                                                  Variable                                          Turbulence Kinetic Energy

                     4. Click Apply.



Page 90           ANSYS CFX Tutorials. ANSYS CFX Release 11.0. © 1996-2006 ANSYS Europe, Ltd. All rights reserved.
                  Contains proprietary and confidential information of ANSYS, Inc. and its subsidiaries and affiliates.
Tutorial 3: Flow in a Process Injection Mixing Pipe: Viewing the Results in ANSYS CFX-Post
                               5. Experiment with other variables to color this plane (for example, Temperature to show
                                  the temperature mixing of the two streams).
                                     Commonly used variables are in the drop-down menu. A full list of available variables
                                     can be viewed by clicking                       next to the Variable data box.


Exiting ANSYS CFX-Post
                               When finished with ANSYS CFX-Post exit the current window.
                               Two procedures are documented. Depending on your installation of ANSYS CFX, follow
                               either the Standalone procedure or the Workbench procedure.

Procedure in                   1. When you are finished, select File > Quit to exit ANSYS CFX-Post.
Standalone                     2. Click Quit if prompted to save.

Procedure in                   1. When you are finished, select File > Close to close the current file.
Workbench                      2. Click Close if prompted to save.
                               3. Return to the Project page. Select File > Close Project.
                               4. Select No, then close Workbench.




ANSYS CFX Tutorials. ANSYS CFX Release 11.0. © 1996-2006 ANSYS Europe, Ltd. All rights reserved.                      Page 91
Contains proprietary and confidential information of ANSYS, Inc. and its subsidiaries and affiliates.
Tutorial 3: Flow in a Process Injection Mixing Pipe: Viewing the Results in ANSYS CFX-Post




Page 92           ANSYS CFX Tutorials. ANSYS CFX Release 11.0. © 1996-2006 ANSYS Europe, Ltd. All rights reserved.
                  Contains proprietary and confidential information of ANSYS, Inc. and its subsidiaries and affiliates.
Tutorial 4:
Flow from a Circular Vent

Introduction
                               This tutorial includes:
                               •     Tutorial 4 Features (p. 94)
                               •     Overview of the Problem to Solve (p. 95)
                               •     Defining a Steady-State Simulation in ANSYS CFX-Pre (p. 95)
                               •     Obtaining a Solution to the Steady-State Problem (p. 99)
                               •     Defining a Transient Simulation in ANSYS CFX-Pre (p. 100)
                               •     Obtaining a Solution to the Transient Problem (p. 104)
                               •     Viewing the Results in ANSYS CFX-Post (p. 105)

                               If this is the first tutorial you are working with, it is important to review the following topics
                               before beginning:
                               •     Setting the Working Directory (p. 1)
                               •     Changing the Display Colors (p. 2)
                               Unless you plan on running a session file, you should copy the sample files used in this
                               tutorial from the installation folder for your software (<CFXROOT>/examples/) to your
                               working directory. This prevents you from overwriting source files provided with your
                               installation. If you plan to use a session file, please refer to Playing a Session File (p. 95).
                               Sample files referenced by this tutorial include:
                               •     CircVent.pre
                               •     CircVentIni.pre
                               •     CircVentIni_001.res
                               •     CircVentMesh.gtm
                               •     CircVentIni.cfx
                               •     CircVentIni.gtm



ANSYS CFX Tutorials                                                                                                        Page 93
ANSYS CFX Release 11.0. © 1996-2006 ANSYS Europe, Ltd. All rights reserved.
Contains proprietary and confidential information of ANSYS, Inc. and its subsidiaries and affiliates.
Tutorial 4: Flow from a Circular Vent: Tutorial 4 Features

Tutorial 4 Features
                     This tutorial addresses the following features of ANSYS CFX.


                      Component                                   Feature                                           Details
                      ANSYS CFX-Pre                               User Mode                                         General Mode
                                                                  Simulation Type                                   Steady State
                                                                                                                    Transient
                                                                  Fluid Type                                        General Fluid
                                                                  Domain Type                                       Single Domain
                                                                  Turbulence Model                                  k-Epsilon
                                                                  Boundary Conditions                               Inlet (Subsonic)
                                                                                                                    Opening
                                                                                                                    Wall: No-Slip
                                                                  Timestep                                          Auto Time Scale
                                                                                                                    Transient Example
                                                                  Transient Results File
                      ANSYS CFX-Post                              Plots                                             Animation
                                                                                                                    Isosurface
                                                                  Other                                             Auto Annotation
                                                                                                                    MPEG Generation
                                                                                                                    Printing
                                                                                                                    Time Step Selection
                                                                                                                    Title/Text
                                                                                                                    Transient Animation

                     In this tutorial you will learn about:
                     •     Setting up a transient problem in ANSYS CFX-Pre.
                     •     Using an opening type boundary condition in ANSYS CFX-Pre.
                     •     Modeling smoke using additional variables in ANSYS CFX-Pre.
                     •     Visualizing a smoke plume using an Isosurface in ANSYS CFX-Post.
                     •     Creating an image for printing, and generating an MPEG file in ANSYS CFX-Post.




Page 94           ANSYS CFX Tutorials. ANSYS CFX Release 11.0. © 1996-2006 ANSYS Europe, Ltd. All rights reserved.
                  Contains proprietary and confidential information of ANSYS, Inc. and its subsidiaries and affiliates.
Tutorial 4: Flow from a Circular Vent: Overview of the Problem to Solve

Overview of the Problem to Solve
                               In this example, a chimney stack releases smoke which is dispersed into the atmosphere
                               with an oncoming side wind. Unlike previous tutorials, which were steady-state, this
                               example is time-dependent. Initially, no smoke is being released. In the second part of the
                               tutorial, the chimney starts to release smoke and it shows how the plume of smoke above
                               the chimney develops with time.


                                                                              smoke speed varying
                                                                              from zero to 0.2 m/s
                               wind speed
                               1 m/s




                                                                                                        r=10 m




Defining a Steady-State Simulation in ANSYS CFX-Pre
                               This section describes the step-by-step definition of the flow physics in ANSYS CFX-Pre for a
                               steady-state simulation with no smoke being produced by the chimney. The results from
                               this simulation will be used as the initial guess for the transient simulation.

Playing a Session File
                               If you wish to skip past these instructions, and have ANSYS CFX-Pre set up the simulation
                               automatically, you can select Session > Play Tutorial from the menu in ANSYS CFX-Pre,
                               then run the session file: CircVentIni.pre. After you have played the session file as
                               described in earlier tutorials under Playing the Session File and Starting ANSYS CFX-Solver
                               Manager (p. 87), proceed to Obtaining a Solution to the Steady-State Problem (p. 99).

Creating a New Simulation
                               1. Start ANSYS CFX-Pre.
                               2. Select File > New Simulation.
                               3. Select General and click OK.
                               4. Select File > Save Simulation As.
                               5. Under File name, type CircVentIni.
                               6. Click Save.


ANSYS CFX Tutorials. ANSYS CFX Release 11.0. © 1996-2006 ANSYS Europe, Ltd. All rights reserved.                                Page 95
Contains proprietary and confidential information of ANSYS, Inc. and its subsidiaries and affiliates.
Tutorial 4: Flow from a Circular Vent: Defining a Steady-State Simulation in ANSYS CFX-Pre

Importing the Mesh
                     1. Select File > Import Mesh.
                     2. From your working directory, select CircVentMesh.gtm.
                     3. Click Open.
                     4. Right-click a blank area in the viewer and select Predefined Camera > Isometric View
                        (Z up) from the shortcut menu.

Creating an Additional Variable
                     In this tutorial, an additional variable (non-reacting scalar component) will be used to model
                     the dispersion of smoke from the vent.

                     Note: While smoke is not required for the steady-state simulation, including it here prevents
                     the user from having to set up timevalue interpolation in the transient simulation.
                     1. From the main menu, select Insert > Expressions, Functions and Variables >
                        Additional Variable or click Additional Variable  .
                     2. Under Name, type smoke.
                     3. Click OK.
                     4. Under Variable Type, select Volumetric.
                     5. Set Units to [kg m^-3].
                     6. Click OK.

Creating the Domain
                     The fluid domain will be created that includes the additional variable.

To Create a New      1. Select Insert > Domain from the main menu, or click Domain                                             , then set the name to
Domain                  CircVent and click OK.
                     2. Apply the following settings


                             Tab                                  Setting                                                 Value
                             General Options                      Fluids List                                             Air at 25 C
                                                                  Reference Pressure                                      0 [atm]
                             Fluid Models                         Heat Transfer > Option                                  None
                                                                  Additional Variable Details > smoke                     (Selected)
                                                                  Additional Variable Details > smoke > (Selected)
                                                                  Kinematic Diffusivity
                                                                  Additional Variable Details > smoke > 1.0E-5 [m^2 s^-1]
                                                                  Kinematic Diffusivity > Kinematic
                                                                  Diffusivity

                     3. Click OK.




Page 96           ANSYS CFX Tutorials. ANSYS CFX Release 11.0. © 1996-2006 ANSYS Europe, Ltd. All rights reserved.
                  Contains proprietary and confidential information of ANSYS, Inc. and its subsidiaries and affiliates.
Tutorial 4: Flow from a Circular Vent: Defining a Steady-State Simulation in ANSYS CFX-Pre

Creating the Boundary Conditions
                               This is an example of external flow, since fluid is flowing over an object and not through an
                               enclosure such as a pipe network (which would be an example of internal flow). In such
                               problems, some inlets will be made sufficiently large that they do not affect the CFD
                               solution. However, the length scale values produced by the Default Intensity and
                               AutoCompute Length Scale option for turbulence are based on inlet size. They are
                               appropriate for internal flow problems and particularly, cylindrical pipes. In general, you
                               need to set the turbulence intensity and length scale explicitly for large inlets in external
                               flow problems. If you do not have a value for the length scale, you can use a length scale
                               based on a typical length of the object, over which the fluid is flowing. In this case, you will
                               choose a turbulence length scale which is one-tenth of the diameter of the vent.

                               Note: The boundary marker vectors used to display boundary conditions (Inlets, Outlets,
                               Openings) are normal to the boundary surface regardless of the actual direction
                               specification. To plot vectors in the direction of flow, select Boundary Vector under the
                               Plot Options tab for the inlet boundary condition and clear Show Inlet Markers on the
                               Boundary Marker Options tab of Labels and Markers (accessible by clicking
                               Label and Marker Visibility                   ).

                               For parts of the boundary where the flow direction changes, or is unknown, an opening
                               boundary condition can be used. An opening boundary condition allows flow to both enter
                               and leave the fluid domain during the course of the solution.

Inlet Boundary                 1. Select Insert > Boundary Condition from the main menu or click Boundary Condition
                                           .
                               2. Under Name, type Wind.
                               3. Click OK.
                               4. Apply the following settings


                                      Tab                            Setting                                 Value
                                      Basic Settings                 Boundary Type                           Inlet
                                                                     Location                                Wind
                                      Boundary Details               Mass and Momentum > Option              Cart. Vel. Components
                                                                     Mass and Momentum > U                   1 [m s^-1]
                                                                     Mass and Momentum > V                   0 [m s^-1]
                                                                     Mass and Momentum > W                   0 [m s^-1]
                                                                     Turbulence > Option                     Intensity and Length Scale
                                                                     Turbulence > Value                      0.05
                                                                     Turbulence > Eddy Len. Scale            0.25 [m]
                                                                     Additional Variables > smoke > Option   Value
                                                                     Additional Variables > smoke > Value    0 [kg m^-3]

                               5. Click OK.



ANSYS CFX Tutorials. ANSYS CFX Release 11.0. © 1996-2006 ANSYS Europe, Ltd. All rights reserved.                                 Page 97
Contains proprietary and confidential information of ANSYS, Inc. and its subsidiaries and affiliates.
Tutorial 4: Flow from a Circular Vent: Defining a Steady-State Simulation in ANSYS CFX-Pre
Opening             1. Select Insert > Boundary Condition from the main menu or click Boundary Condition
Boundary                        .
                    2. Under Name, type Atmosphere.
                    3. Click OK.
                    4. Apply the following settings


                            Tab                            Setting                                                       Value
                            Basic Settings                 Boundary Type                                                 Opening
                                                           Location                                                      Atmosphere
                            Boundary Details               Mass and Momentum > Option                                    Opening Pres. and Dirn
                                                           Mass and Momentum > Relative Pressure 0 [Pa]
                                                           Flow Direction > Option                                       Normal to Boundary
                                                                                                                         Condition
                                                           Turbulence > Option                                           Intensity and Length Scale
                                                           Turbulence > Value                                            0.05
                                                           Turbulence > Eddy Len. Scale                                  0.25 [m]
                                                           Additional Variables > smoke > Option                         Value
                                                           Additional Variables > smoke > Value                          0 [kg m^-3]

                    5. Click OK.

Inlet for the       1. Select Insert > Boundary Condition from the main menu or click Boundary Condition
Vent                            .
                    2. Under Name, type Vent.
                    3. Click OK.
                    4. Apply the following settings


                            Tab                            Setting                                                       Value
                            Basic Settings                 Boundary Type                                                 Inlet
                                                           Location                                                      Vent
                            Boundary Details               Mass and Momentum > Normal Speed                              0.01 [m s^-1]
                                                           Turbulence > Option                                           Intensity and Eddy Viscosity
                                                                                                                         Ratio
                                                           Additional Variables > smoke > Option                         Value
                                                           Additional Variables > smoke > Value                          0 [kg m^-3]

                    5. Click OK.

Setting Initial Values
                    1. Click Global Initialization                     .
                    2. Select Turbulence Eddy Dissipation.
                    3. Click OK.


Page 98          ANSYS CFX Tutorials. ANSYS CFX Release 11.0. © 1996-2006 ANSYS Europe, Ltd. All rights reserved.
                 Contains proprietary and confidential information of ANSYS, Inc. and its subsidiaries and affiliates.
Tutorial 4: Flow from a Circular Vent: Obtaining a Solution to the Steady-State Problem

Setting Solver Control
                               ANSYS CFX-Solver has the ability to calculate physical timestep size for steady-state
                               problems. If you do not know the time step size to set for your problem, you can use the
                               Auto Timescale option.

                               1. Click Solver Control                   .
                               2. Apply the following settings


                                      Tab                            Setting                                              Value
                                      Basic Settings                 Convergence Control > Max. Iterations                75

                               3. Click OK.

Writing the Solver (.def) File
                               1. Click Write Solver File                    .
                               2. Apply the following settings


                                      Setting                                                           Value
                                      File name                                                         CircVentIni.def
                                      Quit CFX–Pre       *                                              (Selected)

                                           *.    If using ANSYS CFX-Pre in Standalone Mode.

                               3. Ensure Start Solver Manager is selected and click Save.
                               4. Quit ANSYS CFX-Pre, saving the simulation (.cfx) file.



Obtaining a Solution to the Steady-State Problem
                               When ANSYS CFX-Pre has shut down and ANSYS CFX-Solver Manager has started, you can
                               obtain a solution to the CFD problem by using the following procedure.
                               1. Click Start Run.
                                  The residual plots for six equations will appear: U - Mom, V - Mom, W - Mom, P - Mass,
                                  K-TurbKE and E-Diss.K (the three momentum conservation equations, the mass
                                  conservation equation and equations for the turbulence kinetic energy and turbulence
                                  eddy dissipation). The Momentum and Mass tab contains four of the plots and the
                                  other two are under Turbulence Quantities. The variable smoke is also plotted but
                                  registers no values since it is not initialized.
                               2. Click No to close the completion message, since you do not need to view the results in
                                  ANSYS CFX-Post.
                               3. If using Standalone Mode, quit ANSYS CFX-Solver Manager.
                                     You will now reload the simulation into ANSYS CFX-Pre to define the transient
                                     simulation.



ANSYS CFX Tutorials. ANSYS CFX Release 11.0. © 1996-2006 ANSYS Europe, Ltd. All rights reserved.                                  Page 99
Contains proprietary and confidential information of ANSYS, Inc. and its subsidiaries and affiliates.
Tutorial 4: Flow from a Circular Vent: Defining a Transient Simulation in ANSYS CFX-Pre

Defining a Transient Simulation in ANSYS CFX-Pre
                    In this part of the tutorial, you alter the simulation settings used for the steady-state
                    calculation to set up the model for the transient calculation in ANSYS CFX-Pre.

Playing a Session File
                    If you wish to skip past these instructions, and have ANSYS CFX-Pre set up the simulation
                    automatically, you can select Session > Play Tutorial from the menu in ANSYS CFX-Pre,
                    then run the session file: CircVent.pre. After you have played the session file as described
                    in earlier tutorials under Playing the Session File and Starting ANSYS CFX-Solver Manager
                    (p. 87), proceed to Obtaining a Solution to the Transient Problem (p. 104).

Opening the Existing Simulation
                    1. Start ANSYS CFX-Pre.
                    2. Select File > Open Simulation.
                    3. If required, set the path location to the tutorial folder.
                    4. Select the simulation file CircVentIni.cfx.
                    5. Click Open.
                    6. Select File > Save Simulation As.
                    7. Change the name to CircVent.cfx.
                    8. Click Save.

Modifying the Simulation Type
                    In this step you will make the problem transient. Later, you will set the concentration of
                    smoke to rise exponentially with time, so it is necessary to ensure that the interval between
                    the timesteps is smaller at the beginning of the simulation than at the end.

                    1. Click Simulation Type                       .
                    2. Apply the following settings


                            Tab                            Setting                                                 Value
                            Basic Settings                 Simulation Type > Option                                Transient
                                                           Simulation Type > Time Duration >                       30 [s]
                                                           Total Time
                                                           Simulation Type > Time Steps >                          4*0.25, 2*0.5, 2*1.0, 13*2.0 [s]
                                                           Timesteps*†
                                                           Simulation Type > Initial Time > Time 0 [s]

                                 *.    Do NOT click Enter Expression         to enter lists of values. Enter the list without the
                                       units, then set the units in the drop-down list.
                                 †.    This list specifies 4 timesteps of 0.25 [s], then 2 timesteps of 0.5 [s], etc.

                    3. Click OK.

Page 100         ANSYS CFX Tutorials. ANSYS CFX Release 11.0. © 1996-2006 ANSYS Europe, Ltd. All rights reserved.
                 Contains proprietary and confidential information of ANSYS, Inc. and its subsidiaries and affiliates.
Tutorial 4: Flow from a Circular Vent: Defining a Transient Simulation in ANSYS CFX-Pre

Modifying the Boundary Conditions
                               The only boundary condition which needs altering is the Vent boundary condition. In the
                               steady-state calculation, this boundary had a small amount of air flowing through it. In the
                               transient calculation, more air passes through the vent and there is a time-dependent
                               concentration of smoke in the air. This is initially zero, but builds up to a larger value. The
                               smoke concentration will be specified using the CFX Expression Language.

To Modify the                  1. In the Outline workspace, expand the tree to Simulation > CircVent > Vent.
Vent Inlet                     2. Right-click Vent and select Edit.
Boundary
Condition                      3. Apply the following settings


                                      Tab                            Setting                                                Value
                                      Boundary Details               Mass and Momentum > Normal Speed                       0.2 [m s^-1]

                                     Leave the Vent details view open for now.
                                     You are going to create an expression for smoke concentration. The concentration is
                                     zero for time t=0 and builds up to a maximum of 1 kg m^-3.
                               4. Create a new expression by selecting Insert > Expressions, Functions and Variables
                                  > Expression from the main menu. Set the name to TimeConstant.
                               5. Apply the following settings


                                      Name                                                              Definition
                                      TimeConstant                                                      3 [s]

                               6. Click Apply to create the expression.
                               7. Create the following expressions with specific settings, remembering to click Apply
                                  after each is defined.


                                      Name                                              Definition
                                      FinalConcentration                                1 [kg m^-3]
                                      ExpFunction       *                               FinalConcentration*abs(1-exp(-t/TimeConstant))

                                           *.    When entering this function, you can select most of the required items by
                                                 right-clicking in the Definition window in the Expression details view instead of
                                                 typing them. The names of the existing expressions are under the Expressions
                                                 menu. The exp and abs functions are under Functions > CEL. The variable t is
                                                 under Variables.

                               Note: The abs function takes the modulus (or magnitude) of its argument. Even though the
                               expression (1- exp (-t/TimeConstant)) can never be less than zero, the abs function is
                               included to ensure that the numerical error in evaluating it near to zero will never make the
                               expression evaluate to a negative number.

                               Next you will visualize how the expressions have scheduled the concentration of smoke
                               issued from the vent.



ANSYS CFX Tutorials. ANSYS CFX Release 11.0. © 1996-2006 ANSYS Europe, Ltd. All rights reserved.                                         Page 101
Contains proprietary and confidential information of ANSYS, Inc. and its subsidiaries and affiliates.
Tutorial 4: Flow from a Circular Vent: Defining a Transient Simulation in ANSYS CFX-Pre
Plotting Smoke      1. Double-click ExpFunction in the Expressions tree view.
Concentration       2. Apply the following settings


                            Tab                            Setting                                                       Value
                            Plot                           t                                                             (Selected)
                                                           Start of Range                                                0 [s]
                                                           End of Range                                                  30 [s]

                    3. Click Plot Expression.
                       The button name then changes to Define Plot, as shown.




                          As can be seen, the smoke concentration rises exponentially, and reaches 90% of its final
                          value at around 7 seconds.
                    4. Click the Boundary: Vent tab.
                       In the next step, you will apply the expression ExpFunction to the additional variable
                       smoke as it applies to the boundary Vent.
                    5. Apply the following settings


                            Tab                            Setting                                                       Value
                            Boundary Details               Additional Variables > smoke > Option                         Value
                                                           Additional Variables > smoke > Value*                         ExpFunction


                                 *.    Click Enter Expression                 to enter text.

                    6. Click OK.




Page 102         ANSYS CFX Tutorials. ANSYS CFX Release 11.0. © 1996-2006 ANSYS Europe, Ltd. All rights reserved.
                 Contains proprietary and confidential information of ANSYS, Inc. and its subsidiaries and affiliates.
Tutorial 4: Flow from a Circular Vent: Defining a Transient Simulation in ANSYS CFX-Pre

Initialization Values
                               The steady state solution that you have finished calculating is used to supply the initial
                               values to the ANSYS CFX-Solver. You can leave all of the initialization data set to Automatic
                               and the initial values will be read automatically from the initial values file. Therefore, there
                               is no need to revisit the initialization tab.

Modifying the Solver Control

                               1. Click Solver Control                   .
                               2. Set Convergence Control > Max. Coeff. Loops to 3.
                               3. Leave the other settings at their default values.
                               4. Click OK to set the solver control parameters.

Output Control
                               To allow results to be viewed at different timesteps, it is necessary to create transient results
                               files at specified times. The transient results files do not have to contain all solution data. In
                               this step, you will create minimal transient results files.

To Create                      1. From the main menu, select Insert > Solver > Output Control.
Minimal                        2. Click the Trn Results tab.
Transient
Results Files                  3. Click Add new item                         and then click OK to accept the default name for the object.
                                     This creates a new transient results object. Each object can result in the production of
                                     many transient results files.
                               4. Apply the following settings to Transient Results 1


                                      Setting                                                           Value
                                      Option                                                            Selected Variables
                                      Output Variables List*                                            Pressure, Velocity, smoke
                                      Output Frequency > Option                                         Time List
                                      Output Frequency > Time List†                                     1, 2 , 3 [s]

                                           *.    Click the ellipsis icon to select items if they do not appear in the drop-down list. Use
                                                 the <Ctrl> key to select multiple items.

                                           †.    Do NOT click Enter Expression        to enter lists of values. Enter the list without the
                                                 units, then set the units in the drop-down list.

                               5. Click Apply.
                               6. Create a second item with the default name Transient Results 2 and apply the
                                  following settings to that item


                                      Setting                                                           Value
                                      Option                                                            Selected Variables
                                      Output Variables List                                             Pressure, Velocity, smoke

ANSYS CFX Tutorials. ANSYS CFX Release 11.0. © 1996-2006 ANSYS Europe, Ltd. All rights reserved.                                    Page 103
Contains proprietary and confidential information of ANSYS, Inc. and its subsidiaries and affiliates.
Tutorial 4: Flow from a Circular Vent: Obtaining a Solution to the Transient Problem

                             Setting                                                               Value
                             Output Frequency > Option                                             Time Interval
                             Output Frequency > Time Interval*                                     4 [s]

                                  *.    A transient results file will be produced every 4 s (including 0 s) and at 1 s, 2 s and
                                        3 s. The files will contain no mesh and data for only the three selected variables. This
                                        reduces the size of the minimal results files. A full results file is always written at the
                                        end of the run.
                     7. Click OK.

Writing the Solver (.def) File
                     1. Click Write Solver File                   .
                     2. Apply the following settings


                             Setting                                                                       Value
                             File name                                                                     CircVent.def
                             Quit CFX–Pre       *                                                          Select

                                  *.    If using ANSYS CFX-Pre in Standalone Mode.

                     3. Ensure Start Solver Manager is selected and click Save.
                     4. Quit ANSYS CFX-Pre, saving the simulation (.cfx) file at your discretion.



Obtaining a Solution to the Transient Problem
                     In this tutorial the ANSYS CFX-Solver will read the initial values for the problem from a file.
                     For details, see Initialization Values (p. 103). You need to specify the file name.
                     Define Run will be displayed when the ANSYS CFX-Solver Manager launches. Definition
                     File will already be set to the name of the definition file just written.
                     Notice that the text output generated by the ANSYS CFX-Solver will be more than you have
                     seen for steady-state problems. This is because each timestep consists of several inner
                     (coefficient) iterations. At the end of each timestep, information about various quantities is
                     printed to the text output area.
                     The variable smoke is now plotted under the Additional Variables tab.

                     1. Under Initial Values File, click Browse                                .
                     2. Select CircVentIni_001.res, which is the results file of the steady-state problem with
                        no smoke issuing from the chimney. If you have not run the first part of this tutorial, copy
                        CircVentIni_001.res from the <CFXROOT>/examples/ directory to your working
                        directory.
                     3. Click Open.
                     4. Click Start Run.
                     5. You may see a notice that the mesh from the initial values file will be used. This mesh is
                        the same as in the definition file. Click OK to continue.
Page 104          ANSYS CFX Tutorials. ANSYS CFX Release 11.0. © 1996-2006 ANSYS Europe, Ltd. All rights reserved.
                  Contains proprietary and confidential information of ANSYS, Inc. and its subsidiaries and affiliates.
Tutorial 4: Flow from a Circular Vent: Viewing the Results in ANSYS CFX-Post
                                     ANSYS CFX-Solver runs and attempts to obtain a solution. This can take a long time
                                     depending on your system. Eventually a dialog box is displayed.
                               6. When ANSYS CFX-Solver has finished, click Yes to post-process the results.
                               7. If using Standalone Mode, quit ANSYS CFX-Solver Manager.



Viewing the Results in ANSYS CFX-Post
                               In this tutorial, you will view the dispersion of smoke from the vent over time. When ANSYS
                               CFX-Post is loaded, the results that are immediately available are those at the final timestep;
                               in this case, at t = 30 s (this is nominally designated Final State).

Creating an Isosurface
                               An isosurface is a surface of constant value of a variable. For instance, it could be a surface
                               consisting of all points where the velocity is 1 [m s^-1]. In this case, you are going to create
                               an isosurface of smoke density (smoke is the additional variable that you specified earlier).
                               1. Right-click on a blank area in the viewer and select Predefined Camera > Isometric
                                  View (Z up).
                                  This ensures that the view is set to a position that is best suited to display the results.
                               2. From the main menu, select Insert > Location > Isosurface or under Location, click
                                  Isosurface.
                               3. Click OK.
                               4. Apply the following settings


                                         Tab                         Setting                                     Value
                                         Geometry                    Variable                                    smoke
                                                                     Value                                       0.005 [kg m^-3]

                               5. Click Apply.
                                     •     A bumpy surface will be displayed, showing the smoke starting to emerge from the
                                           vent.
                                     •     The surface is rough because the mesh is coarse. For a smoother surface, you would
                                           re-run the problem with a smaller mesh length scale.
                                     •     The surface will be a constant color as the default settings on the Color tab were
                                           used.
                                     •     When Color Mode is set to either Constant or Use Plot Variable for an
                                           isosurface, it appears as one color.
                               6. In Geometry, experiment by changing the Value so that you can see the shape of the
                                  plume more clearly.
                                  Zoom in and rotate the geometry, as required.
                               7. When you have finished, set the Value to 0.002 [kg m^-3].
                               8. Right-click on a blank spot in the viewer and select Predefined Camera > Isometric
                                  View (Z up).

ANSYS CFX Tutorials. ANSYS CFX Release 11.0. © 1996-2006 ANSYS Europe, Ltd. All rights reserved.                           Page 105
Contains proprietary and confidential information of ANSYS, Inc. and its subsidiaries and affiliates.
Tutorial 4: Flow from a Circular Vent: Viewing the Results in ANSYS CFX-Post

Viewing the Results at Different Timesteps
                    The Timestep Selector shows the Time Step (outer loop) number, the Time Value
                    (simulated time in seconds) and the Type of results file that was saved at that timestep. You
                    can see that Partial results files were saved (as requested in ANSYS CFX-Pre) for all timesteps
                    except for the last one.

                    1. Click Timestep Selector                      .
                    2. Load the results for a time value of 2 s by double-clicking the appropriate row in the
                       Timestep Selector.
                       After a short pause, the Current Timestep (located just below the title bar of the
                       Timestep Selector) will be updated with the new timestep number.
                    3. Load the time value of 4 s using the Timestep Selector.
                       The smoke has now spread out even more, and is being carried by the wind.
                    4. Double-click some more time values to see how the smoke plume grows with time.
                    5. Finish by loading a time value of 1 s.

Generating Output Files
                    You can produce image output from ANSYS CFX-Post.

Adding a title      First, you will add text to the viewer so that the printed output has a title.

                    1. Select Insert > Text from the main menu or click Create text                                      .
                    2. Click OK.
                    3. In the Text String box, enter the following text.
                    Isosurface showing smoke concentration of 0.002 kg/m^3 after

                    Note: Further text will be added at a later stage to complete this title.
                    4. Select Embed Auto Annotation.
                    5. Set Type to Time Value.
                       In the text line, note that <aa> has been added to the end. This is where the time value
                       will be placed.
                    6. Click Apply to create the title.
                    7. Click the Location tab to modify the position of the title.
                       The default settings for text objects center text at the top of the screen. To experiment
                       with the position of the text, change the settings on the Location tab.
                    8. Under Appearance, change Color Mode to User Specified and select a new color.
                    9. Click Apply.

JPEG output         ANSYS CFX-Post can produce hard-copy output in several different forms. In the next
                    section you will print in JPEG format.
                    1. Ensure a time value of 1 s is loaded.

                    2. Select File > Print, or click Print                        .
                    3. Under Format select JPEG.


Page 106         ANSYS CFX Tutorials. ANSYS CFX Release 11.0. © 1996-2006 ANSYS Europe, Ltd. All rights reserved.
                 Contains proprietary and confidential information of ANSYS, Inc. and its subsidiaries and affiliates.
Tutorial 4: Flow from a Circular Vent: Viewing the Results in ANSYS CFX-Post

                               4. Click Browse                  next to the File data box.
                               5. Browse to the directory where you want the file saved.
                               6. Enter a name for the JPEG file.
                               7. Click Save to set the file name and directory.
                                  This sets the path and name for the file.
                               8. To print to the file, click Print.
                                  To view the file or make a hard copy, use an application that supports JPEG files.
                               9. Clear the visibility of the text object to hide it.

To Generate an                 You can generate an MPEG file to show the transient flow of the plume of smoke. To
MPEG File                      generate an MPEG file, you use the Animation dialog box in the same way as in Tutorial 1.
                               However, to animate the plume of smoke, you need to animate over several timesteps.

                               Note: On the Advanced tab of Animation Options, there is a check box option called Save
                               frames as image files. By selecting this option, the JPEG or PPM files used to encode each
                               frame of the MPEG will persist after MPEG creation; otherwise, they are deleted.

                               Setting Keyframes
                               1. Click Animation                   .
                               2. Ensure that Keyframe Animation is selected.
                               3. Position the geometry so that you will be able to see the plume of smoke.

                               4. In the Animation dialog box, click New                                to create KeyFrameNo1.
                               5. Load the time value of 30 s using the Timestep Selector.

                               6. Click New                 in the Animation dialog box to create KeyframeNo2.

                               Defining additional options
                               During the production of a transient animation, various timesteps will be loaded and all
                               objects will be updated to use the results from that timestep. Each frame of the animation
                               must use one of the available timesteps.
                               In Animation, Timestep can be set to Timestep Interpolation, TimeValue
                               Interpolation or Sequential Interpolation. This setting affects which timestep is
                               loaded for each frame.
                               1. Click More Animation Options                             to show more animation settings.
                               2. Click Options.
                               3. Apply the following settings


                                      Tab                               Setting                                Value
                                      Options                           Transient Case*                        TimeValue Interpolation

                                           *.    This causes each frame to use the transient file having the closest time value.

                               4. Click OK.
                               5. Single click KeyframeNo1, then set # of Frames to 27 and press <Enter>.


ANSYS CFX Tutorials. ANSYS CFX Release 11.0. © 1996-2006 ANSYS Europe, Ltd. All rights reserved.                                         Page 107
Contains proprietary and confidential information of ANSYS, Inc. and its subsidiaries and affiliates.
Tutorial 4: Flow from a Circular Vent: Viewing the Results in ANSYS CFX-Post
                          The animation now contains a total of 29 frames (27 intermediate frames plus the two
                          keyframes).
                    6. Select Save MPEG.

                    7. Click Browse                   next to Save MPEG.
                    8. Under File name, type CircVent.mpg.
                    9. If required, set the path location to a different folder.
                    10. Click Save.
                        The MPEG file name (including path) is set. At this point, the animation has not yet been
                        produced.
                    11. Click To Beginning                     .

                    12. Click Play the animation                         .
                          •      The MPEG will be created as the animation proceeds.
                          •      This will be slow, since a timestep must be loaded and objects must be created for
                                 each frame.
                          •      To view the MPEG file, you need to use a viewer that supports the MPEG format.
                    13. When you have finished, quit ANSYS CFX-Post.




Page 108         ANSYS CFX Tutorials. ANSYS CFX Release 11.0. © 1996-2006 ANSYS Europe, Ltd. All rights reserved.
                 Contains proprietary and confidential information of ANSYS, Inc. and its subsidiaries and affiliates.
Tutorial 5:
Flow Around a Blunt Body

Introduction
                               This tutorial includes:
                               •     Tutorial 5 Features (p. 109)
                               •     Overview of the Problem to Solve (p. 111)
                               •     Defining a Simulation in ANSYS CFX-Pre (p. 111)
                               •     Obtaining a Solution Using ANSYS CFX-Solver Manager (p. 116)
                               •     Viewing the Results in ANSYS CFX-Post (p. 119)

                               If this is the first tutorial you are working with, it is important to review the following topics
                               before beginning:
                               •     Setting the Working Directory (p. 1)
                               •     Changing the Display Colors (p. 2)
                               Unless you plan on running a session file, you should copy the sample files used in this
                               tutorial from the installation folder for your software (<CFXROOT>/examples/) to your
                               working directory. This prevents you from overwriting source files provided with your
                               installation. If you plan to use a session file, please refer to Playing a Session File (p. 111).
                               Sample files referenced by this tutorial include:
                               •     BluntBody.pre
                               •     BluntBodyDist.cse
                               •     BluntBodyMesh.gtm




Tutorial 5 Features
                               This tutorial addresses the following features of ANSYS CFX.



ANSYS CFX Tutorials                                                                                                      Page 109
ANSYS CFX Release 11.0. © 1996-2006 ANSYS Europe, Ltd. All rights reserved.
Contains proprietary and confidential information of ANSYS, Inc. and its subsidiaries and affiliates.
Tutorial 5: Flow Around a Blunt Body: Tutorial 5 Features


                     Component                                   Feature                                           Details
                     ANSYS CFX-Pre                               User Mode                                         General Mode
                                                                 Simulation Type                                   Steady State
                                                                 Fluid Type                                        Ideal Gas
                                                                 Domain Type                                       Single Domain
                                                                 Turbulence Model                                  Shear Stress Transport
                                                                 Heat Transfer                                     Isothermal
                                                                 Boundary Conditions                               Inlet (Subsonic)
                                                                                                                   Outlet (Subsonic)
                                                                                                                   Symmetry Plane
                                                                                                                   Wall: No-Slip
                                                                                                                   Wall: Free-Slip
                                                                 Timestep                                          Physical Time Scale
                     ANSYS CFX-Solver Manager                    Parallel processing
                     ANSYS CFX-Post                              Plots                                             Default Locators
                                                                                                                   Outline Plot (Wireframe)
                                                                                                                   Sampling Plane
                                                                                                                   Streamline
                                                                                                                   Vector
                                                                                                                   Volume
                                                                 Other                                             Changing the Color Range
                                                                                                                   Instancing Transformation
                                                                                                                   Lighting Adjustment
                                                                                                                   Symmetry
                                                                                                                   Viewing the Mesh

                    In this tutorial you will learn about:
                    •     Solving and post-processing a case where the geometry has been omitted on one side
                          of a symmetry plane.
                    •     Using free slip wall boundaries on the sides of and above the domain as a compromise
                          between accurate flow modeling and computational grid size.
                    •     Accurately modeling the near-wall flow using Shear Stress Transport (SST) turbulence
                          model.
                    •     Running the ANSYS CFX-Solver in parallel (optional).
                    •     Creating vector plots in ANSYS CFX-Post with uniform spacing between the vectors.
                    •     Creating a macro using power syntax in ANSYS CFX-Post.




Page 110         ANSYS CFX Tutorials. ANSYS CFX Release 11.0. © 1996-2006 ANSYS Europe, Ltd. All rights reserved.
                 Contains proprietary and confidential information of ANSYS, Inc. and its subsidiaries and affiliates.
Tutorial 5: Flow Around a Blunt Body: Overview of the Problem to Solve

Overview of the Problem to Solve
                               This example demonstrates external air flow over a generic vehicle body. Since both the
                               geometry and the flow are symmetric about a vertical plane, only half of the geometry will
                               be used to find the CFD solution.
                               Figure 1                 External Air Flow Over a Generic Vehicle Body




                                air speed
                                15.0 m/s                                                                1.44 m



                                                                                                         5.2 m




Defining a Simulation in ANSYS CFX-Pre
                               The following sections describe the simulation setup in ANSYS CFX-Pre.

Playing a Session File
                               If you wish to skip past these instructions, and have ANSYS CFX-Pre set up the simulation
                               automatically, you can select Session > Play Tutorial from the menu in ANSYS CFX-Pre,
                               then run the session file: BluntBody.pre. After you have played the session file as described
                               in earlier tutorials under Playing the Session File and Starting ANSYS CFX-Solver Manager
                               (p. 87), proceed to Obtaining a Solution Using ANSYS CFX-Solver Manager (p. 116).

Creating a New Simulation
                               1. Start ANSYS CFX-Pre.
                               2. Select File > New Simulation.
                               3. Select General and click OK.
                               4. Select File > Save Simulation As.
                               5. Under File name, type BluntBody.
                               6. Click Save.

Importing the Mesh
                               1. Right-click Mesh and select Import Mesh.
                               2. Apply the following settings


ANSYS CFX Tutorials. ANSYS CFX Release 11.0. © 1996-2006 ANSYS Europe, Ltd. All rights reserved.                            Page 111
Contains proprietary and confidential information of ANSYS, Inc. and its subsidiaries and affiliates.
Tutorial 5: Flow Around a Blunt Body: Defining a Simulation in ANSYS CFX-Pre


                            Setting                                                             Value
                            File name                                                           BluntBodyMesh.gtm

                    3. Click Open.

Creating the Domain
                    The flow in the domain is expected to be turbulent and approximately isothermal. The
                    Shear Stress Transport (SST) turbulence model with automatic wall function treatment will
                    be used because of its highly accurate predictions of flow separation. To take advantage of
                    the SST model, the boundary layer should be resolved with at least 10 mesh nodes. In order
                    to reduce computational time, the mesh in this tutorial is much coarser than that.
                    This tutorial uses an ideal gas as the fluid whereas previous tutorials have used a specific
                    fluid. When modeling a compressible flow using the ideal gas approximation to calculate
                    density variations, it is important to set a realistic reference pressure. This is because some
                    fluid properties depend on the absolute fluid pressure (calculated as the static pressure plus
                    the reference pressure).

                    1.     Click Domain                , and set the name to BluntBody.
                    2. Apply the following settings to BluntBody:


                            Tab                         Setting                                                          Value
                            General Options             Basic Settings > Fluids List                                     Air Ideal Gas
                                                        Domain Models > Pressure > Reference Pressure                    1 [atm]
                            Fluid Models                Heat Transfer > Option                                           Isothermal
                                                        Heat Transfer > Fluid Temperature                                288 [K]
                                                        Turbulence > Option                                              Shear Stress Transport

                    3. Click OK.

Creating Composite Regions
                    An imported mesh may contain many 2D regions. For the purpose of creating boundary
                    conditions, it can sometimes be useful to group several 2D regions together and apply a
                    single boundary condition to the composite 2D region. In this case, you are going to create
                    a Union between two regions that both require a free slip wall boundary condition.
                    1. From the main menu, select Insert > Composite Region.
                    2. Set the name to FreeWalls and click OK.
                    3. Apply the following settings


                            Tab                         Setting                                                          Value
                            Basic Settings              Dimension (Filter)                                               2D

                    4. In the region list, hold down the <Ctrl> key and select Free1 and Free2.

Page 112         ANSYS CFX Tutorials. ANSYS CFX Release 11.0. © 1996-2006 ANSYS Europe, Ltd. All rights reserved.
                 Contains proprietary and confidential information of ANSYS, Inc. and its subsidiaries and affiliates.
Tutorial 5: Flow Around a Blunt Body: Defining a Simulation in ANSYS CFX-Pre
                               5. Click OK.

Creating the Boundary Conditions
                               The simulation requires inlet, outlet, wall (no slip and free slip) and symmetry plane
                               boundary conditions. The regions for these boundary conditions were defined when the
                               mesh was created (except for the composite region just created for the free slip wall
                               boundary condition).

Inlet Boundary                 1. Click Boundary Condition                        .
                               2. Under Name, type Inlet.
                               3. Apply the following settings


                                      Tab                            Setting                               Value
                                      Basic Settings                 Boundary Type                          Inlet
                                                                     Location                              Inlet
                                      Boundary Details               Flow Regime > Option                   Subsonic
                                                                     Mass and Momentum > Option             Normal Speed
                                                                     Mass and Momentum > Normal Speed       15 [m s^-1]
                                                                     Turbulence > Option                    Intensity and Length Scale
                                                                     Turbulence > Eddy Len. Scale           0.1 [m]

                               4. Click OK.

Outlet                         1. Create a new boundary condition named Outlet.
Boundary                       2. Apply the following settings


                                      Tab                            Setting                               Value
                                      Basic Settings                 Boundary Type                          Outlet
                                                                     Location                              Outlet
                                      Boundary Details               Mass and Momentum > Option             Static Pressure
                                                                     Mass and Momentum > Relative Pressure 0 [Pa]

                               3. Click OK.

Free Slip Wall                 The top and side surfaces of the rectangular region will use free slip wall boundary
Boundary                       conditions.
                               •     On free slip walls the shear stress is set to zero so that the fluid is not retarded.
                               •     The velocity normal to the wall is also set to zero.
                               •     The velocity parallel to the wall is calculated during the solution.
                               This is not an ideal boundary condition for this situation since the flow around the body will
                               be affected by the close proximity to the walls. If this case was modeling a wind tunnel
                               experiment, the domain should model the size and shape of the wind tunnel and use no-slip
                               walls. If this case was modeling a blunt body open to the atmosphere, a much larger domain
                               should be used to minimize the effect of the walls.
ANSYS CFX Tutorials. ANSYS CFX Release 11.0. © 1996-2006 ANSYS Europe, Ltd. All rights reserved.                               Page 113
Contains proprietary and confidential information of ANSYS, Inc. and its subsidiaries and affiliates.
Tutorial 5: Flow Around a Blunt Body: Defining a Simulation in ANSYS CFX-Pre
                    You will apply a single boundary condition to both walls by using the composite region
                    defined earlier.
                    1. Create a new boundary condition named FreeWalls.
                    2. Apply the following settings:


                            Tab                            Setting                                                       Value
                            Basic Settings                 Boundary Type                                                 Wall
                                                           Location                                                      FreeWalls
                            Boundary Details               Wall Influence On Flow > Option                               Free Slip

                    3. Click OK.

Symmetry Plane 1. Create a new boundary condition named SymP.
Boundary       2. Apply the following settings:


                            Tab                            Setting                                                       Value
                            Basic Settings                 Boundary Type                                                 Symmetry
                                                           Location                                                      SymP

                    3. Click OK.

Wall Boundary       1. Create a new boundary condition named Body.
on the Blunt        2. Apply the following settings:
Body Surface

                            Tab                            Setting                                                       Value
                            Basic Settings                 Boundary Type                                                 Wall
                                                           Location                                                      Body
                            Boundary Details               Wall Influence On Flow > Option                               No Slip

                    3. Click OK.
                    The remaining 2D regions (in this case, just the low Z face) will be assigned the default
                    boundary condition which is an adiabatic, no-slip wall condition. In this case, the name of
                    the default boundary condition is Default Boundary. Although the boundary conditions
                    Body and Default Boundary are identical (except for their locations), the Body boundary
                    condition was created so that, during post-processing, its location can by conveniently
                    distinguished from the other adiabatic, no-slip wall surfaces.

Setting Initial Values
                    1. Click Global Initialization                     .
                    2. Apply the following settings:




Page 114         ANSYS CFX Tutorials. ANSYS CFX Release 11.0. © 1996-2006 ANSYS Europe, Ltd. All rights reserved.
                 Contains proprietary and confidential information of ANSYS, Inc. and its subsidiaries and affiliates.
Tutorial 5: Flow Around a Blunt Body: Defining a Simulation in ANSYS CFX-Pre


                                      Tab                         Setting                                       Value
                                      Global Settings             Initial Conditions > Cartesian Velocity       Automatic with Value
                                                                  Components > Option
                                                                  Initial Conditions > Cartesian Velocity       15 [m s^-1]
                                                                  Components > U
                                                                  Initial Conditions > Cartesian Velocity       0 [m s^-1]
                                                                  Components > V
                                                                  Initial Conditions > Cartesian Velocity       0 [m s^-1]
                                                                  Components > W
                                                                  Initial Conditions > Turbulence Eddy          (Selected)
                                                                  Dissipation

                               3. Click OK.

Setting Solver Control
                               1. Click Solver Control                   .
                               2. Apply the following settings:


                                      Tab                            Setting                                            Value
                                      Basic Settings                 Convergence Control > Max. Iterations              60
                                                                     Convergence Control > Fluid Timescale Control >    Physical Timescale
                                                                     Timescale Control
                                                                     Convergence Control > Fluid Timescale Control >    2 [s]
                                                                     Physical Timescale
                                                                     Convergence Criteria > Residual Target             1e-05

                               3. Click OK.

Writing the Solver (.def) File
                               1. Click Write Solver File                    .
                               2. Apply the following settings:


                                      Setting                                           Value
                                      File name                                         BluntBody.def
                                      Quit CFX–Pre*                                     (Selected)

                                           *.    If using ANSYS CFX-Pre in Standalone Mode.

                               3. Ensure Start Solver Manager is selected and click Save.
                               4. If using Standalone Mode, quit ANSYS CFX-Pre, saving the simulation (.cfx) file at your
                                  discretion.




ANSYS CFX Tutorials. ANSYS CFX Release 11.0. © 1996-2006 ANSYS Europe, Ltd. All rights reserved.                                  Page 115
Contains proprietary and confidential information of ANSYS, Inc. and its subsidiaries and affiliates.
Tutorial 5: Flow Around a Blunt Body: Obtaining a Solution Using ANSYS CFX-Solver Manager

Obtaining a Solution Using ANSYS CFX-Solver Manager
                    This tutorial introduces the parallel solver capabilities of ANSYS CFX.

                    Note: The results produced will be identical, whether produced by a parallel or serial run.
                    If you do not want to solve this tutorial in parallel (on more than one processor) or you do
                    not have a license to run the ANSYS CFX-Solver in parallel, proceed to Obtaining a Solution
                    in Serial (p. 116).
                    If you do not know if you have a license to run the ANSYS CFX-Solver in parallel, you should
                    either ask your system administrator, or query the license server (see the ANSYS, Inc.
                    Licensing Guide (which is installed with the ANSYS License Manager) for details).
                    Alternatively proceed to Obtaining a Solution in Serial (p. 116).
                    If you would like to solve this tutorial in parallel on the same machine, proceed to Obtaining
                    a Solution with Local Parallel (p. 117).
                    If you would like to solve this tutorial in parallel across different machines, proceed to
                    Obtaining a Solution with Distributed Parallel (p. 117).

Obtaining a Solution in Serial
                    When ANSYS CFX-Pre has shut down and ANSYS CFX-Solver Manager has started, you can
                    obtain a solution to the CFD problem by using the following procedure.
                    1. Click Start Run.
                    2. Click Yes to process the results in ANSYS CFX-Post.
                    3. If using Standalone Mode, quit ANSYS CFX-Solver Manager.
                          Continue this tutorial from Viewing the Results in ANSYS CFX-Post (p. 119).

Obtaining a Solution in Parallel
Background to    Using the parallel capability of the ANSYS CFX-Solver allows you to divide a large CFD
Parallel Running problem so that it can run on more than one processor/machine at once. This saves time
in ANSYS CFX
                 and, when multiple machines are used, avoids problems which arise when a CFD calculation
                 requires more memory than a single machine has available. The partition (division) of the
                 CFD problem is automatic.
                    A number of events occur when you set up a parallel run and then ask the ANSYS CFX-Solver
                    to calculate the solution:
                    •     Your mesh will be divided into the number of partitions that you have chosen.
                    •     The ANSYS CFX-Solver runs separately on each of the partitions on the selected
                          machine(s).
                    •     The results that one ANSYS CFX-Solver process calculates affects the other ANSYS
                          CFX-Solver processes at the interface between the different sections of the mesh.
                    •     All of the ANSYS CFX-Solver processes are required to communicate with each other
                          and this is handled by the master process.



Page 116         ANSYS CFX Tutorials. ANSYS CFX Release 11.0. © 1996-2006 ANSYS Europe, Ltd. All rights reserved.
                 Contains proprietary and confidential information of ANSYS, Inc. and its subsidiaries and affiliates.
Tutorial 5: Flow Around a Blunt Body: Obtaining a Solution Using ANSYS CFX-Solver Manager
                               •     The master process always runs on the machine that you are logged into when the
                                     parallel run starts. The other ANSYS CFX-Solver processes are slave processes and may
                                     be run on other machines.
                               •     After the problem has been solved, a single results file is written. It will be identical to a
                                     results file from the same problem run as a serial process, with one exception: an extra
                                     variable Real partition number will be available for the parallel run. This variable will
                                     be used later in this tutorial during post processing.

Obtaining a                    To run in local parallel mode, the machine you are on must have more than one processor.
Solution with
                               In ANSYS CFX-Solver Manager, the Define Run dialog box should already be open.
Local Parallel
                               1. Leave Type of Run set to Full.
                                  If Type of Run was instead set to Partitioner Only, your mesh would be split into a
                                  number of partitions but would not be run in the ANSYS CFX-Solver afterwards.
                               2. Set Run Mode to PVM Local Parallel .
                                  This is the recommended method for most applications.

                               3. If required, click Add Partition    to add more partitions.
                                  By default, 2 partitions are assigned.
                               4. Select Show Advanced Controls.
                               5. Click the Partitioner tab at the top of the dialog box.
                               6. Use the default MeTiS partitioner.
                                  Your model will be divided into two sections, with each section running in its own
                                  ANSYS CFX-Solver process. The default is the MeTiS partitioner because it produces
                                  more efficient partitions than either Recursive Coordinate Bisection or User
                                  Specified Direction.
                               7. Click Start Run.

                               8. Click Post–Process Results                        .
                               9. If using ANSYS CFX-Solver in Standalone Mode, select Shut down Solver Manager, and
                                  then click OK.
                               Continue this tutorial from Text Output when Running in Parallel (p. 118).

Obtaining a                    Before running in Distributed Parallel mode, please ensure that your system has been
Solution with                  configured as described in the installation documentation.
Distributed
Parallel                       In ANSYS CFX-Solver Manager, the Define Run dialog box should already be open.
                               1. Leave Type of Run set to Full.
                                  If Type of Run was instead set to Partitioner Only, your mesh would be split into a
                                  number of partitions but would not be run in the ANSYS CFX-Solver afterwards.
                               2. Set Run Mode to PVM Distributed Parallel.
                                  The name of the machine that you are currently logged into should be in the Host
                                  Name list. You are going to run with two partitions on two different machines, so
                                  another machine must be added.

                               3. Click Insert Host                   to specify a new host machine.



ANSYS CFX Tutorials. ANSYS CFX Release 11.0. © 1996-2006 ANSYS Europe, Ltd. All rights reserved.                         Page 117
Contains proprietary and confidential information of ANSYS, Inc. and its subsidiaries and affiliates.
Tutorial 5: Flow Around a Blunt Body: Obtaining a Solution Using ANSYS CFX-Solver Manager
                          •      The Select Parallel Hosts dialog box is displayed. This is where you choose
                                 additional machines to run your processes.
                          •      Your system administrator should have set up a hosts file containing a list of the
                                 machines that are available to run the parallel ANSYS CFX-Solver.
                          •      The Host Name column displays names of available hosts.
                          •      The second column shows the number of processors on that machine.
                          •      The third shows the relative processor speed: a processor on a machine with a
                                 relative speed of 1 would typically be twice as fast as a machine with a relative speed
                                 of 0.5.
                          •      The last column displays operating system information.
                          •      This information is read from the hosts file; if any information is missing or incorrect
                                 your system administrator should correct the hosts file.
                    Note: The # processors, relative speed and system information does not have to be specified
                    to be able to run on a host.

                    4. Select the name of another machine in the Host Name list.
                       Select a machine that you can log into.
                    5. Click Add.
                       The name of the machine is added to the Host Name column.
                    Note: Ensure that the machine that you are currently logged into is in the Hosts Name list
                    in the Define Run dialog box.
                    6. Close the Select Parallel Hosts dialog box.
                    7. Select Show Advanced Controls.
                    8. Click the Partitioner tab at the top of the dialog box.
                    9. Use the default MeTiS partitioner.
                       Your model will be divided into two sections, with each section running in its own
                       ANSYS CFX-Solver process. The default is the MeTiS partitioner because it produces
                       more efficient partitions than either Recursive Coordinate Bisection or User
                       Specified Direction.
                    10. Click Start Run to begin the parallel run.
                    11. Click OK on the pop-up message.
                    12. Click Yes to post-process the results when the completion message appears at the end
                        of the run.
                    13. Close ANSYS CFX-Solver Manager.

Text Output         The text output area shows what is being written to the output file. You will see information
when Running        similar to the following:
in Parallel         +--------------------------------------------------------------------+
                    |                          Job Information                           |
                    +--------------------------------------------------------------------+
                    Run mode:       partitioning run
                    Host computer: fastmachine1
                    Job started:    Wed Nov 28 15:18:40 2005




Page 118         ANSYS CFX Tutorials. ANSYS CFX Release 11.0. © 1996-2006 ANSYS Europe, Ltd. All rights reserved.
                 Contains proprietary and confidential information of ANSYS, Inc. and its subsidiaries and affiliates.
Tutorial 5: Flow Around a Blunt Body: Viewing the Results in ANSYS CFX-Post
                               This tells you that the information following is concerned with the partitioning. After the
                               partitioning job has finished, you will find:
                               CPU-Time requirements:
                               - Preparations                                       1.460E+00 seconds
                               - Low-level mesh partitioning                        1.000E-01 seconds
                               - Global partitioning information                    3.100E-01 seconds
                               - Vertex, element and face partitioning information 1.600E-01 seconds
                               - Element and face set partitioning information      5.000E-02 seconds
                               - Summed CPU-time for mesh partitioning              2.080E+00 seconds
                               +--------------------------------------------------------------------+
                               |                           Job Information                          |
                               +--------------------------------------------------------------------+
                               Host computer: fastmachine1
                               Job finished:    Wed Nov 28 15:19:16 2005
                               Total CPU time: 1.143E+01 seconds
                                             or: (          0:         0:        0:    11.428 )
                                                 (       Days:     Hours:  Minutes:   Seconds )
                               This marks the end of the partitioning job. The ANSYS CFX-Solver now begins to solve your
                               parallel run:
                               +--------------------------------------------------------------------+
                               |                          Job Information                           |
                               +--------------------------------------------------------------------+
                               Run mode:       parallel run (PVM)
                               Host computer: fastmachine1
                               Par. Process:   Master running on mesh partition:       1
                               Job started:    Thu Nov 28 15:19:20 2005
                               Host computer: slowermachine
                               Par. Process:   Slave running on mesh partition:        2
                               Job started:    Thu Nov 28 15:24:55 2005
                               The machine that you are logged into runs the master process, and controls the overall
                               simulation. The second machine selected will run the slave process. If you had more than
                               two processes, each additional process is run as a slave process.
                               The master process in this example is running on the mesh partition number 1 and the slave
                               is running on partition number 2. You can find out which nodes and elements are in each
                               partition by using ANSYS CFX-Post later on in the tutorial.
                               When the ANSYS CFX-Solver finishes, the output file displays the job information and a
                               pop-up message to indicate completion of the run.



Viewing the Results in ANSYS CFX-Post
                               In this tutorial, a vector plot is created in ANSYS CFX-Post. This will let you see how the flow
                               behaves around the body. You will also use symmetry planes and learn more about
                               manipulating the geometry view in the viewer.

Using Symmetry Planes
                               Earlier in this tutorial you used a symmetry plane boundary condition because the entire
                               blunt body is symmetrical about a plane. Due to this symmetry, it was necessary to use only
                               half of the full geometry to calculate the CFD results. However, for visualization purposes, it
                               is helpful to use the full blunt body. ANSYS CFX-Post is able to recreate the full data set from
                               the half that was originally calculated. This is done by creating an Instance Transform
                               object.

ANSYS CFX Tutorials. ANSYS CFX Release 11.0. © 1996-2006 ANSYS Europe, Ltd. All rights reserved.                         Page 119
Contains proprietary and confidential information of ANSYS, Inc. and its subsidiaries and affiliates.
Tutorial 5: Flow Around a Blunt Body: Viewing the Results in ANSYS CFX-Post
Manipulating        You need to manipulate the geometry so that you will be able to see what happens when
the Geometry        you use the symmetry plane. The ANSYS CFX-Post features that you have used in earlier
                    tutorials will not be described in detail. New features will be described in detail.
                    1. Right-click a blank area in the viewer and select Predefined Camera > View Towards
                       +X.

Creating an         Instance Transforms are used to visualize a full geometry representation in cases where the
Instance            simulation took advantage of symmetry to solve for only part of the geometry. There are
Transform
                    three types of transforms that you can use: Rotation, Translation, Reflection. In this tutorial,
                    you will create a Reflection transform located on a plane.
                    1. Click Location > Plane and set the name to Reflection Plane .
                    2. Apply the following settings:


                            Tab                                               Setting                                    Value
                            Geometry                                          Definition > Method                        ZX Plane
                            Render                                            Draw Faces                                 (cleared)

                    3. Click Apply.
                       This creates a plane in the same location as the symmetry plane defined in ANSYS
                       CFX-Pre. Now the instance transform can be created using this Plane:
                    4. From the main menu, select Insert > Instance Transform and accept the default name.
                    5. Apply the following settings:


                            Tab                               Setting                                                    Value
                            Definition                        Instancing Info From Domain                                (Cleared)
                                                              Apply Rotation                                             (Cleared)
                                                              Apply Reflection                                           (Selected)
                                                              Apply Reflection > Plane                                   Reflection Plane

                    6. Click Apply.

Using the           You can use the transform when creating or editing graphics objects. For example, you can
Reflection          modify the Wireframe view to use it as follows:
Transform
                    1. Under the Outline tab, in User Locations and Plots, apply the following settings to
                       Wireframe:


                            Tab                      Setting                                                             Value
                            View                     Apply Instancing Transform > Transform                              Instance Transform 1

                    2. Click Apply.
                    3. Zoom so that the geometry fills the Viewer.
                          You will see the full blunt body.




Page 120         ANSYS CFX Tutorials. ANSYS CFX Release 11.0. © 1996-2006 ANSYS Europe, Ltd. All rights reserved.
                 Contains proprietary and confidential information of ANSYS, Inc. and its subsidiaries and affiliates.
Tutorial 5: Flow Around a Blunt Body: Viewing the Results in ANSYS CFX-Post

Creating Vectors
                               You are now going to create a vector plot to show velocity vectors behind the blunt body.
                               You need to first create an object to act as a locator, which, in this case, will be a sampling
                               plane. Then, create the vector plot itself.

Creating the                   A sampling plane is a plane with evenly spaced sampling points on it.
Sampling Plane
                               1. Right-click a blank area in the viewer and select Predefined Camera > View Towards
                                  +Y.
                                  This ensures that the changes can be seen.
                               2. Create a new plane named Sample.
                               3. Apply the following settings:


                                      Tab                                   Setting                     Value
                                      Geometry                              Definition > Method         Point and Normal
                                                                            Definition > Point          6, -0.001, 1
                                                                            Definition > Normal         0, 1, 0
                                                                            Plane Bounds > Type         Rectangular
                                                                            Plane Bounds > X Size       2.5 [m]
                                                                            Plane Bounds > Y Size       2.5 [m]
                                                                            Plane Type                  Sample
                                                                            Plane Type > X Samples      20
                                                                            Plane Type > Y Samples      20
                                      Render                                Draw Faces                  (Cleared)
                                                                            Draw Lines                  (Selected)

                               4. Click Apply.
                                  You can zoom in on the sampling plane to see the location of the sampling points
                                  (where lines intersect). There are a total of 400 (20 * 20) sampling points on the plane. A
                                  vector can be created at each sampling point.
                               5. Hide the plane by clearing the visibility check box next to Sample.

Creating a                     1. Click Vector                and accept the default name.
Vector Plot                    2. Apply the following settings:
Using Different
Sampling
Methods                               Tab                                   Setting                     Value
                                      Geometry                              Definition > Locations      Sample
                                                                            Definition > Sampling       Vertex
                                      Symbol                                Symbol Size                 0.25

                               3. Click Apply.
                               4. Zoom until the vector plot is roughly the same size as the viewer.
                                  You should be able to see a region of recirculation behind the blunt body.



ANSYS CFX Tutorials. ANSYS CFX Release 11.0. © 1996-2006 ANSYS Europe, Ltd. All rights reserved.                           Page 121
Contains proprietary and confidential information of ANSYS, Inc. and its subsidiaries and affiliates.
Tutorial 5: Flow Around a Blunt Body: Viewing the Results in ANSYS CFX-Post
                    5. Ignore the vertices on the sampling plane and increase the density of the vectors by
                       applying the following settings:


                            Tab                                  Setting                                                 Value
                            Geometry                             Definition > Sampling                                   Equally Spaced
                                                                 Definition > # of Points                                1000

                    6. Click Apply.
                    7. Change the location of the Vector plot by applying the following setting:


                            Tab                                  Setting                                                 Value
                            Geometry                             Definition > Locations                                  SymP

                    8. Click Apply.

Creating a Pressure Plot
                    1. Apply the following settings to the boundary condition named Body:


                            Tab                      Setting                                                             Value
                            Color                    Mode                                                                Variable
                                                     Variable                                                            Pressure
                            View                     Apply Instancing Transform > Transform                              Instance Transform 1

                    2. Click Apply.
                    3. Apply the following settings to SymP:


                            Tab                                  Setting                                                 Value
                            Render                               Draw Faces                                              (Cleared)
                                                                 Draw Line                                               (Selected)

                    4. Click Apply.
                          You will be able to see the mesh around the blunt body, with the mesh length scale
                          decreasing near the body, but still coarse in the region of recirculation. By zooming in,
                          you will be able to see the layers of inflated elements near the body.

Creating Surface Streamlines
                    In order to show the path of air along the surface of the blunt body, surface streamlines can
                    be made as follows:
                    1. Clear the visibility of Body, SymP and Vector 1.
                    2. Create a new plane named Starter.
                    3. Apply the following settings




Page 122         ANSYS CFX Tutorials. ANSYS CFX Release 11.0. © 1996-2006 ANSYS Europe, Ltd. All rights reserved.
                 Contains proprietary and confidential information of ANSYS, Inc. and its subsidiaries and affiliates.
Tutorial 5: Flow Around a Blunt Body: Viewing the Results in ANSYS CFX-Post


                                      Tab                                               Setting                   Value
                                      Geometry                                          Definition > Method       YZ Plane
                                                                                        X                         -0.1 [m]

                               4. Click Apply.
                                  The plane appears just upstream of the blunt body.
                               5. Clear the visibility check box for the plane.
                                  This hides the plane from view, although the plane still exists.
                               6. Click Streamline                  . and click OK to accept the default name.
                               7. Apply the following settings:


                                      Tab                                               Setting                   Value
                                      Geometry                                          Type                      Surface Streamline
                                                                                        Definition > Surfaces     Body
                                                                                        Definition > Start From   Locations
                                                                                        Definition > Locations    Starter
                                                                                        Definition > Max Points   100
                                                                                        Definition > Direction    Forward

                               8. Apply the following settings.
                                     The surface streamlines appear on half of the surface of the blunt body. They start near
                                     the upstream end because the starting points were formed by projecting nodes from
                                     the plane to the blunt body.

Moving Objects
                               In ANSYS CFX-Post, you can reposition some locator objects directly in the viewer by using
                               the mouse.
                               1. Select the visibility check box for the plane named Starter.

                               2. Select the                Single Select mouse pointer from the Selection Tools toolbar.
                               3. In the viewer, click the Starter plane to select it, then use the left mouse button to drag
                                  it along the X axis.
                                     Notice that the streamlines are redrawn as the plane moves.

Creating a Surface Plot of y+
                               The velocity next to a no-slip wall boundary changes rapidly from a value of zero at the wall
                               to the free stream value a short distance away from the wall. This layer of high velocity
                               gradient is known as the boundary layer. Many meshes are not fine enough near a wall to
                               accurately resolve the velocity profile in the boundary layer. Wall functions can be used in
                               these cases to apply an assumed functional shape of the velocity profile. Other grids are fine
                               enough that they do not require wall functions, and application of the latter has little effect.


ANSYS CFX Tutorials. ANSYS CFX Release 11.0. © 1996-2006 ANSYS Europe, Ltd. All rights reserved.                                       Page 123
Contains proprietary and confidential information of ANSYS, Inc. and its subsidiaries and affiliates.
Tutorial 5: Flow Around a Blunt Body: Viewing the Results in ANSYS CFX-Post
                     The majority of cases fall somewhere in between these two extremes, where the boundary
                     layer is partially resolved by nodes near the wall and wall functions are used to supplement
                     accuracy where the nodes are not sufficiently clustered near the wall.
                     One indicator of the closeness of the first node to the wall is the dimensionless wall distance
                        +                                                                          +
                      y . It is good practice to examine the values of y at the end of your simulation. At the
                                                          +
                     lower limit, a value of y less than or equal to 11 indicates that the first node is within the
                     laminar sublayer of the boundary flow. Values larger than this indicate that an assumed
                     logarithmic shape of the velocity profile is being used to model the boundary layer portion
                     between the wall and the first node. Ideally you should confirm that there are several nodes
                     (3 or more) resolving the boundary layer profile. If this is not observed, it is highly
                     recommended that more nodes be added near the wall surfaces in order to improve
                     simulation accuracy. In this tutorial, a coarse mesh is used to reduce the run time. Thus, the
                     grid is far too coarse to resolve any of the boundary layer profile, and the solution is not
                     highly accurate.

Surface Plot of      A surface plot is one which colors a surface according to the values of a variable: in this case,
y+                      +                                +
                      y . A surface plot of y can be obtained as follows:
                     1. Clear the visibility of all previous plots.
                     2. Under the Outline tab, apply the following settings to BluntBodyDefault:


                             Tab                      Setting                                                             Value
                             Color                    Mode                                                                Variable
                                                      Variable                                                            Yplus*
                             View                     Apply Instancing Transform > Transform                              Instance Transform 1
                                  *.    Click the ellipsis icon to the right of the Variable dropdown menu to view a full list
                                        of variables, including Yplus.

                     3. Click Apply.
                     4. Under the Outline tab, apply the following settings to Body:


                             Tab                      Setting                                                             Value
                             Color                    Mode                                                                Variable
                                                      Variable                                                            Yplus*
                             View                     Apply Instancing Transform > Transform                              Instance Transform 1
                                  *.    Click the ellipsis icon to the right of the Variable dropdown menu to view a full list
                                        of variables, including Yplus.

                     5. Click Apply.




Page 124          ANSYS CFX Tutorials. ANSYS CFX Release 11.0. © 1996-2006 ANSYS Europe, Ltd. All rights reserved.
                  Contains proprietary and confidential information of ANSYS, Inc. and its subsidiaries and affiliates.
Tutorial 5: Flow Around a Blunt Body: Viewing the Results in ANSYS CFX-Post

Demonstrating Power Syntax
                               This section demonstrates a power syntax macro used to evaluate the variation of any
                               variable in the direction of the x-axis. This is an example of power syntax programming in
                               ANSYS CFX-Post.

Synopsis                       A macro containing CCL and power syntax will be loaded by playing a session file. This
                               macro will be executed by entering a line of power syntax in the Command Editor dialog
                               box. The macro tells ANSYS CFX-Post to create slice planes, normal to the X axis, at 20
                               evenly-spaced locations from the beginning to the end of the domain. On each plane, it
                               measures and prints the minimum, maximum, and average values for a specified variable
                               (using conservative values). The planes are colored using the specified variable.

                               Note: The ANSYS CFX-Post engine can respond to CCL commands issued directly, or to
                               commands issued using the graphical user interface. The Command Editor dialog box can
                               be used to enter any valid CCL command directly.

Procedure                      1. Play the session file named BluntBodyDist.cse.
                               2. Right-click a blank area in the viewer and select Predefined Camera > View Towards
                                  -X.
                               3. Select Tools > Command Editor from the menu bar.
                               4. Type the following line into the Command Editor dialog box (the quotation marks and
                                  the semi-colon are required):
                               !BluntBodyDist("Velocity u");
                               5. Click Process.
                                     The minimum, maximum and average values of the variable at each X location are
                                     written to the file BluntBody.txt. The results can be viewed by opening the file in a
                                     text editor.
                               You can also run the macro with a different variable.
                               To view the content of the session file (which contains explanatory comments), open the
                               session file in a text editor. It contains all of the CCL and power syntax commands and will
                               provide a better understanding of how the macro works.

Viewing the Mesh Partitions (Parallel Only)
                               If you solved this tutorial in parallel, then an additional variable named Real partition
                               number will be available in ANSYS CFX-Post

                               1. Create an Isosurface of Real partition number equal to 1.
                               2. Create a second Isosurface of Real partition number equal to 1.999.
                               The two Isosurfaces show the edges of the two partitions. The gap between the two plots
                               shows the overlap nodes. These were contained in both partitions 1 and 2.
                               When you have finished looking at the results, quit ANSYS CFX-Post.




ANSYS CFX Tutorials. ANSYS CFX Release 11.0. © 1996-2006 ANSYS Europe, Ltd. All rights reserved.                         Page 125
Contains proprietary and confidential information of ANSYS, Inc. and its subsidiaries and affiliates.
Tutorial 5: Flow Around a Blunt Body: Viewing the Results in ANSYS CFX-Post




Page 126         ANSYS CFX Tutorials. ANSYS CFX Release 11.0. © 1996-2006 ANSYS Europe, Ltd. All rights reserved.
                 Contains proprietary and confidential information of ANSYS, Inc. and its subsidiaries and affiliates.
Tutorial 6:
Buoyant Flow in a Partitioned
Cavity

Introduction
                               This tutorial includes:
                               •     Tutorial 6 Features (p. 128)
                               •     Overview of the Problem to Solve (p. 128)
                               •     Defining a Simulation in ANSYS CFX-Pre (p. 129)
                               •     Obtaining a Solution using ANSYS CFX-Solver Manager (p. 134)
                               •     Viewing the Results in ANSYS CFX-Post (p. 135)

                               If this is the first tutorial you are working with, it is important to review the following topics
                               before beginning:
                               •     Setting the Working Directory (p. 1)
                               •     Changing the Display Colors (p. 2)
                               Unless you plan on running a session file, you should copy the sample files used in this
                               tutorial from the installation folder for your software (<CFXROOT>/examples/) to your
                               working directory. This prevents you from overwriting source files provided with your
                               installation. If you plan to use a session file, please refer to Playing a Session File (p. 129).
                               Sample files referenced by this tutorial include:
                               •     Buoyancy2D.geo
                               •     Buoyancy2D.pre




ANSYS CFX Tutorials                                                                                                      Page 127
ANSYS CFX Release 11.0. © 1996-2006 ANSYS Europe, Ltd. All rights reserved.
Contains proprietary and confidential information of ANSYS, Inc. and its subsidiaries and affiliates.
Tutorial 6: Buoyant Flow in a Partitioned Cavity: Tutorial 6 Features

Tutorial 6 Features
                     This tutorial addresses the following features of ANSYS CFX.


                      Component                                   Feature                                           Details
                      ANSYS CFX-Pre                               User Mode                                         General Mode
                                                                  Simulation Type                                   Transient
                                                                  Fluid Type                                        General Fluid
                                                                  Domain Type                                       Single Domain
                                                                  Turbulence Model                                  Laminar
                                                                  Heat Transfer                                     Thermal Energy
                                                                  Buoyant Flow
                                                                  Boundary Conditions                               Symmetry Plane
                                                                                                                    Outlet (Subsonic)
                                                                                                                    Wall: No-Slip
                                                                                                                    Wall: Adiabatic
                                                                                                                    Wall: Fixed Temperature
                                                                  Output Control
                                                                  Timestep                                          Transient Example
                                                                  Transient Results File
                      ANSYS CFX-Post                              Plots                                             Default Locators
                                                                  Report
                                                                  Other                                             Time Step Selection
                                                                                                                    Transient Animation

                     In this tutorial you will learn about:
                     •     Using CFX-4 Mesh Import.
                     •     Setting up a time dependent (transient) simulation.
                     •     Modeling buoyant flow.



Overview of the Problem to Solve
                     This tutorial demonstrates the capability of ANSYS CFX in modeling buoyancy-driven flows
                     which require the inclusion of gravitational effects.




Page 128          ANSYS CFX Tutorials. ANSYS CFX Release 11.0. © 1996-2006 ANSYS Europe, Ltd. All rights reserved.
                  Contains proprietary and confidential information of ANSYS, Inc. and its subsidiaries and affiliates.
Tutorial 6: Buoyant Flow in a Partitioned Cavity: Defining a Simulation in ANSYS CFX-Pre
                               The model is a 2D partitioned cavity containing air. The bottom of the cavity is kept at a
                               constant temperature of 75°C, while the top is held constant at 5°C. The cavity is also tilted
                               at an angle of 30 degrees to the horizontal. A transient simulation is set up to see how the
                               flow develops starting from stationary conditions. Since you are starting from stationary
                               conditions, there is no need to solve a steady-state simulation for use as the initial guess.


                                 5 C




                                                                             air




                                                                                75 C



                               The mesh for the cavity was created in CFX-4 and has been provided.



Defining a Simulation in ANSYS CFX-Pre
                               You are going to import a hexahedral mesh originally generated in CFX-4. The mesh
                               contains labelled regions which will enable you to apply the relevant boundary conditions
                               for this problem.

Playing a Session File
                               If you wish to skip past these instructions, and have ANSYS CFX-Pre set up the simulation
                               automatically, you can select Session > Play Tutorial from the menu in ANSYS CFX-Pre,
                               then run the session file: Buoyancy2D.pre. After you have played the session file as
                               described in earlier tutorials under Playing the Session File and Starting ANSYS CFX-Solver
                               Manager (p. 87), proceed to Obtaining a Solution using ANSYS CFX-Solver Manager (p. 134).

Creating a New Simulation
                               1. Start ANSYS CFX-Pre.
                               2. Create a new simulation using General Mode.
                               3. Select File > Save Simulation As and set File name to Buoyancy2D.
                               4. Click Save.

Importing the Mesh
                               1. Right-click Mesh and select Import Mesh. The Import Mesh dialog box appears.

ANSYS CFX Tutorials. ANSYS CFX Release 11.0. © 1996-2006 ANSYS Europe, Ltd. All rights reserved.                     Page 129
Contains proprietary and confidential information of ANSYS, Inc. and its subsidiaries and affiliates.
Tutorial 6: Buoyant Flow in a Partitioned Cavity: Defining a Simulation in ANSYS CFX-Pre
                    2. Apply the following settings


                            Setting                                                             Value
                            File type                                                           CFX-4
                            File name                                                           Buoyancy2D.geo*
                                 *.    This file is in your tutorial directory.

                    3. Click Open.

Simulation Type
                    The default units and coordinate frame settings are suitable for this tutorial, but the
                    simulation type needs to be set to transient.
                    You will notice physics validation messages as the case is set to Transient. These errors will
                    be fixed in the later part of the tutorial.

                    1. Click Simulation Type                       .
                    2. Apply the following settings


                            Tab                                  Setting                                                 Value
                            Basic Settings                       Simulation Type > Option                                Transient
                                                                 Simulation Type > Time Duration >                       2 [s]
                                                                 Total Time*
                                                                 Simulation Type > Time Steps >                          0.025 [s]
                                                                 Timesteps†
                                                                 Simulation Type > Initial Time > Time 0 [s]
                                 *.    This is the total duration, in real time, for the simulation
                                 †.    This is the interval from one step, in real time, to the next. The simulation will
                                       continue, moving forward in time by 0.025 s, until the total time has been reached

                    3. Click OK.




Page 130         ANSYS CFX Tutorials. ANSYS CFX Release 11.0. © 1996-2006 ANSYS Europe, Ltd. All rights reserved.
                 Contains proprietary and confidential information of ANSYS, Inc. and its subsidiaries and affiliates.
Tutorial 6: Buoyant Flow in a Partitioned Cavity: Defining a Simulation in ANSYS CFX-Pre

Creating the Domain




                                                                               gsin30
                                                                                                        30

                                                                                                             gcos30
                                                                                                    g




                               y
                                                       x
                                                                                                        30


                               You will model the cavity as if it were tilted at an angle of 30°. You can do this by specifying
                               horizontal and vertical components of the gravity vector, which are aligned with the default
                               coordinate axes, as shown in the diagram above.

To Create a New                1. Click Domain                   , and set the name to Buoyancy2D.
Domain                         2. Apply the following settings to Buoyancy2D


                                      Tab                     Setting                                                             Value
                                      General                 Basic Settings > Fluids List                                        Air at 25 C
                                      Options                 Domain Models > Pressure > Reference Pressure                       1 [atm]
                                                              Domain Models > Buoyancy > Option                                   Buoyant
                                                              Domain Models > Buoyancy > Gravity X Dirn.                          -4.9 [m s^-2]
                                                              Domain Models > Buoyancy > Gravity Y Dirn.                          -8.5 [m s^-2]
                                                              Domain Models > Buoyancy > Gravity Z Dirn.                          0.0 [m s^-2]*
                                                              Domain Models > Buoyancy > Buoy. Ref. Temp.                         40 [C]†
                                      Fluid Models            Heat Transfer > Option                                              Thermal Energy
                                                              Turbulence > Option                                                 None (Laminar)
                                           *.    This produces a gravity vector which simulates the tilt of the cavity
                                           †.    Do not forget to change the units. This is just an approximate representative
                                                 domain temperature.

                                     Initialization will be set up using Global Initialization                        , so there is no need to visit the
                                     Initialization tab.
                               3. Click OK.

ANSYS CFX Tutorials. ANSYS CFX Release 11.0. © 1996-2006 ANSYS Europe, Ltd. All rights reserved.                                                Page 131
Contains proprietary and confidential information of ANSYS, Inc. and its subsidiaries and affiliates.
Tutorial 6: Buoyant Flow in a Partitioned Cavity: Defining a Simulation in ANSYS CFX-Pre

Creating the Boundary Conditions
Hot and Cold        You will create a wall boundary condition with a fixed temperature of 75 C on the bottom
Wall Boundary       surface of the cavity, as follows:
                    1. Create a new boundary condition named hot.
                    2. Apply the following settings


                            Tab                    Setting                                                               Value
                            Basic Settings         Boundary Type                                                         Wall
                                                   Location                                                              WALLHOT
                            Boundary               Heat Transfer > Option                                                Temperature
                            Details
                                                   Heat Transfer > Fixed Temperature                                     75 [C]

                    3. Click OK.
                    4. Create a new boundary condition named cold.
                    5. Apply the following settings


                            Tab                    Setting                                                               Value
                            Basic Settings         Boundary Type                                                         Wall
                                                   Location                                                              WALLCOLD
                            Boundary               Heat Transfer > Option                                                Temperature
                            Details                Heat Transfer > Fixed Temperature                                     5 [C]

                    6. Click OK.

Symmetry Plane A single symmetry plane boundary condition can be used for the front and back of the
Boundary       cavity.
                    1. Create a new boundary condition named SymP.
                    2. Apply the following settings


                            Tab                    Setting                                   Value
                            Basic Settings         Boundary Type                             Symmetry
                                                   Location                                  SYMMET1, SYMMET2*
                                 *.    Use the <Ctrl> key to select more than one region.

                    3. Click OK.
                          The default adiabatic wall boundary condition will automatically be applied to the
                          remaining boundaries.

Setting Initial Values
                    You should set initial settings using the Automatic with Value option when defining a
                    transient simulation. Using this option, the first run will use the specified initial conditions
                    while subsequent runs will use results file data for initial conditions.

Page 132         ANSYS CFX Tutorials. ANSYS CFX Release 11.0. © 1996-2006 ANSYS Europe, Ltd. All rights reserved.
                 Contains proprietary and confidential information of ANSYS, Inc. and its subsidiaries and affiliates.
Tutorial 6: Buoyant Flow in a Partitioned Cavity: Defining a Simulation in ANSYS CFX-Pre

                               1. Click Global Initialization                      .
                               2. Apply the following settings


                                      Tab                                Setting                                              Value
                                      Global Settings                    Initial Conditions > Cartesian Velocity              Automatic with
                                                                         Components > Option                                  Value
                                                                         Initial Conditions > Cartesian Velocity              0 [m s^-1]
                                                                         Components > U
                                                                         Initial Conditions > Cartesian Velocity              0 [m s^-1]
                                                                         Components > V
                                                                         Initial Conditions > Cartesian Velocity              0 [m s^-1]
                                                                         Components > W
                                                                         Initial Conditions > Static Pressure > Relative      0 [Pa]
                                                                         Pressure
                                                                         Initial Conditions > Temperature > Temperature       5 [C]

                               3. Click OK.

Setting Output Control

                               1. Click Output Control                       .
                               2. Click the Trn Results tab.
                               3. Create a new Transient Results item with the default name.
                               4. Apply the following settings


                                      Tab                            Setting                                       Value
                                      Trn Results                    Transient Results > Transient Results 1 >     Selected Variables
                                                                     Option
                                                                     Transient Results > Transient Results 1 >     Pressure, Temperature,
                                                                     Output Variables List*                        Velocity
                                                                     Transient Results > Transient Results 1 >     Time Interval
                                                                     Output Frequency > Option
                                                                     Transient Results > Transient Results 1 >     0.1 [s]
                                                                     Output Frequency > Time Interval
                                           *.    Click the ellipsis icon to select items if they do not appear in the drop-down list. Use
                                                 the <Ctrl> key to select multiple items.

                               5. Click OK.

Setting Solver Control
                               1. Click Solver Control                   .
                               2. Apply the following settings




ANSYS CFX Tutorials. ANSYS CFX Release 11.0. © 1996-2006 ANSYS Europe, Ltd. All rights reserved.                                        Page 133
Contains proprietary and confidential information of ANSYS, Inc. and its subsidiaries and affiliates.
Tutorial 6: Buoyant Flow in a Partitioned Cavity: Obtaining a Solution using ANSYS CFX-Solver Manager


                            Tab                         Setting                                                          Value
                            Basic Settings              Advection Scheme > Option                                        High Resolution
                                                        Convergence Control > Max. Coeff. Loops                          5
                                                        Convergence Criteria > Residual Type                             RMS
                                                        Convergence Criteria > Residual Target                           1.E-4*
                                 *.    An RMS value of at least 1.E-5 is usually required for adequate convergence, but the
                                       default value of 1.E-4 is sufficient for demonstration purposes.

                    3. Click OK.

Writing the Solver (.def) File
                    1. Click Write Solver File                   .
                    2. Apply the following settings:


                            Setting                                           Value
                            File name                                         Buoyancy2D.def
                            Quit CFX–Pre*                                     (Selected)

                                 *.    If using ANSYS CFX-Pre in Standalone Mode.

                    3. Ensure Start Solver Manager is selected and click Save.
                    4. If using Standalone Mode, quit ANSYS CFX-Pre, saving the simulation (.cfx) file at your
                       discretion.



Obtaining a Solution using ANSYS CFX-Solver Manager
                    When ANSYS CFX-Pre has shut down and ANSYS CFX-Solver Manager has started, you can
                    obtain a solution to the CFD problem by using the following procedure.

                    Note: Recall that the output displayed on the Out File tab of the ANSYS CFX-Solver Manager
                    is more complicated for transient problems than for steady-state problems. Each timestep
                    consists of several iterations, and after the timestep, information about various quantities is
                    printed.
                    1. Click Start Run.
                    2. Click Yes to post-process the results when the completion message appears at the end
                       of the run.
                    3. If using Standalone Mode, quit ANSYS CFX-Solver Manager.




Page 134         ANSYS CFX Tutorials. ANSYS CFX Release 11.0. © 1996-2006 ANSYS Europe, Ltd. All rights reserved.
                 Contains proprietary and confidential information of ANSYS, Inc. and its subsidiaries and affiliates.
Tutorial 6: Buoyant Flow in a Partitioned Cavity: Viewing the Results in ANSYS CFX-Post

Viewing the Results in ANSYS CFX-Post
                               In this section, you will create a report in ANSYS CFX-Post. You will also make an animation
                               to see changes in temperature with time.

Simple Report
                               First, you will view a report that is created with little effort:
                               1. Click the Report Viewer tab. Note that the report loads with some
                                  automatically-generated statistical information.
                               2. In the Outline tree view, under Report, experiment with the various settings for Mesh
                                  Report, Physics Report and other report objects. These settings control the report
                                  contents. On the Report Viewer tab, you can click Refresh to see the changes to your
                                  report.

Plots
                               Here, you will create the following objects in preparation for generating a more customized
                               report:
                               •     Contour plot of temperature
                               •     Point locators (for observing temperature)
                               •     Comment
                               •     Figure showing the contour plot and point locator
                               •     Time chart showing the temperature at the point locator
                               •     Table

Contour Plot                   1. Click the 3D Viewer tab and right-click a blank area of the viewer, then select
                                  Predefined Camera > View Towards -Z.
                               2. Select Insert > Contour from the main menu.
                               3. Accept the default name by clicking OK.
                               4. Set Locations to SymP.
                               5. Set Variable to Temperature.
                               6. Click Apply.
                               The contour plot shows the temperature at the end of the simulation, since ANSYS CFX-Post
                               loads values for the last timestep by default. You can load different timesteps using the
                               Timestep Selector dialog box, accessible by selecting Tools > Timestep Selector from the
                               main menu.

Point Locators                 1. From the main menu, select Insert > Location > Point.
                               2. Accept the default name by clicking OK.
                               3. Set Method to XYZ.
                               4. Set Point coordinates to 0.098, 0.05, 0.00125.
                               5. Click Apply.
                                  Note the location of Point 1 in the viewer.

ANSYS CFX Tutorials. ANSYS CFX Release 11.0. © 1996-2006 ANSYS Europe, Ltd. All rights reserved.                     Page 135
Contains proprietary and confidential information of ANSYS, Inc. and its subsidiaries and affiliates.
Tutorial 6: Buoyant Flow in a Partitioned Cavity: Viewing the Results in ANSYS CFX-Post
                    6. Right-click the Point 1 object in the tree view and select Duplicate from the shortcut
                       menu.
                    7. Accept the default name by clicking OK.
                    8. Right-click the Point 2 object in the tree view and select Edit from the shortcut menu.
                    9. Change the x-coordinate to 0.052.
                    10. Click Apply.
                          Note the location of Point 2 in the viewer.

Comment             1. Click Create comment                         .
                    2. Accept the default name by clicking OK.
                       A comment object appears in the tree view, under the Report object.
                    3. Set Heading to Buoyant Flow in a Partitioned Cavity.
                    4. In the large text box, type:
                          This is a sample paragraph.

Figure              1. Click the 3D Viewer tab.
                    2. Select Insert > Figure from the main menu.
                    3. Accept the default name by clicking OK.
                       The Make copies of objects check box determines whether or not the objects that are
                       visible in the viewer are copied. If objects are copied, then the copies are used in the
                       figure instead of the originals. Since you are not using multiple views or figures, the
                       check box setting does not matter.
                          A figure object will appear under the Report branch in the tree view.

Time Chart          1. Select Insert > Chart from the main menu.
                    2. Accept the default name by clicking OK.
                    3. Set Title to Temperature versus Time.
                    4. Set Type to Time.
                    5. Click the Chart Line 1 tab.
                    6. Set Line Name to Temperature at Point 1.
                    7. Set Method to Point.
                    8. Set Location to Point 1.
                    9. Set Time Variable > Variable to Temperature.
                    10. Click Apply.
                        A chart object will appear under the Report branch in the tree view. The chart itself will
                        appear in the Chart Viewer tab. It may take some time for the chart to appear because
                        every transient results file will be loaded in order to generate the time chart.
                    11. Click New Line (on the Chart Line 1 tab).
                    12. Set Line Name to Temperature at Point 2.
                    13. Set Location to Point 2 and Time Variable > Variable to Temperature.
                    14. Click Apply.
                          A second chart line will appear in the chart, representing the temperature at Point 2.

Table               1. Select Insert > Table from the main menu.

Page 136         ANSYS CFX Tutorials. ANSYS CFX Release 11.0. © 1996-2006 ANSYS Europe, Ltd. All rights reserved.
                 Contains proprietary and confidential information of ANSYS, Inc. and its subsidiaries and affiliates.
Tutorial 6: Buoyant Flow in a Partitioned Cavity: Viewing the Results in ANSYS CFX-Post
                               2. Accept the default name by clicking OK.
                                  A table object will appear under the Report branch in the tree view.
                               3. Set the following:


                                      Cell                                                              Value
                                      A1                                                                Location
                                      A2                                                                Point 1
                                      A3                                                                Point 2
                                      B1                                                                Temperature
                                      B2                                                                =probe(Temperature)@Point 1
                                      B3                                                                =probe(Temperature)@Point 2

                               The table shows temperatures at the end of the simulation, since ANSYS CFX-Post loads
                               values for the last timestep by default. You can load different timesteps using the Timestep
                               Selector dialog box, accessible by selecting Tools > Timestep Selector.

Customized Report
                               Right-click the Report object and select Refresh from the shortcut menu. Look at the report
                               in the Report Viewer tab. Note that, in addition to the automatically-generated objects that
                               you saw earlier when creating a simple report, this report also includes the customized
                               figure, time chart and table described above.

Animations
                               Use the animation feature to see the changing temperature field. The animation feature was
                               used in Tutorial 4: Flow from a Circular Vent (p. 93).

Completion
                               When you have finished, quit ANSYS CFX-Post.




ANSYS CFX Tutorials. ANSYS CFX Release 11.0. © 1996-2006 ANSYS Europe, Ltd. All rights reserved.                                      Page 137
Contains proprietary and confidential information of ANSYS, Inc. and its subsidiaries and affiliates.
Tutorial 6: Buoyant Flow in a Partitioned Cavity: Viewing the Results in ANSYS CFX-Post




Page 138         ANSYS CFX Tutorials. ANSYS CFX Release 11.0. © 1996-2006 ANSYS Europe, Ltd. All rights reserved.
                 Contains proprietary and confidential information of ANSYS, Inc. and its subsidiaries and affiliates.
Tutorial 7:
Free Surface Flow Over a Bump

Introduction
                               This tutorial includes:
                               •     Tutorial 7 Features (p. 139)
                               •     Overview of the Problem to Solve (p. 140)
                               •     Defining a Simulation in ANSYS CFX-Pre (p. 141)
                               •     Obtaining a Solution using ANSYS CFX-Solver Manager (p. 148)
                               •     Viewing the Results in ANSYS CFX-Post (p. 149)
                               •     Using a Supercritical Outlet Condition (p. 154)

                               If this is the first tutorial you are working with, it is important to review the following topics
                               before beginning.
                               •     Setting the Working Directory (p. 1)
                               •     Changing the Display Colors (p. 2)
                               Unless you plan on running a session file, you should copy the sample files used in this
                               tutorial from the installation folder for your software (<CFXROOT>/examples/) to your
                               working directory. This prevents you from overwriting source files provided with your
                               installation. If you plan to use a session file, please refer to Playing a Session File (p. 141).
                               Sample files referenced by this tutorial include:
                               •     Bump2D.pre
                               •     Bump2DExpressions.ccl
                               •     Bump2Dpatran.out




Tutorial 7 Features
                               This tutorial addresses the following features of ANSYS CFX:


ANSYS CFX Tutorials                                                                                                      Page 139
ANSYS CFX Release 11.0. © 1996-2006 ANSYS Europe, Ltd. All rights reserved.
Contains proprietary and confidential information of ANSYS, Inc. and its subsidiaries and affiliates.
Tutorial 7: Free Surface Flow Over a Bump: Overview of the Problem to Solve


                     Component                                   Feature                                           Details
                     ANSYS CFX-Pre                               User Mode                                         General Mode
                                                                 Simulation Type                                   Steady State
                                                                 Fluid Type                                        General Fluid
                                                                 Domain Type                                       Single Domain
                                                                 Turbulence Model                                  k-Epsilon
                                                                 Heat Transfer                                     None
                                                                 Buoyant Flow
                                                                 Multiphase
                                                                 Boundary Conditions                               Inlet (Subsonic)
                                                                                                                   Outlet (Subsonic)
                                                                                                                   Symmetry Plane
                                                                                                                   Wall: No-Slip
                                                                                                                   Wall: Free-Slip
                                                                 CEL (CFX Expression Language)
                                                                 Mesh Adaption
                                                                 Timestep                                          Physical Time Scale
                     ANSYS CFX-Post                              Plots                                             Default Locators
                                                                                                                   Isosurface
                                                                                                                   Polyline
                                                                                                                   Sampling Plane
                                                                                                                   Vector
                                                                                                                   Volume
                                                                 Other                                             Chart Creation
                                                                                                                   Title/Text
                                                                                                                   Viewing the Mesh

                    In this tutorial you will learn about:
                    •     Mesh import in PATRAN Neutral format.
                    •     Setting up a 2D problem.
                    •     Setting up appropriate boundary conditions for a free surface simulation. (Free surface
                          simulations are more sensitive to incorrect boundary and initial guess settings than
                          other more basic models.)
                    •     Mesh adaption to refine the mesh where the volume fraction gradient is greatest. (This
                          aids in the development of a sharp interface between the liquid and gas.)



Overview of the Problem to Solve
                    This tutorial demonstrates the simulation of a free surface flow.
                    The geometry consists of a 2D channel in which the bottom of the channel is interrupted by
                    a semi-circular bump of radius 30 mm. The flow upstream of the bump is subcritical. The
                    downstream conditions are not known but can be estimated using an analytical 1D
                    calculation or data tables for flow over a bump.

Page 140         ANSYS CFX Tutorials. ANSYS CFX Release 11.0. © 1996-2006 ANSYS Europe, Ltd. All rights reserved.
                 Contains proprietary and confidential information of ANSYS, Inc. and its subsidiaries and affiliates.
Tutorial 7: Free Surface Flow Over a Bump: Defining a Simulation in ANSYS CFX-Pre

Defining a Simulation in ANSYS CFX-Pre
                               The following sections describe the simulation setup in ANSYS CFX-Pre.

Playing a Session File
                               If you wish to skip past these instructions, and have ANSYS CFX-Pre set up the simulation
                               automatically, you can select Session > Play Tutorial from the menu in ANSYS CFX-Pre,
                               then run the session file: Bump2D.pre. After you have played the session file as described in
                               earlier tutorials under Playing the Session File and Starting ANSYS CFX-Solver Manager
                               (p. 87), proceed to Obtaining a Solution using ANSYS CFX-Solver Manager (p. 148).

Creating a New Simulation
                               1. Start ANSYS CFX-Pre.
                               2. Select File > New Simulation.
                               3. Select General and click OK.
                               4. Select File > Save Simulation As.
                               5. Under File name, type Bump2D.
                               6. Click Save.

Importing the Mesh
                               1. Right-click Mesh and select Import Mesh. The Import Mesh dialog box appears.
                               2. Apply the following settings


                                      Setting                                                           Value
                                      File type                                                         PATRAN Neutral
                                      File name                                                         Bump2Dpatran.out

                               3. Click Open.
                               4. Right-click a blank area in the viewer and select Predefined Camera > View Towards
                                  -Z from the shortcut menu.

Viewing the                    1. Click Label and Marker Visibility                         .
Region Labels                  2. Apply the following settings


                                      Tab                           Setting                                              Value
                                      Label Options                 Show Labels                                          (Selected)
                                                                    Show Labels > Show Primitive3D Labels                (Selected)
                                                                    Show Labels > Show Primitive2D Labels                (Selected)

                               3. Click OK.




ANSYS CFX Tutorials. ANSYS CFX Release 11.0. © 1996-2006 ANSYS Europe, Ltd. All rights reserved.                                      Page 141
Contains proprietary and confidential information of ANSYS, Inc. and its subsidiaries and affiliates.
Tutorial 7: Free Surface Flow Over a Bump: Defining a Simulation in ANSYS CFX-Pre

Creating Expressions for Initial and Boundary Conditions
                    Simulation of free surface flows usually requires defining boundary and initial conditions to
                    set up appropriate pressure and volume fraction fields. You will need to create expressions
                    using CEL (CFX Expression Language) to define these conditions.
                    In this simulation, the following conditions are set and require expressions:
                    •     An inlet boundary where the volume fraction above the free surface is 1 for air and 0 for
                          water, and below the free surface is 0 for air and 1 for water.
                    •     A pressure-specified outlet boundary, where the pressure above the free surface is
                          constant and the pressure below the free surface is a hydrostatic distribution. This
                          requires you to know the approximate height of the fluid at the outlet. In this case, an
                          analytical solution for 1D flow over a bump was used. The simulation is not sensitive to
                          the exact outlet fluid height, so an approximation is sufficient. You will examine the
                          effect of the outlet boundary condition in the post-processing section and confirm that
                          it does not affect the validity of the results. It is necessary to specify such a boundary
                          condition to force the flow downstream of the bump into the supercritical regime.
                    •     An initial pressure field for the domain with a similar pressure distribution to that of the
                          outlet boundary.
                    Either create expressions using the Expressions workspace or import expressions from a
                    file.
                    •     Creating Expressions (p. 142)
                    •     Reading Expressions From a File (p. 143)

Creating            1. Right-click Expressions in the tree view and select Insert > Expression.
Expressions         2. Set the name to UpH and click OK.
                    3. Set Definition to 0.069 [m], and then click Apply.
                    4. Use the same method to create the expressions listed in the table below. These are
                       expressions for the downstream free surface height, the density of the fluid, the
                       upstream volume fractions of air and water, the upstream pressure distribution, the
                       downstream volume fractions of air and water, and the downstream pressure
                       distribution.


                            Name                                              Definition
                            DownH                                             0.022 [m]
                            DenH                                              998 [kg m^-3]
                            UpVFAir                                           step((y-UpH)/1[m])
                            UpVFWater                                         1-UpVFAir
                            UpPres                                            DenH*g*UpVFWater*(UpH-y)
                            DownVFAir                                         step((y-DownH)/1[m])
                            DownVFWater                                       1-DownVFAir
                            DownPres                                          DenH*g*DownVFWater*(DownH-y)

                    5. Proceed to Creating the Domain (p. 143).



Page 142         ANSYS CFX Tutorials. ANSYS CFX Release 11.0. © 1996-2006 ANSYS Europe, Ltd. All rights reserved.
                 Contains proprietary and confidential information of ANSYS, Inc. and its subsidiaries and affiliates.
Tutorial 7: Free Surface Flow Over a Bump: Defining a Simulation in ANSYS CFX-Pre
Reading                        1. Copy the file Bump2DExpressions.ccl to your working directory from the ANSYS CFX
Expressions                       examples directory.
From a File                    2. Select File > Import CCL.
                               3. When Import CCL appears, ensure that Append is selected.
                               4. Select Bump2DExpressions.ccl.
                               5. Click Open.
                               6. After the file has been imported, use the Expression tree view to view the expressions
                                  that have been created.

Creating the Domain
                               1. Right click Simulation in the Outline tree view and ensure that Automatic Default
                                  Domain is selected. A domain named Default Domain should now appear under the
                                  Simulation branch.
                               2. Double click Default Domain and apply the following settings


                                      Tab                     Setting                                              Value
                                      General                 Basic Settings > Fluids List                         Air at 25 C, Water
                                      Options                 Domain Models > Pressure > Reference Pressure        1 [atm]
                                                              Domain Models > Buoyancy > Option                    Buoyant
                                                              Domain Models > Buoyancy > Gravity X Dirn.           0 [m s^-2]
                                                              Domain Models > Buoyancy > Gravity Y Dirn.*          -g
                                                              Domain Models > Buoyancy > Gravity Z Dirn.           0 [m s^-2]
                                                              Domain Models > Buoyancy > Buoy. Ref. Density†       1.185 [kg m^-3]
                                                              Domain Models > Buoyancy > Ref Location > Option     Automatic
                                      Fluid Models            Multiphase Options > Homogeneous Model‡              (Selected)
                                                              Multiphase Options > Free Surface Model > Option     Standard
                                                              Heat Transfer > Option                               Isothermal
                                                              Heat Transfer > Fluid Temperature                    25 C
                                                              Turbulence > Option                                  k-Epsilon

                                           *.    You need to click Enter Expression    beside the field first.
                                           †.    Always set Buoyancy Reference Density to the density of the least dense fluid in free
                                                 surface calculations.
                                           ‡.    The homogeneous model solves for a single solution field. This is only appropriate
                                                 in some simulations.

                               3. Click OK.

Creating the Boundary Conditions
Inlet Boundary                 1. Create a new boundary condition named inflow.
                               2. Apply the following settings




ANSYS CFX Tutorials. ANSYS CFX Release 11.0. © 1996-2006 ANSYS Europe, Ltd. All rights reserved.                                Page 143
Contains proprietary and confidential information of ANSYS, Inc. and its subsidiaries and affiliates.
Tutorial 7: Free Surface Flow Over a Bump: Defining a Simulation in ANSYS CFX-Pre


                            Tab                 Setting                                                                  Value
                            Basic               Boundary Type                                                            Inlet
                            Settings
                                                Location                                                                 INFLOW
                            Boundary            Mass and Momentum > Option                                               Normal Speed
                            Details
                                                Mass and Momentum > Option > Normal Speed                                0.26 [m s^-1]
                                                Turbulence > Option                                                      Intensity and Length Scale
                                                Turbulence > Value                                                       0.05
                                                Turbulence > Eddy Len. Scale*                                            UpH
                            Fluid Values Boundary Conditions                                                             Air as 25 C
                                                Air at 25 C > Volume Fraction > Volume Fraction                          UpVFAir
                                                Boundary Conditions                                                      Water
                                                Water > Volume Fraction > Volume Fraction                                UpVFWater
                                 *.    Click the Enter Expression icon.

                    3. Click OK.

Outlet              1. Create a new boundary condition named outflow.
Boundary            2. Apply the following settings


                            Tab                 Setting                                                                  Value
                            Basic               Boundary Type                                                            Outlet
                            Settings            Location                                                                 OUTFLOW
                            Boundary            Flow Regime> Option                                                      Subsonic
                            Details             Mass and Momentum > Option                                               Static Pressure
                                                Mass and Momentum > Relative Pressure                                    DownPres

                    3. Click OK.

Symmetry            1. Create a new boundary condition named front.
Boundary            2. Apply the following settings


                            Tab                 Setting                                                                  Value
                            Basic               Boundary Type                                                            Symmetry
                            Settings
                                                Location                                                                 FRONT

                    3. Click OK.
                    4. Create a new boundary condition named back.
                    5. Apply the following settings


                            Tab                 Setting                                                                  Value
                            Basic               Boundary Type                                                            Symmetry
                            Settings
                                                Location                                                                 BACK


Page 144         ANSYS CFX Tutorials. ANSYS CFX Release 11.0. © 1996-2006 ANSYS Europe, Ltd. All rights reserved.
                 Contains proprietary and confidential information of ANSYS, Inc. and its subsidiaries and affiliates.
Tutorial 7: Free Surface Flow Over a Bump: Defining a Simulation in ANSYS CFX-Pre
                               6. Click OK.

Wall and                       1. Create a new boundary condition named top.
Opening                        2. Apply the following settings
Boundaries

                                      Tab                                   Setting                                  Value
                                      Basic Settings                        Boundary Type                            Opening
                                                                            Location                                 TOP
                                      Boundary Details                      Mass And Momentum > Option               Static Pres. (Entrain)
                                                                            Mass And Momentum > Relative Pressure 0 [Pa]
                                                                            Turbulence > Option                      Zero Gradient
                                      Fluid Values                          Boundary Conditions                      Air at 25 C
                                                                            Boundary Conditions > Air at 25 C >      1.0
                                                                            Volume Fraction > Volume Fraction
                                                                            Boundary Conditions                      Water
                                                                            Boundary Conditions > Water > Volume     0.0
                                                                            Fraction > Volume Fraction

                               3. Click OK.
                               4. Create a new boundary condition named bottom.
                               5. Apply the following settings


                                      Tab                  Setting                                         Value
                                      Basic                Boundary Type                                   Wall
                                      Settings             Location                                        BOTTOM1, BOTTOM2, BOTTOM3
                                      Boundary             Wall Influence on Flow > Option                 No Slip
                                      Details              Wall Roughness > Option                         Smooth Wall

                               6. Click OK.

Setting Initial Values
                               1. Click Global Initialization                     .
                               2. Apply the following settings




ANSYS CFX Tutorials. ANSYS CFX Release 11.0. © 1996-2006 ANSYS Europe, Ltd. All rights reserved.                                     Page 145
Contains proprietary and confidential information of ANSYS, Inc. and its subsidiaries and affiliates.
Tutorial 7: Free Surface Flow Over a Bump: Defining a Simulation in ANSYS CFX-Pre


                            Tab                       Setting                                                                  Value
                            Global Settings           Initial Conditions > Cartesian Velocity                                  Automatic with Value
                                                      Components > Option
                                                      Initial Conditions > Cartesian Velocity                                  0.26 [m s^-1]
                                                      Components > U
                                                      Initial Conditions > Cartesian Velocity                                  0 [m s^-1]
                                                      Components > V
                                                      Initial Conditions > Cartesian Velocity                                  0 [m s^-1]
                                                      Components > W
                                                      Initial Conditions > Static Pressure > Option                            Automatic with Value
                                                      Initial Conditions > Static Pressure > Relative                          UpPres
                                                      Pressure
                                                      Initial Conditions > Turbulence Eddy Dissipation                         (Selected)
                            Fluid Settings            Fluid Specific Initialization > Air at 25 C                              (Selected)
                                                      Air at 25 C > Initial Conditions > Volume Fraction > Automatic with Value
                                                      Option
                                                      Air at 25 C > Initial Conditions > Volume Fraction > UpVFAir
                                                      Volume Fraction
                            Fluid Settings            Fluid Specific Initialization > Water                                    (Selected)
                                                      Fluid Specific Initialization > Water > Initial                          Automatic with Value
                                                      Conditions > Volume Fraction > Option
                                                      Fluid Specific Initialization > Water > Initial                          UpVFWater
                                                      Conditions > Volume Fraction > Volume Fraction

                    3. Click OK.

Setting Mesh Adaption Parameters

                    1. Click Mesh Adaption                       .
                    2. Apply the following settings


                            Tab                              Setting                                                     Value
                            Basic Settings                   Activate Adaption                                           (Selected)
                                                             Save Intermediate Files                                     (Cleared)
                                                             Adaption Criteria > Variables List                          Air at 25 C.Volume Fraction
                                                             Adaption Criteria > Max. Num. Steps                         2
                                                             Adaption Criteria > Option                                  Multiple of Initial Mesh
                                                             Adaption Criteria > Node Factor                             4
                                                             Adaption Convergence Criteria > Max.                        100
                                                             Iter. per Step
                            Advanced Options                 Node Alloc. Param.                                          1.6
                                                             Number of Levels                                            2

                    3. Click OK.


Page 146         ANSYS CFX Tutorials. ANSYS CFX Release 11.0. © 1996-2006 ANSYS Europe, Ltd. All rights reserved.
                 Contains proprietary and confidential information of ANSYS, Inc. and its subsidiaries and affiliates.
Tutorial 7: Free Surface Flow Over a Bump: Defining a Simulation in ANSYS CFX-Pre

Setting Solver Control
                               Important: Setting Max Iterations to 200 and Number of Adaption Levels to 2 with a
                               maximum of 100 timesteps each, results in a total maximum number of timesteps of 400
                               (2*100+200=400).

                               1. Click Solver Control                   .
                               2. Apply the following settings


                                      Tab                            Setting                                 Value
                                      Basic Settings                 Convergence Control > Max. Iterations   200
                                                                     Convergence Control >Fluid Timescale    Physical Timescale
                                                                     Control > Timescale Control
                                                                     Convergence Control >Fluid Timescale    0.25 [s]
                                                                     Control > Physical Timescale
                                      Advanced Options               Multiphase Control                      (Selected)
                                                                     Multiphase Control > Volume Fraction    (Selected)
                                                                     Coupling
                                                                     Multiphase Control > Volume Fraction    Coupled
                                                                     Coupling > Option

                               Note: The options selected above activate the Coupled Volume Fraction solution algorithm.
                               This algorithm typically converges better than the Segregated Volume Faction algorithm for
                               buoyancy-driven problems such as this tutorial, which requires a 0.05 [s] timescale using the
                               Segregated Volume Faction algorithm compared with 0.25 [s] for the Coupled Volume
                               Fraction algorithm.
                               Note:
                               3. Click OK.

Writing the Solver (.def) File
                               1. Click Write Solver File                    .
                               2. Apply the following settings:


                                      Setting                                           Value
                                      File name                                         Bump2D.def
                                      Quit CFX–Pre*                                     (Selected)

                                           *.    If using ANSYS CFX-Pre in Standalone Mode.

                               3. Ensure Start Solver Manager is selected and click Save.
                               4. If using Standalone Mode, quit ANSYS CFX-Pre, saving the simulation (.cfx) file at your
                                  discretion.




ANSYS CFX Tutorials. ANSYS CFX Release 11.0. © 1996-2006 ANSYS Europe, Ltd. All rights reserved.                              Page 147
Contains proprietary and confidential information of ANSYS, Inc. and its subsidiaries and affiliates.
Tutorial 7: Free Surface Flow Over a Bump: Obtaining a Solution using ANSYS CFX-Solver Manager

Obtaining a Solution using ANSYS CFX-Solver Manager
                    When ANSYS CFX-Pre has shut down and ANSYS CFX-Solver Manager has started, the
                    solution will be obtained.
                    Within 100 iterations, the first adaption step will be performed. Information will be written
                    to the OUT file, containing the number of elements refined and the size of the new mesh.
                    After mesh refinement, there will be a jump in the residual levels. This is because the
                    solution from the old mesh is interpolated on to the new mesh. A new residual plot will also
                    appear for the W-Mom-Bulk equation. Hexahedral mesh elements are refined orthogonally,
                    so the mesh is no longer 2D (it is more than 1 element thick in the z-direction).




                                                                     Y
                     Before Refinement                                                       After Refinement


                                                                                       X
                                                           Z

                    Convergence to the target residual level has been achieved. It is common for convergence
                    in a residual sense to be difficult to obtain in a free surface simulation. This is due to the
                    presence of small waves at the surface preventing the residuals from dropping to the target
                    level. This is more frequently a problem in the subcritical flow regime, as the waves can
                    travel upstream. In the supercritical regime, the waves tend to get carried downstream and
                    out the domain.
                    To satisfy convergence in these cases, monitor the value of a global quantity, (for example,
                    drag for flow around a ship’s hull) to see when a steady state value is reached.
                    Where there is no obvious global quantity to monitor, you should view the results to see
                    where the solution is changing. You can do this by running transient for a few timesteps,
                    starting from a results file that you think is converged, or by writing some backup results
                    files at different timesteps.
                    In both cases look to see where the results are changing (this could be due to the presence
                    of small transient waves). Also confirm that the value of quantities that you are interested in
                    (for example, downstream fluid height for this case) has reached a steady state value.
                    1. Click Start Run.
                    2. Click Yes to post-process the results when the completion message appears at the end
                       of the run.
                    3. If using Standalone Mode, quit ANSYS CFX-Solver Manager.




Page 148         ANSYS CFX Tutorials. ANSYS CFX Release 11.0. © 1996-2006 ANSYS Europe, Ltd. All rights reserved.
                 Contains proprietary and confidential information of ANSYS, Inc. and its subsidiaries and affiliates.
Tutorial 7: Free Surface Flow Over a Bump: Viewing the Results in ANSYS CFX-Post

Viewing the Results in ANSYS CFX-Post
                               1. Select View Towards -Z by right-clicking on a blank area in the viewer and selecting
                                  Predefined Camera > View Towards -Z.
                               2. Zoom in so the geometry fills the Viewer.
                               3. In the tree view under Bump2D, edit front.
                               4. Apply the following settings


                                      Tab                                Setting                            Value
                                      Color                              Mode                               Variable
                                                                         Variable                           Water.Volume Fraction

                               5. Click Apply.
                               6. Clear the check box next to front.

Creating Velocity Vector Plots
                               The next step involves creating a sampling plane to display velocity vectors for Water.
                               1. Create a new plane named Plane 1.
                               2. Apply the following settings


                                      Tab                                Setting                            Value
                                      Geometry                           Definition > Method                XY Plane
                                                                         Plane Bounds > Type                Rectangular
                                                                         Plane Bounds > X Size              1.25 [m]
                                                                         Plane Bounds > Y Size              0.3 [m]
                                                                         Plane Bounds > X Angle             0 [degree]
                                                                         Plane Type                         Sample
                                                                         X Samples                          160
                                                                         Y Samples                          40
                                      Render                             Draw Faces                         (Cleared)
                                                                         Draw Lines                         (Selected)

                               3. Click Apply.
                               4. Clear the check box next to Plane 1.
                               5. Create a new vector named Vector 1.
                               6. Apply the following settings


                                      Tab                                Setting                            Value
                                      Geometry                           Definition > Locations             Plane 1
                                                                         Definition > Variable          *   Water.Velocity
                                      Symbol                             Symbol Size                        0.5


ANSYS CFX Tutorials. ANSYS CFX Release 11.0. © 1996-2006 ANSYS Europe, Ltd. All rights reserved.                             Page 149
Contains proprietary and confidential information of ANSYS, Inc. and its subsidiaries and affiliates.
Tutorial 7: Free Surface Flow Over a Bump: Viewing the Results in ANSYS CFX-Post

                                 *.    Since fluids in a free-surface calculation share the same velocity field, only the
                                       velocity of the first non-vapour fluid is available. The other allowed velocities are
                                       superficial velocities. For details, see Further Post-processing (p. 154).
                    7. Click Apply.
                    8. Apply the following settings


                              Tab                             Setting                                                    Value
                              Geometry                        Definition > Variable                                      Air at 25 C.Superficial
                                                                                                                         Velocity
                              Symbol                          Symbol Size                                                0.15
                                                              Normalize Symbols                                          (Selected)

                    9. Click Apply.

Viewing Mesh Refinement
                    In this section, you will view the surface mesh on one of the symmetry boundaries, create
                    volume objects to show where the mesh was modified, and create a vector plot to visualize
                    the added mesh nodes.
                    1. Clear the check box next to Vector 1..
                    2. Zoom in so the geometry fills the Viewer.
                    3. In Outline under Default Domain, edit front.
                    4. Apply the following settings


                              Tab                             Setting                                                    Value
                              Color                           Mode                                                       Constant
                              Render                          Draw Faces                                                 (Cleared)
                                                              Draw Lines                                                 (Selected)

                    5. Click Apply.
                          •      The mesh has been refined near the free surface.
                          •      In the transition region between different levels of refinement, tetrahedral and
                                 pyramidal elements are used since it is not possible to recreate hexahedral elements
                                 in ANSYS CFX. Near the inlet, the aspect ratio of these elements increases.




Page 150         ANSYS CFX Tutorials. ANSYS CFX Release 11.0. © 1996-2006 ANSYS Europe, Ltd. All rights reserved.
                 Contains proprietary and confidential information of ANSYS, Inc. and its subsidiaries and affiliates.
Tutorial 7: Free Surface Flow Over a Bump: Viewing the Results in ANSYS CFX-Post
                                     •      Avoid performing mesh refinement on high-aspect-ratio hex meshes, as this will
                                            produce high aspect ratio tetrahedral-elements, resulting in poor mesh quality.
                               Figure 1                 Mesh around the bump




                               6. Create a new volume named first refinement elements.
                               7. Apply the following settings


                                         Tab                             Setting                        Value
                                         Geometry                        Definition > Method            Isovolume
                                                                         Definition > Variable          Refinement Level
                                                                         Definition > Mode              At Value
                                                                         Definition > Value             1
                                         Render                          Draw Faces                     (Cleared)
                                                                         Draw Lines                     (Selected)
                                                                         Draw Lines > Line Width        2
                                                                         Draw Lines > Color Mode        User Specified
                                                                         Draw Lines > Line Color        (Green)

                               8. Click Apply.
                                  You will see a band of green which indicates the elements that include nodes added
                                  during the first mesh adaption.
                               9. Create a new volume named second refinement elements.
                               10. Apply the following settings


                                         Tab                             Setting                        Value
                                         Geometry                        Definition > Method            Isovolume
                                                                         Definition > Variable          Refinement Level
                                                                         Definition >Mode               At Value
                                                                         Definition > Value             2
                                         Color                           Color                          White

ANSYS CFX Tutorials. ANSYS CFX Release 11.0. © 1996-2006 ANSYS Europe, Ltd. All rights reserved.                           Page 151
Contains proprietary and confidential information of ANSYS, Inc. and its subsidiaries and affiliates.
Tutorial 7: Free Surface Flow Over a Bump: Viewing the Results in ANSYS CFX-Post

                            Tab                               Setting                                                    Value
                            Render                            Draw Faces                                                 (Selected)
                                                              Draw Lines                                                 (Selected)
                                                              Draw Lines > Line Width                                    4
                                                              Draw Lines > Color Mode                                    User Specified
                                                              Draw Lines > Line Color                                    (Black)
                    11. Click Apply.
                        You will see a band of white (with black lines) which indicates the elements that include
                        nodes added during the second mesh adaption.
                    12. Zoom in to a region where the mesh has been refined.
                        The Refinement Level variable holds an integer value at each node, which is either 0, 1
                        or 2 (since you used a maximum of two adaption levels).
                        The nodal values of refinement level will be visualized next.
                    13. Create a new vector named Vector 2.
                    14. Apply the following settings


                            Tab                               Setting                                                    Value
                            Geometry                          Definition > Location                                      Bump2D
                                                              Definition > Variable         *                            (Any Vector Variable)
                            Color                             Mode                                                       Variable
                                                              Variable                                                   Refinement Level
                            Symbol                            Symbol                                                     Cube
                                                              Symbol Size                                                0.02
                                                              Normalize Symbols                                          (Selected)
                                 *.    The variable’s magnitude and direction do not matter since you will change the
                                       vector symbol to a cube with a normalized size.

                    15. Click Apply.
                    Blue nodes (Refinement Level 0 according to the color legend) are part of the original mesh.
                    Green nodes (Refinement Level 1) were added during the first adaption step. Red nodes
                    (Refinement Level 2) were added during the second adaption step. Note that some
                    elements contain combinations of blue, green, and red nodes.

Creating a Chart
                    Next, you will create a chart to show how the height of the free surface varies along the
                    length of the channel. To do this, you will need a Polyline which follows the free surface. You
                    can create the Polyline from the intersecting line between one of the Symmetry planes and
                    an Isosurface which shows the free surface. First you must create the Isosurface.
                    1. Clear the visibility check boxes for all of the objects except Wireframe.
                    2. Create a new isosurface named Isosurface 1.
                    3. Apply the following settings


Page 152         ANSYS CFX Tutorials. ANSYS CFX Release 11.0. © 1996-2006 ANSYS Europe, Ltd. All rights reserved.
                 Contains proprietary and confidential information of ANSYS, Inc. and its subsidiaries and affiliates.
Tutorial 7: Free Surface Flow Over a Bump: Viewing the Results in ANSYS CFX-Post


                                      Tab                                Setting                        Value
                                      Geometry                           Definition > Variable          Water.Volume Fraction
                                                                         Definition > Value             0.5

                               4. Click Apply.
                                  Creating isosurfaces using this method is a good way to visualize a free surface in a 3D
                                  simulation.
                               5. Right-click any blank area in the viewer, select Predefined Camera, then select
                                  Isometric View (Y up).

Creating a                     These steps explain creating a Polyline which follows the free surface:
Polyline to
                               1. Clear the visibility check box for Isosurface 1.
Follow the Free
Surface                        2. Create a new polyline named Polyline 1.
                               3. Apply the following settings


                                      Tab                                Setting                        Value
                                      Geometry                           Method                         Boundary Intersection
                                                                         Boundary List                  front
                                                                         Intersect With                 Isosurface 1

                               4. Click Apply.
                                     A green line is displayed that follows the high-Z edge of the isosurface.

Creating a Chart 1. Create a new chart named Chart 1.
to Show the         The Chart Viewer tab is selected.
Height of the
                 2. Apply the following settings
Surface

                                      Tab                                Setting                        Value
                                      Chart Line 1                       Line Name                      free surface height
                                                                         Location                       Polyline 1
                                                                         X Axis > Variable              X
                                                                         Y Axis > Variable              Y
                                                                         Appearance > Symbols           Rectangle
                                      Chart                              Title                          Free Surface Height for Flow
                                                                                                        over a Bump

                               3. Click Apply.
                               As discussed in Creating Expressions for Initial and Boundary Conditions (p. 142), an
                               approximate outlet elevation is imposed as part of the boundary condition, even though
                               the flow is supercritical. The chart illustrates the effect of this, in that the water level rises just
                               before the exit plane. It is evident from this plot that imposing the elevation does not affect
                               the upstream flow.



ANSYS CFX Tutorials. ANSYS CFX Release 11.0. © 1996-2006 ANSYS Europe, Ltd. All rights reserved.                              Page 153
Contains proprietary and confidential information of ANSYS, Inc. and its subsidiaries and affiliates.
Tutorial 7: Free Surface Flow Over a Bump: Using a Supercritical Outlet Condition
                    The chart shows a wiggle in the elevation of the free surface interface at the inlet. This is
                    related to an overspecification of conditions at the inlet, since both the inlet velocity and
                    elevation were specified. For a subcritical inlet, only the velocity or the total energy should
                    be specified. The wiggle is due to a small inconsistency between the specified elevation and
                    the elevation computed by the solver to obtain critical conditions at the bump. The wiggle
                    is analogous to one found if pressure and velocity were both specified at a subsonic inlet, in
                    a converging-diverging nozzle with choked flow at the throat.

Further Post-processing
                    You may wish to create some plots using the <Fluid>.Superficial Velocity variables.
                    This is the fluid volume fraction multiplied by the fluid velocity and is sometimes called the
                    volume flux. It is useful to use this variable for vector plots in separated multiphase flow, as
                    you will only see a vector where a significant amount of that phase exists.



Using a Supercritical Outlet Condition
                    For supercritical free surface flows, the supercritical outlet boundary condition is usually the
                    most appropriate boundary condition for the outlet, since it does not rely on the
                    specification of the outlet pressure distribution (which depends on an estimate of the free
                    surface height at the outlet). The supercritical outlet boundary condition requires a relative
                    pressure specification for the gas only; no pressure information is required for the liquid at
                    the outlet. For this tutorial, the relative gas pressure at the outlet should be set to 0 [Pa].
                    The supercritical outlet condition may admit multiple solutions. To find the supercritical
                    solution, it is often necessary to start with a static pressure outlet condition (as previously
                    done in this tutorial) or an average static pressure condition where the pressure is set
                    consistent with an elevation to drive the solution into the supercritical regime. The outlet
                    condition can then be changed to the supercritical option.




Page 154         ANSYS CFX Tutorials. ANSYS CFX Release 11.0. © 1996-2006 ANSYS Europe, Ltd. All rights reserved.
                 Contains proprietary and confidential information of ANSYS, Inc. and its subsidiaries and affiliates.
Tutorial 8:
Supersonic Flow Over a Wing

Introduction
                               This tutorial includes:
                               •     Tutorial 8 Features (p. 155)
                               •     Overview of the Problem to Solve (p. 157)
                               •     Defining a Simulation in ANSYS CFX-Pre (p. 157)
                               •     Obtaining a Solution using ANSYS CFX-Solver Manager (p. 162)
                               •     Viewing the Results in ANSYS CFX-Post (p. 162)

                               If this is the first tutorial you are working with, it is important to review the following topics
                               before beginning:
                               •     Setting the Working Directory (p. 1)
                               •     Changing the Display Colors (p. 2)
                               Unless you plan on running a session file, you should copy the sample files used in this
                               tutorial from the installation folder for your software (<CFXROOT>/examples/) to your
                               working directory. This prevents you from overwriting source files provided with your
                               installation. If you plan to use a session file, please refer to Playing a Session File (p. 157).
                               Sample files referenced by this tutorial include:
                               •     WingSPS.pre
                               •     WingSPSMesh.out




Tutorial 8 Features
                               This tutorial addresses the following features of ANSYS CFX.




ANSYS CFX Tutorials                                                                                                      Page 155
ANSYS CFX Release 11.0. © 1996-2006 ANSYS Europe, Ltd. All rights reserved.
Contains proprietary and confidential information of ANSYS, Inc. and its subsidiaries and affiliates.
Tutorial 8: Supersonic Flow Over a Wing: Tutorial 8 Features


                     Component                                   Feature                                           Details
                     ANSYS CFX-Pre                               User Mode                                         General Mode
                                                                 Simulation Type                                   Steady State
                                                                 Fluid Type                                        Ideal Gas
                                                                 Domain Type                                       Single Domain
                                                                 Turbulence Model                                  Shear Stress Transport
                                                                 Heat Transfer                                     Total Energy
                                                                 Boundary Conditions                               Inlet (Supersonic)
                                                                                                                   Outlet (Supersonic)
                                                                                                                   Symmetry Plane
                                                                                                                   Wall: No-Slip
                                                                                                                   Wall: Adiabatic
                                                                                                                   Wall: Free-Slip
                                                                 Domain Interfaces                                 Fluid-Fluid (No Frame Change)
                                                                 Timestep                                          Auto Time Scale
                     ANSYS CFX-Post                              Plots                                             Contour
                                                                                                                   Default Locators
                                                                                                                   Vector
                                                                 Other                                             Variable Details View

                    In this tutorial you will learn about:
                    •     Setting up a supersonic flow simulation.
                    •     Using the Shear Stress Transport turbulence model to accurately resolve flow around
                          the wing surface.
                    •     Defining custom vector variables for use in visualizing pressure distribution.




Page 156         ANSYS CFX Tutorials. ANSYS CFX Release 11.0. © 1996-2006 ANSYS Europe, Ltd. All rights reserved.
                 Contains proprietary and confidential information of ANSYS, Inc. and its subsidiaries and affiliates.
Tutorial 8: Supersonic Flow Over a Wing: Overview of the Problem to Solve

Overview of the Problem to Solve
                               This example demonstrates the use of ANSYS CFX in simulating supersonic flow over a
                               symmetric NACA0012 airfoil at 0° angle of attack. A 2D section of the wing is modeled. A 2D
                               hexahedral mesh is provided that is imported into ANSYS CFX-Pre.


                               air speed                                                                               1.25 [m]
                               u = 600 m/s


                                                                                                                                  outlet
                                                                   30 [m]




                                                                                                        wing surface




                                                                              70 [m]




Defining a Simulation in ANSYS CFX-Pre
                               The following sections describe the simulation setup in ANSYS CFX-Pre.

Playing a Session File
                               If you wish to skip past these instructions, and have ANSYS CFX-Pre set up the simulation
                               automatically, you can select Session > Play Tutorial from the menu in ANSYS CFX-Pre,
                               then run the session file: WingSPS.pre. After you have played the session file as described
                               in earlier tutorials under Playing the Session File and Starting ANSYS CFX-Solver Manager
                               (p. 87), proceed to Obtaining a Solution using ANSYS CFX-Solver Manager (p. 162).

Creating a New Simulation
                               1. Start ANSYS CFX-Pre.
                               2. Select File > New Simulation.
                               3. Select General and click OK.
                               4. Select File > Save Simulation As.
                               5. Under File name, type WingSPS.
                               6. Click Save.




ANSYS CFX Tutorials. ANSYS CFX Release 11.0. © 1996-2006 ANSYS Europe, Ltd. All rights reserved.                                           Page 157
Contains proprietary and confidential information of ANSYS, Inc. and its subsidiaries and affiliates.
Tutorial 8: Supersonic Flow Over a Wing: Defining a Simulation in ANSYS CFX-Pre

Importing the Mesh
                    1. Right-click Mesh and select Import Mesh. The Import Mesh dialog box appears.
                    2. Apply the following settings


                            Setting                                                             Value
                            File type                                                           PATRAN Neutral
                            File name                                                           WingSPSMesh.out

                    3. Click Open.
                    4. Right-click a blank area in the viewer and select Predefined Camera > Isometric View
                       (Y up) from the shortcut menu.

Creating the Domain
Creating a New      1. Right click Simulation in the Outline tree view and ensure that Automatic Default
Domain                 Domain is selected. A domain named Default Domain should now appear under the
                       Simulation branch.
                    2. Double click it and apply the following settings


                            Tab                                  Setting                                           Value
                            General Options                      Basic Settings > Location                         WING
                                                                 Fluids List                                       Air Ideal Gas
                                                                 Domain Models > Pressure >                        1 [atm]
                                                                 Reference Pressure*
                            Fluid Models                         Heat Transfer > Option                            Total Energy†
                                                                 Turbulence > Option                               Shear Stress Transport
                                 *.    When using an ideal gas, it is important to set an appropriate reference pressure
                                       since some properties depend on the absolute pressure level.
                                 †.    The Total Energy model is appropriate for high speed flows since it includes kinetic
                                       energy effects.

                    3. Click OK.

Creating the Boundary Conditions
Inlet Boundary      1. Create a new boundary condition named Inlet.
                    2. Apply the following settings


                            Tab                         Setting                                                          Value
                            Basic Settings              Boundary Type                                                    Inlet
                                                        Location                                                         INLET




Page 158         ANSYS CFX Tutorials. ANSYS CFX Release 11.0. © 1996-2006 ANSYS Europe, Ltd. All rights reserved.
                 Contains proprietary and confidential information of ANSYS, Inc. and its subsidiaries and affiliates.
Tutorial 8: Supersonic Flow Over a Wing: Defining a Simulation in ANSYS CFX-Pre

                                      Tab                         Setting                                 Value
                                      Boundary Details            Flow Regime > Option                    Supersonic
                                                                  Mass and Momentum > Option              Cart. Vel. & Pressure
                                                                  Mass and Momentum > U                   600 [m s^-1]
                                                                  Mass and Momentum > V                   0 [m s^-1]
                                                                  Mass and Momentum > W                   0 [m s^-1]
                                                                  Mass and Momentum > Rel. Static Pres.   0 [Pa]
                                                                  Turbulence > Option                     Intensity and Length Scale
                                                                  Turbulence > Value                      0.01
                                                                  Turbulence > Eddy Len. Scale            0.02 [m]
                                                                  Heat Transfer > Static Temperature      300 [K]
                               3. Click OK.

Outlet                         1. Create a new boundary condition named Outlet.
Boundary                       2. Apply the following settings


                                      Tab                         Setting                                 Value
                                      Basic Settings              Boundary Type                           Outlet
                                                                  Location                                OUTLET
                                      Boundary Details            Flow Regime > Option                    Supersonic

                               3. Click OK.

Symmetry Plane 1. Create a new boundary condition named SymP1.
Boundary       2. Apply the following settings


                                      Tab                         Setting                                 Value
                                      Basic Settings              Boundary Type                           Symmetry
                                                                  Location                                SIDE1

                               3. Click OK.
                               4. Create a new boundary condition named SymP2.
                               5. Apply the following settings


                                      Tab                         Setting                                 Value
                                      Basic Settings              Boundary Type                           Symmetry
                                                                  Location                                SIDE2

                               6. Click OK.
                               7. Create a new boundary condition named Bottom.
                               8. Apply the following settings




ANSYS CFX Tutorials. ANSYS CFX Release 11.0. © 1996-2006 ANSYS Europe, Ltd. All rights reserved.                              Page 159
Contains proprietary and confidential information of ANSYS, Inc. and its subsidiaries and affiliates.
Tutorial 8: Supersonic Flow Over a Wing: Defining a Simulation in ANSYS CFX-Pre


                            Tab                         Setting                                                          Value
                            Basic Settings              Boundary Type                                                    Symmetry
                                                        Location                                                         BOTTOM

                    9. Click OK.

Free Slip           1. Create a new boundary condition named Top.
Boundary            2. Apply the following settings


                            Tab                         Setting                                                          Value
                            Basic Settings              Boundary Type                                                    Wall
                                                        Location                                                         TOP
                            Boundary Details            Wall Influence on Flow > Option                                  Free Slip

                    3. Click OK.

Wall Boundary       1. Create a new boundary condition named WingSurface.
                    2. Apply the following settings


                            Tab                         Setting                                                          Value
                            Basic Settings              Boundary Type                                                    Wall
                                                        Location                                                         WING_Nodes*

                                 *.    Click the ellipsis              icon to select items if they do not appear in the drop-down
                                       list.

                    3. Click OK.

Creating Domain Interfaces
                    The imported mesh contains three regions which will be connected with domain interfaces.
                    1. Create a new domain interface named Domain Interface 1.
                    2. Apply the following settings


                            Tab                    Setting                                                 Value
                            Basic Settings         Interface Type                                          Fluid Fluid
                                                   Interface Side 1 > Region List                          Primitive 2D A*
                                                   Interface Side 2 > Region List                          Primitive 2D, Primitive 2D B

                                 *.    Click the ellipsis              icon to select items if they do not appear in the drop-down
                                       list.

                    3. Click OK.




Page 160         ANSYS CFX Tutorials. ANSYS CFX Release 11.0. © 1996-2006 ANSYS Europe, Ltd. All rights reserved.
                 Contains proprietary and confidential information of ANSYS, Inc. and its subsidiaries and affiliates.
Tutorial 8: Supersonic Flow Over a Wing: Defining a Simulation in ANSYS CFX-Pre

Setting Initial Values
                               For high speed compressible flow, the ANSYS CFX-Solver usually requires sensible initial
                               conditions to be set for the velocity field.

                               1. Click Global Initialization                     .
                               2. Apply the following settings


                                      Tab                     Setting                                                         Value
                                      Global                  Initial Conditions > Cartesian Velocity Components > Option     Automatic
                                      Settings                                                                                with Value
                                                              Initial Conditions > Cartesian Velocity Components > U          600 [m s^-1]
                                                              Initial Conditions > Cartesian Velocity Components > V          0 [m s^-1]
                                                              Initial Conditions > Cartesian Velocity Components > W          0 [m s^-1]
                                                              Initial Conditions > Temperature > Option                       Automatic
                                                                                                                              with Value
                                                              Initial Conditions > Temperature > Temperature                  300 [K]
                                                              Initial Conditions > Turbulence Eddy Dissipation                (Selected)

                               3. Click OK.

Setting Solver Control
                               The residence time for the fluid is approximately:
                               70 [m] / 600 [m s^-1] = 0.117 [s]
                               In the next step, you will start with a conservative time scale that gradually increases
                               towards the fluid residence time as the residuals decrease. A user specified maximum time
                               scale can be combined with an auto timescale in ANSYS CFX-Pre.

                               1. Click Solver Control                   .
                               2. Apply the following settings


                                      Tab                         Setting                                        Value
                                      Basic Settings              Convergence Control > Fluid Timescale          (Selected)
                                                                  Control > Maximum Timescale
                                                                  Convergence Control > Fluid Timescale          0.1 [s]
                                                                  Control > Maximum Timescale > Maximum
                                                                  Timescale
                                                                  Convergence Criteria > Residual Target         1.0e-05

                               3. Click OK.

Writing the Solver (.def) File
                               Since this tutorial uses domain interfaces and the Summarize Interface Data toggle was
                               selected, an information window is displayed that informs you of the connection type used
                               for each domain interface.

ANSYS CFX Tutorials. ANSYS CFX Release 11.0. © 1996-2006 ANSYS Europe, Ltd. All rights reserved.                                   Page 161
Contains proprietary and confidential information of ANSYS, Inc. and its subsidiaries and affiliates.
Tutorial 8: Supersonic Flow Over a Wing: Obtaining a Solution using ANSYS CFX-Solver Manager

                    1. Click Write Solver File                   .
                    2. Apply the following settings


                            Setting                                                                    Value
                            File name                                                                  WingSPS.def
                            Summarize Interface Data                                                   (Selected)
                            Quit CFX–Pre*                                                              (Selected)

                                 *.    If using ANSYS CFX-Pre in Standalone Mode.

                    3. Ensure Start Solver Manager is selected and click Save.
                    4. The Interface Summary dialog box is displayed. This displays information related to the
                       summary of interface connections. Click OK.
                    5. If using Standalone Mode, quit ANSYS CFX-Pre, saving the simulation (.cfx) file at your
                       discretion.



Obtaining a Solution using ANSYS CFX-Solver Manager
                    When ANSYS CFX-Pre has shut down, and the ANSYS CFX-Solver Manager has started,
                    obtain a solution to the CFD problem by following the instructions below.
                    1. In the ANSYS CFX-Solver Manager, click Start Run.
                    2. Click Yes to post-process the results when the completion message appears at the end
                       of the run.
                    3. If using Standalone Mode, quit ANSYS CFX-Solver Manager.



Viewing the Results in ANSYS CFX-Post
                    The following topics will be discussed:
                    •     Displaying Mach Information (p. 162)
                    •     Displaying Pressure Information (p. 163)
                    •     Displaying Temperature Information (p. 163)
                    •     Displaying Pressure With User Vectors (p. 163)

Displaying Mach Information
                    The first view configured shows that the bulk of the flow over the wing has a Mach Number
                    of over 1.5.
                    1. Select View Towards -Z by typing <Shift>+<Z>.
                    2. Zoom in so the geometry fills the Viewer.
                    3. Create a new contour named SymP2Mach.
                    4. Apply the following settings


Page 162         ANSYS CFX Tutorials. ANSYS CFX Release 11.0. © 1996-2006 ANSYS Europe, Ltd. All rights reserved.
                 Contains proprietary and confidential information of ANSYS, Inc. and its subsidiaries and affiliates.
Tutorial 8: Supersonic Flow Over a Wing: Viewing the Results in ANSYS CFX-Post


                                      Tab                     Setting                                   Value
                                      Geometry                Locations                                 SymP2
                                                              Variable                                  Mach Number
                                                              Range                                     User Specified
                                                              Min                                       1
                                                              Max                                       2
                                                              # of Contours                             21

                               5. Click Apply.
                               6. Clear the check box next to SymP2Mach.

Displaying Pressure Information
                               You will now create a contour plot that shows the pressure field.
                               1. Create a new contour named SymP2Pressure.
                               2. Apply the following settings


                                      Tab                     Setting                                   Value
                                      Geometry                Locations                                 SymP2
                                                              Variable                                  Pressure
                                                              Range                                     Global

                               3. Click Apply.
                               4. Clear the check box next to SymP2Pressure.

Displaying Temperature Information
                               You can confirm that a significant energy loss occurs around the wing leading edge by
                               plotting temperature on SymP2. The temperature at the wing tip is approximately 180 K
                               higher than the inlet temperature.
                               1. Create a new contour named SymP2Temperature.
                               2. Apply the following settings


                                      Tab                     Setting                                   Value
                                      Geometry                Locations                                 SymP2
                                                              Variable                                  Temperature
                                                              Range                                     Global

                               3. Click Apply.
                               4. Clear the check box next to SymP2Temperature.

Displaying Pressure With User Vectors
                               You can also try creating a user vector to show the pressure acting on the wing:

ANSYS CFX Tutorials. ANSYS CFX Release 11.0. © 1996-2006 ANSYS Europe, Ltd. All rights reserved.                         Page 163
Contains proprietary and confidential information of ANSYS, Inc. and its subsidiaries and affiliates.
Tutorial 8: Supersonic Flow Over a Wing: Viewing the Results in ANSYS CFX-Post
                    1. Create a new variable named Variable 1.
                    2. Apply the following settings


                            Name                   Setting                                             Value
                            Variable 1             Vector                                              (Selected)
                                                   X Expression                                        (Pressure+101325[Pa])*Normal X
                                                   Y Expression                                        (Pressure+101325[Pa])*Normal Y
                                                   Z Expression                                        (Pressure+101325[Pa])*Normal Z

                    3. Click Apply.
                    4. Create a new vector named Vector 1.
                    5. Apply the following settings


                            Tab                    Setting                                             Value
                            Geometry               Locations                                           WingSurface
                                                   Variable                                            Variable 1
                            Symbol                 Symbol Size                                         0.04

                    6. Click Apply.
                    7. Zoom in on the wing in order to see the created vector plot.




Page 164         ANSYS CFX Tutorials. ANSYS CFX Release 11.0. © 1996-2006 ANSYS Europe, Ltd. All rights reserved.
                 Contains proprietary and confidential information of ANSYS, Inc. and its subsidiaries and affiliates.
Tutorial 9:
Flow Through a Butterfly Valve

Introduction
                               This tutorial includes:
                               •     Tutorial 9 Features (p. 165)
                               •     Overview of the Problem to Solve (p. 166)
                               •     Defining a Simulation in ANSYS CFX-Pre (p. 167)
                               •     Obtaining a Solution using ANSYS CFX-Solver Manager (p. 180)
                               •     Viewing the Results in ANSYS CFX-Post (p. 180)

                               If this is the first tutorial you are working with, it is important to review the following topics
                               before beginning:
                               •     Setting the Working Directory (p. 1)
                               •     Changing the Display Colors (p. 2)
                               Unless you plan on running a session file, you should copy the sample files used in this
                               tutorial from the installation folder for your software (<CFXROOT>/examples/) to your
                               working directory. This prevents you from overwriting source files provided with your
                               installation. If you plan to use a session file, please refer to Playing a Session File (p. 167).
                               Sample files referenced by this tutorial include:
                               •     PipeValve.pre
                               •     PipeValve_inlet.F
                               •     PipeValveMesh.gtm
                               •     PipeValveUserF.pre




Tutorial 9 Features
                               This tutorial addresses the following features of ANSYS CFX.


ANSYS CFX Tutorials                                                                                                      Page 165
ANSYS CFX Release 11.0. © 1996-2006 ANSYS Europe, Ltd. All rights reserved.
Contains proprietary and confidential information of ANSYS, Inc. and its subsidiaries and affiliates.
Tutorial 9: Flow Through a Butterfly Valve: Overview of the Problem to Solve


                     Component                                   Feature                                           Details
                     ANSYS CFX-Pre                               User Mode                                         General Mode
                                                                 Simulation Type                                   Steady State
                                                                 Fluid Type                                        General Fluid
                                                                 Domain Type                                       Single Domain
                                                                 Turbulence Model                                  k-Epsilon
                                                                 Heat Transfer                                     None
                                                                 Particle Tracking
                                                                 Boundary Conditions                               Inlet (Profile)
                                                                                                                   Inlet (Subsonic)
                                                                                                                   Outlet (Subsonic)
                                                                                                                   Symmetry Plane
                                                                                                                   Wall: No-Slip
                                                                                                                   Wall: Rough
                                                                 CEL (CFX Expression Language)
                                                                 User Fortran
                                                                 Timestep                                          Auto Time Scale
                     ANSYS CFX-Solver Manager                    Power-Syntax
                     ANSYS CFX-Post                              Plots                                             Animation
                                                                                                                   Default Locators
                                                                                                                   Particle Track
                                                                                                                   Point
                                                                                                                   Slice Plane
                                                                 Other                                             Changing the Color Range
                                                                                                                   MPEG Generation
                                                                                                                   Particle Track Animation
                                                                                                                   Quantitative Calculation
                                                                                                                   Symmetry

                    In this tutorial you will learn about:
                    •     using a rough wall boundary condition in ANSYS CFX-Pre to simulate the pipe wall
                    •     creating a fully developed inlet velocity profile using either the CFX Expression
                          Language or a User CEL Function
                    •     setting up a Particle Tracking simulation in ANSYS CFX-Pre to trace sand particles
                    •     animating particle tracks in ANSYS CFX-Post to trace sand particles through the domain
                    •     quantitative calculation of average static pressure in ANSYS CFX-Post on the outlet
                          boundary



Overview of the Problem to Solve
                    In industry, pumps and compressors are commonplace. An estimate of the pumping
                    requirement can be calculated based on the height difference between source and
                    destination and head loss estimates for the pipe and any obstructions/joints along the way.

Page 166         ANSYS CFX Tutorials. ANSYS CFX Release 11.0. © 1996-2006 ANSYS Europe, Ltd. All rights reserved.
                 Contains proprietary and confidential information of ANSYS, Inc. and its subsidiaries and affiliates.
Tutorial 9: Flow Through a Butterfly Valve: Defining a Simulation in ANSYS CFX-Pre
                               Investigating the detailed flow pattern around a valve or joint however, can lead to a better
                               understanding of why these losses occur. Improvements in valve/joint design can be
                               simulated using CFD, and implemented to reduce pumping requirement and cost.




                               Max. Vel. 5 m/s                                                             r = 20 mm
                               288 K




                                                                                             Valve Plate




                               Flows can also contain particulates that affect the flow and cause erosion to pipe and valve
                               components. The particle tracking capability of ANSYS CFX can be used to simulate these
                               effects.
                               In this example, water flows through a 20 mm radius pipe with a rough internal surface. The
                               equivalent sand grain roughness is 0.2 mm. The flow is controlled by a butterfly valve, which
                               is set at an angle of 55° to the vertical axis. The velocity profile is assumed to be fully
                               developed at the pipe inlet. The flow contains sand particles ranging in size from 50 to 500
                               microns.



Defining a Simulation in ANSYS CFX-Pre
                               The following sections describe the simulation setup in ANSYS CFX-Pre.

Playing a Session File
                               If you wish to skip past these instructions, and have ANSYS CFX-Pre set up the simulation
                               automatically, you can select Session > Play Tutorial from the menu in ANSYS CFX-Pre,
                               then run one of the following session files available for this tutorial:
                               •     PipeValve.pre sets the inlet velocity profile using a CEL (ANSYS CFX Expression
                                     Language) expression.
                               •     PipeValveUserF.pre sets the inlet velocity profile using a User CEL Function that is
                                     defined by a Fortran subroutine. This session file requires that you have the required
                                     Fortran compiler installed and set in your system path. For details on which Fortran
                                     compiler is required for your platform, see the applicable ANSYS, Inc. installation guide.
                                     If you are not sure which Fortran compiler is installed on your system, try running the
                                     cfx5mkext command (found in <CFXROOT>/bin) from the command line and read the
                                     output messages.


ANSYS CFX Tutorials. ANSYS CFX Release 11.0. © 1996-2006 ANSYS Europe, Ltd. All rights reserved.                       Page 167
Contains proprietary and confidential information of ANSYS, Inc. and its subsidiaries and affiliates.
Tutorial 9: Flow Through a Butterfly Valve: Defining a Simulation in ANSYS CFX-Pre
                    If you choose to run a session file do so using the procedure described in earlier tutorials
                    under Playing the Session File and Starting ANSYS CFX-Solver Manager (p. 87), and then
                    proceed to Obtaining a Solution using ANSYS CFX-Solver Manager (p. 180) once the
                    simulation setup is complete.

Creating a New Simulation
                    1. Start ANSYS CFX-Pre.
                    2. Select File > New Simulation.
                    3. Select General and click OK.
                    4. Select File > Save Simulation As.
                    5. Under File name, type PipeValve.
                    6. Click Save.

Importing the Mesh
                    1. Right-click Mesh and select Import Mesh.
                    2. Apply the following settings


                            Setting                                                             Value
                            File name                                                           PipeValveMesh.gtm

                    3. Click Open.

Defining the Properties of Sand
                    The material properties of the sand particles used in the simulation need to be defined. Heat
                    transfer and radiation modeling are not used in this simulation, so the only property that
                    needs to be defined is the density of the sand.
                    To calculate the effect of the particles on the continuous fluid, between 100 and 1000
                    particles are usually required. However, if accurate information about the particle volume
                    fraction or local forces on wall boundaries is required, then a much larger number of
                    particles needs to be modeled.
                    When you create the domain, choose either full coupling or one-way coupling between the
                    particle and continuous phase. Full coupling is needed to predict the effect of the particles
                    on the continuous phase flow field but has a higher CPU cost than one-way coupling.
                    One-way coupling simply predicts the particle paths during post-processing based on the
                    flow field, but without affecting the flow field.
                    To optimise CPU usage, you can create two sets of identical particles. The first set will be fully
                    coupled and between 100 and 1000 particles will be used. This allows the particles to
                    influence the flow field. The second set will use one-way coupling but a much higher
                    number of particles will be used. This provides a more accurate calculation of the particle
                    volume fraction and local forces on walls.

                    1. Click Material                   then create a new material named Sand Fully Coupled.

Page 168         ANSYS CFX Tutorials. ANSYS CFX Release 11.0. © 1996-2006 ANSYS Europe, Ltd. All rights reserved.
                 Contains proprietary and confidential information of ANSYS, Inc. and its subsidiaries and affiliates.
Tutorial 9: Flow Through a Butterfly Valve: Defining a Simulation in ANSYS CFX-Pre
                               2. Apply the following settings:


                                      Tab                                Setting                                   Value
                                      Basic Settings                     Material Group                            Particle Solids
                                                                         Thermodynamic State                       (Selected)
                                      Material Properties                Thermodynamic Properties > Equation of    2300 [kg m^-3]
                                                                         State > Density
                                                                         Thermodynamic Properties >Specific Heat   (Selected)
                                                                         Capacity
                                                                         Thermodynamic Properties >Specific Heat   0 [J kg^-1 K^-1]*
                                                                         Capacity > Specific Heat Capacity
                                                                         Thermodynamic Properties > Reference      (Selected)
                                                                         State
                                                                         Thermodynamic Properties > Reference      Specified Point
                                                                         State > Option
                                                                         Thermodynamic Properties > Reference      300 [K]
                                                                         State > Ref. Temperature
                                           *.    This value is not used because heat transfer is not modeled in this tutorial.

                               3. Click OK.
                               4. Under Materials, right-click Sand Fully Coupled and select Duplicate from the
                                  shortcut menu.
                               5. Name the duplicate Sand One Way Coupled.
                               6. Click OK.
                                     Sand One Way Coupled is created with properties identical to Sand Fully Coupled.


Creating the Domain
                               1. Right click Simulation in the Outline tree view and ensure that Automatic Default
                                  Domain is selected. A domain named Default Domain should now appear under the
                                  Simulation branch.
                               2. Double click Default Domain and apply the following settings


                                      Tab                         Setting                                          Value
                                      General Options             Basic Settings > Fluids List                     Water
                                                                  Basic Settings > Particle Tracking               (Selected)
                                                                  Basic Settings > Particle Tracking > Particles List Sand Fully Coupled,
                                                                                                                      Sand One Way Coupled
                                                                  Domain Models > Pressure > Reference Pressure 1 [atm]
                                      Fluid Models                Heat Transfer > Option                           None
                                                                  Turbulence > Option                              k-Epsilon*




ANSYS CFX Tutorials. ANSYS CFX Release 11.0. © 1996-2006 ANSYS Europe, Ltd. All rights reserved.                                     Page 169
Contains proprietary and confidential information of ANSYS, Inc. and its subsidiaries and affiliates.
Tutorial 9: Flow Through a Butterfly Valve: Defining a Simulation in ANSYS CFX-Pre

                            Tab                         Setting                                                          Value
                            Fluid Details               Sand Fully Coupled                                               (Selected)
                                                        Sand Fully Coupled > Morphology > Option                         Solid Particles
                                                        Sand Fully Coupled > Morphology > Particle                       (Selected)
                                                        Diameter Distribution
                                                        Sand Fully Coupled > Morphology > Particle                       Normal in Diameter by
                                                        Diameter Distribution > Option                                   Mass
                                                        Sand Fully Coupled > Morphology > Particle                       50e-6 [m]
                                                        Diameter Distribution > Minimum Diameter
                                                        Sand Fully Coupled > Morphology > Particle                       500e-6 [m]
                                                        Diameter Distribution > Maximum Diameter
                                                        Sand Fully Coupled > Morphology > Particle                       250e-6 [m]
                                                        Diameter Distribution > Mean Diameter
                                                        Sand Fully Coupled > Morphology > Particle                       70e-6 [m]
                                                        Diameter Distribution > Std. Deviation
                                                        Sand Fully Coupled > Erosion Model                               (Selected)
                                                        Sand Fully Coupled > Erosion Model > Option                      Finnie
                                                        Sand Fully Coupled > Erosion Model > Vel.                        2.0
                                                        Power Factor
                                                        Sand Fully Coupled > Erosion Model > Reference 1 [m s^-1]
                                                        Velocity
                                 *.    The turbulence model only applies to the continuous phase and not the particle
                                       phases.
                    3. Apply the following settings




Page 170         ANSYS CFX Tutorials. ANSYS CFX Release 11.0. © 1996-2006 ANSYS Europe, Ltd. All rights reserved.
                 Contains proprietary and confidential information of ANSYS, Inc. and its subsidiaries and affiliates.
Tutorial 9: Flow Through a Butterfly Valve: Defining a Simulation in ANSYS CFX-Pre


                                      Tab                       Setting                                        Value
                                      Fluid Details             Sand One Way Coupled                           (Selected)
                                                                Sand One Way Coupled > Morphology >            Solid Particles
                                                                Option
                                                                Sand One Way Coupled > Morphology >            (Selected)
                                                                Particle Diameter Distribution
                                                                Sand One Way Coupled > Morphology >            Normal in Diameter by Mass
                                                                Particle Diameter Distribution > Option
                                                                Sand One Way Coupled > Morphology >            50e-6 [m]
                                                                Particle Diameter Distribution > Minimum
                                                                Diameter
                                                                Sand One Way Coupled > Morphology >            500e-6 [m]
                                                                Particle Diameter Distribution > Maximum
                                                                Diameter
                                                                Sand One Way Coupled > Morphology >            250e-6 [m]
                                                                Particle Diameter Distribution > Mean
                                                                Diameter
                                                                Sand One Way Coupled > Morphology >            70e-6 [m]
                                                                Particle Diameter Distribution > Std.
                                                                Deviation
                                                                Sand One Way Coupled > Erosion Model           (Selected)
                                                                Sand One Way Coupled > Erosion Model >         Finnie
                                                                Option
                                                                Sand One Way Coupled > Erosion Model >         2.0
                                                                Vel. Power Factor
                                                                Sand One Way Coupled > Erosion Model >         1 [m s^-1]
                                                                Reference Velocity

                               4. Apply the following settings


                                      Tab                         Setting                                            Value
                                      Fluid Details               Water                                              (Selected)
                                                                  Water > Morphology > Option                        Continuous Fluid
                                      Fluid Pairs                 Fluid Pairs                                        Water | Sand Fully
                                                                                                                     Coupled
                                                                  Fluid Pairs > Water | Sand Fully Coupled >         Fully Coupled
                                                                  Particle Coupling
                                                                  Fluid Pairs > Water | Sand Fully Coupled >         Schiller Naumann
                                                                  Momentum Transfer > Drag Force > Option
                                                                  Fluid Pairs                                        Water | Sand One Way
                                                                                                                     Coupled
                                                                  Fluid Pairs > Water | Sand One Way Coupled >       One-way Coupling
                                                                  Particle Coupling
                                                                  Fluid Pairs > Water | Sand One Way Coupled >       Schiller Naumann
                                                                  Momentum Transfer > Drag Force > Option

                               5. Click OK.

ANSYS CFX Tutorials. ANSYS CFX Release 11.0. © 1996-2006 ANSYS Europe, Ltd. All rights reserved.                                     Page 171
Contains proprietary and confidential information of ANSYS, Inc. and its subsidiaries and affiliates.
Tutorial 9: Flow Through a Butterfly Valve: Defining a Simulation in ANSYS CFX-Pre

Creating the Inlet Velocity Profile
                    In previous tutorials you have often defined a uniform velocity profile at an inlet boundary.
                    This means that the inlet velocity near to the walls is the same as that at the center of the
                    inlet. If you look at the results from these simulations, you will see that downstream of the
                    inlet, a boundary layer will develop, so that the downstream near wall velocity is much lower
                    than the inlet near wall velocity.
                    You can simulate an inlet more accurately by defining an inlet velocity profile, so that the
                    boundary layer is already fully developed at the inlet. The one seventh power law will be
                    used in this tutorial to describe the profile at the pipe inlet. The equation for this is:

                                                           1
                                                           --
                                          r 7
                     U = W max ⎛ 1 – ---------- ⎞
                                              -                                                                              (Eqn. 1)
                               ⎝     R max⎠

                    where W max is the pipe centerline velocity, R max is the pipe radius, and r is the distance
                    from the pipe centerline.
                    A non uniform (profile) boundary condition can be created by:
                    •     Creating an expression using CEL that describes the inlet profile.
                          OR
                    •     Creating a User CEL Function which uses a user subroutine (linked to the ANSYS
                          CFX-Solver during execution) to describe the inlet profile.
                          OR
                    •     Loading a BC profile file (a file which contains profile data).
                    Profiles created from data files are not used in this tutorial, but are used in the tutorial
                    Tutorial 3: Flow in a Process Injection Mixing Pipe (p. 77).
                    In this tutorial, you use one of the first two methods listed above to define the velocity
                    profile for the inlet boundary condition. The results from each method will be identical.
                    Using a CEL expression is the easiest way to create the profile. The User CEL Function
                    method is more complex but is provided as an example of how to use this feature. For more
                    complex profiles, it may be necessary to use a User CEL Function or a BC profile file.
                    To use the User CEL Function method, continue with this tutorial from User CEL Function
                    Method for the Inlet Velocity Profile (p. 173). Note that you will need access to a Fortran
                    compiler to be able to complete the tutorial by the User CEL Function method.
                    To use the expression method, continue with the tutorial from this point.

Expression          1. Create the following expressions.
Method for the
Inlet Velocity
Profile                     Name                                                                Definition
                            Rmax                                                                20 [mm]
                            Wmax                                                                5 [m s^-1]
                            Wprof                                                               Wmax*(abs(1-r/Rmax)^0.143)


Page 172         ANSYS CFX Tutorials. ANSYS CFX Release 11.0. © 1996-2006 ANSYS Europe, Ltd. All rights reserved.
                 Contains proprietary and confidential information of ANSYS, Inc. and its subsidiaries and affiliates.
Tutorial 9: Flow Through a Butterfly Valve: Defining a Simulation in ANSYS CFX-Pre
                                     In the definition of Wprof, the variable r (radius) is a ANSYS CFX System Variable defined
                                     as:

                                            2       2
                               r =        x +y                                                                            (Eqn. 2)

                                     In this equation, x and y are defined as directions 1 and 2 (X and Y for Cartesian
                                     coordinate frames) respectively, in the selected reference coordinate frame.
                               You should now continue with the tutorial from Creating the Boundary Conditions (p. 175).

User CEL                       The Fortran subroutine has already been written for this tutorial.
Function
Method for the                 Important: You must have the required Fortran compiler installed and set in your system
Inlet Velocity                 path in order to run this part of the tutorial. If you do not have a Fortran compiler, you should
Profile                        use the expression method for defining the inlet velocity, as described in Expression
                               Method for the Inlet Velocity Profile (p. 172). For details on which Fortran compiler is
                               required for your platform, see the applicable ANSYS, Inc. installation guide. If you are not
                               sure which Fortran compiler is installed on your system, try running the cfx5mkext
                               command (found in <CFXROOT>/bin) from the command line and read the output
                               messages.

                               Compiling the Subroutine
                               1. Copy the subroutine PipeValve_inlet.F to your working directory. It is located in the
                                  <CFXROOT>/examples/ directory.
                               2. Examine the contents of this file in any text editor to gain a better understanding of this
                                  subroutine.
                                  This file was created by modifying the ucf_template.F file, which is available in the
                                  <CFXROOT>/examples/ directory.
                                  You can compile the subroutine and create the required library files used by the ANSYS
                                  CFX-Solver at any time before running the ANSYS CFX-Solver. The operation is
                                  performed at this point in the tutorial so that you have a better understanding of the
                                  values you need to specify in ANSYS CFX-Pre when creating a User CEL Function. The
                                  cfx5mkext command is used to create the required objects and libraries as described
                                  below.
                               3. From the main menu, select Tools > Command Editor.
                               4. Type the following in the Command Editor dialog box (make sure you do not miss the
                                  semi-colon at the end of the line):
                               ! system ("cfx5mkext PipeValve_inlet.F") < 1 or die;
                                     •     This is equivalent to executing the following at an OS command prompt:
                                           cfx5mkext PipeValve_inlet.F
                                     •     The ! indicates that the following line is to be interpreted as power syntax and not
                                           CCL. Everything after the ! symbol is processed as Perl commands.
                                     •     system is a Perl function to execute a system command.
                                     •     The < 1 or die will cause an error message to be returned if, for some reason, there
                                           is an error in processing the command.
                               5. Click Process to compile the subroutine.




ANSYS CFX Tutorials. ANSYS CFX Release 11.0. © 1996-2006 ANSYS Europe, Ltd. All rights reserved.                        Page 173
Contains proprietary and confidential information of ANSYS, Inc. and its subsidiaries and affiliates.
Tutorial 9: Flow Through a Butterfly Valve: Defining a Simulation in ANSYS CFX-Pre
                          The output produced when this command is executed will be printed to your terminal
                          window.
                    Note: You can use the -double option (that is, cfx5mkext -double PipeValve_inlet.F)
                    to compile the subroutine for use with double precision.
                          A subdirectory will have been created in your working directory whose name is system
                          dependent (for example, on IRIX it is named irix). This subdirectory contains the
                          shared object library.
                    Note: If you are running problems in parallel over multiple platforms then you will need to
                    create these subdirectories using the cfx5mkext command for each different platform.

                          •      You can view more details about the cfx5mkext command by running
                                 cfx5mkext -help
                          •      You can set a Library Name and Library Path using the -name and -dest options
                                 respectively.
                          •      If these are not specified, the default Library Name is that of your Fortran file and the
                                 default Library Path is your current working directory.
                    6. Close the Command Editor dialog box.

                    Creating the Input Arguments
                    Next, you will create some values that will be used as input arguments when the subroutine
                    is called.

                    1. Click Expression                   .
                    2. Set Name to Wmax, and then click OK.
                    3. Type 5 [m s^-1] into the Definition box, and then click Apply.
                       The expression will be listed in the Expressions tree view.
                    4. Use the same method to create an expression named Rmax defined to be 20 [mm].

                    Creating the User CEL Function
                    Two steps are required to define a User CEL Function that uses the compiled Fortran
                    subroutine. First, a User Routine that points to the Fortran subroutine will be created. Then
                    a User CEL Function that points to the User Routine will be created.

                    1. From the main toolbar, click User Routine                                  .
                    2. Set Name to WprofRoutine, and then click OK.
                       The User Routine details view appears.
                    3. Set Option to User CEL Function.
                    4. Set Calling Name to inlet_velocity.
                          •      This is the name of the subroutine within the Fortran file.
                          •      Always use lower case letters for the calling name, even if the subroutine name in
                                 the Fortran file is in upper case.
                    5. Set Library Name to PipeValve_inlet.
                          •      This is the name passed to the cfx5mkext command by the -name option.
                          •      If the -name option is not specified, a default is used.

Page 174         ANSYS CFX Tutorials. ANSYS CFX Release 11.0. © 1996-2006 ANSYS Europe, Ltd. All rights reserved.
                 Contains proprietary and confidential information of ANSYS, Inc. and its subsidiaries and affiliates.
Tutorial 9: Flow Through a Butterfly Valve: Defining a Simulation in ANSYS CFX-Pre
                                     •      The default is the Fortran file name without the .F extension.
                               6. Set Library Path to the directory where the cfx5mkext command was executed
                                  (usually the current working directory). For example:
                                     •      UNIX: /home/user/cfx/tutorials/PipeValve.
                                     •      Windows: c:usercfxtutorialsPipeValve.

                                            This can be accomplished quickly by clicking Browse           (next to Library Path),
                                            browsing to the appropriate folder in Select Directory (not necessary if selecting
                                            the working directory), and clicking OK (in Select Directory).
                               7. Click OK to complete the definition of the user routine.

                               8. Click User Function                    .
                               9. Set Name to WprofFunction, and then click OK.
                                  The Function details view appears.
                               Important: You must not use the same name for the function and the routine.
                               10. Set Option to User Function.
                               11. Set User Routine Name to WprofRoutine.
                               12. Set Argument Units to [m s^-1], [m], [m]. These are the units for the three input
                                   arguments: Wmax, r, and Rmax.
                               Set Result Units to [m s^-1], since the result will be a velocity for the inlet.
                               1. Click OK to complete the User Function specification.
                                  You can now use the user function (WprofFunction) in place of a velocity value by
                                  entering the expression WprofFunction(Wmax, r, Rmax) (although it only makes
                                  sense for the W component of the inlet velocity in this tutorial).
                                  In the definition of WprofFunction, the variable r (radius) is a system variable defined
                                  as:

                                               2      2
                               r =         x +y                                                                              (Eqn. 3)

                                     In this equation, x and y are defined as directions 1 and 2 (X and Y for Cartesian
                                     coordinate frames) respectively, in the selected reference coordinate frame.

Creating the Boundary Conditions
Inlet Boundary                 1. Create a new boundary condition named inlet.
                               2. Apply the following settings


                                         Tab                   Setting                                       Value
                                         Basic Settings        Boundary Type                                 Inlet
                                                               Location                                      inlet




ANSYS CFX Tutorials. ANSYS CFX Release 11.0. © 1996-2006 ANSYS Europe, Ltd. All rights reserved.                           Page 175
Contains proprietary and confidential information of ANSYS, Inc. and its subsidiaries and affiliates.
Tutorial 9: Flow Through a Butterfly Valve: Defining a Simulation in ANSYS CFX-Pre

                            Tab                      Setting                                                             Value
                            Boundary                 Mass And Momentum > Option                                          Cart. Vel. Components
                            Details                  Mass And Momentum > U                                               0 [m s^-1]
                                                     Mass And Momentum > V                                               0 [m s^-1]
                                                     Mass And Momentum > W                                               Wprof -OR-
                                                                                                                         WprofFunction(Wmax,
                                                                                                                         r, Rmax)*
                            Fluid Values†            Boundary Conditions                                                 Sand Fully Coupled
                                                     Sand Fully Coupled > Particle Behavior > Define                     (Selected)
                                                     Particle Behavior
                                                     Sand Fully Coupled > Mass and Momentum >                            Cart. Vel. Components‡
                                                     Option
                                                     Sand Fully Coupled > Mass And Momentum > U                          0 [m s^-1]
                                                     Sand Fully Coupled > Mass And Momentum > V                          0 [m s^-1]
                                                     Sand Fully Coupled > Mass And Momentum > W                          Wprof -OR-
                                                                                                                         WprofFunction(Wmax,
                                                                                                                         r, Rmax)**
                                                     Sand Fully Coupled > Particle Position > Option                     Uniform Injection
                                                     Sand Fully Coupled > Particle Position > Number                     Direct Specification
                                                     of Positions > Option
                                                     Sand Fully Coupled > Particle Position > Number                     200
                                                     of Positions > Number
                                                     Sand Fully Coupled > Particle Mass Flow > Mass                      0.01 [kg s^-1]
                                                     Flow Rate
                            Fluid Values             Boundary Conditions                                                 Sand One Way Coupled
                                                     Sand One Way Coupled > Particle Behavior >                          (Selected)
                                                     Define Particle Behavior
                                                     Sand One Way Coupled > Mass and Momentum > Cart. Vel. Components††
                                                     Option
                                                     Sand One Way Coupled > Mass And Momentum > 0 [m s^-1]
                                                     U
                                                     Sand One Way Coupled > Mass And Momentum > 0 [m s^-1]
                                                     V
                                                     Sand One Way Coupled > Mass And Momentum > Wprof -OR-
                                                     W                                          WprofFunction(Wmax,
                                                                                                r, Rmax)‡‡
                                                     Sand One Way Coupled > Particle Position >                          Uniform Injection
                                                     Option
                                                     Sand One Way Coupled > Particle Position >                          Direct Specification
                                                     Number of Positions > Option
                                                     Sand One Way Coupled > Particle Position >                          5000
                                                     Number of Positions > Number
                                                     Sand One Way Coupled > Particle Position >                          0.01 [kg s^-1]
                                                     Particle Mass Flow Rate > Mass Flow Rate




Page 176         ANSYS CFX Tutorials. ANSYS CFX Release 11.0. © 1996-2006 ANSYS Europe, Ltd. All rights reserved.
                 Contains proprietary and confidential information of ANSYS, Inc. and its subsidiaries and affiliates.
Tutorial 9: Flow Through a Butterfly Valve: Defining a Simulation in ANSYS CFX-Pre

                                           *.    Use the Expressions details view                       to enter either Wprof if using the expression
                                               method, or WprofFunction(Wmax, r, Rmax) if using the User CEL Function
                                               method.
                                           †. Do NOT select Particle Diameter Distribution. The diameter distribution was
                                               defined when creating the domain; this option would override those settings for
                                               this boundary only.
                                           ‡. Instead of manually specifying the same velocity profile as the fluid, you can also
                                               select the Zero Slip Velocity option.
                                           **. as you did on the Boundary Details tab
                                           ††. Instead of manually specifying the same velocity profile as the fluid, you can also
                                               select the Zero Slip Velocity option.
                                           ‡‡. as you did on the Boundary Details tab
                               3. Click OK.
                               One-way coupled particles are tracked as a function of the fluid flow field. The latter is not
                               influenced by the one-way coupled particles. The fluid flow will therefore be influenced by
                               the 0.01 [kg s^-1] flow of two-way coupled particles, but not by the 0.01 [kg s^-1] flow of
                               one-way coupled particles.

Outlet                         1. Create a new boundary condition named outlet.
Boundary                       2. Apply the following settings


                                      Tab                      Setting                                                         Value
                                      Basic Settings           Boundary Type                                                   Outlet
                                                               Location                                                        outlet
                                      Boundary                 Flow Regime > Option                                            Subsonic
                                      Details                  Mass and Momentum > Option                                      Average Static Pressure
                                                               Mass and Momentum > Relative Pressure                           0 [Pa]

                               3. Click OK.

Symmetry Plane 1. Create a new boundary condition named symP.
Boundary       2. Apply the following settings


                                      Tab                      Setting                                                         Value
                                      Basic Settings           Boundary Type                                                   Symmetry
                                                               Location                                                        symP

                               3. Click OK.

Pipe Wall                      1. Create a new boundary condition named pipe wall.
Boundary                       2. Apply the following settings


                                      Tab                Setting                                                               Value
                                      Basic              Boundary Type                                                         Wall
                                      Settings
                                                         Location                                                              pipe wall



ANSYS CFX Tutorials. ANSYS CFX Release 11.0. © 1996-2006 ANSYS Europe, Ltd. All rights reserved.                                               Page 177
Contains proprietary and confidential information of ANSYS, Inc. and its subsidiaries and affiliates.
Tutorial 9: Flow Through a Butterfly Valve: Defining a Simulation in ANSYS CFX-Pre

                            Tab                Setting                                                                     Value
                            Boundary           Wall Roughness > Option                                                     Rough Wall
                            Details            Roughness Height                                                            0.2 [mm]*
                            Fluid              Boundary Conditions                                                         Sand Fully Coupled
                            Values             Boundary Conditions > Sand Fully Coupled > Velocity                         Restitution Coefficient
                                               > Option
                                               Boundary Conditions > Sand Fully Coupled > Velocity                         0.8
                                               > Perpendicular Coeff.
                                               Boundary Conditions > Sand Fully Coupled > Velocity                         1
                                               > Parallel Coeff.
                                               Boundary Conditions                                                         Sand One Way Coupled
                                               Boundary Conditions > Sand One Way Coupled >                                Restitution Coefficient
                                               Velocity > Option
                                               Boundary Conditions > Sand One Way Coupled >                                0.8
                                               Velocity > Perpendicular Coeff.
                                               Boundary Conditions > Sand One Way Coupled >                                1
                                               Velocity > Parallel Coeff.
                                 *.    Make sure that you change the units to millimetres. The thickness of the first
                                       element should be of the same order as the roughness height.
                    3. Click OK.

Editing the         1. In the Outline tree view, edit the boundary condition named Default Domain
Default                Default.
Boundary            2. Apply the following settings
Condition

                            Tab                      Setting                                                       Value
                            Fluid Values             Boundary Conditions                                           Sand Fully Coupled
                                                     Boundary Conditions > Sand Fully          0.9
                                                     Coupled > Velocity > Perpendicular Coeff.
                                                     Boundary Conditions                                           Sand One Way Coupled
                                                     Boundary Conditions > Sand One Way        0.9
                                                     Coupled > Velocity > Perpendicular Coeff.

                    3. Click OK.

Setting Initial Values
                    1. Click Global Initialization                     .
                    2. Apply the following settings




Page 178         ANSYS CFX Tutorials. ANSYS CFX Release 11.0. © 1996-2006 ANSYS Europe, Ltd. All rights reserved.
                 Contains proprietary and confidential information of ANSYS, Inc. and its subsidiaries and affiliates.
Tutorial 9: Flow Through a Butterfly Valve: Defining a Simulation in ANSYS CFX-Pre


                                      Tab                         Setting                                              Value
                                      Global Settings             Initial Conditions > Cartesian Velocity              Automatic with Value
                                                                  Components > Option
                                                                  Initial Conditions > Cartesian Velocity              0 [m s^-1]
                                                                  Components > Option > U
                                                                  Initial Conditions > Cartesian Velocity              0 [m s^-1]
                                                                  Components > Option > V
                                                                  Initial Conditions > Cartesian Velocity              Wprof -OR-
                                                                  Components > Option > W                              WprofFunction(Wmax, r,
                                                                                                                       Rmax)*
                                                                  Initial Conditions > Turbulence Eddy                 (Selected)
                                                                  Dissipation

                                           *.    Use Enter Expression                    to enter Wprof if using the Expression method; enter
                                                 WprofFunction(Wmax, r, Rmax) if using the User CEL Function method.

                               3. Click OK.

Setting Solver Control
                               1. Click Solver Control                   .
                               2. Apply the following settings


                                      Tab                            Setting                                              Value
                                      Basic Settings                 Advection Scheme > Option                            Specified Blend Factor
                                                                     Advection Scheme > Blend Factor                      0.75
                                      Particle Control               Particle Integration > Maximum Tracking Time         (Selected)
                                                                     Particle Integration > Maximum Tracking Time         10 [s]
                                                                     > Value
                                                                     Particle Integration > Maximum Tracking              (Selected)
                                                                     Distance
                                                                     Particle Integration > Maximum Tracking              10 [m]
                                                                     Distance > Value
                                                                     Particle Integration > Max. Num. Integration         (Selected)
                                                                     Steps
                                                                     Particle Integration > Max. Num. Integration         10000
                                                                     Steps > Value
                                                                     Particle Integration > Max. Particle Intg. Time      (Selected)
                                                                     Step
                                                                     Particle Integration > Max. Particle Intg. Time      1e+10 [s]
                                                                     Step > Value

                               3. Click OK.




ANSYS CFX Tutorials. ANSYS CFX Release 11.0. © 1996-2006 ANSYS Europe, Ltd. All rights reserved.                                       Page 179
Contains proprietary and confidential information of ANSYS, Inc. and its subsidiaries and affiliates.
Tutorial 9: Flow Through a Butterfly Valve: Obtaining a Solution using ANSYS CFX-Solver Manager

Writing the Solver (.def) File
                    1. Click Write Solver File                   .
                    2. Apply the following settings:


                            Setting                                           Value
                            File name                                         PipeValve.def
                            Quit CFX–Pre*                                     (Selected)

                                 *.    If using ANSYS CFX-Pre in Standalone Mode.

                    3. Ensure Start Solver Manager is selected and click Save.
                    4. If using Standalone Mode, quit ANSYS CFX-Pre, saving the simulation (.cfx) file at your
                       discretion.



Obtaining a Solution using ANSYS CFX-Solver Manager
                    When ANSYS CFX-Pre has shut down and ANSYS CFX-Solver Manager has started, you can
                    obtain a solution to the CFD problem by using the following procedure.

                    Note: If you followed the User CEL Function method, and you wish to run this tutorial in
                    distributed parallel on machines with different architectures, you must first compile the
                    PipeValve_inlet.F subroutine on all architectures.

                    1. Ensure the Define Run dialog box is displayed and click Start Run.
                    2. Click Yes to post-process the results when the completion message appears at the end
                       of the run.
                    3. If using Standalone Mode, quit ANSYS CFX-Solver Manager.



Viewing the Results in ANSYS CFX-Post
                    In this section, you will first plot erosion on the valve surface and side walls due to the sand
                    particles. You will then create an animation of particle tracks through the domain.

Erosion Due to Sand Particles
                    An important consideration in this simulation is erosion to the pipe wall and valve due to the
                    sand particles. A good indication of erosion is given by the Erosion Rate Density
                    parameter, which corresponds to pressure and shear stress due to the flow.
                    1. Edit the object named Default Domain Default.

                    2. Apply the following settings using the Ellipsis                                    as required for selections




Page 180         ANSYS CFX Tutorials. ANSYS CFX Release 11.0. © 1996-2006 ANSYS Europe, Ltd. All rights reserved.
                 Contains proprietary and confidential information of ANSYS, Inc. and its subsidiaries and affiliates.
Tutorial 9: Flow Through a Butterfly Valve: Viewing the Results in ANSYS CFX-Post


                                      Tab                        Setting                           Value
                                      Color                      Mode                              Variable
                                                                 Variable                          Sand One Way Coupled.Erosion Rate Density*
                                                                 Range                             User Specified
                                                                 Min                               0 [kg m^-2 s^-1]
                                                                 Max                               25 [kg m^-2 s^-1]†
                                           *.    This is statistically better than Sand Fully Coupled.Erosion Rate Density since
                                                 many more particles were calculated for Sand One Way Coupled.
                                           †.    This range is used to gain a better resolution of the wall shear stress values around
                                                 the edge of the valve surfaces.

                               3. Click Apply.
                                     As can be seen, the highest values occur on the edges of the valve where most particles
                                     strike. Erosion of the low Z side of the valve would occur more quickly than for the high
                                     Z side.

Particle Tracks
                               Default particle track objects are created at the start of the session. One particle track is
                               created for each set of particles in the simulation. You are going to make use of the default
                               object for Sand Fully Coupled.
                               The default object draws 10 tracks as lines from the inlet to outlet. Info shows information
                               about the total number of tracks, index range and the track numbers which are drawn.
                               1. Edit the object named Res PT for Sand Fully Coupled.
                               2. Apply the following settings


                                      Tab                        Setting                                                Value
                                      Geometry                   Max Tracks                                             20

                               3. Click Apply.

Erosion on the Pipe Wall
                               The User Specified range for coloring will be set to resolve areas of stress on the pipe wall
                               near of the valve.
                               1. Clear the check box next to Res PT for Sand Fully Coupled.
                               2. Clear the check box next to Default Domain Default.
                               3. Edit the object named pipe wall.
                               4. Apply the following settings




ANSYS CFX Tutorials. ANSYS CFX Release 11.0. © 1996-2006 ANSYS Europe, Ltd. All rights reserved.                                          Page 181
Contains proprietary and confidential information of ANSYS, Inc. and its subsidiaries and affiliates.
Tutorial 9: Flow Through a Butterfly Valve: Viewing the Results in ANSYS CFX-Post


                            Tab                       Setting                               Value
                            Color                     Mode                                  Variable
                                                      Variable                              Sand One Way Coupled.Erosion Rate Density
                                                      Range                                 User Specified
                                                      Min                                   0 [kg m^-2 s^-1]
                                                      Max                                   25 [kg m^-2 s^-1]

                    5. Click Apply.

Particle Track Symbols
                    1. Clear visibility for all objects except Wireframe.
                    2. Edit the object named Res PT for Sand Fully Coupled.
                    3. Apply the following settings


                            Tab                       Setting                                           Value
                            Color                     Mode                                              Variable
                                                      Variable                                          Sand Fully Coupled.Velocity w
                            Symbol                    Draw Symbols                                      (Selected)
                                                      Draw Symbols > Max Time                           0 [s]
                                                      Draw Symbols > Min Time                           0 [s]
                                                      Draw Symbols > Interval                           0.07 [s]
                                                      Draw Symbols > Symbol                             Fish3D
                                                      Draw Symbols > Symbol Size                        0.5

                    4. Clear Draw Tracks.
                    5. Click Apply.
                          Symbols are placed at the start of each track.

Creating a Particle Track Animation
                    The following steps describe how to create a particle tracking animation using Quick
                    Animation. Similar effects can be achieved in more detail using the Keyframe Animation
                    option, which allows full control over all aspects on an animation.

                    1. Select Tools > Animation or click Animation                                      .
                    2. Select Quick Animation.
                    3. Select Res PT for Sand Fully Coupled:
                    4. Click Options to display the Animation Options dialog box, then clear Override
                       Symbol Settings to ensure the symbol type and size are kept at their specified settings
                       for the animation playback. Click OK.
                    Note: The arrow pointing downward in the bottom right corner of the Animation Window
                    will reveal the Options button if it is not immediately visible.


Page 182         ANSYS CFX Tutorials. ANSYS CFX Release 11.0. © 1996-2006 ANSYS Europe, Ltd. All rights reserved.
                 Contains proprietary and confidential information of ANSYS, Inc. and its subsidiaries and affiliates.
Tutorial 9: Flow Through a Butterfly Valve: Viewing the Results in ANSYS CFX-Post
                               5. Select Loop.

                               6. Deselect Repeat forever                        and ensure Repeat is set to 1.
                               7. Select Save MPEG.

                               8. Click Browse                  and enter tracks.mpg as the file name.

                               9. Click Play the animation                          .
                               10. If prompted to overwrite an existing movie, click Overwrite.
                                   The animation plays and builds an .mpg file.
                               11. Close the Animation dialog box.

Performing Quantitative Calculations
                               On the outlet boundary condition you created in ANSYS CFX-Pre, you set the Average
                               Static Pressure to 0.0 [Pa]. To see the effect of this:
                               1. From the main menu select Tools > Function Calculator.
                                  The Function Calculator is displayed. It allows you to perform a wide range of
                                  quantitative calculations on your results.
                               Note: You should use Conservative variable values when performing calculations and
                               Hybrid values for visualization purposes. Conservative values are set by default in ANSYS
                               CFX-Post but you can manually change the setting for each variable in the Variables
                               Workspace, or the settings for all variables by using the Function Calculator.
                               2. Set Function to maxVal.
                               3. Set Location to outlet.
                               4. Set Variable to Pressure.
                               5. Click Calculate.
                                  The result is the maximum value of pressure at the outlet.
                               6. Perform the calculation again using minVal to obtain the minimum pressure at the
                                  outlet.
                               7. Select areaAve, and then click Calculate.
                                     •     This calculates the area weighted average of pressure.
                                     •     The average pressure is approximately zero, as specified by the boundary condition.

Other Features                 The geometry was created using a symmetry plane. You can display the other half of the
                               geometry by creating a YZ Plane at X = 0 and then editing the Default Transform object
                               to use this plane as a reflection plane.
                               1. When you have finished viewing the results, quit ANSYS CFX-Post.




ANSYS CFX Tutorials. ANSYS CFX Release 11.0. © 1996-2006 ANSYS Europe, Ltd. All rights reserved.                       Page 183
Contains proprietary and confidential information of ANSYS, Inc. and its subsidiaries and affiliates.
Tutorial 9: Flow Through a Butterfly Valve: Viewing the Results in ANSYS CFX-Post




Page 184         ANSYS CFX Tutorials. ANSYS CFX Release 11.0. © 1996-2006 ANSYS Europe, Ltd. All rights reserved.
                 Contains proprietary and confidential information of ANSYS, Inc. and its subsidiaries and affiliates.
Tutorial 10:
Flow in a Catalytic Converter

Introduction
                               This tutorial includes:
                               •     Tutorial 10 Features (p. 185)
                               •     Overview of the Problem to Solve (p. 186)
                               •     Defining a Simulation in ANSYS CFX-Pre (p. 187)
                               •     Obtaining a Solution using ANSYS CFX-Solver Manager (p. 193)
                               •     Viewing the Results in ANSYS CFX-Post (p. 194)

                               If this is the first tutorial you are working with, it is important to review the following topics
                               before beginning:
                               •     Setting the Working Directory (p. 1)
                               •     Changing the Display Colors (p. 2)
                               Unless you plan on running a session file, you should copy the sample files used in this
                               tutorial from the installation folder for your software (<CFXROOT>/examples/) to your
                               working directory. This prevents you from overwriting source files provided with your
                               installation. If you plan to use a session file, please refer to Playing a Session File (p. 187).
                               Sample files referenced by this tutorial include:
                               •     CatConv.pre
                               •     CatConvHousing.hex
                               •     CatConvMesh.gtm




Tutorial 10 Features
                               This tutorial addresses the following features of ANSYS CFX.



ANSYS CFX Tutorials                                                                                                      Page 185
ANSYS CFX Release 11.0. © 1996-2006 ANSYS Europe, Ltd. All rights reserved.
Contains proprietary and confidential information of ANSYS, Inc. and its subsidiaries and affiliates.
Tutorial 10: Flow in a Catalytic Converter: Overview of the Problem to Solve


                      Component                                   Feature                                           Details
                      ANSYS CFX-Pre                               User Mode                                         General Mode
                                                                  Simulation Type                                   Steady State
                                                                  Fluid Type                                        Ideal Gas
                                                                  Turbulence Model                                  k-Epsilon
                                                                  Heat Transfer                                     Isothermal
                                                                  Subdomains                                        Resistance Source
                                                                  Boundary Conditions                               Inlet (Subsonic)
                                                                                                                    Outlet (Subsonic)
                                                                                                                    Wall: No-Slip
                                                                  Domain Interfaces                                 Fluid-Fluid (No Frame Change)
                                                                  Timestep                                          Physical Time Scale
                      ANSYS CFX-Post                              Plots                                             Contour
                                                                                                                    Default Locators
                                                                                                                    Outline Plot (Wireframe)
                                                                                                                    Polyline
                                                                                                                    Slice Plane
                                                                                                                    Vector
                                                                  Other                                             Chart Creation
                                                                                                                    Data Export
                                                                                                                    Title/Text
                                                                                                                    Viewing the Mesh

                     In this tutorial you will learn about:
                     •     Using multiple meshes in ANSYS CFX-Pre.
                     •     Joining meshes together using static fluid-fluid domain interfaces between the
                           inlet/outlet flanges and the central catalyst body.
                     •     Applying a source of resistance using a directional loss model.
                     •     Creating a chart to show pressure drop through the domain in ANSYS CFX-Post.
                     •     Exporting data from a line locator to a file.



Overview of the Problem to Solve
                     Catalytic converters are used on most vehicles on the road today. They reduce harmful
                     emissions from internal combustion engines (such as oxides of nitrogen, hydrocarbons, and
                     carbon monoxide) that are the result of incomplete combustion. Most new catalytic




Page 186          ANSYS CFX Tutorials. ANSYS CFX Release 11.0. © 1996-2006 ANSYS Europe, Ltd. All rights reserved.
                  Contains proprietary and confidential information of ANSYS, Inc. and its subsidiaries and affiliates.
Tutorial 10: Flow in a Catalytic Converter: Defining a Simulation in ANSYS CFX-Pre
                               converters are the honeycomb ceramic type and are usually coated with platinum, rhodium,
                               or palladium. The exhaust gases flow through the honeycomb structure and a pressure
                               gradient is established between the inlet and outlet.
                                                                                                            exhaust gas
                                                                                                            25.0 m/s
                                                                                                            288.0 K

                                                              catalyst material



                               flange




                                                                                                    20 cm




                               In this tutorial, a catalytic converter is modeled without chemical reactions in order to
                               determine the pressure drop. The inlet flange (joining the pipe to the catalyst) is designed
                               to distribute exhaust gas evenly across the catalyst material.
                               A hexahedral mesh for the housing, which was created in ICEM-Hexa, is provided.
                               The different meshes are connected together in ANSYS CFX-Pre. You will import each mesh
                               then create a domain, which spans all of them. Within the converter, a subdomain is added
                               to model a honeycomb structure using a directional loss model. The physics is then
                               specified in the same way as for other tutorials.



Defining a Simulation in ANSYS CFX-Pre
                               The following sections describe the simulation setup in ANSYS CFX-Pre.

Playing a Session File
                               If you wish to skip past these instructions, and have ANSYS CFX-Pre set up the simulation
                               automatically, you can select Session > Play Tutorial from the menu in ANSYS CFX-Pre,
                               then run the session file: CatConv.pre. After you have played the session file as described
                               in earlier tutorials under Playing the Session File and Starting ANSYS CFX-Solver Manager
                               (p. 87), proceed to Obtaining a Solution using ANSYS CFX-Solver Manager (p. 193).

Creating a New Simulation
                               1. Start ANSYS CFX-Pre.
                               2. Select File > New Simulation.

ANSYS CFX Tutorials. ANSYS CFX Release 11.0. © 1996-2006 ANSYS Europe, Ltd. All rights reserved.                          Page 187
Contains proprietary and confidential information of ANSYS, Inc. and its subsidiaries and affiliates.
Tutorial 10: Flow in a Catalytic Converter: Defining a Simulation in ANSYS CFX-Pre
                     3. Select General and click OK.
                     4. Select File > Save Simulation As.
                     5. Under File name, type CatConv.
                     6. Click Save.

Importing the Meshes
                     The catalytic converter is comprised of three distinct parts:
                     •     The inlet section (pipe and flange).
                     •     The outlet section (pipe and flange).
                     •     The catalyst (or monolith).
                     Next you will import a generic inlet/outlet section and the catalyst housing from provided
                     files.

Housing Section The first mesh that you will import is the hexahedral mesh for the catalyst housing, created
                in ICEM-Hexa, named CatConvHousing.hex. This mesh was created using units of
                centimetres; however, the units are not stored with the mesh file for this type of mesh. You
                must set the mesh import units to cm when importing the mesh into ANSYS CFX-Pre so that
                the mesh remains the intended size. The imported mesh has a width in the x-direction of 21
                cm and a length in the z-direction of 20 cm.
                     1. Right-click Mesh and select Import Mesh.
                     2. Apply the following settings


                             Setting                                                             Value
                             File type                                                           All Types
                             Definition > Mesh Format                                            ICEM CFD
                             File name                                                           CatConvHousing.hex
                             Definition > Mesh Units                                             cm

                     3. Click Open.

Pipe and Flange      This mesh was created in units of centimetres. When importing GTM files, ANSYS CFX-Pre
Section              uses the units used in the mesh file.
                     1. Right-click Mesh and select Import Mesh to import the second section.
                     2. Apply the following settings


                             Setting                                                             Value
                             File type                                                           CFX Mesh (gtm)
                             File name                                                           CatConvMesh.gtm

                     3. Click Open.
                     You only need to import this mesh once, as you will be copying and rotating the flange
                     through 180 degrees in the next step to create the inlet side pipe and flange.


Page 188          ANSYS CFX Tutorials. ANSYS CFX Release 11.0. © 1996-2006 ANSYS Europe, Ltd. All rights reserved.
                  Contains proprietary and confidential information of ANSYS, Inc. and its subsidiaries and affiliates.
Tutorial 10: Flow in a Catalytic Converter: Defining a Simulation in ANSYS CFX-Pre

Applying a Transform
                               The pipe and flange are located at the outlet end of the housing. The flange will be rotated
                               about an axis that points in the y-direction and is located at the center of the housing.
                               1. Right-click CatConvMesh.gtm and select Transform Mesh. The Mesh Transformation
                                  Editor dialog box appears.
                               2. Apply the following settings


                                      Tab                     Setting                                   Value
                                      Definition              Apply Rotation > Rotation Option          Rotation Axis
                                                              Apply Rotation > From                     0, 0, 0.16
                                                              Apply Rotation > To                       0, 1, 0.16*
                                                              Apply Rotation > Rotation Angle           180 [degree]
                                                              Multiple Copies                           (Selected)
                                                              Multiple Copies > # of Copies             1
                                           *.    This specifies an axis located at the center of the housing parallel to the y-axis.

                               3. Click OK.

Creating a Union Region
                               Three separate regions now exist, but since there is no relative motion between each region,
                               you only need to create a single domain. This can be done by simply using all three regions
                               in the domain Location list or, as in this case, by using the Region details view to create a
                               union of the three regions.
                               1. Create a new composite region named CatConverter.
                               2. Apply the following settings


                                      Tab                     Setting                                    Value
                                      Basic Settings          Dimension (Filter)                         3D
                                                              Region List                                B1.P3, B1.P3 2, LIVE

                               3. Click OK.

Creating the Domain
                               For this simulation you will use an isothermal heat transfer model and assume turbulent
                               flow.

                               1. Click Domain                    and set the name to CatConv.
                               2. Apply the following settings




ANSYS CFX Tutorials. ANSYS CFX Release 11.0. © 1996-2006 ANSYS Europe, Ltd. All rights reserved.                                  Page 189
Contains proprietary and confidential information of ANSYS, Inc. and its subsidiaries and affiliates.
Tutorial 10: Flow in a Catalytic Converter: Defining a Simulation in ANSYS CFX-Pre


                            Tab                    Setting                                                               Value
                            General                Basic Settings > Location                                             CatConverter
                            Options
                                                   Basic Settings > Fluid List                                           Air Ideal Gas
                                                   Domain Models > Pressure > Reference Pressure 1 [atm]
                            Fluid Models           Heat Transfer > Option                                                Isothermal
                                                   Heat Transfer > Fluid Temperature                                     600 [K]

                    3. Click OK.

Creating a Subdomain to Model the Catalyst Structure
                    The catalyst-coated honeycomb structure will be modeled using a subdomain with a
                    directional source of resistance.
                    For quadratic resistances, the pressure drop is modeled using:

                      ∂p
                     ------ = – K Q U U i
                          -                                                                                                                   (Eqn. 1)
                     ∂x i

                    where K Q is the quadratic resistance coefficient, U i is the local velocity in the i direction,

                            ∂p
                    and ------ is the pressure drop gradient in the i direction.
                             -
                            ∂x i

                    1. Select Insert > Subdomain from the main menu or click Subdomain
                    2. In the Insert Subdomain dialog box, type catalyst.
                    3. Apply the following settings


                            Tab                    Setting                                                                       Value
                            Basic Settings         Location                                                                      LIVE*
                            Sources†               Sources                                                                       (Selected)
                                                   Sources > Momentum Source/Porous Loss                                         (Selected)
                                                   Sources > Momentum Source/Porous Loss >                                       (Selected)
                                                   Directional Loss
                                   *.   This is the entire housing section.
                                   †.   Used to set sources of momentum, resistance and mass for the subdomain (Other
                                        sources are available for different problem physics).

                    4. Apply the following settings in the Directional Loss section


                            Setting                                                                                         Value
                            Streamwise Direction > X Component                                                              0
                            Streamwise Direction > Y Component                                                              0
                            Streamwise Direction > Z Component                                                              1


Page 190         ANSYS CFX Tutorials. ANSYS CFX Release 11.0. © 1996-2006 ANSYS Europe, Ltd. All rights reserved.
                 Contains proprietary and confidential information of ANSYS, Inc. and its subsidiaries and affiliates.
Tutorial 10: Flow in a Catalytic Converter: Defining a Simulation in ANSYS CFX-Pre

                                      Setting                                                                 Value
                                      Streamwise Loss > Option                                                Linear and Quadratic
                                                                                                              Coefs
                                      Streamwise Loss > Quadratic Resistance Coefficient                      (Selected)
                                      Streamwise Loss > Quadratic Resistance Coefficient > Quadratic          650 [kg m^-4]
                                      Coefficient
                               5. Click OK.

Creating Boundary Conditions
Inlet Boundary                 1. Create a new boundary condition named Inlet.
                               2. Apply the following settings


                                      Tab                         Setting                                 Value
                                      Basic Settings              Boundary Type                           Inlet
                                                                  Location                                PipeEnd 2
                                      Boundary Details            Mass and Momentum > Normal Speed        25 [m s^-1]

                               3. Click OK.

Outlet                         1. Create a new boundary condition named Outlet.
Boundary                       2. Apply the following settings


                                      Tab                         Setting                                 Value
                                      Basic Settings              Boundary Type                           Outlet
                                                                  Location                                PipeEnd
                                      Boundary Details            Mass and Momentum > Option              Static Pressure
                                                                  Mass and Momentum > Relative Pressure   0 [Pa]

                               3. Click OK.
                                     The remaining surfaces are automatically grouped into the default no slip wall
                                     boundary condition.

Creating the Domain Interfaces
                               Domain interfaces are used to define the connecting boundaries between meshes where
                               the faces do not match or when a frame change occurs. Meshes are ‘glued’ together using
                               the General Grid Interface (GGI) functionality of ANSYS CFX. Different types of GGI
                               connections can be made. In this case, you require a simple Fluid-Fluid Static connection (no
                               Frame Change). Other options allow you to change reference frame across the interface or
                               create a periodic boundary with dissimilar meshes on each periodic face.
                               Two Interfaces are required, one to connect the inlet flange to the catalyst housing and one
                               to connect the outlet flange to the catalyst housing.




ANSYS CFX Tutorials. ANSYS CFX Release 11.0. © 1996-2006 ANSYS Europe, Ltd. All rights reserved.                              Page 191
Contains proprietary and confidential information of ANSYS, Inc. and its subsidiaries and affiliates.
Tutorial 10: Flow in a Catalytic Converter: Defining a Simulation in ANSYS CFX-Pre
Inlet Pipe /        1. Create a new domain interface named InletSide.
Housing             2. Apply the following settings
Interface

                            Tab                    Setting                                                 Value
                            Basic Settings         Interface Side 1 > Region List                          FlangeEnd 2
                                                   Interface Side 2 > Region List                          INLET

                    3. Click OK.

Outlet Pipe /       1. Create a new domain interface named OutletSide.
Housing             2. Apply the following settings
Interface

                            Tab                    Setting                                                 Value
                            Basic Settings         Interface Side 1 > Region List                          FlangeEnd
                                                   Interface Side 2 > Region List                          OUTLET

                    3. Click OK.

Setting Initial Values
                    A sensible guess for the initial velocity is to set it to the expected velocity through the
                    catalyst housing. As the inlet velocity is 25 [m s^-1] and the cross sectional area of the inlet
                    and housing are known, you can apply conservation of mass to obtain an approximate
                    velocity of 2 [m s^-1] through the housing.

                    1. Click Global Initialization                     .
                    2. Apply the following settings


                            Tab                    Setting                                                 Value
                            Global                 Initial Conditions > Cartesian Velocity Automatic with Value
                            Settings               Components > Option
                                                   Initial Conditions > Cartesian Velocity 0 [m s^-1]
                                                   Components > U
                                                   Initial Conditions > Cartesian Velocity 0 [m s^-1]
                                                   Components > V
                                                   Initial Conditions > Cartesian Velocity -2 [m s^-1]
                                                   Components > W
                                                   Initial Conditions > Turbulence Eddy                    (Selected)
                                                   Dissipation

                    3. Click OK.

Setting Solver Control
                    Assuming velocities of 25 [m s^-1] in the inlet and outlet pipes, and 2 [m s^-1] in the catalyst
                    housing, an approximate fluid residence time of 0.1 [s] can be calculated. A sensible
                    timestep of 0.04 [s] (1/4 to 1/2 of the fluid residence time) will be applied.

Page 192         ANSYS CFX Tutorials. ANSYS CFX Release 11.0. © 1996-2006 ANSYS Europe, Ltd. All rights reserved.
                 Contains proprietary and confidential information of ANSYS, Inc. and its subsidiaries and affiliates.
Tutorial 10: Flow in a Catalytic Converter: Obtaining a Solution using ANSYS CFX-Solver Manager
                               For the convergence criteria, an RMS value of at least 1e-05 is usually required for adequate
                               convergence, but the default value is sufficient for demonstration purposes.

                               1. Click Solver Control                   .
                               2. Apply the following settings


                                      Tab                         Setting                                             Value
                                      Basic Settings              Convergence Control > Fluid Timescale               Physical Timescale
                                                                  Control > Timescale Control
                                                                  Convergence Control >Fluid Timescale                0.04 [s]
                                                                  Control > Physical Timescale

                               3. Click OK.

Writing the Solver (.def) File
                               While writing the solver file, you will use the Summarize Interface Data option to display
                               information about the connection type used for each domain interface.

                               1. Click Write Solver File                    .
                               2. Apply the following settings


                                      Setting                                                           Value
                                      File name                                                         CatConv.def
                                      Summarize Interface Data                                          (Selected)
                                      Quit CFX–Pre       *                                              (Selected)

                                           *.    If using ANSYS CFX-Pre in Standalone Mode.

                               3. Ensure Start Solver Manager is selected and click Save.
                               4. Once ANSYS CFX-Solver Manager launches, return to ANSYS CFX-Pre.
                                  The Interface Summary dialog box is displayed. This displays information related to the
                                  summary of interface connections.
                               5. Click OK.
                               6. If using Standalone Mode, quit ANSYS CFX-Pre, saving the simulation (.cfx) file at your
                                  discretion.



Obtaining a Solution using ANSYS CFX-Solver Manager
                               When ANSYS CFX-Pre has shut down and the ANSYS CFX-Solver Manager has started, you
                               can obtain a solution to the CFD problem by following the instructions below:
                               1. Ensure Define Run is displayed.
                               2. Click Start Run.
                                  ANSYS CFX-Solver runs and attempts to obtain a solution. This can take a long time
                                  depending on your system. Eventually a dialog box is displayed.


ANSYS CFX Tutorials. ANSYS CFX Release 11.0. © 1996-2006 ANSYS Europe, Ltd. All rights reserved.                                           Page 193
Contains proprietary and confidential information of ANSYS, Inc. and its subsidiaries and affiliates.
Tutorial 10: Flow in a Catalytic Converter: Viewing the Results in ANSYS CFX-Post
                    3. Click Yes to post-process the results.
                    4. If using Standalone Mode, quit ANSYS CFX-Solver Manager.



Viewing the Results in ANSYS CFX-Post
                    When ANSYS CFX-Post opens, you will need to experiment with the Edge Angle setting for
                    the Wireframe object in order to view an appropriate amount of the mesh.
                    Under the Outline tab, several interface boundaries are available. The two connections
                    between the catalyst housing mesh and the mesh for the inlet and outlet pipes have two
                    interface boundaries each, one for each side of the connection.
                    1. Zoom in so the geometry fills the viewer.
                    2. In the Outline tree view, edit InletSide Side 1.
                    3. Apply the following settings


                            Tab                               Setting                                                    Value
                            Render                            Draw Faces                                                 (Cleared)
                                                              Draw Lines                                                 (Selected)
                                                              Draw Lines > Color Mode                                    User Specified
                                                              Draw Lines > Line Color                                    (Red)

                    4. Click Apply.
                    5. In the Outline tree view, edit InletSide Side 2.
                    6. Apply the following settings


                            Tab                               Setting                                                    Value
                            Render                            Draw Faces                                                 (Cleared)
                                                              Draw Lines                                                 (Selected)
                                                              Draw Lines > Color Mode                                    User Specified
                                                              Draw Lines > Line Color                                    (Green)

                    7. Click Apply.
                    8. In the Outline tree view, clear Wireframe to hide it.
                    9. Right-click a blank area in the viewer and select Predefined Camera > View Towards
                       -Z.
                    You should now have a clear view of the tetrahedral / prism and hexahedral mesh on each
                    side of the interface. The General Grid Interface (GGI) capability of ANSYS CFX was used to
                    produce a connection between these two dissimilar meshes before the solution was
                    calculated. Notice that there are more tetrahedral / prism elements than hexahedral
                    elements and that the extent of the two meshes is not quite the same (this is most
                    noticeable on the curved edges). The extent of each side of the interface does not have to
                    match to allow a GGI connection to be made.


Page 194         ANSYS CFX Tutorials. ANSYS CFX Release 11.0. © 1996-2006 ANSYS Europe, Ltd. All rights reserved.
                 Contains proprietary and confidential information of ANSYS, Inc. and its subsidiaries and affiliates.
Tutorial 10: Flow in a Catalytic Converter: Viewing the Results in ANSYS CFX-Post

Creating User Locations and Plots
                               1. In the Outline tree view, select Wireframe to show it.
                               2. In the Outline tree view, clear both InletSide Side 1 and InletSide Side 2.

Creating a Slice Plane
                               1. Create a new plane named Plane 1.
                               2. Apply the following settings


                                      Tab                         Setting                               Value
                                      Geometry                    Definition > Method                   ZX Plane
                                      Color                       Mode                                  Variable
                                                                  Variable                              Pressure

                               3. Click Apply.
                               4. Right-click a blank area in the viewer and select Predefined Camera > View Towards
                                  -Y.

Creating a Contour Plot
                               The pressure falls steadily throughout the main body of the catalytic converter. You can
                               confirm this with a contour plot.
                               1. Clear Plane 1 in the Outline tab.
                               2. Create a new contour plot named Contour 1.
                               3. Apply the following settings


                                      Tab                         Setting                               Value
                                      Geometry                    Locations                             Plane 1
                                                                  Variable                              Pressure
                                                                  # of Contours                         30
                                      Render                      Draw Faces                            (Cleared)

                               4. Click Apply.

Creating a Vector Plot Using the Slice Plane
                               1. Create a new vector plot named Vector 1.
                               2. Apply the following settings


                                      Tab                         Setting                               Value
                                      Geometry                    Locations                             Plane 1
                                      Symbol                      Symbol Size                           0.1
                                                                  Normalize Symbols                     (Selected)

                               3. Click Apply.

ANSYS CFX Tutorials. ANSYS CFX Release 11.0. © 1996-2006 ANSYS Europe, Ltd. All rights reserved.                         Page 195
Contains proprietary and confidential information of ANSYS, Inc. and its subsidiaries and affiliates.
Tutorial 10: Flow in a Catalytic Converter: Viewing the Results in ANSYS CFX-Post
                    Notice the flow separates from the walls, where the inlet pipe expands into the flange,
                    setting up a recirculation zone. The flow is uniform through the catalyst housing.
                    Suppose for now that you want to see if the pressure drop is linear by plotting a line graph
                    of pressure against the z-coordinate. In this case you will use ANSYS CFX-Post to produce the
                    graph, but you could also export the data, then read it into any standard plotting package.
                    Graphs are produced using the chart object, but before you can create the chart you must
                    define the points at which you require the data. To define a set of points in a line, you can
                    use the polyline object.

Creating a Polyline
                    The Method used to create the polyline can be From File, Boundary Intersection or
                    From Contour. If you select From File, you must specify a file containing point definitions
                    in the required format.
                    In this tutorial, you will use the Boundary Intersection method. This creates a polyline
                    from the intersecting line between a boundary object and a location (e.g., between a wall
                    and a plane). The points on the polyline are where the intersecting line cuts through a
                    surface mesh edge.
                    You will be able to see the polyline following the intersecting line between the wall, inlet
                    and outlet boundaries and the slice plane.
                    1. In the Outline tree view, clear Contour 1 and Vector 1.
                    2. Create a new polyline named Polyline 1.
                    3. Apply the following settings


                            Tab                         Setting                                                 Value
                            Geometry                    Method                                                  Boundary Intersection
                                                        Boundary List                                           CatConv Default, Inlet, Outlet*
                                                        Intersect With                                          Plane 1
                            Color                       Color                                                   (Yellow)
                            Render                      Line Width                                              3
                                 *.    Click the ellipsis icon to select multiple items using the <Ctrl> key.

                    4. Click Apply.
                    5. Right-click a blank area in the viewer and select Predefined Camera > Isometric View
                       (Y up).

Creating a Chart
                    Now that a polyline has been defined, a chart can be created. Charts are defined by creating
                    chart line objects. A chart line is listed in the tree view beneath the chart object to which it
                    belongs.
                    1. Create a new chart named Chart 1.
                    2. Apply the following settings

Page 196         ANSYS CFX Tutorials. ANSYS CFX Release 11.0. © 1996-2006 ANSYS Europe, Ltd. All rights reserved.
                 Contains proprietary and confidential information of ANSYS, Inc. and its subsidiaries and affiliates.
Tutorial 10: Flow in a Catalytic Converter: Viewing the Results in ANSYS CFX-Post


                                      Tab                         Setting                               Value
                                      Chart                       Title                                 Pressure Drop through a Catalytic
                                                                                                        Converter
                                      Chart Line 1                Line Name                             Pressure Drop
                                                                  Location                              Polyline 1
                                                                  X Axis > Variable                     Z
                                                                  Y Axis > Variable                     Pressure
                                                                  Appearance > Symbols                  Rectangle
                                      Appearance                  Sizes > Line                          3

                               3. Click Apply.
                                  Through the main body of the catalytic converter you can see that the pressure drop is
                                  linear. This is in the region from approximately Z=0.05 to Z=0.25. The two lines show the
                                  pressure on each side of the wall. You can see a noticeable difference in pressure
                                  between the two walls on the inlet side of the housing (at around Z=0.25).
                               4. If required, in the Outline tree view, select Contour 1, Polyline 1, and Vector 1.
                               5. Click the 3D Viewer tab, then right-click a blank area and select Predefined Camera >
                                  View Towards +Y.
                                  You should now see that the flow enters the housing from the inlet pipe at a slight angle,
                                  producing a higher pressure on the high X wall of the housing.
                               6. Under Report, expand Chart 1, and edit Chart Line 1.
                               7. Apply the following settings


                                      Tab                         Setting                               Value
                                      Chart Line 1                X Axis > Variable                     Chart Count*
                                           *.    This is the data point number (e.g. 1,2,3,4...), it does NOT represent the distance
                                                 between each point along the polyline.

                               8. Click Apply.

Exporting Data
                               1. From the main menu, select File > Export.
                               2. Apply the following settings


                                      Tab                         Setting                               Value
                                      Options                     Locations                             Polyline 1
                                                                  Export Geometry Information           (Selected)*
                                                                  Select Variables                      Pressure
                                      Formatting                  Precision                             3
                                           *.    This ensures X, Y, and Z to be sent to the output file.

                               3. Click Save.


ANSYS CFX Tutorials. ANSYS CFX Release 11.0. © 1996-2006 ANSYS Europe, Ltd. All rights reserved.                                 Page 197
Contains proprietary and confidential information of ANSYS, Inc. and its subsidiaries and affiliates.
Tutorial 10: Flow in a Catalytic Converter: Viewing the Results in ANSYS CFX-Post
                          The file export.csv will be written to the current working directory. This file can be
                          opened in any text editor. You can use the exported data file to plot charts in other
                          software.
                    4. When finished, quit ANSYS CFX-Post.




Page 198         ANSYS CFX Tutorials. ANSYS CFX Release 11.0. © 1996-2006 ANSYS Europe, Ltd. All rights reserved.
                 Contains proprietary and confidential information of ANSYS, Inc. and its subsidiaries and affiliates.
Tutorial 11:
Non-Newtonian Fluid Flow in
an Annulus

Introduction
                               This tutorial includes:
                               •     Tutorial 11 Features (p. 200)
                               •     Overview of the Problem to Solve (p. 201)
                               •     Defining a Simulation in ANSYS CFX-Pre (p. 201)
                               •     Obtaining a Solution using ANSYS CFX-Solver Manager (p. 205)
                               •     Viewing the Results in ANSYS CFX-Post (p. 206)

                               If this is the first tutorial you are working with, it is important to review the following topics
                               before beginning:
                               •     Setting the Working Directory (p. 1)
                               •     Changing the Display Colors (p. 2)
                               Unless you plan on running a session file, you should copy the sample files used in this
                               tutorial from the installation folder for your software (<CFXROOT>/examples/) to your
                               working directory. This prevents you from overwriting source files provided with your
                               installation. If you plan to use a session file, please refer to Playing a Session File (p. 201).
                               Sample files referenced by this tutorial include:
                               •     NonNewton.pre
                               •     NonNewtonMesh.gtm




ANSYS CFX Tutorials                                                                                                      Page 199
ANSYS CFX Release 11.0. © 1996-2006 ANSYS Europe, Ltd. All rights reserved.
Contains proprietary and confidential information of ANSYS, Inc. and its subsidiaries and affiliates.
Tutorial 11: Non-Newtonian Fluid Flow in an Annulus: Tutorial 11 Features

Tutorial 11 Features
                    This tutorial addresses the following features of ANSYS CFX.


                     Component                                   Feature                                           Details
                     ANSYS CFX-Pre                               User Mode                                         General Mode
                                                                 Simulation Type                                   Steady State
                                                                 Fluid Type                                        General Fluid
                                                                 Domain Type                                       Single Domain
                                                                 Turbulence Model                                  Laminar
                                                                 Heat Transfer                                     None
                                                                 Boundary Conditions                               Symmetry Plane
                                                                                                                   Wall: No-Slip
                                                                                                                   Wall: Moving
                                                                 CEL (CFX Expression Language)
                                                                 Timestep                                          Auto Time Scale
                     ANSYS CFX-Post                              Plots                                             Sampling Plane
                                                                                                                   Slice Plane
                                                                                                                   Vector

                    In this tutorial you will learn about:
                    •     Using CFX Expression Language (CEL) to define the properties of a shear-thickening
                          fluid.
                    •     Using the Moving Wall feature to apply a rotation to the fluid at a wall boundary.




Page 200         ANSYS CFX Tutorials. ANSYS CFX Release 11.0. © 1996-2006 ANSYS Europe, Ltd. All rights reserved.
                 Contains proprietary and confidential information of ANSYS, Inc. and its subsidiaries and affiliates.
Tutorial 11: Non-Newtonian Fluid Flow in an Annulus: Overview of the Problem to Solve

Overview of the Problem to Solve
                               In this example a non-Newtonian, shear-thickening liquid rotates in a 2D eccentric annular
                               pipe gap. The motion, shown by the arrow, is brought about solely by viscous fluid
                               interactions caused by the rotation of the inner pipe.




Defining a Simulation in ANSYS CFX-Pre
                               The following sections describe the simulation setup in ANSYS CFX-Pre.

Playing a Session File
                               If you wish to skip past these instructions, and have ANSYS CFX-Pre set up the simulation
                               automatically, you can select Session > Play Tutorial from the menu in ANSYS CFX-Pre,
                               then run the session file: NonNewton.pre. After you have played the session file as described
                               in earlier tutorials under Playing the Session File and Starting ANSYS CFX-Solver Manager
                               (p. 87), proceed to Obtaining a Solution using ANSYS CFX-Solver Manager (p. 205).

Creating a New Simulation
                               1. Start ANSYS CFX-Pre.
                               2. Select File > New Simulation.
                               3. Select General and click OK.
                               4. Select File > Save Simulation As.
                               5. Under File name, type NonNewton.
                               6. Click Save.

ANSYS CFX Tutorials. ANSYS CFX Release 11.0. © 1996-2006 ANSYS Europe, Ltd. All rights reserved.                    Page 201
Contains proprietary and confidential information of ANSYS, Inc. and its subsidiaries and affiliates.
Tutorial 11: Non-Newtonian Fluid Flow in an Annulus: Defining a Simulation in ANSYS CFX-Pre

Importing the Mesh
                    1. Right-click Mesh and select Import Mesh.
                    2. Apply the following settings


                            Setting                                                             Value
                            File name                                                           NonNewtonMesh.gtm

                    3. Click Open.

Creating an Expression for Shear Rate Dependent Viscosity
                    You can use an expression to define the dependency of fluid properties on other variables.
                    In this case, the fluid does not obey the simple linear Newtonian relationship between shear
                    stress and shear strain rate. The general relationship for the fluid you will model is given by:

                                   n–1
                     µ = Kγ                                                                                                         (Eqn. 1)

                    where γ is the shear strain rate and K and n are constants. For your fluid, n =1.5 and this
                    results in shear-thickening behavior of the fluid, i.e., the viscosity increases with increasing
                    shear strain rate. The shear strain rate is available as a ANSYS CFX-Pre System Variable
                    (sstrnr).
                    In order to describe this relationship using CEL, the dimensions must be consistent on both
                    sides of the equation. Clearly this means that K must have dimensions and requires units to
                    satisfy the equation. If the units of viscosity are kg m^-1 s^-1, and those of γ are s^-1, then
                    the expression is consistent if the units of K are kg m^-1 s^(-0.5).
                    1. Create the following expressions, remembering to click Apply after each is defined.


                            Name                                                                Definition
                            K                                                                   10.0 [kg m^-1 s^-0.5]
                            n                                                                   1.5

                          You should bound the viscosity to ensure that it remains physically meaningful. To do
                          so, you will create two additional parameters that will be used to guarantee the value of
                          the shear strain rate.
                    2. Create the following expressions for upper and lower bounds.


                            Name                                                                Definition
                            UpperS                                                              100 [s^-1]
                            LowerS                                                              1.0E-3 [s^-1]
                            ViscEqn                                                             K*(min(UpperS,max(sstrnr,LowerS))^(n-1))

                    3. Close the Expressions tab.


Page 202         ANSYS CFX Tutorials. ANSYS CFX Release 11.0. © 1996-2006 ANSYS Europe, Ltd. All rights reserved.
                 Contains proprietary and confidential information of ANSYS, Inc. and its subsidiaries and affiliates.
Tutorial 11: Non-Newtonian Fluid Flow in an Annulus: Defining a Simulation in ANSYS CFX-Pre

Creating a New Fluid
                               1. Create a new material named myfluid.
                               2. Apply the following settings


                                      Tab                            Setting                                              Value
                                      Basic Settings                 Thermodynamic State                                  (Selected)
                                      Material Properties            Equation of State > Molar Mass                       1 [kg kmol^-1]*
                                                                     Equation of State > Density                          1.0E+4 [kg m^-3]
                                                                     Specific Heat Capacity                               (Selected)
                                                                     Specific Heat Capacity > Specific Heat Capacity      0 [J kg^-1 K^-1]†
                                                                     Reference State                                      (Selected)
                                                                     Reference State > Option                             Specified Point
                                                                     Reference State > Ref. Temperature                   25 [C]
                                                                     Reference State > Reference Pressure                 1 [atm]
                                                                     Transport Properties > Dynamic Viscosity             (Selected)
                                                                     Transport Properties > Dynamic Viscosity >           ViscEqn
                                                                     Dynamic Viscosity
                                           *.    This is not the correct Molar Mass value, but this material property will not be used
                                                 by the ANSYS CFX-Solver for this case. In other cases it will be used.
                                           †.    This is not the correct value for specific heat, but this property will not be used in
                                                 the ANSYS CFX-Solver.

                               3. Click OK.

Creating the Domain

                               1. Click Domain                    and set the name to NonNewton.
                               2. Apply the following settings to NonNewton


                                      Tab                     Setting                                             Value
                                      General                 Basic Settings > Fluids List                        myfluid
                                      Options                 Domain Models > Pressure > Reference Pressure 1 [atm]
                                      Fluid Models            Heat Transfer > Option                              Isothermal
                                                              Heat Transfer > Fluid Temperature                   25 C
                                                              Turbulence > Option                                 None (Laminar)

                               3. Click OK.

Creating the Boundary Conditions
Wall Boundary                  1. Create a new boundary condition named rotwall.
                               2. Apply the following settings



ANSYS CFX Tutorials. ANSYS CFX Release 11.0. © 1996-2006 ANSYS Europe, Ltd. All rights reserved.                                       Page 203
Contains proprietary and confidential information of ANSYS, Inc. and its subsidiaries and affiliates.
Tutorial 11: Non-Newtonian Fluid Flow in an Annulus: Defining a Simulation in ANSYS CFX-Pre


                            Tab                         Setting                                                          Value
                            Basic Settings              Boundary Type                                                    Wall
                                                        Location                                                         rotwall
                            Boundary Details            Wall Influence on Flow > Wall Velocity                           (Selected)
                                                        Wall Influence on Flow > Wall Velocity >                         Rotating Wall
                                                        Option
                                                        Wall Influence on Flow > Wall Velocity >                         31.33 [rev min^-1]
                                                        Angular Velocity

                    3. Click OK.

Symmetry Plane 1. Create a new boundary condition named SymP1.
Boundary       2. Apply the following settings


                            Tab                         Setting                                                          Value
                            Basic Settings              Boundary Type                                                    Symmetry
                                                        Location                                                         SymP1

                    3. Click OK.
                    4. Create a new boundary condition named SymP2.
                    5. Apply the following settings


                            Tab                         Setting                                                          Value
                            Basic Settings              Boundary Type                                                    Symmetry
                                                        Location                                                         SymP2

                    6. Click OK.
                          The outer annulus surfaces will default to the no-slip stationary wall boundary
                          condition.

Setting Initial Values
                    A reasonable initial guess for the velocity field is a value of zero throughout the domain.

                    1. Click Global Initialization                     .
                    2. Apply the following settings


                            Tab            Setting                                                                                 Value
                            Global         Initial Conditions > Cartesian Velocity Components > Option Automatic with
                            Settings                                                                   Value
                                           Initial Conditions > Cartesian Velocity Components > U                                  0 [m s^-1]
                                           Initial Conditions > Cartesian Velocity Components > V                                  0 [m s^-1]
                                           Initial Conditions > Cartesian Velocity Components > W                                  0 [m s^-1]

                    3. Click OK.

Page 204         ANSYS CFX Tutorials. ANSYS CFX Release 11.0. © 1996-2006 ANSYS Europe, Ltd. All rights reserved.
                 Contains proprietary and confidential information of ANSYS, Inc. and its subsidiaries and affiliates.
Tutorial 11: Non-Newtonian Fluid Flow in an Annulus: Obtaining a Solution using ANSYS CFX-Solver Manager

Setting Solver Control

                               1. Click Solver Control                    .
                               2. Apply the following settings


                                      Tab                         Setting                                  Value
                                      Basic Settings              Advection Scheme > Option                Specific Blend Factor
                                                                  Advection Scheme > Blend Factor          1*
                                                                  Convergence Control > Max. Iterations    50
                                                                  Convergence Criteria > Residual Target   1e-05
                                           *.    This is the most accurate but least robust advection scheme.

                               3. Click OK.

Writing the Solver (.def) File
                               1. Click Write Solver File                     .
                               2. Apply the following settings:


                                      Setting                                           Value
                                      File name                                         NonNewton.def
                                      Quit CFX–Pre       *                              (Selected)

                                           *.    If using ANSYS CFX-Pre in Standalone Mode.

                               3. Ensure Start Solver Manager is selected and click Save.
                               4. If using Standalone Mode, quit ANSYS CFX-Pre, saving the simulation (.cfx) file at your
                                  discretion.



Obtaining a Solution using ANSYS CFX-Solver Manager
                               When ANSYS CFX-Pre has shut down and the ANSYS CFX-Solver Manager has started, you
                               can obtain a solution to the CFD problem by following the instructions below:
                               1. Ensure Define Run is displayed.
                               2. Click Start Run.
                                  ANSYS CFX-Solver runs and attempts to obtain a solution. This can take a long time
                                  depending on your system. Eventually a dialog box is displayed.
                               3. Click Yes to post-process the results.
                               4. If using Standalone Mode, quit ANSYS CFX-Solver Manager.




ANSYS CFX Tutorials. ANSYS CFX Release 11.0. © 1996-2006 ANSYS Europe, Ltd. All rights reserved.                              Page 205
Contains proprietary and confidential information of ANSYS, Inc. and its subsidiaries and affiliates.
Tutorial 11: Non-Newtonian Fluid Flow in an Annulus: Viewing the Results in ANSYS CFX-Post

Viewing the Results in ANSYS CFX-Post
                    In this tutorial you have used CEL to create an expression for the dynamic viscosity. If you
                    now perform calculations or color graphics objects using the Dynamic Viscosity variable, its
                    values will have been calculated from the expression you defined in ANSYS CFX-Pre.
                    These steps instruct the user on how to create a vector plot to show the velocity values in
                    the domain.
                    1. Right-click a blank area in the viewer and select Predefined Camera > View Towards
                       -Z from the shortcut menu.
                    2. Create a new plane named Plane 1.
                    3. Apply the following settings


                            Tab                         Setting                                                          Value
                            Geometry                    Definition > Method                                              Point and Normal
                                                        Definition > Point                                               0, 0, 0.02
                                                        Definition > Normal                                              0, 0, 1
                                                        Plane Bounds > Type                                              Circular
                                                        Plane Bounds > Radius                                            0.3 [m]
                                                        Plane Type                                                       Sample
                                                        Plane Type > R Samples                                           32
                                                        Plane Type > Theta Samples                                       24
                            Render                      Draw Faces                                                       (Cleared)

                    4. Click Apply.
                    5. Create a new vector plot named Vector 1.
                    6. Apply the following settings


                            Tab                         Setting                                                          Value
                            Geometry                    Definition > Locations                                           Plane 1
                                                        Definition > Variable                                            Velocity
                            Symbol                      Symbol Size                                                      3

                    7. Click Apply.
                    8. Try creating some plots of your own, including one that shows the variation of dynamic
                       viscosity.
                    9. When you have finished, quit ANSYS CFX-Post.




Page 206         ANSYS CFX Tutorials. ANSYS CFX Release 11.0. © 1996-2006 ANSYS Europe, Ltd. All rights reserved.
                 Contains proprietary and confidential information of ANSYS, Inc. and its subsidiaries and affiliates.
Tutorial 12:
Flow in an Axial Rotor/Stator

Introduction
                               This tutorial includes:
                               •     Tutorial 12 Features (p. 208)
                               •     Overview of the Problem to Solve (p. 209)
                               •     Defining a Frozen Rotor Simulation in ANSYS CFX-Pre (p. 210)
                               •     Obtaining a Solution to the Frozen Rotor Model (p. 214)
                               •     Viewing the Frozen Rotor Results in ANSYS CFX-Post (p. 215)
                               •     Setting up a Transient Rotor-Stator Calculation (p. 216)
                               •     Obtaining a Solution to the Transient Rotor-Stator Model (p. 219)
                               •     Viewing the Transient Rotor-Stator Results in ANSYS CFX-Post (p. 220)

                               If this is the first tutorial you are working with it is important to review the following topics
                               before beginning:
                               •     Setting the Working Directory (p. 1)
                               •     Changing the Display Colors (p. 2)
                               Unless you plan on running a session file, you should copy the sample files used in this
                               tutorial from the installation folder for your software (<CFXROOT>/examples/) to your
                               working directory. This prevents you from overwriting source files provided with your
                               installation. If you plan to use a session file, please refer to Playing a Session File (p. 211).
                               Sample files referenced by this tutorial include:
                               •     Axial.pre
                               •     AxialIni.pre
                               •     AxialIni_001.res
                               •     rotor.grd
                               •     stator.gtm



ANSYS CFX Tutorials                                                                                                      Page 207
ANSYS CFX Release 11.0. © 1996-2006 ANSYS Europe, Ltd. All rights reserved.
Contains proprietary and confidential information of ANSYS, Inc. and its subsidiaries and affiliates.
Tutorial 12: Flow in an Axial Rotor/Stator: Tutorial 12 Features

Tutorial 12 Features
                     This tutorial addresses the following features of ANSYS CFX.


                      Component                                   Feature                                           Details
                      ANSYS CFX-Pre                               User Mode                                         Turbo Wizard
                                                                  Simulation Type                                   Steady State
                                                                                                                    Transient
                                                                  Fluid Type                                        Ideal Gas
                                                                  Domain Type                                       Multiple Domain
                                                                                                                    Rotating Frame of Reference
                                                                  Turbulence Model                                  k-Epsilon
                                                                  Heat Transfer                                     Total Energy
                                                                  Boundary Conditions                               Inlet (Subsonic)
                                                                                                                    Outlet (Subsonic)
                                                                                                                    Wall: No-Slip
                                                                                                                    Wall: Adiabatic
                                                                  Domain Interfaces                                 Frozen Rotor
                                                                                                                    Periodic
                                                                                                                    Transient Rotor Stator
                                                                  Timestep                                          Physical Time Scale
                                                                                                                    Transient Example
                                                                  Transient Results File
                      ANSYS CFX-Solver Manager                    Restart
                                                                  Parallel Processing
                      ANSYS CFX-Post                              Plots                                             Animation
                                                                                                                    Isosurface
                                                                                                                    Surface Group
                                                                  Turbo Post
                                                                  Other                                             Changing the Color Range
                                                                                                                    Chart Creation
                                                                                                                    Instancing Transformation
                                                                                                                    MPEG Generation
                                                                                                                    Quantitative Calculation
                                                                                                                    Time Step Selection
                                                                                                                    Transient Animation

                     In this tutorial you will learn about:
                     •     Using the Turbo Wizard in ANSYS CFX-Pre to quickly specify a turbomachinery
                           application.
                     •     Multiple Frames of Reference and Generalized Grid Interface.
                     •     Using a Frozen Rotor interface between the rotor and stator domains.
                     •     Modifying an existing simulation.
                     •     Setting up a transient calculation.
                     •     Using a Transient Rotor-Stator interface condition to replace a Frozen Rotor interface.

Page 208          ANSYS CFX Tutorials. ANSYS CFX Release 11.0. © 1996-2006 ANSYS Europe, Ltd. All rights reserved.
                  Contains proprietary and confidential information of ANSYS, Inc. and its subsidiaries and affiliates.
Tutorial 12: Flow in an Axial Rotor/Stator: Overview of the Problem to Solve
                               •     Creating a transient animation showing domain movement in ANSYS CFX-Post.



Overview of the Problem to Solve
                               The following tutorial demonstrates the versatility of GGI and MFR in ANSYS CFX-Pre by
                               combining two dissimilar meshes. The first mesh to be imported (the rotor) was created in
                               CFX-TASCflow. This is combined with a second mesh (the stator) which was created using
                               ANSYS CFX-Mesh.
                               The geometry to be modeled consists of a single stator blade passage and two rotor blade
                               passages. The rotor rotates about the Z-axis while the stator is stationary. Periodic
                               boundaries are used to allow only a small section of the full geometry to be modeled.
                               Figure 1                 Geometry subsection


                                                                                                                    Outflow

                                       Shroud




                                       Stator Blade



                                                                                                              Rotor Blade




                                                                                                        Hub




                                                 Inflow


                               At the change in reference frame between the rotor and stator, two different interface
                               models are considered. First a solution is obtained using a Frozen Rotor model. After
                               viewing the results from this simulation, the latter is modified to use a transient rotor-stator
                               interface model. The Frozen Rotor solution is used as an initial guess for the transient
                               rotor-stator simulation.




ANSYS CFX Tutorials. ANSYS CFX Release 11.0. © 1996-2006 ANSYS Europe, Ltd. All rights reserved.                              Page 209
Contains proprietary and confidential information of ANSYS, Inc. and its subsidiaries and affiliates.
Tutorial 12: Flow in an Axial Rotor/Stator: Defining a Frozen Rotor Simulation in ANSYS CFX-Pre
                    The full geometry contains 60 stator blades and 113 rotor blades. To help you visualize how
                    the modeled geometry fits into the full geometry, the following figure shows approximately
                    half of the full geometry. The Inflow and Outflow labels show the location of the modeled
                    section in .




                                                             Outflow




                       Inflow



                                        Axis of Rotation



                    As previously indicated, the modeled geometry contains two rotor blades and one stator
                    blade. This is an approximation to the full geometry since the ratio of rotor blades to stator
                    blades is close to, but not exactly, 2:1. In the stator blade passage a 6° section is being
                    modeled (360°/60 blades), while in the rotor blade passage a 6.372° section is being
                    modeled (2*360°/113 blades). This produces a pitch ratio at the interface between the stator
                    and rotor of 0.942. As the flow crosses the interface it is scaled to allow this type of geometry
                    to be modeled. This results in an approximation of the inflow to the rotor passage.
                    Furthermore, the flow across the interface will not appear continuous due to the scaling
                    applied.
                    The periodic boundary conditions will introduce an additional approximation since they
                    cannot be periodic when a pitch change occurs.
                    You should always try to obtain a pitch ratio as close to 1 as possible in your model to
                    minimize approximations, but this must be weighed against computational resources. A full
                    machine analysis can be performed (modeling all rotor and stator blades) which will always
                    eliminate any pitch change, but will require significant computational time. For this
                    rotor/stator geometry, a 1/4 machine section (28 rotor blades, 15 stator blades) would
                    produce a pitch change of 1.009, but this would require a model about 15 times larger than
                    in this tutorial example.



Defining a Frozen Rotor Simulation in ANSYS CFX-Pre
                    The following sections describe the simulation setup in ANSYS CFX-Pre.
Page 210         ANSYS CFX Tutorials. ANSYS CFX Release 11.0. © 1996-2006 ANSYS Europe, Ltd. All rights reserved.
                 Contains proprietary and confidential information of ANSYS, Inc. and its subsidiaries and affiliates.
Tutorial 12: Flow in an Axial Rotor/Stator: Defining a Frozen Rotor Simulation in ANSYS CFX-Pre

Playing a Session File
                               If you wish to skip past these instructions, and have ANSYS CFX-Pre set up the simulation
                               automatically, you can select Session > Play Tutorial from the menu in ANSYS CFX-Pre,
                               then run the session file: AxialIni.pre. After you have played the session file as described
                               in earlier tutorials under Playing the Session File and Starting ANSYS CFX-Solver Manager
                               (p. 87), proceed to Obtaining a Solution to the Frozen Rotor Model (p. 214).

Creating a New Simulation
                               This tutorial will use the Turbomachinery wizard in ANSYS CFX-Pre. This pre-processing
                               mode is designed to simplify the setup of turbomachinery simulations.
                               1. Start ANSYS CFX-Pre.
                               2. Select File > New Simulation.
                               3. Select Turbomachinery and click OK.
                               4. Select File > Save Simulation As.
                               5. Under File name, type AxialIni.
                               6. Click Save.

Basic Settings
                               1. Set Machine Type to Axial Turbine.
                               2. Click Next.

Component Definition
                               Two new components are required. As they are created, meshes are imported.
                               1. Right-click in the blank area and select New Component from the shortcut menu.
                               2. Create a new component of type Stationary, named S1.
                               3. Apply the following setting


                                      Setting                                                           Value
                                      Mesh > File                                                       stator.gtm*
                                           *.    You may have to select the CFX Mesh option under File Type.

                               4. Create a new component of type Rotating, named R1.
                               5. Apply the following settings




ANSYS CFX Tutorials. ANSYS CFX Release 11.0. © 1996-2006 ANSYS Europe, Ltd. All rights reserved.                      Page 211
Contains proprietary and confidential information of ANSYS, Inc. and its subsidiaries and affiliates.
Tutorial 12: Flow in an Axial Rotor/Stator: Defining a Frozen Rotor Simulation in ANSYS CFX-Pre


                            Setting                                                                    Value
                            Component Type > Value                                                     523.6 [radian s^-1]
                            Mesh File > File                                                           rotor.grd*
                                 *.    You may have to select the CFX-TASCflow option under File Type.

                    Note: The components must be ordered as above (stator then rotor) in order for the
                    interface to be created correctly. The order of the two components can be changed by right
                    clicking on S1 and selecting Move Component Up.

                          When a component is defined, Turbo Mode will automatically select a list of regions that
                          correspond to certain boundary condition types. This information should be reviewed
                          in the Region Information section to ensure that all is correct. This information will be
                          used to help set up boundary conditions and interfaces. The upper case turbo regions
                          that are selected (e.g., HUB) correspond to the region names in the CFX-TASCflow grd
                          file. CFX-TASCflow turbomachinery meshes use these names consistently.
                    6. Click Next.

Physics Definition
                    In this section, you will set properties of the fluid domain and some solver parameters.
                    1. Apply the following settings


                            Tab                    Setting                                                                   Value
                            Physics                Fluid                                                                     Air Ideal Gas
                            Definition             Simulation Type > Type                                                    Steady State
                                                   Model Data > Reference Pressure                                           0.25 [atm]
                                                   Model Data > Heat Transfer                                                Total Energy
                                                   Model Data > Turbulence                                                   k-Epsilon
                                                   Boundary Templates > P-Total Inlet Mass Flow Outlet                       (Selected)
                                                   Boundary Templates > P-Total                                              0 [atm]
                                                   Boundary Templates > T-Total                                              340 [K]
                                                   Boundary Templates > Mass Flow Rate                                       0.06 [kg s^-1]
                                                   Interface > Default Type                                                  Frozen Rotor
                                                   Solver Parameters > Convergence Control                                   Physical Timescale
                                                   Solver Parameters > Physical Timescale                                    0.002 [s]*

                                 *.    This time scale is approximately equal to 1 /                       ω , which is often appropriate for
                                       rotating machinery applications.

                    2. Click Next.




Page 212         ANSYS CFX Tutorials. ANSYS CFX Release 11.0. © 1996-2006 ANSYS Europe, Ltd. All rights reserved.
                 Contains proprietary and confidential information of ANSYS, Inc. and its subsidiaries and affiliates.
Tutorial 12: Flow in an Axial Rotor/Stator: Defining a Frozen Rotor Simulation in ANSYS CFX-Pre

Interface Definition
                               ANSYS CFX-Pre will try to create appropriate interfaces using the region names presented
                               previously in the Region Information section. In this case, you should see that a periodic
                               interface has been generated for both the rotor and the stator. These are required when
                               modeling a small section of the true geometry. An interface is also required to connect the
                               two components together across the frame change.
                               1. Review the various interfaces but do not change them.
                               2. Click Next.

Boundary Definition
                               ANSYS CFX-Pre will try to create appropriate boundary conditions using the region names
                               presented previously in the Region Information section. In this case, you should see a list
                               of boundary conditions that have been generated. They can be edited or deleted in the
                               same way as the interface connections that were set up earlier.
                               1. Review the various boundary definitions but do not change them.
                               2. Click Next.

Final Operations
                               1. Set Operation to Enter General Mode.
                               2. Click Finish.

Writing the Solver (.def) File
                               1. Click Write Solver File                   .
                               2. Apply the following settings:


                                      Setting                                           Value
                                      File name                                         AxialIni.def
                                      Quit CFX–Pre*                                     (Selected)

                                           *.    If using ANSYS CFX-Pre in Standalone Mode.

                               3. Ensure Start Solver Manager is selected and click Save.
                               4. If using Standalone Mode, quit ANSYS CFX-Pre, saving the simulation (.cfx) file at your
                                  discretion.
                               You should see ANSYS CFX-Solver Manager appear.




ANSYS CFX Tutorials. ANSYS CFX Release 11.0. © 1996-2006 ANSYS Europe, Ltd. All rights reserved.                 Page 213
Contains proprietary and confidential information of ANSYS, Inc. and its subsidiaries and affiliates.
Tutorial 12: Flow in an Axial Rotor/Stator: Obtaining a Solution to the Frozen Rotor Model

Obtaining a Solution to the Frozen Rotor Model
                     Compared to previous tutorials, the mesh for this tutorial contains many more nodes
                     (although it is still too coarse to perform a high quality CFD simulation). This results in a
                     corresponding increase in solution time for the problem. Solving this problem in parallel is
                     recommended, if possible. Your machine should have a minimum of 256MB of memory to
                     run this tutorial.
                     More detailed information about setting up ANSYS CFX to run in parallel is available. For
                     details, see Tutorial 5: Flow Around a Blunt Body (p. 109).
                     You can solve this example using Serial, Local Parallel or Distributed Parallel.
                     •     Obtaining a Solution in Serial (p. 214)
                     •     Obtaining a Solution With Local Parallel (p. 214)
                     •     Obtaining a Solution with Distributed Parallel (p. 215)

Obtaining a Solution in Serial
                     If you do not have a license to run ANSYS CFX in parallel you can run in serial by clicking the
                     Start Run button when ANSYS CFX-Solver Manager has opened up. Solution time in serial
                     is approximately 45 minutes on a 1GHz processor.
                     1. Click Start Run on the Define Run dialog box.
                        ANSYS CFX-Solver runs and attempts to obtain a solution. This can take a long time
                        depending on your system. Eventually a dialog box is displayed.
                     2. Click Yes to start ANSYS CFX-Post.
                     3. If using Standalone Mode, quit ANSYS CFX-Solver Manager.
                     When you are finished, proceed to Viewing the Frozen Rotor Results in ANSYS CFX-Post
                     (p. 215).

Obtaining a Solution With Local Parallel
                     To run in local parallel, the machine you are on must have more than one processor.
                     1. Set Run Mode to PVM Local Parallel in the Define Run dialog box.
                        This is the recommended method for most applications.

                     2. If required, click Add Partition                          to add more partitions.
                           By default, 2 partitions are assigned.
                     3. Click Start Run.
                     4. Click Yes to post-process the results when the completion message appears at the end
                        of the run.
                     5. If using Standalone Mode, quit ANSYS CFX-Solver Manager.
                     When you are finished, proceed to Viewing the Frozen Rotor Results in ANSYS CFX-Post
                     (p. 215).




Page 214          ANSYS CFX Tutorials. ANSYS CFX Release 11.0. © 1996-2006 ANSYS Europe, Ltd. All rights reserved.
                  Contains proprietary and confidential information of ANSYS, Inc. and its subsidiaries and affiliates.
Tutorial 12: Flow in an Axial Rotor/Stator: Viewing the Frozen Rotor Results in ANSYS CFX-Post

Obtaining a Solution with Distributed Parallel
                               1. Set Run Mode to PVM Distributed Parallel in the Define Run dialog box.
                                  One partition should already be assigned to the host that you are logged into.

                               2. Click Insert Host                  to specify a new parallel host.
                               3. In Select Parallel Hosts, select another host name (this should be a machine that you
                                  can log into using the same user name).
                               4. Click Add, and then Close.
                                  The names of the two selected machines should be listed in the Host Name column of
                                  the Define Run dialog box.
                               5. Click Start Run.
                               6. Click Yes to post-process the results when the completion message appears at the end
                                  of the run.
                               7. If using Standalone Mode, quit ANSYS CFX-Solver Manager.



Viewing the Frozen Rotor Results in ANSYS CFX-Post
                               The Turbo-Post feature will be demonstrated in the following sections. This feature is
                               designed to greatly reduce the effort taken to post-process turbomachinery simulations.

Initializing Turbo-Post
                               To initialize Turbo-Post, the properties of each component must be entered. This includes
                               entering information about the inlet, outlet, hub, shroud, blade and periodic regions.
                               1. Click the Turbo tab.
                                  The Turbo Initialization dialog box is displayed, and asks you whether you want to
                                  auto-initialize all components.

                               Note: If you do not see the Turbo Initialization dialog box, or as an alternative to using that
                               dialog box, you can initialize all components by clicking the Initialize All Components
                               button which is visible initially by default, or after double-clicking the Initialization object
                               in the Turbo tree view.
                               2. Click Yes.
                                     The Turbo tree view shows the two components in domains R1 and S1. In this case, the
                                     initialization works without problems. If there was a problem initializing a component,
                                     this would be indicated in the tree view.

Viewing Three Domain Passages
                               Next, you will create an instancing transformation to plot three blade passages for the stator
                               and six blade passages for the rotor.
                               The instancing properties of each domain have already been entered during Initialization.
                               In the next steps, you will create a surface group plot to color the blade and hub surfaces
                               with the same variable.

ANSYS CFX Tutorials. ANSYS CFX Release 11.0. © 1996-2006 ANSYS Europe, Ltd. All rights reserved.                     Page 215
Contains proprietary and confidential information of ANSYS, Inc. and its subsidiaries and affiliates.
Tutorial 12: Flow in an Axial Rotor/Stator: Setting up a Transient Rotor-Stator Calculation
                     1. From the main menu, select Insert > Location > Surface Group.
                     2. Click OK.
                        The default name is accepted.
                     3. Apply the following settings


                             Tab                    Setting                                        Value
                             Geometry               Locations                                      R1 Blade, R1 Hub, S1 Blade, S1 Hub
                             Color                  Mode                                           Variable
                                                    Variable                                       Pressure

                     4. Click Apply.
                     5. Click the Turbo tab.
                     6. Open Plots > 3D View for editing.
                     7. Apply the following settings


                             Tab                    Setting                                        Value
                             3D View                Instancing > Domain                            R1
                                                    Instancing > # of Copies                       3

                     8. Click Apply.
                     9. Apply the following settings


                             Tab                    Setting                                        Value
                             3D View                Instancing > Domain                            S1
                                                    Instancing > # of Copies                       3

                     10. Click Apply.

Blade Loading Turbo Chart
                     In this section, you will create a plot of pressure around the stator blade at a given spanwise
                     location.
                     1. In the Turbo tree view, double-click Blade Loading.
                        This profile of the pressure curve is typical for turbomachinery applications.
                           When you are finished viewing the chart, quit ANSYS CFX-Post.



Setting up a Transient Rotor-Stator Calculation
                     This section describes the step-by-step definition of the flow physics in ANSYS CFX-Pre. The
                     existing frozen-rotor simulation is modified to define the transient rotor-stator simulation.
                     If you have not already completed the frozen-rotor simulation, please refer to Defining a
                     Frozen Rotor Simulation in ANSYS CFX-Pre (p. 210) before proceeding with the transient
                     rotor-stator simulation.

Page 216          ANSYS CFX Tutorials. ANSYS CFX Release 11.0. © 1996-2006 ANSYS Europe, Ltd. All rights reserved.
                  Contains proprietary and confidential information of ANSYS, Inc. and its subsidiaries and affiliates.
Tutorial 12: Flow in an Axial Rotor/Stator: Setting up a Transient Rotor-Stator Calculation

Playing a Session File
                               If you wish to skip past these instructions, and have ANSYS CFX-Pre set up the simulation
                               automatically, you can select Session > Play Tutorial from the menu in ANSYS CFX-Pre,
                               then run the session file: Axial.pre. After you have played the session file as described in
                               earlier tutorials under Playing the Session File and Starting ANSYS CFX-Solver Manager
                               (p. 87), proceed to Obtaining a Solution to the Transient Rotor-Stator Model (p. 219).

                               Note: The session file creates a new simulation named Axial.cfx and will not modify the
                               existing database. It also copies the required initial values files from the examples directory
                               to the current working directory.

Opening the Existing Simulation
                               This step involves opening the original simulation and saving it to a different location.
                               1. Start ANSYS CFX-Pre.
                               2. Open the results file named AxialIni_001.res.
                               3. Save the simulation as Axial.cfx in your working directory.
                               4. Select Tools > Turbo Mode.
                                     Basic Settings is displayed

Modifying the Physics Definition
                               You need to modify the domain to define a transient simulation. You are going to run for a
                               time interval such that the rotor blades pass through 1 pitch (6.372°) using 10 timesteps.
                               This is generally too few timesteps to obtain high quality results, but is sufficient for tutorial
                               purposes. The timestep size is calculated as follows:
                               Rotational Speed = 523.6 rad/s
                               Rotor Pitch Modelled = 2*(2π/113) = 0.1112 rad
                               Time to pass through 1 pitch = 0.1112/523.6 = 2.124e-4 s
                               Since 10 time steps are used over this interval each timestep should be 2.124e-5 s.
                               1. Click Next.
                                  Component Definition is displayed.
                               2. Click Next.
                                  Physics Definition is displayed.
                               3. Apply the following settings




ANSYS CFX Tutorials. ANSYS CFX Release 11.0. © 1996-2006 ANSYS Europe, Ltd. All rights reserved.                       Page 217
Contains proprietary and confidential information of ANSYS, Inc. and its subsidiaries and affiliates.
Tutorial 12: Flow in an Axial Rotor/Stator: Setting up a Transient Rotor-Stator Calculation


                             Tab                    Setting                                        Value
                             Physics                Fluid                                          Air Ideal Gas
                             Definition
                                                    Simulation Type > Type                         Transient
                                                    Simulation Type > Total Time                   2.124e-4 [s]*
                                                    Simulation Type > Time Steps                   2.124e-5 [s]†
                                                    Interface > Default Type                       Transient Rotor Stator
                                  *.    This gives 10 timesteps of 2.124e-5 s
                                  †.    This timestep will be used until the total time is reached

                     Note: A transient rotor-stator calculation often runs through more than one pitch. In these
                     cases, it may be useful to look at variable data averaged over the time interval required to
                     complete 1 pitch. You can then compare data for each pitch rotation to see if a “steady state”
                     has been achieved, or if the flow is still developing.
                     4. Click Next.
                        Interface Definition is displayed.
                     5. Click Next.
                        Boundary Definition is displayed.
                     6. Click Next.
                        Final Operations is displayed.
                     7. Ensure that Operation is set to Enter General Mode.
                     8. Click Finish.
                           Initial values are required, but will be supplied later using a results file.

Setting Output Control

                     1. Click Output Control                      .
                     2. Click the Trn Results tab.
                     3. Create a new transient result with the name Transient Results 1.
                     4. Apply the following settings to Transient Results 1


                             Setting                                                             Value
                             Option                                                              Selected Variables
                             Output Variables List         *                                     Pressure, Velocity, Velocity in Stn Frame
                             Output Frequency > Option                                           Time Interval
                             Output Frequency > Time Interval                                    2.124e-5 [s]
                                  *.    Use the <Ctrl> key to select more than one variable.

                     5. Click OK.

Writing the Solver (.def) File
                     1. Click Write Solver File                   .

Page 218          ANSYS CFX Tutorials. ANSYS CFX Release 11.0. © 1996-2006 ANSYS Europe, Ltd. All rights reserved.
                  Contains proprietary and confidential information of ANSYS, Inc. and its subsidiaries and affiliates.
Tutorial 12: Flow in an Axial Rotor/Stator: Obtaining a Solution to the Transient Rotor-Stator Model
                                     A warning will appear, due to a lack of initial values.
                               2. Click Yes.
                                  Initial values are required, but will be supplied later using a results file.
                               3. Apply the following settings:


                                      Setting                                           Value
                                      File name                                         Axial.def
                                      Quit CFX–Pre       *                              (Selected)

                                           *.    If using ANSYS CFX-Pre in Standalone Mode.

                               4. Ensure Start Solver Manager is selected and click Save.
                               5. If using Standalone Mode, quit ANSYS CFX-Pre, saving the simulation (.cfx) file at your
                                  discretion.



Obtaining a Solution to the Transient Rotor-Stator Model
                               When the ANSYS CFX-Solver Manager has started you will need to specify an initial values
                               file before starting the ANSYS CFX-Solver.

Serial Solution
                               If you do not have a license, or do not want to run ANSYS CFX in parallel, you can run it in
                               serial. Solution time in serial is similar to the first part of this tutorial.

                               1. Under Initial Values File, click Browse                               .
                               2. Select AxialIni_001.res.
                               3. Click Open.
                               4. Click Start Run.
                               5. You may see a notice that the mesh from the initial values file will be used. This mesh is
                                  the same as in the definition file. Click OK to continue.
                                  ANSYS CFX-Solver runs and attempts to obtain a solution. This can take a long time
                                  depending on your system. Eventually a dialog box is displayed.
                               6. Click Yes to post-process the results when the completion message appears at the end
                                  of the run.
                               7. If using Standalone Mode, quit ANSYS CFX-Solver Manager.
                                     When you are finished, continue with Monitoring the Run (p. 220).

Parallel Solution
                               You can solve this example using either local parallel or distributed parallel, in the same way
                               as in the first part of this tutorial. For details, see Obtaining a Solution to the Frozen Rotor
                               Model (p. 214).




ANSYS CFX Tutorials. ANSYS CFX Release 11.0. © 1996-2006 ANSYS Europe, Ltd. All rights reserved.                     Page 219
Contains proprietary and confidential information of ANSYS, Inc. and its subsidiaries and affiliates.
Tutorial 12: Flow in an Axial Rotor/Stator: Viewing the Transient Rotor-Stator Results in ANSYS CFX-Post

Monitoring the Run
                    During the solution, look for the additional information that is provided for transient
                    rotor-stator runs. Each time the rotor is rotated to its next position, the number of degrees
                    of rotation and the fraction of a pitch moved is given. You should see that after 10 timesteps
                    the rotor has been moved through 1 pitch.



Viewing the Transient Rotor-Stator Results in ANSYS CFX-Post
                    To examine the transient interaction between the rotor and stator, you are going to create
                    a blade-to-blade animation of pressure. A turbo surface will be used as the basis for this plot.

Initializing Turbo-Post
                    1. Click the Turbo tab.
                       The Turbo Initialization dialog box is displayed, and asks you whether you want to
                       auto-initialize all components.
                    Note: If you do not see the Turbo Initialization dialog box, or as an alternative to using that
                    dialog box, you can initialize all components by clicking the Initialize All Components
                    button which is visible initially by default, or after double-clicking the Initialization object
                    in the Turbo tree view.

                    2. Click Yes.
                       Both components (domains) are now being initialized based on the automatically
                       selected turbo regions. When the process is complete, a green turbine icon appears next
                       to each component entry in the list. Also, the viewer displays a green background mesh
                       for each initialized component.
                    3. Double-click Component 1 (S1) and review the automatically-selected turbo regions.

Displaying a Surface of Constant Span
                    1. In the Turbo tree view, double-click Blade-to-Blade.
                          A surface of constant span appears, colored by pressure. This object can be edited and
                          then redisplayed using the details view.

Using Multiple Turbo Viewports
                    1. In the Turbo tree view, double-click Initialization.
                    2. Click Three Views.
                       Left view is 3D View, top right is Blade-to-Blade and bottom right is Meridional view.
                    3. Click Single View.

Creating a Turbo Surface Midway Between the Hub and Shroud
                    1. Create a Turbo Surface from the Insert drop down menu with a Constant Span and
                       value of 0.5.


Page 220         ANSYS CFX Tutorials. ANSYS CFX Release 11.0. © 1996-2006 ANSYS Europe, Ltd. All rights reserved.
                 Contains proprietary and confidential information of ANSYS, Inc. and its subsidiaries and affiliates.
Tutorial 12: Flow in an Axial Rotor/Stator: Viewing the Transient Rotor-Stator Results in ANSYS CFX-Post
                               2. Under the Color panel select Variable and set it to Pressure with a user specified range
                                  of -10000 [Pa] to -7000 [Pa].

Setting up Instancing Transformations
                               Next, you will use instancing transformations to view a larger section of the model. The
                               properties for each domain have already been entered during the initialization phase, so
                               only the number of instances needs to be set.
                               1. In the Turbo tree view, double-click the 3D View object.
                               2. In the Instancing section of the form, set # of Copies to 6 for R1.
                               3. Click Apply.
                               4. In the Instancing section of the form, set # of Copies to 6 for S1.
                               5. Click Apply.
                               6. Return to the Outline tab and ensure that the turbo surface is visible again.

Creating a Transient Animation
                               Start by loading the first timestep:

                               1. Click Timestep Selector                      .
                               2. Select time value 0.
                               3. Click Apply to load the timestep.
                                  The rotor blades move to their starting position. This is exactly 1 pitch from the previous
                                  position so the blades will not appear to move.
                               4. Clear Visibility for Wireframe.
                               5. Position the geometry as shown below, ready for the animation. During the animation
                                  the rotor blades will move to the right. Make sure you have at least two rotor blades out
                                  of view to the left side of the viewer. They will come into view during the animation.




                               6. In the toolbar at the top of the window click Animation                            .

                               7. In the Animation dialog box, click New                                to create KeyFrameNo1.
                               8. Highlight KeyframeNo1, then set # of Frames to 9.
                               9. Use the Timestep Selector to load the final timestep.


ANSYS CFX Tutorials. ANSYS CFX Release 11.0. © 1996-2006 ANSYS Europe, Ltd. All rights reserved.                                 Page 221
Contains proprietary and confidential information of ANSYS, Inc. and its subsidiaries and affiliates.
Tutorial 12: Flow in an Axial Rotor/Stator: Viewing the Transient Rotor-Stator Results in ANSYS CFX-Post

                    10. In the Animation dialog box, click New                                  to create KeyframeNo2.
                    11. Click More Animation Options                            to expand the Animation dialog box.
                    12. Click Options and set Transient Case to TimeValue Interpolation. Click OK.
                        The animation now contains a total of 11 frames (9 intermediate frames plus the two
                        Keyframes), one for each of the available time values.
                    13. In the expanded Animation dialog box, select Save MPEG.

                    14. Click Browse      , next to the Save MPEG box and then set the file name to an
                        appropriate file name.
                    15. If frame 1 is not loaded (shown in the F: text box at the bottom of the Animation dialog
                          box), click To Beginning                      to load it.
                          Wait for ANSYS CFX-Post to finish loading the objects for this frame before proceeding.

                    16. Click Play the animation                         .
                          •      It takes a while for the animation to complete.
                          •      To view the MPEG file, you will need to use a media player that supports the MPEG
                                 format.
                          You will be able to see from the animation, and from the plots created previously, that
                          the flow is not continuous across the interface. This is because a pitch change occurs.
                          The relatively coarse mesh and the small number of timesteps used in the transient
                          simulation also contribute to this. The movie was created with a narrow pressure range
                          compared to the global range which exaggerates the differences across the interface.

Further Postprocessing
                    You can use the Turbo Calculator to produce a report on the performance of the turbine.
                    1. Edit the Gas Turbine Performance macro in the Turbo tree view.
                    2. Set Ref Radius to 0.4575 and leave other settings at their default values.
                    3. Click Calculate.
                    4. Click View Report.




Page 222         ANSYS CFX Tutorials. ANSYS CFX Release 11.0. © 1996-2006 ANSYS Europe, Ltd. All rights reserved.
                 Contains proprietary and confidential information of ANSYS, Inc. and its subsidiaries and affiliates.
Tutorial 13:
Reacting Flow in a Mixing Tube

Introduction
                               This tutorial includes:
                               •     Tutorial 13 Features (p. 223)
                               •     Overview of the Problem to Solve (p. 224)
                               •     Outline of the Process (p. 224)
                               •     Defining a Simulation in ANSYS CFX-Pre (p. 225)
                               •     Obtaining a Solution using ANSYS CFX-Solver Manager (p. 237)
                               •     Viewing the Results in ANSYS CFX-Post (p. 237)

                               If this is the first tutorial you are working with, it is important to review the following topics
                               before beginning:
                               •     Setting the Working Directory (p. 1)
                               •     Changing the Display Colors (p. 2)
                               Unless you plan on running a session file, you should copy the sample files used in this
                               tutorial from the installation folder for your software (<CFXROOT>/examples/) to your
                               working directory. This prevents you from overwriting source files provided with your
                               installation. If you plan to use a session file, please refer to Playing a Session File (p. 225).
                               Sample files referenced by this tutorial include:
                               •     Reactor.pre
                               •     ReactorExpressions.ccl
                               •     ReactorMesh.gtm




Tutorial 13 Features
                               This tutorial addresses the following features of ANSYS CFX.


ANSYS CFX Tutorials                                                                                                      Page 223
ANSYS CFX Release 11.0. © 1996-2006 ANSYS Europe, Ltd. All rights reserved.
Contains proprietary and confidential information of ANSYS, Inc. and its subsidiaries and affiliates.
Tutorial 13: Reacting Flow in a Mixing Tube: Overview of the Problem to Solve


                     Component                                   Feature                                           Details
                     ANSYS CFX-Pre                               User Mode                                         General Mode
                                                                 Simulation Type                                   Steady State
                                                                 Fluid Type                                        Variable Composition Mixture
                                                                 Domain Type                                       Single Domain
                                                                 Turbulence Model                                  k-Epsilon
                                                                 Heat Transfer                                     Thermal Energy
                                                                 Particle Tracking                                 Component Source
                                                                 Boundary Conditions                               Inlet (Subsonic)
                                                                                                                   Outlet (Subsonic)
                                                                                                                   Symmetry Plane
                                                                                                                   Wall: Adiabatic
                                                                 Additional Variables
                                                                 CEL (CFX Expression Language)
                                                                 Timestep                                          Physical Time Scale
                     ANSYS CFX-Post                              Plots                                             Isosurface
                                                                                                                   Slice Plane
                                                                 Other                                             Changing the Color Range

                    In this tutorial you will learn about:
                    •     Creating and using a multicomponent fluid in ANSYS CFX-Pre.
                    •     Using CEL to model a reaction in ANSYS CFX-Pre.
                    •     Using an algebraic additional variable to model a scalar distribution.
                    •     Using a subdomain as the basis for component sources.



Overview of the Problem to Solve
                    Reaction engineering is one of the main core components in the chemical industry.
                    Optimizing reactor design leads to higher yields, lower costs and, as a result, higher profit.
                    This example demonstrates the capability of ANSYS CFX in modeling basic reacting flows
                    using a multicomponent fluid model.



Outline of the Process
                    The model is a mixing tube into which acid and alkali are injected through side holes. The
                    reaction to be modeled is:

                     H 2 SO 4 + 2NaOH → Na 2 SO 4 + 2H 2 O                                                                                 (Eqn. 1)

                    The tube is modeled as an axisymmetric section.



Page 224         ANSYS CFX Tutorials. ANSYS CFX Release 11.0. © 1996-2006 ANSYS Europe, Ltd. All rights reserved.
                 Contains proprietary and confidential information of ANSYS, Inc. and its subsidiaries and affiliates.
Tutorial 13: Reacting Flow in a Mixing Tube: Defining a Simulation in ANSYS CFX-Pre
                               The reaction between acid and alkali is represented as a single step irreversible liquid-phase
                               reaction

                               A+B→C                                                                                    (Eqn. 2)

                               Reagent A (dilute sulphuric acid) is injected through a ring of holes near the start of the
                               tube. As it flows along the tube it reacts with Reagent B (dilute sodium hydroxide) which is
                               injected through a further two rings of holes downstream. The product, C , remains in
                               solution.
                               The composition and pH of the mixture within the tube are principal quantities of interest
                               to be predicted by the model.
                               The flow is assumed to be fully turbulent and turbulence is assumed to have a significant
                               effect on the process. The process is also exothermic.




Defining a Simulation in ANSYS CFX-Pre
                               The following sections describe the simulation setup in ANSYS CFX-Pre.

Playing a Session File
                               If you wish to skip past these instructions, and have ANSYS CFX-Pre set up the simulation
                               automatically, you can select Session > Play Tutorial from the menu in ANSYS CFX-Pre,
                               then run the session file: Reactor.pre. After you have played the session file as described
                               in earlier tutorials under Playing the Session File and Starting ANSYS CFX-Solver Manager
                               (p. 87), proceed to Obtaining a Solution using ANSYS CFX-Solver Manager (p. 237).

Creating a New Simulation
                               1. Start ANSYS CFX-Pre.
                               2. Select File > New Simulation.
                               3. Select General and click OK.
                               4. Select File > Save Simulation As.
                               5. Under File name, type Reactor.
                               6. Click Save.

Importing the Mesh
                               1. Right-click Mesh and select Import Mesh.
                               2. Apply the following settings




ANSYS CFX Tutorials. ANSYS CFX Release 11.0. © 1996-2006 ANSYS Europe, Ltd. All rights reserved.                      Page 225
Contains proprietary and confidential information of ANSYS, Inc. and its subsidiaries and affiliates.
Tutorial 13: Reacting Flow in a Mixing Tube: Defining a Simulation in ANSYS CFX-Pre


                             Setting                                                             Value
                             File name                                                           ReactorMesh.gtm

                     3. Click Open.

Creating a Multicomponent Fluid
                     In addition to providing template fluids, ANSYS CFX allows you to create custom fluids for
                     use in all your ANSYS CFX models. These fluids may be defined as a pure substance, but may
                     also be defined as a mixture, consisting of a number of transported fluid components. This
                     type of fluid model is useful for applications involving mixtures, reactions, and combustion.
                     In order to define custom fluids, ANSYS CFX-Pre provides the Material details view. This tool
                     allows you to define your own fluids as pure substances, fixed composition mixtures or
                     variable composition mixtures using a range of template property sets defined for common
                     materials.
                     The mixing tube application requires a fluid made up from four separate materials (or
                     components). The components are the reactants and products of a simple chemical
                     reaction together with a neutral carrier liquid. You are first going to define the materials that
                     take part in the reaction (acid, alkali and product) as pure substances. The neutral carrier
                     liquid is water; this material is already defined since it is commonly used. Finally, you will
                     create a variable composition mixture consisting of these four materials. This is the fluid that
                     you will use in your simulation. A variable composition mixture (as opposed to a fixed
                     composition mixture) is required because the proportion of each component will change
                     throughout the simulation due to the reaction.

Acid properties      1. Create a new material named acid.
                     2. Apply the following settings


                             Tab                            Setting                                                       Value
                             Basic Settings                 Option                                                        Pure Substance
                                                            Thermodynamic State                                           (Selected)
                                                            Thermodynamic State > Thermodynamic State Liquid




Page 226          ANSYS CFX Tutorials. ANSYS CFX Release 11.0. © 1996-2006 ANSYS Europe, Ltd. All rights reserved.
                  Contains proprietary and confidential information of ANSYS, Inc. and its subsidiaries and affiliates.
Tutorial 13: Reacting Flow in a Mixing Tube: Defining a Simulation in ANSYS CFX-Pre

                                      Tab                            Setting                                       Value
                                      Material Properties            Thermodynamic Properties > Equation of State 19.52 [kg kmol^-1]*
                                                                     > Molar Mass
                                                                     Thermodynamic Properties > Equation of State 1080 [kg m^-3]
                                                                     > Density
                                                                     Thermodynamic Properties > Specific Heat      (Selected)
                                                                     Capacity
                                                                     Thermodynamic Properties > Specific Heat      4190 [J kg^-1 K^-1]
                                                                     Capacity > Specific Heat Capacity
                                                                     Transport Properties > Dynamic Viscosity      (Selected)
                                                                     Transport Properties > Dynamic Viscosity >    Value
                                                                     Option
                                                                     Transport Properties > Dynamic Viscosity >    0.001 [kg m^-1 s^-1]
                                                                     Dynamic Viscosity
                                                                     Transport Properties > Thermal Conductivity   (Selected)
                                                                     Transport Properties > Thermal Conductivity > 0.6 [W m^-1 K^-1]
                                                                     Thermal Conductivity
                                           *.    The Molar Masses for the three materials created are only set for completeness
                                                 since they are not used when solving this problem.
                               3. Click OK.

Alkali                         1. Create a new material named alkali.
properties                     2. Apply the following settings


                                      Tab                            Setting                                       Value
                                      Basic Settings                 Option                                        Pure Substance
                                                                     Thermodynamic State                           (Selected)
                                                                     Thermodynamic State > Thermodynamic State Liquid
                                      Material Properties            Thermodynamic Properties > Equation of State 20.42 [kg kmol^-1]
                                                                     > Molar Mass
                                                                     Thermodynamic Properties > Equation of State 1130 [kg m^-3]
                                                                     > Density
                                                                     Thermodynamic Properties > Specific Heat      (Selected)
                                                                     Capacity
                                                                     Thermodynamic Properties > Specific Heat      4190 [J kg^-1 K^-1]
                                                                     Capacity > Specific Heat Capacity
                                                                     Transport Properties > Dynamic Viscosity      (Selected)
                                                                     Transport Properties > Dynamic Viscosity >    0.001 [kg m^-1 s^-1]
                                                                     Dynamic Viscosity
                                                                     Transport Properties > Thermal Conductivity   (Selected)
                                                                     Transport Properties > Thermal Conductivity > 0.6 [W m^-1 K^-1]
                                                                     Thermal Conductivity

                               3. Click OK.




ANSYS CFX Tutorials. ANSYS CFX Release 11.0. © 1996-2006 ANSYS Europe, Ltd. All rights reserved.                                Page 227
Contains proprietary and confidential information of ANSYS, Inc. and its subsidiaries and affiliates.
Tutorial 13: Reacting Flow in a Mixing Tube: Defining a Simulation in ANSYS CFX-Pre
Product of the        1. Create a new material named product.
reaction              2. Apply the following settings
properties

                              Tab                            Setting                                                           Value
                              Basic Settings                 Option                                                            Pure Substance
                                                             Thermodynamic State                                               (Selected)
                                                             Thermodynamic State > Thermodynamic State Liquid
                              Material Properties            Thermodynamic Properties > Equation of State 21.51 [kg kmol^-1]
                                                             > Molar Mass
                                                             Thermodynamic Properties > Equation of State 1190 [kg m^-3]
                                                             > Density
                                                             Thermodynamic Properties > Specific Heat                          (Selected)
                                                             Capacity
                                                             Thermodynamic Properties > Specific Heat                          4190 [J kg^-1 K^-1]
                                                             Capacity > Specific Heat Capacity
                                                             Transport Properties > Dynamic Viscosity                          (Selected)
                                                             Transport Properties > Dynamic Viscosity >                        0.001 [kg m^-1 s^-1]
                                                             Dynamic Viscosity
                                                             Transport Properties > Thermal Conductivity                       (Selected)
                                                             Transport Properties > Thermal Conductivity > 0.6 [W m^-1 K^-1]
                                                             Thermal Conductivity

                      3. Click OK.

Fluid properties      1. Create a new material named mixture.
                      2. Apply the following settings


                              Tab                            Setting                                                 Value
                              Basic Settings                 Option                                                  Variable Composition Mixture
                                                             Material Group                                          User, Water Data
                                                             Materials List                                          Water, acid, alkali, product
                                                             Thermodynamic State                                     (Selected)
                                                             Thermodynamic State >                                   Liquid
                                                             Thermodynamic State

                      3. Click OK.

Creating an Additional Variable to Model pH
                      You are going to use an additional variable to model the distribution of pH in the mixing
                      tube. You can create additional variables and use them in selected fluids in your domain.
                      1. Create a new additional variable named MixturePH.
                      2. Apply the following settings




Page 228           ANSYS CFX Tutorials. ANSYS CFX Release 11.0. © 1996-2006 ANSYS Europe, Ltd. All rights reserved.
                   Contains proprietary and confidential information of ANSYS, Inc. and its subsidiaries and affiliates.
Tutorial 13: Reacting Flow in a Mixing Tube: Defining a Simulation in ANSYS CFX-Pre


                                      Tab                     Setting                                   Value
                                      Basic Settings          Units                                     [kg kg^-1]

                               3. Click OK.
                               This additional variable is now available for use when you create or modify a domain.

Defining the Reaction
                               Reactions and reaction kinetics can be modeled using CFX Expression Language (CEL),
                               together with appropriate settings for Component sources. This section shows you how to
                               develop an Eddy Break Up (EBU) type term using CEL to simulate the reaction between acid
                               and alkali.

Reaction Source                The reaction and reaction rate are modeled using a basic Eddy Break Up formulation for the
Terms                          component and energy sources, so that, for example, the transport equation for mass
                               fraction of acid is

                                  ∂
                               d ---- ( ρm f acid ) + ∇•( ρU mf acid ) – ∇ • ( ρD A ∇m f acid )
                                    -
                                 ∂t
                                                                                                                        (Eqn. 3)
                                      ε                mf alkali
                               = – 4ρ --min ⎛ mf acid, ---------------- ⎞
                                                                      -
                                      k     ⎝                  i ⎠

                               where mf is mass fraction, D A is the kinematic diffusivity (set above) and i is the
                               stoichiometric ratio. The right hand side represents the source term applied to the transport
                               equation for the mass fraction of acid. The left hand side consists of the transient, advection
                               and diffusion terms.
                               For acid-alkali reactions, the stoichiometric ratio is usually based on volume fractions. To
                               correctly model the reaction using an Eddy Break Up formulation based on mass fractions,
                               you must calculate the stoichiometric ratio based on mass fractions.
                               In this tutorial the reaction is modeled by introducing source terms for the acid, alkali and
                               product components. You can now also model this type of flow more easily using a reacting
                               mixture as your fluid. There is also a tutorial example using a reacting mixture. For details,
                               see Tutorial 18: Combustion and Radiation in a Can Combustor (p. 299).

                               Technical Note (Reference Only)
                               In ANSYS CFX, Release 11.0, a source is fully specified by an expression for its value S.
                               A source coefficient C is optional, but can be specified to provide convergence
                               enhancement or stability for strongly-varying sources. The value of C may affect the rate of
                               convergence but should not affect the converged results.




ANSYS CFX Tutorials. ANSYS CFX Release 11.0. © 1996-2006 ANSYS Europe, Ltd. All rights reserved.                      Page 229
Contains proprietary and confidential information of ANSYS, Inc. and its subsidiaries and affiliates.
Tutorial 13: Reacting Flow in a Mixing Tube: Defining a Simulation in ANSYS CFX-Pre

                    If no suitable value is available for C , the solution time scale or timestep can still be reduced
                    to help improve convergence of difficult source terms.

                    Important: C must never be positive.

                    An optimal value for C when solving an individual equation for a positive variable φ with a
                    source S whose strength decreases with increasing φ is


                              ∂S
                     C =                                                                                                 (Eqn. 4)
                              ∂φ

                    Where this derivative cannot be computed easily,

                         S
                     C = --
                          -                                                                                              (Eqn. 5)
                         φ

                    may be sufficient to ensure convergence.
                    Another useful recipe for C is


                           ρ
                     C = – --
                            -                                                                                            (Eqn. 6)
                           τ

                    where τ is a local estimate for the source time scale. Provided that the source time scale is
                    not excessively short compared to flow or mixing time scales, this may be a useful approach
                    for controlling sources with positive feedback ( ∂S ⁄ ∂φ > 0 ) or sources that do not depend
                    directly on the solved variable φ .

Calculating pH      The pH (or acidity) of the mixture is a function of the mass fraction of acid, alkali and product.
                    For the purposes of this calculation, acid is assumed to be dilute and fully dissociated into
                                                      +               -
                    its respective ions ( H and X ); alkali is assumed to be dilute and fully dissociated into its
                                                 +                -
                    respective ions ( Y and OH ); product is assumed to be a salt solution including further
                        +                -
                     H and OH ions in a stoichiometric ratio.
                    The concentrations of hydrogen and hydroxyl ions can be calculated from the mass
                    fractions of the components using the following expressions:


                                                 mf prod
                     [ H ] acid = αρ ⎛ mf acid + --------------- ⎞ = [ X ]
                        +                                               i–i
                                                               -                                                         (Eqn. 7)
                                     ⎝              1+i ⎠

                                                      imf prod
                     [ OH ] alkali = βρ ⎛ mf alkali + ----------------- ⎞ = [ Y ]
                         -                                                     i+i
                                                                      -                                                  (Eqn. 8)
                                        ⎝                 1+i ⎠



Page 230         ANSYS CFX Tutorials. ANSYS CFX Release 11.0. © 1996-2006 ANSYS Europe, Ltd. All rights reserved.
                 Contains proprietary and confidential information of ANSYS, Inc. and its subsidiaries and affiliates.
Tutorial 13: Reacting Flow in a Mixing Tube: Defining a Simulation in ANSYS CFX-Pre
                                                                               -           +
                               where α and β are the X ion and Y ion concentrations in the acid and alkali
                                                                                                            -
                               respectively. For this problem, α is set to 1.0E-05 kmole X per kg of acid, and β = α ⁄ i .
                               Applying charge conservation and equilibrium conditions,

                                    +             +                -                   -
                               [ H ] + [ Y ] = [ X ] + [ OH ]                                                                   (Eqn. 9)

                                    +           -
                               [ H ] [ OH ] = K W                                                                              (Eqn. 10)

                               gives the following quadratic equation for free hydrogen ion concentration:

                                    +         +            +               -
                               [ H ] ( [ H ] + [ Y ] –[ X ] ) = K W                                                            (Eqn. 11)


                                    + 2               +            -               +
                               [H ] + ([Y ] – [X ])[H ] – K W = 0                                                              (Eqn. 12)

                                                            i+i
                               pH = – log 10 [ H                       ]                                                       (Eqn. 13)


                               where K W is the equilibrium constant (1.0 x 10E-14 kmoles2 m-6).

                                                                                                        +
                               The quadratic equation can be solved for [ H ] using the equation
                                                               2
                                  +    – b + b – 4ac                                              +       -
                               [ H ] = ------------------------------------- where a = 1 , b = [ Y ] – [ X ] and c = – K W .
                                                                           -
                                                       2a

Creating                       You can create the expressions required to model the reaction sources and pH by either
expressions to                 reading them in from a file or by defining them in the Expressions workspace. Note that the
model the
                               expressions used here do not refer to a particular fluid since there is only a single fluid. In a
reaction
                               multiphase simulation you must prefix variables with a fluid name, for example
                               Mixture.acid.mf instead of acid.mf.

                               In this tutorial the expressions can be imported from a file to avoid typing them.

Reading                        1. Select File > Import CCL.
expressions                    2. Ensure that Import Method is set to Append.
from a file
                               3. Select ReactorExpressions.ccl, which should be in your working directory.
                               4. Click Open.
                                     Note that the expressions have been loaded.

Creating the Domain
                               1. Right click Simulation in the Outline tree view and ensure that Automatic Default
                                  Domain is selected. A domain named Default Domain should now appear under the
                                  Simulation branch.
                               2. Double click Default Domain and apply the following settings

ANSYS CFX Tutorials. ANSYS CFX Release 11.0. © 1996-2006 ANSYS Europe, Ltd. All rights reserved.                               Page 231
Contains proprietary and confidential information of ANSYS, Inc. and its subsidiaries and affiliates.
Tutorial 13: Reacting Flow in a Mixing Tube: Defining a Simulation in ANSYS CFX-Pre


                            Tab                    Setting                                                               Value
                            General                Basic Settings > Domain Type                                          Fluid Domain
                            Options
                                                   Basic Settings > Fluids List                                          mixture
                                                   Domain Models > Pressure > Reference Pressure                         1 [atm]
                            Fluid Models           Heat Transfer > Option                                                Thermal Energy
                                                   Component Details                                                     acid
                                                   Component Details > acid > Option                                     Transport Equation
                                                   Component Details > acid > Kinematic Diffusivity                      (Selected)
                                                   Component Details > acid > Kinematic Diffusivity > 0.001 [m^2 s^-1]
                                                   Kinematic Diffusivity

                    3. Use the same Option and Kinematic Diffusivity settings for alkali and product as
                       you have just set for acid.
                    4. For Water, set Option to Constraint as follows


                            Tab                    Setting                                                               Value
                            Fluid Models           Component Details                                                     Water
                                                   Component Details > Water > Option                                    Constraint

                          One component must always use Constraint. This is the component used to balance
                          the mass fraction equation; the sum of the mass fractions of all components of a fluid
                          must equal unity.
                    5. Apply the following settings


                            Tab                                  Setting                                                 Value
                            Fluid Models                         Additional Variable Details > MixturePH                 (Selected)
                                                                 Additional Variable Details > MixturePH > Algebraic Equation
                                                                 Option
                                                                 Additional Variable Details > MixturePH > pH
                                                                 Value

                    6. Click OK.

Creating a Subdomain to Model the Chemical Reactions
                    To provide the correct modeling for the chemical reaction you need to define sources for
                    the fluid components acid, alkali ,and product. To do this, you need to create a
                    subdomain where the relevant sources can be specified. In this case, sources need to be
                    provided within the entire domain of the mixing tube since the reaction occurs throughout
                    the domain.
                    1. Create a new subdomain named sources.
                    2. Apply the following settings




Page 232         ANSYS CFX Tutorials. ANSYS CFX Release 11.0. © 1996-2006 ANSYS Europe, Ltd. All rights reserved.
                 Contains proprietary and confidential information of ANSYS, Inc. and its subsidiaries and affiliates.
Tutorial 13: Reacting Flow in a Mixing Tube: Defining a Simulation in ANSYS CFX-Pre


                                      Tab             Setting                                                         Value
                                      Sources         Sources                                                         (Selected)
                                                      Sources > Equation Sources                                      acid.mf
                                                      Sources > Equation Sources > acid.mf                            (Selected)
                                                      Sources > Equation Sources > acid.mf > Source                   AcidSource
                                                      Sources > Equation Sources > acid.mf > Source Coefficient       (Selected)
                                                      Sources > Equation Sources > acid.mf > Source Coefficient >     AcidSourceCoeff
                                                      Source Coefficient
                                                      Sources > Equation Sources                                      alkali.mf
                                                      Sources > Equation Sources > alkali.mf                          (Selected)
                                                      Sources > Equation Sources > alkali.mf > Source                 AlkaliSource
                                                      Sources > Equation Sources > alkali.mf > Source Coefficient     (Selected)
                                                      Sources > Equation Sources > alkali.mf > Source Coefficient >   AlkaliSourceCoeff
                                                      Source Coefficient
                                                      Sources > Equation Sources                                      Energy
                                                      Sources > Equation Sources > Energy                             (Selected)
                                                      Sources > Equation Sources > Energy > Source                    HeatSource
                                                      Sources > Equation Sources                                      product.mf
                                                      Sources > Equation Sources > product.mf                         (Selected)
                                                      Sources > Equation Sources > product.mf > Source                ProductSource
                                                      Sources > Equation Sources > product.mf > Source Coefficient (Selected)
                                                      Sources > Equation Sources > product.mf > Source Coefficient 0 [kg m^-3 s^-1]
                                                      > Source Coefficient

                               3. Click OK.

Creating the Boundary Conditions
Water Inlet                    1. Create a new boundary condition named InWater.
Boundary                       2. Apply the following settings


                                      Tab                         Setting                                  Value
                                      Basic Settings              Boundary Type                            Inlet
                                                                  Location                                 InWater
                                      Boundary Details            Mass and Momentum > Normal Speed         2 [m s^-1]
                                                                  Heat Transfer > Option                   Static Temperature
                                                                  Heat Transfer > Static Temperature       300 [K]

                               3. Leave mass fractions for all components set to zero. Since Water is the constraint fluid,
                                  it will be automatically given a mass fraction of 1 on this inlet.
                               4. Click OK.

Acid Inlet                     1. Create a new boundary condition named InAcid.
Boundary
ANSYS CFX Tutorials. ANSYS CFX Release 11.0. © 1996-2006 ANSYS Europe, Ltd. All rights reserved.                                  Page 233
Contains proprietary and confidential information of ANSYS, Inc. and its subsidiaries and affiliates.
Tutorial 13: Reacting Flow in a Mixing Tube: Defining a Simulation in ANSYS CFX-Pre
                    2. Apply the following settings


                            Tab                         Setting                                                          Value
                            Basic Settings              Boundary Type                                                    Inlet
                                                        Location                                                         InAcid
                            Boundary Details            Mass and Momentum > Normal Speed                                 2 [m s^-1]
                                                        Heat Transfer > Option                                           Static Temperature
                                                        Heat Transfer > Static Temperature                               300 [K]
                                                        Component Details                                                acid
                                                        Component Details > acid > Mass Fraction                         1.0
                                                        Component Details                                                alkali
                                                        Component Details > alkali > Mass Fraction                       0
                                                        Component Details                                                product
                                                        Component Details > product > Mass Fraction                      0

                    3. Click OK.

Alkali Inlet        The inlet area for the alkali is twice that of the acid and it also enters at a higher velocity. The
Boundary            result is an acid-to-alkali volume inflow ratio of 1:2.667. Recall that a stoichiometric ratio of
                    2.7905 was specified based on mass fractions. When the density of the acid (1080 [kg m^3])
                    and alkali (1130 [kg m^3]) are considered, the acid-to-alkali mass flow ratio can be
                    calculated as 1:2.7905. You are therefore providing enough acid and alkali to produce a
                    neutral solution if they react together completely.
                    1. Create a new boundary condition named InAlkali.
                    2. Apply the following settings


                            Tab                         Setting                                                          Value
                            Basic Settings              Boundary Type                                                    Inlet
                                                        Location                                                         InAlkali
                            Boundary Details            Mass and Momentum > Normal Speed                                 2.667 [m s^-1]
                                                        Heat Transfer > Option                                           Static Temperature
                                                        Heat Transfer > Static Temperature                               300 [K]
                                                        Component Details > acid                                         (Selected)
                                                        Component Details > acid > Mass Fraction                         0
                                                        Component Details > alkali                                       (Selected)
                                                        Component Details > alkali > Mass Fraction                       1
                                                        Component Details > product                                      (Selected)
                                                        Component Details > product > Mass Fraction                      0

                    3. Click OK.

Outlet              1. Create a new boundary condition named out.
Boundary            2. Apply the following settings

Page 234         ANSYS CFX Tutorials. ANSYS CFX Release 11.0. © 1996-2006 ANSYS Europe, Ltd. All rights reserved.
                 Contains proprietary and confidential information of ANSYS, Inc. and its subsidiaries and affiliates.
Tutorial 13: Reacting Flow in a Mixing Tube: Defining a Simulation in ANSYS CFX-Pre


                                      Tab                         Setting                                 Value
                                      Basic Settings              Boundary Type                           Outlet
                                                                  Location                                out
                                      Boundary Details            Mass and Momentum > Option              Static Pressure
                                                                  Mass and Momentum > Relative Pressure   0 [Pa]

                               3. Click OK.

Symmetry                       1. Create a new boundary condition named sym1.
Boundary                       2. Apply the following settings


                                      Tab                         Setting                                 Value
                                      Basic Settings              Boundary Type                           Symmetry
                                                                  Location                                sym1

                               3. Click OK.
                               4. Create a new boundary condition named sym2.
                               5. Apply the following settings


                                      Tab                         Setting                                 Value
                                      Basic Settings              Boundary Type                           Symmetry
                                                                  Location                                sym2

                               6. Click OK.
                                     The default adiabatic wall boundary condition will automatically be applied to the
                                     remaining unspecified boundary.

Setting Initial Values
                               The values for acid, alkali and product will be initialized to 0. Since Water is the
                               constrained component, it will make up the remaining mass fraction which, in this case, is 1.

                               1. Click Global Initialization                     .
                               2. Apply the following settings




ANSYS CFX Tutorials. ANSYS CFX Release 11.0. © 1996-2006 ANSYS Europe, Ltd. All rights reserved.                            Page 235
Contains proprietary and confidential information of ANSYS, Inc. and its subsidiaries and affiliates.
Tutorial 13: Reacting Flow in a Mixing Tube: Defining a Simulation in ANSYS CFX-Pre


                            Tab            Setting                                                                              Value
                            Global         Initial Conditions > Cartesian Velocity Components >                                 Automatic with Value
                            Settings       Option
                                           Initial Conditions > Cartesian Velocity Components > U                               2 [m s^-1]
                                           Initial Conditions > Cartesian Velocity Components > V                               0 [m s^-1]
                                           Initial Conditions > Cartesian Velocity Components > W                               0 [m s^-1]
                                           Initial Conditions > Turbulence Eddy Dissipation                                     (Selected)
                                           Initial Conditions > Turbulence Eddy Dissipation >                                   Automatic
                                           Option
                                           Initial Conditions > Component Details                                               acid
                                           Initial Conditions > Component Details > acid > Option                               Automatic with Value
                                           Initial Conditions > Component Details > acid > Mass                                 0
                                           Fraction
                                           Initial Conditions > Component Details                                               alkali
                                           Initial Conditions > Component Details > alkali > Option                             Automatic with Value
                                           Initial Conditions > Component Details > alkali > Mass                               0
                                           Fraction
                                           Initial Conditions > Component Details                                               product
                                           Initial Conditions > Component Details > product >                                   Automatic with Value
                                           Option
                                           Initial Conditions > Component Details > product > Mass 0
                                           Fraction

                    3. Click OK.

Setting Solver Control
                    1. Click Solver Control                    .
                    2. Apply the following settings


                            Tab                         Setting                                                          Value
                            Basic Settings              Advection Scheme > Option                                        Specific Blend Factor
                                                        Advection Scheme > Blend Factor                                  0.75
                                                        Convergence Control > Max. Iterations                            50
                                                        Convergence Control > Fluid Timescale                            Physical Timescale
                                                        Control > Timescale Control
                                                        Convergence Control > Fluid Timescale                            0.01 [s]*
                                                        Control > Physical Timescale
                                 *.    The length of mixing tube is 0.06 [m] and inlet velocity is 2 [m s^-1]. An estimate of
                                       the dynamic time scale is 0.03 [s]. An appropriate timestep would be 1/4 to 1/2 of
                                       this value.




Page 236         ANSYS CFX Tutorials. ANSYS CFX Release 11.0. © 1996-2006 ANSYS Europe, Ltd. All rights reserved.
                 Contains proprietary and confidential information of ANSYS, Inc. and its subsidiaries and affiliates.
Tutorial 13: Reacting Flow in a Mixing Tube: Obtaining a Solution using ANSYS CFX-Solver Manager
                               3. Click OK.

                               Note: At this point, you might see a physics validation message regarding a change in the
                               advection scheme. This change will not affect the outcome of the simulation; you will still be
                               able to run this simulation in the ANSYS CFX-Solver.

Writing the Solver (.def) File
                               1. Click Write Solver File                   .
                               2. Apply the following settings:


                                      Setting                                           Value
                                      File name                                         Reactor.def
                                      Quit CFX–Pre*                                     (Selected)

                                           *.    If using ANSYS CFX-Pre in Standalone Mode.

                               3. Ensure Start Solver Manager is selected and click Save.
                               4. If using Standalone Mode, quit ANSYS CFX-Pre, saving the simulation (.cfx) file at your
                                  discretion.



Obtaining a Solution using ANSYS CFX-Solver Manager
                               When the ANSYS CFX-Solver Manager has started, obtain a solution to the CFD problem by
                               following the instructions below.
                               Using the double precision ANSYS CFX-Solver executable is recommended for this case:
                               1. Ensure Define Run is displayed.
                               2. Select Show Advanced Controls. On the Solver tab, select Double Precision under
                                  Executable Settings.
                               3. Click Start Run.
                                  ANSYS CFX-Solver runs and attempts to obtain a solution. This can take a long time
                                  depending on your system. Eventually a dialog box is displayed.
                               4. Click Yes to post-process the results.
                               5. If using Standalone Mode, quit ANSYS CFX-Solver Manager.



Viewing the Results in ANSYS CFX-Post
                               Try the following:
                               •     Create an XY plane through Z = 0 colored by MixturePH. The lower and upper bounds
                                     depend on the precision setting used in the ANSYS CFX-Solver should approximately
                                     range from 2 to 15 (single) or 2 to 11 (double).




ANSYS CFX Tutorials. ANSYS CFX Release 11.0. © 1996-2006 ANSYS Europe, Ltd. All rights reserved.                    Page 237
Contains proprietary and confidential information of ANSYS, Inc. and its subsidiaries and affiliates.
Tutorial 13: Reacting Flow in a Mixing Tube: Viewing the Results in ANSYS CFX-Post
                          Figure 1 shows two planes colored by MixturePH, with the plane on the right having a
                          more accurate solution throughout the domain.
                    Figure 1                 Comparison of Single and Double Precision Results for pH Variance




                    •     View the acid, alkali and product mass fractions on the same plane.
                    •     Create isosurfaces of Turbulence Kinetic Energy and Turbulence Eddy
                          Dissipation.




Page 238         ANSYS CFX Tutorials. ANSYS CFX Release 11.0. © 1996-2006 ANSYS Europe, Ltd. All rights reserved.
                 Contains proprietary and confidential information of ANSYS, Inc. and its subsidiaries and affiliates.
Tutorial 14:
Conjugate Heat Transfer in a
Heating Coil

Introduction
                               This tutorial includes:
                               •     Tutorial 14 Features (p. 240)
                               •     Overview of the Problem to Solve (p. 241)
                               •     Defining a Simulation in ANSYS CFX-Pre (p. 241)
                               •     Obtaining a Solution using ANSYS CFX-Solver Manager (p. 246)
                               •     Viewing the Results in ANSYS CFX-Post (p. 246)

                               If this is the first tutorial you are working with, it is important to review the following topics
                               before beginning:
                               •     Setting the Working Directory (p. 1)
                               •     Changing the Display Colors (p. 2)
                               Unless you plan on running a session file, you should copy the sample files used in this
                               tutorial from the installation folder for your software (<CFXROOT>/examples/) to your
                               working directory. This prevents you from overwriting source files provided with your
                               installation. If you plan to use a session file, please refer to Playing a Session File (p. 241).
                               Sample files referenced by this tutorial include:
                               •     HeatingCoil.pre
                               •     HeatingCoil_001.res
                               •     HeatingCoilMesh.gtm




ANSYS CFX Tutorials                                                                                                      Page 239
ANSYS CFX Release 11.0. © 1996-2006 ANSYS Europe, Ltd. All rights reserved.
Contains proprietary and confidential information of ANSYS, Inc. and its subsidiaries and affiliates.
Tutorial 14: Conjugate Heat Transfer in a Heating Coil: Tutorial 14 Features

Tutorial 14 Features
                     This tutorial addresses the following features of ANSYS CFX.


                      Component                                   Feature                                           Details
                      ANSYS CFX-Pre                               User Mode                                         General Mode
                                                                  Simulation Type                                   Steady State
                                                                  Fluid Type                                        General Fluid
                                                                  Domain Type                                       Multiple Domain
                                                                  Turbulence Model                                  k-Epsilon
                                                                  Heat Transfer                                     Thermal Energy
                                                                  Conjugate Heat Transfer
                                                                  Subdomains                                        Energy Source
                                                                  Boundary Conditions                               Inlet (Subsonic)
                                                                                                                    Opening
                                                                                                                    Wall: No-Slip
                                                                                                                    Wall: Adiabatic
                                                                  CEL (CFX Expression Language)
                                                                  Timestep                                          Physical Time Scale
                      ANSYS CFX-Post                              Plots                                             Cylinder
                                                                                                                    Default Locators
                                                                                                                    Isosurface
                                                                  Other                                             Changing the Color Range
                                                                                                                    Expression Details View
                                                                                                                    Lighting Adjustment
                                                                                                                    Variable Details View

                     In this tutorial you will learn about:
                     •     Creating and using a solid domain as a heater coil in ANSYS CFX-Pre.
                     •     Modeling conjugate heat transfer in ANSYS CFX-Pre.
                     •     Specifying a subdomain to specify a heat source.
                     •     Creating a cylinder locator using CEL in ANSYS CFX-Post.
                     •     Examining the temperature distribution which is affected by heat transfer from the coil
                           to the fluid.




Page 240          ANSYS CFX Tutorials. ANSYS CFX Release 11.0. © 1996-2006 ANSYS Europe, Ltd. All rights reserved.
                  Contains proprietary and confidential information of ANSYS, Inc. and its subsidiaries and affiliates.
Tutorial 14: Conjugate Heat Transfer in a Heating Coil: Overview of the Problem to Solve

Overview of the Problem to Solve
                               This example demonstrates the capability of ANSYS CFX in modeling conjugate heat
                               transfer. In this example, part of the model of a simple heat exchanger is used to model the
                               transfer of heat from a solid to a fluid. The model consists of a fluid domain and a solid
                               domain. The fluid domain is an annular region through which water flows at a constant rate.
                               The heater is a solid copper coil modeled as a constant heat source.

                                                      Outflow




                               Solid Heater



                                                           Inflow


                               This tutorial also includes an optional step that demonstrates the use of the CFX to ANSYS
                               Data Transfer Tool to export thermal and mechanical stress data for analysis in ANSYS. A
                               results file is provided in case you wish to skip the model creation and solution steps within
                               ANSYS CFX.



Defining a Simulation in ANSYS CFX-Pre
                               The following sections describe the simulation setup in ANSYS CFX-Pre.

Playing a Session File
                               If you wish to skip past these instructions, and have ANSYS CFX-Pre set up the simulation
                               automatically, you can select Session > Play Tutorial from the menu in ANSYS CFX-Pre,
                               then run the session file: HeatingCoil.pre. After you have played the session file as
                               described in earlier tutorials under Playing the Session File and Starting ANSYS CFX-Solver
                               Manager (p. 87), proceed to Obtaining a Solution using ANSYS CFX-Solver Manager (p. 246).

Creating a New Simulation
                               1. Start ANSYS CFX-Pre.
                               2. Select File > New Simulation.
                               3. Select General and click OK.
                               4. Select File > Save Simulation As.
                               5. Under File name, type HeatingCoil.

ANSYS CFX Tutorials. ANSYS CFX Release 11.0. © 1996-2006 ANSYS Europe, Ltd. All rights reserved.                     Page 241
Contains proprietary and confidential information of ANSYS, Inc. and its subsidiaries and affiliates.
Tutorial 14: Conjugate Heat Transfer in a Heating Coil: Defining a Simulation in ANSYS CFX-Pre
                      6. Click Save.

Importing the Mesh
                      1. Right-click Mesh and select Import Mesh.
                      2. Apply the following settings


                              Setting                                                             Value
                              File name                                                           HeatingCoilMesh.gtm

                      3. Click Open.
                      4. Right-click a blank area in the viewer and select Predefined Camera > Isometric View
                         (Z up) from the shortcut menu.

Creating the Domains
                      This simulation requires both a fluid and a solid domain. First, you will create a fluid domain
                      for the annular region of the heat exchanger.

Creating a Fluid      The fluid domain will include the region of fluid flow but exclude the solid copper heater.
Domain
                      1. Click Domain                    and set the name to FluidZone.
                      2. Apply the following settings to FluidZone


                              Tab                    Setting                                                               Value
                              General                Basic Settings > Location                                             B1.P3*
                              Options
                                                     Basic Settings > Fluids List                                          Water
                                                     Domain Models > Pressure > Reference Pressure                         1 [atm]
                              Fluid Models           Heat Transfer > Option                                                Thermal Energy
                              Initialization         Domain Initialization                                                 (Selected)
                                                     Domain Initialization > Initial Conditions                            (Selected)
                                                     Domain Initialization > Initial Conditions > Turbulence (Selected)
                                                     Eddy Dissipation
                                   *.    This region name may be different depending on how the mesh was created. You
                                         should pick the region that forms the exterior surface of the volume surrounding
                                         the coil.

                      3. Click OK.

Creating a Solid      Since you know that the copper heating element will be much hotter than the fluid, you can
Domain                initialize the temperature to a reasonable value. The initialization option that is set when
                      creating a domain applies only to that domain.
                      1. Create a new domain named SolidZone.
                      2. Apply the following settings




Page 242           ANSYS CFX Tutorials. ANSYS CFX Release 11.0. © 1996-2006 ANSYS Europe, Ltd. All rights reserved.
                   Contains proprietary and confidential information of ANSYS, Inc. and its subsidiaries and affiliates.
Tutorial 14: Conjugate Heat Transfer in a Heating Coil: Defining a Simulation in ANSYS CFX-Pre


                                      Tab                     Setting                                                  Value
                                      General                 Basic Settings > Location                                B2.P3
                                      Options
                                                              Basic Settings > Domain Type                             Solid Domain
                                                              Basic Settings > Solids List                             Copper
                                      Solid Models            Heat Transfer > Option                                   Thermal Energy
                                      Initialization          Domain Initialization                                    (Selected)
                                                              Domain Initialization > Initial Conditions               (Selected)
                                                              Domain Initialization > Initial Conditions >             Automatic with
                                                              Temperature > Option                                     Value
                                                              Domain Initialization > Initial Conditions >             550 [K]
                                                              Temperature > Temperature

                               3. Click OK.

Creating a Subdomain to Specify a Thermal Energy Source
                               To allow a thermal energy source to be specified for the copper heating element, you need
                               to create a subdomain.
                               1. Create a new subdomain named Heater in the domain SolidZone.
                               2. Apply the following settings


                                      Tab                     Setting                                                  Value
                                      Basic Settings          Basic Settings > Location                                B2.P3*
                                      Sources                 Sources                                                  (Selected)
                                                              Sources > Equation Sources > Energy                      (Selected)
                                                              Sources > Equation Sources > Energy > Source             1.0E+07 [W m^-3]
                                           *.    This is the same location as for the domain SolidZone, because you want the source
                                                 term to apply to the entire solid domain.

                               3. Click OK.

Creating the Boundary Conditions
Inlet Boundary                 You will now create an inlet boundary condition for the cooling fluid (Water).
                               1. Create a new boundary condition named inflow in the domain FluidZone.
                               2. Apply the following settings


                                      Tab                         Setting                                    Value
                                      Basic Settings              Boundary Type                              Inlet
                                                                  Location                                   inflow
                                      Boundary Details            Mass and Momentum > Normal Speed           0.4 [m s^-1]
                                                                  Heat Transfer > Static Temperature         300 [K]

                               3. Click OK.
ANSYS CFX Tutorials. ANSYS CFX Release 11.0. © 1996-2006 ANSYS Europe, Ltd. All rights reserved.                                    Page 243
Contains proprietary and confidential information of ANSYS, Inc. and its subsidiaries and affiliates.
Tutorial 14: Conjugate Heat Transfer in a Heating Coil: Defining a Simulation in ANSYS CFX-Pre
Opening             The opening boundary condition type is used in this case because at some stage during the
boundary            solution, the coiled heating element will cause some recirculation at the exit. At an opening
                    boundary you need to set the temperature of fluid that enters through the boundary. In this
                    case it is useful to base this temperature on the fluid temperature at the outlet, since you
                    expect the fluid to be flowing mostly out through this opening.
                    1. Create a new expression named OutletTemperature.
                    2. Set Definition to areaAve(T)@REGION:outflow
                    3. Click Apply.
                    4. Create a new boundary condition named outflow in the domain FluidZone.
                    5. Apply the following settings:


                            Tab                         Setting                                                          Value
                            Basic Settings              Boundary Type                                                    Opening
                                                        Location                                                         outflow
                            Boundary Details            Mass and Momentum > Option                                       Opening Pres. and Dirn
                                                        Mass and Momentum > Relative Pressure                            0 [Pa]
                                                        Heat Transfer > Option                                           Static Temperature
                                                        Heat Transfer > Static Temperature                               OutletTemperature

                    6. Click OK.
                          The default adiabatic wall boundary condition will automatically be applied to the
                          remaining unspecified external boundaries of the fluid domain. The default Fluid-Solid
                          Interface boundary condition (flux conserved) will be applied to the surfaces between
                          the solid domain and the fluid domain.

Creating the Domain Interface
                    If you have the Generate Default Domain Interfaces option turned on (from Edit >
                    Options > CFX-Pre), then you will see that an interface called
                    Default Fluid Solid Interface already exists, and is listed in the Outline tree view. If
                    this is the case, you can optionally skip the following instructions for creating a domain
                    interface (since the domain interface set here will have the same settings as, and will
                    automatically replace, the default domain interface).
                    If you have the Generate Default Domain Interfaces option turned off, then there is no
                    domain interface defined at this point. In this case, create a domain interface using either
                    one of the following methods (the result is the same):

Creating a          1. Right click Simulation in the Outline tree view and ensure that Automatic Default
Default Domain         Interfaces is selected. An interface named Default Fluid Solid Interface should
Interface
                       now appear under the Simulation branch.

Creating a          1. Double click Default Fluid Solid Interface and apply the following settings:
Domain
Interface
Manually

Page 244         ANSYS CFX Tutorials. ANSYS CFX Release 11.0. © 1996-2006 ANSYS Europe, Ltd. All rights reserved.
                 Contains proprietary and confidential information of ANSYS, Inc. and its subsidiaries and affiliates.
Tutorial 14: Conjugate Heat Transfer in a Heating Coil: Defining a Simulation in ANSYS CFX-Pre


                                      Tab                         Setting                                    Value
                                      Basic Settings              Interface Type                             Fluid Solid
                                                                  Interface Side 1 > Domain (Filter)         FluidZone
                                                                  Interface Side 1 > Region List             F10.B1.P3, F5.B1.P3,
                                                                                                             F6.B1.P3, F7.B1.P3, F8.B1.P3,
                                                                                                             F9.B1.P3
                                                                  Interface Side 2 > Domain (Filter)         SolidZone
                                                                  Interface Side 2 > Region List             F10.B2.P3, F5.B2.P3,
                                                                                                             F6.B2.P3, F7.B2.P3, F8.B2.P3,
                                                                                                             F9.B2.P3
                                                                  Interface Models > Option                  General Connection
                                                                  Interface Models > Frame Change/Mixing     None
                                                                  Model > Option
                                                                  Interface Models > Pitch Change > Option   None
                                                                  Mesh Connection Method > Option            Automatic

                               2. Click OK.

Setting Solver Control
                               1. Click Solver Control                   .
                               2. Apply the following settings:


                                      Tab                         Setting                                    Value
                                      Basic Settings              Convergence Control > Fluid Timescale      Physical Timescale
                                                                  Control > Timescale Control
                                                                  Convergence Control >Fluid Timescale       2 [s]
                                                                  Control > Physical Timescale

                                     For the Convergence Criteria, an RMS value of at least 1e-05 is usually required for
                                     adequate convergence, but the default value is sufficient for demonstration purposes.
                               3. Click OK.

Writing the Solver (.def) File
                               1. Click Write Solver File                    .
                               2. Apply the following settings:


                                      Setting                                           Value
                                      File name                                         HeatingCoil.def
                                      Quit CFX–Pre       *                              (Selected)

                                           *.    If using ANSYS CFX-Pre in Standalone Mode.

                               3. Ensure Start Solver Manager is selected and click Save.


ANSYS CFX Tutorials. ANSYS CFX Release 11.0. © 1996-2006 ANSYS Europe, Ltd. All rights reserved.                                  Page 245
Contains proprietary and confidential information of ANSYS, Inc. and its subsidiaries and affiliates.
Tutorial 14: Conjugate Heat Transfer in a Heating Coil: Obtaining a Solution using ANSYS CFX-Solver Manager
                    4. If using Standalone Mode, quit ANSYS CFX-Pre, saving the simulation (.cfx) file at your
                       discretion.



Obtaining a Solution using ANSYS CFX-Solver Manager
                    While the calculations proceed, you can see residual output for various equations in both
                    the text area and the plot area. Use the tabs to switch between different plots (e.g., Heat
                    Transfer, Turbulence Quantities, etc.) in the plot area. You can view residual plots for the
                    fluid and solid domains separately by editing the Workspace Properties.
                    1. Ensure Define Run is displayed.
                    2. Click Start Run.
                       ANSYS CFX-Solver runs and attempts to obtain a solution. This can take a long time
                       depending on your system. Eventually a dialog box is displayed.
                    3. Click Yes to post-process the results.
                    4. If using Standalone Mode, quit ANSYS CFX-Solver Manager.



Viewing the Results in ANSYS CFX-Post
                    The following topics will be discussed:
                    •     Creating a Cylindrical Locator (p. 246)
                    •     Specular Lighting (p. 247)
                    •     Moving the Light Source (p. 247)

Creating a Cylindrical Locator
                    Next, you will create a cylindrical locator close to the outside wall of the annular domain.
                    This can be done by using an expression to specify radius and locating a particular radius
                    with an isosurface.

Expression          1. Create a new expression named expradius.
                    2. Apply the following settings


                            Setting                     Value
                            Definition                  (x^2 + y^2)^0.5

                    3. Click Apply.

Variable            1. Create a new variable named radius.
                    2. Apply the following settings


                            Setting                     Value
                            Expression                  expradius


Page 246         ANSYS CFX Tutorials. ANSYS CFX Release 11.0. © 1996-2006 ANSYS Europe, Ltd. All rights reserved.
                 Contains proprietary and confidential information of ANSYS, Inc. and its subsidiaries and affiliates.
Tutorial 14: Conjugate Heat Transfer in a Heating Coil: Exporting the Results to ANSYS
                               3. Click Apply.

Isosurface of the 1. Create a new isosurface named Isosurface 1.
variable          2. Apply the following settings


                                      Tab                         Setting                                   Value
                                      Geometry                    Definition > Variable                     radius
                                                                  Definition > Value                        0.8 [m]*
                                      Color                       Mode                                      Variable
                                                                  Variable                                  Temperature
                                                                  Range                                     User Specified
                                                                  Min                                       300 [K]
                                                                  Max                                       302 [K]
                                      Render                      Draw Faces                                (Selected)
                                           *.    The maximum radius is 1 m, so a cylinder locator at a radius of 0.8 m is suitable.

                               3. Click Apply.

Specular Lighting
                               Specular lighting is on by default. Specular lighting allows glaring bright spots on the
                               surface of an object, depending on the orientation of the surface and the position of the
                               light.
                               1. Apply the following settings to Isosurface 1


                                      Tab                         Setting                                   Value
                                      Render                      Draw Faces > Specular                     (Cleared)

                               2. Click Apply.

Moving the Light Source
                               To move the light source, click within the 3-D Viewer, then press and hold <Shift> while
                               pressing the arrow keys left, right, up or down.
                                     Tip: If using the Standalone version, you can move the light source by positioning the
                                     mouse pointer in the viewer, holding down the <Ctrl> key, and dragging using the right
                                     mouse button.



Exporting the Results to ANSYS
                               This optional step involves generating an ANSYS .cdb data file from the results generated
                               in ANSYS CFX-Solver. The .cdb file could then be used with the ANSYS Multi-field solver to
                               measure the combined effects of thermal and mechanical stresses on the solid heating coil.
                               There are two possible ways to export data to ANSYS:

ANSYS CFX Tutorials. ANSYS CFX Release 11.0. © 1996-2006 ANSYS Europe, Ltd. All rights reserved.                                 Page 247
Contains proprietary and confidential information of ANSYS, Inc. and its subsidiaries and affiliates.
Tutorial 14: Conjugate Heat Transfer in a Heating Coil: Exporting the Results to ANSYS
                    •     Use ANSYS CFX-Solver Manager to export data. For details, see Exporting Data from
                          ANSYS CFX-Solver Manager (p. 248).
                    •     Use ANSYS CFX-Post to export data. This involves:
                          a. Importing a surface mesh from ANSYS into ANSYS CFX-Post, and associating the
                             surface with the corresponding 2D region in the ANSYS CFX-Solver results file.
                          b. Exporting the data to a file containing SFE commands that represent surface
                             element thermal or mechanical stress values.
                          c. Loading the commands created in the previous step into ANSYS and visualizing the
                             loads.

Exporting Data from ANSYS CFX-Solver Manager
                    Since the heat transfer in the solid domain was calculated in ANSYS CFX, the 3D thermal data
                    will be exported to ANSYS Element Type as 3D Thermal (70) data. The mechanical
                    stresses are calculated on the liquid side of the liquid-solid interface. These values will be
                    exported to ANSYS Element Type as 2D Stress (154) data.

Thermal Data        1. Start ANSYS CFX-Solver Manager.
                    2. Select Tools > Export to ANSYS MultiField.
                       Export to ANSYS MultiField Solver dialog box appears.
                    3. Apply the following settings:


                            Setting                                                                    Value
                            Results File                                                               HeatingCoil_001.res
                            Export File                                                                HeatingCoil_001_ansysfsi_70.csv
                            Domain Name > Domain                                                       SolidZone
                            Domain Name > Boundary                *                                    *
                            Export Options > ANSYS Element Type                                        3D Thermal (70)
                                 *.    Leave Boundary empty.

                    4. Click Export.
                          When the export is complete, click OK to acknowledge the message and continue with
                          the next steps to export data for Mechanical Stresses.

Mechanical          1. Apply the following settings in the Export to ANSYS MultiField Solver dialog box (see
Stresses               Step 2 above):


                            Setting                                                                    Value
                            Results File                                                               HeatingCoil_001.res
                            Export File                                                                HeatingCoil_001_ansysfsi_154.csv
                            Domain Name > Domain                                                       FluidZone
                            Domain Name > Boundary                                                     FluidZone Default
                            Export Options > ANSYS Element Type                                        2D Stress (154)

                    2. Click Export.
Page 248         ANSYS CFX Tutorials. ANSYS CFX Release 11.0. © 1996-2006 ANSYS Europe, Ltd. All rights reserved.
                 Contains proprietary and confidential information of ANSYS, Inc. and its subsidiaries and affiliates.
Tutorial 14: Conjugate Heat Transfer in a Heating Coil: Exporting the Results to ANSYS
                               You now have two exported files that can be loaded into ANSYS Multiphysics. When you are
                               finished, close ANSYS CFX-Solver Manager and ANSYS CFX-Post.




ANSYS CFX Tutorials. ANSYS CFX Release 11.0. © 1996-2006 ANSYS Europe, Ltd. All rights reserved.                      Page 249
Contains proprietary and confidential information of ANSYS, Inc. and its subsidiaries and affiliates.
Tutorial 14: Conjugate Heat Transfer in a Heating Coil: Exporting the Results to ANSYS




Page 250         ANSYS CFX Tutorials. ANSYS CFX Release 11.0. © 1996-2006 ANSYS Europe, Ltd. All rights reserved.
                 Contains proprietary and confidential information of ANSYS, Inc. and its subsidiaries and affiliates.
Tutorial 15:
Multiphase Flow in Mixing
Vessel

Introduction
                               This tutorial includes:
                               •     Tutorial 15 Features (p. 252)
                               •     Overview of the Problem to Solve (p. 253)
                               •     Defining a Simulation in ANSYS CFX-Pre (p. 253)
                               •     Obtaining a Solution using ANSYS CFX-Solver Manager (p. 265)
                               •     Viewing the Results in ANSYS CFX-Post (p. 265)

                               If this is the first tutorial you are working with it is important to review the following topics
                               before beginning:
                               •     Setting the Working Directory (p. 1)
                               •     Changing the Display Colors (p. 2)
                               Unless you plan on running a session file, you should copy the sample files used in this
                               tutorial from the installation folder for your software (<CFXROOT>/examples/) to your
                               working directory. This prevents you from overwriting source files provided with your
                               installation. If you plan to use a session file, please refer to Playing a Session File (p. 253).
                               Sample files referenced by this tutorial include:
                               •     MixerImpellerMesh.gtm
                               •     MixerTank.geo
                               •     MultiphaseMixer.pre




ANSYS CFX Tutorials                                                                                                      Page 251
ANSYS CFX Release 11.0. © 1996-2006 ANSYS Europe, Ltd. All rights reserved.
Contains proprietary and confidential information of ANSYS, Inc. and its subsidiaries and affiliates.
Tutorial 15: Multiphase Flow in Mixing Vessel: Tutorial 15 Features

Tutorial 15 Features
                     This tutorial addresses the following features of ANSYS CFX.


                      Component                                   Feature                                           Details
                      ANSYS CFX-Pre                               User Mode                                         General Mode
                                                                  Simulation Type                                   Steady State
                                                                  Fluid Type                                        General Fluid
                                                                  Domain Type                                       Multiple Domain
                                                                                                                    Rotating Frame of Reference
                                                                  Turbulence Model                                  Dispersed Phase Zero Equation
                                                                                                                    Fluid-Dependant Turbulence
                                                                                                                    Model
                                                                                                                    k-Epsilon
                                                                  Heat Transfer                                     None
                                                                  Buoyant Flow
                                                                  Multiphase
                                                                  Boundary Conditions                               Inlet (Subsonic)
                                                                                                                    Outlet (Degassing)
                                                                                                                    Wall: Thin Surface
                                                                                                                    Wall: (Slip Depends on Volume
                                                                                                                    Fraction)
                                                                  Domain Interfaces                                 Frozen Rotor
                                                                                                                    Periodic
                                                                  Output Control
                                                                  Timestep                                          Physical Time Scale
                      ANSYS CFX-Post                              Plots                                             Default Locators
                                                                                                                    Isosurface
                                                                                                                    Slice Plane
                                                                  Other                                             Quantitative Calculation

                     In this tutorial you will learn about:
                     •     Importing meshes that have CFX-4 and ANSYS CFX .def/.res file formats.
                     •     Setting up a simulation using multiple frames of reference.
                     •     Connecting two domains (one for the impeller and one for the tank) via Frozen Rotor
                           interfaces.
                     •     Modeling rotational periodicity using periodic boundary conditions.
                     •     Using periodic GGI interfaces where the mesh does not map exactly.
                     •     Using thin surfaces for the blade and baffle surfaces.
                     •     Setting up a multiphase flow problem.




Page 252          ANSYS CFX Tutorials. ANSYS CFX Release 11.0. © 1996-2006 ANSYS Europe, Ltd. All rights reserved.
                  Contains proprietary and confidential information of ANSYS, Inc. and its subsidiaries and affiliates.
Tutorial 15: Multiphase Flow in Mixing Vessel: Overview of the Problem to Solve

Overview of the Problem to Solve
                               This example simulates the mixing of two fluids in a mixing vessel. The geometry consists of
                               a mixing tank vessel containing four baffles. A rotating impeller blade is connected to a shaft
                               which runs vertically through the vessel. Air is injected into the vessel through an inlet pipe
                               located below the impeller blade at a speed of 5 m/s.
                               Figure 1                 Cut-away diagram of Mixing Vessel

                                                               Shaft                       Baffles




                                Mixing Tank
                                                                        Air Inlet               Impeller

                               The figure above shows the full geometry, with part of the tank walls and one baffle cut
                               away. The symmetry of the vessel allows a 1/4 section of the full geometry to be modeled.



Defining a Simulation in ANSYS CFX-Pre
                               The following sections describe the simulation setup in ANSYS CFX-Pre.

Playing a Session File
                               If you wish to skip past these instructions, and have ANSYS CFX-Pre set up the simulation
                               automatically, you can select Session > Play Tutorial from the menu in ANSYS CFX-Pre,
                               then run the session file: MultiphaseMixer.pre. After you have played the session file as
                               described in earlier tutorials under Playing the Session File and Starting ANSYS CFX-Solver
                               Manager (p. 87), proceed to Obtaining a Solution using ANSYS CFX-Solver Manager (p. 265).

Creating a New Simulation
                               1. Start ANSYS CFX-Pre.
ANSYS CFX Tutorials. ANSYS CFX Release 11.0. © 1996-2006 ANSYS Europe, Ltd. All rights reserved.                         Page 253
Contains proprietary and confidential information of ANSYS, Inc. and its subsidiaries and affiliates.
Tutorial 15: Multiphase Flow in Mixing Vessel: Defining a Simulation in ANSYS CFX-Pre
                    2. Select File > New Simulation.
                    3. Select General and click OK.
                    4. Select File > Save Simulation As.
                    5. Under File name, type MultiphaseMixer.
                    6. Click Save.

Importing the Meshes
                    In this tutorial, a CFX-4 mesh is imported using advanced options. These options control
                    how the CFX-4 mesh is imported into ANSYS CFX.
                    By creating 3D regions on fluid regions, you prevent import of USER3D and POROUS regions.
                    Turn off this option if you do not need these regions for sub-domains. This will simplify the
                    regions available in ANSYS CFX-Pre. In this case, the mesh file contains USER3D regions that
                    were created as a location for a thin surface and you do not need them for defining any
                    subdomains.

Importing the       1. Right-click Mesh and select Import Mesh.
Mixer Tank          2. Apply the following settings
Mesh

                            Setting                                                                                      Value
                            File type                                                                                    CFX-4 (*geo)
                            File name                                                                                    MixerTank.geo
                            Advanced Options > Create 3D Regions on > Fluid Regions                                      (Cleared)
                            (USER3D, POROUS)

                    3. Click Open.

Importing the       1. Right-click Mesh and select Import Mesh to import the second mesh.
Impeller Mesh       2. Apply the following settings


                            Setting                                                                                      Value
                            File type                                                                                    CFX Mesh (*gtm)
                            File name                                                                                    MixerImpellerMesh.gtm

                    3. Click Open.
                    4. Right-click a blank area in the viewer and select Predefined Camera > Isometric View
                       (X up) to view the mesh assemblies.

Transforming        In the next step you will move the impeller mesh to its correct position.
the Impeller
                    1. Right-click MixerImpellerMesh.gtm and select Transform Mesh.
Mesh
                       The Mesh Transformation Editor dialog box appears.
                    2. Apply the following settings




Page 254         ANSYS CFX Tutorials. ANSYS CFX Release 11.0. © 1996-2006 ANSYS Europe, Ltd. All rights reserved.
                 Contains proprietary and confidential information of ANSYS, Inc. and its subsidiaries and affiliates.
Tutorial 15: Multiphase Flow in Mixing Vessel: Defining a Simulation in ANSYS CFX-Pre


                                      Tab                                   Setting                          Value
                                      Definition                            Transformation                   Translation
                                                                            Apply Translation > Method       Deltas
                                                                            Apply Translation > Dx, Dy, Dz   0.275, 0, 0

                               3. Click OK.

Viewing the                    1. Click Label and Marker Visibility                         .
Mesh at the                    2. Apply the following setting
Tank Periodic
Boundary
                                      Tab                                   Setting                          Value
                                      Label Options                         Show Labels                      (Cleared)

                               3. Click OK.
                               4. In the Outline workspace, expand MixerImpellerMesh.gtm and MixerTank.geo to
                                  view associated 2D primitives.
                               5. Under MixerTank.geo > Principal 3D regions > Primitive 3D, click the primitive
                                  region BLKBDY_TANK_PER2.
                               You can now see the mesh on one of the periodic regions of the tank. To reduce the solution
                               time for this tutorial, the mesh used is very coarse. This is not a suitable mesh to obtain
                               accurate results, but it is sufficient for demonstration purposes.

                               Note: If you do not see the surface mesh, highlighting may be turned off. If highlighting is
                               disabled, toggle Highlight      . The default highlight type will show the surface mesh for any
                               selected regions. If you see a different highlighting type, you can alter it by selecting Edit >
                               Options and browsing to CFX-Pre > Viewer.

Creating the Domains
Rotating                       1. Click Domain                    and set the name to impeller.
Domain for the                 2. Apply the following settings
Impeller




ANSYS CFX Tutorials. ANSYS CFX Release 11.0. © 1996-2006 ANSYS Europe, Ltd. All rights reserved.                           Page 255
Contains proprietary and confidential information of ANSYS, Inc. and its subsidiaries and affiliates.
Tutorial 15: Multiphase Flow in Mixing Vessel: Defining a Simulation in ANSYS CFX-Pre


                            Tab              Setting                                                                     Value
                            General          Basic Settings > Location                                                   Main
                            Options
                                             Basic Settings > Fluids List                                                Air at 25 C, Water
                                             Domain Models > Pressure > Reference Pressure                               1 [atm]
                                             Domain Models > Buoyancy > Option                                           Buoyant
                                             Domain Models > Buoyancy > Gravity X Dirn.                                  -9.81 [m s^-2]
                                             Domain Models > Buoyancy > Gravity Y Dirn.                                  0 [m s^-2]
                                             Domain Models > Buoyancy > Gravity Z Dirn.                                  0 [m s^-2]
                                             Domain Models > Buoyancy > Buoy. Ref. Density*                              997 [kg m^-3]
                                             Domain Models > Domain Motion > Option                                      Rotating
                                             Domain Models > Domain Motion > Angular Velocity                            84 [rev min-1]†
                                             Domain Models > Domain Motion > Axis Definition >                           Global X
                                             Rotation Axis
                            Fluid            Multiphase Options > Homogeneous Model                                      (Cleared)
                            Models           Multiphase Options > Allow Musig Fluids                                     (Cleared)
                                             Multiphase Options > Free Surface Model > Option                            None
                                             Heat Transfer > Homogeneous Model                                           (Cleared)
                                             Heat Transfer > Option                                                      Isothermal
                                             Heat Transfer > Fluid Temperature                                           25 [C]
                                             Turbulence > Homogeneous Model                                              (Cleared)
                                             Turbulence > Option                                                         Fluid Dependent
                            Fluid            Fluid Details                                                               Air at 25 C
                            Details
                                             Fluid Details > Air at 25 C > Morphology > Option                           Dispersed Fluid
                                             Fluid Details > Air at 25 C > Morphology > Mean Diameter                    3 [mm]
                            Fluid            Fluid Pairs                                                                 Air at 25 C | Water
                            Pairs            Fluid Pairs > Air at 25 C | Water > Surface Tension Coefficient (Selected)
                                             Fluid Pairs > Air at 25 C | Water > Surface Tension Coefficient 0.073 [N m^-1]‡
                                             > Surf. Tension Coeff.
                                             Fluid Pairs > Air at 25 C | Water > Momentum Transfer > Drag Grace
                                             Force > Option
                                             Fluid Pairs > Air at 25 C | Water > Momentum Transfer > Drag (Selected)
                                             Force > Volume Fraction Correction Exponent
                                             Fluid Pairs > Air at 25 C | Water > Momentum Transfer > Drag 4
                                             Force > Volume Fraction Correction Exponent > Value
                                             Fluid Pairs > Air at 25 C | Water > Momentum Transfer >                     Lopez de
                                             Non-drag forces > Turbulent Dispersion Force > Option                       Bertodano
                                             Fluid Pairs > Air at 25 C | Water > Momentum Transfer >                     0.1
                                             Non-drag forces > Turbulent Dispersion Force > Dispersion
                                             Coeff.
                                             Fluid Pairs > Air at 25 C | Water > Turbulence Transfer >                   Sato Enhanced
                                             Option                                                                      Eddy Viscosity



Page 256         ANSYS CFX Tutorials. ANSYS CFX Release 11.0. © 1996-2006 ANSYS Europe, Ltd. All rights reserved.
                 Contains proprietary and confidential information of ANSYS, Inc. and its subsidiaries and affiliates.
Tutorial 15: Multiphase Flow in Mixing Vessel: Defining a Simulation in ANSYS CFX-Pre

                                           *.    For dilute dispersed multiphase flow, always set the buoyancy reference density to
                                                 that for continuous fluid.
                                           †.    Note the unit.
                                           ‡.    This must be set to allow the Grace drag model to be used.
                               3. Click OK.

Stationary                     Next, you will create a stationary domain for the main tank by copying the properties of the
Domain for the                 existing fluid domain.
Main Tank
                               1. Right-click impeller and select Duplicate from the shortcut menu.
                               2. Set the name of this domain to tank and open it for editing.
                               3. Apply the following settings


                                      Tab                                   Setting                           Value
                                      General Options                       Basic Settings > Location         Primitive 3D
                                                                            Domain Models > Domain Motion >   Stationary
                                                                            Option

                               4. Click OK.

Creating the Boundary Conditions
                               The following boundary conditions that define the problem will be set:
                               •     An inlet through which air enters the mixer.
                               •     A degassing outlet, so that only the gas phase can leave the domain.
                               •     Thin surfaces for the baffle and impeller blade.
                               •     A wall for the hub and shaft in the rotating domain. This will be stationary relative to the
                                     rotating domain.
                               •     A wall for the shaft in the stationary domain. This will be rotating relative to the
                                     stationary domain.
                               •     Periodic domain interfaces for the periodic faces of the tank and impeller.
                               Periodic domain interfaces can either be one-to-one or GGI interfaces. One-to-one
                               transformations occur for topologically similar meshes whose nodes match within a given
                               tolerance. One-to-one periodic interfaces are more accurate and reduce CPU and memory
                               requirements.
                               When the default wall boundary condition is generated, the internal 2D regions of an
                               imported mesh are ignored, while the regions that form domain boundaries are included.

Air Inlet                      1. Create a new boundary condition in the domain tank named Airin.
Boundary                       2. Apply the following settings


                                      Tab                         Setting                                     Value
                                      Basic Settings              Boundary Type                               Inlet
                                                                  Location                                    INLET_DIPTUBE
                                      Boundary Details            Mass and Momentum > Option                  Fluid Dependent


ANSYS CFX Tutorials. ANSYS CFX Release 11.0. © 1996-2006 ANSYS Europe, Ltd. All rights reserved.                                Page 257
Contains proprietary and confidential information of ANSYS, Inc. and its subsidiaries and affiliates.
Tutorial 15: Multiphase Flow in Mixing Vessel: Defining a Simulation in ANSYS CFX-Pre

                              Tab                         Setting                                                          Value
                              Fluid Values                Boundary Conditions                                              Air at 25 C
                                                          Boundary Conditions > Air at 25 C > Velocity 5 [m s^-1]
                                                          > Normal Speed
                                                          Boundary Conditions > Air at 25 C > Volume 1
                                                          Fraction > Volume Fraction
                                                          Boundary Conditions                                              Water
                                                          Boundary Conditions > Water > Velocity >                         5 [m s^-1]
                                                          Normal Speed
                                                          Boundary Conditions > Water > Volume                             0
                                                          Fraction > Volume Fraction
                      3. Click OK.

Degassing             1. Create a new boundary condition in the domain tank named LiquidSurface.
Outlet                2. Apply the following settings
Boundary

                              Tab                         Setting                                                          Value
                              Basic Settings              Boundary Type                                                    Outlet
                                                          Location                                                         WALL_LIQUID_SURFACE
                              Boundary Details            Mass and Momentum > Option                                       Degassing Condition

                      3. Click OK.

Thin Surface for      In ANSYS CFX-Pre, thin surfaces can be created by specifying wall boundary conditions on
the Baffle            both sides of internal 2D regions. Both sides of the baffle regions will be specified as walls in
                      this case.
                      1. Create a new boundary condition in the domain tank named Baffle.
                      2. Apply the following settings


                              Tab                         Setting                                                          Value
                              Basic Settings              Boundary Type                                                    Wall
                                                          Location                                                         WALL_BAFFLES*
                              Boundary Details            Wall Influence On Flow > Option                                  Fluid Dependent
                              Fluid Values                Boundary Conditions                                              Air at 25 C
                                                          Boundary Conditions > Air at 25 C > Wall                         Free Slip
                                                          Influence on Flow > Option
                                                          Boundary Conditions                                              Water
                                                          Boundary Conditions > Water > Wall                               No Slip†
                                                          Influence on Flow > Option
                                   *.    The WALL_BAFFLES region includes the surfaces on both sides of the baffle (you can
                                         confirm this by examining WALL_BAFFLES in the region selector). Therefore, you do
                                         not need to use the Create Thin Surface Partner option.
                                   †.    The Free Slip condition can be used for the gas phase since the contact area with
                                         the walls is near zero for low gas phase volume fractions.

                      3. Click OK.
Page 258           ANSYS CFX Tutorials. ANSYS CFX Release 11.0. © 1996-2006 ANSYS Europe, Ltd. All rights reserved.
                   Contains proprietary and confidential information of ANSYS, Inc. and its subsidiaries and affiliates.
Tutorial 15: Multiphase Flow in Mixing Vessel: Defining a Simulation in ANSYS CFX-Pre
Wall Boundary                  The next stage involves setting up a boundary condition for the shaft, which exists in the
Condition for                  tank (stationary domain). These regions are connected to the shaft in the impeller domain.
the Shaft
                               Since the tank domain is not rotating, you need to specify a moving wall to account for the
                               rotation of the shaft.
                               Part of the shaft is located directly above the air inlet, so the volume fraction of air in this
                               location will be high and the assumption of zero contact area for the gas phase is not
                               physically correct. In this case, a no slip boundary condition is more appropriate than a free
                               slip condition for the air phase. When the volume fraction of air in contact with a wall is low,
                               a free slip condition is more appropriate for the air phase.
                               In cases where it is important to correctly model the dispersed phase slip properties at walls
                               for all volume fractions, you can declare both fluids as no slip, but set up an expression for
                               the dispersed phase wall area fraction. The expression should result in an area fraction of
                               zero for dispersed phase volume fractions from 0 to 0.3, for example, and then linearly
                               increase to an area fraction of 1 as the volume fraction increases to 1.
                               1. Create a new boundary condition in the domain tank named TankShaft.
                               2. Apply the following settings


                                      Tab                         Setting                                      Value
                                      Basic Settings              Boundary Type                                Wall
                                                                  Location                                     WALL_SHAFT,
                                                                                                               WALL_SHAFT_CENTER
                                      Boundary Details            Wall Influence On Flow > Option              Fluid Dependent
                                      Fluid Values                Boundary Conditions                          Air at 25 C
                                                                  Boundary Conditions > Air at 25 C > Wall     No Slip
                                                                  Influence on Flow > Option
                                                                  Boundary Conditions > Air at 25 C > Wall     (Selected)
                                                                  Influence on Flow > Wall Velocity
                                                                  Boundary Conditions > Air at 25 C > Wall     Rotating Wall
                                                                  Influence on Flow > Wall Velocity > Option
                                                                  Boundary Conditions > Air at 25 C > Wall    84 [rev min-1]*
                                                                  Influence on Flow > Wall Velocity > Angular
                                                                  Velocity
                                                                  Boundary Conditions > Air at 25 C > Wall     Global X
                                                                  Influence on Flow > Wall Velocity > Axis
                                                                  Definition > Rotation Axis
                                           *.    Note the unit.

                               3. Select Water and set the same values as for Air at 25 C.
                               4. Click OK.

Required                       1. Create a new boundary condition in the domain impeller named Blade.
Boundary                       2. Apply the following settings
Conditions in
the Impeller
Domain


ANSYS CFX Tutorials. ANSYS CFX Release 11.0. © 1996-2006 ANSYS Europe, Ltd. All rights reserved.                                 Page 259
Contains proprietary and confidential information of ANSYS, Inc. and its subsidiaries and affiliates.
Tutorial 15: Multiphase Flow in Mixing Vessel: Defining a Simulation in ANSYS CFX-Pre


                            Tab                         Setting                                                          Value
                            Basic Settings              Boundary Type                                                    Wall
                                                        Location                                                         Blade
                                                        Thin Surfaces > Create Thin Surface Partner (Selected)*
                            Boundary Details            Wall Influence On Flow > Option                                  Fluid Dependent
                            Fluid Values                Boundary Conditions                                              Air at 25 C
                                                        Boundary Conditions > Air at 25 C > Wall                         Free Slip
                                                        Influence on Flow > Option
                                                        Boundary Conditions                                              Water
                                                        Boundary Conditions > Water > Wall                               No Slip
                                                        Influence on Flow > Option
                                 *.    The Blade region only includes the surface from one side of the blade (you can
                                       confirm this by examining Blade in the region selector). Therefore, you can select
                                       Create Thin Surface Partner to include the surfaces from the other side of the
                                       blade.

                    3. Click OK.
                       You will see in the tree view that a boundary named Blade Other Side has
                       automatically been created.
                    4. Create a new boundary condition in the domain impeller named HubShaft.
                    5. Apply the following settings


                            Tab                         Setting                                                          Value
                            Basic Settings              Boundary Type                                                    Wall
                                                        Location                                                         Hub, Shaft
                            Boundary Details            Wall Influence On Flow > Option                                  Fluid Dependent
                            Fluid Values                Boundary Conditions                                              Air at 25 C
                                                        Boundary Conditions > Air at 25 C > Wall                         Free Slip
                                                        Influence on Flow > Option
                                                        Boundary Conditions                                              Water
                                                        Boundary Conditions > Water > Wall                               No Slip
                                                        Influence on Flow > Option

                    6. Click OK.

Modifying the       1. On the tree view, open tank Default for editing.
Default Wall        2. Apply the following settings
Boundary
Condition
                            Tab                         Setting                                                          Value
                            Boundary Details            Wall Influence On Flow > Option                                  Fluid Dependent




Page 260         ANSYS CFX Tutorials. ANSYS CFX Release 11.0. © 1996-2006 ANSYS Europe, Ltd. All rights reserved.
                 Contains proprietary and confidential information of ANSYS, Inc. and its subsidiaries and affiliates.
Tutorial 15: Multiphase Flow in Mixing Vessel: Defining a Simulation in ANSYS CFX-Pre

                                      Tab                         Setting                                    Value
                                      Fluid Values                Boundary Conditions                        Air at 25 C
                                                                  Boundary Conditions > Air at 25 C > Wall   Free Slip
                                                                  Influence on Flow > Option
                                                                  Boundary Conditions                        Water
                                                                  Boundary Conditions > Water > Wall         No Slip
                                                                  Influence on Flow > Option
                               3. Click OK.
                                     It is not necessary to set the default boundary in the impeller domain since the
                                     remaining surfaces will be assigned interface conditions in the next section.

Creating the Domain Interfaces
Impeller                       1. Create a new domain interface named ImpellerPeriodic.
Domain                         2. Apply the following settings


                                      Tab                         Setting                                    Value
                                      Basic Settings              Interface Type                             Fluid Fluid
                                                                  Interface Side 1 > Domain (Filter)         impeller
                                                                  Interface Side 1 > Region List             Periodic1
                                                                  Interface Side 2 > Domain (Filter)         impeller
                                                                  Interface Side 2 > Region List             Periodic2
                                                                  Interface Models > Option                  Rotational Periodicity
                                                                  Interface Models > Axis Definition >       Global X
                                                                  Rotation Axis

                               3. Click OK.

Tank Domain                    1. Create a new domain interface named TankPeriodic.
                               2. Apply the following settings


                                      Tab                         Setting                                    Value
                                      Basic Settings              Interface Type                             Fluid Fluid
                                                                  Interface Side 1 > Domain (Filter)         tank
                                                                  Interface Side 1 > Region List             BLKBDY_TANK_PER1
                                                                  Interface Side 2 > Domain (Filter)         tank
                                                                  Interface Side 2 > Region List             BLKBDY_TANK_PER2
                                                                  Interface Models > Option                  Rotational Periodicity
                                                                  Interface Models > Axis Definition >       Global X
                                                                  Rotation Axis

                               3. Click OK.




ANSYS CFX Tutorials. ANSYS CFX Release 11.0. © 1996-2006 ANSYS Europe, Ltd. All rights reserved.                                Page 261
Contains proprietary and confidential information of ANSYS, Inc. and its subsidiaries and affiliates.
Tutorial 15: Multiphase Flow in Mixing Vessel: Defining a Simulation in ANSYS CFX-Pre
Frozen Rotor        Next, you will create three Frozen Rotor interfaces for the regions connecting the two
Interface           domains. In this case three separate interfaces are created. You should not try to create a
                    single domain interface for multiple surfaces that lie in different planes.
                    1. Create a new domain interface named Top.
                    2. Apply the following settings


                            Tab                         Setting                                                          Value
                            Basic Settings              Interface Type                                                   Fluid Fluid
                                                        Interface Side 1 > Domain (Filter)                               impeller
                                                        Interface Side 1 > Region List                                   Top
                                                        Interface Side 2 > Domain (Filter)                               tank
                                                        Interface Side 2 > Region List                                   BLKBDY_TANK_TOP
                                                        Interface Models > Frame Change/Mixing                           Frozen Rotor
                                                        Model > Option

                    3. Click OK.
                    4. Create a new domain interface named Bottom.
                    5. Apply the following settings


                            Tab                         Setting                                                          Value
                            Basic Settings              Interface Type                                                   Fluid Fluid
                                                        Interface Side 1 > Domain (Filter)                               impeller
                                                        Interface Side 1 > Region List                                   Bottom
                                                        Interface Side 2 > Domain (Filter)                               tank
                                                        Interface Side 2 > Region List                                   BLKBDY_TANK_BOT
                                                        Interface Models > Frame Change/Mixing                           Frozen Rotor
                                                        Model > Option

                    6. Click OK.
                    7. Create a new domain interface named Outer.
                    8. Apply the following settings


                            Tab                         Setting                                                          Value
                            Basic Settings              Interface Type                                                   Fluid Fluid
                                                        Interface Side 1 > Domain (Filter)                               impeller
                                                        Interface Side 1 > Region List                                   Outer
                                                        Interface Side 2 > Domain (Filter)                               tank
                                                        Interface Side 2 > Region List                                   BLKBDY_TANK_OUTER
                                                        Interface Models > Frame Change/Mixing                           Frozen Rotor
                                                        Model > Option

                    9. Click OK.



Page 262         ANSYS CFX Tutorials. ANSYS CFX Release 11.0. © 1996-2006 ANSYS Europe, Ltd. All rights reserved.
                 Contains proprietary and confidential information of ANSYS, Inc. and its subsidiaries and affiliates.
Tutorial 15: Multiphase Flow in Mixing Vessel: Defining a Simulation in ANSYS CFX-Pre

Setting Initial Values
                               The initialization for volume fraction is 0 for air and automatic for water. Therefore, the initial
                               volume fraction for water will be set to 1 so that the sum of the two fluid volume fractions is
                               1.
                               It is important to understand how the velocity is initialized in this tutorial. Here, both fluids
                               use Automatic for the Cartesian Velocity Components. When the Automatic option is
                               used, the initial velocity field will be based on the velocity values set at inlets, openings, and
                               outlets. In this tutorial, the only boundary that has a set velocity value is the inlet, which
                               specifies a velocity of 5 [m s^-1] for both phases. Without setting the Velocity Scale
                               parameter, the resulting initial guess would be a uniform velocity of 5 [m s^-1] in the
                               X-direction throughout the domains for both phases. This is clearly not suitable since the
                               water phase is enclosed by the tank. When the boundary velocity conditions are not
                               representative of the expected domain velocities, the Velocity Scale parameter should be
                               used to set a representative domain velocity. In this case the velocity scale for water is set to
                               zero, causing the initial velocity for the water to be zero. The velocity scale is not set for air,
                               resulting in an initial velocity of 5 [m s^-1] in the X-direction for the air. This should not be a
                               problem since the initial volume fraction of the air is zero everywhere.

                               1. Click Global Initialization                     .
                               2. Apply the following settings


                                      Tab                     Setting                                                 Value
                                      Fluid Settings          Fluid Specific Initialization                           Air at 25 C
                                                              Fluid Specific Initialization > Air at 25 C > Initial   Automatic with Value
                                                              Conditions > Volume Fraction > Option
                                                              Fluid Specific Initialization > Air at 25 C > Initial   0
                                                              Conditions > Volume Fraction > Volume Fraction
                                                              Fluid Specific Initialization                           Water
                                                              Fluid Specific Initialization > Water > Initial         (Selected)
                                                              Conditions > Cartesian Velocity Components >
                                                              Velocity Scale
                                                              Fluid Specific Initialization > Water > Initial         0 [m s^-1]
                                                              Conditions > Cartesian Velocity Components >
                                                              Velocity Scale > Value
                                                              Fluid Specific Initialization > Water > Initial         (Selected)
                                                              Conditions > Turbulence Eddy Dissipation

                               3. Click OK.

Setting Solver Control
                               Generally, two different time scales exist for multiphase mixers. The first is a small time scale
                               based on the rotational speed of the impeller, typically taken as 1 / ω , resulting in a time
                               scale of 0.11 s for this case. The second time scale is usually larger and based on the
                               recirculation time of the continuous phase in the mixer.


ANSYS CFX Tutorials. ANSYS CFX Release 11.0. © 1996-2006 ANSYS Europe, Ltd. All rights reserved.                                     Page 263
Contains proprietary and confidential information of ANSYS, Inc. and its subsidiaries and affiliates.
Tutorial 15: Multiphase Flow in Mixing Vessel: Defining a Simulation in ANSYS CFX-Pre
                    Using a timestep based on the rotational speed of the impeller will be more robust, but
                    convergence will be slow since it takes time for the flow field in the mixer to develop. Using
                    a larger timestep reduces the number of iterations required for the mixer flow field to
                    develop, but reduces robustness. You will need to experiment to find an optimum timestep.

                    Note: You may find it useful to monitor the value of an expression during the solver run so
                    that you can view the volume fraction of air in the tank (the gas hold up). The gas hold up is
                    often used to judge convergence in these types of simulations by converging until a
                    steady-state value is achieved. You could create the following expressions:
                    TankAirHoldUp = volumeAve(Air at 25 C.vf)@tank
                    ImpellerAirHoldUp = volumeAve(Air at 25 C.vf)@impeller
                    TotalAirHoldUp = (volume()@tank * TankAirHoldUp + volume()@impeller *
                    ImpellerAirHoldUp) / (volume()@tank + volume()@impeller)
                    and then monitor the value of TotalAirHoldUp.

                    1. Click Solver Control                    .
                    2. Apply the following settings


                            Tab                         Setting                                                          Value
                            Basic Settings              Convergence Control > Fluid Timescale                            Physical Timescale
                                                        Control > Timescale Control
                                                        Convergence Control > Fluid Timescale                            2 [s]*
                                                        Control > Physical Timescale
                                 *.    This is an aggressive timestep for this case.

                    3. Click OK.

Setting Output Control
                    In the next step, you will choose to write additional data to the results file which allows force
                    and torque calculations to be performed in post-processing.

                    1. Click Output Control                        .
                    2. Apply the following settings


                            Tab                         Setting                                                          Value
                            Results                     Output Boundary Flows                                            (Selected)
                                                        Output Boundary Flows > Boundary Flows                           All

                    3. Click OK.

Writing the Solver (.def) File
                    Since this tutorial uses domain interfaces and you choose to summarize the interface data,
                    an information window is displayed that informs you of the connection type used for each
                    domain interface.

                    1. Click Write Solver File                     .
                    2. Apply the following settings:
Page 264         ANSYS CFX Tutorials. ANSYS CFX Release 11.0. © 1996-2006 ANSYS Europe, Ltd. All rights reserved.
                 Contains proprietary and confidential information of ANSYS, Inc. and its subsidiaries and affiliates.
Tutorial 15: Multiphase Flow in Mixing Vessel: Obtaining a Solution using ANSYS CFX-Solver Manager


                                         Setting                                        Value
                                         File name                                      MultiphaseMixer.def
                                         Summarize Interface Data                       (Selected)
                                         Quit CFX–Pre*                                  (Cleared)

                                            *.   If using ANSYS CFX-Pre in Standalone Mode.

                               3. Ensure Start Solver Manager is selected and click Save.
                                  If you are notified the file already exists, click Overwrite.
                                  A message about interface connections appears.
                               4. Click OK.
                               5. If using Standalone Mode, quit ANSYS CFX-Pre, saving the simulation (.cfx) file at your
                                  discretion.



Obtaining a Solution using ANSYS CFX-Solver Manager
                               The ANSYS CFX-Solver Manager will be launched after ANSYS CFX-Pre has closed down. You
                               will be able to obtain a solution to the CFD problem by following the instructions below.
                               1. Ensure Define Run is displayed.
                               2. Click Start Run.
                                  ANSYS CFX-Solver runs and attempts to obtain a solution. This can take a long time
                                  depending on your system.
                                  After a run has finished, examine some of the information printed at the end of the OUT
                                  file.
                                  A common quantity of interest is the mass balance; this compares the amount of fluid
                                  leaving the domain to the amount entering.
                                     •      You usually want the Global Imbalance, in %: to be less than 0.1 % in a converged
                                            solution.
                                     •      For a single phase calculation, the mass balance is the P-Mass equation.
                                     •      For a multiphase calculation, examine the information given for the P-Vol equation.
                                     •      This is not the volumetric flow balance information, but is the summation of the
                                            phasic continuity mass balance information.
                               3. Click Yes to post-process the results when the completion message appears at the end
                                  of the run.
                               4. If using Standalone Mode, quit ANSYS CFX-Solver Manager.



Viewing the Results in ANSYS CFX-Post
                               When ANSYS CFX-Post has started you will be able to see the mixer geometry in the Viewer.
                               You will create some plots showing how effective mixing has occurred. You will also
                               calculate the torque and power required by the impeller.

ANSYS CFX Tutorials. ANSYS CFX Release 11.0. © 1996-2006 ANSYS Europe, Ltd. All rights reserved.                       Page 265
Contains proprietary and confidential information of ANSYS, Inc. and its subsidiaries and affiliates.
Tutorial 15: Multiphase Flow in Mixing Vessel: Viewing the Results in ANSYS CFX-Post

Visualizing the Mixing Process
Creating a plane 1. Create a new plane named Plane 1.
                    2. Apply the following settings


                            Tab                         Setting                                                          Value
                            Geometry                    Definition > Method                                              Three Points
                                                        Definition > Point 1                                             1, 0, 0
                                                        Definition > Point 2                                             0, 1, -0.9
                                                        Definition > Point 3                                             0, 0, 0
                            Color                       Mode                                                             Variable
                                                        Variable                                                         Air at 25 C.Volume Fraction
                                                        Range                                                            User Specified
                                                        Min                                                              0
                                                        Max                                                              0.04

                    3. Click Apply.
                    4. Observe the plane, then apply the following settings:


                            Tab                         Setting                                                          Value
                            Color                       Variable                                                         Air at 25 C.Shear Strain Rate
                                                        Range                                                            User Specified
                                                        Min                                                              0 [s^-1]
                                                        Max                                                              15 [s^-1]

                    5. Click Apply.
                       Areas of high shear strain rate or shear stress are typically also areas where the highest
                       mixing occurs.
                    6. Observe the plane, then apply the following settings:


                            Tab                         Setting                                                          Value
                            Color                       Variable                                                         Pressure
                                                        Range                                                            Local

                    7. Click Apply.
                          Note that the hydrostatic contribution to pressure is excluded due to the use of an
                          appropriate buoyancy reference density. If you plot the variable called Absolute
                          Pressure, you will see the true pressure including the hydrostatic contribution.

Creating a          1. Create a new vector named Vector 1.
vector              2. Apply the following settings




Page 266         ANSYS CFX Tutorials. ANSYS CFX Release 11.0. © 1996-2006 ANSYS Europe, Ltd. All rights reserved.
                 Contains proprietary and confidential information of ANSYS, Inc. and its subsidiaries and affiliates.
Tutorial 15: Multiphase Flow in Mixing Vessel: Viewing the Results in ANSYS CFX-Post


                                      Tab                         Setting                                  Value
                                      Geometry                    Definition > Locations                   Plane 1
                                                                  Variable                                 Water.Velocity in Stn Frame*
                                      Symbol                      Symbol Size                              0.2
                                                                  Normalize Symbols                        (Selected)
                                           *.    Using this variable, instead of Water.Velocity, results in the velocity vectors
                                                 appearing to be continuous at the interface between the rotating and stationary
                                                 domains. Velocity variables that do not include a frame specification always use the
                                                 local reference frame.

                               3. Observe the vector plot, then change the variable to Air at 25 C.Velocity in Stn
                                  Frame. Observe this as well, then clear the visibility of Vector 1.
                               4. Modify the tank Default object.
                               5. Apply the following settings:


                                      Tab                         Setting                                  Value
                                      Color                       Mode                                     Variable
                                                                  Variable                                 Water.Wall Shear
                                                                  Range                                    Local

                                     The legend for this plot shows the range of wall shear values.
                                     The global maximum wall shear is much higher than the maximum value on the default
                                     walls. The global maximum values occur on the TankShaft boundary directly above the
                                     inlet. Although these values are very high, the shear force exerted on this boundary will
                                     be small since the contact area fraction of water here is very small.

Calculating                    1. Select Tools > Function Calculator from the main menu or click Show Function
Power and
                                     Calculator             from the main toolbar.
Torque
Required by the                2. Apply the following settings:
Impeller
                                      Tab                         Setting                                  Value
                                      Function                    Function                                 torque
                                      Calculator                  Location                                 Blade
                                                                  Axis                                     Global X
                                                                  Fluid                                    All Fluids

                               3. Click Calculate to find the torque required to rotate Blade about the X-axis.
                               4. Repeat the calculation setting Location to Blade Other Side.
                               The sum of these two results is the torque required by the single impeller blade,
                               approximately 70 [N m]. This must be multiplied by the number of blades in the full
                               geometry to obtain the total torque required by the impeller; the result is a value of
                               approximately 282 [N m]. You could also include the results from the locations HubShaft
                               and TankShaft; however in this case their contributions are negligible.

ANSYS CFX Tutorials. ANSYS CFX Release 11.0. © 1996-2006 ANSYS Europe, Ltd. All rights reserved.                               Page 267
Contains proprietary and confidential information of ANSYS, Inc. and its subsidiaries and affiliates.
Tutorial 15: Multiphase Flow in Mixing Vessel: Viewing the Results in ANSYS CFX-Post
                    The power requirement is simply the required torque multiplied by the rotational speed
                    (8.8 rad/s): Power = 282*8.8 = 2482 [W].
                    Remember that this value is the power requirement for the work done on the fluid only, it
                    does not account for any mechanical losses, efficiencies etc. Also note that the accuracy of
                    these results is significantly affected by the coarseness of the mesh. You should not use a
                    mesh of this length scale to obtain accurate quantitative results.




Page 268         ANSYS CFX Tutorials. ANSYS CFX Release 11.0. © 1996-2006 ANSYS Europe, Ltd. All rights reserved.
                 Contains proprietary and confidential information of ANSYS, Inc. and its subsidiaries and affiliates.
Tutorial 16:
Gas-Liquid Flow in an Airlift
Reactor

Introduction
                               This tutorial includes:
                               •     Tutorial 16 Features (p. 270)
                               •     Overview of the Problem to Solve (p. 270)
                               •     Defining a Simulation in ANSYS CFX-Pre (p. 271)
                               •     Obtaining a Solution using ANSYS CFX-Solver Manager (p. 277)
                               •     Viewing the Results in ANSYS CFX-Post (p. 278)
                               •     Additional Fine Mesh Simulation Results (p. 280)

                               If this is the first tutorial you are working with it is important to review the following topics
                               before beginning:
                               •     Setting the Working Directory (p. 1)
                               •     Changing the Display Colors (p. 2)
                               Unless you plan on running a session file, you should copy the sample files used in this
                               tutorial from the installation folder for your software (<CFXROOT>/examples/) to your
                               working directory. This prevents you from overwriting source files provided with your
                               installation. If you plan to use a session file, please refer to Playing a Session File (p. 271).
                               Sample files referenced by this tutorial include:
                               •     BubbleColumn.pre
                               •     BubbleColumnMesh.gtm




ANSYS CFX Tutorials                                                                                                      Page 269
ANSYS CFX Release 11.0. © 1996-2006 ANSYS Europe, Ltd. All rights reserved.
Contains proprietary and confidential information of ANSYS, Inc. and its subsidiaries and affiliates.
Tutorial 16: Gas-Liquid Flow in an Airlift Reactor: Tutorial 16 Features

Tutorial 16 Features
                     This tutorial addresses the following features of ANSYS CFX.


                      Component                                   Feature                                           Details
                      ANSYS CFX-Pre                               User Mode                                         General
                                                                  Simulation Type                                   Steady State
                                                                  Fluid Type                                        General Fluid
                                                                  Domain Type                                       Single Domain
                                                                  Turbulence Model                                  Dispersed Phase Zero Equation
                                                                                                                    Fluid-Dependent Turbulence
                                                                                                                    Model
                                                                                                                    k-Epsilon
                                                                  Heat Transfer                                     None
                                                                  Buoyant Flow
                                                                  Multiphase
                                                                  Boundary Conditions                               Inlet (Subsonic)
                                                                                                                    Outlet (Degassing)
                                                                                                                    Symmetry Plane
                                                                                                                    Wall: Thin Surface
                                                                                                                    Wall: (Slip Depends on Volume
                                                                                                                    Fraction)
                                                                  Timestep                                          Physical Time Scale
                      ANSYS CFX-Post                              Plots                                             Default Locators
                                                                                                                    Vector
                                                                  Other                                             Changing the Color Range
                                                                                                                    Symmetry

                     In this tutorial you will learn about:
                     •     Setting up a multiphase flow involving air and water
                     •     Using a fluid dependent turbulence model to set different turbulence options for each
                           fluid.
                     •     Specifying buoyant flow.
                     •     Specifying a degassing outlet boundary condition to allow air, but not water, to escape
                           from the boundary.



Overview of the Problem to Solve
                     This tutorial demonstrates the Eulerian–Eulerian multiphase model in ANSYS CFX. The
                     tutorial simulates a bubble column with an internal tube (draft tube) used to direct
                     recirculation of the flow. This configuration is known as an airlift reactor. Bubble columns are
                     tall gas-liquid contacting vessels and are often used in processes where gas absorption is
                     important (e.g., bioreactors to dissolve oxygen in broths) and to limit the exposure of
                     micro-organisms to excessive shear, imparted by mechanically driven mixers.

Page 270          ANSYS CFX Tutorials. ANSYS CFX Release 11.0. © 1996-2006 ANSYS Europe, Ltd. All rights reserved.
                  Contains proprietary and confidential information of ANSYS, Inc. and its subsidiaries and affiliates.
Tutorial 16: Gas-Liquid Flow in an Airlift Reactor: Defining a Simulation in ANSYS CFX-Pre
                               This example models the dispersion of air bubbles in water. The gas is supplied through a
                               sparger at the bottom of the vessel and the rising action of the bubbles provides gentle
                               agitation of the liquid.
                               Simple bubble columns that are without the draft tube tend to develop irregular flow
                               patterns and poor overall mixing. The draft tube in the airlift reactor helps establish a regular
                               flow pattern in the column and achieve better uniformity of temperature, concentration
                               and pH in the liquid phase, but sometimes at the expense of decreased mass transfer from
                               the gas to the liquid.
                               This tutorial also demonstrates the use of thin surfaces. Thin surfaces are internal two
                               dimensional wall boundaries used to model thin three dimensional features (e.g., baffles,
                               guide vanes within ducts, etc.).
                               The airlift reactor that is modeled here is very similar to the laboratory bench scale prototype
                               used by García-Calvo and Letón.
                               If you are interested, a formal analysis of this simulation involving a finer mesh is available
                               at the end of this tutorial. For details, see Additional Fine Mesh Simulation Results (p. 280).



Defining a Simulation in ANSYS CFX-Pre
                               The following sections describe the simulation setup in ANSYS CFX-Pre.

Playing a Session File
                               If you wish to skip past these instructions, and have ANSYS CFX-Pre set up the simulation
                               automatically, you can select Session > Play Tutorial from the menu in ANSYS CFX-Pre,
                               then run the session file: BubbleColumn.pre. After you have played the session file as
                               described in earlier tutorials under Playing the Session File and Starting ANSYS CFX-Solver
                               Manager (p. 87), proceed to Obtaining a Solution using ANSYS CFX-Solver Manager (p. 277).

Creating a New Simulation
                               1. Start ANSYS CFX-Pre.
                               2. Select File > New Simulation.
                               3. Select General and click OK.
                               4. Select File > Save Simulation As.
                               5. Under File name, type BubbleColumn.
                               6. Click Save.

Importing the Mesh
                               1. Right-click Mesh and select Import Mesh.
                               2. Apply the following settings




ANSYS CFX Tutorials. ANSYS CFX Release 11.0. © 1996-2006 ANSYS Europe, Ltd. All rights reserved.                      Page 271
Contains proprietary and confidential information of ANSYS, Inc. and its subsidiaries and affiliates.
Tutorial 16: Gas-Liquid Flow in an Airlift Reactor: Defining a Simulation in ANSYS CFX-Pre


                             Setting                                                 Value
                             File name                                               BubbleColumnMesh.gtm

                     3. Click Open.

Creating the Domain
                     1. Right click Simulation in the Outline tree view and ensure that Automatic Default
                        Domain is selected. A domain named Default Domain should now appear under the
                        Simulation branch.
                     2. Double click Default Domain and apply the following settings:


                             Tab              Setting                                                                     Value
                             General          Basic Settings > Location                                                   B1.P3, B2.P3
                             Options
                                              Basic Settings > Fluids List                                                Air at 25 C, Water
                                              Domain Models > Pressure > Reference Pressure                               1 [atm]
                                              Domain Models > Buoyancy > Option                                           Buoyant
                                              Domain Models > Buoyancy > Gravity X Dirn.                                  0 [m s^-2]
                                              Domain Models > Buoyancy > Gravity Y Dirn.                                  -9.81 [m s^-2]
                                              Domain Models > Buoyancy > Gravity Z Dirn.                                  0 [m s^-2]
                                              Domain Models > Buoyancy > Buoy. Ref. Density*                              997 [kg m^-3]
                             Fluid            Multiphase Options > Homogeneous Model                                      (Cleared)
                             Models
                                              Multiphase Options > Allow Musig Fluids                                     (Cleared)
                                              Free Surface Model > Option                                                 None
                                              Heat Transfer > Option                                                      Isothermal
                                              Heat Transfer > Fluid Temperature                                           25 C
                                              Turbulence > Option                                                         Fluid Dependent
                             Fluid            Fluid Details                                                               Air at 25 C
                             Details          Fluid Details > Air at 25 C > Morphology > Option                           Dispersed Fluid
                                              Fluid Details > Air at 25 C > Morphology > Mean Diameter                    6 [mm]




Page 272          ANSYS CFX Tutorials. ANSYS CFX Release 11.0. © 1996-2006 ANSYS Europe, Ltd. All rights reserved.
                  Contains proprietary and confidential information of ANSYS, Inc. and its subsidiaries and affiliates.
Tutorial 16: Gas-Liquid Flow in an Airlift Reactor: Defining a Simulation in ANSYS CFX-Pre

                                      Tab              Setting                                                          Value
                                      Fluid            Fluid Pairs > Air at 25 C | Water > Surface Tension Coefficient (Selected)
                                      Pairs            Fluid Pairs > Air at 25 C | Water > Surface Tension Coefficient 0.072 [N m^-1]†
                                                       > Surf. Tension Coeff.
                                                       Fluid Pairs > Air at 25 C | Water > Momentum Transfer > Drag Grace
                                                       Force > Option
                                                       Fluid Pairs > Air at 25 C | Water > Momentum Transfer > Drag (Selected)
                                                       Force > Volume Fraction Correction Exponent
                                                       Fluid Pairs > Air at 25 C | Water > Momentum Transfer > Drag 2
                                                       Force > Volume Fraction Correction Exponent > Value
                                                       Fluid Pairs > Air at 25 C | Water > Momentum Transfer >          Lopez de
                                                       Non-drag Forces > Turbulent Dispersion Force > Option            Bertodano
                                                       Fluid Pairs > Air at 25 C | Water > Momentum Transfer >          0.3
                                                       Non-drag Forces > Turbulent Dispersion Force > Dispersion
                                                       Coeff.
                                                       Fluid Pairs > Air at 25 C | Water > Turbulence Transfer >        Sato Enhanced
                                                       Option                                                           Eddy Viscosity
                                           *.    For dilute dispersed multiphase flow, always set the buoyancy reference density to
                                                 that for continuous fluid.
                                           †.    This must be set to allow the Grace drag model to be used.
                               3. Click OK.

Creating the Boundary Conditions
                               For this simulation of the airlift reactor, the boundary conditions required are:
                               •     An inlet for air on the sparger.
                               •     A degassing outlet for air at the liquid surface.
                               •     A thin surface wall for the draft tube.
                               •     An exterior wall for the outer wall, base and sparger tube.
                               •     Symmetry planes for the cross sections.

Inlet Boundary                 There are an infinite number of inlet velocity/volume fraction combinations that will
                               produce the same mass inflow of air. The combination chosen gives an air inlet velocity
                               close to the terminal rise velocity. Since the water inlet velocity is zero, you can adjust its
                               volume fraction until the required mass flow rate of air is obtained for a given air inlet
                               velocity.
                               1. Create a new boundary condition named Sparger.
                               2. Apply the following settings


                                      Tab                         Setting                                     Value
                                      Basic Settings              Boundary Type                               Inlet
                                                                  Location                                    Sparger
                                      Boundary Details            Mass And Momentum > Option                  Fluid Dependent




ANSYS CFX Tutorials. ANSYS CFX Release 11.0. © 1996-2006 ANSYS Europe, Ltd. All rights reserved.                                    Page 273
Contains proprietary and confidential information of ANSYS, Inc. and its subsidiaries and affiliates.
Tutorial 16: Gas-Liquid Flow in an Airlift Reactor: Defining a Simulation in ANSYS CFX-Pre

                             Tab                         Setting                                                          Value
                             Fluid Values                Boundary Conditions                                              Air at 25 C
                                                         Boundary Conditions > Air at 25 C > Velocity 0.3 [m s^-1]
                                                         > Normal Speed
                                                         Boundary Conditions > Air at 25 C > Volume 0.25
                                                         Fraction > Volume Fraction
                                                         Boundary Conditions                                              Water
                                                         Boundary Conditions > Water > Velocity >                         0 [m s^-1]
                                                         Normal Speed
                                                         Boundary Conditions > Water > Volume                             0.75
                                                         Fraction > Volume Fraction
                     3. Click OK.

Outlet               The top of the reactor will be a degassing boundary, which is classified as an outlet
Boundary             boundary.
                     1. Create a new boundary condition named Top.
                     2. Apply the following settings


                             Tab                         Setting                                                          Value
                             Basic Settings              Boundary Type                                                    Outlet
                                                         Location                                                         Top
                             Boundary Details            Mass and Momentum > Option                                       Degassing Condition

                     3. Click OK.

Thin Surface         Thin surfaces are created by specifying a wall boundary condition on both sides of an
Draft Tube           internal region. If only one side has a boundary condition then the ANSYS CFX-Solver will
Boundary
                     fail. To assist with this, you can select only one side of a thin surface and then enable the
                     Create Thin Surface Partner toggle. ANSYS CFX-Pre will then try to automatically create
                     another boundary condition for the other side.
                     1. Create a new boundary condition named DraftTube.
                     2. Apply the following settings


                             Tab                         Setting                                                          Value
                             Basic Settings              Boundary Type                                                    Wall
                                                         Location                                                         Draft Tube
                                                         Thin Surfaces > Create Thin Surface Partner (Selected)
                             Boundary Details            Wall Influence On Flow > Option                                  Fluid Dependent
                             Fluid Values                Boundary Conditions                                              Air at 25 C
                                                         Boundary Conditions > Air at 25 C > Wall                         Free Slip
                                                         Influence On Flow > Option
                                                         Boundary Conditions                                              Water
                                                         Boundary Conditions > Water > Wall                               No Slip
                                                         Influence On Flow > Option

Page 274          ANSYS CFX Tutorials. ANSYS CFX Release 11.0. © 1996-2006 ANSYS Europe, Ltd. All rights reserved.
                  Contains proprietary and confidential information of ANSYS, Inc. and its subsidiaries and affiliates.
Tutorial 16: Gas-Liquid Flow in an Airlift Reactor: Defining a Simulation in ANSYS CFX-Pre
                               3. Click OK.
                               A boundary condition named DraftTube Other Side will now be created automatically.

Symmetry Plane In this step you will create symmetry plane boundary conditions on the Symmetry1 and
Boundary       Symmetry2 locators, one for each of the two vertical cross sections of the reactor sector.

                               1. Create a new boundary condition named SymP1.
                               2. Apply the following settings


                                      Tab                         Setting                                    Value
                                      Basic Settings              Boundary Type                              Symmetry
                                                                  Location                                   Symmetry1

                               3. Click OK.
                               4. Create a new boundary condition named SymP2.
                               5. Apply the following settings


                                      Tab                         Setting                                    Value
                                      Basic Settings              Boundary Type                              Symmetry
                                                                  Location                                   Symmetry2

                               6. Click OK.

Modifying the                  The remaining external regions are assigned to the default wall boundary condition. This
Default                        needs to be modified to set the Air phase to Free Slip.
Boundary
                               1. In the Outline workspace, open Default Domain Default for editing.
                               2. Apply the following settings


                                      Tab                         Setting                                    Value
                                      Boundary Details            Wall Influence on Flow > Option            Fluid Dependent
                                      Fluid Values                Boundary Conditions                        Air at 25 C
                                                                  Boundary Conditions > Air at 25 C > Wall   Free Slip
                                                                  Influence on Flow > Option

                               3. Click OK.
                               The boundary condition specifications are now complete.

Setting Initial Values
                               It often helps to set an initial velocity for a dispersed phase that is different to that of the
                               continuous phase. This results in a non-zero drag between the phases which can help
                               stability at the start of a simulation.
                               For some bubble column problems, improved convergence can be obtained by using CEL
                               (CFX Expression Language) to specify a non zero volume fraction, for air in the riser and a
                               zero value in the downcomer. This should be done if two solutions are possible (for example,
                               if the flow could go up the downcomer and down the riser).
ANSYS CFX Tutorials. ANSYS CFX Release 11.0. © 1996-2006 ANSYS Europe, Ltd. All rights reserved.                               Page 275
Contains proprietary and confidential information of ANSYS, Inc. and its subsidiaries and affiliates.
Tutorial 16: Gas-Liquid Flow in an Airlift Reactor: Defining a Simulation in ANSYS CFX-Pre

                     1. Click Global Initialization                     .
                           Since a single pressure field exists for a multiphase calculation you do not set pressure
                           values on a per fluid basis.
                     2. Apply the following settings


                             Tab                    Setting                                                               Value
                             Fluid Settings         Fluid Specific Initialization                                         Air at 25 C
                                                    Fluid Specific Initialization > Air at 25 C                           (Selected)
                                                    Fluid Specific Initialization > Air at 25 C > Initial                 Automatic with Value
                                                    Conditions > Cartesian Velocity Components >
                                                    Option
                                                    Fluid Specific Initialization > Air at 25 C > Initial                 0 [m s^-1]
                                                    Conditions > Cartesian Velocity Components > U
                                                    Fluid Specific Initialization > Air at 25 C > Initial                 0.3 [m s^-1]
                                                    Conditions > Cartesian Velocity Components > V
                                                    Fluid Specific Initialization > Air at 25 C > Initial                 0 [m s^-1]
                                                    Conditions > Cartesian Velocity Components > W
                                                    Fluid Specific Initialization                                         Water*
                                                    Fluid Specific Initialization > Water                                 (Selected)
                                                    Fluid Specific Initialization > Water > Initial                       Automatic with Value
                                                    Conditions > Cartesian Velocity Components >
                                                    Option
                                                    Fluid Specific Initialization > Water > Initial                       0 [m s^-1]
                                                    Conditions > Cartesian Velocity Components > U
                                                    Fluid Specific Initialization > Water > Initial                       0 [m s^-1]
                                                    Conditions > Cartesian Velocity Components > V
                                                    Fluid Specific Initialization > Water > Initial                       0 [m s^-1]
                                                    Conditions > Cartesian Velocity Components > W
                                                    Fluid Specific Initialization > Water > Initial                       Automatic
                                                    Conditions > Turbulence Kinetic Energy > Option
                                                    Fluid Specific Initialization > Water > Initial                       (Selected)
                                                    Conditions > Turbulence Eddy Dissipation
                                                    Fluid Specific Initialization > Water > Initial                       Automatic
                                                    Conditions > Turbulence Eddy Dissipation >
                                                    Option
                                                    Fluid Specific Initialization > Water > Initial                       Automatic with Value
                                                    Conditions > Volume Fraction > Option
                                                    Fluid Specific Initialization > Water > Initial                       1†
                                                    Conditions > Volume Fraction > Volume Fraction
                                  *.    Since there is no water entering or leaving the domain, a stationary initial guess is
                                        recommended.
                                  †.    The volume fractions must sum to unity over all fluids. Since a value has been set for
                                        water, the volume fraction of air will be calculated as the remaining difference, in
                                        this case, 0.

                     3. Click OK.



Page 276          ANSYS CFX Tutorials. ANSYS CFX Release 11.0. © 1996-2006 ANSYS Europe, Ltd. All rights reserved.
                  Contains proprietary and confidential information of ANSYS, Inc. and its subsidiaries and affiliates.
Tutorial 16: Gas-Liquid Flow in an Airlift Reactor: Obtaining a Solution using ANSYS CFX-Solver Manager

Setting Solver Control
                               If you are using a maximum edge length of 0.005 m or less to produce a finer mesh, use a
                               Target Residual of 1.0E-05 to obtain a more accurate solution.

                               1. Click Solver Control                   .
                               2. Apply the following settings


                                      Tab                         Setting                                  Value
                                      Basic Settings              Convergence Control > Fluid Timescale    Physical Timescale
                                                                  Control > Timescale Control
                                                                  Convergence Control > Fluid Timescale    1 [s]
                                                                  Control > Physical Timescale

                               3. Click OK.

Writing the Solver (.def) File
                               1. Click Write Solver File                    .
                               2. Apply the following settings:


                                      Setting                                           Value
                                      File name                                         BubbleColumn.def
                                      Quit CFX–Pre*                                     (Selected)

                                           *.    If using ANSYS CFX-Pre in Standalone Mode.

                               3. Ensure Start Solver Manager is selected and click Save.
                               4. If using Standalone Mode, quit ANSYS CFX-Pre, saving the simulation (.cfx) file at your
                                  discretion.



Obtaining a Solution using ANSYS CFX-Solver Manager
                               The ANSYS CFX-Solver Manager will be launched after ANSYS CFX-Pre has closed down. You
                               will be able to obtain a solution to the CFD problem by following the instructions below.

                               Note: If a fine mesh is used for a formal quantitative analysis of the flow in the reactor, the
                               solution time will be significantly longer than for the coarse mesh. You can run the
                               simulation in parallel to reduce the solution time. For details, see Obtaining a Solution in
                               Parallel (p. 116).

                               1. Ensure Define Run is displayed.
                               2. Click Start Run.
                                  ANSYS CFX-Solver runs and attempts to obtain a solution. This can take a long time
                                  depending on your system. Eventually a dialog box is displayed stating that the
                                  simulation has completed.


ANSYS CFX Tutorials. ANSYS CFX Release 11.0. © 1996-2006 ANSYS Europe, Ltd. All rights reserved.                                Page 277
Contains proprietary and confidential information of ANSYS, Inc. and its subsidiaries and affiliates.
Tutorial 16: Gas-Liquid Flow in an Airlift Reactor: Viewing the Results in ANSYS CFX-Post
                     3. Click Yes to post-process the results when the completion message appears at the end
                        of the run.
                     4. If using Standalone Mode, quit ANSYS CFX-Solver Manager.



Viewing the Results in ANSYS CFX-Post
                     The following topics will be discussed:
                     •     Creating Velocity Vector Plots (p. 278)
                     •     Viewing Volume Fractions (p. 279)
                     •     Displaying the Entire Airlift Reactor Geometry (p. 280)

Creating Velocity Vector Plots
                     Because the simulation in this tutorial is conducted on a coarse grid, the results are only
                     suitable for a qualitative demonstration of the multiphase capability of ANSYS CFX, Release
                     11.0. You will first examine the distribution of velocities and fluid volume fraction by
                     creating the following plots. The results will then be verified to check if the values are
                     reasonable.
                     1. Right-click a blank area in the viewer and select Predefined Camera > View Towards
                        -Z.
                     2. Zoom in as required.
                     3. Turn on the visibility of SymP1.
                     4. Apply the following settings to SymP1.


                             Tab                         Setting                                                          Value
                             Color                       Mode                                                             Variable
                                                         Variable                                                         Air at 25 C.Volume Fraction
                                                         Range                                                            User Specified
                                                         Min                                                              0
                                                         Max                                                              0.025

                     5. Click Apply. Observe the volume fraction values throughout the domain.
                     6. Turn off the visibility of SymP1.
                     7. Create a new vector named Vector 1.
                     8. Apply the following settings


                             Tab                         Setting                                                          Value
                             Geometry                    Definition > Locations                                           SymP1
                                                         Definition > Variable                                            Water.Velocity
                             Symbol                      Symbol Size                                                      0.3

                     9. Click Apply.
                     10. Create a new vector plot named Vector 2.
Page 278          ANSYS CFX Tutorials. ANSYS CFX Release 11.0. © 1996-2006 ANSYS Europe, Ltd. All rights reserved.
                  Contains proprietary and confidential information of ANSYS, Inc. and its subsidiaries and affiliates.
Tutorial 16: Gas-Liquid Flow in an Airlift Reactor: Viewing the Results in ANSYS CFX-Post
                               11. Apply the following settings


                                         Tab                      Setting                               Value
                                         Geometry                 Definition > Locations                SymP1
                                                                  Definition > Variable                 Air at 25 C.Velocity
                                         Symbol                   Symbol Size                           0.3

                               12. Click Apply.
                               13. Compare the vector fields by toggling the visibility of each and zooming in as needed.

Viewing Volume Fractions
                               In creating the geometry for the airlift reactor, a thin surface was used to model the draft
                               tube. You will next plot the volume fraction of air on the thin surface.
                               1. Right-click on a blank area in the viewer, and select Predefined Camera > Isometric
                                  View (Y up).
                               2. Zoom in as required.
                               3. Turn off the visibility of any vector plots and turn on the visibility of DraftTube.
                               4. Modify DraftTube by applying the following settings


                                         Tab                      Setting                               Value
                                         Color                    Mode                                  Variable
                                                                  Variable                              Air at 25 C.Volume Fraction
                                                                  Range                                 User Specified
                                                                  Min                                   0
                                                                  Max                                   0.02

                               5. Click Apply.
                                     •      This boundary represents one side of the thin surface. When viewing plots on thin
                                            surfaces, you must ensure that you are viewing the correct side of the thin surface.
                                     •      The plot just created is displaying the volume fraction for air in the downcomer
                                            region of the airlift reactor. If you rotate the geometry you will see that the same plot
                                            is visible from both sides of the thin surface.
                                     •      You will make use of the face culling feature whichs turns off the visibility of the plot
                                            on one side of the thin surface. In this case, you need to turn off the “front” faces.
                               6. Modify DraftTube by applying the following settings


                                         Tab                      Setting                               Value
                                         Render                   Draw Faces > Face Culling             Front Faces

                               7. Click Apply.
                               8. Rotate the image in the viewer to see the effect of face culling on DraftTube. You
                                  should see that the color appears only on one side: the downcomer side.
                               9. Turn on the visibility of DraftTube Other Side.

ANSYS CFX Tutorials. ANSYS CFX Release 11.0. © 1996-2006 ANSYS Europe, Ltd. All rights reserved.                               Page 279
Contains proprietary and confidential information of ANSYS, Inc. and its subsidiaries and affiliates.
Tutorial 16: Gas-Liquid Flow in an Airlift Reactor: Additional Fine Mesh Simulation Results
                     10. Color the DraftTube Other Side object using the same color settings as for
                         DraftTube.


                             Tab                         Setting                                                          Value
                             Color                       Mode                                                             Variable
                                                         Variable                                                         Air at 25 C.Volume Fraction
                                                         Range                                                            User Specified
                                                         Min                                                              0
                                                         Max                                                              0.02

                     11. Modify DraftTube Other Side by applying the following settings


                             Tab                         Setting                                                          Value
                             Render                      Draw Faces > Face Culling                                        Front Faces

                           This will create a plot of air volume fraction on the riser side of the bubble column.
                     12. Click Apply.
                     Rotating the geometry will now show correct plots of the air volume fraction on each side
                     of the draft tube.
                     To see why face culling was needed to prevent interference between the plots on each side
                     of the draft tube, try turning off face culling for DraftTube and watch the effect on the riser
                     side (Results may vary, which is why face culling was used to prevent interference.).

Displaying the Entire Airlift Reactor Geometry
                     Display the entire airlift reactor geometry by expanding User Locations and Plots and
                     double-clicking the Default Transform object:
                     1. Apply the following settings to Default Transform


                             Tab                         Setting                                                          Value
                             Definition                  Instancing Info From Domain                                      (Cleared)
                                                         # of Copies                                                      12
                                                         Apply Rotation > Axis                                            Y
                                                         Apply Rotation > # of Passages                                   12

                     2. Click Apply.



Additional Fine Mesh Simulation Results
                     A formal analysis of this airlift reactor was carried out on a finer grid (having 21000+ nodes
                     and a maximum edge length of 0.005 m).




Page 280          ANSYS CFX Tutorials. ANSYS CFX Release 11.0. © 1996-2006 ANSYS Europe, Ltd. All rights reserved.
                  Contains proprietary and confidential information of ANSYS, Inc. and its subsidiaries and affiliates.
Tutorial 16: Gas-Liquid Flow in an Airlift Reactor: Additional Fine Mesh Simulation Results
                               The analysis showed a region of air bubble recirculation at the top of the reactor on the
                               downcomer side. This was confirmed by zooming in on a vector plot of
                               Air at 25 C.Velocity on SymP1 near the top of the downcomer. A similar plot of
                               Water.Velocity revealed no recirculation of the water.

                               Other results of the simulation:
                               •     Due to their large 0.006 m diameter, the air bubbles quickly attained a significant
                                     terminal slip velocity (i.e., the terminal velocity relative to water). The resulting terminal
                                     slip velocity, obtained using the Grace drag model, is consistent with the prediction by
                                     Maneri and Mendelson and the prediction by Baker and Chao. These correlations
                                     predict a terminal slip velocity of about 0.23 m s-1 to 0.25 m s-1 for air bubbles of the
                                     diameter specified.
                               •     The values of gas hold up (the average volume fraction of air in the riser), the superficial
                                     gas velocity (the rising velocity, relative to the reactor vessel, of gas bubbles in the riser,
                                     multiplied by the gas holdup), and the liquid velocity in the downcomer agree with the
                                     results reported by García-Calvo and Letón, for gas holdup values of 0.03 or less. At
                                     higher values of gas holdup, the multifluid model does not account for pressure-volume
                                     work transferred from gas to liquid due to isothermal expansion of the bubbles. The
                                     simulation therefore tends to under-predict both the superficial gas velocity in the riser,
                                     and the liquid velocity in the downcomer for gas holdup values greater than 0.03.
                               Note: Multiphase results files contain the vector variable Fluid.Superficial Velocity
                               defined as Fluid.Volume Fraction multiplied by Fluid.Velocity. This is sometimes also
                               referred to as the fluid volume flux. The components of this vector variable are available as
                               scalar variables (e.g., Fluid.Superficial Velocity X).

                               Many reference texts on bubble columns cite the Hughmark correlation as a standard for
                               gas hold up and superficial gas velocity in bubble columns. However, the Hughmark
                               correlation should not be used when liquid flow is concurrent with gas at velocities
                               exceeding 0.1 m s-1. In the airlift reactor described in this tutorial, the liquid velocity in the
                               riser clearly exceeds 0.2 m s-1 and the Hughmark correlation is therefore not applicable.




ANSYS CFX Tutorials. ANSYS CFX Release 11.0. © 1996-2006 ANSYS Europe, Ltd. All rights reserved.                          Page 281
Contains proprietary and confidential information of ANSYS, Inc. and its subsidiaries and affiliates.
Tutorial 16: Gas-Liquid Flow in an Airlift Reactor: Additional Fine Mesh Simulation Results




Page 282          ANSYS CFX Tutorials. ANSYS CFX Release 11.0. © 1996-2006 ANSYS Europe, Ltd. All rights reserved.
                  Contains proprietary and confidential information of ANSYS, Inc. and its subsidiaries and affiliates.
Tutorial 17:
Air Conditioning Simulation

Introduction
                               This tutorial includes:
                               •     Tutorial 17 Features (p. 284)
                               •     Overview of the Problem to Solve (p. 285)
                               •     Defining a Simulation in ANSYS CFX-Pre (p. 285)
                               •     Obtaining a Solution using ANSYS CFX-Solver Manager (p. 295)
                               •     Viewing the Results in ANSYS CFX-Post (p. 295)

                               If this is the first tutorial you are working with, it is important to review the following topics
                               before beginning:
                               •     Setting the Working Directory (p. 1)
                               •     Changing the Display Colors (p. 2)
                               Unless you plan on running a session file, you should copy the sample files used in this
                               tutorial from the installation folder for your software (<CFXROOT>/examples/) to your
                               working directory. This prevents you from overwriting source files provided with your
                               installation. If you plan to use a session file, please refer to Playing a Session File (p. 285).
                               Sample files referenced by this tutorial include:
                               •     HVAC.pre
                               •     HVAC_expressions.ccl
                               •     HVACMesh.gtm
                               •     TStat_Control.F
                               Note: You must have a Fortran compiler installed on your system to perform this tutorial.




ANSYS CFX Tutorials                                                                                                      Page 283
ANSYS CFX Release 11.0. © 1996-2006 ANSYS Europe, Ltd. All rights reserved.
Contains proprietary and confidential information of ANSYS, Inc. and its subsidiaries and affiliates.
Tutorial 17: Air Conditioning Simulation: Tutorial 17 Features

Tutorial 17 Features
                     This tutorial addresses the following features of ANSYS CFX.


                      Component                                   Feature                                           Details
                      ANSYS CFX-Pre                               User Mode                                         General Mode
                                                                  Simulation Type                                   Transient
                                                                  Fluid Type                                        General Fluid
                                                                  Domain Type                                       Single Domain
                                                                  Turbulence Model                                  k-Epsilon
                                                                  Heat Transfer                                     Thermal Energy
                                                                  Radiation
                                                                  Buoyant Flow
                                                                  Boundary Conditions                               Boundary Profile Visualization
                                                                                                                    Inlet (Profile)
                                                                                                                    Outlet (Subsonic)
                                                                                                                    Wall: No-Slip
                                                                                                                    Wall: Adiabatic
                                                                                                                    Wall: Fixed Temperature
                                                                  Output Control
                                                                  CEL (CFX Expression Language)
                                                                  User Fortran
                                                                  Timestep                                          Transient Example
                                                                  Transient Results File
                      ANSYS CFX-Post                              Plots                                             Animation
                                                                                                                    Isosurface
                                                                                                                    Point
                                                                                                                    Slice Plane
                                                                  Other                                             Auto Annotation
                                                                                                                    Changing the Color Range
                                                                                                                    Legend
                                                                                                                    MPEG Generation
                                                                                                                    Time Step Selection
                                                                                                                    Title/Text
                                                                                                                    Transient Animation

                     In this tutorial you will learn about:
                     •     Using the Monte Carlo radiation model with a directional source of radiation.
                     •     Setting a monitor point to observe the temperature at a prescribed location.




Page 284          ANSYS CFX Tutorials. ANSYS CFX Release 11.0. © 1996-2006 ANSYS Europe, Ltd. All rights reserved.
                  Contains proprietary and confidential information of ANSYS, Inc. and its subsidiaries and affiliates.
Tutorial 17: Air Conditioning Simulation: Overview of the Problem to Solve

Overview of the Problem to Solve
                               This tutorial demonstrates a simple air conditioning case in a room. The room contains
                               windows and an inlet vent for cooled air. The windows are set up to include heat and
                               radiation sources that act to raise the temperature of the room. The inlet vent introduces
                               cool air into the room to lower the temperature to a set level. The room also contains an
                               outlet vent, which removes ambient air from the room.
                                                                                        Roof Inlet
                                     Windows




                               Outlet




Defining a Simulation in ANSYS CFX-Pre
                               This section describes the step-by-step definition of the flow physics in ANSYS CFX-Pre.

                               Important: You must have the required Fortran compiler installed and set in your system
                               path in order to run this tutorial. For details on which Fortran compiler is required for your
                               platform, see the applicable ANSYS, Inc. installation guide. If you are not sure which Fortran
                               compiler is installed on your system, try running the cfx5mkext command (found in
                               <CFXROOT>/bin) from the command line and read the output messages.


Playing a Session File
                               If you wish to skip past these instructions, and have ANSYS CFX-Pre set up the simulation
                               automatically, you can select Session > Play Tutorial from the menu in ANSYS CFX-Pre,
                               then run the session file: HVAC.pre.
                               After performing this step, you can continue from Obtaining a Solution using ANSYS
                               CFX-Solver Manager (p. 295).



ANSYS CFX Tutorials. ANSYS CFX Release 11.0. © 1996-2006 ANSYS Europe, Ltd. All rights reserved.                           Page 285
Contains proprietary and confidential information of ANSYS, Inc. and its subsidiaries and affiliates.
Tutorial 17: Air Conditioning Simulation: Defining a Simulation in ANSYS CFX-Pre

Creating a New Simulation
                    1. Start ANSYS CFX-Pre.
                    2. Select File > New Simulation.
                    3. Select General and click OK.
                    4. Select File > Save Simulation As.
                    5. Under File name, type HVAC.
                    6. Click Save.

Importing the Mesh
                    1. Right-click Mesh and select Import Mesh.
                    2. Apply the following settings


                            Setting                                                             Value
                            File name                                                           HVACMesh.gtm

                    3. Click Open.
                    4. Right-click a blank area in the viewer and select Predefined Camera > Isometric View
                       (Z up) from the shortcut menu.

Creating Expressions
                    This tutorial requires some CEL expressions. In this tutorial, a transient simulation will be
                    performed over 3 minutes 45 seconds with 3 second timesteps for a total of 75 timesteps.
                    Expressions will be used to enter these values. The expressions are also used to calculate the
                    inlet temperature of air under different conditions.
                    As the air conditioner will remove a specified amount of heat, the inlet vent temperature is
                    a function of the outlet vent temperature. A CEL function is used to find the outlet
                    temperature. A User CEL Function is used to simulate behavior of a thermostat that turns on
                    cold air when the temperature (measured at a particular location) is above 22 °C (295.15 K)
                    and turns off the cold air when the temperature falls below 20 °C (293.15 K).

                    Note: The expression for TSensor requires a monitor point named Thermometer to provide
                    room temperature feedback to the thermostat. This will be set up later.

Importing the       1. Select File > Import CCL.
Expressions         2. Select the file HVAC_expressions.ccl.
                    3. Click Open.
                          The expression for ACOn requires a User CEL Function that indicates the thermostat
                          output: whether the air conditioner should be on or off. This will be set up next.




Page 286         ANSYS CFX Tutorials. ANSYS CFX Release 11.0. © 1996-2006 ANSYS Europe, Ltd. All rights reserved.
                 Contains proprietary and confidential information of ANSYS, Inc. and its subsidiaries and affiliates.
Tutorial 17: Air Conditioning Simulation: Defining a Simulation in ANSYS CFX-Pre
Inlet Velocity                 Expressions are used to simulate guiding vanes at the inlet, as the following diagram shows:
Profile                        Figure 1                 Intended airflow direction from the roof inlet vent


                                                                                                               Roof Inlet Vent


                                                            z                x=0.15                           x=0.05




                                                                                                              Wall

                                       x




                               The two x locations indicated on the diagram correspond to the x values across the width of
                               the inlet vent. When x is 0.05, the z component of velocity will be -1 and the x component
                               will be zero. When x is 0.15, the x component of velocity will be 0.5 and the z component will
                               be -0.5. The x component of velocity varies linearly with x. The following expression can be
                               used to calculate the x component of velocity:

                                                  x – 0.05
                               XCompInlet = 0.5 × ------------------ = 5 ( x – 0.05 )
                                                        0.1                                                                       (Eqn. 1)
                               ZCompInlet = – 1 + XCompInlet

Setting up the Thermostat
                               A Fortran subroutine that simulates the thermostat has already been written for this tutorial.

Compiling the                  You can compile the subroutine and create the required library file used by ANSYS
Subroutine                     CFX-Solver at any time before running the ANSYS CFX-Solver. The operation is performed at
                               this point in the tutorial so that you have a better understanding of the values you need to
                               specify in ANSYS CFX-Pre when creating a User CEL Function. The cfx5mkext command is
                               used to compile the subroutine as described below.

                               Important: You must have the required Fortran compiler installed and set in your system
                               path in order to run the cfx5mkext command successfully. For details on which Fortran
                               compiler is required for your platform, see the applicable ANSYS, Inc. installation guide. If
                               you are not sure which Fortran compiler is installed on your system, try running the
                               cfx5mkext command (found in <CFXROOT>/bin) from the command line and read the
                               output messages.
                               1. Copy the subroutine TStat_Control.F to your working directory (if you have not
                                  already done so).
                               2. Examine the contents of this file in any text editor to gain a better understanding of this
                                  subroutine.
                                  This file was created by modifying the ucf_template.F file, which is available in the
                                  <CFXROOT>/examples/ directory.


ANSYS CFX Tutorials. ANSYS CFX Release 11.0. © 1996-2006 ANSYS Europe, Ltd. All rights reserved.                                 Page 287
Contains proprietary and confidential information of ANSYS, Inc. and its subsidiaries and affiliates.
Tutorial 17: Air Conditioning Simulation: Defining a Simulation in ANSYS CFX-Pre
                    3. Select Tools > Command Editor.
                    4. Type the following command in the Command Editor dialog box (make sure you do
                       not miss the semi-colon at the end of the line):
                    ! system (“cfx5mkext TStat_Control.F”) < 1 or die “cfx5mkext failed”;
                          •      This is equivalent to executing the following at an OS command prompt:
                                 cfx5mkext TStat_Control.F
                          •      The ! indicates that the following line is to be interpreted as power syntax and not
                                 CCL. Everything after the ! symbol is processed as Perl commands.
                          •      system is a Perl function to execute a system command.
                          •      The < 1 or die will cause an error message to be returned if, for some reason, there
                                 is an error in processing the command.
                    5. Click Process to compile the subroutine.
                    Note: You can use the -double option (i.e., cfx5mkext -double TStat_Control.F) to
                    compile the subroutine for use with double precision ANSYS CFX-Solver executables.

                    A subdirectory will have been created in your working directory whose name is system
                    dependent (e.g., on IRIX it is named irix). This sub directory contains the shared object
                    library.

                    Note: If you are running problems in parallel over multiple platforms then you will need to
                    create these subdirectories using the cfx5mkext command for each different platform.

                    •     You can view more details about the cfx5mkext command by running
                          cfx5mkext -help.
                    •     You can set a Library Name and Library Path using the -name and -dest options
                          respectively.
                    •     If these are not specified, the default Library Name is that of your Fortran file and the
                          default Library Path is your current working directory.
                    1. Close the Command Editor dialog box.

Creating the        A User CEL Function is required to link the subroutine into ANSYS CFX. The complete
User CEL            definition for the function is defined in two steps. First, a user routine that contains the
Function
                    calling name, library name, and library path is created. Then, a user function that points to
                    the user routine, and also contains the argument and result units, is defined.
                    1. From the main menu, select Insert > Expressions, Functions and Variables > User
                          Routine or click User Routine                        .
                    2. Set the name to Thermostat Routine.
                    3. Apply the following settings


                              Tab                  Setting                                                               Value
                              Basic Settings       Option                                                                User CEL Function
                                                   Calling Name                                                          ac_on*
                                                   Library Name‘                                                         TStat_Control†
                                                   Library Path                                                          (Working Directory)‡

Page 288         ANSYS CFX Tutorials. ANSYS CFX Release 11.0. © 1996-2006 ANSYS Europe, Ltd. All rights reserved.
                 Contains proprietary and confidential information of ANSYS, Inc. and its subsidiaries and affiliates.
Tutorial 17: Air Conditioning Simulation: Defining a Simulation in ANSYS CFX-Pre

                                           *.    This is the name of the subroutine within the Fortran file. Always use lower case
                                                 letters for the calling name, even if the subroutine name in the Fortran file is in
                                                 upper case.
                                           †.    This is the name passed to the cfx5mkext command by the -name option. If the
                                                 -name option is not specified, a default is used. The default is the Fortran file name
                                                 without the .F extension.
                                           ‡.    Set this to your working directory.
                               4. Click OK.
                               5. Create a new user function named Thermostat Function by selecting Insert >
                                  Expressions, Functions and Variables > User Function from the main menu.
                               6. Apply the following settings


                                      Tab                     Setting                                               Value
                                      Basic Settings          Option                                                User Function
                                                              Argument Units                                        [K], [K], [K], []*
                                                              Result Units                                          []†
                                           *.    These are the units for the four input arguments: TSensor, TSet, TTol, and aitern.
                                           †.    The result will be a dimensionless integer flag of values 1 or 0.

                               7. Click OK.
                                  The function you have just prepared is called during the evaluation of the expression for
                                  ACOn (that you imported earlier). The expression is:
                                     Thermostat Function(TSensor,TSet,TTol,aitern)
                                     It evaluates to 1 or 0, depending on whether the air conditioner should be on (1) or off
                                     (0).

Setting the Simulation Type

                               1. Click Simulation Type                      .
                               2. Apply the following settings


                                      Tab                     Setting                                               Value
                                      Basic Settings          Simulation Type > Option                              Transient
                                                              Simulation Type > Time Duration > Total Time          tTotal
                                                              Simulation Type > Time Steps > Timesteps              tStep
                                                              Simulation Type > Initial Time > Time                 0 [s]

                               3. Click OK.

Creating the Domain
                               1. Right click Simulation in the Outline tree view and ensure that Automatic Default
                                  Domain is selected. A domain named Default Domain should now appear under the
                                  Simulation branch.
                               2. Double click Default Domain and apply the following settings:


ANSYS CFX Tutorials. ANSYS CFX Release 11.0. © 1996-2006 ANSYS Europe, Ltd. All rights reserved.                                    Page 289
Contains proprietary and confidential information of ANSYS, Inc. and its subsidiaries and affiliates.
Tutorial 17: Air Conditioning Simulation: Defining a Simulation in ANSYS CFX-Pre


                            Tab                    Setting                                                                       Value
                            General                Basic Settings > Location                                                     B1.P3
                            Options
                                                   Fluids List                                                                   Air Ideal Gas
                                                   Domain Models > Pressure > Reference Pressure                                 1 [atm]
                                                   Domain Models > Buoyancy > Option                                             Buoyant
                                                   Domain Models > Buoyancy > Gravity X Dirn.                                    0 [m s^-2]
                                                   Domain Models > Buoyancy > Gravity Y Dirn.                                    0 [m s^-2]
                                                   Domain Models > Buoyancy > Gravity Z Dirn.                                    -g
                                                   Domain Models > Buoyancy > Buoy. Ref. Density                                 1.2 [kg m^-3]
                            Fluid Models           Heat Transfer > Option                                                        Thermal Energy
                                                   Thermal Radiation Model > Option                                              Monte Carlo

                    3. Click OK.

Setting Boundary Conditions
                    In this section you will define the locations and values of the boundary conditions.

Inlet Boundary      1. Create a new boundary condition named Inlet.
                    2. Apply the following settings


                            Tab                         Setting                                                          Value
                            Basic Settings              Boundary Type                                                    Inlet
                                                        Location                                                         Inlet
                            Boundary Details            Mass and Momentum > Option                                       Mass Flow Rate
                                                        Mass and Momentum > Mass Flow Rate                               MassFlow
                                                        Flow Direction > Option                                          Cartesian Components
                                                        Flow Direction > X Component                                     XCompInlet
                                                        Flow Direction > Y Component                                     0
                                                        Flow Direction > Z Component                                     ZCompInlet
                                                        Heat Transfer > Static Temperature                               TIn
                            Plot Options                Boundary Vector                                                  (Selected)

                    3. Click OK.
                    Note: Ignore the physics errors that appear. They will be fixed by setting up the rest of the
                    simulation. The error you see is due to a reference to Thermometer which has not been set
                    up yet. This will be done as part of the output control.

Outlet              1. Create a new boundary condition named VentOut.
Boundary            2. Apply the following settings




Page 290         ANSYS CFX Tutorials. ANSYS CFX Release 11.0. © 1996-2006 ANSYS Europe, Ltd. All rights reserved.
                 Contains proprietary and confidential information of ANSYS, Inc. and its subsidiaries and affiliates.
Tutorial 17: Air Conditioning Simulation: Defining a Simulation in ANSYS CFX-Pre


                                      Tab                         Setting                                       Value
                                      Basic Settings              Boundary Type                                 Outlet
                                                                  Location                                      VentOut
                                      Boundary Details            Mass and Momentum > Relative Pressure         0 [Pa]

                               3. Click OK.

Window                         To model incoming radiation at the window boundaries, a directional radiation source will
Boundary                       be created. The windows will also contribute heat to the room via a fixed temperature of
                               26 [C].
                               1. Create a new boundary condition named Windows.
                               2. Apply the following settings


                                      Tab              Setting                                                    Value
                                      Basic            Boundary Type                                              Wall
                                      Settings         Location                                                   Window1, Window2
                                      Boundary Heat Transfer > Option                                             Temperature
                                      Details  Heat Transfer > Fixed Temperature                                  26 [C]

                               3. Apply the following settings


                                      Tab              Setting                                                    Value
                                      Sources          Boundary Source                                            (Selected)
                                                       Boundary Source > Sources                                  (Selected)

                               4. Create a new radiation source item by clicking Add New Item                          and accepting the
                                  default name.
                               5. Apply the following settings to Radiation Source 1


                                      Setting                                                           Value
                                      Option                                                            Directional Radiation Flux
                                      Radiation Flux                                                    600 [W m^-2]
                                      Direction > Option                                                Cartesian Components
                                      Direction > X Component                                           0.33
                                      Direction > Y Component                                           0.33
                                      Direction > Z Component                                           -0.33

                               6. Apply the following setting


                                      Tab              Setting                                                    Value
                                      Plot             Boundary Vector                                            (Selected)
                                      Options


ANSYS CFX Tutorials. ANSYS CFX Release 11.0. © 1996-2006 ANSYS Europe, Ltd. All rights reserved.                                     Page 291
Contains proprietary and confidential information of ANSYS, Inc. and its subsidiaries and affiliates.
Tutorial 17: Air Conditioning Simulation: Defining a Simulation in ANSYS CFX-Pre
                    7. Click OK.
                          The directional source of radiation is displayed.

Default Wall        The default boundary condition for any undefined surface in ANSYS CFX-Pre is a no-slip,
Boundary            smooth, adiabatic wall. For radiation purposes, the default wall is assumed to be a perfectly
                    absorbing and emitting surface (emissivity = 1), and this will be preserved when setting up
                    the boundary condition.
                    In this tutorial, a fixed temperature of 26 °C will be assumed to exist at the wall during the
                    simulation. A more detailed analysis would model heat transfer through the walls, but as
                    this tutorial is designed only for demonstration purposes, a fixed temperature wall is
                    sufficient.
                    1. Modify the boundary condition named Default Domain Default.
                    2. Apply the following settings


                            Tab              Setting                                                                     Value
                            Boundary Heat Transfer > Option                                                              Temperature
                            Details  Heat Transfer > Fixed Temperature                                                   26 [C]

                    3. Click OK.
                    This setting will include the Door region, which will be modeled as a wall (closed door) for
                    simplicity. Since the region is part of the entire default boundary, it will not appear in the
                    wireframe when the results file is opened in ANSYS CFX-Post (but can still be viewed in the
                    Regions list).

Setting Initial Values
                    1. Click Global Initialization                     .
                    2. Apply the following settings




Page 292         ANSYS CFX Tutorials. ANSYS CFX Release 11.0. © 1996-2006 ANSYS Europe, Ltd. All rights reserved.
                 Contains proprietary and confidential information of ANSYS, Inc. and its subsidiaries and affiliates.
Tutorial 17: Air Conditioning Simulation: Defining a Simulation in ANSYS CFX-Pre


                                      Tab                           Setting                                               Value
                                      Global Settings               Initial Conditions > Velocity Type                    Cartesian
                                                                    Initial Conditions > Cartesian Velocity               Automatic with Value
                                                                    Components > Option
                                                                    Initial Conditions > Cartesian Velocity               0 [m s^-1]
                                                                    Components > U
                                                                    Initial Conditions > Cartesian Velocity               0 [m s^-1]
                                                                    Components > V
                                                                    Initial Conditions > Cartesian Velocity               0 [m s^-1]
                                                                    Components > W
                                                                    Initial Conditions > Static Pressure > Relative       0 [Pa]
                                                                    Pressure
                                                                    Initial Conditions > Temperature > Temperature        22 [C]
                                                                    Initial Conditions > Turbulence Kinetic Energy >      (Selected)
                                                                    Fractional Intensity
                                                                    Initial Conditions > Turbulence Eddy Dissipation      (Selected)
                                                                    Initial Conditions > Turbulence Eddy Dissipation      (Selected)
                                                                    > Eddy Length Scale
                                                                    Initial Conditions > Turbulence Eddy Dissipation      0.25 [m]
                                                                    > Eddy Length Scale > Eddy Len. Scale
                                                                    Initial Conditions > Radiation Intensity >            (Selected)
                                                                    Blackbody Temperature
                                                                    Initial Conditions > Radiation Intensity >            22 [C]
                                                                    Blackbody Temperature > Blackbody Temp.

                               3. Click OK.

Setting Solver Control
                               1. Click Solver Control                   .
                               2. Apply the following settings


                                      Tab                         Setting                                         Value
                                      Basic Settings              Transient Scheme > Option                       Second Order Backward
                                                                                                                  Euler
                                                                  Convergence Control > Max. Coeff. Loops         3

                               3. Click OK.

Setting Output Control
                               Transient results files will be set up to record transient values of a chosen set of variables.
                               Monitor points will be created to show the on/off status of the air conditioner, the
                               temperature at the inlet, the temperature at the outlet, and the temperature at a prescribed
                               thermometer location.


ANSYS CFX Tutorials. ANSYS CFX Release 11.0. © 1996-2006 ANSYS Europe, Ltd. All rights reserved.                                       Page 293
Contains proprietary and confidential information of ANSYS, Inc. and its subsidiaries and affiliates.
Tutorial 17: Air Conditioning Simulation: Defining a Simulation in ANSYS CFX-Pre

                    1. Click Output Control                      .
                    2. Click Trn Results.

                    3. Create a new Transient Results item by clicking Add New Item                                              and accept the the
                       default name.
                    4. Apply the following settings to Transient Results 1


                            Setting                                                             Value
                            Option                                                              Selected Variables
                            Output Variables List                                               Pressure, Radiation Intensity, Temperature,
                                                                                                Velocity
                            Output Variables Operators                                          (Selected)
                            Output Variables Operators > Output Var.                            All*
                            Operators
                            Output Frequency > Option                                           Time Interval
                            Output Frequency > Time Interval                                    tStep
                                 *.    This causes the gradients of the selected variables to be written to the transient
                                       files, along with other information.

                    5. Apply the following settings


                            Tab                         Setting                                                          Value
                            Monitor                     Monitor Options                                                  (Selected)

                    6. Create a new Monitor Points and Expressions item named Temp at Inlet.
                    7. Apply the following settings to Temp at Inlet


                            Setting                                                             Value
                            Option                                                              Expression
                            Expression Value                                                    TIn

                    8. Create a new Monitor Points and Expressions item named Thermometer.
                    9. Apply the following settings to Thermometer


                            Setting                                                             Value
                            Output Variable List                                                Temperature
                            Cartesian Coordinates                                               2.95, 1.5, 1.25

                    10. Create a new Monitor Points and Expressions item named Temp at VentOut.
                    11. Apply the following settings to Temp at VentOut


                            Setting                                                             Value
                            Option                                                              Expression
                            Expression Value                                                    TVentOut


Page 294         ANSYS CFX Tutorials. ANSYS CFX Release 11.0. © 1996-2006 ANSYS Europe, Ltd. All rights reserved.
                 Contains proprietary and confidential information of ANSYS, Inc. and its subsidiaries and affiliates.
Tutorial 17: Air Conditioning Simulation: Obtaining a Solution using ANSYS CFX-Solver Manager
                               12. Create a new Monitor Points and Expressions item named ACOnStatus.
                               13. Apply the following settings to ACOnStatus


                                      Setting                                                           Value
                                      Option                                                            Expression
                                      Expression Value                                                  ACOn

                               14. Click OK.

Writing the Solver (.def) File
                               1. Click Write Solver File                   .
                               2. Apply the following settings:


                                      Setting                                           Value
                                      File name                                         HVAC.def
                                      Quit CFX–Pre*                                     (Selected)

                                           *.    If using ANSYS CFX-Pre in Standalone Mode.

                               3. Ensure Start Solver Manager is selected and click Save.
                               4. If using Standalone Mode, quit ANSYS CFX-Pre, saving the simulation (.cfx) file at your
                                  discretion.



Obtaining a Solution using ANSYS CFX-Solver Manager
                               When ANSYS CFX-Pre has shut down and the ANSYS CFX-Solver Manager has started, obtain
                               a solution to the CFD problem by following the instructions below.
                               1. Click Start Run.
                               2. When the User Points tab appears, click it to view the value of the temperature at
                                  VentOut as the solution progresses.
                               3. Click Yes to post-process the results when the completion message appears at the end
                                  of the run.
                               4. If using Standalone Mode, quit ANSYS CFX-Solver Manager.



Viewing the Results in ANSYS CFX-Post
                               The temperature of air in the house is distributed in both space and time. While the transient
                               behavior of the temperature field can easily be shown with an animation, it is not easy to
                               visualize a complicated 3D distribution. In order to show the key features of the temperature
                               field, graphic objects will be produced on strategically-placed locators; Plane locators will
                               be used to show contour plots of temperature, while Isosurfaces will be used sparingly to
                               show the general shape of thermal plumes.

ANSYS CFX Tutorials. ANSYS CFX Release 11.0. © 1996-2006 ANSYS Europe, Ltd. All rights reserved.                     Page 295
Contains proprietary and confidential information of ANSYS, Inc. and its subsidiaries and affiliates.
Tutorial 17: Air Conditioning Simulation: Viewing the Results in ANSYS CFX-Post

Creating Graphics Objects
                    Plane locators will be placed vertically through the vents and horizontally above the floor.

Plane Locators      1. Load the res file (HVAC_001.res) if you did not elect to load the results directly from the
                       ANSYS CFX-Solver Manager.
                    2. Right-click a blank area in the viewer, select Predefined Camera > Isometric View (Z
                       up).
                    3. Create a ZX-Plane named Plane 1 with Y=1.5 [m]. Color it by Temperature using a
                       user specified range from 19 [C] to 23 [C], and clear Lighting.
                    4. Create an XY Plane named Plane 2 with Z=0.35 [m]. Color it using the same settings
                       as for the first plane, and clear Lighting.

Isosurface          1. Click Timestep Selector .
Locator                The Timestep Selector appears.
                    2. Double-click the value (12s) in the Timestep Selector.
                       The Timestep is set to 12s so that the cold plume is visible.
                    3. Create an isosurface named Cold Plume which is a surface of Temperature=19 [C].
                       Use conservative values for Temperature.
                    4. Color the isosurface by Temperature and use the same range as for the planes.
                       Although the color of the isosurface will not show variation (by definition), it will be
                       consistent with the other graphic objects.
                    5. On the Render tab for the isosurface, set Transparency to 0.5, and clear Lighting.
                    6. Click Apply.
                    Note: The isosurface will not be visible in some timesteps, but you will be able to see it when
                    playing the animation (a step carried out later).

Adjusting the       The legend title should not name the locator of any particular object since all objects are
Legend              colored by the same variable and use the same range.
                    1. In the tree view, double-click Default Legend View 1.
                    2. In the Definition tab, change Title Mode to Variable.
                       This will remove the locator name from the legend.
                    3. Click the Appearance tab, then:
                          a. Change Precision to 2, Fixed.
                          b. Change Text Height to 0.03.
                    4. Click Apply.
                    A label will be used to show the simulation time and the temperature of the thermometer
                    which controls the thermostat. This will be especially useful for the animation which is
                    created later in this tutorial.




Page 296         ANSYS CFX Tutorials. ANSYS CFX Release 11.0. © 1996-2006 ANSYS Europe, Ltd. All rights reserved.
                 Contains proprietary and confidential information of ANSYS, Inc. and its subsidiaries and affiliates.
Tutorial 17: Air Conditioning Simulation: Viewing the Results in ANSYS CFX-Post
                               Before creating the label, you will need to support the expression for TSensor by creating a
                               point called Thermometer at the location of the sensor thermometer. This point will replace
                               the monitor point called Thermometer which was used during the solver run, but no longer
                               exists.

                               Note: The actual thermometer data generated during the run was stored in the results file,
                               but is not easily accessible, and cannot currently be used in an auto-annotation label.

Creating a Point               1. From the main menu, select Insert > Location > Point.
for the                        2. Set Name to Thermometer.
Thermometer
                               3. Set Point to (2.95,1.5,1.25).
                               4. Click Apply.
                               Now the expression TSensor will once again measure temperature at the prescribed
                               location.

Creating the                   1. Click Text               .
Text Label                     2. Accept the default name and click OK.
                               3. Set Text String to Time Elapsed
                               4. Select Embed Auto Annotation.
                                  The full text string should now be Time Elapsed: <aa>. The <aa> represents the
                                  location where the auto annotation will be substituted.
                               5. Set Type to Time Value.
                                  This will show the amount of simulated time that has passed in the simulation.
                               6. Click More.
                                  This adds a second line of text to the text object.
                               7. Set Text String to Sensor Temperature:
                               8. Select Embed Auto Annotation.
                               9. Set Type to Expression.
                               10. Set Expression to TSensor.
                               11. Click the Appearance tab, change Height to 0.03, then click Apply.
                                   Ensure the visibility check box next to Text 1 is selected. A label appears at the top of
                                   the figure. The large font is used so that the text will be clearly visible in the animation
                                   which will be produced in the next section.

Creating an Animation
                               1. Ensure that the view is set to Isometric View (Z up).

                               2. Click Timestep Selector .
                                  The Timestep Selector appears.
                               3. Double-click the first time value (0 s) in the Timestep Selector.

                               4. Click Animation    found in the toolbar.
                                  The Animation dialog box appears.
                               5. In the Animation dialog box:


ANSYS CFX Tutorials. ANSYS CFX Release 11.0. © 1996-2006 ANSYS Europe, Ltd. All rights reserved.                        Page 297
Contains proprietary and confidential information of ANSYS, Inc. and its subsidiaries and affiliates.
Tutorial 17: Air Conditioning Simulation: Viewing the Results in ANSYS CFX-Post

                          a. Click New                  to create KeyframeNo1.
                          b. Highlight KeyframeNo1, change # of Frames to 200, then press <Enter> while in
                             the # of Frames box.
                          Tip: Be sure to press <Enter> and confirm that the new number appears in the list before
                          continuing.
                                 This will place 200 intermediate frames between the first and (yet to be created)
                                 second key frames, for a total of 202 frames. This will produce an animation lasting
                                 about 8.8 s since the frame rate will be 24 frames per second. Since there are 76
                                 unique frames, each frame will be shown at least once.
                    6. Load the last time value (225 s) using the Timestep Selector dialog box.
                    7. In the Animation dialog box:

                          a. Click New                  to create KeyframeNo2.
                                 The # of Frames parameter has no effect for the last keyframe, so leave it at the
                                 default value.
                          b. Click More Animation Options                              to expand the Animation dialog box.
                          c. Select Save MPEG.
                          d. Specify a file name for the MPEG file.
                          e. Click the Options button.
                          f.     Change MPEG Size to 720 x 480 (or a similar resolution).
                          g. Click the Advanced tab, and note the Quality setting.
                             If your MPEG player does not play the MPEG, you can try using the Low or Custom
                             quality settings.
                          h. Click OK.
                          i.     Click To Beginning                   to rewind the active key frame to KeyframeNo1.

                          j.     Click Save animation state                      and save the animation to a file. This will enable you
                                 to quickly restore the animation in case you want to make changes. Animations are
                                 not restored by loading ordinary state files (those with the .cst extension).

                    8. Click Play the animation                          .
                    9. If prompted to overwrite an existing movie, click Overwrite.
                       The animation plays and builds an .mpg file.
                    10. When you have finished, quit ANSYS CFX-Post.

Further Steps       1. This tutorial uses an aggressive value for the flow rate of air, a coarse mesh, and the
                       timesteps are too large for a satisfactory analysis. Running this tutorial with a finer mesh,
                          a flow rate of air that is closer to 5 changes of air per hour (0.03 m3 s-1), and smaller
                          timesteps will produce more accurate results.
                    2. Running the simulation for a longer total time period will allow you to see more on/off
                       cycles of the thermostat.




Page 298         ANSYS CFX Tutorials. ANSYS CFX Release 11.0. © 1996-2006 ANSYS Europe, Ltd. All rights reserved.
                 Contains proprietary and confidential information of ANSYS, Inc. and its subsidiaries and affiliates.
Tutorial 18:
Combustion and Radiation in a
Can Combustor

Introduction
                               This tutorial includes:
                               •     Tutorial 18 Features (p. 300)
                               •     Overview of the Problem to Solve (p. 301)
                               •     Using Eddy Dissipation and P1 Models (p. 301)
                               •     Defining a Simulation in ANSYS CFX-Pre (p. 302)
                               •     Obtaining a Solution using ANSYS CFX-Solver Manager (p. 307)
                               •     Viewing the Results in ANSYS CFX-Post (p. 308)
                               •     Laminar Flamelet and Discrete Transfer Models (p. 311)
                               •     Further Postprocessing (p. 316)

                               If this is the first tutorial you are working with, it is important to review the following topics
                               before beginning:
                               •     Setting the Working Directory (p. 1)
                               •     Changing the Display Colors (p. 2)
                               Unless you plan on running a session file, you should copy the sample files used in this
                               tutorial from the installation folder for your software (<CFXROOT>/examples/) to your
                               working directory. This prevents you from overwriting source files provided with your
                               installation. If you plan to use a session file, please refer to Playing a Session File (p. 302).
                               Sample files referenced by this tutorial include:
                               •     CombustorMesh.gtm
                               •     CombustorEDM.pre
                               •     CombustorFlamelet.pre
                               •     CombustorEDM.cfx

ANSYS CFX Tutorials                                                                                                      Page 299
ANSYS CFX Release 11.0. © 1996-2006 ANSYS Europe, Ltd. All rights reserved.
Contains proprietary and confidential information of ANSYS, Inc. and its subsidiaries and affiliates.
Tutorial 18: Combustion and Radiation in a Can Combustor: Tutorial 18 Features

Tutorial 18 Features
                    This tutorial addresses the following features of ANSYS CFX.


                     Component                                   Feature                                           Details
                     ANSYS CFX-Pre                               User Mode                                         General Mode
                                                                 Simulation Type                                   Steady State
                                                                 Fluid Type                                        Reacting Mixture
                                                                 Domain Type                                       Single Domain
                                                                 Turbulence Model                                  k-Epsilon
                                                                 Heat Transfer                                     Thermal Energy
                                                                 Combustion
                                                                 Radiation
                                                                 Boundary Conditions                               Inlet (Subsonic)
                                                                                                                   Outlet (Subsonic)
                                                                                                                   Wall: No-Slip
                                                                                                                   Wall: Adiabatic
                                                                                                                   Wall: Thin Surface
                                                                 Timestep                                          Physical Time Scale
                     ANSYS CFX-Post                              Plots                                             Outline Plot (Wireframe)
                                                                                                                   Sampling Plane
                                                                                                                   Slice Plane
                                                                                                                   Vector
                                                                 Other                                             Changing the Color Range
                                                                                                                   Color map
                                                                                                                   Legend
                                                                                                                   Quantitative Calculation

                    In this tutorial you will learn about:
                    •     Creating thin surfaces for the inlet vanes.
                    •     Using a Reacting Mixture.
                    •     Using the Eddy Dissipation Combustion Model.
                    •     Using the Flamelet Model.
                    •     Changing the Combustion model in a simulation.
                    •     Using the P1 Radiation Model in ANSYS CFX-Pre.
                    •     Using the Discrete Transfer Radiation Model in ANSYS CFX-Pre.
                    •     Using the NOx model in ANSYS CFX-Pre.
                    •     Changing object color maps in ANSYS CFX-Post to prepare a greyscale image.




Page 300         ANSYS CFX Tutorials. ANSYS CFX Release 11.0. © 1996-2006 ANSYS Europe, Ltd. All rights reserved.
                 Contains proprietary and confidential information of ANSYS, Inc. and its subsidiaries and affiliates.
Tutorial 18: Combustion and Radiation in a Can Combustor: Overview of the Problem to Solve

Overview of the Problem to Solve
                               The can combustor is a feature of the gas turbine engine. Arranged around a central
                               annulus, can combustors are designed to minimize emissions, burn very efficiently and keep
                               wall temperatures as low as possible. This tutorial is designed to give a qualitative
                               impression of the flow and temperature distributions. The basic geometry is shown below
                               with a section of the outer wall cut away.


                                                                                             The Outlet has a surface
                                                                                             area of 150 cm2.




                                                                                             There are six side air
                                                                                             inlets, each with a
                                                                                             surface area of
                                                                                             2 cm2.


                                                                                            There are six small fuel
                                                                                            inlets, each with a
                                                                                            surface area of 0.14 cm2.


                                                                                            Main air inlet. The inlet
                                                                                            is guided by vanes to
                                                                                            give the air a swirling
                                                                                            velocity component.
                                                                                            Total surface area is
                                                                                            57 cm2.




Using Eddy Dissipation and P1 Models
                               This tutorial demonstrates two different combustion and radiation model combinations.
                               The first uses the Eddy Dissipation Combustion model with the P1 Radiation model; the NOx
                               model is also included. The second uses the Laminar Flamelet model with the Discrete
                               Transfer Radiation model. If you wish to use the Flamelet Combustion model and Discrete
                               Transfer Radiation model, see Laminar Flamelet and Discrete Transfer Models (p. 311),
                               otherwise continue from this point.



ANSYS CFX Tutorials. ANSYS CFX Release 11.0. © 1996-2006 ANSYS Europe, Ltd. All rights reserved.                        Page 301
Contains proprietary and confidential information of ANSYS, Inc. and its subsidiaries and affiliates.
Tutorial 18: Combustion and Radiation in a Can Combustor: Defining a Simulation in ANSYS CFX-Pre

Defining a Simulation in ANSYS CFX-Pre
                    You will define a domain that includes a variable composition mixture. These mixtures are
                    used to model combusting and reacting flows in ANSYS CFX.

Playing a Session File
                    If you wish to skip past these instructions, and have ANSYS CFX-Pre set up the simulation
                    automatically, you can select Session > Play Tutorial from the menu in ANSYS CFX-Pre,
                    then run the session file: CombustorEDM.pre. After you have played the session file as
                    described in earlier tutorials under Playing the Session File and Starting ANSYS CFX-Solver
                    Manager (p. 87), proceed to Obtaining a Solution using ANSYS CFX-Solver Manager (p. 307).

Creating a New Simulation
                    1. Start ANSYS CFX-Pre.
                    2. Select File > New Simulation.
                    3. Select General and click OK.
                    4. Select File > Save Simulation As.
                    5. Under File name, type CombustorEDM.
                    6. Click Save.

Importing the Mesh
                    1. Right-click Mesh and select Import Mesh.
                    2. Apply the following setting


                            Setting                                                             Value
                            File name                                                           CombustorMesh.gtm

                    3. Click Open.

Creating a Reacting Mixture
                    To allow combustion modeling, you must create a variable composition mixture.

To create the       1. Create a new material named Methane Air Mixture.
variable            2. Apply the following settings
composition
mixture
                            Tab                    Setting                                                               Value
                            Basic Settings         Option                                                                Reacting Mixture
                                                   Material Group                                                        Gas Phase Combustion
                                                   Reactions List                                                        Methane Air WD1 NO PDF*




Page 302         ANSYS CFX Tutorials. ANSYS CFX Release 11.0. © 1996-2006 ANSYS Europe, Ltd. All rights reserved.
                 Contains proprietary and confidential information of ANSYS, Inc. and its subsidiaries and affiliates.
Tutorial 18: Combustion and Radiation in a Can Combustor: Defining a Simulation in ANSYS CFX-Pre

                                      Tab                     Setting                                         Value
                                      Mixture                 Mixture Properties                              (Selected)
                                      Properties              Mixture Properties > Radiation Properties >     (Selected)†
                                                              Refractive Index
                                                              Mixture Properties > Radiation Properties >     (Selected)
                                                              Absorption Coefficient
                                                              Mixture Properties > Radiation Properties >     (Selected)
                                                              Scattering Coefficient
                                           *.    The Methane Air WD1 NO PDF reaction specifies complete combustion of the fuel
                                                 into its products in a single-step reaction. The formation of NO is also modeled and
                                                 occurs in an additional reaction step.

                                                 Click           to display the Reactions List dialog box, then click Import Library Data

                                                       and select the appropriate reaction to import.
                                           †.    Setting the radiation properties explicitly will significantly shorten the solution time
                                                 since the ANSYS CFX-Solver will not have to calculate radiation mixture properties.
                               3. Click OK.

Creating the Domain
                               1. Right click Simulation in the Outline tree view and ensure that Automatic Default
                                  Domain is selected. A domain named Default Domain should now appear under the
                                  Simulation branch.
                               2. Double click Default Domain and apply the following settings


                                      Tab                     Setting                                                  Value
                                      General                 Basic Settings > Locations                               B152, B153, B154,
                                      Options                                                                          B155, B156
                                                              Basic Settings > Fluids List                             Methane Air Mixture
                                                              Domain Models > Pressure > Reference Pressure            1 [atm]*
                                      Fluid Models            Heat Transfer > Option                                   Thermal Energy
                                                              Reaction or Combustion > Option                          Eddy Dissipation
                                                              Reaction or Combustion > Eddy Dissipation Model          (Selected)
                                                              Coefficient B
                                                              Reaction or Combustion > Eddy Dissipation Model          0.5†
                                                              Coefficient B > EDM Coeff. B
                                                              Thermal Radiation Model > Option                         P1
                                                              Component Details > N2                                   (Selected)
                                                              Component Details > N2 > Option                          Constraint
                                           *.    It is important to set a realistic reference pressure in this tutorial because the
                                                 components of Methane Air Mixture are ideal gases.
                                           †.    This includes a simple model for partial premixing effects by turning on the Product
                                                 Limiter. When it is selected, non-zero initial values are required for the products. The
                                                 products limiter is not recommended for multi-step eddy dissipation reactions, and
                                                 so is set for this single step reaction only.

                               3. Click OK.

ANSYS CFX Tutorials. ANSYS CFX Release 11.0. © 1996-2006 ANSYS Europe, Ltd. All rights reserved.                                    Page 303
Contains proprietary and confidential information of ANSYS, Inc. and its subsidiaries and affiliates.
Tutorial 18: Combustion and Radiation in a Can Combustor: Defining a Simulation in ANSYS CFX-Pre

Creating the Boundary Conditions
Fuel Inlet            1. Create a new boundary condition named fuelin.
Boundary              2. Apply the following settings


                              Tab                         Setting                                                          Value
                              Basic Settings              Boundary Type                                                    Inlet
                                                          Location                                                         fuelin
                              Boundary Details            Mass and Momentum > Normal Speed                                 40 [m s^-1]
                                                          Heat Transfer > Static Temperature                               300 [K]
                                                          Component Details                                                CH4
                                                          Component Details > CH4 > Mass Fraction                          1

                      3. Click OK.

Bottom Air Inlet      Two separate boundary conditions will be applied for the incoming air. The first is at the
Boundary              base of the can combustor. The can combustor employs vanes downstream of the fuel inlet
                      to give the incoming air a swirling velocity.
                      1. Create a new boundary condition named airin.
                      2. Apply the following settings


                              Tab                         Setting                                                          Value
                              Basic Settings              Boundary Type                                                    Inlet
                                                          Location                                                         airin
                              Boundary Details            Mass and Momentum > Normal Speed                                 10 [m s^-1]
                                                          Heat Transfer > Static Temperature                               300 [K]
                                                          Component Details                                                O2
                                                          Component Details > O2 > Mass Fraction                           0.232*
                                   *.    The remaining mass fraction at the inlet will be made up from the constraint
                                         component, N2.

                      3. Click OK.

Side Air Inlet        The secondary air inlets are located on the side of the vessel and introduce extra air to aid
Boundary              combustion.
                      1. Create a new boundary condition named secairin.
                      2. Apply the following settings


                              Tab                         Setting                                                          Value
                              Basic Settings              Boundary Type                                                    Inlet
                                                          Location                                                         secairin




Page 304           ANSYS CFX Tutorials. ANSYS CFX Release 11.0. © 1996-2006 ANSYS Europe, Ltd. All rights reserved.
                   Contains proprietary and confidential information of ANSYS, Inc. and its subsidiaries and affiliates.
Tutorial 18: Combustion and Radiation in a Can Combustor: Defining a Simulation in ANSYS CFX-Pre

                                      Tab                         Setting                                       Value
                                      Boundary Details            Mass and Momentum > Option                    Normal Speed
                                                                  Mass and Momentum > Normal Speed              6 [m s^-1]
                                                                  Heat Transfer > Option                        Static Temperature
                                                                  Heat Transfer > Static Temperature            300 [K]
                                                                  Component Details                             O2
                                                                  Component Details > O2 > Mass Fraction        0.232*
                                           *.    The remaining mass fraction at the inlet will be made up from the constraint
                                                 component, N2.
                               3. Click OK.

Outlet                         1. Create a new boundary condition named out.
Boundary                       2. Apply the following settings


                                      Tab                         Setting                                       Value
                                      Basic Settings              Boundary Type                                 Outlet
                                                                  Location                                      out
                                      Boundary Details            Mass and Momentum > Option                    Average Static Pressure
                                                                  Mass and Momentum > Relative Pressure         0 [Pa]

                               3. Click OK.

Vanes Boundary The vanes above the main air inlet are to be modeled as thin surfaces. To create a vane as a
               thin surface in ANSYS CFX-Pre, you must specify a wall boundary condition on each side of
               the vanes. The Create Thin Surface Partner feature in ANSYS CFX-Pre will automatically
               match the other side of a thin surface if you pick just a single side.
                               You will first create a new region which contains one side of each of the eight vanes, then
                               use the Create Thin Surface Partner feature to match the other side.
                               1. Create a new composite region named Vane Surfaces.
                               2. Apply the following settings


                                      Tab                      Setting                                     Value
                                      Basic Settings           Dimension (Filter)                          2D*
                                                               Region List                                 F129.152, F132.152, F136.152,
                                                                                                           F138.152, F141.152, F145.152,
                                                                                                           F147.152, F150.152
                                           *.    This will filter out the 3D regions, leaving only 2D regions

                               3. Click OK.
                               4. Create a new boundary condition named vanes.
                               5. Apply the following settings




ANSYS CFX Tutorials. ANSYS CFX Release 11.0. © 1996-2006 ANSYS Europe, Ltd. All rights reserved.                                     Page 305
Contains proprietary and confidential information of ANSYS, Inc. and its subsidiaries and affiliates.
Tutorial 18: Combustion and Radiation in a Can Combustor: Defining a Simulation in ANSYS CFX-Pre


                            Tab                         Setting                                                          Value
                            Basic Settings              Boundary Type                                                    Wall
                                                        Location                                                         Vane Surfaces
                                                        Create Thin Surface Partner                                      (Selected)*
                                 *.    This feature will attempt to match all primitives specified in the location list to
                                       create a thin surface boundary condition.

                    6. Click OK.

Default Wall        The default boundary condition for any undefined surface in ANSYS CFX-Pre is a no-slip,
Boundary            smooth, adiabatic wall.
                    •     For radiation purposes, the wall is assumed to be a perfectly absorbing and emitting
                          surface (emissivity = 1).
                    •     The wall is non-catalytic, i.e., it does not take part in the reaction.
                    Since this tutorial serves as a basic model, heat transfer through the wall is neglected. As a
                    result, no further boundary conditions need to be defined.

Setting Initial Values
                    1. Click Global Initialization                     .
                    2. Apply the following settings


                            Tab              Setting                                                                            Value
                            Global           Initial Conditions > Cartesian Velocity Components >                               Automatic with Value
                            Settings         Option
                                             Initial Conditions > Cartesian Velocity Components > U                             0 [m s^-1]
                                             Initial Conditions > Cartesian Velocity Components > V                             0 [m s^-1]
                                             Initial Conditions > Cartesian Velocity Components > W                             5 [m s^-1]
                                             Initial Conditions > Turbulence Eddy Dissipation                                   (Selected)
                                             Initial Conditions > Turbulence Eddy Dissipation >                                 Automatic
                                             Option
                                             Initial Conditions > Component Details                                             O2
                                             Initial Conditions > Component Details > O2> Option                                Automatic with Value
                                             Initial Conditions > Component Details > O2 > Mass                                 0.232*
                                             Fraction
                                             Initial Conditions > Component Details                                             CO2
                                             Initial Conditions > Component Details > CO2 > Option                              Automatic with Value
                                             Initial Conditions > Component Details > CO2 > Mass                                0.01
                                             Fraction
                                             Initial Conditions > Component Details                                             H2O
                                             Initial Conditions > Component Details> H2O > Option                               Automatic with Value
                                             Initial Conditions > Component Details > H2O > Mass                                0.01
                                             Fraction

Page 306         ANSYS CFX Tutorials. ANSYS CFX Release 11.0. © 1996-2006 ANSYS Europe, Ltd. All rights reserved.
                 Contains proprietary and confidential information of ANSYS, Inc. and its subsidiaries and affiliates.
Tutorial 18: Combustion and Radiation in a Can Combustor: Obtaining a Solution using ANSYS CFX-Solver Manager

                                           *.    The initial conditions assume the domain consists mainly of air and the fraction of
                                                 oxygen in air is 0.232. A small mass fraction of reaction products (CO2 and H2O) is
                                                 needed for the EDM model to initiate combustion.
                               3. Click OK.

Setting Solver Control
                               1. Click Solver Control                   .
                               2. Apply the following settings


                                      Tab                      Setting                                           Value
                                      Basic Settings           Convergence Control > Max. Iterations             100
                                                               Convergence Control > Fluid Timescale Control >   Physical Timescale
                                                               Timescale Control
                                                               Convergence Control > Fluid Timescale Control >   0.025 [s]
                                                               Physical Timescale

                               3. Click OK.

Writing the Solver (.def) File
                               1. Click Write Solver File                    .
                               2. Apply the following settings:


                                      Setting                                           Value
                                      File name                                         CombustorEDM.def
                                      Quit CFX–Pre*                                     (Selected)

                                           *.    If using ANSYS CFX-Pre in Standalone Mode.

                               3. Ensure Start Solver Manager is selected and click Save.
                               4. If using Standalone Mode, quit ANSYS CFX-Pre, saving the simulation (.cfx) file.



Obtaining a Solution using ANSYS CFX-Solver Manager
                               The ANSYS CFX-Solver Manager will be launched after ANSYS CFX-Pre saves the definition
                               file. You will be able to obtain a solution to the CFD problem by following the instructions
                               below.

                               Note: If a fine mesh is used for a formal quantitative analysis of the flow in the combustor,
                               the solution time will be significantly longer than for the coarse mesh. You can run the
                               simulation in parallel to reduce the solution time. For details, see Obtaining a Solution in
                               Parallel (p. 116).

                               1. Ensure Define Run is displayed.
                                  Definition File should be set to CombustorEDM.def.

ANSYS CFX Tutorials. ANSYS CFX Release 11.0. © 1996-2006 ANSYS Europe, Ltd. All rights reserved.                               Page 307
Contains proprietary and confidential information of ANSYS, Inc. and its subsidiaries and affiliates.
Tutorial 18: Combustion and Radiation in a Can Combustor: Viewing the Results in ANSYS CFX-Post
                    2. Click Start Run.
                       ANSYS CFX-Solver runs and attempts to obtain a solution. This can take a long time
                       depending on your system. Eventually a dialog box is displayed stating that the run has
                       finished.
                    3. Click Yes to post-process the results.
                    4. If using Standalone Mode, quit ANSYS CFX-Solver Manager.



Viewing the Results in ANSYS CFX-Post
                    When ANSYS CFX-Post opens, experiment with the Edge Angle setting for the Wireframe
                    object and the various rotation and zoom features in order to place the geometry in a
                    sensible position. A setting of about 8.25 should result in a detailed enough geometry for
                    this exercise.

Temperature Within the Domain
                    1. Create a new plane named Plane 1.
                    2. Apply the following settings


                            Tab                         Setting                                                          Value
                            Geometry                    Definition > Method                                              ZX Plane
                            Color                       Mode                                                             Variable
                                                        Mode > Variable                                                  Temperature

                    3. Click Apply.
                    The large area of high temperature through most of the vessel is due to forced convection.

                    Note: Later in this tutorial (see Laminar Flamelet and Discrete Transfer Models (p. 311)), the
                    Laminar Flamelet combustion model will be used to simulate the combustion again,
                    resulting in an even higher concentration of high temperatures throughout the combustor.

The NO Concentration in the Combustor
                    In the next step you will color Plane 1 by the mass fraction of NO to view the distribution
                    of NO within the domain. The NO concentration is highest in the high temperature region
                    close to the outlet of the domain.
                    1. Modify the plane named Plane 1.
                    2. Apply the following settings


                            Tab                         Setting                                                          Value
                            Color                       Mode > Variable                                                  NO.Mass Fraction

                    3. Click Apply.




Page 308         ANSYS CFX Tutorials. ANSYS CFX Release 11.0. © 1996-2006 ANSYS Europe, Ltd. All rights reserved.
                 Contains proprietary and confidential information of ANSYS, Inc. and its subsidiaries and affiliates.
Tutorial 18: Combustion and Radiation in a Can Combustor: Viewing the Results in ANSYS CFX-Post

Printing a Greyscale Graphic
                               Here you will change the color map (for Plane 1) to a greyscale map. The result will be a
                               plot with different levels of grey representing different mass fractions of NO. This technique
                               is especially useful for printing, to a black and white printer, any image that contains a color
                               map. Conversion to greyscale by conventional means (i.e., using graphics software, or
                               letting the printer do the conversion) will generally cause color legends to change to a
                               non-linear distribution of levels of grey.
                               1. Modify the plane named Plane 1.
                               2. Apply the following settings


                                      Tab                         Setting                               Value
                                      Color                       Color Map                             Inverse Greyscale

                               3. Click Apply.

Calculating NO Mass Fraction at the Outlet
                               The emission of pollutants into the atmosphere is always a design consideration for
                               combustion applications. In the next step, you will calculate the mass fraction of NO in the
                               outlet stream.
                               1. Select Tools > Function Calculator or click the Tools tab and select Function
                                  Calculator.
                               2. Apply the following settings


                                      Tab                         Setting                               Value
                                      Function                    Function                              massFlowAve
                                      Calculator                  Location                              out
                                                                  Variable                              NO.Mass Fraction

                               3. Click Calculate.
                               A small amount of NO is released from the outlet of the combustor. This amount is lower
                               than can normally be expected, and is mainly due to the coarse mesh and the short
                               residence times in the combustor.

Viewing Flow Field
                               To investigate the reasons behind the efficiency of the combustion process, you will next
                               look at the velocity vectors to show the flow field. You may notice a small recirculation in the
                               center of the combustor. Running the problem with a finer mesh would show this region to
                               be a larger recirculation zone. The coarseness of the mesh in this tutorial means that this
                               region of flow is not accurately resolved.
                               1. Select the Outline tab.
                               2. Under User Locations and Plots, clear Plane 1.
                                  Plane 1 is no longer visible.

ANSYS CFX Tutorials. ANSYS CFX Release 11.0. © 1996-2006 ANSYS Europe, Ltd. All rights reserved.                            Page 309
Contains proprietary and confidential information of ANSYS, Inc. and its subsidiaries and affiliates.
Tutorial 18: Combustion and Radiation in a Can Combustor: Viewing the Results in ANSYS CFX-Post
                    3. Create a new vector named Vector 1.
                    4. Apply the following settings


                            Tab                         Setting                                                          Value
                            Geometry                    Definition > Locations                                           Plane 1
                            Symbol                      Symbol Size                                                      2

                    5. Click Apply.
                    6. Create a new plane named Plane 2.
                    7. Apply the following settings


                            Tab                         Setting                                                          Value
                            Geometry                    Definition > Method                                              XY Plane
                                                        Definition > Z                                                   0.03
                                                        Plane Bounds > Type                                              Rectangular
                                                        Plane Bounds > X Size                                            0.5 [m]
                                                        Plane Bounds > Y Size                                            0.5 [m]
                                                        Plane Type > Sample                                              (Selected)
                                                        Plane Type > X Samples                                           30
                                                        Plane Type > Y Samples                                           30
                            Render                      Draw Faces                                                       (Cleared)

                    8. Click Apply.
                    9. Modify Vector 1.
                    10. Apply the following setting


                            Tab                         Setting                                                          Value
                            Geometry                    Definition > Locations                                           Plane 2

                    11. Click Apply.
                    To view the swirling velocity field, right-click in the viewer and select Predefined Camera >
                    View Towards -Z.
                    You may also want to turn off the wireframe visibility. In the region near the fuel and air
                    inlets, the swirl component of momentum (theta direction) results in increased mixing with
                    the surrounding fluid and a higher residence time in this region. As a result, more fuel is
                    burned.

Viewing Radiation
                    Try examining the distribution of Incident Radiation and Radiation Intensity
                    throughout the domain.
                    When you are finished, quit ANSYS CFX-Post.



Page 310         ANSYS CFX Tutorials. ANSYS CFX Release 11.0. © 1996-2006 ANSYS Europe, Ltd. All rights reserved.
                 Contains proprietary and confidential information of ANSYS, Inc. and its subsidiaries and affiliates.
Tutorial 18: Combustion and Radiation in a Can Combustor: Laminar Flamelet and Discrete Transfer Models

Laminar Flamelet and Discrete Transfer Models
                               In this second part of the tutorial, you will start with the simulation from the first part of the
                               tutorial and modify it to use the Laminar Flamelet combustion and Discrete Transfer
                               radiation models. Running the simulation a second time will demonstrate the differences in
                               the combustion models, including the variance in carbon dioxide distribution, which is
                               shown below.




Playing a Session File
                               If you wish to skip past these instructions, and have ANSYS CFX-Pre set up the simulation
                               automatically, you can select Session > Play Tutorial from the menu in ANSYS CFX-Pre,
                               then run the session file: CombustorFlamelet.pre. After you have played the session file as
                               described in earlier tutorials under Playing the Session File and Starting ANSYS CFX-Solver
                               Manager (p. 87), proceed to Obtaining a Solution (p. 314).

Creating a New Simulation
                               1. If you have not completed the first part of this tutorial, or otherwise do not have the
                                  simulation file from the first part, start ANSYS CFX-Pre and then play the session file
                                  CombustorEDM.pre. The simulation file CombustorEDM.cfx will be created.
                               2. Start ANSYS CFX-Pre (unless it is already running).
                               3. Select File > Open Simulation.
                               4. Load the simulation named CombustorEDM.cfx.
                                  The simulation from the first part of this tutorial is loaded.
                               5. Select File > Save Simulation As.

ANSYS CFX Tutorials. ANSYS CFX Release 11.0. © 1996-2006 ANSYS Europe, Ltd. All rights reserved.                       Page 311
Contains proprietary and confidential information of ANSYS, Inc. and its subsidiaries and affiliates.
Tutorial 18: Combustion and Radiation in a Can Combustor: Laminar Flamelet and Discrete Transfer Models
                    6. Save the simulation as CombustorFlamelet.cfx.
                          This creates a separate simulation file which will be modified to use the Laminar
                          Flamelet and Discrete Transfer models.

Modifying the Reacting Mixture
                    A flamelet library will be used to create the variable composition mixture.
                    1. Expand Materials and open Methane Air Mixture for editing.
                    2. Apply the following settings


                            Tab                    Setting                                           Value
                            Basic Settings         Reactions List                                    Methane Air FLL STP and NO PDF*

                                 *.    Click         to display the Reactions List dialog box, then click Import Library Data

                                               and select the appropriate reaction to import.

                    3. Click OK.
                    Note: Some physics validation messages appear after this reaction is selected. In this
                    situation, the messages can be safely ignored as the physics will be corrected once the
                    domains and boundary conditions are modified.

Modifying the Domain
                    1. Double-click the Default Domain.
                    2. Apply the following settings


                            Tab                      Setting                                                             Value
                            Fluid Models             Reaction or Combustion > Option                                     PDF Flamelet
                                                     Thermal Radiation Model > Option                                    Discrete Transfer
                                                     Component Details                                                   N2
                                                     Component Details > N2 > Option                                     Constraint
                                                     Component Details                                                   NO
                                                     Component Details > NO > Option                                     Transport Equation
                                                     Component Details                                                   (All other components)*
                                                     Component Details > (All other components)                          Automatic
                                                     > Option
                                 *.    Select these one at a time and check each of them.

                    3. Click OK.

Modifying the Boundary Conditions
Fuel Inlet          1. Modify the boundary condition named fuelin.
Boundary            2. Apply the following settings


Page 312         ANSYS CFX Tutorials. ANSYS CFX Release 11.0. © 1996-2006 ANSYS Europe, Ltd. All rights reserved.
                 Contains proprietary and confidential information of ANSYS, Inc. and its subsidiaries and affiliates.
Tutorial 18: Combustion and Radiation in a Can Combustor: Laminar Flamelet and Discrete Transfer Models


                                      Tab                         Setting                                   Value
                                      Boundary Details            Mixture > Option                          Fuel
                                                                  Component Details                         NO
                                                                  Component Details > NO > Option           Mass Fraction
                                                                  Component Details > NO > Mass Fraction    0

                               3. Click OK.

Bottom Air Inlet               1. Modify the boundary condition named airin.
Boundary                       2. Apply the following settings


                                      Tab                         Setting                                   Value
                                      Boundary Details            Mixture > Option                          Oxidiser
                                                                  Component Details                         NO
                                                                  Component Details > NO > Option           Mass Fraction
                                                                  Component Details > NO > Mass Fraction    0

                               3. Click OK.

Side Air Inlet                 1. Modify the boundary condition named secairin.
Boundary                       2. Apply the following settings


                                      Tab                         Setting                                   Value
                                      Boundary Details            Mixture > Option                          Oxidiser
                                                                  Component Details                         NO
                                                                  Component Details > NO > Option           Mass Fraction
                                                                  Component Details > NO > Mass Fraction    0

                               3. Click OK.

Setting Initial Values
                               1. Click Global Initialization                     .
                               2. Apply the following settings


                                      Tab              Setting                                                     Value
                                      Global           Initial Conditions > Component Details                      NO
                                      Settings
                                                       Initial Conditions > Component Details > NO > Option        Automatic with Value
                                                       Initial Conditions > Component Details > NO > Mass          0
                                                       Fraction

                               3. Click OK.




ANSYS CFX Tutorials. ANSYS CFX Release 11.0. © 1996-2006 ANSYS Europe, Ltd. All rights reserved.                                Page 313
Contains proprietary and confidential information of ANSYS, Inc. and its subsidiaries and affiliates.
Tutorial 18: Combustion and Radiation in a Can Combustor: Laminar Flamelet and Discrete Transfer Models

Setting Solver Control
                    To reduce the amount of CPU time required for solving the radiation equations, you can
                    select to solve them only every 10 iterations.

                    1. Click Solver Control                    .
                    2. Apply the following settings


                            Tab                 Setting                                                                  Value
                            Advanced            Dynamic Model Control > Global Dynamic Model Control                     (Selected)
                            Options
                                                Thermal Radiation Control                                                (Selected)
                                                Thermal Radiation Control > Iteration Interval                           (Selected)
                                                Thermal Radiation Control > Iteration Interval > Iteration               10
                                                Interval

                    3. Click OK.

Writing the Solver (.def) File
                    1. Click Write Solver File                     .
                    2. Apply the following settings:


                            Setting                                           Value
                            File name                                         CombustorFlamelet.def
                            Quit CFX–Pre*                                     (Selected)

                                 *.    If using ANSYS CFX-Pre in Standalone Mode.

                    3. Ensure Start Solver Manager is selected and click Save.
                    4. If using Standalone Mode, quit ANSYS CFX-Pre, saving the simulation (.cfx) file at your
                       discretion.

Obtaining a Solution
                    When ANSYS CFX-Pre has shut down and the ANSYS CFX-Solver Manager has started, obtain
                    a solution to the CFD problem by following the instructions below.
                    1. Ensure Define Run is displayed.
                       Definition File should be set to CombustorFlamelet.def.
                    2. Click Start Run.
                       ANSYS CFX-Solver runs and attempts to obtain a solution. This can take a long time
                       depending on your system. Eventually a dialog box is displayed.
                    3. Click Yes to post-process the results.
                    4. If using Standalone Mode, quit ANSYS CFX-Solver Manager.




Page 314         ANSYS CFX Tutorials. ANSYS CFX Release 11.0. © 1996-2006 ANSYS Europe, Ltd. All rights reserved.
                 Contains proprietary and confidential information of ANSYS, Inc. and its subsidiaries and affiliates.
Tutorial 18: Combustion and Radiation in a Can Combustor: Laminar Flamelet and Discrete Transfer Models

Viewing the Results
Viewing                        1. Create a new plane named Plane 1.
Temperature
within the                     Note: If ANSYS CFX-Post was not closed since CombustorEDM.def was processed, all
Domain                         meshes and locators from that session will be retained and updated when the
                               CombustorFlamelet.def is opened. In this way Plane 1 does not need to be remade.

                               2. Apply the following settings


                                      Tab                         Setting                               Value
                                      Geometry                    Definition > Method                   ZX Plane
                                                                  Definition > Y                        0
                                      Color                       Mode                                  Variable
                                                                  Mode > Variable                       Temperature

                               3. Click Apply.

Viewing the NO 1. Modify the plane named Plane 1.
concentration in 2. Apply the following settings
the Combustor

                                      Tab                         Setting                               Value
                                      Color                       Mode > Variable                       NO.Mass Fraction

                               3. Click Apply.

Calculating NO                 The next calculation shows the amount of NO at the outlet.
Concentration
                               1. Select Tools > Function Calculator or click the Tools tab and select Function
                                  Calculator.
                               2. Apply the following settings


                                      Tab                         Setting                               Value
                                      Function                    Function                              massFlowAve
                                      Calculator                  Location                              out
                                                                  Variable                              NO.Mass Fraction

                               3. Click Calculate.

Viewing CO                     The next plot will show the concentration of CO (carbon monoxide), which is a by-product
Concentration                  of incomplete combustion and is poisonous in significant concentrations. As you will see,
                               the highest values are very close to the fuel inlet and in the regions of highest temperature.
                               1. Modify the plane named Plane 1.
                               2. Apply the following settings




ANSYS CFX Tutorials. ANSYS CFX Release 11.0. © 1996-2006 ANSYS Europe, Ltd. All rights reserved.                           Page 315
Contains proprietary and confidential information of ANSYS, Inc. and its subsidiaries and affiliates.
Tutorial 18: Combustion and Radiation in a Can Combustor: Further Postprocessing


                            Tab                         Setting                                                          Value
                            Color                       Mode > Variable                                                  CO.Mass Fraction
                                                        Range                                                            Local

                    3. Click Apply.

Calculating CO   In the next step, you will calculate the mass fraction of CO in the outlet stream.
Mass Fraction at
                 1. Select Tools > Function Calculator or click the Tools tab and select Function
the Outlet
                      Calculator.
                    2. Apply the following settings


                            Tab                         Setting                                                          Value
                            Function                    Function                                                         massFlowAve
                            Calculator
                                                        Location                                                         out
                                                        Variable                                                         CO.Mass Fraction

                    3. Click Calculate.
                          There is approximately 0.4% CO by mass in the outlet stream.



Further Postprocessing
                    1. Try putting some plots of your choice into the Viewer. You can plot the concentration of
                       other species and compare values to those found for the Eddy Dissipation model.
                    2. Examine the distribution of Incident Radiation and Radiation Intensity
                       throughout the domain.
                    3. Load one combustion model, then load the other using the Add to current results
                       option in the Load Results File dialog box. You can compare both models in the viewer
                       at once, in terms of mass fractions of various materials, as well as total temperature and
                       other relevant measurements.




Page 316         ANSYS CFX Tutorials. ANSYS CFX Release 11.0. © 1996-2006 ANSYS Europe, Ltd. All rights reserved.
                 Contains proprietary and confidential information of ANSYS, Inc. and its subsidiaries and affiliates.
Tutorial 19:
Cavitation Around a Hydrofoil

Introduction
                               This tutorial includes:
                               •     Tutorial 19 Features (p. 318)
                               •     Overview of the Problem to Solve (p. 319)
                               •     Creating an Initial Simulation (p. 319)
                               •     Obtaining an Initial Solution using ANSYS CFX-Solver Manager (p. 323)
                               •     Viewing the Results of the Initial Simulation (p. 324)
                               •     Preparing a Simulation with Cavitation (p. 326)
                               •     Obtaining a Cavitation Solution using ANSYS CFX-Solver Manager (p. 328)
                               •     Viewing the Results of the Cavitation Simulation (p. 328)

                               If this is the first tutorial you are working with it is important to review the following topics
                               before beginning:
                               •     Setting the Working Directory (p. 1)
                               •     Changing the Display Colors (p. 2)
                               Unless you plan on running a session file, you should copy the sample files used in this
                               tutorial from the installation folder for your software (<CFXROOT>/examples/) to your
                               working directory. This prevents you from overwriting source files provided with your
                               installation. If you plan to use a session file, please refer to Playing a Session File (p. 319).
                               Sample files referenced by this tutorial include:
                               •     HydrofoilExperimentalCp.csv
                               •     HydrofoilGrid.def
                               •     HydrofoilIni.pre
                               •     Hydrofoil.pre
                               •     HydrofoilIni_001.res



ANSYS CFX Tutorials                                                                                                      Page 317
ANSYS CFX Release 11.0. © 1996-2006 ANSYS Europe, Ltd. All rights reserved.
Contains proprietary and confidential information of ANSYS, Inc. and its subsidiaries and affiliates.
Tutorial 19: Cavitation Around a Hydrofoil: Tutorial 19 Features

Tutorial 19 Features
                     This tutorial addresses the following features of ANSYS CFX.


                      Component                                   Feature                                           Details
                      ANSYS CFX-Pre                               User Mode                                         General Mode
                                                                  Simulation Type                                   Steady State
                                                                  Fluid Type                                        General Fluid
                                                                  Domain Type                                       Single Domain
                                                                  Turbulence Model                                  k-Epsilon
                                                                  Heat Transfer                                     Isothermal
                                                                  Multiphase
                                                                  Boundary Conditions                               Inlet (Subsonic)
                                                                                                                    Outlet (Subsonic)
                                                                                                                    Symmetry Plane
                                                                                                                    Wall: No-Slip
                                                                                                                    Wall: Free-Slip
                                                                  Timestep                                          Physical Time Scale
                      ANSYS CFX-Solver Manager                    Restart
                      ANSYS CFX-Post                              Plots                                             Contour
                                                                                                                    Line Locator
                                                                                                                    Polyline
                                                                                                                    Slice Plane
                                                                                                                    Streamline
                                                                                                                    Vector
                                                                  Other                                             Chart Creation
                                                                                                                    Data Export
                                                                                                                    Printing
                                                                                                                    Title/Text
                                                                                                                    Variable Details View

                     In this tutorial you will learn about:
                     •     Modeling flow with cavitation.
                     •     Using vector reduction in ANSYS CFX-Post to clarify a vector plot with many arrows.
                     •     Importing and exporting data along a polyline.
                     •     Plotting computed and experimental results.




Page 318          ANSYS CFX Tutorials. ANSYS CFX Release 11.0. © 1996-2006 ANSYS Europe, Ltd. All rights reserved.
                  Contains proprietary and confidential information of ANSYS, Inc. and its subsidiaries and affiliates.
Tutorial 19: Cavitation Around a Hydrofoil: Overview of the Problem to Solve

Overview of the Problem to Solve
                               This example demonstrates cavitation in the flow of water around a hydrofoil. A
                               two-dimensional solution is obtained by modeling a thin slice of the hydrofoil and using
                               two symmetry boundary conditions.
                                                                                                cavitation zone




                               16.91 m s^-1




                               In this tutorial, an initial solution with no cavitation is generated to provide an accurate
                               initial guess for a full cavitation solution, which is generated afterwards.



Creating an Initial Simulation
                               This section describes the step-by-step definition of the flow physics in ANSYS CFX-Pre.

Playing a Session File
                               If you wish to skip past these instructions, and have ANSYS CFX-Pre set up the simulation
                               automatically, you can select Session > Play Tutorial from the menu in ANSYS CFX-Pre,
                               then run the session file: HydrofoilIni.pre. After you have played the session file as
                               described in earlier tutorials under Playing the Session File and Starting ANSYS CFX-Solver
                               Manager (p. 87), proceed to Obtaining an Initial Solution using ANSYS CFX-Solver Manager
                               (p. 323).

Defining the Simulation
                               1. Start ANSYS CFX-Pre.
                               2. Select File > New Simulation.
                               3. Select General and click OK.
                               4. Select File > Save Simulation As.
                               5. Under File name, type HydrofoilIni.
                               6. Click Save.

Importing the Mesh
                               1. Right-click Mesh and select Import Mesh. The Import Mesh dialog box appears.
                               2. Apply the following settings

ANSYS CFX Tutorials. ANSYS CFX Release 11.0. © 1996-2006 ANSYS Europe, Ltd. All rights reserved.                          Page 319
Contains proprietary and confidential information of ANSYS, Inc. and its subsidiaries and affiliates.
Tutorial 19: Cavitation Around a Hydrofoil: Creating an Initial Simulation


                             Setting                                                             Value
                             File type                                                           CFX-Solver (*.def, *.ref, *.trn, *.bak)
                             File name                                                           HydrofoilGrid.def

                     3. Click Open.
                     4. Right-click a blank area in the viewer and select Predefined Camera > View Towards
                        -Z.

Loading Materials
                     Since this tutorial uses Water Vapour at 25 C and Water at 25 C you need to load these
                     materials.
                     1. In the Outline tree view, right-click Materials and select Import Library Data.
                        The Select Library Data to Import dialog box is displayed.
                     2. Expand Water Data.
                     3. Select both Water Vapour at 25 C and Water at 25 C by holding <Crtl> when
                        selecting.
                     4. Click OK.

Creating the Domain
                     The fluid domain used for this simulation contains liquid water and water vapour. The
                     volume fractions are initially set so that the domain is filled entirely with liquid.
                     1. Right click Simulation in the Outline tree view and ensure that Automatic Default
                        Domain is selected. A domain named Default Domain should now appear under the
                        Simulation branch.
                     2. Double click Default Domain and apply the following settings


                             Tab                    Setting                                                                  Value
                             General                Basic Settings > Fluids List          *                                  Water at 25 C, Water
                             Options                                                                                         Vapour at 25 C
                                                    Domain Models > Pressure > Reference Pressure                            0 [atm]
                             Fluid Models           Multiphase Options > Homogeneous Model                                   (Selected)
                                                    Heat Transfer > Option                                                   Isothermal
                                                    Heat Transfer > Fluid Temperature                                        300 [K]
                                                    Turbulence > Option                                                      k-Epsilon
                                  *.    These two fluids have consistent reference enthalpies.

                     3. Click OK.

Creating the Boundary Conditions
                     The simulation requires inlet, outlet, wall and symmetry plane boundary conditions. The
                     regions for these boundary conditions were imported with the grid file.


Page 320          ANSYS CFX Tutorials. ANSYS CFX Release 11.0. © 1996-2006 ANSYS Europe, Ltd. All rights reserved.
                  Contains proprietary and confidential information of ANSYS, Inc. and its subsidiaries and affiliates.
Tutorial 19: Cavitation Around a Hydrofoil: Creating an Initial Simulation
Inlet Boundary                 1. Create a new boundary condition named Inlet.
                               2. Apply the following settings


                                      Tab                         Setting                                     Value
                                      Basic Settings              Boundary Type                               Inlet
                                                                  Location                                    IN
                                      Boundary Details            Mass and Momentum > Normal Speed            16.91 [m s^-1]
                                                                  Turbulence > Option                         Intensity and Length Scale
                                                                  Turbulence > Value                          0.03
                                                                  Turbulence > Eddy Len. Scale                0.0076 [m]
                                      Fluid Values                Boundary Conditions                         Water at 25 C
                                                                  Boundary Conditions > Water at 25 C>        1
                                                                  Volume Fraction > Volume Fraction
                                                                  Boundary Conditions                         Water Vapour at 25 C
                                                                  Boundary Conditions > Water Vapour at 25 C > 0
                                                                  Volume Fraction > Volume Fraction

                               3. Click OK.

Outlet                         1. Create a new boundary condition named Outlet.
Boundary                       2. Apply the following settings


                                      Tab                         Setting                                     Value
                                      Basic Settings              Boundary Type                               Outlet
                                                                  Location                                    OUT
                                      Boundary Details            Mass and Momentum > Option                  Static Pressure
                                                                  Mass and Momentum > Relative Pressure       51957 [Pa]

                               3. Click OK.

Free Slip Wall                 1. Create a new boundary condition named SlipWalls.
Boundary                       2. Apply the following settings


                                      Tab                         Setting                                     Value
                                      Basic Settings              Boundary Type                               Wall
                                                                  Location                                    BOT, TOP
                                      Boundary Details            Wall Influence on Flow > Option             Free Slip

                               3. Click OK.

Symmetry Plane 1. Create a new boundary condition named Sym1.
Boundaries     2. Apply the following settings




ANSYS CFX Tutorials. ANSYS CFX Release 11.0. © 1996-2006 ANSYS Europe, Ltd. All rights reserved.                                Page 321
Contains proprietary and confidential information of ANSYS, Inc. and its subsidiaries and affiliates.
Tutorial 19: Cavitation Around a Hydrofoil: Creating an Initial Simulation


                             Tab                         Setting                                                          Value
                             Basic Settings              Boundary Type                                                    Symmetry
                                                         Location                                                         SYM1

                     3. Click OK.
                     1. Create a new boundary condition named Sym2.
                     2. Apply the following settings


                             Tab                         Setting                                                          Value
                             Basic Settings              Boundary Type                                                    Symmetry
                                                         Location                                                         SYM2

                     3. Click OK.

Setting Initial Values
                     1. Click Global Initialization                     .
                     2. Apply the following settings


                             Tab              Setting                                                                       Value
                             Global           Initial Conditions > Cartesian Velocity Components >                          Automatic with Value
                             Settings         Option
                                              Initial Conditions > Cartesian Velocity Components > U                        16.91 [m s^-1]
                                              Initial Conditions > Cartesian Velocity Components > V                        0 [m s^-1]
                                              Initial Conditions > Cartesian Velocity Components > W                        0 [m s^-1]
                                              Initial Conditions > Turbulence Eddy Dissipation                              (Selected)
                             Fluid            Fluid Specific Initialization                                                 Water
                             Settings                                                                                       at 25 C
                                              Fluid Specific Initialization > Water at 25 C                                 (Selected)
                                              Fluid Specific Initialization > Water at 25 C > Initial                       Automatic with Value
                                              Conditions > Volume Fraction > Option
                                              Fluid Specific Initialization > Water at 25 C > Initial                       1
                                              Conditions > Volume Fraction > Volume Fraction
                                              Fluid Specific Initialization                                                 Water Vapour at 25 C
                                              Fluid Specific Initialization > Water Vapour at 25 C                          (Selected)
                                              Fluid Specific Initialization > Water Vapour at 25 C > Initial Automatic with Value
                                              Conditions > Volume Fraction > Option
                                              Fluid Specific Initialization > Water Vapour at 25 C > Initial 0
                                              Conditions > Volume Fraction > Volume Fraction

                     3. Click OK.




Page 322          ANSYS CFX Tutorials. ANSYS CFX Release 11.0. © 1996-2006 ANSYS Europe, Ltd. All rights reserved.
                  Contains proprietary and confidential information of ANSYS, Inc. and its subsidiaries and affiliates.
Tutorial 19: Cavitation Around a Hydrofoil: Obtaining an Initial Solution using ANSYS CFX-Solver Manager

Setting Solver Control
                               1. Click Solver Control                   .
                               2. Apply the following settings


                                      Tab                         Setting                                            Value
                                      Basic Settings              Convergence Control > Max. Iterations              35
                                                                  Convergence Control > Fluid Timescale              Physical Timescale
                                                                  Control > Timescale Control
                                                                  Convergence Control > Fluid Timescale              0.01 [s]
                                                                  Control > Physical Timescale

                               Note: For the Convergence Criteria, an RMS value of at least 1e-05 is usually required for
                               adequate convergence, but the default value is sufficient for demonstration purposes.
                               3. Click OK.

Writing the Solver (.def) File
                               1. Click Write Solver File                    .
                               2. Apply the following settings


                                      Setting                                                           Value
                                      File name                                                         HydrofoilIni.def
                                      Quit CFX–Pre       *                                              (Selected)

                                           *.    If using ANSYS CFX-Pre in Standalone Mode.

                               3. Ensure Start Solver Manager is selected and click Save.
                               4. Quit ANSYS CFX-Pre, saving the simulation (.cfx) file at your discretion.



Obtaining an Initial Solution using ANSYS CFX-Solver Manager
                               While the calculations proceed, you can see residual output for various equations in both
                               the text area and the plot area. Use the tabs to switch between different plots (e.g.,
                               Momentum and Mass, Turbulence Quantities, etc.) in the plot area. You can view residual
                               plots for the fluid and solid domains separately by editing the workspace properties.
                               1. Ensure that the Define Run dialog box is displayed.
                               2. Click Start Run.
                                  ANSYS CFX-Solver runs and attempts to obtain a solution. This can take a long time
                                  depending on your system. Eventually a dialog box is displayed.
                               3. Click Yes to post-process the results.
                               4. If using Standalone Mode, quit ANSYS CFX-Solver Manager.




ANSYS CFX Tutorials. ANSYS CFX Release 11.0. © 1996-2006 ANSYS Europe, Ltd. All rights reserved.                                          Page 323
Contains proprietary and confidential information of ANSYS, Inc. and its subsidiaries and affiliates.
Tutorial 19: Cavitation Around a Hydrofoil: Viewing the Results of the Initial Simulation

Viewing the Results of the Initial Simulation
                     The following topics will be discussed:
                     •     Plotting Pressure Distribution Data (p. 324)
                     •     Exporting Pressure Distribution Data (p. 325)
                     •     Saving the Post-Processing State (p. 326)

Plotting Pressure Distribution Data
                     In this section, you will create a plot of the pressure coefficient distribution around the
                     hydrofoil. The data will then be exported to a file for later comparison with data from the
                     cavitating flow case, which will be run later in this tutorial.
                     1. Right-click a blank area in the viewer and select Predefined Camera > View Towards
                        -Z.
                     2. Insert a new plane named Slice.
                     3. Apply the following settings


                             Tab                         Setting                                                          Value
                             Geometry                    Definition > Method                                              XY Plane
                                                         Definition > Z                                                   5e-5 [m]
                             Render                      Draw Faces                                                       (Cleared)

                     4. Click Apply.
                     5. Create a new polyline named Foil by selecting Insert > Location > Polyline from the
                        main menu.
                     6. Apply the following settings


                             Tab                         Setting                                                          Value
                             Geometry                    Method                                                           Boundary Intersection
                                                         Boundary List                                                    Default Domain Default
                                                         Intersect With                                                   Slice

                     7. Click Apply.
                        Zoom in on the center of the hydrofoil (near the cavity) to confirm the polyline wraps
                        around the hydrofoil.
                     8. Create a new variable named Pressure Coefficient.
                     9. Apply the following settings


                             Setting                                       Value
                             Expression                                    (Pressure-51957[Pa])/(0.5*996.2[kg m^-3]*16.91[m s^-1]^2)

                     10. Click Apply.
                     11. Create a new variable named Chord.
                     12. Apply the following settings

Page 324          ANSYS CFX Tutorials. ANSYS CFX Release 11.0. © 1996-2006 ANSYS Europe, Ltd. All rights reserved.
                  Contains proprietary and confidential information of ANSYS, Inc. and its subsidiaries and affiliates.
Tutorial 19: Cavitation Around a Hydrofoil: Viewing the Results of the Initial Simulation


                                      Setting                                       Value
                                      Expression                                    (X-minVal(X)@Foil)/(maxVal(X)@Foil-minVal(X)@Foil)

                                     This creates a normalized chord, measured in the X direction, ranging from 0 at the
                                     leading edge to 1 at the trailing edge of the hydrofoil.
                               13. Click Apply.
                               Note: Although the variables that were just created are only needed at points along the
                               polyline, they exist throughout the domain.

                               Now that the variables Chord and Pressure Coefficient exist, they can be associated
                               with the previously defined polyline (the locator) to form a chart line. This chart line will be
                               added to the chart object, which is created next.
                               1. Select Insert > Chart from the main menu.
                               2. Set the name to Pressure Coefficient Distribution.
                               3. Apply the following settings


                                      Tab                   Setting                                            Value
                                      Chart                 Title                                              Pressure Coefficient Distribution
                                                            Labels > Use Data For Axis Label                   (Cleared)
                                                            Labels > X Axis                                    Normalized Chord Position
                                                            Labels > Y Axis                                    Pressure Coefficient
                                      Chart Line 1          Line Name                                          Solver Cp
                                                            Location                                           Foil
                                                            X Axis > Variable                                  Chord
                                                            Y Axis > Variable                                  Pressure Coefficient
                                      Axes                  X Axis > Determine Ranges Automatically            (Cleared)
                                                            X Axis > Min                                       0
                                                            X Axis > Max                                       1
                                                            Y Axis > Determine Ranges Automatically            (Cleared)
                                                            Y Axis > Min                                       -0.5
                                                            Y Axis > Max                                       0.4
                                                            Y Axis > Invert Axis                               (Selected)

                               4. Click Apply.
                               5. The chart appears on the Chart Viewer tab.

Exporting Pressure Distribution Data
                               You will now export the chord and pressure coefficient data along the polyline. This data will
                               be imported and used in a chart later in this tutorial for comparison with the results for when
                               cavitation is present.
                               1. Select File > Export. The Export dialog box appears
                               2. Apply the following settings

ANSYS CFX Tutorials. ANSY
Ansys 11 tutorial
Ansys 11 tutorial
Ansys 11 tutorial
Ansys 11 tutorial
Ansys 11 tutorial
Ansys 11 tutorial
Ansys 11 tutorial
Ansys 11 tutorial
Ansys 11 tutorial
Ansys 11 tutorial
Ansys 11 tutorial
Ansys 11 tutorial
Ansys 11 tutorial
Ansys 11 tutorial
Ansys 11 tutorial
Ansys 11 tutorial
Ansys 11 tutorial
Ansys 11 tutorial
Ansys 11 tutorial
Ansys 11 tutorial
Ansys 11 tutorial
Ansys 11 tutorial
Ansys 11 tutorial
Ansys 11 tutorial
Ansys 11 tutorial
Ansys 11 tutorial
Ansys 11 tutorial
Ansys 11 tutorial
Ansys 11 tutorial
Ansys 11 tutorial
Ansys 11 tutorial
Ansys 11 tutorial
Ansys 11 tutorial
Ansys 11 tutorial
Ansys 11 tutorial
Ansys 11 tutorial
Ansys 11 tutorial
Ansys 11 tutorial
Ansys 11 tutorial
Ansys 11 tutorial
Ansys 11 tutorial
Ansys 11 tutorial
Ansys 11 tutorial
Ansys 11 tutorial
Ansys 11 tutorial
Ansys 11 tutorial
Ansys 11 tutorial
Ansys 11 tutorial
Ansys 11 tutorial
Ansys 11 tutorial
Ansys 11 tutorial
Ansys 11 tutorial
Ansys 11 tutorial
Ansys 11 tutorial
Ansys 11 tutorial
Ansys 11 tutorial
Ansys 11 tutorial
Ansys 11 tutorial
Ansys 11 tutorial
Ansys 11 tutorial
Ansys 11 tutorial
Ansys 11 tutorial
Ansys 11 tutorial
Ansys 11 tutorial
Ansys 11 tutorial
Ansys 11 tutorial
Ansys 11 tutorial
Ansys 11 tutorial
Ansys 11 tutorial
Ansys 11 tutorial
Ansys 11 tutorial
Ansys 11 tutorial
Ansys 11 tutorial
Ansys 11 tutorial
Ansys 11 tutorial
Ansys 11 tutorial
Ansys 11 tutorial
Ansys 11 tutorial
Ansys 11 tutorial
Ansys 11 tutorial
Ansys 11 tutorial
Ansys 11 tutorial
Ansys 11 tutorial
Ansys 11 tutorial
Ansys 11 tutorial
Ansys 11 tutorial
Ansys 11 tutorial
Ansys 11 tutorial
Ansys 11 tutorial
Ansys 11 tutorial
Ansys 11 tutorial

Ansys 11 tutorial

  • 1.
    ANSYS CFX Tutorials ANSYS CFXRelease 11.0 December 2006
  • 2.
    ANSYS, Inc. Southpointe 275 TechnologyDrive Canonsburg, PA 15317 ansysinfo@ansys.com http://www.ansys.com (T) 724-746-3304 (F) 724-514-9494
  • 3.
    Copyright and TrademarkInformation © 1996-2006 ANSYS Europe, Ltd. All rights reserved. Unauthorized use, distribution, or duplication is prohibited. ANSYS, ANSYS Workbench, AUTODYN, CFX, FLUENT and any and all ANSYS, Inc. brand, product, service and feature names, logos and slogans are registered trademarks or trademarks of ANSYS, Inc. or its subsidiaries located in the United States or other countries. ICEM CFD is a trademark used by ANSYS, Inc. under license. CFX is a trademark of Sony Corporation in Japan. All other brand, product, service and feature names or trademarks are the property of their respective owners. Disclaimer Notice THIS ANSYS SOFTWARE PRODUCT AND PROGRAM DOCUMENTATION INCLUDE TRADE SECRETS AND ARE CONFIDENTIAL AND PROPRIETARY PRODUCTS OF ANSYS, INC., ITS SUBSIDIARIES, OR LICENSORS. The software products and documentation are furnished by ANSYS, Inc., its subsidiaries, or affiliates under a software license agreement that contains provisions concerning non-disclosure, copying, length and nature of use, compliance with exporting laws, warranties, disclaimers, limitations of liability, and remedies, and other provisions. The software products and documentation may be used, disclosed, transferred, or copied only in accordance with the terms and conditions of that software license agreement. ANSYS, Inc. and ANSYS Europe, Ltd. are UL registered ISO 9001:2000 companies. U.S. Government Rights For U.S. Government users, except as specifically granted by the ANSYS, Inc. software license agreement, the use, duplication, or disclosure by the United States Government is subject to restrictions stated in the ANSYS, Inc. software license agreement and FAR 12.212 (for non DOD licenses). Third-Party Software See the online documentation in the product help files for the complete Legal Notice for ANSYS proprietary software and third-party software. The ANSYS third-party software information is also available via download from the Customer Portal on the ANSYS web page. If you are unable to access the third-party legal notices, please contact ANSYS, Inc. Published in the U.S.A.
  • 5.
    Table of Contents Copyrightand Trademark Information Disclaimer Notice U.S. Government Rights Third-Party Software Introduction to the ANSYS CFX Tutorials Overview . . . . . . . . . . . . . . . . . . . . . . . . . . . . . . . . . . . . . . . . . . . . . . . . . . . . . . . . . . . . . . . . . . . . . . . . . . . . . . . . . . . . . . . . . . . . . . 1 Setting the Working Directory . . . . . . . . . . . . . . . . . . . . . . . . . . . . . . . . . . . . . . . . . . . . . . . . . . . . . . . . . . . . . . . . . . . . . . . . . . 1 Changing the Display Colors. . . . . . . . . . . . . . . . . . . . . . . . . . . . . . . . . . . . . . . . . . . . . . . . . . . . . . . . . . . . . . . . . . . . . . . . . . . . 2 Tutorial 1: Simulating Flow in a Static Mixer Using CFX in Standalone Mode Introduction . . . . . . . . . . . . . . . . . . . . . . . . . . . . . . . . . . . . . . . . . . . . . . . . . . . . . . . . . . . . . . . . . . . . . . . . . . . . . . . . . . . . . . . . . . . 3 Before You Begin . . . . . . . . . . . . . . . . . . . . . . . . . . . . . . . . . . . . . . . . . . . . . . . . . . . . . . . . . . . . . . . . . . . . . . . . . . . . . . . . . . . . . . . 4 Tutorial 1 Features . . . . . . . . . . . . . . . . . . . . . . . . . . . . . . . . . . . . . . . . . . . . . . . . . . . . . . . . . . . . . . . . . . . . . . . . . . . . . . . . . . . . . 4 Overview of the Problem to Solve. . . . . . . . . . . . . . . . . . . . . . . . . . . . . . . . . . . . . . . . . . . . . . . . . . . . . . . . . . . . . . . . . . . . . . . 5 Defining a Simulation in ANSYS CFX-Pre . . . . . . . . . . . . . . . . . . . . . . . . . . . . . . . . . . . . . . . . . . . . . . . . . . . . . . . . . . . . . . . . 6 Obtaining a Solution Using ANSYS CFX-Solver Manager . . . . . . . . . . . . . . . . . . . . . . . . . . . . . . . . . . . . . . . . . . . . . . . .12 Viewing the Results in ANSYS CFX-Post . . . . . . . . . . . . . . . . . . . . . . . . . . . . . . . . . . . . . . . . . . . . . . . . . . . . . . . . . . . . . . . .15 Tutorial 1a: Simulating Flow in a Static Mixer Using Workbench Introduction . . . . . . . . . . . . . . . . . . . . . . . . . . . . . . . . . . . . . . . . . . . . . . . . . . . . . . . . . . . . . . . . . . . . . . . . . . . . . . . . . . . . . . . . . .31 Before You Begin . . . . . . . . . . . . . . . . . . . . . . . . . . . . . . . . . . . . . . . . . . . . . . . . . . . . . . . . . . . . . . . . . . . . . . . . . . . . . . . . . . . . . .32 Tutorial 1a Features . . . . . . . . . . . . . . . . . . . . . . . . . . . . . . . . . . . . . . . . . . . . . . . . . . . . . . . . . . . . . . . . . . . . . . . . . . . . . . . . . . .32 ANSYS CFX Tutorials Page v
  • 6.
    Table of Contents:Tutorial 2: Flow in a Static Mixer (Refined Mesh) Overview of the Problem to Solve. . . . . . . . . . . . . . . . . . . . . . . . . . . . . . . . . . . . . . . . . . . . . . . . . . . . . . . . . . . . . . . . . . . . . .33 Defining a Simulation in ANSYS CFX-Pre . . . . . . . . . . . . . . . . . . . . . . . . . . . . . . . . . . . . . . . . . . . . . . . . . . . . . . . . . . . . . . .34 Obtaining a Solution Using ANSYS CFX-Solver Manager . . . . . . . . . . . . . . . . . . . . . . . . . . . . . . . . . . . . . . . . . . . . . . . .41 Viewing the Results in ANSYS CFX-Post . . . . . . . . . . . . . . . . . . . . . . . . . . . . . . . . . . . . . . . . . . . . . . . . . . . . . . . . . . . . . . . .43 Tutorial 2: Flow in a Static Mixer (Refined Mesh) Introduction . . . . . . . . . . . . . . . . . . . . . . . . . . . . . . . . . . . . . . . . . . . . . . . . . . . . . . . . . . . . . . . . . . . . . . . . . . . . . . . . . . . . . . . . . .59 Tutorial 2 Features . . . . . . . . . . . . . . . . . . . . . . . . . . . . . . . . . . . . . . . . . . . . . . . . . . . . . . . . . . . . . . . . . . . . . . . . . . . . . . . . . . . .60 Overview of the Problem to Solve. . . . . . . . . . . . . . . . . . . . . . . . . . . . . . . . . . . . . . . . . . . . . . . . . . . . . . . . . . . . . . . . . . . . . .60 Defining a Simulation using General Mode in ANSYS CFX-Pre . . . . . . . . . . . . . . . . . . . . . . . . . . . . . . . . . . . . . . . . . . .61 Obtaining a Solution Using Interpolation with ANSYS CFX-Solver . . . . . . . . . . . . . . . . . . . . . . . . . . . . . . . . . . . . . . .66 Viewing the Results in ANSYS CFX-Post . . . . . . . . . . . . . . . . . . . . . . . . . . . . . . . . . . . . . . . . . . . . . . . . . . . . . . . . . . . . . . . .68 Tutorial 3: Flow in a Process Injection Mixing Pipe Introduction . . . . . . . . . . . . . . . . . . . . . . . . . . . . . . . . . . . . . . . . . . . . . . . . . . . . . . . . . . . . . . . . . . . . . . . . . . . . . . . . . . . . . . . . . .77 Tutorial 3 Features . . . . . . . . . . . . . . . . . . . . . . . . . . . . . . . . . . . . . . . . . . . . . . . . . . . . . . . . . . . . . . . . . . . . . . . . . . . . . . . . . . . .78 Overview of the Problem to Solve. . . . . . . . . . . . . . . . . . . . . . . . . . . . . . . . . . . . . . . . . . . . . . . . . . . . . . . . . . . . . . . . . . . . . .78 Defining a Simulation using General Mode in ANSYS CFX-Pre . . . . . . . . . . . . . . . . . . . . . . . . . . . . . . . . . . . . . . . . . . .79 Obtaining a Solution Using ANSYS CFX-Solver Manager . . . . . . . . . . . . . . . . . . . . . . . . . . . . . . . . . . . . . . . . . . . . . . . .87 Viewing the Results in ANSYS CFX-Post . . . . . . . . . . . . . . . . . . . . . . . . . . . . . . . . . . . . . . . . . . . . . . . . . . . . . . . . . . . . . . . .88 Tutorial 4: Flow from a Circular Vent Introduction . . . . . . . . . . . . . . . . . . . . . . . . . . . . . . . . . . . . . . . . . . . . . . . . . . . . . . . . . . . . . . . . . . . . . . . . . . . . . . . . . . . . . . . . . .93 Tutorial 4 Features . . . . . . . . . . . . . . . . . . . . . . . . . . . . . . . . . . . . . . . . . . . . . . . . . . . . . . . . . . . . . . . . . . . . . . . . . . . . . . . . . . . .94 Overview of the Problem to Solve. . . . . . . . . . . . . . . . . . . . . . . . . . . . . . . . . . . . . . . . . . . . . . . . . . . . . . . . . . . . . . . . . . . . . .95 Defining a Steady-State Simulation in ANSYS CFX-Pre . . . . . . . . . . . . . . . . . . . . . . . . . . . . . . . . . . . . . . . . . . . . . . . . . .95 Obtaining a Solution to the Steady-State Problem . . . . . . . . . . . . . . . . . . . . . . . . . . . . . . . . . . . . . . . . . . . . . . . . . . . . . .99 Defining a Transient Simulation in ANSYS CFX-Pre. . . . . . . . . . . . . . . . . . . . . . . . . . . . . . . . . . . . . . . . . . . . . . . . . . . . 100 Obtaining a Solution to the Transient Problem . . . . . . . . . . . . . . . . . . . . . . . . . . . . . . . . . . . . . . . . . . . . . . . . . . . . . . . 104 Viewing the Results in ANSYS CFX-Post . . . . . . . . . . . . . . . . . . . . . . . . . . . . . . . . . . . . . . . . . . . . . . . . . . . . . . . . . . . . . . 105 Tutorial 5: Flow Around a Blunt Body Introduction . . . . . . . . . . . . . . . . . . . . . . . . . . . . . . . . . . . . . . . . . . . . . . . . . . . . . . . . . . . . . . . . . . . . . . . . . . . . . . . . . . . . . . . . 109 Tutorial 5 Features . . . . . . . . . . . . . . . . . . . . . . . . . . . . . . . . . . . . . . . . . . . . . . . . . . . . . . . . . . . . . . . . . . . . . . . . . . . . . . . . . . 109 Overview of the Problem to Solve. . . . . . . . . . . . . . . . . . . . . . . . . . . . . . . . . . . . . . . . . . . . . . . . . . . . . . . . . . . . . . . . . . . . 111 Defining a Simulation in ANSYS CFX-Pre . . . . . . . . . . . . . . . . . . . . . . . . . . . . . . . . . . . . . . . . . . . . . . . . . . . . . . . . . . . . . 111 Page vi ANSYS CFX Tutorials
  • 7.
    Table of Contents:Tutorial 6: Buoyant Flow in a Partitioned Cavity Obtaining a Solution Using ANSYS CFX-Solver Manager . . . . . . . . . . . . . . . . . . . . . . . . . . . . . . . . . . . . . . . . . . . . . . 116 Viewing the Results in ANSYS CFX-Post . . . . . . . . . . . . . . . . . . . . . . . . . . . . . . . . . . . . . . . . . . . . . . . . . . . . . . . . . . . . . . 119 Tutorial 6: Buoyant Flow in a Partitioned Cavity Introduction . . . . . . . . . . . . . . . . . . . . . . . . . . . . . . . . . . . . . . . . . . . . . . . . . . . . . . . . . . . . . . . . . . . . . . . . . . . . . . . . . . . . . . . . 127 Tutorial 6 Features . . . . . . . . . . . . . . . . . . . . . . . . . . . . . . . . . . . . . . . . . . . . . . . . . . . . . . . . . . . . . . . . . . . . . . . . . . . . . . . . . . 128 Overview of the Problem to Solve. . . . . . . . . . . . . . . . . . . . . . . . . . . . . . . . . . . . . . . . . . . . . . . . . . . . . . . . . . . . . . . . . . . . 128 Defining a Simulation in ANSYS CFX-Pre . . . . . . . . . . . . . . . . . . . . . . . . . . . . . . . . . . . . . . . . . . . . . . . . . . . . . . . . . . . . . 129 Obtaining a Solution using ANSYS CFX-Solver Manager . . . . . . . . . . . . . . . . . . . . . . . . . . . . . . . . . . . . . . . . . . . . . . 134 Viewing the Results in ANSYS CFX-Post . . . . . . . . . . . . . . . . . . . . . . . . . . . . . . . . . . . . . . . . . . . . . . . . . . . . . . . . . . . . . . 135 Tutorial 7: Free Surface Flow Over a Bump Introduction . . . . . . . . . . . . . . . . . . . . . . . . . . . . . . . . . . . . . . . . . . . . . . . . . . . . . . . . . . . . . . . . . . . . . . . . . . . . . . . . . . . . . . . . 139 Tutorial 7 Features . . . . . . . . . . . . . . . . . . . . . . . . . . . . . . . . . . . . . . . . . . . . . . . . . . . . . . . . . . . . . . . . . . . . . . . . . . . . . . . . . . 139 Overview of the Problem to Solve. . . . . . . . . . . . . . . . . . . . . . . . . . . . . . . . . . . . . . . . . . . . . . . . . . . . . . . . . . . . . . . . . . . . 140 Defining a Simulation in ANSYS CFX-Pre . . . . . . . . . . . . . . . . . . . . . . . . . . . . . . . . . . . . . . . . . . . . . . . . . . . . . . . . . . . . . 141 Obtaining a Solution using ANSYS CFX-Solver Manager . . . . . . . . . . . . . . . . . . . . . . . . . . . . . . . . . . . . . . . . . . . . . . 148 Viewing the Results in ANSYS CFX-Post . . . . . . . . . . . . . . . . . . . . . . . . . . . . . . . . . . . . . . . . . . . . . . . . . . . . . . . . . . . . . . 149 Using a Supercritical Outlet Condition . . . . . . . . . . . . . . . . . . . . . . . . . . . . . . . . . . . . . . . . . . . . . . . . . . . . . . . . . . . . . . . 154 Tutorial 8: Supersonic Flow Over a Wing Introduction . . . . . . . . . . . . . . . . . . . . . . . . . . . . . . . . . . . . . . . . . . . . . . . . . . . . . . . . . . . . . . . . . . . . . . . . . . . . . . . . . . . . . . . . 155 Tutorial 8 Features . . . . . . . . . . . . . . . . . . . . . . . . . . . . . . . . . . . . . . . . . . . . . . . . . . . . . . . . . . . . . . . . . . . . . . . . . . . . . . . . . . 155 Overview of the Problem to Solve. . . . . . . . . . . . . . . . . . . . . . . . . . . . . . . . . . . . . . . . . . . . . . . . . . . . . . . . . . . . . . . . . . . . 157 Defining a Simulation in ANSYS CFX-Pre . . . . . . . . . . . . . . . . . . . . . . . . . . . . . . . . . . . . . . . . . . . . . . . . . . . . . . . . . . . . . 157 Obtaining a Solution using ANSYS CFX-Solver Manager . . . . . . . . . . . . . . . . . . . . . . . . . . . . . . . . . . . . . . . . . . . . . . 162 Viewing the Results in ANSYS CFX-Post . . . . . . . . . . . . . . . . . . . . . . . . . . . . . . . . . . . . . . . . . . . . . . . . . . . . . . . . . . . . . . 162 Tutorial 9: Flow Through a Butterfly Valve Introduction . . . . . . . . . . . . . . . . . . . . . . . . . . . . . . . . . . . . . . . . . . . . . . . . . . . . . . . . . . . . . . . . . . . . . . . . . . . . . . . . . . . . . . . . 165 Tutorial 9 Features . . . . . . . . . . . . . . . . . . . . . . . . . . . . . . . . . . . . . . . . . . . . . . . . . . . . . . . . . . . . . . . . . . . . . . . . . . . . . . . . . . 165 Overview of the Problem to Solve. . . . . . . . . . . . . . . . . . . . . . . . . . . . . . . . . . . . . . . . . . . . . . . . . . . . . . . . . . . . . . . . . . . . 166 Defining a Simulation in ANSYS CFX-Pre . . . . . . . . . . . . . . . . . . . . . . . . . . . . . . . . . . . . . . . . . . . . . . . . . . . . . . . . . . . . . 167 Obtaining a Solution using ANSYS CFX-Solver Manager . . . . . . . . . . . . . . . . . . . . . . . . . . . . . . . . . . . . . . . . . . . . . . 180 Viewing the Results in ANSYS CFX-Post . . . . . . . . . . . . . . . . . . . . . . . . . . . . . . . . . . . . . . . . . . . . . . . . . . . . . . . . . . . . . . 180 Tutorial 10: ANSYS CFX Tutorials Page vii
  • 8.
    Table of Contents:Tutorial 11: Non-Newtonian Fluid Flow in an Annulus Flow in a Catalytic Converter Introduction . . . . . . . . . . . . . . . . . . . . . . . . . . . . . . . . . . . . . . . . . . . . . . . . . . . . . . . . . . . . . . . . . . . . . . . . . . . . . . . . . . . . . . . . 185 Tutorial 10 Features . . . . . . . . . . . . . . . . . . . . . . . . . . . . . . . . . . . . . . . . . . . . . . . . . . . . . . . . . . . . . . . . . . . . . . . . . . . . . . . . . 185 Overview of the Problem to Solve. . . . . . . . . . . . . . . . . . . . . . . . . . . . . . . . . . . . . . . . . . . . . . . . . . . . . . . . . . . . . . . . . . . . 186 Defining a Simulation in ANSYS CFX-Pre . . . . . . . . . . . . . . . . . . . . . . . . . . . . . . . . . . . . . . . . . . . . . . . . . . . . . . . . . . . . . 187 Obtaining a Solution using ANSYS CFX-Solver Manager . . . . . . . . . . . . . . . . . . . . . . . . . . . . . . . . . . . . . . . . . . . . . . 193 Viewing the Results in ANSYS CFX-Post . . . . . . . . . . . . . . . . . . . . . . . . . . . . . . . . . . . . . . . . . . . . . . . . . . . . . . . . . . . . . . 194 Tutorial 11: Non-Newtonian Fluid Flow in an Annulus Introduction . . . . . . . . . . . . . . . . . . . . . . . . . . . . . . . . . . . . . . . . . . . . . . . . . . . . . . . . . . . . . . . . . . . . . . . . . . . . . . . . . . . . . . . . 199 Tutorial 11 Features . . . . . . . . . . . . . . . . . . . . . . . . . . . . . . . . . . . . . . . . . . . . . . . . . . . . . . . . . . . . . . . . . . . . . . . . . . . . . . . . . 200 Overview of the Problem to Solve. . . . . . . . . . . . . . . . . . . . . . . . . . . . . . . . . . . . . . . . . . . . . . . . . . . . . . . . . . . . . . . . . . . . 201 Defining a Simulation in ANSYS CFX-Pre . . . . . . . . . . . . . . . . . . . . . . . . . . . . . . . . . . . . . . . . . . . . . . . . . . . . . . . . . . . . . 201 Obtaining a Solution using ANSYS CFX-Solver Manager . . . . . . . . . . . . . . . . . . . . . . . . . . . . . . . . . . . . . . . . . . . . . . 205 Viewing the Results in ANSYS CFX-Post . . . . . . . . . . . . . . . . . . . . . . . . . . . . . . . . . . . . . . . . . . . . . . . . . . . . . . . . . . . . . . 206 Tutorial 12: Flow in an Axial Rotor/Stator Introduction . . . . . . . . . . . . . . . . . . . . . . . . . . . . . . . . . . . . . . . . . . . . . . . . . . . . . . . . . . . . . . . . . . . . . . . . . . . . . . . . . . . . . . . . 207 Tutorial 12 Features . . . . . . . . . . . . . . . . . . . . . . . . . . . . . . . . . . . . . . . . . . . . . . . . . . . . . . . . . . . . . . . . . . . . . . . . . . . . . . . . . 208 Overview of the Problem to Solve. . . . . . . . . . . . . . . . . . . . . . . . . . . . . . . . . . . . . . . . . . . . . . . . . . . . . . . . . . . . . . . . . . . . 209 Defining a Frozen Rotor Simulation in ANSYS CFX-Pre . . . . . . . . . . . . . . . . . . . . . . . . . . . . . . . . . . . . . . . . . . . . . . . . 210 Obtaining a Solution to the Frozen Rotor Model . . . . . . . . . . . . . . . . . . . . . . . . . . . . . . . . . . . . . . . . . . . . . . . . . . . . . . 214 Viewing the Frozen Rotor Results in ANSYS CFX-Post . . . . . . . . . . . . . . . . . . . . . . . . . . . . . . . . . . . . . . . . . . . . . . . . . 215 Setting up a Transient Rotor-Stator Calculation. . . . . . . . . . . . . . . . . . . . . . . . . . . . . . . . . . . . . . . . . . . . . . . . . . . . . . . 216 Obtaining a Solution to the Transient Rotor-Stator Model. . . . . . . . . . . . . . . . . . . . . . . . . . . . . . . . . . . . . . . . . . . . . 219 Viewing the Transient Rotor-Stator Results in ANSYS CFX-Post . . . . . . . . . . . . . . . . . . . . . . . . . . . . . . . . . . . . . . . . 220 Tutorial 13: Reacting Flow in a Mixing Tube Introduction . . . . . . . . . . . . . . . . . . . . . . . . . . . . . . . . . . . . . . . . . . . . . . . . . . . . . . . . . . . . . . . . . . . . . . . . . . . . . . . . . . . . . . . . 223 Tutorial 13 Features . . . . . . . . . . . . . . . . . . . . . . . . . . . . . . . . . . . . . . . . . . . . . . . . . . . . . . . . . . . . . . . . . . . . . . . . . . . . . . . . . 223 Overview of the Problem to Solve. . . . . . . . . . . . . . . . . . . . . . . . . . . . . . . . . . . . . . . . . . . . . . . . . . . . . . . . . . . . . . . . . . . . 224 Outline of the Process . . . . . . . . . . . . . . . . . . . . . . . . . . . . . . . . . . . . . . . . . . . . . . . . . . . . . . . . . . . . . . . . . . . . . . . . . . . . . . . 224 Defining a Simulation in ANSYS CFX-Pre . . . . . . . . . . . . . . . . . . . . . . . . . . . . . . . . . . . . . . . . . . . . . . . . . . . . . . . . . . . . . 225 Obtaining a Solution using ANSYS CFX-Solver Manager . . . . . . . . . . . . . . . . . . . . . . . . . . . . . . . . . . . . . . . . . . . . . . 237 Viewing the Results in ANSYS CFX-Post . . . . . . . . . . . . . . . . . . . . . . . . . . . . . . . . . . . . . . . . . . . . . . . . . . . . . . . . . . . . . . 237 Tutorial 14: Page viii ANSYS CFX Tutorials
  • 9.
    Table of Contents:Tutorial 15: Multiphase Flow in Mixing Vessel Conjugate Heat Transfer in a Heating Coil Introduction . . . . . . . . . . . . . . . . . . . . . . . . . . . . . . . . . . . . . . . . . . . . . . . . . . . . . . . . . . . . . . . . . . . . . . . . . . . . . . . . . . . . . . . . 239 Tutorial 14 Features . . . . . . . . . . . . . . . . . . . . . . . . . . . . . . . . . . . . . . . . . . . . . . . . . . . . . . . . . . . . . . . . . . . . . . . . . . . . . . . . . 240 Overview of the Problem to Solve. . . . . . . . . . . . . . . . . . . . . . . . . . . . . . . . . . . . . . . . . . . . . . . . . . . . . . . . . . . . . . . . . . . . 241 Defining a Simulation in ANSYS CFX-Pre . . . . . . . . . . . . . . . . . . . . . . . . . . . . . . . . . . . . . . . . . . . . . . . . . . . . . . . . . . . . . 241 Obtaining a Solution using ANSYS CFX-Solver Manager . . . . . . . . . . . . . . . . . . . . . . . . . . . . . . . . . . . . . . . . . . . . . . 246 Viewing the Results in ANSYS CFX-Post . . . . . . . . . . . . . . . . . . . . . . . . . . . . . . . . . . . . . . . . . . . . . . . . . . . . . . . . . . . . . . 246 Exporting the Results to ANSYS . . . . . . . . . . . . . . . . . . . . . . . . . . . . . . . . . . . . . . . . . . . . . . . . . . . . . . . . . . . . . . . . . . . . . . 247 Tutorial 15: Multiphase Flow in Mixing Vessel Introduction . . . . . . . . . . . . . . . . . . . . . . . . . . . . . . . . . . . . . . . . . . . . . . . . . . . . . . . . . . . . . . . . . . . . . . . . . . . . . . . . . . . . . . . . 251 Tutorial 15 Features . . . . . . . . . . . . . . . . . . . . . . . . . . . . . . . . . . . . . . . . . . . . . . . . . . . . . . . . . . . . . . . . . . . . . . . . . . . . . . . . . 252 Overview of the Problem to Solve. . . . . . . . . . . . . . . . . . . . . . . . . . . . . . . . . . . . . . . . . . . . . . . . . . . . . . . . . . . . . . . . . . . . 253 Defining a Simulation in ANSYS CFX-Pre . . . . . . . . . . . . . . . . . . . . . . . . . . . . . . . . . . . . . . . . . . . . . . . . . . . . . . . . . . . . . 253 Obtaining a Solution using ANSYS CFX-Solver Manager . . . . . . . . . . . . . . . . . . . . . . . . . . . . . . . . . . . . . . . . . . . . . . 265 Viewing the Results in ANSYS CFX-Post . . . . . . . . . . . . . . . . . . . . . . . . . . . . . . . . . . . . . . . . . . . . . . . . . . . . . . . . . . . . . . 265 Tutorial 16: Gas-Liquid Flow in an Airlift Reactor Introduction . . . . . . . . . . . . . . . . . . . . . . . . . . . . . . . . . . . . . . . . . . . . . . . . . . . . . . . . . . . . . . . . . . . . . . . . . . . . . . . . . . . . . . . . 269 Tutorial 16 Features . . . . . . . . . . . . . . . . . . . . . . . . . . . . . . . . . . . . . . . . . . . . . . . . . . . . . . . . . . . . . . . . . . . . . . . . . . . . . . . . . 270 Overview of the Problem to Solve. . . . . . . . . . . . . . . . . . . . . . . . . . . . . . . . . . . . . . . . . . . . . . . . . . . . . . . . . . . . . . . . . . . . 270 Defining a Simulation in ANSYS CFX-Pre . . . . . . . . . . . . . . . . . . . . . . . . . . . . . . . . . . . . . . . . . . . . . . . . . . . . . . . . . . . . . 271 Obtaining a Solution using ANSYS CFX-Solver Manager . . . . . . . . . . . . . . . . . . . . . . . . . . . . . . . . . . . . . . . . . . . . . . 277 Viewing the Results in ANSYS CFX-Post . . . . . . . . . . . . . . . . . . . . . . . . . . . . . . . . . . . . . . . . . . . . . . . . . . . . . . . . . . . . . . 278 Additional Fine Mesh Simulation Results . . . . . . . . . . . . . . . . . . . . . . . . . . . . . . . . . . . . . . . . . . . . . . . . . . . . . . . . . . . . . 280 Tutorial 17: Air Conditioning Simulation Introduction . . . . . . . . . . . . . . . . . . . . . . . . . . . . . . . . . . . . . . . . . . . . . . . . . . . . . . . . . . . . . . . . . . . . . . . . . . . . . . . . . . . . . . . . 283 Tutorial 17 Features . . . . . . . . . . . . . . . . . . . . . . . . . . . . . . . . . . . . . . . . . . . . . . . . . . . . . . . . . . . . . . . . . . . . . . . . . . . . . . . . . 284 Overview of the Problem to Solve. . . . . . . . . . . . . . . . . . . . . . . . . . . . . . . . . . . . . . . . . . . . . . . . . . . . . . . . . . . . . . . . . . . . 285 Defining a Simulation in ANSYS CFX-Pre . . . . . . . . . . . . . . . . . . . . . . . . . . . . . . . . . . . . . . . . . . . . . . . . . . . . . . . . . . . . . 285 Obtaining a Solution using ANSYS CFX-Solver Manager . . . . . . . . . . . . . . . . . . . . . . . . . . . . . . . . . . . . . . . . . . . . . . 295 Viewing the Results in ANSYS CFX-Post . . . . . . . . . . . . . . . . . . . . . . . . . . . . . . . . . . . . . . . . . . . . . . . . . . . . . . . . . . . . . . 295 Tutorial 18: Combustion and Radiation in a Can Combustor Introduction . . . . . . . . . . . . . . . . . . . . . . . . . . . . . . . . . . . . . . . . . . . . . . . . . . . . . . . . . . . . . . . . . . . . . . . . . . . . . . . . . . . . . . . . 299 ANSYS CFX Tutorials Page ix
  • 10.
    Table of Contents:Tutorial 19: Cavitation Around a Hydrofoil Tutorial 18 Features . . . . . . . . . . . . . . . . . . . . . . . . . . . . . . . . . . . . . . . . . . . . . . . . . . . . . . . . . . . . . . . . . . . . . . . . . . . . . . . . . 300 Overview of the Problem to Solve. . . . . . . . . . . . . . . . . . . . . . . . . . . . . . . . . . . . . . . . . . . . . . . . . . . . . . . . . . . . . . . . . . . . 301 Using Eddy Dissipation and P1 Models . . . . . . . . . . . . . . . . . . . . . . . . . . . . . . . . . . . . . . . . . . . . . . . . . . . . . . . . . . . . . . . 301 Defining a Simulation in ANSYS CFX-Pre . . . . . . . . . . . . . . . . . . . . . . . . . . . . . . . . . . . . . . . . . . . . . . . . . . . . . . . . . . . . . 302 Obtaining a Solution using ANSYS CFX-Solver Manager . . . . . . . . . . . . . . . . . . . . . . . . . . . . . . . . . . . . . . . . . . . . . . 307 Viewing the Results in ANSYS CFX-Post . . . . . . . . . . . . . . . . . . . . . . . . . . . . . . . . . . . . . . . . . . . . . . . . . . . . . . . . . . . . . . 308 Laminar Flamelet and Discrete Transfer Models . . . . . . . . . . . . . . . . . . . . . . . . . . . . . . . . . . . . . . . . . . . . . . . . . . . . . . 311 Further Postprocessing . . . . . . . . . . . . . . . . . . . . . . . . . . . . . . . . . . . . . . . . . . . . . . . . . . . . . . . . . . . . . . . . . . . . . . . . . . . . . . 316 Tutorial 19: Cavitation Around a Hydrofoil Introduction . . . . . . . . . . . . . . . . . . . . . . . . . . . . . . . . . . . . . . . . . . . . . . . . . . . . . . . . . . . . . . . . . . . . . . . . . . . . . . . . . . . . . . . . 317 Tutorial 19 Features . . . . . . . . . . . . . . . . . . . . . . . . . . . . . . . . . . . . . . . . . . . . . . . . . . . . . . . . . . . . . . . . . . . . . . . . . . . . . . . . . 318 Overview of the Problem to Solve. . . . . . . . . . . . . . . . . . . . . . . . . . . . . . . . . . . . . . . . . . . . . . . . . . . . . . . . . . . . . . . . . . . . 319 Creating an Initial Simulation . . . . . . . . . . . . . . . . . . . . . . . . . . . . . . . . . . . . . . . . . . . . . . . . . . . . . . . . . . . . . . . . . . . . . . . . 319 Obtaining an Initial Solution using ANSYS CFX-Solver Manager . . . . . . . . . . . . . . . . . . . . . . . . . . . . . . . . . . . . . . . 323 Viewing the Results of the Initial Simulation . . . . . . . . . . . . . . . . . . . . . . . . . . . . . . . . . . . . . . . . . . . . . . . . . . . . . . . . . . 324 Preparing a Simulation with Cavitation. . . . . . . . . . . . . . . . . . . . . . . . . . . . . . . . . . . . . . . . . . . . . . . . . . . . . . . . . . . . . . . 326 Obtaining a Cavitation Solution using ANSYS CFX-Solver Manager . . . . . . . . . . . . . . . . . . . . . . . . . . . . . . . . . . . . 328 Viewing the Results of the Cavitation Simulation . . . . . . . . . . . . . . . . . . . . . . . . . . . . . . . . . . . . . . . . . . . . . . . . . . . . . 328 Tutorial 20: Fluid Structure Interaction and Mesh Deformation Introduction . . . . . . . . . . . . . . . . . . . . . . . . . . . . . . . . . . . . . . . . . . . . . . . . . . . . . . . . . . . . . . . . . . . . . . . . . . . . . . . . . . . . . . . . 331 Tutorial 20 Features . . . . . . . . . . . . . . . . . . . . . . . . . . . . . . . . . . . . . . . . . . . . . . . . . . . . . . . . . . . . . . . . . . . . . . . . . . . . . . . . . 332 Overview of the Problem to Solve. . . . . . . . . . . . . . . . . . . . . . . . . . . . . . . . . . . . . . . . . . . . . . . . . . . . . . . . . . . . . . . . . . . . 333 Using CEL Expressions to Govern Mesh Deformation . . . . . . . . . . . . . . . . . . . . . . . . . . . . . . . . . . . . . . . . . . . . . . . . . 334 Using a Junction Box Routine to Govern Mesh Deformation . . . . . . . . . . . . . . . . . . . . . . . . . . . . . . . . . . . . . . . . . . 343 Tutorial 21: Oscillating Plate with Two-Way Fluid-Structure Interaction Introduction . . . . . . . . . . . . . . . . . . . . . . . . . . . . . . . . . . . . . . . . . . . . . . . . . . . . . . . . . . . . . . . . . . . . . . . . . . . . . . . . . . . . . . . . 353 Tutorial 21 Features . . . . . . . . . . . . . . . . . . . . . . . . . . . . . . . . . . . . . . . . . . . . . . . . . . . . . . . . . . . . . . . . . . . . . . . . . . . . . . . . . 354 Overview of the Problem to Solve. . . . . . . . . . . . . . . . . . . . . . . . . . . . . . . . . . . . . . . . . . . . . . . . . . . . . . . . . . . . . . . . . . . . 354 Setting up the Solid Physics in Simulation (ANSYS Workbench) . . . . . . . . . . . . . . . . . . . . . . . . . . . . . . . . . . . . . . . 355 Setting up the Fluid Physics and ANSYS Multi-field Settings in ANSYS CFX-Pre. . . . . . . . . . . . . . . . . . . . . . . . . 358 Obtaining a Solution using ANSYS CFX-Solver Manager . . . . . . . . . . . . . . . . . . . . . . . . . . . . . . . . . . . . . . . . . . . . . . 364 Viewing Results in ANSYS CFX-Post . . . . . . . . . . . . . . . . . . . . . . . . . . . . . . . . . . . . . . . . . . . . . . . . . . . . . . . . . . . . . . . . . . 365 Tutorial 22: Page x ANSYS CFX Tutorials
  • 11.
    Table of Contents:Tutorial 23: Aerodynamic & Structural Performance of a Centrifugal Compressor Optimizing Flow in a Static Mixer Introduction . . . . . . . . . . . . . . . . . . . . . . . . . . . . . . . . . . . . . . . . . . . . . . . . . . . . . . . . . . . . . . . . . . . . . . . . . . . . . . . . . . . . . . . . 369 Tutorial 22 Features . . . . . . . . . . . . . . . . . . . . . . . . . . . . . . . . . . . . . . . . . . . . . . . . . . . . . . . . . . . . . . . . . . . . . . . . . . . . . . . . . 370 Overview of the Problem to Solve. . . . . . . . . . . . . . . . . . . . . . . . . . . . . . . . . . . . . . . . . . . . . . . . . . . . . . . . . . . . . . . . . . . . 370 Creating the Project . . . . . . . . . . . . . . . . . . . . . . . . . . . . . . . . . . . . . . . . . . . . . . . . . . . . . . . . . . . . . . . . . . . . . . . . . . . . . . . . . 371 Creating the Geometry . . . . . . . . . . . . . . . . . . . . . . . . . . . . . . . . . . . . . . . . . . . . . . . . . . . . . . . . . . . . . . . . . . . . . . . . . . . . . . 372 Creating the Mesh. . . . . . . . . . . . . . . . . . . . . . . . . . . . . . . . . . . . . . . . . . . . . . . . . . . . . . . . . . . . . . . . . . . . . . . . . . . . . . . . . . . 377 Overview of ANSYS CFX-Pre . . . . . . . . . . . . . . . . . . . . . . . . . . . . . . . . . . . . . . . . . . . . . . . . . . . . . . . . . . . . . . . . . . . . . . . . . 380 Setting the Output Parameter in ANSYS CFX-Post . . . . . . . . . . . . . . . . . . . . . . . . . . . . . . . . . . . . . . . . . . . . . . . . . . . . 386 Running Design Studies in DesignXplorer . . . . . . . . . . . . . . . . . . . . . . . . . . . . . . . . . . . . . . . . . . . . . . . . . . . . . . . . . . . . 387 Tutorial 23: Aerodynamic & Structural Performance of a Centrifugal Compressor Introduction . . . . . . . . . . . . . . . . . . . . . . . . . . . . . . . . . . . . . . . . . . . . . . . . . . . . . . . . . . . . . . . . . . . . . . . . . . . . . . . . . . . . . . . . 395 Tutorial 23 Features . . . . . . . . . . . . . . . . . . . . . . . . . . . . . . . . . . . . . . . . . . . . . . . . . . . . . . . . . . . . . . . . . . . . . . . . . . . . . . . . . 396 Overview of the Problem to Solve. . . . . . . . . . . . . . . . . . . . . . . . . . . . . . . . . . . . . . . . . . . . . . . . . . . . . . . . . . . . . . . . . . . . 397 Reviewing the Centrifugal Compressor Design . . . . . . . . . . . . . . . . . . . . . . . . . . . . . . . . . . . . . . . . . . . . . . . . . . . . . . . 397 Creating the Mesh in ANSYS TurboGrid . . . . . . . . . . . . . . . . . . . . . . . . . . . . . . . . . . . . . . . . . . . . . . . . . . . . . . . . . . . . . . 398 Defining the Aerodynamic Simulation in ANSYS CFX-Pre . . . . . . . . . . . . . . . . . . . . . . . . . . . . . . . . . . . . . . . . . . . . . 401 Obtaining a Solution using ANSYS CFX-Solver Manager . . . . . . . . . . . . . . . . . . . . . . . . . . . . . . . . . . . . . . . . . . . . . . 403 Viewing the Results in ANSYS CFX-Post . . . . . . . . . . . . . . . . . . . . . . . . . . . . . . . . . . . . . . . . . . . . . . . . . . . . . . . . . . . . . . 404 Importing Geometry into DesignModeler . . . . . . . . . . . . . . . . . . . . . . . . . . . . . . . . . . . . . . . . . . . . . . . . . . . . . . . . . . . . 405 Simulating Structural Stresses Due to Pressure Loads . . . . . . . . . . . . . . . . . . . . . . . . . . . . . . . . . . . . . . . . . . . . . . . . . 406 Simulating Structural Stresses Due to Rotation . . . . . . . . . . . . . . . . . . . . . . . . . . . . . . . . . . . . . . . . . . . . . . . . . . . . . . . 407 ANSYS CFX Tutorials Page xi
  • 12.
    Table of Contents:Tutorial 23: Aerodynamic & Structural Performance of a Centrifugal Compressor Page xii ANSYS CFX Tutorials
  • 13.
    Introduction to the ANSYSCFX Tutorials Overview These tutorials are designed to introduce general techniques used in ANSYS CFX and provide tips on advanced modeling. Earlier tutorials introduce general principles used in ANSYS CFX, including setting up the physical models, running ANSYS CFX-Solver and visualizing the results. The remaining tutorials highlight specialized features of ANSYS CFX. Files required to complete each tutorial is listed in the introduction to the tutorial, and located in <CFXROOT>/examples, where <CFXROOT> is the installation directory. Setting the Working Directory One of the first things you must do when using ANSYS CFX is to set a working directory. The working directory is the default location for loading and saving files for a particular session or project. The working directory is set according to how you run ANSYS CFX: • Workbench Set the working directory by saving a project file. • Standalone Set the working directory by entering it in CFX Launcher. ANSYS CFX Tutorials Page 1 ANSYS CFX Release 11.0. © 1996-2006 ANSYS Europe, Ltd. All rights reserved. Contains proprietary and confidential information of ANSYS, Inc. and its subsidiaries and affiliates.
  • 14.
    Introduction to theANSYS CFX Tutorials: Changing the Display Colors Changing the Display Colors If viewing objects in ANSYS CFX becomes difficult due to contrast with the background, the colors can be altered for improved viewing. The color options are set in different places, depending on how you run ANSYS CFX, as follows: • In standalone mode (i.e., after using CFX Launcher to launch ANSYS CFX-Pre or ANSYS CFX-Post): a. Select Edit > Options. The Options dialog box appears. b. Adjust the color settings under CFX-Pre > Viewer (for ANSYS CFX-Pre) or CFX-Post > Viewer (for ANSYS CFX-Post). c. Click OK. • In ANSYS Workbench: a. Select Tools > Options from the Project page. b. Adjust the color settings under Common Settings > Graphics Style. c. Click OK. Page 2 ANSYS CFX Tutorials. ANSYS CFX Release 11.0. © 1996-2006 ANSYS Europe, Ltd. All rights reserved. Contains proprietary and confidential information of ANSYS, Inc. and its subsidiaries and affiliates.
  • 15.
    Tutorial 1: Simulating Flowin a Static Mixer Using CFX in Standalone Mode Introduction This tutorial simulates a static mixer consisting of two inlet pipes delivering water into a mixing vessel; the water exits through an outlet pipe. A general workflow is established for analyzing the flow of fluid into and out of a mixer. This tutorial includes: • Before You Begin (p. 4) • Tutorial 1 Features (p. 4) • Overview of the Problem to Solve (p. 5) • Defining a Simulation in ANSYS CFX-Pre (p. 6) • Obtaining a Solution Using ANSYS CFX-Solver Manager (p. 12) • Viewing the Results in ANSYS CFX-Post (p. 15) If this is the first tutorial you are working with, it is important to review the following topics before beginning: • Setting the Working Directory (p. 1) • Changing the Display Colors (p. 2) To learn how to perform these tasks in Workbench, see Tutorial 1a: Simulating Flow in a Static Mixer Using Workbench (p. 31 in "ANSYS CFX Tutorials"). ANSYS CFX Tutorials Page 3 ANSYS CFX Release 11.0. © 1996-2006 ANSYS Europe, Ltd. All rights reserved. Contains proprietary and confidential information of ANSYS, Inc. and its subsidiaries and affiliates.
  • 16.
    Tutorial 1: SimulatingFlow in a Static Mixer Using CFX in Standalone Mode: Before You Begin Before You Begin Create a working directory for your files. Once this is done, copy the sample files used in this tutorial to your working directory from the installation folder for your software (<CFXROOT>/examples/ (for example, C:Program FilesANSYS Incv110CFXexamples)) to avoid overwriting source files provided with your installation. If you plan to use a session file, please refer to Playing a Session File (p. 7). Sample files used by this tutorial are: • StaticMixerMesh.gtm • StaticMixer.pre Tutorial 1 Features This tutorial addresses the following features of ANSYS CFX. Component Feature Details ANSYS CFX-Pre User Mode Quick Setup Wizard Simulation Type Steady State Fluid Type General Fluid Domain Type Single Domain Turbulence Model k-Epsilon Heat Transfer Thermal Energy Boundary Conditions Inlet (Subsonic) Outlet (Subsonic) Wall: No-Slip Wall: Adiabatic Timestep Physical Time Scale ANSYS CFX-Post Plots Animation Contour Outline Plot (Wireframe) Point Slice Plane Streamline In this tutorial you will learn about: • Using Quick Setup mode in ANSYS CFX-Pre to set up a problem. • Modifying the outline plot in ANSYS CFX-Post. • Using streamlines in ANSYS CFX-Post to trace the flow field from a point. • Viewing temperature using colored planes and contours in ANSYS CFX-Post. • Creating an animation and saving it to an MPEG file. Page 4 ANSYS CFX Tutorials. ANSYS CFX Release 11.0. © 1996-2006 ANSYS Europe, Ltd. All rights reserved. Contains proprietary and confidential information of ANSYS, Inc. and its subsidiaries and affiliates.
  • 17.
    Tutorial 1: SimulatingFlow in a Static Mixer Using CFX in Standalone Mode: Overview of the Problem to Solve Overview of the Problem to Solve This tutorial simulates a static mixer consisting of two inlet pipes delivering water into a mixing vessel; the water exits through an outlet pipe. A general workflow is established for analyzing the flow of fluid into and out of a mixer. Water enters through both pipes at the same rate but at different temperatures. The first entry is at a rate of 2 m/s and a temperature of 315 K and the second entry is at a rate of 2 m/s at a temperature of 285 K. The radius of the mixer is 2 m. Your goal in this tutorial is to understand how to use ANSYS CFX to determine the speed and temperature of the water when it exits the static mixer. Figure 1 Static Mixer with 2 Inlet Pipes and 1 Outlet Pipe 2 m/s r=2m 285 K 2 m/s 315 K ANSYS CFX Tutorials. ANSYS CFX Release 11.0. © 1996-2006 ANSYS Europe, Ltd. All rights reserved. Page 5 Contains proprietary and confidential information of ANSYS, Inc. and its subsidiaries and affiliates.
  • 18.
    Tutorial 1: SimulatingFlow in a Static Mixer Using CFX in Standalone Mode: Defining a Simulation in ANSYS CFX-Pre Defining a Simulation in ANSYS CFX-Pre Because you are starting with an existing mesh, you can immediately use ANSYS CFX-Pre to define the simulation. This is how ANSYS CFX-Pre will look with the imported mesh: In the image above, the left pane of ANSYS CFX-Pre displays the Outline . When you double-click on items in the Outline, the Outline editor opens and can be used to create, modify, and view objects. Note: In this documentation, the details view can also be referenced by the name of the object being edited, followed by the word “details view” (for example, if you double-click the Wireframe object, the Wireframe details view appears). Synopsis of Quick Setup Mode Quick Setup mode provides a simple wizard–like interface for setting up simple cases. This is useful for getting familiar with the basic elements of a CFD problem setup. This section describes using Quick Setup mode to develop a simulation in ANSYS CFX-Pre. Workflow Overview This tutorial follows the general workflow for Quick Setup mode: 1. Creating a New Simulation (p. 7) 2. Setting the Physics Definition (p. 7) 3. Importing a Mesh (p. 7) 4. Defining Model Data (p. 9) 5. Defining Boundaries (p. 9) Page 6 ANSYS CFX Tutorials. ANSYS CFX Release 11.0. © 1996-2006 ANSYS Europe, Ltd. All rights reserved. Contains proprietary and confidential information of ANSYS, Inc. and its subsidiaries and affiliates.
  • 19.
    Tutorial 1: SimulatingFlow in a Static Mixer Using CFX in Standalone Mode: Defining a Simulation in ANSYS CFX-Pre 6. Setting Boundary Data (p. 9) 7. Setting Flow Specification (p. 9) 8. Setting Temperature Specification (p. 10) 9. Reviewing the Boundary Condition Definitions (p. 10) 10. Creating the Second Inlet Boundary Definition (p. 10) 11. Creating the Outlet Boundary Definition (p. 10) 12. Moving to General Mode (p. 11) 13. Writing the Solver (.def) File (p. 11) Playing a If you want to skip past these instructions and have ANSYS CFX-Pre set up the simulation Session File automatically, you can select Session > Play Tutorial from the menu in ANSYS CFX-Pre, then run the appropriate session file. For details, see Playing the Session File and Starting ANSYS CFX-Solver Manager (p. 12). After you have played the session file, proceed to Obtaining a Solution Using ANSYS CFX-Solver Manager (p. 12). Creating a New Simulation Before importing and working with a mesh, a simulation needs to be started using Quick Setup mode. Procedure 1. If required, launch ANSYS CFX-Pre. 2. Select File > New Simulation. The New Simulation File dialog box is displayed. 3. Select Quick Setup and click OK. Note: If this is the first time you are running this software, a message box will appear notifying you that automatic generation of the default domain is active. To avoid seeing this message again uncheck Show This Message Again. 4. Select File > Save Simulation As. 5. Under File name, type: StaticMixer 6. Click Save. Setting the Physics Definition You need to specify the fluids used in a simulation. A variety of fluids are already defined as library materials. For this tutorial you will use a prepared fluid, Water, which is defined to be water at 25°C. Procedure 1. Ensure that Simulation Definition is displayed at the top of the details view. 2. Under Fluid select Water. Importing a Mesh At least one mesh must be imported before physics are applied. Procedure 1. In Simulation Definition, under Mesh File, click Browse . The Import Mesh dialog box appears. ANSYS CFX Tutorials. ANSYS CFX Release 11.0. © 1996-2006 ANSYS Europe, Ltd. All rights reserved. Page 7 Contains proprietary and confidential information of ANSYS, Inc. and its subsidiaries and affiliates.
  • 20.
    Tutorial 1: SimulatingFlow in a Static Mixer Using CFX in Standalone Mode: Defining a Simulation in ANSYS CFX-Pre 2. Under File type, select CFX Mesh (*gtm *cfx). 3. From your working directory, select StaticMixerMesh.gtm. 4. Click Open. The mesh loads. 5. Click Next. Using the Viewer Now that the mesh is loaded, take a moment to explore how you can use the viewer toolbar to zoom in or out and to rotate the object in the viewer. Using the Zoom There are several icons available for controlling the level of zoom in the viewer. Tools 1. Click Zoom Box 2. Click and drag a rectangular box over the geometry. 3. Release the mouse button to zoom in on the selection. The geometry zoom changes to display the selection at a greater resolution. 4. Click Fit View to re-center and re-scale the geometry. Rotating the If you need to rotate an object or to view it from a new angle, you can use the viewer toolbar. geometry 1. Click Rotate on the viewer toolbar. 2. Click and drag within the geometry repeatedly to test the rotation of the geometry. The geometry rotates based on the direction of movement. Notice how the mouse cursor changes depending on where you are in the viewer: 3. Right-click a blank area in the viewer and select Predefined Camera > View Towards-X). 4. Right-click a blank area in the viewer and select Predefined Camera > Isometric View (Z Up). A clearer view of the mesh is displayed. Page 8 ANSYS CFX Tutorials. ANSYS CFX Release 11.0. © 1996-2006 ANSYS Europe, Ltd. All rights reserved. Contains proprietary and confidential information of ANSYS, Inc. and its subsidiaries and affiliates.
  • 21.
    Tutorial 1: SimulatingFlow in a Static Mixer Using CFX in Standalone Mode: Defining a Simulation in ANSYS CFX-Pre Defining Model Data You need to define the type of flow and the physical models to use in the fluid domain. You will specify the flow as steady state with turbulence and heat transfer. Turbulence is modeled using the k - ε turbulence model and heat transfer using the thermal energy model. The k - ε turbulence model is a commonly used model and is suitable for a wide range of applications. The thermal energy model neglects high speed energy effects and is therefore suitable for low speed flow applications. Procedure 1. Ensure that Physics Definition is displayed. 2. Under Model Data, set Reference Pressure to 1 [atm]. All other pressure settings are relative to this reference pressure. 3. Set Heat Transfer to Thermal Energy. 4. Set Turbulence to k-Epsilon. 5. Click Next. Defining Boundaries The CFD model requires the definition of conditions on the boundaries of the domain. Procedure 1. Ensure that Boundary Definition is displayed. 2. Delete Inlet and Outlet from the list by right-clicking each and selecting Delete. 3. Right-click in the blank area where Inlet and Outlet were listed, then select New. 4. Set Name to in1. 5. Click OK. The boundary is created and, when selected, properties related to the boundary are displayed. Setting Boundary Data Once boundaries are created, you need to create associated data. Based on Figure 1, you will define the first inlet boundary condition’s velocity and temperature. Procedure 1. Ensure that Boundary Data is displayed. 2. Set Boundary Type to Inlet. 3. Set Location to in1. Setting Flow Specification Once boundary data is defined, the boundary needs to have the flow specification assigned. Procedure 1. Ensure that Flow Specification is displayed. 2. Set Option to Normal Speed. 3. Set Normal Speed to 2 [m s^-1]. ANSYS CFX Tutorials. ANSYS CFX Release 11.0. © 1996-2006 ANSYS Europe, Ltd. All rights reserved. Page 9 Contains proprietary and confidential information of ANSYS, Inc. and its subsidiaries and affiliates.
  • 22.
    Tutorial 1: SimulatingFlow in a Static Mixer Using CFX in Standalone Mode: Defining a Simulation in ANSYS CFX-Pre Setting Temperature Specification Once flow specification is defined, the boundary needs to have temperature assigned. Procedure 1. Ensure that Temperature Specification is displayed. 2. Set Static Temperature to 315 [K]. Reviewing the Boundary Condition Definitions Defining the boundary condition for in1 required several steps. Here the settings are reviewed for accuracy. Based on Figure 1, the first inlet boundary condition consists of a velocity of 2 m/s and a temperature of 315 K at one of the side inlets. Procedure 1. Review the boundary in1 settings for accuracy. They should be as follows: Tab Setting Value Boundary Data Boundary Type Inlet Location in1 Flow Specification Option Normal Speed Normal Speed 2 [m s^-1] Temperature Specification Static Temperature 315 [K] Creating the Second Inlet Boundary Definition Based on Figure 1, you know the second inlet boundary condition consists of a velocity of 2 m/s and a temperature of 285 K at one of the side inlets. You will define that now. Procedure 1. Under Boundary Definition, right-click in the selector area and select New. 2. Create a new boundary named in2 with these settings: Tab Setting Value Boundary Data Boundary Type Inlet Location in2 Flow Specification Option Normal Speed Normal Speed 2 [m s^-1] Temperature Specification Static Temperature 285 [K] Creating the Outlet Boundary Definition Now that the second inlet boundary has been created, the same concepts can be applied to building the outlet boundary. 1. Create a new boundary named out with these settings: Page 10 ANSYS CFX Tutorials. ANSYS CFX Release 11.0. © 1996-2006 ANSYS Europe, Ltd. All rights reserved. Contains proprietary and confidential information of ANSYS, Inc. and its subsidiaries and affiliates.
  • 23.
    Tutorial 1: SimulatingFlow in a Static Mixer Using CFX in Standalone Mode: Defining a Simulation in ANSYS CFX-Pre Tab Setting Value Boundary Data Boundary Type Outlet Location out Flow Specification Option Average Static Pressure Relative Pressure 0 [Pa] 2. Click Next. Moving to General Mode There are no further boundary conditions that need to be set. All 2D exterior regions that have not been assigned to a boundary condition are automatically assigned to the default boundary condition. Procedure 1. Set Operation to Enter General Mode and click Finish. The three boundary conditions are displayed in the viewer as sets of arrows at the boundary surfaces. Inlet boundary arrows are directed into the domain. Outlet boundary arrows are directed out of the domain. Setting Solver Control Solver Control parameters control aspects of the numerical solution generation process. While an upwind advection scheme is less accurate than other advection schemes, it is also more robust. This advection scheme is suitable for obtaining an initial set of results, but in general should not be used to obtain final accurate results. The time scale can be calculated automatically by the solver or set manually. The Automatic option tends to be conservative, leading to reliable, but often slow, convergence. It is often possible to accelerate convergence by applying a time scale factor or by choosing a manual value that is more aggressive than the Automatic option. In this tutorial, you will select a physical time scale, leading to convergence that is twice as fast as the Automatic option. Procedure 1. Click Solver Control . 2. On the Basic Settings tab, set Advection Scheme > Option to Upwind. 3. Set Convergence Control > Fluid Timescale Control > Timescale Control to Physical Timescale and set the physical timescale value to 2 [s]. 4. Click OK. Writing the Solver (.def) File The simulation file, StaticMixer.cfx, contains the simulation definition in a format that can be loaded by ANSYS CFX-Pre, allowing you to complete (if applicable), restore, and modify the simulation definition. The simulation file differs from the definition file in that it can be saved at any time while defining the simulation. Procedure 1. Click Write Solver File . ANSYS CFX Tutorials. ANSYS CFX Release 11.0. © 1996-2006 ANSYS Europe, Ltd. All rights reserved. Page 11 Contains proprietary and confidential information of ANSYS, Inc. and its subsidiaries and affiliates.
  • 24.
    Tutorial 1: SimulatingFlow in a Static Mixer Using CFX in Standalone Mode: Obtaining a Solution Using ANSYS The Write Solver File dialog box is displayed. 2. Set File name to StaticMixer.def. 3. Ensure that Start Solver Manager is selected from the drop down menu located in the top-right corner of the dialog box. 4. Select Quit ANSYS CFX-Pre. This forces standalone ANSYS CFX-Pre to close after the definition file has been written. 5. Click Save. 6. If you are notified the file already exists, click Overwrite. This file is provided in the tutorial directory and may exist in your tutorial folder if you have copied it there. 7. If prompted, click Yes or Save & Quit to save StaticMixer.cfx. The definition file (StaticMixer.def) and the simulation file (StaticMixer.cfx) are created. ANSYS CFX-Solver Manager automatically starts and the definition file is set in the Define Run dialog box. 8. Proceed to Obtaining a Solution Using ANSYS CFX-Solver Manager (p. 12). Playing the Session File and Starting ANSYS CFX-Solver Manager Note: This task is required only if you are starting here with the session file that was provided in the examples directory. If you have performed all the tasks in the previous steps, proceed directly to Obtaining a Solution Using ANSYS CFX-Solver Manager (p. 12). Events in ANSYS CFX-Pre can be recorded to a session file and then played back at a later date to drive ANSYS CFX-Pre. Session files have been created for each tutorial so that the problems can be set up rapidly in ANSYS CFX-Pre, if desired. Procedure 1. If required, launch ANSYS CFX-Pre. 2. Select Session > Play Tutorial. 3. Select StaticMixer.pre. 4. Click Open. A definition file is written. 5. Select File > Quit. 6. Launch the ANSYS CFX-Solver Manager from CFX Launcher. 7. After the ANSYS CFX-Solver starts, select File > Define Run. 8. Under Definition File, click Browse . 9. Select StaticMixer.def, located in the working directory. 10. Proceed to Obtaining a Solution Using ANSYS CFX-Solver Manager (p. 12). Obtaining a Solution Using ANSYS CFX-Solver Manager ANSYS CFX-Solver Manager has a visual interface that displays a variety of results and should be used when plotted data needs to be viewed during problem solving. Page 12 ANSYS CFX Tutorials. ANSYS CFX Release 11.0. © 1996-2006 ANSYS Europe, Ltd. All rights reserved. Contains proprietary and confidential information of ANSYS, Inc. and its subsidiaries and affiliates.
  • 25.
    Tutorial 1: SimulatingFlow in a Static Mixer Using CFX in Standalone Mode: Obtaining a Solution Using ANSYS Two windows are displayed when ANSYS CFX-Solver Manager runs. There is an adjustable split between the windows, which is oriented either horizontally or vertically depending on the aspect ratio of the entire ANSYS CFX-Solver Manager window (also adjustable). One window shows the convergence history plots and the other displays text output from ANSYS CFX-Solver. The text lists physical properties, boundary conditions and various other parameters used or calculated in creating the model. All the text is written to the output file automatically (in this case, StaticMixer_001.out). Start the Run The Define Run dialog box allows configuration of a run for processing by ANSYS CFX-Solver. When ANSYS CFX-Solver Manager is launched automatically from ANSYS CFX-Pre, all of the information required to perform a new serial run (on a single processor) is entered automatically. You do not need to alter the information in the Define Run dialog box. This is a very quick way to launch into ANSYS CFX-Solver without having to define settings and values. Procedure 1. Ensure that the Define Run dialog box is displayed. 2. Click Start Run. ANSYS CFX Tutorials. ANSYS CFX Release 11.0. © 1996-2006 ANSYS Europe, Ltd. All rights reserved. Page 13 Contains proprietary and confidential information of ANSYS, Inc. and its subsidiaries and affiliates.
  • 26.
    Tutorial 1: SimulatingFlow in a Static Mixer Using CFX in Standalone Mode: Obtaining a Solution Using ANSYS ANSYS CFX-Solver launches and a split screen appears and displays the results of the run graphically and as text. The panes continue to build as ANSYS CFX-Solver Manager operates. Note: Once the second iteration appears, data begins to plot. Plotting may take a long time depending on the amount of data to process. Let the process run. Move from ANSYS CFX-Solver to ANSYS CFX-Post Once ANSYS CFX-Solver has finished, you can use ANSYS CFX-Post to review the finished results. Procedure 1. When ANSYS CFX-Solver is finished, click Yes to post-process the results. After a short pause, ANSYS CFX-Post starts and ANSYS CFX-Solver Manager closes. Page 14 ANSYS CFX Tutorials. ANSYS CFX Release 11.0. © 1996-2006 ANSYS Europe, Ltd. All rights reserved. Contains proprietary and confidential information of ANSYS, Inc. and its subsidiaries and affiliates.
  • 27.
    Tutorial 1: SimulatingFlow in a Static Mixer Using CFX in Standalone Mode: Viewing the Results in ANSYS CFX-Post Viewing the Results in ANSYS CFX-Post When ANSYS CFX-Post starts, the viewer and Outline workspace are displayed. The viewer displays an outline of the geometry and other graphic objects. You can use the mouse or the toolbar icons to manipulate the view, exactly as in ANSYS CFX-Pre. Workflow Overview This tutorial describes the following workflow for viewing results in ANSYS CFX-Post: 1. Setting the Edge Angle for a Wireframe Object (p. 16) 2. Creating a Point for the Origin of the Streamline (p. 17) 3. Creating a Streamline Originating from a Point (p. 18) 4. Rearranging the Point (p. 19) 5. Configuring a Default Legend (p. 19) 6. Creating a Slice Plane (p. 20) 7. Defining Slice Plane Geometry (p. 21) 8. Configuring Slice Plane Views (p. 21) 9. Rendering Slice Planes (p. 22) 10. Coloring the Slice Plane (p. 23) 11. Moving the Slice Plane (p. 23) 12. Adding Contours (p. 24) 13. Working with Animations (p. 25) 14. Showing the Animation Dialog Box (p. 25) ANSYS CFX Tutorials. ANSYS CFX Release 11.0. © 1996-2006 ANSYS Europe, Ltd. All rights reserved. Page 15 Contains proprietary and confidential information of ANSYS, Inc. and its subsidiaries and affiliates.
  • 28.
    Tutorial 1: SimulatingFlow in a Static Mixer Using CFX in Standalone Mode: Viewing the Results in ANSYS CFX-Post 15. Creating the First Keyframe (p. 26) 16. Creating the Second Keyframe (p. 26) 17. Viewing the Animation (p. 27) 18. Modifying the Animation (p. 28) 19. Saving to MPEG (p. 29) Setting the Edge Angle for a Wireframe Object The outline of the geometry is called the wireframe or outline plot. By default, ANSYS CFX-Post displays only some of the surface mesh. This sometimes means that when you first load your results file, the geometry outline is not displayed clearly. You can control the amount of the surface mesh shown by editing the Wireframe object listed in the Outline. The check boxes next to each object name in the Outline control the visibility of each object. Currently only the Wireframe and Default Legend objects have visibility selected. The edge angle determines how much of the surface mesh is visible. If the angle between two adjacent faces is greater than the edge angle, then that edge is drawn. If the edge angle is set to 0°, the entire surface mesh is drawn. If the edge angle is large, then only the most significant corner edges of the geometry are drawn. For this geometry, a setting of approximately 15° lets you view the model location without displaying an excessive amount of the surface mesh. In this module you can also modify the zoom settings and view of the wireframe. Procedure 1. In the Outline, under User Locations and Plots, double-click Wireframe. Tip: While it is not necessary to change the view to set the angle, do so to explore the practical uses of this feature. 2. Right-click on a blank area anywhere in the viewer, select Predefined Camera from the shortcut menu and select Isometric View (Z up). 3. In the Wireframe details view, under Definition, click in the Edge Angle box. An embedded slider is displayed. 4. Type a value of 10 [degree]. 5. Click Apply to update the object with the new setting. Page 16 ANSYS CFX Tutorials. ANSYS CFX Release 11.0. © 1996-2006 ANSYS Europe, Ltd. All rights reserved. Contains proprietary and confidential information of ANSYS, Inc. and its subsidiaries and affiliates.
  • 29.
    Tutorial 1: SimulatingFlow in a Static Mixer Using CFX in Standalone Mode: Viewing the Results in ANSYS CFX-Post Notice that more surface mesh is displayed. 6. Drag the embedded slider to set the Edge Angle value to approximately 45 [degree]. 7. Click Apply to update the object with the new setting. Less of the outline of the geometry is displayed. 8. Type a value of 15 [degree]. 9. Click Apply to update the object with the new setting. 10. Right-click on a blank area anywhere in the viewer, select Predefined Camera from the shortcut menu and select View Towards -X. Creating a Point for the Origin of the Streamline A streamline is the path that a particle of zero mass would follow through the domain. Procedure 1. Select Insert > Location > Point from the main menu. You can also use the toolbars to create a variety of objects. Later modules and tutorials explore this further. 2. Click OK. This accepts the default name. 3. Under Definition, ensure that Method is set to XYZ. 4. Under Point, enter the following coordinates: -1, -1, 1. This is a point near the first inlet. 5. Click Apply. The point appears as a symbol in the viewer as a crosshair symbol. ANSYS CFX Tutorials. ANSYS CFX Release 11.0. © 1996-2006 ANSYS Europe, Ltd. All rights reserved. Page 17 Contains proprietary and confidential information of ANSYS, Inc. and its subsidiaries and affiliates.
  • 30.
    Tutorial 1: SimulatingFlow in a Static Mixer Using CFX in Standalone Mode: Viewing the Results in ANSYS CFX-Post Creating a Streamline Originating from a Point Where applicable, streamlines can trace the flow direction forwards (downstream) and/or backwards (upstream). Procedure 1. From the main menu, select Insert > Streamline. You can also use the toolbars to create a variety of objects. Later modules and tutorials will explore this further. 2. Click OK. This accepts the default name. 3. Under Definition, in Start From, ensure that Point 1 is set. Tip: To create streamlines originating from more than one location, click the ellipsis icon to the right of the Start From box. This displays the Location Selector dialog box, where you can use the <Ctrl> and <Shift> keys to pick multiple locators. 4. Click the Color tab. 5. Set Mode to Variable. 6. Set Variable to Total Temperature. 7. Set Range to Local. 8. Click Apply. The streamline shows the path of a zero mass particle from Point 1. The temperature is initially high near the hot inlet, but as the fluid mixes the temperature drops. Page 18 ANSYS CFX Tutorials. ANSYS CFX Release 11.0. © 1996-2006 ANSYS Europe, Ltd. All rights reserved. Contains proprietary and confidential information of ANSYS, Inc. and its subsidiaries and affiliates.
  • 31.
    Tutorial 1: SimulatingFlow in a Static Mixer Using CFX in Standalone Mode: Viewing the Results in ANSYS CFX-Post Rearranging the Point Once created, a point can be rearranged manually or by setting specific coordinates. Tip: In this module, you may choose to display various views and zooms from the Predefined Camera option in the shortcut menu (such as Isometric View (Z up) or View Towards -X) and by using Zoom Box if you prefer to change the display. Procedure 1. In Outline, under User Locations and Plots double-click Point 1. Properties for the selected user location are displayed. 2. Under Point, set these coordinates: -1, -2.9, 1. 3. Click Apply. The point is moved and the streamline redrawn. 4. In the selection tools, click Single Select. While in this mode, the normal behavior of the left mouse button is disabled. 5. In the viewer, drag Point 1 (appears as a yellow addition sign) to a new location within the mixer. The point position is updated in the details view and the streamline is redrawn at the new location. The point moves normal in relation to the viewing direction. 6. Click Rotate . Tip: You can also click in the viewer area, and press the space bar to toggle between Select and Viewing Mode. A way to pick objects from Viewing Mode is to hold down <Ctrl> + <Shift> while clicking on an object with the left mouse button. 7. Under Point, reset these coordinates: -1, -1, 1. 8. Click Apply. The point appears at its original location. 9. Right-click a blank area in the viewer and select Predefined Camera > View Towards -X. Configuring a Default Legend You can modify the appearance of the default legend. The default legend appears whenever a plot is created that is colored by a variable. The streamline color is based on temperature; therefore, the legend shows the temperature range. The color pattern on the legend’s color bar is banded in accordance with the bands in the plot1. 1. An exception occurs when one or more bands in a contour plot represent values beyond the legend’s range. In this case, such bands are colored using a color that is extrapolated slightly past the range of colors shown in the legend. This can happen only when a user-specified range is used for the legend. ANSYS CFX Tutorials. ANSYS CFX Release 11.0. © 1996-2006 ANSYS Europe, Ltd. All rights reserved. Page 19 Contains proprietary and confidential information of ANSYS, Inc. and its subsidiaries and affiliates.
  • 32.
    Tutorial 1: SimulatingFlow in a Static Mixer Using CFX in Standalone Mode: Viewing the Results in ANSYS CFX-Post The default legend displays values for the last eligible plot that was opened in the details view. To maintain a legend definition during an ANSYS CFX-Post session, you can create a new legend by clicking Legend . Because there are many settings that can be customized for the legend, this module allows you the freedom to experiment with them. In the last steps you will set up a legend, based on the default legend, with a minor modification to the position. Tip: When editing values, you can restore the values that were present when you began editing by clicking Reset. To restore the factory-default values, click Default. Procedure 1. Double click Default Legend View 1. The Definition tab of the default legend is displayed. 2. Apply the following settings Tab Setting Value Definition Title Mode User Specified Title Streamline Temp. Horizontal (Selected) Location > Y Justification Bottom 3. Click Apply. The appearance and position of the legend changes based on the settings specified. 4. Modify various settings in Definition and click Apply after each change. 5. Select Appearance. 6. Modify a variety of settings in the Appearance and click Apply after each change. 7. Click Defaults. 8. Click Apply. 9. Under Outline, in User Locations and Plots, clear the check boxes for Point 1 and Streamline 1. Since both are no longer visible, the associated legend no longer appears. Creating a Slice Plane Defining a slice plane allows you to obtain a cross–section of the geometry. In ANSYS CFX-Post you often view results by coloring a graphic object. The graphic object could be an isosurface, a vector plot, or in this case, a plane. The object can be a fixed color or it can vary based on the value of a variable. You already have some objects defined by default (listed in the Outline). You can view results on the boundaries of the static mixer by coloring each boundary object by a variable. To view results within the geometry (that is, on non-default locators), you will create new objects. You can use the following methods to define a plane: • Three Points: creates a plane from three specified points. Page 20 ANSYS CFX Tutorials. ANSYS CFX Release 11.0. © 1996-2006 ANSYS Europe, Ltd. All rights reserved. Contains proprietary and confidential information of ANSYS, Inc. and its subsidiaries and affiliates.
  • 33.
    Tutorial 1: SimulatingFlow in a Static Mixer Using CFX in Standalone Mode: Viewing the Results in ANSYS CFX-Post • Point and Normal: defines a plane from one point on the plane and a normal vector to the plane. • YZ Plane, ZX Plane, and XY Plane: similar to Point and Normal, except that the normal is defined to be normal to the indicated plane. Procedure 1. From the main menu, select Insert > Location > Plane or click Location > Plane. 2. In the New Plane window, type: Slice 3. Click OK. The Geometry, Color, Render and View tabs let you switch between settings. 4. Click the Geometry tab. Defining Slice Plane Geometry You need to choose the vector normal to the plane. You want the plane to lie in the x-y plane, hence its normal vector points along the z-axis. You can specify any vector that points in the z-direction, but you will choose the most obvious (0,0,1). Procedure 1. If required, under Geometry, expand Definition. 2. Under Method select Point and Normal. 3. Under Point enter 0,0,1. 4. Under Normal enter 0, 0,1. 5. Click Apply. Slice appears under User Locations and Plots. Rotate the view to see the plane. Configuring Slice Plane Views Depending on the view of the geometry, various objects may not appear because they fall in a 2D space that cannot be seen. Procedure 1. Right-click a blank area in the viewer and select Predefined Camera > Isometric View (Z up). ANSYS CFX Tutorials. ANSYS CFX Release 11.0. © 1996-2006 ANSYS Europe, Ltd. All rights reserved. Page 21 Contains proprietary and confidential information of ANSYS, Inc. and its subsidiaries and affiliates.
  • 34.
    Tutorial 1: SimulatingFlow in a Static Mixer Using CFX in Standalone Mode: Viewing the Results in ANSYS CFX-Post The slice is now visible in the viewer. 2. Click Zoom Box . 3. Click and drag a rectangular selection over the geometry. 4. Release the mouse button to zoom in on the selection. 5. Click Rotate . 6. Click and drag the mouse pointer down slightly to rotate the geometry towards you. 7. Select Isometric View (Z up) as described earlier. Rendering Slice Planes Render settings determine how the plane is drawn. Procedure 1. Select the Render tab. 2. Clear Draw Faces. 3. Select Draw Lines. 4. Under Draw Lines change Color Mode to User Specified. 5. Click the current color in Line Color to change to a different color. For a greater selection of colors, click the ellipsis to use the Select color dialog box. 6. Click Apply. 7. Click Zoom Box . 8. Zoom in on the geometry to view it in greater detail. Page 22 ANSYS CFX Tutorials. ANSYS CFX Release 11.0. © 1996-2006 ANSYS Europe, Ltd. All rights reserved. Contains proprietary and confidential information of ANSYS, Inc. and its subsidiaries and affiliates.
  • 35.
    Tutorial 1: SimulatingFlow in a Static Mixer Using CFX in Standalone Mode: Viewing the Results in ANSYS CFX-Post The line segments show where the slice plane intersects with mesh element faces. The end points of each line segment are located where the plane intersects mesh element edges. 9. Right-click a blank area in the viewer and select Predefined Camera > View Towards -Z. The image shown below can be used for comparison with tutorial 2 (in the section Creating a Slice Plane (p. 68)), where a refined mesh is used. Coloring the Slice Plane The Color panel is used to determine how the object faces are colored. Procedure 1. Apply the following settings to Slice Tab Setting Value Color Mode Variable* Variable Temperature Render Draw Faces (Selected) Draw Lines (Cleared) *. You can specify the variable (in this case, temperature) used to color the graphic element. The Constant mode allows you to color the plane with a fixed color. 2. Click Apply. Hot water (red) enters from one inlet and cold water (blue) from the other. Moving the Slice Plane The plane can be moved to different locations. ANSYS CFX Tutorials. ANSYS CFX Release 11.0. © 1996-2006 ANSYS Europe, Ltd. All rights reserved. Page 23 Contains proprietary and confidential information of ANSYS, Inc. and its subsidiaries and affiliates.
  • 36.
    Tutorial 1: SimulatingFlow in a Static Mixer Using CFX in Standalone Mode: Viewing the Results in ANSYS CFX-Post Procedure 1. Right-click a blank area in the viewer and select Predefined Camera > Isometric View (Z up) from the shortcut menu. 2. Click the Geometry tab. Review the settings in Definition under Point and under Normal. 3. Click Single Select . 4. Click and drag the plane to a new location that intersects the domain. As you drag the mouse, the viewer updates automatically. Note that Point updates with new settings. 5. Set Point settings to 0,0,1. 6. Click Apply. 7. Click Rotate . 8. Turn off visibility for Slice by clearing the check box next to Slice in the Outline. Adding Contours Contours connect all points of equal value for a scalar variable (for example, Temperature) and help to visualize variable values and gradients. Colored bands fill the spaces between contour lines. Each band is colored by the average color of its two bounding contour lines (even if the latter are not displayed). Procedure 1. Select Insert > Contour from the main menu or click Contour . The New Contour dialog box is displayed. 2. Set Name to Slice Contour. 3. Click OK. 4. Apply the following settings Tab Setting Value Geometry Locations Slice Variable Temperature Render Draw Faces (Selected) 5. Click Apply. Important: The colors of 3D graphics object faces are slightly altered when lighting is on. To view colors with highest accuracy, clear Lighting under Draw Faces on the Render tab and click Apply. Page 24 ANSYS CFX Tutorials. ANSYS CFX Release 11.0. © 1996-2006 ANSYS Europe, Ltd. All rights reserved. Contains proprietary and confidential information of ANSYS, Inc. and its subsidiaries and affiliates.
  • 37.
    Tutorial 1: SimulatingFlow in a Static Mixer Using CFX in Standalone Mode: Viewing the Results in ANSYS CFX-Post The graphic element faces are visible, producing a contour plot as shown. Note: Make sure that the checkbox next to Slice in the Outline is cleared. Working with Animations Animations build transitions between views for development of video files. Workflow This tutorial follows the general workflow for creating a keyframe animation: Overview 1. Showing the Animation Dialog Box (p. 25) 2. Creating the First Keyframe (p. 26) 3. Creating the Second Keyframe (p. 26) 4. Viewing the Animation (p. 27) 5. Modifying the Animation (p. 28) 6. Saving to MPEG (p. 29) Showing the Animation Dialog Box The Animation dialog box is used to define keyframes and to export to a video file. Procedure 1. Select Tools > Animation or click Animation . The Animation dialog box can be repositioned as required. ANSYS CFX Tutorials. ANSYS CFX Release 11.0. © 1996-2006 ANSYS Europe, Ltd. All rights reserved. Page 25 Contains proprietary and confidential information of ANSYS, Inc. and its subsidiaries and affiliates.
  • 38.
    Tutorial 1: SimulatingFlow in a Static Mixer Using CFX in Standalone Mode: Viewing the Results in ANSYS CFX-Post Creating the First Keyframe Keyframes are required in order to produce an animation. You need to define the first viewer state, a second (and final) viewer state, and set the number of interpolated intermediate frames. Procedure 1. Right-click a blank area in the viewer and select Predefined Camera > Isometric View (Z up). 2. In the Outline, under User Locations and Plots, clear the visibility of Slice Contour and select the visibility of Slice. 3. In the Animation dialog box, click New . A new keyframe named KeyframeNo1 is created. This represents the current image displayed in the viewer. Creating the Second Keyframe Keyframes are required in order to produce an animation. Procedure 1. In the Outline, under User Locations and Plots, double-click Slice. 2. On the Geometry tab, set Point coordinate values to (0,0,-1.99). 3. Click Apply. The slice plane moves to the bottom of the mixer. 4. In the Animation dialog box, click New . KeyframeNo2 is created and represents the image displayed in the Viewer. Page 26 ANSYS CFX Tutorials. ANSYS CFX Release 11.0. © 1996-2006 ANSYS Europe, Ltd. All rights reserved. Contains proprietary and confidential information of ANSYS, Inc. and its subsidiaries and affiliates.
  • 39.
    Tutorial 1: SimulatingFlow in a Static Mixer Using CFX in Standalone Mode: Viewing the Results in ANSYS CFX-Post 5. Select KeyframeNo1. 6. Set # of Frames (located below the list of keyframes) to 20. This is the number of intermediate frames used when going from KeyframeNo1 to KeyframeNo2. This number is displayed in the Frames column for KeyframeNo1. 7. Press Enter. The Frame # column shows the frame in which each keyframe appears. KeyframeNo1 appears at frame 1 since it defines the start of the animation. KeyframeNo2 is at frame 22 since you have 20 intermediate frames (frames 2 to 21) in between KeyframeNo1 and KeyframeNo2. Viewing the Animation More keyframes could be added, but this animation has only two keyframes (which is the minimum possible). Synopsis The controls previously greyed-out in the Animation dialog box are now available. The number of intermediate frames between keyframes is listed beside the keyframe having the lowest number of the pair. The number of keyframes listed beside the last keyframe is ignored. Procedure 1. Click Play the animation . The animation plays from frame 1 to frame 22. It plays relatively slowly because the slice plane must be updated for each frame. ANSYS CFX Tutorials. ANSYS CFX Release 11.0. © 1996-2006 ANSYS Europe, Ltd. All rights reserved. Page 27 Contains proprietary and confidential information of ANSYS, Inc. and its subsidiaries and affiliates.
  • 40.
    Tutorial 1: SimulatingFlow in a Static Mixer Using CFX in Standalone Mode: Viewing the Results in ANSYS CFX-Post Modifying the Animation To make the plane sweep through the whole geometry, you will set the starting position of the plane to be at the top of the mixer. You will also modify the Range properties of the plane so that it shows the temperature variation better. As the animation is played, you can see the hot and cold water entering the mixer. Near the bottom of the mixer (where the water flows out) you can see that the temperature is quite uniform. The new temperature range lets you view the mixing process more accurately than the global range used in the first animation. Procedure 1. Apply the following settings to Slice Tab Setting Value Geometry Point 0, 0, 1.99 Color Variable Temperature Range User Specified Min 295 [K] Max 305 [K] 2. Click Apply. The slice plane moves to the top of the static mixer. Note: Do not double click in the next step. 3. In the Animation dialog box, single click (do not double-click) KeyframeNo1 to select it. If you had double-clicked KeyFrameNo1, the plane and viewer states would have been redefined according to the stored settings for KeyFrameNo1. If this happens, click Undo and try again to select the keyframe. 4. Click Set Keyframe . The image in the Viewer replaces the one previously associated with KeyframeNo1. 5. Double-click KeyframeNo2. The object properties for the slice plane are updated according to the settings in KeyFrameNo2. 6. Apply the following settings to Slice Tab Setting Value Color Variable Temperature Range User Specified Min 295 [K] Max 305 [K] 7. Click Apply. 8. In the Animation dialog box, single-click KeyframeNo2. 9. Click Set Keyframe to save the new settings to KeyframeNo2. Page 28 ANSYS CFX Tutorials. ANSYS CFX Release 11.0. © 1996-2006 ANSYS Europe, Ltd. All rights reserved. Contains proprietary and confidential information of ANSYS, Inc. and its subsidiaries and affiliates.
  • 41.
    Tutorial 1: SimulatingFlow in a Static Mixer Using CFX in Standalone Mode: Viewing the Results in ANSYS CFX-Post Saving to MPEG By defining the geometry and then saving to MPEG, the results can be saved to a video file. Procedure 1. Click More Animation Options to view the additional options. The Loop and Bounce radio buttons determine what happens when the animation reaches the last keyframe. When Loop is selected, the animation repeats itself the number of times defined by Repeat. When Bounce is selected, every other cycle is played in reverse order, starting with the second. 2. Click Save MPEG. 3. Click Browse next to Save MPEG. 4. Under File name type: StaticMixer.mpg 5. If required, set the path location to a different folder. 6. Click Save. The MPEG file name (including path) is set. At this point, the animation has not yet been produced. 7. Click Previous Keyframe . Wait a moment as the display updates the keyframe display. 8. Click Play the animation . 9. If prompted to overwrite an existing movie click Overwrite. The animation plays and builds an MPEG file. 10. Click the Options button at the bottom of the Animation dialog box. In Advanced, you can see that a Frame Rate of 24 frames per second was used to create the animation. The animation you produced contains a total of 22 frames, so it takes just under 1 second to play in a media player. 11. Click Cancel to close the dialog box. 12. Close the Animation dialog box. 13. Review the animation in third–party software as required. Exiting ANSYS CFX-Post When finished with ANSYS CFX-Post exit the current window: 1. When you are finished, select File > Quit to exit ANSYS CFX-Post. 2. Click Quit if prompted to save. ANSYS CFX Tutorials. ANSYS CFX Release 11.0. © 1996-2006 ANSYS Europe, Ltd. All rights reserved. Page 29 Contains proprietary and confidential information of ANSYS, Inc. and its subsidiaries and affiliates.
  • 42.
    Tutorial 1: SimulatingFlow in a Static Mixer Using CFX in Standalone Mode: Viewing the Results in ANSYS CFX-Post Page 30 ANSYS CFX Tutorials. ANSYS CFX Release 11.0. © 1996-2006 ANSYS Europe, Ltd. All rights reserved. Contains proprietary and confidential information of ANSYS, Inc. and its subsidiaries and affiliates.
  • 43.
    Tutorial 1a: Simulating Flowin a Static Mixer Using Workbench Introduction This tutorial simulates a static mixer consisting of two inlet pipes delivering water into a mixing vessel; the water exits through an outlet pipe. A general workflow is established for analyzing the flow of fluid into and out of a mixer. This tutorial comprises: • Before You Begin (p. 32) • Tutorial 1a Features (p. 32) • Overview of the Problem to Solve (p. 33) • Defining a Simulation in ANSYS CFX-Pre (p. 34) • Obtaining a Solution Using ANSYS CFX-Solver Manager (p. 41) • Viewing the Results in ANSYS CFX-Post (p. 43) If this is the first tutorial you are working with, it is important to review the following topics before beginning: • Setting the Working Directory (p. 1) • Changing the Display Colors (p. 2) To learn how to perform these tasks using CFX in Standalone mode, see Tutorial 1: Simulating Flow in a Static Mixer Using CFX in Standalone Mode (p. 3 in "ANSYS CFX Tutorials"). ANSYS CFX Tutorials Page 31 ANSYS CFX Release 11.0. © 1996-2006 ANSYS Europe, Ltd. All rights reserved. Contains proprietary and confidential information of ANSYS, Inc. and its subsidiaries and affiliates.
  • 44.
    Tutorial 1a: SimulatingFlow in a Static Mixer Using Workbench: Before You Begin Before You Begin Create a working directory for your files. Once this is done, copy the sample files used in this tutorial to your working directory from the installation folder for your software (<CFXROOT>/examples/ (for example, C:Program FilesANSYS Incv110CFXexamples)) to avoid overwriting source files provided with your installation. If you plan to use a session file, please refer to Playing a Session File (p. 35). Sample files used by this tutorial are: • StaticMixerMesh.gtm • StaticMixer.pre Tutorial 1a Features This tutorial addresses the following features of ANSYS CFX. Component Feature Details ANSYS CFX-Pre User Mode Quick Setup Wizard Simulation Type Steady State Fluid Type General Fluid Domain Type Single Domain Turbulence Model k-Epsilon Heat Transfer Thermal Energy Boundary Conditions Inlet (Subsonic) Outlet (Subsonic) Wall: No-Slip Wall: Adiabatic Timestep Physical Time Scale ANSYS CFX-Post Plots Animation Contour Outline Plot (Wireframe) Point Slice Plane Streamline In this tutorial you will learn about: • Using Quick Setup mode in ANSYS CFX-Pre to set up a problem. • Modifying the outline plot in ANSYS CFX-Post. • Using streamlines in ANSYS CFX-Post to trace the flow field from a point. • Viewing temperature using colored planes and contours in ANSYS CFX-Post. • Creating an animation and saving it to an MPEG file. Page 32 ANSYS CFX Tutorials. ANSYS CFX Release 11.0. © 1996-2006 ANSYS Europe, Ltd. All rights reserved. Contains proprietary and confidential information of ANSYS, Inc. and its subsidiaries and affiliates.
  • 45.
    Tutorial 1a: SimulatingFlow in a Static Mixer Using Workbench: Overview of the Problem to Solve Overview of the Problem to Solve This tutorial simulates a static mixer consisting of two inlet pipes delivering water into a mixing vessel; the water exits through an outlet pipe. A general workflow is established for analyzing the flow of fluid into and out of a mixer. Water enters through both pipes at the same rate but at different temperatures. The first entry is at a rate of 2 m/s and a temperature of 315 K and the second entry is at a rate of 2 m/s at a temperature of 285 K. The radius of the mixer is 2 m. Your goal in this tutorial is to understand how to use ANSYS CFX to determine the speed and temperature of the water when it exits the static mixer. Figure 1 Static Mixer with 2 Inlet Pipes and 1 Outlet Pipe 2 m/s r=2m 285 K 2 m/s 315 K ANSYS CFX Tutorials. ANSYS CFX Release 11.0. © 1996-2006 ANSYS Europe, Ltd. All rights reserved. Page 33 Contains proprietary and confidential information of ANSYS, Inc. and its subsidiaries and affiliates.
  • 46.
    Tutorial 1a: SimulatingFlow in a Static Mixer Using Workbench: Defining a Simulation in ANSYS CFX-Pre Defining a Simulation in ANSYS CFX-Pre Because you are starting with an existing mesh, you can immediately use ANSYS CFX-Pre to define the simulation. This is how ANSYS CFX-Pre will look with the imported mesh: In the image above, the left pane of ANSYS CFX-Pre displays the Outline. When you double-click on items in the Outline, the Outline editor opens and can be used to create, modify, and view objects. Note: In this documentation, the details view can also be referenced by the name of the object being edited, followed by the word “details view” (for example, if you double-click the Wireframe object, the Wireframe details view appears). Synopsis of Quick Setup Mode Quick Setup mode provides a simple wizard–like interface for setting up simple cases. This is useful for getting familiar with the basic elements of a CFD problem setup. This section describes using Quick Setup mode to develop a simulation in ANSYS CFX-Pre. Workflow Overview This tutorial follows the general workflow for Quick Setup mode: 1. Creating a New Simulation (p. 35) 2. Setting the Physics Definition (p. 35) 3. Importing a Mesh (p. 36) 4. Defining Model Data (p. 37) 5. Defining Boundaries (p. 37) Page 34 ANSYS CFX Tutorials. ANSYS CFX Release 11.0. © 1996-2006 ANSYS Europe, Ltd. All rights reserved. Contains proprietary and confidential information of ANSYS, Inc. and its subsidiaries and affiliates.
  • 47.
    Tutorial 1a: SimulatingFlow in a Static Mixer Using Workbench: Defining a Simulation in ANSYS CFX-Pre 6. Setting Boundary Data (p. 37) 7. Setting Flow Specification (p. 37) 8. Setting Temperature Specification (p. 38) 9. Reviewing the Boundary Condition Definitions (p. 38) 10. Creating the Second Inlet Boundary Definition (p. 38) 11. Creating the Outlet Boundary Definition (p. 39) 12. Moving to General Mode (p. 39) 13. Writing the Solver (.def) File (p. 40) Playing a If you want to skip past these instructions and have ANSYS CFX-Pre set up the simulation Session File automatically, you can select Session > Play Tutorial from the menu in ANSYS CFX-Pre, then run the appropriate session file. For details, see Playing the Session File and Starting ANSYS CFX-Solver Manager (p. 40). After you have played the session file, proceed to Obtaining a Solution Using ANSYS CFX-Solver Manager (p. 41). Creating a New Simulation Before importing and working with a mesh, a simulation needs to be started using Quick Setup mode. Procedure 1. If required, launch ANSYS Workbench. 2. Click Empty Project. The Project page appears displaying an unsaved project. 3. Select File > Save or click Save . 4. If required, set the path location to the working folder you created for this tutorial. 5. Under File name, type: StaticMixer 6. Click Save. 7. On the left-hand task bar under Advanced CFD, click Start CFX-Pre. 8. Select File > New Simulation. 9. Select Quick Setup in the New Simulation File dialog box and click OK. 10. Select File > Save Simulation As. 11. Under File name, type: StaticMixer 12. Click Save. Setting the Physics Definition You need to specify the fluids used in a simulation. A variety of fluids are already defined as library materials. For this tutorial you will use a prepared fluid, Water, which is defined to be water at 25°C. Procedure 1. Ensure that Simulation Definition is displayed at the top of the Details view. 2. Under Fluid select Water. ANSYS CFX Tutorials. ANSYS CFX Release 11.0. © 1996-2006 ANSYS Europe, Ltd. All rights reserved. Page 35 Contains proprietary and confidential information of ANSYS, Inc. and its subsidiaries and affiliates.
  • 48.
    Tutorial 1a: SimulatingFlow in a Static Mixer Using Workbench: Defining a Simulation in ANSYS CFX-Pre Importing a Mesh At least one mesh must be imported before physics are applied. Procedure 1. In Simulation Definition, under Mesh File, click Browse . The Import Mesh dialog box appears. 2. Under File type, select CFX Mesh (*gtm). 3. From your working directory, select StaticMixerMesh.gtm. 4. Click Open. The mesh loads. 5. Click Next. Using the Viewer Now that the mesh is loaded, take a moment to explore how you can use the viewer toolbar to zoom in or out and to rotate the object in the viewer. Using the Zoom There are several icons available for controlling the level of zoom in the viewer. Tools 1. Click Zoom Box 2. Click and drag a rectangular box over the geometry. 3. Release the mouse button to zoom in on the selection. The geometry zoom changes to display the selection at a greater resolution. 4. Click Fit View to re-center and re-scale the geometry. Rotating the If you need to rotate an object or to view it from a new angle, you can use the viewer toolbar. geometry 1. Click Rotate on the viewer toolbar. 2. Click and drag within the geometry repeatedly to test the rotation of the geometry. The geometry rotates based on the direction of movement. Notice how the mouse cursor changes depending on where you are in the viewer: 3. Right-click a blank area in the viewer and select Predefined Camera > View Towards-X). Page 36 ANSYS CFX Tutorials. ANSYS CFX Release 11.0. © 1996-2006 ANSYS Europe, Ltd. All rights reserved. Contains proprietary and confidential information of ANSYS, Inc. and its subsidiaries and affiliates.
  • 49.
    Tutorial 1a: SimulatingFlow in a Static Mixer Using Workbench: Defining a Simulation in ANSYS CFX-Pre 4. Right-click a blank area in the viewer and select Predefined Camera > Isometric View (Z Up). A clearer view of the mesh is displayed. Defining Model Data You need to define the type of flow and the physical models to use in the fluid domain. You will specify the flow as steady state with turbulence and heat transfer. Turbulence is modelled using the k - ε turbulence model and heat transfer using the thermal energy model. The k - ε turbulence model is a commonly used model and is suitable for a wide range of applications. The thermal energy model neglects high speed energy effects and is therefore suitable for low speed flow applications. Procedure 1. Ensure that Physics Definition is displayed. 2. Under Model Data, set Reference Pressure to 1 [atm]. All other pressure settings are relative to this reference pressure. 3. Set Heat Transfer to Thermal Energy. 4. Set Turbulence to k-Epsilon. 5. Click Next. Defining Boundaries The CFD model requires the definition of conditions on the boundaries of the domain. Procedure 1. Ensure that Boundary Definition is displayed. 2. Delete Inlet and Outlet from the list by right-clicking each and selecting Delete. 3. Right-click in the blank area where Inlet and Outlet were listed, then select New. 4. Set Name to: in1 5. Click OK. The boundary is created and, when selected, properties related to the boundary are displayed. Setting Boundary Data Once boundaries are created, you need to create associated data. Based on Figure 1, you will define the first inlet boundary condition to have a velocity of 2 m/s and a temperature of 315 K at one of the side inlets. Procedure 1. Ensure that Boundary Data is displayed. 2. Set Boundary Type to Inlet. 3. Set Location to in1. Setting Flow Specification Once boundary data is defined, the boundary needs to have the flow specification assigned. ANSYS CFX Tutorials. ANSYS CFX Release 11.0. © 1996-2006 ANSYS Europe, Ltd. All rights reserved. Page 37 Contains proprietary and confidential information of ANSYS, Inc. and its subsidiaries and affiliates.
  • 50.
    Tutorial 1a: SimulatingFlow in a Static Mixer Using Workbench: Defining a Simulation in ANSYS CFX-Pre Procedure 1. Ensure that Flow Specification is displayed. 2. Set Option to Normal Speed. 3. Set Normal Speed to 2 [m s^-1]. Setting Temperature Specification Once flow specification is defined, the boundary needs to have temperature assigned. Procedure 1. Ensure that Temperature Specification is displayed. 2. Set Static Temperature to 315 [K]. Reviewing the Boundary Condition Definitions Defining the boundary condition for in1 required several steps. Here the settings are reviewed for accuracy. Based on Figure 1, the first inlet boundary condition consists of a velocity of 2 m/s and a temperature of 315 K at one of the side inlets. Procedure 1. Review the boundary in1 settings for accuracy. They should be as follows: Tab Setting Value Boundary Data Boundary Type Inlet Location in1 Flow Specification Option Normal Speed Normal Speed 2 [m s^-1] Temperature Specification Static Temperature 315 [K] Creating the Second Inlet Boundary Definition Based on Figure 1, you know the second inlet boundary condition consists of a velocity of 2 m/s and a temperature of 285 K at one of the side inlets. You will define that now. Procedure 1. Under Boundary Definition, right-click in the selector area and select New. 2. Create a new boundary named in2 with these settings: Tab Setting Value Boundary Data Boundary Type Inlet Location in2 Flow Specification Option Normal Speed Normal Speed 2 [m s^-1] Temperature Specification Static Temperature 285 [K] Page 38 ANSYS CFX Tutorials. ANSYS CFX Release 11.0. © 1996-2006 ANSYS Europe, Ltd. All rights reserved. Contains proprietary and confidential information of ANSYS, Inc. and its subsidiaries and affiliates.
  • 51.
    Tutorial 1a: SimulatingFlow in a Static Mixer Using Workbench: Defining a Simulation in ANSYS CFX-Pre Creating the Outlet Boundary Definition Now that the second inlet boundary has been created, the same concepts can be applied to building the outlet boundary. 1. Create a new boundary named out with these settings: Tab Setting Value Boundary Data Boundary Type Outlet Location out Flow Specification Option Average Static Pressure Relative Pressure 0 [Pa] 2. Click Next. Moving to General Mode There are no further boundary conditions that need to be set. All 2D exterior regions that have not been assigned to a boundary condition are automatically assigned to the default boundary condition. Procedure 1. Set Operation to Enter General Mode and click Finish. The three boundary conditions are displayed in the viewer as sets of arrows at the boundary surfaces. Inlet boundary arrows are directed into the domain. Outlet boundary arrows are directed out of the domain. Setting Solver Control Solver Control parameters control aspects of the numerical solution generation process. While an upwind advection scheme is less accurate than other advection schemes, it is also more robust. This advection scheme is suitable for obtaining an initial set of results, but in general should not be used to obtain final accurate results. The time scale can be calculated automatically by the solver or set manually. The Automatic option tends to be conservative, leading to reliable, but often slow, convergence. It is often possible to accelerate convergence by applying a time scale factor or by choosing a manual value that is more aggressive than the Automatic option. In this tutorial, you will select a physical time scale, leading to convergence that is twice as fast as the Automatic option. Procedure 1. Click Solver Control . 2. On the Basic Settings tab, set Advection Scheme > Option to Upwind. 3. Set Convergence Control > Fluid Timescale Control > Timescale Control to Physical Timescale and set the physical timescale value to 2 [s]. 4. Click OK. ANSYS CFX Tutorials. ANSYS CFX Release 11.0. © 1996-2006 ANSYS Europe, Ltd. All rights reserved. Page 39 Contains proprietary and confidential information of ANSYS, Inc. and its subsidiaries and affiliates.
  • 52.
    Tutorial 1a: SimulatingFlow in a Static Mixer Using Workbench: Defining a Simulation in ANSYS CFX-Pre Writing the Solver (.def) File The simulation file, StaticMixer.cfx, contains the simulation definition in a format that can be loaded by ANSYS CFX-Pre, allowing you to complete (if applicable), restore, and modify the simulation definition. The simulation file differs from the definition file in that it can be saved at any time while defining the simulation. Procedure 1. Click Write Solver File . The Write Solver File dialog box is displayed. 2. Set File name to StaticMixer.def. 3. Ensure that Start Solver Manager is selected from the drop down menu located in the top-right corner of the dialog box. 4. Click Save. 5. If you are notified the file already exists, click Overwrite. This file is provided in the tutorial directory and may exist in your tutorial folder if you have copied it there. 6. If prompted, click Yes or Save & Quit to save StaticMixer.cfx. The definition file (StaticMixer.def) and the simulation file (StaticMixer.cfx) are created. ANSYS CFX-Solver Manager automatically starts and the definition file is set in the Define Run dialog box. 7. Proceed to Obtaining a Solution Using ANSYS CFX-Solver Manager (p. 41). Playing the Session File and Starting ANSYS CFX-Solver Manager Note: This task is required only if you are starting here with the session file that was provided in the examples directory. If you have performed all the tasks in the previous steps, proceed directly to Obtaining a Solution Using ANSYS CFX-Solver Manager (p. 41). Events in ANSYS CFX-Pre can be recorded to a session file and then played back at a later date to drive ANSYS CFX-Pre. Session files have been created for each tutorial so that the problems can be set up rapidly in ANSYS CFX-Pre, if desired. Procedure 1. If required, launch ANSYS Workbench. 2. Click Empty Project. 3. Select File > Save or click Save . 4. Under File name, type: StaticMixer 5. Click Save. 6. Click Start CFX-Pre. 7. Select Session > Play Tutorial. 8. Select StaticMixer.pre. 9. Click Open. A definition file is written. 10. Click the CFX-Solver tab. 11. Select File > Define Run. 12. Under Definition File, click Browse . Page 40 ANSYS CFX Tutorials. ANSYS CFX Release 11.0. © 1996-2006 ANSYS Europe, Ltd. All rights reserved. Contains proprietary and confidential information of ANSYS, Inc. and its subsidiaries and affiliates.
  • 53.
    Tutorial 1a: SimulatingFlow in a Static Mixer Using Workbench: Obtaining a Solution Using ANSYS CFX-Solver 13. Select StaticMixer.def, located in the working directory. Obtaining a Solution Using ANSYS CFX-Solver Manager ANSYS CFX-Solver Manager has a visual interface that displays a variety of results and should be used when plotted data needs to be viewed during problem solving. Two windows are displayed when ANSYS CFX-Solver Manager runs. There is an adjustable split between the windows, which is oriented either horizontally or vertically depending on the aspect ratio of the entire ANSYS CFX-Solver Manager window (also adjustable). One window shows the convergence history plots and the other displays text output from ANSYS CFX-Solver. The text lists physical properties, boundary conditions and various other parameters used or calculated in creating the model. All the text is written to the output file automatically (in this case, StaticMixer_001.out). Start the Run The Define Run dialog box allows configuration of a run for processing by ANSYS CFX-Solver. ANSYS CFX Tutorials. ANSYS CFX Release 11.0. © 1996-2006 ANSYS Europe, Ltd. All rights reserved. Page 41 Contains proprietary and confidential information of ANSYS, Inc. and its subsidiaries and affiliates.
  • 54.
    Tutorial 1a: SimulatingFlow in a Static Mixer Using Workbench: Obtaining a Solution Using ANSYS CFX-Solver When ANSYS CFX-Solver Manager is launched automatically from ANSYS CFX-Pre, all of the information required to perform a new serial run (on a single processor) is entered automatically. You do not need to alter the information in the Define Run dialog box. This is a very quick way to launch into ANSYS CFX-Solver without having to define settings and values. Procedure 1. Ensure that the Define Run dialog box is displayed. 2. Click Start Run. ANSYS CFX-Solver launches and a split screen appears and displays the results of the run graphically and as text. The panes continue to build as ANSYS CFX-Solver Manager operates. Note: Once the second iteration appears, data begins to plot. Plotting may take a long time depending on the amount of data to process. Let the process run. Move from ANSYS CFX-Solver to ANSYS CFX-Post Once ANSYS CFX-Solver has finished, you can use ANSYS CFX-Post to review the finished results. Procedure 1. When ANSYS CFX-Solver is finished, click Yes to post-process the results. After a short pause, ANSYS CFX-Post starts and ANSYS CFX-Solver Manager closes. Page 42 ANSYS CFX Tutorials. ANSYS CFX Release 11.0. © 1996-2006 ANSYS Europe, Ltd. All rights reserved. Contains proprietary and confidential information of ANSYS, Inc. and its subsidiaries and affiliates.
  • 55.
    Tutorial 1a: SimulatingFlow in a Static Mixer Using Workbench: Viewing the Results in ANSYS CFX-Post Viewing the Results in ANSYS CFX-Post When ANSYS CFX-Post starts, the viewer and Outline workspace are displayed. The viewer displays an outline of the geometry and other graphic objects. You can use the mouse or the toolbar icons to manipulate the view, exactly as in ANSYS CFX-Pre. Workflow Overview This tutorial describes the following workflow for viewing results in ANSYS CFX-Post: 1. Setting the Edge Angle for a Wireframe Object (p. 44) 2. Creating a Point for the Origin of the Streamline (p. 45) 3. Creating a Streamline Originating from a Point (p. 46) 4. Rearranging the Point (p. 47) 5. Configuring a Default Legend (p. 47) 6. Creating a Slice Plane (p. 48) 7. Defining Slice Plane Geometry (p. 49) 8. Configuring Slice Plane Views (p. 49) 9. Rendering Slice Planes (p. 50) 10. Coloring the Slice Plane (p. 51) 11. Moving the Slice Plane (p. 51) 12. Adding Contours (p. 52) 13. Working with Animations (p. 53) ANSYS CFX Tutorials. ANSYS CFX Release 11.0. © 1996-2006 ANSYS Europe, Ltd. All rights reserved. Page 43 Contains proprietary and confidential information of ANSYS, Inc. and its subsidiaries and affiliates.
  • 56.
    Tutorial 1a: SimulatingFlow in a Static Mixer Using Workbench: Viewing the Results in ANSYS CFX-Post Setting the Edge Angle for a Wireframe Object The outline of the geometry is called the wireframe or outline plot. By default, ANSYS CFX-Post displays only some of the surface mesh. This sometimes means that when you first load your results file, the geometry outline is not displayed clearly. You can control the amount of the surface mesh shown by editing the Wireframe object listed in the Outline. The check boxes next to each object name in the Outline control the visibility of each object. Currently only the Wireframe and Default Legend objects have visibility selected. The edge angle determines how much of the surface mesh is visible. If the angle between two adjacent faces is greater than the edge angle, then that edge is drawn. If the edge angle is set to 0°, the entire surface mesh is drawn. If the edge angle is large, then only the most significant corner edges of the geometry are drawn. For this geometry, a setting of approximately 15° lets you view the model location without displaying an excessive amount of the surface mesh. In this module you can also modify the zoom settings and view of the wireframe. Procedure 1. In the Outline, under User Locations and Plots, double-click Wireframe. Tip: While it is not necessary to change the view to set the angle, do so to explore the practical uses of this feature. 2. Right-click on a blank area anywhere in the viewer, select Predefined Camera from the shortcut menu and select Isometric View (Z up). 3. In the Wireframe details view, under Definition, click in the Edge Angle box. An embedded slider is displayed. 4. Type a value of 10 [degree]. 5. Click Apply to update the object with the new setting. Page 44 ANSYS CFX Tutorials. ANSYS CFX Release 11.0. © 1996-2006 ANSYS Europe, Ltd. All rights reserved. Contains proprietary and confidential information of ANSYS, Inc. and its subsidiaries and affiliates.
  • 57.
    Tutorial 1a: SimulatingFlow in a Static Mixer Using Workbench: Viewing the Results in ANSYS CFX-Post Notice that more surface mesh is displayed. 6. Drag the embedded slider to set the Edge Angle value to approximately 45 [degree]. 7. Click Apply to update the object with the new setting. Less of the outline of the geometry is displayed. 8. Type a value of 15 [degree]. 9. Click Apply to update the object with the new setting. 10. Right-click on a blank area anywhere in the viewer, select Predefined Camera from the shortcut menu and select View Towards -X. Creating a Point for the Origin of the Streamline A streamline is the path that a particle of zero mass would follow through the domain. Procedure 1. Select Insert > Location > Point from the main menu. You can also use the toolbars to create a variety of objects. Later modules and tutorials explore this further. 2. Click OK. This accepts the default name. 3. Under Definition, ensure that Method is set to XYZ. 4. Under Point, enter the following coordinates: -1, -1, 1. This is a point near the first inlet. 5. Click Apply. The point appears as a symbol in the viewer as a crosshair symbol. ANSYS CFX Tutorials. ANSYS CFX Release 11.0. © 1996-2006 ANSYS Europe, Ltd. All rights reserved. Page 45 Contains proprietary and confidential information of ANSYS, Inc. and its subsidiaries and affiliates.
  • 58.
    Tutorial 1a: SimulatingFlow in a Static Mixer Using Workbench: Viewing the Results in ANSYS CFX-Post Creating a Streamline Originating from a Point Where applicable, streamlines can trace the flow direction forwards (downstream) and/or backwards (upstream). Procedure 1. From the main menu, select Insert > Streamline. You can also use the toolbars to create a variety of objects. Later modules and tutorials will explore this further. 2. Click OK. This accepts the default name. 3. Under Definition, in Start From, ensure that Point 1 is set. Tip: To create streamlines originating from more than one location, click the ellipsis icon to the right of the Start From box. This displays the Location Selector dialog box, where you can use the <Ctrl> and <Shift> keys to pick multiple locators. 4. Click the Color tab. 5. Set Mode to Variable. 6. Set Variable to Total Temperature. 7. Set Range to Local. 8. Click Apply. The streamline shows the path of a zero mass particle from Point 1. The temperature is initially high near the hot inlet, but as the fluid mixes the temperature drops. Page 46 ANSYS CFX Tutorials. ANSYS CFX Release 11.0. © 1996-2006 ANSYS Europe, Ltd. All rights reserved. Contains proprietary and confidential information of ANSYS, Inc. and its subsidiaries and affiliates.
  • 59.
    Tutorial 1a: SimulatingFlow in a Static Mixer Using Workbench: Viewing the Results in ANSYS CFX-Post Rearranging the Point Once created, a point can be rearranged manually or by setting specific coordinates. Tip: In this module, you may choose to display various views and zooms from the Predefined Camera option in the shortcut menu (such as Isometric View (Z up) or View Towards -X) and by using Zoom Box if you prefer to change the display. Procedure 1. In Outline, under User Locations and Plots double-click Point 1. Properties for the selected user location are displayed. 2. Under Point, set these coordinates: -1, -2.9, 1. 3. Click Apply. The point is moved and the streamline redrawn. 4. In the selection tools, click Single Select. While in this mode, the normal behavior of the left mouse button is disabled. 5. In the viewer, drag Point 1 (appears as a yellow addition sign) to a new location within the mixer. The point position is updated in the details view and the streamline is redrawn at the new location. The point moves normal in relation to the viewing direction. 6. Click Rotate . Tip: You can also click in the viewer area, and press the space bar to toggle between Select and Viewing Mode. A way to pick objects from Viewing Mode is to hold down <Ctrl> + <Shift> while clicking on an object with the left mouse button. 7. Under Point, reset these coordinates: -1, -1, 1. 8. Click Apply. The point appears at its original location. 9. Right-click a blank area in the viewer and select Predefined Camera > View Towards -X. Configuring a Default Legend You can modify the appearance of the default legend. The default legend appears whenever a plot is created that is colored by a variable. The streamline color is based on temperature; therefore, the legend shows the temperature range. The color pattern on the legend’s color bar is banded in accordance with the bands in the plot1. 1. An exception occurs when one or more bands in a contour plot represent values beyond the legend’s range. In this case, such bands are colored using a color that is extrapolated slightly past the range of colors shown in the legend. This can happen only when a user-specified range is used for the legend. ANSYS CFX Tutorials. ANSYS CFX Release 11.0. © 1996-2006 ANSYS Europe, Ltd. All rights reserved. Page 47 Contains proprietary and confidential information of ANSYS, Inc. and its subsidiaries and affiliates.
  • 60.
    Tutorial 1a: SimulatingFlow in a Static Mixer Using Workbench: Viewing the Results in ANSYS CFX-Post The default legend displays values for the last eligible plot that was opened in the details view. To maintain a legend definition during an ANSYS CFX-Post session, you can create a new legend by clicking Legend . Because there are many settings that can be customized for the legend, this module allows you the freedom to experiment with them. In the last steps you will set up a legend, based on the default legend, with a minor modification to the position. Tip: When editing values, you can restore the values that were present when you began editing by clicking Reset. To restore the factory-default values, click Default. Procedure 1. Double click Default Legend View 1. The Definition tab of the default legend is displayed. 2. Apply the following settings Tab Setting Value Definition Title Mode User Specified Title Streamline Temp. Horizontal (Selected) Location > Y Justification Bottom 3. Click Apply. The appearance and position of the legend changes based on the settings specified. 4. Modify various settings in Definition and click Apply after each change. 5. Select Appearance. 6. Modify a variety of settings in the Appearance and click Apply after each change. 7. Click Defaults. 8. Click Apply. 9. Under Outline, in User Locations and Plots, clear the check boxes for Point 1 and Streamline 1. Since both are no longer visible, the associated legend no longer appears. Creating a Slice Plane Defining a slice plane allows you to obtain a cross–section of the geometry. In ANSYS CFX-Post you often view results by coloring a graphic object. The graphic object could be an isosurface, a vector plot, or in this case, a plane. The object can be a fixed color or it can vary based on the value of a variable. You already have some objects defined by default (listed in the Outline). You can view results on the boundaries of the static mixer by coloring each boundary object by a variable. To view results within the geometry (that is, on non-default locators), you will create new objects. You can use the following methods to define a plane: • Three Points: creates a plane from three specified points. Page 48 ANSYS CFX Tutorials. ANSYS CFX Release 11.0. © 1996-2006 ANSYS Europe, Ltd. All rights reserved. Contains proprietary and confidential information of ANSYS, Inc. and its subsidiaries and affiliates.
  • 61.
    Tutorial 1a: SimulatingFlow in a Static Mixer Using Workbench: Viewing the Results in ANSYS CFX-Post • Point and Normal: defines a plane from one point on the plane and a normal vector to the plane. • YZ Plane, ZX Plane, and XY Plane: similar to Point and Normal, except that the normal is defined to be normal to the indicated plane. Procedure 1. From the main menu, select Insert > Location > Plane or click Location > Plane. 2. In the New Plane window, type: Slice 3. Click OK. The Geometry, Color, Render, and View tabs let you switch between settings. 4. Click the Geometry tab. Defining Slice Plane Geometry You need to choose the vector normal to the plane. You want the plane to lie in the x-y plane, hence its normal vector points along the z-axis. You can specify any vector that points in the z-direction, but you will choose the most obvious (0,0,1). Procedure 1. If required, under Geometry, expand Definition. 2. Under Method select Point and Normal. 3. Under Point enter 0,0,1. 4. Under Normal enter 0, 0,1. 5. Click Apply. Slice displays under User Locations and Plots. Rotate the view to see the plane. Configuring Slice Plane Views Depending on the view of the geometry, various objects may not appear because they fall in a 2D space that cannot be seen. Procedure 1. Right-click a blank area in the viewer and select Predefined Camera > Isometric View (Z up). ANSYS CFX Tutorials. ANSYS CFX Release 11.0. © 1996-2006 ANSYS Europe, Ltd. All rights reserved. Page 49 Contains proprietary and confidential information of ANSYS, Inc. and its subsidiaries and affiliates.
  • 62.
    Tutorial 1a: SimulatingFlow in a Static Mixer Using Workbench: Viewing the Results in ANSYS CFX-Post The slice is now visible in the viewer. 2. Click Zoom Box . 3. Click and drag a rectangular selection over the geometry. 4. Release the mouse button to zoom in on the selection. 5. Click Rotate . 6. Click and drag the mouse pointer down slightly to rotate the geometry towards you. 7. Select Isometric View (Z up) as described earlier. Rendering Slice Planes Render settings determine how the plane is drawn. Procedure 1. In the Details pane for Slice, select the Render tab. 2. Clear Draw Faces. 3. Select Draw Lines. 4. Under Draw Lines change Color Mode to User Specified. 5. Click the current color in Line Color to change to a different color. For a greater selection of colors, click the ellipsis to use the Select color dialog box. 6. Click Apply. 7. Click Zoom Box . 8. Zoom in on the geometry to view it in greater detail. Page 50 ANSYS CFX Tutorials. ANSYS CFX Release 11.0. © 1996-2006 ANSYS Europe, Ltd. All rights reserved. Contains proprietary and confidential information of ANSYS, Inc. and its subsidiaries and affiliates.
  • 63.
    Tutorial 1a: SimulatingFlow in a Static Mixer Using Workbench: Viewing the Results in ANSYS CFX-Post The line segments show where the slice plane intersects with mesh element faces. The end points of each line segment are located where the plane intersects mesh element edges. 9. Right-click a blank area in the viewer and select Predefined Camera > View Towards -Z. The image shown below can be used for comparison with tutorial 2 (in the section Creating a Slice Plane (p. 68)), where a refined mesh is used. Coloring the Slice Plane The Color panel is used to determine how the object faces are colored. Procedure 1. Apply the following settings to Slice Tab Setting Value Color Mode Variable* Variable Temperature Render Draw Faces (Selected) Draw Lines (Cleared) *. You can specify the variable (in this case, temperature) used to color the graphic element. The Constant mode allows you to color the plane with a fixed color. 2. Click Apply. Hot water (red) enters from one inlet and cold water (blue) from the other. Moving the Slice Plane The plane can be moved to different locations. ANSYS CFX Tutorials. ANSYS CFX Release 11.0. © 1996-2006 ANSYS Europe, Ltd. All rights reserved. Page 51 Contains proprietary and confidential information of ANSYS, Inc. and its subsidiaries and affiliates.
  • 64.
    Tutorial 1a: SimulatingFlow in a Static Mixer Using Workbench: Viewing the Results in ANSYS CFX-Post Procedure 1. Right-click a blank area in the viewer and select Predefined Camera > Isometric View (Z up) from the shortcut menu. 2. Click the Geometry tab. Review the settings in Definition under Point and under Normal. 3. Click Single Select . 4. Click and drag the plane to a new location that intersects the domain. As you drag the mouse, the viewer updates automatically. Note that Point updates with new settings. 5. Set Point settings to 0,0,1. 6. Click Apply. 7. Click Rotate . 8. Turn off visibility for Slice by clearing the check box next to Slice in the Outline. Adding Contours Contours connect all points of equal value for a scalar variable (for example, Temperature) and help to visualize variable values and gradients. Colored bands fill the spaces between contour lines. Each band is colored by the average color of its two bounding contour lines (even if the latter are not displayed). Procedure 1. Right-click a blank area in the viewer and select Predefined Camera > Isometric View (Z up) from the shortcut menu. 2. Select Insert > Contour from the main menu or click Contour . The New Contour dialog box is displayed. 3. Set Name to Slice Contour. 4. Click OK. 5. Apply the following settings Tab Setting Value Geometry Locations Slice Variable Temperature Render Draw Faces (Selected) 6. Click Apply. Important: The colors of 3D graphics object faces are slightly altered when lighting is on. To view colors with highest accuracy, on the Render tab under Draw Faces clear Lighting and click Apply. Page 52 ANSYS CFX Tutorials. ANSYS CFX Release 11.0. © 1996-2006 ANSYS Europe, Ltd. All rights reserved. Contains proprietary and confidential information of ANSYS, Inc. and its subsidiaries and affiliates.
  • 65.
    Tutorial 1a: SimulatingFlow in a Static Mixer Using Workbench: Viewing the Results in ANSYS CFX-Post The graphic element faces are visible, producing a contour plot as shown. Working with Animations Animations build transitions between views for development of video files. Workflow This tutorial follows the general workflow for creating a keyframe animation: Overview 1. Showing the Animation Dialog Box (p. 53) 2. Creating the First Keyframe (p. 53) 3. Creating the Second Keyframe (p. 54) 4. Viewing the Animation (p. 55) 5. Modifying the Animation (p. 56) 6. Saving to MPEG (p. 57) Showing the Animation Dialog Box The Animation dialog box is used to define keyframes and to export to a video file. Procedure 1. Select Tools > Animation or click Animation . The Animation dialog box can be repositioned as required. Creating the First Keyframe Keyframes are required in order to produce an animation. You need to define the first viewer state, a second (and final) viewer state, and set the number of interpolated intermediate frames. ANSYS CFX Tutorials. ANSYS CFX Release 11.0. © 1996-2006 ANSYS Europe, Ltd. All rights reserved. Page 53 Contains proprietary and confidential information of ANSYS, Inc. and its subsidiaries and affiliates.
  • 66.
    Tutorial 1a: SimulatingFlow in a Static Mixer Using Workbench: Viewing the Results in ANSYS CFX-Post Procedure 1. Right-click a blank area in the viewer and select Predefined Camera > Isometric View (Z up). 2. In the Outline, under User Locations and Plots, clear the visibility of Slice Contour and select the visibility of Slice. 3. Select Tools > Animation or click Animation . The Animation dialog box can be repositioned as required. 4. In the Animation dialog box, click New . A new keyframe named KeyframeNo1 is created. This represents the current image displayed in the viewer. Creating the Second Keyframe Keyframes are required in order to produce an animation. Procedure 1. In the Outline, under User Locations and Plots, double-click Slice. 2. On the Geometry tab, set Point coordinate values to (0,0,-1.99). 3. Click Apply. The slice plane moves to the bottom of the mixer. 4. In the Animation dialog box, click New . KeyframeNo2 is created and represents the image displayed in the Viewer. 5. Select KeyframeNo1. 6. Set # of Frames (located below the list of keyframes) to 20. Page 54 ANSYS CFX Tutorials. ANSYS CFX Release 11.0. © 1996-2006 ANSYS Europe, Ltd. All rights reserved. Contains proprietary and confidential information of ANSYS, Inc. and its subsidiaries and affiliates.
  • 67.
    Tutorial 1a: SimulatingFlow in a Static Mixer Using Workbench: Viewing the Results in ANSYS CFX-Post This is the number of intermediate frames used when going from KeyframeNo1 to KeyframeNo2. This number is displayed in the Frames column for KeyframeNo1. 7. Press Enter. The Frame # column shows the frame in which each keyframe appears. KeyframeNo1 appears at frame 1 since it defines the start of the animation. KeyframeNo2 is at frame 22 since you have 20 intermediate frames (frames 2 to 21) in between KeyframeNo1 and KeyframeNo2. Viewing the Animation More keyframes could be added, but this animation has only two keyframes (which is the minimum possible). The controls previously greyed-out in the Animation dialog box are now available. The number of intermediate frames between keyframes is listed beside the keyframe having the lowest number of the pair. The number of keyframes listed beside the last keyframe is ignored. Procedure 1. Click Play the animation . The animation plays from frame 1 to frame 22. It plays relatively slowly because the slice plane must be updated for each frame. ANSYS CFX Tutorials. ANSYS CFX Release 11.0. © 1996-2006 ANSYS Europe, Ltd. All rights reserved. Page 55 Contains proprietary and confidential information of ANSYS, Inc. and its subsidiaries and affiliates.
  • 68.
    Tutorial 1a: SimulatingFlow in a Static Mixer Using Workbench: Viewing the Results in ANSYS CFX-Post Modifying the Animation To make the plane sweep through the whole geometry, you will set the starting position of the plane to be at the top of the mixer. You will also modify the Range properties of the plane so that it shows the temperature variation better. As the animation is played, you can see the hot and cold water entering the mixer. Near the bottom of the mixer (where the water flows out) you can see that the temperature is quite uniform. The new temperature range lets you view the mixing process more accurately than the global range used in the first animation. Procedure 1. Apply the following settings to Slice Tab Setting Value Geometry Point 0, 0, 1.99 Color Mode Variable Range User Specified Min 295 [K] Max 305 [K] 2. Click Apply. The slice plane moves to the top of the static mixer. Note: Do not double click in the next step. 3. In the Animation dialog box, single click (do not double-click) KeyframeNo1 to select it. If you had double-clicked KeyFrameNo1, the plane and viewer states would have been redefined according to the stored settings for KeyFrameNo1. If this happens, click Undo and try again to select the keyframe. 4. Click Set Keyframe . The image in the Viewer replaces the one previously associated with KeyframeNo1. 5. Double-click KeyframeNo2. The object properties for the slice plane are updated according to the settings in KeyFrameNo2. 6. Apply the following settings to Slice Tab Setting Value Color Mode Variable Range User Specified Min 295 [K] Max 305 [K] 7. Click Apply. 8. In the Animation dialog box, single-click KeyframeNo2. 9. Click Set Keyframe to save the new settings to KeyframeNo2. Page 56 ANSYS CFX Tutorials. ANSYS CFX Release 11.0. © 1996-2006 ANSYS Europe, Ltd. All rights reserved. Contains proprietary and confidential information of ANSYS, Inc. and its subsidiaries and affiliates.
  • 69.
    Tutorial 1a: SimulatingFlow in a Static Mixer Using Workbench: Viewing the Results in ANSYS CFX-Post Saving to MPEG By defining the geometry and then saving to MPEG, the results can be saved to a video file. Procedure 1. Click More Animation Options to view the additional options. The Loop and Bounce radio buttons determine what happens when the animation reaches the last keyframe. When Loop is selected, the animation repeats itself the number of times defined by Repeat. When Bounce is selected, every other cycle is played in reverse order, starting with the second. 2. Click Save MPEG. 3. Click Browse next to Save MPEG. 4. Under File name type: StaticMixer.mpg 5. If required, set the path location to a different folder. 6. Click Save. The MPEG file name (including path) is set. At this point, the animation has not yet been produced. 7. Click Previous Keyframe . Wait a moment as the display updates the keyframe display. 8. Click Play the animation . 9. If prompted to overwrite an existing movie click Overwrite. The animation plays and builds an MPEG file. 10. Click the Options button at the bottom of the Animation dialog box. In Advanced, you can see that a Frame Rate of 24 frames per second was used to create the animation. The animation you produced contains a total of 22 frames, so it takes just under 1 second to play in a media player. 11. Click Cancel to close the dialog box. 12. Close the Animation dialog box. 13. Review the animation in third–party software as required. Exiting ANSYS CFX-Post When finished with ANSYS CFX-Post, exit the current window: 1. Select File > Close to close the current file. 2. If prompted to save, click Close. 3. Return to the Project page. Select File > Close Project. 4. Select No, then close Workbench. ANSYS CFX Tutorials. ANSYS CFX Release 11.0. © 1996-2006 ANSYS Europe, Ltd. All rights reserved. Page 57 Contains proprietary and confidential information of ANSYS, Inc. and its subsidiaries and affiliates.
  • 70.
    Tutorial 1a: SimulatingFlow in a Static Mixer Using Workbench: Viewing the Results in ANSYS CFX-Post Page 58 ANSYS CFX Tutorials. ANSYS CFX Release 11.0. © 1996-2006 ANSYS Europe, Ltd. All rights reserved. Contains proprietary and confidential information of ANSYS, Inc. and its subsidiaries and affiliates.
  • 71.
    Tutorial 2: Flow ina Static Mixer (Refined Mesh) Introduction This tutorial includes: • Tutorial 2 Features (p. 60) • Overview of the Problem to Solve (p. 60) • Defining a Simulation using General Mode in ANSYS CFX-Pre (p. 61) • Obtaining a Solution Using Interpolation with ANSYS CFX-Solver (p. 66) • Viewing the Results in ANSYS CFX-Post (p. 68) If this is the first tutorial you are working with, it is important to review the following topics before beginning: • Setting the Working Directory (p. 1) • Changing the Display Colors (p. 2) Unless you plan on running a session file, you should copy the sample files used in this tutorial from the installation folder for your software (<CFXROOT>/examples/) to your working directory. This prevents you from overwriting source files provided with your installation. If you plan to use a session file, please refer to Playing a Session File (p. 61). Sample files used by this tutorial are: • StaticMixerRefMesh.gtm • StaticMixerRef.pre • StaticMixer.def • StaticMixer_001.res ANSYS CFX Tutorials Page 59 ANSYS CFX Release 11.0. © 1996-2006 ANSYS Europe, Ltd. All rights reserved. Contains proprietary and confidential information of ANSYS, Inc. and its subsidiaries and affiliates.
  • 72.
    Tutorial 2: Flowin a Static Mixer (Refined Mesh): Tutorial 2 Features Tutorial 2 Features This tutorial addresses the following features of ANSYS CFX. Component Feature Details ANSYS CFX-Pre User Mode General Mode Simulation Type Steady State Fluid Type General Fluid Domain Type Single Domain Turbulence Model k-Epsilon Heat Transfer Thermal Energy Boundary Conditions Inlet (Subsonic) Outlet (Subsonic) Wall: No-Slip Wall: Adiabatic Timestep Physical Time Scale ANSYS CFX-Post Plots Planevolume Slice Plane Spherevolume Other Viewing the Mesh In this tutorial you will learn about: • Using the General Mode of ANSYS CFX-Pre (this mode is used for more complex cases). • Rerunning a problem with a refined mesh. • Importing CCL to copy the definition of a different simulation into the current simulation. • Viewing the mesh with a Sphere volume locator and a Surface Plot. • Using a Plane Volume locator and the Mesh Calculator to analyze mesh quality. Overview of the Problem to Solve In this tutorial, you use a refined mesh to obtain a better solution to the Static Mixer problem created in Tutorial 1: Simulating Flow in a Static Mixer Using CFX in Standalone Mode (p. 3). You establish a general workflow for analyzing the flow of fluid into and out of a mixer. This tutorial uses a specific problem to teach the general approach taken when working with an existing mesh. You start a new simulation in ANSYS CFX-Pre and import the refined mesh. This tutorial introduces General Mode—the mode used for most tutorials—in ANSYS CFX-Pre. The physics for this tutorial are the same as for Tutorial 1: Simulating Flow in a Static Mixer Using CFX in Standalone Mode (p. 3); therefore, you can import the physics settings used in that tutorial to save time. Page 60 ANSYS CFX Tutorials. ANSYS CFX Release 11.0. © 1996-2006 ANSYS Europe, Ltd. All rights reserved. Contains proprietary and confidential information of ANSYS, Inc. and its subsidiaries and affiliates.
  • 73.
    Tutorial 2: Flowin a Static Mixer (Refined Mesh): Defining a Simulation using General Mode in ANSYS CFX-Pre Defining a Simulation using General Mode in ANSYS CFX-Pre After having completed meshing, ANSYS CFX-Pre is used as a consistent and intuitive interface for the definition of complex CFD problems. Playing a Session File If you want to skip past these instructions, and have ANSYS CFX-Pre set up the simulation automatically, you can select Session > Play Tutorial from the menu in ANSYS CFX-Pre, then run the appropriate session file. For details, see Playing the Session File and Starting ANSYS CFX-Solver Manager (p. 65). After you have played the session file, proceed to Obtaining a Solution Using Interpolation with ANSYS CFX-Solver (p. 66). Workflow Overview This section provides a brief summary of the topics so that you can see the workflow: 1. Creating a New Simulation (p. 61) 2. Importing a Mesh (p. 62) 3. Importing CCL (p. 62) 4. Viewing Domain Settings (p. 63) 5. Viewing the Boundary Condition Setting (p. 64) 6. Defining Solver Parameters (p. 64) 7. Writing the Solver (.def) File (p. 64) As an alternative to these steps, you can also review Playing the Session File and Starting ANSYS CFX-Solver Manager (p. 65) To begin this tutorial and create a new simulation in ANSYS CFX-Pre, continue from Creating a New Simulation (p. 61). Creating a New Simulation Before importing and working with a mesh, a simulation needs to be developed using General mode. Note: Two procedures are documented. Depending on your installation of ANSYS CFX, follow either the Standalone procedure or the Workbench procedure. Procedure in 1. If required, launch ANSYS CFX-Pre. Standalone 2. Select File > New Simulation. 3. Select General in the New Simulation File dialog box and click OK. 4. Select File > Save Simulation As. 5. Under File name, type StaticMixerRef and click Save. 6. Proceed to Importing a Mesh (p. 62). Procedure in 1. If required, launch ANSYS Workbench. Workbench 2. Click Empty Project. ANSYS CFX Tutorials. ANSYS CFX Release 11.0. © 1996-2006 ANSYS Europe, Ltd. All rights reserved. Page 61 Contains proprietary and confidential information of ANSYS, Inc. and its subsidiaries and affiliates.
  • 74.
    Tutorial 2: Flowin a Static Mixer (Refined Mesh): Defining a Simulation using General Mode in ANSYS CFX-Pre The Project page appears displaying an unsaved project. 3. Select File > Save or click Save . 4. If required, set the path location to your working folder. 5. Under File name, type StaticMixerRef and click Save. 6. Click Start CFX-Pre under Advanced CFD on the left hand task bar. 7. Select File > New Simulation. 8. Click General in the New Simulation File window, and then click OK. 9. Select File > Save Simulation As. 10. Under File name, type StaticMixerRef and click Save. Importing a Mesh At least one mesh must be imported before physics are applied. An assembly is a group of mesh regions that are topologically connected. Each assembly can contain only one mesh, but multiple assemblies are permitted. The Mesh tree shows the regions in Assembly in a tree structure. The level below Assembly displays 3D regions and the level below each 3D region shows the 2D regions associated with it. The check box next to each item in the Mesh tree indicates the visibility status of the object in the viewer; you can click these to toggle visibility. Procedure 1. Select File > Import Mesh or right-click Mesh and select Import Mesh. 2. In the Import Mesh dialog box, select StaticMixerRefMesh.gtm from your working directory. This is a mesh that is more refined than the one used in Tutorial 1. 3. Click Open. 4. Right-click a blank area in the viewer and select Predefined Camera > Isometric View (Z up) from the shortcut menu. Importing CCL Since the physics for this simulation is very similar to that for Tutorial 1, you can save time by importing the settings used there. The CCL contains settings that reference mesh regions. For example, the outlet boundary condition references the mesh region named out. In this tutorial, the name of the mesh regions are the same as in Tutorial 1, so you can import the CCL without error. The physics for a simulation can be saved to a CCL (CFX Command Language) file at any time by selecting File > Export CCL. However, a number of other files can also be used as sources to import CCL including: • Simulation files (*.cfx) • Results files (*.res) • Definition files(*.def) Note: If you import CCL that references non-existent mesh regions, you will get errors. Page 62 ANSYS CFX Tutorials. ANSYS CFX Release 11.0. © 1996-2006 ANSYS Europe, Ltd. All rights reserved. Contains proprietary and confidential information of ANSYS, Inc. and its subsidiaries and affiliates.
  • 75.
    Tutorial 2: Flowin a Static Mixer (Refined Mesh): Defining a Simulation using General Mode in ANSYS CFX-Pre Procedure 1. Select File > Import CCL. The Import CCL dialog box appears. 2. Under Import Method, select Append. Replace is useful if you have defined physics and want to update or replace them with newly imported physics. 3. Under File type, select CFX-Solver Files (*def *res). 4. Select StaticMixer.def created in Tutorial 1. If you did not work through Tutorial 1, you can copy this file from the examples directory. 5. Click Open. 6. Select the Outline tab. Tip: To select Outline you may need to click the navigation icons next to the tabs to move ‘forward’ or ‘backward’ through the various tabs. The tree view displays a summary of the current simulation in a tree structure. Some items may be recognized from Tutorial 1—for example the boundary condition objects in1, in2, and out. Viewing Domain Settings It is useful to review the options available in General Mode. Various domain settings can be set. These include: • General Options Specifies the location of the domain, coordinate frame settings and the fluids/solids that are present in the domain. You also reference pressure, buoyancy and whether the domain is stationary or rotating. Mesh motion can also be set. • Fluid Models Sets models that apply to the fluid(s) in the domain, such as heat transfer, turbulence, combustion, and radiation models. An option absent in Tutorial 1 is Turbulent Wall Functions, which is set to Scalable. Wall functions model the flow in the near-wall region. For the k-epsilon turbulence model, you should always use scalable wall functions. • Initialization Sets the initial conditions for the current domain only. This is generally used when multiple domains exist to allow setting different initial conditions in each domain, but can also be used to initialize single-domain simulations. Global initialization allows the specification of initial conditions for all domains that do not have domain-specific initialization. Procedure 1. On the Outline tree view, under Simulation, double-click Default Domain. The domain Default Domain is opened for editing. 2. Click General Options and review, but do not change, the current settings. 3. Click Fluid Models and review, but do not change, the current settings. 4. Click Initialization and review, but do not change, the current settings. 5. Click Close. ANSYS CFX Tutorials. ANSYS CFX Release 11.0. © 1996-2006 ANSYS Europe, Ltd. All rights reserved. Page 63 Contains proprietary and confidential information of ANSYS, Inc. and its subsidiaries and affiliates.
  • 76.
    Tutorial 2: Flowin a Static Mixer (Refined Mesh): Defining a Simulation using General Mode in ANSYS CFX-Pre Viewing the Boundary Condition Setting For the k-epsilon turbulence model, you must specify the turbulent nature of the flow entering through the inlet boundary. For this simulation, the default setting of Medium (Intensity = 5%) is used. This is a sensible setting if you do not know the turbulence properties of the incoming flow. Procedure 1. Under Default Domain, double-click in1. 2. Click the Boundary Details tab and review the settings for Flow Regime, Mass and Momentum, Turbulence and Heat Transfer. 3. Click Close. Defining Solver Parameters Solver Control parameters control aspects of the numerical-solution generation process. In Tutorial 1 you set some solver control parameters, such as Advection Scheme and Timescale Control, while other parameters were set automatically by ANSYS CFX-Pre. In this tutorial, High Resolution is used for the advection scheme. This is more accurate than the Upwind Scheme used in Tutorial 1. You usually require a smaller timestep when using this model. You can also expect the solution to take a higher number of iterations to converge when using this model. Procedure 1. Select Insert > Solver > Solver Control from the main menu or click Solver Control . 2. Apply the following Basic Settings Setting Value Advection Scheme > Option High Resolution Convergence Control > Max. Iterations* 150 Convergence Control > Fluid Timescale Control > Physical Timescale Timescale Control Convergence Control > Fluid Timescale Control > Physical 0.5 [s] Timescale *. If your solution does not meet the convergence criteria after this number of timesteps, the ANSYS CFX-Solver will stop. 3. Click Apply. 4. Click the Advanced Options tab. 5. Ensure that Global Dynamic Model Control is selected. 6. Click OK. Writing the Solver (.def) File Once all boundaries are created you move from ANSYS CFX-Pre into ANSYS CFX-Solver. Page 64 ANSYS CFX Tutorials. ANSYS CFX Release 11.0. © 1996-2006 ANSYS Europe, Ltd. All rights reserved. Contains proprietary and confidential information of ANSYS, Inc. and its subsidiaries and affiliates.
  • 77.
    Tutorial 2: Flowin a Static Mixer (Refined Mesh): Defining a Simulation using General Mode in ANSYS CFX-Pre The simulation file—StaticMixerRef.cfx—contains the simulation definition in a format that can be loaded by ANSYS CFX-Pre, allowing you to complete (if applicable), restore, and modify the simulation definition. The simulation file differs from the definition file in two important ways: • The simulation file can be saved at any time while defining the simulation. • The definition file is an encapsulated set of meshes and CCL defining a solver run, and is a subset of the data in the simulation file. Procedure 1. Click Write Solver File . The Write Solver File dialog box is displayed. 2. If required, set the path to your working directory. 3. Apply the following settings: Setting Value File name StaticMixerRef.def Quit CFX–Pre* (Selected) *. If using ANSYS CFX-Pre in Standalone Mode. 4. Ensure Start Solver Manager is selected and click Save. 5. If you are notified that the file already exists, click Overwrite. 6. If prompted, click Yes or Save & Quit to save StaticMixerRef.cfx. The definition file (StaticMixerRef.def) and the simulation file (StaticMixerRef.cfx) are created. ANSYS CFX-Solver Manager automatically starts and the definition file is set in the Definition File box of Define Run. 7. Proceed to Obtaining a Solution Using Interpolation with ANSYS CFX-Solver (p. 66). Playing the Session File and Starting ANSYS CFX-Solver Manager If you have performed all the tasks in the previous steps, proceed directly to Obtaining a Solution Using Interpolation with ANSYS CFX-Solver (p. 66). Two procedures are documented. Depending on your installation of ANSYS CFX follow either the standalone procedure or the ANSYS Workbench procedure. Procedure in 1. If required, launch ANSYS CFX-Pre. Standalone 2. Select Session > Play Tutorial. 3. Select StaticMixerRef.pre. 4. Click Open. A definition file is written. 5. Select File > Quit. 6. Launch ANSYS CFX-Solver Manager from CFX Launcher. 7. After ANSYS CFX-Solver starts, select File > Define Run. 8. Under Definition File, click Browse . 9. Select StaticMixerRef.def, located in the working directory. ANSYS CFX Tutorials. ANSYS CFX Release 11.0. © 1996-2006 ANSYS Europe, Ltd. All rights reserved. Page 65 Contains proprietary and confidential information of ANSYS, Inc. and its subsidiaries and affiliates.
  • 78.
    Tutorial 2: Flowin a Static Mixer (Refined Mesh): Obtaining a Solution Using Interpolation with ANSYS CFX-Solver 10. Proceed to Obtaining a Solution Using Interpolation with ANSYS CFX-Solver (p. 66). Procedure in 1. If required, launch ANSYS Workbench. ANSYS 2. Click Empty Project. Workbench 3. Select File > Save or click Save . 4. Under File name, type StaticMixerRef and click Save. 5. Click Start CFX-Pre. 6. Select Session > Play Tutorial. 7. Select StaticMixerRef.pre. 8. Click Open. A definition file is written. 9. Click the CFX-Solver tab. 10. Select File > Define Run. 11. Under Definition File, click Browse . 12. Select StaticMixerRef.def, located in the working directory. Obtaining a Solution Using Interpolation with ANSYS CFX-Solver Two windows are displayed when ANSYS CFX-Solver Manager runs. There is an adjustable split between the windows which is oriented either horizontally or vertically, depending on the aspect ratio of the entire ANSYS CFX-Solver Manager window (also adjustable). Workflow Overview This section provides a brief summary of the topics to follow as a general workflow: 1. Interpolating the Results and Starting the Run (p. 66) 2. Confirming Results (p. 67) 3. Moving from ANSYS CFX-Solver to ANSYS CFX-Post (p. 67) Interpolating the Results and Starting the Run In the ANSYS CFX-Solver Manager, Define Run is visible and Definition File has automatically been set to the definition file from ANSYS CFX-Pre: StaticMixerRef.def. You want to make use of the results from Tutorial 1, but the two meshes are not identical. The initial values file needs to have its data interpolated onto the new mesh associated with the definition file. The ANSYS CFX-Solver supports automatic interpolation that will be used in the following steps: Page 66 ANSYS CFX Tutorials. ANSYS CFX Release 11.0. © 1996-2006 ANSYS Europe, Ltd. All rights reserved. Contains proprietary and confidential information of ANSYS, Inc. and its subsidiaries and affiliates.
  • 79.
    Tutorial 2: Flowin a Static Mixer (Refined Mesh): Obtaining a Solution Using Interpolation with ANSYS CFX-Solver The values from StaticMixer_001.res will be interpolated onto the definition file’s mesh when the run is started. The results from StaticMixer_001.res will be used as the initial guess for this simulation (rather than Solver defaults) because you have set the initialization for all variables in ANSYS CFX-Pre to Automatic or Automatic with Value. Procedure 1. Under Initial Values File, click Browse . 2. Select the results file from Tutorial 1: StaticMixer_001.res If you did not complete the first tutorial, you can use StaticMixer_001.res from your working directory. 3. Click Open. 4. Select Interpolate Initial Values onto Def File Mesh. 5. Click Start Run. Note: The message Finished interpolation successfully appears relatively quickly. Convergence information is plotted once the second outer loop iteration is complete. Confirming Results When interpolation is successful, specific information appears in the text screen of ANSYS CFX-Solver. To confirm that the interpolation was successful, look in the text pane in ANSYS CFX-Solver Manager. The following text appears before the convergence history begins: +---------------------------------------------------------+ | Initial Conditions Supplied by Fields in the Input Files +---------------------------------------------------------+ This lists the variables that were interpolated from the results file. After the final iteration, a message similar to the following content appears: CFD Solver finished: Tue Oct 19 08:06:45 2004 CFD Solver wall clock seconds: 1.7100E+02 Execution terminating: all residual are below their target criteria This indicates that ANSYS CFX-Solver has successfully calculated the solution for the problem to the specified accuracy or has run out of coefficient loops. Procedure 1. When the run finishes and asks if you want to post-process the results, click No to keep ANSYS CFX-Solver open. Review the results on the Out File tab for details on the run results. Moving from ANSYS CFX-Solver to ANSYS CFX-Post Once ANSYS CFX-Solver has finished, you can use ANSYS CFX-Post to review the finished results. Procedure 1. Select Tools > Post–Process Results or click Post–Process Results in the toolbar. 2. If using ANSYS CFX-Solver in Standalone Mode, select Shut down Solver Manager. This forces Standalone ANSYS CFX-Solver to close when finished. This option is not required in Workbench. 3. Click OK. ANSYS CFX Tutorials. ANSYS CFX Release 11.0. © 1996-2006 ANSYS Europe, Ltd. All rights reserved. Page 67 Contains proprietary and confidential information of ANSYS, Inc. and its subsidiaries and affiliates.
  • 80.
    Tutorial 2: Flowin a Static Mixer (Refined Mesh): Viewing the Results in ANSYS CFX-Post After a short pause, ANSYS CFX-Post starts. Viewing the Results in ANSYS CFX-Post In the following sections, you will explore the differences between the mesh and the results from this tutorial and tutorial 1. Creating a Slice Plane More information exists for use by ANSYS CFX-Post in this tutorial than in Tutorial 1 because the slice plane is more detailed. Once a new slice plane is created it can be compared with Tutorial 1. There are three noticeable differences between the two slice planes. • Around the edges of the mixer geometry there are several layers of narrow rectangles. This is the region where the mesh contains prismatic elements (which are created as inflation layers). The bulk of the geometry contains tetrahedral elements. • There are more lines on the plane than there were in Tutorial 1. This is because the slice plane intersects with more mesh elements. • The curves of the mixer are smoother than in Tutorial 1 because the finer mesh better represents the true geometry. Procedure 1. Right-click a blank area in the viewer and select Predefined Camera > Isometric View (Z up). 2. From the main menu, select Insert > Location > Plane or under Location, click Plane. 3. In the Insert Plane dialog box, type Slice and click OK. The Geometry, Color, Render and View tabs let you switch between settings. 4. Apply the following settings Tab Setting Value Geometry Domains Default Domain Definition > Method XY Plane Definition > Z 1 [m] Render Draw Faces (Cleared) Draw Lines (Selected) 5. Click Apply. 6. Right-click a blank area in the viewer and select Predefined Camera > View Towards -Z. 7. Click Zoom Box . 8. Zoom in on the geometry to view it in greater detail. Page 68 ANSYS CFX Tutorials. ANSYS CFX Release 11.0. © 1996-2006 ANSYS Europe, Ltd. All rights reserved. Contains proprietary and confidential information of ANSYS, Inc. and its subsidiaries and affiliates.
  • 81.
    Tutorial 2: Flowin a Static Mixer (Refined Mesh): Viewing the Results in ANSYS CFX-Post Compare the on-screen image with the equivalent picture from tutorial 1 (in the section Rendering Slice Planes (p. 22)). Coloring the Slice Plane Here, you will color the plane by temperature. Procedure 1. Apply the following settings Tab Setting Value Color Mode * Variable Variable Temperature Range Global Render Draw Faces (Selected) Draw Lines (Cleared) *. A mode setting of Constant would allow you to color the plane with a fixed color. 2. Click Apply. Loading Results from Tutorial 1 for Comparison In ANSYS CFX-Post, you may load multiple results files into the same instance for comparison. Procedure 1. To load the results file from Tutorial 1, select File > Load Results or click Load Results . 2. Be careful not to click Open until instructed to do so. In the Load Results File dialog box, select StaticMixer_001.res in the <CFXROOT>examples directory or from your working directory if it has been copied. ANSYS CFX Tutorials. ANSYS CFX Release 11.0. © 1996-2006 ANSYS Europe, Ltd. All rights reserved. Page 69 Contains proprietary and confidential information of ANSYS, Inc. and its subsidiaries and affiliates.
  • 82.
    Tutorial 2: Flowin a Static Mixer (Refined Mesh): Viewing the Results in ANSYS CFX-Post 3. On the right side of the dialog box, there are two frames. Under Results file option, select Add to current results. 4. Select the Offset in Y direction check box. 5. Under Additional actions, ensure that the Clear user state before loading check box is cleared. 6. Click Open to load the results. In the tree view, there is now a second group of domains, meshes and boundary conditions with the heading StaticMixer_001. 7. Double-click the Wireframe object under User Locations and Plots. 8. In the Definition tab, set Edge Angle to 5 [degree]. 9. Click Apply. 10. Right-click a blank area in the viewer and select Predefined Camera > Isometric View (Z up). Both meshes are now displayed in a line along the Y axis. Notice that one mesh is of a higher resolution than the other. 11. Set Edge Angle to 30 [degree]. 12. Click Apply. Creating a Second Slice Plane Procedure 1. In the tree view, right-click the plane named Slice and select Duplicate. 2. Click OK to accept the default name Slice 1. 3. In the tree view, double-click the plane named Slice 1. 4. On the Geometry tab, set Domains to Default Domain 1. 5. On the Color tab, ensure that Range is set to Global. 6. Click Apply. 7. Double-click Slice and make sure that Range is set to Global. Comparing Slice Planes using Multiple Views Procedure 1. Select the option with the two vertical rectangles. Notice that the Viewer now has two separate views. The visibility status of each object is maintained separately for each view or figure that can be displayed in a given viewport. This allows some planes to be shown while others are hidden. Page 70 ANSYS CFX Tutorials. ANSYS CFX Release 11.0. © 1996-2006 ANSYS Europe, Ltd. All rights reserved. Contains proprietary and confidential information of ANSYS, Inc. and its subsidiaries and affiliates.
  • 83.
    Tutorial 2: Flowin a Static Mixer (Refined Mesh): Viewing the Results in ANSYS CFX-Post 2. Click in the viewport that is set to show View 1, then clear the visibility check box for Slice in the Outline tree view and ensure that the visibility check box for Slice 1 is selected. 3. Click in the viewport that is set to show View 2, then select the visibility check box for Slice and ensure that the visibility check box for Slice 1 is cleared. 4. In the tree view, double-click StaticMixer_001 and clear Apply Translation. 5. Click Apply. 6. In the viewer toolbar, click Synchronise Active Views . Notice that both views move in the same way and are zoomed in at the same level. 7. Right-click in the viewer and select Predefined Camera > View Towards -Z. Note the difference in temperature distribution. 8. To return to a single viewport, select the option with a single rectangle. 9. Right-click Slice 1 in the tree view and select Delete. 10. Ensure that the visibility check box for Slice is cleared. 11. Right-click StaticMixer_001 in the tree view and select Unload. Viewing the Surface Mesh on the Outlet In this part of the tutorial, you will view the mesh on the outlet. You will see five layers of inflated elements against the wall. You will also see the triangular faces of the tetrahedral elements closer to the center of the outlet. Procedure 1. Right-click a blank area in the viewer and select Predefined Camera > Isometric View (Z up). 2. In the tree view, ensure that the visibility check box for StaticMixerRef_001 > Default Domain > out is selected, then double-click out to open it for editing. Since the boundary location geometry was defined in ANSYS CFX-Pre, the details view does not display a Geometry tab as it did for the planes. 3. Apply the following settings Tab Setting Value Render Draw Faces (Cleared) Draw Lines (Selected) Color Mode User Specified Line Color (Select any light color) 4. Click Apply. ANSYS CFX Tutorials. ANSYS CFX Release 11.0. © 1996-2006 ANSYS Europe, Ltd. All rights reserved. Page 71 Contains proprietary and confidential information of ANSYS, Inc. and its subsidiaries and affiliates.
  • 84.
    Tutorial 2: Flowin a Static Mixer (Refined Mesh): Viewing the Results in ANSYS CFX-Post 5. Click Zoom Box . 6. Zoom in on the geometry to view out in greater detail. 7. Click Rotate on the Viewing Tools toolbar. 8. Rotate the image as required to clearly see the mesh. Looking at the Inflated Elements in Three Dimensions To show more clearly what effect inflation has on the shape of the elements, you will use volume objects to show two individual elements. The first element that will be shown is a normal tetrahedral element; the second is a prismatic element from an inflation layer of the mesh. Leave the surface mesh on the outlet visible to help see how surface and volume meshes are related. Procedure 1. From the main menu, select Insert > Location > Volume or, under Location click Volume. 2. In the Insert Volume dialog box, type Tet Volume and click OK. 3. Apply the following settings Tab Setting Value Geometry Definition > Method Sphere Definition > Point * 0.08, 0, -2 Definition > Radius 0.14 [m] Definition > Mode Below Intersection Inclusive† (Cleared) Color Color Red Render Draw Faces > Transparency 0.3 Draw Lines (Selected) Draw Lines > Line Width 1 Draw Lines > Color Mode User Specified Draw Lines > Line Color Grey *. The z slider’s minimum value corresponds to the minimum z value of the entire geometry, which, in this case, occurs at the outlet. †. Only elements that are entirely contained within the sphere volume will be included. 4. Click Apply to create the volume object. 5. Right-click Tet Volume and choose Duplicate. 6. In the Duplicate Tet Volume dialog box, type Prism Volume and click OK. 7. Double-click Prism Volume. 8. Apply the following settings Page 72 ANSYS CFX Tutorials. ANSYS CFX Release 11.0. © 1996-2006 ANSYS Europe, Ltd. All rights reserved. Contains proprietary and confidential information of ANSYS, Inc. and its subsidiaries and affiliates.
  • 85.
    Tutorial 2: Flowin a Static Mixer (Refined Mesh): Viewing the Results in ANSYS CFX-Post Tab Setting Value Geometry Definition > Point -0.22, 0.4, -1.85 Definition > Radius 0.206 [m] Color Color Orange 9. Click Apply. Viewing the Surface Mesh on the Mixer Body Procedure 1. Double-click the Default Domain Default object. 2. Apply the following settings Tab Setting Value Render Draw Faces (Selected) Draw Lines (Selected) Line Width 2 3. Click Apply. Viewing the Layers of Inflated Elements on a Plane You will see the layers of inflated elements on the wall of the main body of the mixer. Within the body of the mixer, there will be many lines that are drawn wherever the face of a mesh element intersects the slice plane. Procedure 1. From the main menu, select Insert > Location > Plane or under Location, click Plane. 2. In the Insert Plane dialog box, type Slice 2 and click OK. 3. Apply the following settings Tab Setting Value Geometry Definition > Method YZ Plane Definition > X 0 [m] Render Draw Faces (Cleared) Draw Lines (Selected) 4. Click Apply. 5. Turn off the visibility of all objects except Slice 2. 6. To see the plane clearly, right-click in the viewer and select Predefined Camera > View Towards -X. Viewing the Mesh Statistics You can use the Report Viewer to check the quality of your mesh. For example, you can load a .def file into ANSYS CFX-Post and check the mesh quality before running the .def file in the solver. ANSYS CFX Tutorials. ANSYS CFX Release 11.0. © 1996-2006 ANSYS Europe, Ltd. All rights reserved. Page 73 Contains proprietary and confidential information of ANSYS, Inc. and its subsidiaries and affiliates.
  • 86.
    Tutorial 2: Flowin a Static Mixer (Refined Mesh): Viewing the Results in ANSYS CFX-Post Procedure 1. Click the Report Viewer tab (located below the viewer window). A report appears. Look at the table shown in the “Mesh Report” section. 2. Double-click Report > Mesh Report in the Outline tree view. 3. In the Mesh Report details view, select Statistics > Maximum Face Angle. 4. Click Refresh Preview. Note that a new table, showing the maximum face angle for all elements in the mesh, has been added to the “Mesh Report” section of the report. The maximum face angle is reported as 148.95°. As a result of generating this mesh statistic for the report, a new variable, Maximum Face Angle, has been created and stored at every node. This variable will be used in the next section. Viewing the Mesh Elements with Largest Face Angle In this section, you will visualize the mesh elements that have a Maximum Face Angle value greater than 140°. Procedure 1. Click the 3D Viewer tab (located below the viewer window). 2. Right-click a blank area in the viewer and select Predefined Camera > Isometric View (Z up). 3. In the Outline tree view, select the visibility check box of Wireframe. 4. From the main menu, select Insert > Location > Volume or under Location, click Volume. 5. In the Insert Volume dialog box, type Max Face Angle Volume and click OK. 6. Apply the following settings Tab Setting Value Geometry Definition > Method Isovolume Definition > Variable Maximum Face Angle* Definition > Mode Above Value Definition > Value 140 [degree] Inclusive† (Selected) *. Select Maximum Face Angle from the larger list of variables available by clicking to the right of the Variable box. †. This includes any elements that have at least one node with a variable value greater than or equal to the given value. 7. Click Apply. The volume object appears in the viewer. Page 74 ANSYS CFX Tutorials. ANSYS CFX Release 11.0. © 1996-2006 ANSYS Europe, Ltd. All rights reserved. Contains proprietary and confidential information of ANSYS, Inc. and its subsidiaries and affiliates.
  • 87.
    Tutorial 2: Flowin a Static Mixer (Refined Mesh): Viewing the Results in ANSYS CFX-Post Viewing the Mesh Elements with Largest Face Angle Using a Point Next, you will create a point object to show a node that has the maximum value of Maximum Face Angle. The point object will be represented by a 3D yellow crosshair symbol. In order to avoid obscuring the point object with the volume object, you may want to turn off the visibility of the latter. Procedure 1. From the main menu, select Insert > Location > Point or under Location, click Point. 2. Click OK to use the default name. 3. Apply the following settings Tab Setting Value Geometry Definition > Method Variable Maximum Definition > Location Default Domain Definition > Variable Maximum Face Angle Symbol Symbol Size 2 4. Click Apply. Quitting ANSYS CFX-Post Two procedures are documented. Depending on your installation of ANSYS CFX, follow either the standalone procedure or the ANSYS Workbench procedure. Procedure in 1. When you are finished, select File > Quit to exit ANSYS CFX-Post. Standalone 2. Click Quit if prompted to save. Procedure in 1. When you are finished, select File > Close to close the current file. Workbench 2. Click Close if prompted to save. 3. Return to the Project page. Select File > Close Project. 4. Select No, then close Workbench. ANSYS CFX Tutorials. ANSYS CFX Release 11.0. © 1996-2006 ANSYS Europe, Ltd. All rights reserved. Page 75 Contains proprietary and confidential information of ANSYS, Inc. and its subsidiaries and affiliates.
  • 88.
    Tutorial 2: Flowin a Static Mixer (Refined Mesh): Viewing the Results in ANSYS CFX-Post Page 76 ANSYS CFX Tutorials. ANSYS CFX Release 11.0. © 1996-2006 ANSYS Europe, Ltd. All rights reserved. Contains proprietary and confidential information of ANSYS, Inc. and its subsidiaries and affiliates.
  • 89.
    Tutorial 3: Flow ina Process Injection Mixing Pipe Introduction This tutorial includes: • Tutorial 3 Features (p. 78) • Overview of the Problem to Solve (p. 78) • Defining a Simulation using General Mode in ANSYS CFX-Pre (p. 79) • Obtaining a Solution Using ANSYS CFX-Solver Manager (p. 87) • Viewing the Results in ANSYS CFX-Post (p. 88) If this is the first tutorial you are working with, it is important to review the following topics before beginning: • Setting the Working Directory (p. 1) • Changing the Display Colors (p. 2) Unless you plan on running a session file, you should copy the sample files used in this tutorial from the installation folder for your software (<CFXROOT>/examples/) to your working directory. This prevents you from overwriting source files provided with your installation. If you plan to use a session file, please refer to Playing a Session File (p. 79). Sample files referenced by this tutorial include: • InjectMixer.pre • InjectMixer_velocity_profile.csv • InjectMixerMesh.gtm ANSYS CFX Tutorials Page 77 ANSYS CFX Release 11.0. © 1996-2006 ANSYS Europe, Ltd. All rights reserved. Contains proprietary and confidential information of ANSYS, Inc. and its subsidiaries and affiliates.
  • 90.
    Tutorial 3: Flowin a Process Injection Mixing Pipe: Tutorial 3 Features Tutorial 3 Features This tutorial addresses the following features of ANSYS CFX. Component Feature Details ANSYS CFX-Pre User Mode General Mode Simulation Type Steady State Fluid Type General Fluid Domain Type Single Domain Turbulence Model k-Epsilon Heat Transfer Thermal Energy Boundary Conditions Boundary Profile visualization Inlet (Profile) Inlet (Subsonic) Outlet (Subsonic) Wall: No-Slip Wall: Adiabatic CEL (CFX Expression Language) Timestep Physical Time Scale ANSYS CFX-Post Plots default Locators Outline Plot (Wireframe) Slice Plane Streamline Other Changing the Color Range Expression Details View Legend Viewing the Mesh In this tutorial you will learn about: • Applying a profile boundary condition using data stored in a file. • Visualizing the velocity on a boundary in ANSYS CFX-Pre. • Using the CFX Expression Language (CEL) to describe temperature dependent fluid properties in ANSYS CFX-Pre. • Using the k-epsilon turbulence model. • Using streamlines in ANSYS CFX-Post to track flow through the domain. Overview of the Problem to Solve In this tutorial, you establish a general workflow for analyzing the flow of fluid into and out of an injection pipe. This tutorial is important because it uses a specific problem to teach the general approach taken when working with an existing mesh. Page 78 ANSYS CFX Tutorials. ANSYS CFX Release 11.0. © 1996-2006 ANSYS Europe, Ltd. All rights reserved. Contains proprietary and confidential information of ANSYS, Inc. and its subsidiaries and affiliates.
  • 91.
    Tutorial 3: Flowin a Process Injection Mixing Pipe: Defining a Simulation using General Mode in ANSYS CFX-Pre The injection mixing pipe, common in the process industry, is composed of two pipes: one with a larger diameter than the other. Analyzing and optimizing the mixing process is often critical for many chemical processes. CFD is useful not only in identifying problem areas (where mixing is poor), but also in testing new designs before they are implemented. The geometry for this example consists of a circular pipe of diameter 1.0 m with a 90° bend, and a smaller pipe of diameter 0.3 m which joins with the main pipe at an oblique angle. Figure 1 Injection Mixing Pipe 0.5 m/s φ=1.0 m 285.0 K φ=0.3 m 5.0 m/s 315.0 K Defining a Simulation using General Mode in ANSYS CFX-Pre After having completed meshing, ANSYS CFX-Pre is used as a consistent and intuitive interface for the definition of complex CFD problems. Playing a Session File If you wish to skip past these instructions, and have ANSYS CFX-Pre set up the simulation automatically, you can select Session > Play Tutorial from the menu in ANSYS CFX-Pre, then run the appropriate session file. For details, see Playing the Session File and Starting ANSYS CFX-Solver Manager (p. 87). After you have played the session file, proceed to Obtaining a Solution Using ANSYS CFX-Solver Manager (p. 87). Workflow Overview This section provides a brief summary of the topics to follow as a general workflow: 1. Creating a New Simulation (p. 80) 2. Importing a Mesh (p. 80) 3. Setting Temperature-Dependent Material Properties (p. 81) 4. Plotting an Expression (p. 82) ANSYS CFX Tutorials. ANSYS CFX Release 11.0. © 1996-2006 ANSYS Europe, Ltd. All rights reserved. Page 79 Contains proprietary and confidential information of ANSYS, Inc. and its subsidiaries and affiliates.
  • 92.
    Tutorial 3: Flowin a Process Injection Mixing Pipe: Defining a Simulation using General Mode in ANSYS CFX-Pre 5. Evaluating an Expression (p. 82) 6. Modify Material Properties (p. 82) 7. Creating the Domain (p. 82) 8. Creating the Side Inlet Boundary Conditions (p. 83) 9. Creating the Main Inlet Boundary Conditions (p. 84) 10. Creating the Main Outlet Boundary Condition (p. 85) 11. Setting Initial Values (p. 85) 12. Setting Solver Control (p. 85) 13. Writing the Solver (.def) File (p. 86) Creating a New Simulation Before importing and working with a mesh, a simulation needs to be started using General Mode. Note: Two procedures are documented. Depending on your installation of ANSYS CFX follow either the Standalone procedure or the Workbench procedure. Procedure in 1. If required, launch ANSYS CFX-Pre. Standalone 2. Select File > New Simulation. 3. Ensure General is selected and click OK. 4. Select File > Save Simulation As. 5. Under File name, type InjectMixer. 6. Click Save. 7. Proceed to Importing a Mesh (p. 80). Procedure in 1. If required, launch ANSYS Workbench. Workbench 2. Click Empty Project. The Project page will appear displaying an unsaved project. 3. Select File > Save or click Save . 4. If required, set the path location to your working folder. 5. Under File name, type InjectMixer. 6. Click Save. 7. Click Start CFX-Pre under Advanced CFD on the left hand task bar. 8. Select File > New Simulation. 9. Click General in the New Simulation File window and then click OK. 10. Select File > Save Simulation As. 11. Under File name, type InjectMixer. 12. Click Save. Importing a Mesh An assembly is a group of mesh regions that are topologically connected. Each assembly can contain only one mesh, but multiple assemblies are permitted. Page 80 ANSYS CFX Tutorials. ANSYS CFX Release 11.0. © 1996-2006 ANSYS Europe, Ltd. All rights reserved. Contains proprietary and confidential information of ANSYS, Inc. and its subsidiaries and affiliates.
  • 93.
    Tutorial 3: Flowin a Process Injection Mixing Pipe: Defining a Simulation using General Mode in ANSYS CFX-Pre Procedure 1. Select File > Import Mesh. 2. From your tutorial directory, select InjectMixerMesh.gtm. 3. Click Open. 4. Right-click a blank area in the viewer and select Predefined Camera > Isometric View (Y up) from the shortcut menu. Setting Temperature-Dependent Material Properties You will create an expression for viscosity as a function of temperature and then use this expression to modify the properties of the library material: Water. Viscosity will be made to vary linearly with temperature between the following conditions: • µ =1.8E-03 N s m-2 at T=275.0 K • µ =5.45E-04 N s m-2 at T=325.0 K The variable T (Temperature) is a ANSYS CFX System Variable recognized by ANSYS CFX-Pre, denoting static temperature. All variables, expressions, locators, functions, and constants can be viewed by double-clicking the appropriate entry (such as Additional Variables or Expressions) in the tree view. All expressions must have consistent units. You should be careful if using temperature in an expression with units other than [K]. The Expressions tab lets you define, modify, evaluate, plot, copy, delete and browse through expressions used within ANSYS CFX-Pre. Procedure 1. From the main menu, select Insert > Expressions, Functions and Variables > Expression. 2. In the New Expression dialog box, type Tupper. 3. Click OK. The details view for the Tupper equation is displayed. 4. Under Definition, type 325 [K]. 5. Click Apply to create the expression. The expression is added to the list of existing expressions. 6. Right-click in the Expressions workspace and select New. 7. In the New Expression dialog box, type Tlower. 8. Click OK. 9. Under Definition, type 275 [K]. 10. Click Apply to create the expression. The expression is added to the list of existing expressions. 11. Create expressions for Visupper, Vislower and VisT using the following values. Name Definition Visupper 5.45E-04 [N s m^-2] Vislower 1.8E-03 [N s m^-2] VisT Vislower+(Visupper-Vislower)*(T-Tlower)/(Tupper-Tlower) ANSYS CFX Tutorials. ANSYS CFX Release 11.0. © 1996-2006 ANSYS Europe, Ltd. All rights reserved. Page 81 Contains proprietary and confidential information of ANSYS, Inc. and its subsidiaries and affiliates.
  • 94.
    Tutorial 3: Flowin a Process Injection Mixing Pipe: Defining a Simulation using General Mode in ANSYS CFX-Pre Plotting an Expression Procedure 1. Right-click VisT in the Expressions tree view, and then select Edit. The Expressions details view for VisT appears. Tip: Alternatively, double-clicking the expression also opens the Expressions details view. 2. Click the Plot tab and apply the following settings Tab Setting Value Plot Number of Points 10 T (Selected) Start of Range 275 [K] End of Range 325 [K] 3. Click Plot Expression. A plot showing the variation of the expression VisT with the variable T is displayed. Evaluating an Expression Procedure 1. Click the Evaluate tab. 2. In T, type 300 [K]. This is between the start and end range defined in the last module. 3. Click Evaluate Expression. The value of VisT for the given value of T appears in the Value field. Modify Material Properties Default material properties (such as those of Water) can be modified when required. Procedure 1. Click the Outline tab. 2. Double click Water under Materials to display the Basic Settings tab. 3. Click the Material Properties tab. 4. Expand Transport Properties. 5. Select Dynamic Viscosity. 6. Under Dynamic Viscosity, click in Dynamic Viscosity. 7. Click Enter Expression . 8. Enter the expression VisT into the data box. 9. Click OK. Creating the Domain The domain will be set to use the thermal energy heat transfer model, and the k-ε (k-epsilon) turbulence model. Page 82 ANSYS CFX Tutorials. ANSYS CFX Release 11.0. © 1996-2006 ANSYS Europe, Ltd. All rights reserved. Contains proprietary and confidential information of ANSYS, Inc. and its subsidiaries and affiliates.
  • 95.
    Tutorial 3: Flowin a Process Injection Mixing Pipe: Defining a Simulation using General Mode in ANSYS CFX-Pre Both General Options and Fluid Models are changed in this module. The Initialization tab is for setting domain-specific initial conditions, which are not used in this tutorial. Instead, global initialization is used to set the starting conditions. Procedure 1. Select Insert > Domain from the main menu or click Domain . 2. In the Insert Domain dialog box, type InjectMixer. 3. Click OK. 4. Apply the following settings Tab Setting Value General Options Basic Settings > Location B1.P3 Basic Settings > Fluids List Water Domain Models > Pressure > 0 [atm] Reference Pressure 5. Click Fluid Models. 6. Apply the following settings Setting Value Heat Transfer > Option Thermal Energy 7. Click OK. Creating the Side Inlet Boundary Conditions The side inlet boundary condition needs to be defined. Procedure 1. Select Insert > Boundary Condition from the main menu or click Boundary Condition . 2. Set Name to side inlet. 3. Click OK. 4. Apply the following settings Tab Setting Value Basic Settings Boundary Type Inlet Location side inlet Boundary Details Mass and Momentum > Option Normal Speed Normal Speed 5 [m s^-1] Heat Transfer > Option Static Temperature Static Temperature 315 [K] 5. Click OK. ANSYS CFX Tutorials. ANSYS CFX Release 11.0. © 1996-2006 ANSYS Europe, Ltd. All rights reserved. Page 83 Contains proprietary and confidential information of ANSYS, Inc. and its subsidiaries and affiliates.
  • 96.
    Tutorial 3: Flowin a Process Injection Mixing Pipe: Defining a Simulation using General Mode in ANSYS CFX-Pre Creating the Main Inlet Boundary Conditions The main inlet boundary condition needs to be defined. This inlet is defined using a velocity profile found in the example directory. Profile data needs to be initialized before the boundary condition can be created. You will create a plot showing the velocity profile data, marked by higher velocities near the center of the inlet, and lower velocities near the inlet walls. Procedure 1. Select Tools > Initialize Profile Data. 2. Under Data File, click Browse . 3. From your working directory, select InjectMixer_velocity_profile.csv. 4. Click Open. 5. Click OK. The profile data is read into memory. 6. Select Insert > Boundary Condition from the main menu or click Boundary Condition . 7. Set name Name to main inlet. 8. Click OK. 9. Apply the following settings Tab Setting Value Basic Settings Boundary Type Inlet Location main inlet Profile Boundary Conditions (Selected) > Use Profile Data Profile Boundary Setup > main inlet Profile Name 10. Click Generate Values. This causes the profile values of U, V, W to be applied at the nodes on the main inlet boundary, and U, V, W entries to be made in Boundary Details. To later modify the velocity values at the main inlet and reset values to those read from the BC Profile file, revisit Basic Settings for this boundary condition and click Generate Values. 11. Apply the following settings Tab Setting Value Boundary Details Flow Regime > Option Subsonic Turbulence > Option Medium (Intensity = 5%) Heat Transfer > Option Static Temperature Static Temperature 285 [K] Plot Options Boundary Contour (Selected) Profile Variable W 12. Click OK. Page 84 ANSYS CFX Tutorials. ANSYS CFX Release 11.0. © 1996-2006 ANSYS Europe, Ltd. All rights reserved. Contains proprietary and confidential information of ANSYS, Inc. and its subsidiaries and affiliates.
  • 97.
    Tutorial 3: Flowin a Process Injection Mixing Pipe: Defining a Simulation using General Mode in ANSYS CFX-Pre 13. Zoom into the main inlet to view the inlet velocity contour. Creating the Main Outlet Boundary Condition In this module you create the outlet boundary condition. All other surfaces which have not been explicitly assigned a boundary condition will remain in the InjectMixer Default object, which is shown in the tree view. This boundary condition uses a No-Slip Adiabatic Wall by default. Procedure 1. Select Insert > Boundary Condition from the main menu or click Boundary Condition . 2. Set Name to outlet. 3. Click OK. 4. Apply the following settings Tab Setting Value Basic Settings Boundary Type Outlet Location outlet Boundary Details Flow Regime > Option Subsonic Mass and Momentum > Option Average Static Pressure Relative Pressure 0 [Pa] 5. Click OK. Setting Initial Values Procedure 1. Click Global Initialization . 2. Select Turbulence Eddy Dissipation. 3. Click OK. Setting Solver Control Procedure 1. Click Solver Control . 2. Apply the following settings ANSYS CFX Tutorials. ANSYS CFX Release 11.0. © 1996-2006 ANSYS Europe, Ltd. All rights reserved. Page 85 Contains proprietary and confidential information of ANSYS, Inc. and its subsidiaries and affiliates.
  • 98.
    Tutorial 3: Flowin a Process Injection Mixing Pipe: Defining a Simulation using General Mode in ANSYS CFX-Pre Tab Setting Value Basic Settings Advection Scheme > Option Specified Blend Factor Advection Scheme > Blend 0.75 Factor Convergence Control > Max. 50 Iterations Convergence Control > Physical Timescale Fluid Timescale Control > Timescale Control Convergence Control > 2 [s] Fluid Timescale Control > Physical Timescale Convergence Criteria > RMS Residual Type Convergence Criteria > 1.E-4* Residual Target *. An RMS value of at least 1.E-5 is usually required for adequate convergence, but the default value is sufficient for demonstration purposes. 3. Click OK. Writing the Solver (.def) File Once the problem has been defined you move from General Mode into ANSYS CFX-Solver. Procedure 1. Click Write Solver File . The Write Solver File dialog box appears. 2. Apply the following settings: Setting Value File name InjectMixer.def Quit CFX–Pre* (Selected) *. If using ANSYS CFX-Pre in Standalone Mode. 3. Ensure Start Solver Manager is selected and click Save. 4. If you are notified the file already exists, click Overwrite. This file is provided in the tutorial directory and may exist in your working folder if you have copied it there. 5. If prompted, click Yes or Save & Quit to save InjectMixer.cfx. The definition file (InjectMixer.def), mesh file (InjectMixer.gtm) and the simulation file (InjectMixer.cfx) are created. ANSYS CFX-Solver Manager automatically starts and the definition file is set in the Definition File box of Define Run. 6. Proceed to Obtaining a Solution Using ANSYS CFX-Solver Manager (p. 87). Page 86 ANSYS CFX Tutorials. ANSYS CFX Release 11.0. © 1996-2006 ANSYS Europe, Ltd. All rights reserved. Contains proprietary and confidential information of ANSYS, Inc. and its subsidiaries and affiliates.
  • 99.
    Tutorial 3: Flowin a Process Injection Mixing Pipe: Obtaining a Solution Using ANSYS CFX-Solver Manager Playing the Session File and Starting ANSYS CFX-Solver Manager If you have performed all the tasks in the previous steps, proceed directly to Obtaining a Solution Using ANSYS CFX-Solver Manager (p. 87). Two procedures are documented. Depending on your installation of ANSYS CFX, follow either the standalone procedure or the ANSYS Workbench procedure. Procedure in 1. If required, launch ANSYS CFX-Pre. Standalone 2. Select Session > Play Tutorial. 3. Select InjectMixer.pre. 4. Click Open. A definition file is written. 5. Select File > Quit. 6. Launch ANSYS CFX-Solver Manager from CFX Launcher. 7. After ANSYS CFX-Solver starts, select File > Define Run. 8. Under Definition File, click Browse . 9. Select InjectMixer.def, located in the working directory. 10. Proceed to Obtaining a Solution Using ANSYS CFX-Solver Manager (p. 87). Procedure in 1. If required, launch ANSYS Workbench. ANSYS 2. Click Empty Project. Workbench 3. Select File > Save or click Save . 4. Under Filename, type InjectMixer. 5. Click Save. 6. Click Start CFX-Pre. 7. Select Session > Play Tutorial. 8. Select InjectMixer.pre. 9. Click Open. A definition file is written. 10. Click the CFX-Solver tab. 11. Select File > Define Run. 12. Under Definition File, click Browse . 13. Select InjectMixer.def, located in the working directory. Obtaining a Solution Using ANSYS CFX-Solver Manager At this point, ANSYS CFX-Solver Manager is running, and the Define Run dialog box is displayed, with the definition file set. 1. Click Start Run. 2. Click No to close the message box that appears when the run ends. ANSYS CFX Tutorials. ANSYS CFX Release 11.0. © 1996-2006 ANSYS Europe, Ltd. All rights reserved. Page 87 Contains proprietary and confidential information of ANSYS, Inc. and its subsidiaries and affiliates.
  • 100.
    Tutorial 3: Flowin a Process Injection Mixing Pipe: Viewing the Results in ANSYS CFX-Post Moving from ANSYS CFX-Solver Manager to ANSYS CFX-Post 1. Select Tools > Post–Process Results or click Post–Process Results . 2. If using ANSYS CFX-Solver Manager in standalone mode, optionally select Shut down Solver Manager. 3. Click OK. Viewing the Results in ANSYS CFX-Post When ANSYS CFX-Post starts, the viewer and Outline workspace display by default. Workflow Overview This section provides a brief summary of the topics to follow as a general workflow: 1. Modifying the Outline of the Geometry (p. 88) 2. Creating and Modifying Streamlines (p. 88) 3. Modifying Streamline Color Ranges (p. 89) 4. Coloring Streamlines with a Constant Color (p. 89) 5. Duplicating and Modifying a Streamline Object (p. 90) 6. Examining Turbulent Kinetic Energy (p. 90) Modifying the Outline of the Geometry Throughout this and the following examples, use your mouse and the Viewing Tools toolbar to manipulate the geometry as required at any time. Procedure 1. In the tree view, double click Wireframe. 2. Set the Edge Angle to 15 [degree]. 3. Click Apply. Creating and Modifying Streamlines When you complete this module you will see streamlines (mainly blue and green) starting at the main inlet of the geometry and proceeding to the outlet. Above where the side pipe meets the main pipe, there is an area where the flow re-circulates rather than flowing roughly tangent to the direction of the pipe walls. Procedure 1. Select Insert > Streamline from the main menu or click Streamline . 2. Under Name, type MainStream. 3. Click OK. 4. Apply the following settings Page 88 ANSYS CFX Tutorials. ANSYS CFX Release 11.0. © 1996-2006 ANSYS Europe, Ltd. All rights reserved. Contains proprietary and confidential information of ANSYS, Inc. and its subsidiaries and affiliates.
  • 101.
    Tutorial 3: Flowin a Process Injection Mixing Pipe: Viewing the Results in ANSYS CFX-Post Tab Setting Value Geometry Type 3D Streamline Definition > Start From main inlet 5. Click Apply. 6. Right-click a blank area in the viewer, select Predefined Camera from the shortcut menu, then select Isometric View (Y up). The pipe is displayed with the main inlet in the bottom right of the viewer. Modifying Streamline Color Ranges You can change the appearance of the streamlines using the Range setting on the Color tab. Procedure 1. Under User Locations and Plots, modify the streamline object MainStream by applying the following settings Tab Setting Value Color Range Local 2. Click Apply. The color map is fitted to the range of velocities found along the streamlines. The streamlines therefore collectively contain every color in the color map. 3. Apply the following settings Tab Setting Value Color Range User Specified Min 0.2 [m s^-1] Max 2.2 [m s^-1] Note: Portions of streamlines that have values outside the range shown in the legend are colored according to the color at the nearest end of the legend. When using tubes or symbols (which contain faces), more accurate colors are obtained with lighting turned off. 4. Click Apply. The streamlines are colored using the specified range of velocity values. Coloring Streamlines with a Constant Color 1. Apply the following settings Tab Setting Value Color Mode Constant Color (Green) ANSYS CFX Tutorials. ANSYS CFX Release 11.0. © 1996-2006 ANSYS Europe, Ltd. All rights reserved. Page 89 Contains proprietary and confidential information of ANSYS, Inc. and its subsidiaries and affiliates.
  • 102.
    Tutorial 3: Flowin a Process Injection Mixing Pipe: Viewing the Results in ANSYS CFX-Post Color can be set to green by selecting it from the color pallet, or by repeatedly clicking on the color box until it cycles through to the default green color. 2. Click Apply. Duplicating and Modifying a Streamline Object Any object can be duplicated to create a copy for modification without altering the original. Procedure 1. Right-click MainStream and select Duplicate from the shortcut menu. 2. In the Name window, type SideStream. 3. Click OK. 4. Double click on the newly created streamline, SideStream. 5. Apply the following settings Tab Setting Value Geometry Definition > Start From side inlet Color Mode Constant Color (Red) 6. Click Apply. Red streamlines appear, starting from the side inlet. 7. For better view, select Isometric View (Y up). Examining Turbulent Kinetic Energy A common way of viewing various quantities within the domain is to use a slice plane, as demonstrated in this module. Note: This module has multiple changes compiled into single steps in preparation for other tutorials that provide fewer specific instructions. Procedure 1. Clear visibility for both the MainStream and the SideStream objects. 2. Create a plane named Plane 1 that is normal to X and passing through the X = 0 Point. To do so, specific instructions follow. a. From the main menu, select Insert > Location > Plane and click OK. b. In the Details view set Definition > Method to YZ Plane and X to 0 [m]. c. Click Apply. 3. Color the plane using the variable Turbulence Kinetic Energy, to show regions of high turbulence. To do so, apply the settings below. Tab Setting Value Color Mode Variable Variable Turbulence Kinetic Energy 4. Click Apply. Page 90 ANSYS CFX Tutorials. ANSYS CFX Release 11.0. © 1996-2006 ANSYS Europe, Ltd. All rights reserved. Contains proprietary and confidential information of ANSYS, Inc. and its subsidiaries and affiliates.
  • 103.
    Tutorial 3: Flowin a Process Injection Mixing Pipe: Viewing the Results in ANSYS CFX-Post 5. Experiment with other variables to color this plane (for example, Temperature to show the temperature mixing of the two streams). Commonly used variables are in the drop-down menu. A full list of available variables can be viewed by clicking next to the Variable data box. Exiting ANSYS CFX-Post When finished with ANSYS CFX-Post exit the current window. Two procedures are documented. Depending on your installation of ANSYS CFX, follow either the Standalone procedure or the Workbench procedure. Procedure in 1. When you are finished, select File > Quit to exit ANSYS CFX-Post. Standalone 2. Click Quit if prompted to save. Procedure in 1. When you are finished, select File > Close to close the current file. Workbench 2. Click Close if prompted to save. 3. Return to the Project page. Select File > Close Project. 4. Select No, then close Workbench. ANSYS CFX Tutorials. ANSYS CFX Release 11.0. © 1996-2006 ANSYS Europe, Ltd. All rights reserved. Page 91 Contains proprietary and confidential information of ANSYS, Inc. and its subsidiaries and affiliates.
  • 104.
    Tutorial 3: Flowin a Process Injection Mixing Pipe: Viewing the Results in ANSYS CFX-Post Page 92 ANSYS CFX Tutorials. ANSYS CFX Release 11.0. © 1996-2006 ANSYS Europe, Ltd. All rights reserved. Contains proprietary and confidential information of ANSYS, Inc. and its subsidiaries and affiliates.
  • 105.
    Tutorial 4: Flow froma Circular Vent Introduction This tutorial includes: • Tutorial 4 Features (p. 94) • Overview of the Problem to Solve (p. 95) • Defining a Steady-State Simulation in ANSYS CFX-Pre (p. 95) • Obtaining a Solution to the Steady-State Problem (p. 99) • Defining a Transient Simulation in ANSYS CFX-Pre (p. 100) • Obtaining a Solution to the Transient Problem (p. 104) • Viewing the Results in ANSYS CFX-Post (p. 105) If this is the first tutorial you are working with, it is important to review the following topics before beginning: • Setting the Working Directory (p. 1) • Changing the Display Colors (p. 2) Unless you plan on running a session file, you should copy the sample files used in this tutorial from the installation folder for your software (<CFXROOT>/examples/) to your working directory. This prevents you from overwriting source files provided with your installation. If you plan to use a session file, please refer to Playing a Session File (p. 95). Sample files referenced by this tutorial include: • CircVent.pre • CircVentIni.pre • CircVentIni_001.res • CircVentMesh.gtm • CircVentIni.cfx • CircVentIni.gtm ANSYS CFX Tutorials Page 93 ANSYS CFX Release 11.0. © 1996-2006 ANSYS Europe, Ltd. All rights reserved. Contains proprietary and confidential information of ANSYS, Inc. and its subsidiaries and affiliates.
  • 106.
    Tutorial 4: Flowfrom a Circular Vent: Tutorial 4 Features Tutorial 4 Features This tutorial addresses the following features of ANSYS CFX. Component Feature Details ANSYS CFX-Pre User Mode General Mode Simulation Type Steady State Transient Fluid Type General Fluid Domain Type Single Domain Turbulence Model k-Epsilon Boundary Conditions Inlet (Subsonic) Opening Wall: No-Slip Timestep Auto Time Scale Transient Example Transient Results File ANSYS CFX-Post Plots Animation Isosurface Other Auto Annotation MPEG Generation Printing Time Step Selection Title/Text Transient Animation In this tutorial you will learn about: • Setting up a transient problem in ANSYS CFX-Pre. • Using an opening type boundary condition in ANSYS CFX-Pre. • Modeling smoke using additional variables in ANSYS CFX-Pre. • Visualizing a smoke plume using an Isosurface in ANSYS CFX-Post. • Creating an image for printing, and generating an MPEG file in ANSYS CFX-Post. Page 94 ANSYS CFX Tutorials. ANSYS CFX Release 11.0. © 1996-2006 ANSYS Europe, Ltd. All rights reserved. Contains proprietary and confidential information of ANSYS, Inc. and its subsidiaries and affiliates.
  • 107.
    Tutorial 4: Flowfrom a Circular Vent: Overview of the Problem to Solve Overview of the Problem to Solve In this example, a chimney stack releases smoke which is dispersed into the atmosphere with an oncoming side wind. Unlike previous tutorials, which were steady-state, this example is time-dependent. Initially, no smoke is being released. In the second part of the tutorial, the chimney starts to release smoke and it shows how the plume of smoke above the chimney develops with time. smoke speed varying from zero to 0.2 m/s wind speed 1 m/s r=10 m Defining a Steady-State Simulation in ANSYS CFX-Pre This section describes the step-by-step definition of the flow physics in ANSYS CFX-Pre for a steady-state simulation with no smoke being produced by the chimney. The results from this simulation will be used as the initial guess for the transient simulation. Playing a Session File If you wish to skip past these instructions, and have ANSYS CFX-Pre set up the simulation automatically, you can select Session > Play Tutorial from the menu in ANSYS CFX-Pre, then run the session file: CircVentIni.pre. After you have played the session file as described in earlier tutorials under Playing the Session File and Starting ANSYS CFX-Solver Manager (p. 87), proceed to Obtaining a Solution to the Steady-State Problem (p. 99). Creating a New Simulation 1. Start ANSYS CFX-Pre. 2. Select File > New Simulation. 3. Select General and click OK. 4. Select File > Save Simulation As. 5. Under File name, type CircVentIni. 6. Click Save. ANSYS CFX Tutorials. ANSYS CFX Release 11.0. © 1996-2006 ANSYS Europe, Ltd. All rights reserved. Page 95 Contains proprietary and confidential information of ANSYS, Inc. and its subsidiaries and affiliates.
  • 108.
    Tutorial 4: Flowfrom a Circular Vent: Defining a Steady-State Simulation in ANSYS CFX-Pre Importing the Mesh 1. Select File > Import Mesh. 2. From your working directory, select CircVentMesh.gtm. 3. Click Open. 4. Right-click a blank area in the viewer and select Predefined Camera > Isometric View (Z up) from the shortcut menu. Creating an Additional Variable In this tutorial, an additional variable (non-reacting scalar component) will be used to model the dispersion of smoke from the vent. Note: While smoke is not required for the steady-state simulation, including it here prevents the user from having to set up timevalue interpolation in the transient simulation. 1. From the main menu, select Insert > Expressions, Functions and Variables > Additional Variable or click Additional Variable . 2. Under Name, type smoke. 3. Click OK. 4. Under Variable Type, select Volumetric. 5. Set Units to [kg m^-3]. 6. Click OK. Creating the Domain The fluid domain will be created that includes the additional variable. To Create a New 1. Select Insert > Domain from the main menu, or click Domain , then set the name to Domain CircVent and click OK. 2. Apply the following settings Tab Setting Value General Options Fluids List Air at 25 C Reference Pressure 0 [atm] Fluid Models Heat Transfer > Option None Additional Variable Details > smoke (Selected) Additional Variable Details > smoke > (Selected) Kinematic Diffusivity Additional Variable Details > smoke > 1.0E-5 [m^2 s^-1] Kinematic Diffusivity > Kinematic Diffusivity 3. Click OK. Page 96 ANSYS CFX Tutorials. ANSYS CFX Release 11.0. © 1996-2006 ANSYS Europe, Ltd. All rights reserved. Contains proprietary and confidential information of ANSYS, Inc. and its subsidiaries and affiliates.
  • 109.
    Tutorial 4: Flowfrom a Circular Vent: Defining a Steady-State Simulation in ANSYS CFX-Pre Creating the Boundary Conditions This is an example of external flow, since fluid is flowing over an object and not through an enclosure such as a pipe network (which would be an example of internal flow). In such problems, some inlets will be made sufficiently large that they do not affect the CFD solution. However, the length scale values produced by the Default Intensity and AutoCompute Length Scale option for turbulence are based on inlet size. They are appropriate for internal flow problems and particularly, cylindrical pipes. In general, you need to set the turbulence intensity and length scale explicitly for large inlets in external flow problems. If you do not have a value for the length scale, you can use a length scale based on a typical length of the object, over which the fluid is flowing. In this case, you will choose a turbulence length scale which is one-tenth of the diameter of the vent. Note: The boundary marker vectors used to display boundary conditions (Inlets, Outlets, Openings) are normal to the boundary surface regardless of the actual direction specification. To plot vectors in the direction of flow, select Boundary Vector under the Plot Options tab for the inlet boundary condition and clear Show Inlet Markers on the Boundary Marker Options tab of Labels and Markers (accessible by clicking Label and Marker Visibility ). For parts of the boundary where the flow direction changes, or is unknown, an opening boundary condition can be used. An opening boundary condition allows flow to both enter and leave the fluid domain during the course of the solution. Inlet Boundary 1. Select Insert > Boundary Condition from the main menu or click Boundary Condition . 2. Under Name, type Wind. 3. Click OK. 4. Apply the following settings Tab Setting Value Basic Settings Boundary Type Inlet Location Wind Boundary Details Mass and Momentum > Option Cart. Vel. Components Mass and Momentum > U 1 [m s^-1] Mass and Momentum > V 0 [m s^-1] Mass and Momentum > W 0 [m s^-1] Turbulence > Option Intensity and Length Scale Turbulence > Value 0.05 Turbulence > Eddy Len. Scale 0.25 [m] Additional Variables > smoke > Option Value Additional Variables > smoke > Value 0 [kg m^-3] 5. Click OK. ANSYS CFX Tutorials. ANSYS CFX Release 11.0. © 1996-2006 ANSYS Europe, Ltd. All rights reserved. Page 97 Contains proprietary and confidential information of ANSYS, Inc. and its subsidiaries and affiliates.
  • 110.
    Tutorial 4: Flowfrom a Circular Vent: Defining a Steady-State Simulation in ANSYS CFX-Pre Opening 1. Select Insert > Boundary Condition from the main menu or click Boundary Condition Boundary . 2. Under Name, type Atmosphere. 3. Click OK. 4. Apply the following settings Tab Setting Value Basic Settings Boundary Type Opening Location Atmosphere Boundary Details Mass and Momentum > Option Opening Pres. and Dirn Mass and Momentum > Relative Pressure 0 [Pa] Flow Direction > Option Normal to Boundary Condition Turbulence > Option Intensity and Length Scale Turbulence > Value 0.05 Turbulence > Eddy Len. Scale 0.25 [m] Additional Variables > smoke > Option Value Additional Variables > smoke > Value 0 [kg m^-3] 5. Click OK. Inlet for the 1. Select Insert > Boundary Condition from the main menu or click Boundary Condition Vent . 2. Under Name, type Vent. 3. Click OK. 4. Apply the following settings Tab Setting Value Basic Settings Boundary Type Inlet Location Vent Boundary Details Mass and Momentum > Normal Speed 0.01 [m s^-1] Turbulence > Option Intensity and Eddy Viscosity Ratio Additional Variables > smoke > Option Value Additional Variables > smoke > Value 0 [kg m^-3] 5. Click OK. Setting Initial Values 1. Click Global Initialization . 2. Select Turbulence Eddy Dissipation. 3. Click OK. Page 98 ANSYS CFX Tutorials. ANSYS CFX Release 11.0. © 1996-2006 ANSYS Europe, Ltd. All rights reserved. Contains proprietary and confidential information of ANSYS, Inc. and its subsidiaries and affiliates.
  • 111.
    Tutorial 4: Flowfrom a Circular Vent: Obtaining a Solution to the Steady-State Problem Setting Solver Control ANSYS CFX-Solver has the ability to calculate physical timestep size for steady-state problems. If you do not know the time step size to set for your problem, you can use the Auto Timescale option. 1. Click Solver Control . 2. Apply the following settings Tab Setting Value Basic Settings Convergence Control > Max. Iterations 75 3. Click OK. Writing the Solver (.def) File 1. Click Write Solver File . 2. Apply the following settings Setting Value File name CircVentIni.def Quit CFX–Pre * (Selected) *. If using ANSYS CFX-Pre in Standalone Mode. 3. Ensure Start Solver Manager is selected and click Save. 4. Quit ANSYS CFX-Pre, saving the simulation (.cfx) file. Obtaining a Solution to the Steady-State Problem When ANSYS CFX-Pre has shut down and ANSYS CFX-Solver Manager has started, you can obtain a solution to the CFD problem by using the following procedure. 1. Click Start Run. The residual plots for six equations will appear: U - Mom, V - Mom, W - Mom, P - Mass, K-TurbKE and E-Diss.K (the three momentum conservation equations, the mass conservation equation and equations for the turbulence kinetic energy and turbulence eddy dissipation). The Momentum and Mass tab contains four of the plots and the other two are under Turbulence Quantities. The variable smoke is also plotted but registers no values since it is not initialized. 2. Click No to close the completion message, since you do not need to view the results in ANSYS CFX-Post. 3. If using Standalone Mode, quit ANSYS CFX-Solver Manager. You will now reload the simulation into ANSYS CFX-Pre to define the transient simulation. ANSYS CFX Tutorials. ANSYS CFX Release 11.0. © 1996-2006 ANSYS Europe, Ltd. All rights reserved. Page 99 Contains proprietary and confidential information of ANSYS, Inc. and its subsidiaries and affiliates.
  • 112.
    Tutorial 4: Flowfrom a Circular Vent: Defining a Transient Simulation in ANSYS CFX-Pre Defining a Transient Simulation in ANSYS CFX-Pre In this part of the tutorial, you alter the simulation settings used for the steady-state calculation to set up the model for the transient calculation in ANSYS CFX-Pre. Playing a Session File If you wish to skip past these instructions, and have ANSYS CFX-Pre set up the simulation automatically, you can select Session > Play Tutorial from the menu in ANSYS CFX-Pre, then run the session file: CircVent.pre. After you have played the session file as described in earlier tutorials under Playing the Session File and Starting ANSYS CFX-Solver Manager (p. 87), proceed to Obtaining a Solution to the Transient Problem (p. 104). Opening the Existing Simulation 1. Start ANSYS CFX-Pre. 2. Select File > Open Simulation. 3. If required, set the path location to the tutorial folder. 4. Select the simulation file CircVentIni.cfx. 5. Click Open. 6. Select File > Save Simulation As. 7. Change the name to CircVent.cfx. 8. Click Save. Modifying the Simulation Type In this step you will make the problem transient. Later, you will set the concentration of smoke to rise exponentially with time, so it is necessary to ensure that the interval between the timesteps is smaller at the beginning of the simulation than at the end. 1. Click Simulation Type . 2. Apply the following settings Tab Setting Value Basic Settings Simulation Type > Option Transient Simulation Type > Time Duration > 30 [s] Total Time Simulation Type > Time Steps > 4*0.25, 2*0.5, 2*1.0, 13*2.0 [s] Timesteps*† Simulation Type > Initial Time > Time 0 [s] *. Do NOT click Enter Expression to enter lists of values. Enter the list without the units, then set the units in the drop-down list. †. This list specifies 4 timesteps of 0.25 [s], then 2 timesteps of 0.5 [s], etc. 3. Click OK. Page 100 ANSYS CFX Tutorials. ANSYS CFX Release 11.0. © 1996-2006 ANSYS Europe, Ltd. All rights reserved. Contains proprietary and confidential information of ANSYS, Inc. and its subsidiaries and affiliates.
  • 113.
    Tutorial 4: Flowfrom a Circular Vent: Defining a Transient Simulation in ANSYS CFX-Pre Modifying the Boundary Conditions The only boundary condition which needs altering is the Vent boundary condition. In the steady-state calculation, this boundary had a small amount of air flowing through it. In the transient calculation, more air passes through the vent and there is a time-dependent concentration of smoke in the air. This is initially zero, but builds up to a larger value. The smoke concentration will be specified using the CFX Expression Language. To Modify the 1. In the Outline workspace, expand the tree to Simulation > CircVent > Vent. Vent Inlet 2. Right-click Vent and select Edit. Boundary Condition 3. Apply the following settings Tab Setting Value Boundary Details Mass and Momentum > Normal Speed 0.2 [m s^-1] Leave the Vent details view open for now. You are going to create an expression for smoke concentration. The concentration is zero for time t=0 and builds up to a maximum of 1 kg m^-3. 4. Create a new expression by selecting Insert > Expressions, Functions and Variables > Expression from the main menu. Set the name to TimeConstant. 5. Apply the following settings Name Definition TimeConstant 3 [s] 6. Click Apply to create the expression. 7. Create the following expressions with specific settings, remembering to click Apply after each is defined. Name Definition FinalConcentration 1 [kg m^-3] ExpFunction * FinalConcentration*abs(1-exp(-t/TimeConstant)) *. When entering this function, you can select most of the required items by right-clicking in the Definition window in the Expression details view instead of typing them. The names of the existing expressions are under the Expressions menu. The exp and abs functions are under Functions > CEL. The variable t is under Variables. Note: The abs function takes the modulus (or magnitude) of its argument. Even though the expression (1- exp (-t/TimeConstant)) can never be less than zero, the abs function is included to ensure that the numerical error in evaluating it near to zero will never make the expression evaluate to a negative number. Next you will visualize how the expressions have scheduled the concentration of smoke issued from the vent. ANSYS CFX Tutorials. ANSYS CFX Release 11.0. © 1996-2006 ANSYS Europe, Ltd. All rights reserved. Page 101 Contains proprietary and confidential information of ANSYS, Inc. and its subsidiaries and affiliates.
  • 114.
    Tutorial 4: Flowfrom a Circular Vent: Defining a Transient Simulation in ANSYS CFX-Pre Plotting Smoke 1. Double-click ExpFunction in the Expressions tree view. Concentration 2. Apply the following settings Tab Setting Value Plot t (Selected) Start of Range 0 [s] End of Range 30 [s] 3. Click Plot Expression. The button name then changes to Define Plot, as shown. As can be seen, the smoke concentration rises exponentially, and reaches 90% of its final value at around 7 seconds. 4. Click the Boundary: Vent tab. In the next step, you will apply the expression ExpFunction to the additional variable smoke as it applies to the boundary Vent. 5. Apply the following settings Tab Setting Value Boundary Details Additional Variables > smoke > Option Value Additional Variables > smoke > Value* ExpFunction *. Click Enter Expression to enter text. 6. Click OK. Page 102 ANSYS CFX Tutorials. ANSYS CFX Release 11.0. © 1996-2006 ANSYS Europe, Ltd. All rights reserved. Contains proprietary and confidential information of ANSYS, Inc. and its subsidiaries and affiliates.
  • 115.
    Tutorial 4: Flowfrom a Circular Vent: Defining a Transient Simulation in ANSYS CFX-Pre Initialization Values The steady state solution that you have finished calculating is used to supply the initial values to the ANSYS CFX-Solver. You can leave all of the initialization data set to Automatic and the initial values will be read automatically from the initial values file. Therefore, there is no need to revisit the initialization tab. Modifying the Solver Control 1. Click Solver Control . 2. Set Convergence Control > Max. Coeff. Loops to 3. 3. Leave the other settings at their default values. 4. Click OK to set the solver control parameters. Output Control To allow results to be viewed at different timesteps, it is necessary to create transient results files at specified times. The transient results files do not have to contain all solution data. In this step, you will create minimal transient results files. To Create 1. From the main menu, select Insert > Solver > Output Control. Minimal 2. Click the Trn Results tab. Transient Results Files 3. Click Add new item and then click OK to accept the default name for the object. This creates a new transient results object. Each object can result in the production of many transient results files. 4. Apply the following settings to Transient Results 1 Setting Value Option Selected Variables Output Variables List* Pressure, Velocity, smoke Output Frequency > Option Time List Output Frequency > Time List† 1, 2 , 3 [s] *. Click the ellipsis icon to select items if they do not appear in the drop-down list. Use the <Ctrl> key to select multiple items. †. Do NOT click Enter Expression to enter lists of values. Enter the list without the units, then set the units in the drop-down list. 5. Click Apply. 6. Create a second item with the default name Transient Results 2 and apply the following settings to that item Setting Value Option Selected Variables Output Variables List Pressure, Velocity, smoke ANSYS CFX Tutorials. ANSYS CFX Release 11.0. © 1996-2006 ANSYS Europe, Ltd. All rights reserved. Page 103 Contains proprietary and confidential information of ANSYS, Inc. and its subsidiaries and affiliates.
  • 116.
    Tutorial 4: Flowfrom a Circular Vent: Obtaining a Solution to the Transient Problem Setting Value Output Frequency > Option Time Interval Output Frequency > Time Interval* 4 [s] *. A transient results file will be produced every 4 s (including 0 s) and at 1 s, 2 s and 3 s. The files will contain no mesh and data for only the three selected variables. This reduces the size of the minimal results files. A full results file is always written at the end of the run. 7. Click OK. Writing the Solver (.def) File 1. Click Write Solver File . 2. Apply the following settings Setting Value File name CircVent.def Quit CFX–Pre * Select *. If using ANSYS CFX-Pre in Standalone Mode. 3. Ensure Start Solver Manager is selected and click Save. 4. Quit ANSYS CFX-Pre, saving the simulation (.cfx) file at your discretion. Obtaining a Solution to the Transient Problem In this tutorial the ANSYS CFX-Solver will read the initial values for the problem from a file. For details, see Initialization Values (p. 103). You need to specify the file name. Define Run will be displayed when the ANSYS CFX-Solver Manager launches. Definition File will already be set to the name of the definition file just written. Notice that the text output generated by the ANSYS CFX-Solver will be more than you have seen for steady-state problems. This is because each timestep consists of several inner (coefficient) iterations. At the end of each timestep, information about various quantities is printed to the text output area. The variable smoke is now plotted under the Additional Variables tab. 1. Under Initial Values File, click Browse . 2. Select CircVentIni_001.res, which is the results file of the steady-state problem with no smoke issuing from the chimney. If you have not run the first part of this tutorial, copy CircVentIni_001.res from the <CFXROOT>/examples/ directory to your working directory. 3. Click Open. 4. Click Start Run. 5. You may see a notice that the mesh from the initial values file will be used. This mesh is the same as in the definition file. Click OK to continue. Page 104 ANSYS CFX Tutorials. ANSYS CFX Release 11.0. © 1996-2006 ANSYS Europe, Ltd. All rights reserved. Contains proprietary and confidential information of ANSYS, Inc. and its subsidiaries and affiliates.
  • 117.
    Tutorial 4: Flowfrom a Circular Vent: Viewing the Results in ANSYS CFX-Post ANSYS CFX-Solver runs and attempts to obtain a solution. This can take a long time depending on your system. Eventually a dialog box is displayed. 6. When ANSYS CFX-Solver has finished, click Yes to post-process the results. 7. If using Standalone Mode, quit ANSYS CFX-Solver Manager. Viewing the Results in ANSYS CFX-Post In this tutorial, you will view the dispersion of smoke from the vent over time. When ANSYS CFX-Post is loaded, the results that are immediately available are those at the final timestep; in this case, at t = 30 s (this is nominally designated Final State). Creating an Isosurface An isosurface is a surface of constant value of a variable. For instance, it could be a surface consisting of all points where the velocity is 1 [m s^-1]. In this case, you are going to create an isosurface of smoke density (smoke is the additional variable that you specified earlier). 1. Right-click on a blank area in the viewer and select Predefined Camera > Isometric View (Z up). This ensures that the view is set to a position that is best suited to display the results. 2. From the main menu, select Insert > Location > Isosurface or under Location, click Isosurface. 3. Click OK. 4. Apply the following settings Tab Setting Value Geometry Variable smoke Value 0.005 [kg m^-3] 5. Click Apply. • A bumpy surface will be displayed, showing the smoke starting to emerge from the vent. • The surface is rough because the mesh is coarse. For a smoother surface, you would re-run the problem with a smaller mesh length scale. • The surface will be a constant color as the default settings on the Color tab were used. • When Color Mode is set to either Constant or Use Plot Variable for an isosurface, it appears as one color. 6. In Geometry, experiment by changing the Value so that you can see the shape of the plume more clearly. Zoom in and rotate the geometry, as required. 7. When you have finished, set the Value to 0.002 [kg m^-3]. 8. Right-click on a blank spot in the viewer and select Predefined Camera > Isometric View (Z up). ANSYS CFX Tutorials. ANSYS CFX Release 11.0. © 1996-2006 ANSYS Europe, Ltd. All rights reserved. Page 105 Contains proprietary and confidential information of ANSYS, Inc. and its subsidiaries and affiliates.
  • 118.
    Tutorial 4: Flowfrom a Circular Vent: Viewing the Results in ANSYS CFX-Post Viewing the Results at Different Timesteps The Timestep Selector shows the Time Step (outer loop) number, the Time Value (simulated time in seconds) and the Type of results file that was saved at that timestep. You can see that Partial results files were saved (as requested in ANSYS CFX-Pre) for all timesteps except for the last one. 1. Click Timestep Selector . 2. Load the results for a time value of 2 s by double-clicking the appropriate row in the Timestep Selector. After a short pause, the Current Timestep (located just below the title bar of the Timestep Selector) will be updated with the new timestep number. 3. Load the time value of 4 s using the Timestep Selector. The smoke has now spread out even more, and is being carried by the wind. 4. Double-click some more time values to see how the smoke plume grows with time. 5. Finish by loading a time value of 1 s. Generating Output Files You can produce image output from ANSYS CFX-Post. Adding a title First, you will add text to the viewer so that the printed output has a title. 1. Select Insert > Text from the main menu or click Create text . 2. Click OK. 3. In the Text String box, enter the following text. Isosurface showing smoke concentration of 0.002 kg/m^3 after Note: Further text will be added at a later stage to complete this title. 4. Select Embed Auto Annotation. 5. Set Type to Time Value. In the text line, note that <aa> has been added to the end. This is where the time value will be placed. 6. Click Apply to create the title. 7. Click the Location tab to modify the position of the title. The default settings for text objects center text at the top of the screen. To experiment with the position of the text, change the settings on the Location tab. 8. Under Appearance, change Color Mode to User Specified and select a new color. 9. Click Apply. JPEG output ANSYS CFX-Post can produce hard-copy output in several different forms. In the next section you will print in JPEG format. 1. Ensure a time value of 1 s is loaded. 2. Select File > Print, or click Print . 3. Under Format select JPEG. Page 106 ANSYS CFX Tutorials. ANSYS CFX Release 11.0. © 1996-2006 ANSYS Europe, Ltd. All rights reserved. Contains proprietary and confidential information of ANSYS, Inc. and its subsidiaries and affiliates.
  • 119.
    Tutorial 4: Flowfrom a Circular Vent: Viewing the Results in ANSYS CFX-Post 4. Click Browse next to the File data box. 5. Browse to the directory where you want the file saved. 6. Enter a name for the JPEG file. 7. Click Save to set the file name and directory. This sets the path and name for the file. 8. To print to the file, click Print. To view the file or make a hard copy, use an application that supports JPEG files. 9. Clear the visibility of the text object to hide it. To Generate an You can generate an MPEG file to show the transient flow of the plume of smoke. To MPEG File generate an MPEG file, you use the Animation dialog box in the same way as in Tutorial 1. However, to animate the plume of smoke, you need to animate over several timesteps. Note: On the Advanced tab of Animation Options, there is a check box option called Save frames as image files. By selecting this option, the JPEG or PPM files used to encode each frame of the MPEG will persist after MPEG creation; otherwise, they are deleted. Setting Keyframes 1. Click Animation . 2. Ensure that Keyframe Animation is selected. 3. Position the geometry so that you will be able to see the plume of smoke. 4. In the Animation dialog box, click New to create KeyFrameNo1. 5. Load the time value of 30 s using the Timestep Selector. 6. Click New in the Animation dialog box to create KeyframeNo2. Defining additional options During the production of a transient animation, various timesteps will be loaded and all objects will be updated to use the results from that timestep. Each frame of the animation must use one of the available timesteps. In Animation, Timestep can be set to Timestep Interpolation, TimeValue Interpolation or Sequential Interpolation. This setting affects which timestep is loaded for each frame. 1. Click More Animation Options to show more animation settings. 2. Click Options. 3. Apply the following settings Tab Setting Value Options Transient Case* TimeValue Interpolation *. This causes each frame to use the transient file having the closest time value. 4. Click OK. 5. Single click KeyframeNo1, then set # of Frames to 27 and press <Enter>. ANSYS CFX Tutorials. ANSYS CFX Release 11.0. © 1996-2006 ANSYS Europe, Ltd. All rights reserved. Page 107 Contains proprietary and confidential information of ANSYS, Inc. and its subsidiaries and affiliates.
  • 120.
    Tutorial 4: Flowfrom a Circular Vent: Viewing the Results in ANSYS CFX-Post The animation now contains a total of 29 frames (27 intermediate frames plus the two keyframes). 6. Select Save MPEG. 7. Click Browse next to Save MPEG. 8. Under File name, type CircVent.mpg. 9. If required, set the path location to a different folder. 10. Click Save. The MPEG file name (including path) is set. At this point, the animation has not yet been produced. 11. Click To Beginning . 12. Click Play the animation . • The MPEG will be created as the animation proceeds. • This will be slow, since a timestep must be loaded and objects must be created for each frame. • To view the MPEG file, you need to use a viewer that supports the MPEG format. 13. When you have finished, quit ANSYS CFX-Post. Page 108 ANSYS CFX Tutorials. ANSYS CFX Release 11.0. © 1996-2006 ANSYS Europe, Ltd. All rights reserved. Contains proprietary and confidential information of ANSYS, Inc. and its subsidiaries and affiliates.
  • 121.
    Tutorial 5: Flow Arounda Blunt Body Introduction This tutorial includes: • Tutorial 5 Features (p. 109) • Overview of the Problem to Solve (p. 111) • Defining a Simulation in ANSYS CFX-Pre (p. 111) • Obtaining a Solution Using ANSYS CFX-Solver Manager (p. 116) • Viewing the Results in ANSYS CFX-Post (p. 119) If this is the first tutorial you are working with, it is important to review the following topics before beginning: • Setting the Working Directory (p. 1) • Changing the Display Colors (p. 2) Unless you plan on running a session file, you should copy the sample files used in this tutorial from the installation folder for your software (<CFXROOT>/examples/) to your working directory. This prevents you from overwriting source files provided with your installation. If you plan to use a session file, please refer to Playing a Session File (p. 111). Sample files referenced by this tutorial include: • BluntBody.pre • BluntBodyDist.cse • BluntBodyMesh.gtm Tutorial 5 Features This tutorial addresses the following features of ANSYS CFX. ANSYS CFX Tutorials Page 109 ANSYS CFX Release 11.0. © 1996-2006 ANSYS Europe, Ltd. All rights reserved. Contains proprietary and confidential information of ANSYS, Inc. and its subsidiaries and affiliates.
  • 122.
    Tutorial 5: FlowAround a Blunt Body: Tutorial 5 Features Component Feature Details ANSYS CFX-Pre User Mode General Mode Simulation Type Steady State Fluid Type Ideal Gas Domain Type Single Domain Turbulence Model Shear Stress Transport Heat Transfer Isothermal Boundary Conditions Inlet (Subsonic) Outlet (Subsonic) Symmetry Plane Wall: No-Slip Wall: Free-Slip Timestep Physical Time Scale ANSYS CFX-Solver Manager Parallel processing ANSYS CFX-Post Plots Default Locators Outline Plot (Wireframe) Sampling Plane Streamline Vector Volume Other Changing the Color Range Instancing Transformation Lighting Adjustment Symmetry Viewing the Mesh In this tutorial you will learn about: • Solving and post-processing a case where the geometry has been omitted on one side of a symmetry plane. • Using free slip wall boundaries on the sides of and above the domain as a compromise between accurate flow modeling and computational grid size. • Accurately modeling the near-wall flow using Shear Stress Transport (SST) turbulence model. • Running the ANSYS CFX-Solver in parallel (optional). • Creating vector plots in ANSYS CFX-Post with uniform spacing between the vectors. • Creating a macro using power syntax in ANSYS CFX-Post. Page 110 ANSYS CFX Tutorials. ANSYS CFX Release 11.0. © 1996-2006 ANSYS Europe, Ltd. All rights reserved. Contains proprietary and confidential information of ANSYS, Inc. and its subsidiaries and affiliates.
  • 123.
    Tutorial 5: FlowAround a Blunt Body: Overview of the Problem to Solve Overview of the Problem to Solve This example demonstrates external air flow over a generic vehicle body. Since both the geometry and the flow are symmetric about a vertical plane, only half of the geometry will be used to find the CFD solution. Figure 1 External Air Flow Over a Generic Vehicle Body air speed 15.0 m/s 1.44 m 5.2 m Defining a Simulation in ANSYS CFX-Pre The following sections describe the simulation setup in ANSYS CFX-Pre. Playing a Session File If you wish to skip past these instructions, and have ANSYS CFX-Pre set up the simulation automatically, you can select Session > Play Tutorial from the menu in ANSYS CFX-Pre, then run the session file: BluntBody.pre. After you have played the session file as described in earlier tutorials under Playing the Session File and Starting ANSYS CFX-Solver Manager (p. 87), proceed to Obtaining a Solution Using ANSYS CFX-Solver Manager (p. 116). Creating a New Simulation 1. Start ANSYS CFX-Pre. 2. Select File > New Simulation. 3. Select General and click OK. 4. Select File > Save Simulation As. 5. Under File name, type BluntBody. 6. Click Save. Importing the Mesh 1. Right-click Mesh and select Import Mesh. 2. Apply the following settings ANSYS CFX Tutorials. ANSYS CFX Release 11.0. © 1996-2006 ANSYS Europe, Ltd. All rights reserved. Page 111 Contains proprietary and confidential information of ANSYS, Inc. and its subsidiaries and affiliates.
  • 124.
    Tutorial 5: FlowAround a Blunt Body: Defining a Simulation in ANSYS CFX-Pre Setting Value File name BluntBodyMesh.gtm 3. Click Open. Creating the Domain The flow in the domain is expected to be turbulent and approximately isothermal. The Shear Stress Transport (SST) turbulence model with automatic wall function treatment will be used because of its highly accurate predictions of flow separation. To take advantage of the SST model, the boundary layer should be resolved with at least 10 mesh nodes. In order to reduce computational time, the mesh in this tutorial is much coarser than that. This tutorial uses an ideal gas as the fluid whereas previous tutorials have used a specific fluid. When modeling a compressible flow using the ideal gas approximation to calculate density variations, it is important to set a realistic reference pressure. This is because some fluid properties depend on the absolute fluid pressure (calculated as the static pressure plus the reference pressure). 1. Click Domain , and set the name to BluntBody. 2. Apply the following settings to BluntBody: Tab Setting Value General Options Basic Settings > Fluids List Air Ideal Gas Domain Models > Pressure > Reference Pressure 1 [atm] Fluid Models Heat Transfer > Option Isothermal Heat Transfer > Fluid Temperature 288 [K] Turbulence > Option Shear Stress Transport 3. Click OK. Creating Composite Regions An imported mesh may contain many 2D regions. For the purpose of creating boundary conditions, it can sometimes be useful to group several 2D regions together and apply a single boundary condition to the composite 2D region. In this case, you are going to create a Union between two regions that both require a free slip wall boundary condition. 1. From the main menu, select Insert > Composite Region. 2. Set the name to FreeWalls and click OK. 3. Apply the following settings Tab Setting Value Basic Settings Dimension (Filter) 2D 4. In the region list, hold down the <Ctrl> key and select Free1 and Free2. Page 112 ANSYS CFX Tutorials. ANSYS CFX Release 11.0. © 1996-2006 ANSYS Europe, Ltd. All rights reserved. Contains proprietary and confidential information of ANSYS, Inc. and its subsidiaries and affiliates.
  • 125.
    Tutorial 5: FlowAround a Blunt Body: Defining a Simulation in ANSYS CFX-Pre 5. Click OK. Creating the Boundary Conditions The simulation requires inlet, outlet, wall (no slip and free slip) and symmetry plane boundary conditions. The regions for these boundary conditions were defined when the mesh was created (except for the composite region just created for the free slip wall boundary condition). Inlet Boundary 1. Click Boundary Condition . 2. Under Name, type Inlet. 3. Apply the following settings Tab Setting Value Basic Settings Boundary Type Inlet Location Inlet Boundary Details Flow Regime > Option Subsonic Mass and Momentum > Option Normal Speed Mass and Momentum > Normal Speed 15 [m s^-1] Turbulence > Option Intensity and Length Scale Turbulence > Eddy Len. Scale 0.1 [m] 4. Click OK. Outlet 1. Create a new boundary condition named Outlet. Boundary 2. Apply the following settings Tab Setting Value Basic Settings Boundary Type Outlet Location Outlet Boundary Details Mass and Momentum > Option Static Pressure Mass and Momentum > Relative Pressure 0 [Pa] 3. Click OK. Free Slip Wall The top and side surfaces of the rectangular region will use free slip wall boundary Boundary conditions. • On free slip walls the shear stress is set to zero so that the fluid is not retarded. • The velocity normal to the wall is also set to zero. • The velocity parallel to the wall is calculated during the solution. This is not an ideal boundary condition for this situation since the flow around the body will be affected by the close proximity to the walls. If this case was modeling a wind tunnel experiment, the domain should model the size and shape of the wind tunnel and use no-slip walls. If this case was modeling a blunt body open to the atmosphere, a much larger domain should be used to minimize the effect of the walls. ANSYS CFX Tutorials. ANSYS CFX Release 11.0. © 1996-2006 ANSYS Europe, Ltd. All rights reserved. Page 113 Contains proprietary and confidential information of ANSYS, Inc. and its subsidiaries and affiliates.
  • 126.
    Tutorial 5: FlowAround a Blunt Body: Defining a Simulation in ANSYS CFX-Pre You will apply a single boundary condition to both walls by using the composite region defined earlier. 1. Create a new boundary condition named FreeWalls. 2. Apply the following settings: Tab Setting Value Basic Settings Boundary Type Wall Location FreeWalls Boundary Details Wall Influence On Flow > Option Free Slip 3. Click OK. Symmetry Plane 1. Create a new boundary condition named SymP. Boundary 2. Apply the following settings: Tab Setting Value Basic Settings Boundary Type Symmetry Location SymP 3. Click OK. Wall Boundary 1. Create a new boundary condition named Body. on the Blunt 2. Apply the following settings: Body Surface Tab Setting Value Basic Settings Boundary Type Wall Location Body Boundary Details Wall Influence On Flow > Option No Slip 3. Click OK. The remaining 2D regions (in this case, just the low Z face) will be assigned the default boundary condition which is an adiabatic, no-slip wall condition. In this case, the name of the default boundary condition is Default Boundary. Although the boundary conditions Body and Default Boundary are identical (except for their locations), the Body boundary condition was created so that, during post-processing, its location can by conveniently distinguished from the other adiabatic, no-slip wall surfaces. Setting Initial Values 1. Click Global Initialization . 2. Apply the following settings: Page 114 ANSYS CFX Tutorials. ANSYS CFX Release 11.0. © 1996-2006 ANSYS Europe, Ltd. All rights reserved. Contains proprietary and confidential information of ANSYS, Inc. and its subsidiaries and affiliates.
  • 127.
    Tutorial 5: FlowAround a Blunt Body: Defining a Simulation in ANSYS CFX-Pre Tab Setting Value Global Settings Initial Conditions > Cartesian Velocity Automatic with Value Components > Option Initial Conditions > Cartesian Velocity 15 [m s^-1] Components > U Initial Conditions > Cartesian Velocity 0 [m s^-1] Components > V Initial Conditions > Cartesian Velocity 0 [m s^-1] Components > W Initial Conditions > Turbulence Eddy (Selected) Dissipation 3. Click OK. Setting Solver Control 1. Click Solver Control . 2. Apply the following settings: Tab Setting Value Basic Settings Convergence Control > Max. Iterations 60 Convergence Control > Fluid Timescale Control > Physical Timescale Timescale Control Convergence Control > Fluid Timescale Control > 2 [s] Physical Timescale Convergence Criteria > Residual Target 1e-05 3. Click OK. Writing the Solver (.def) File 1. Click Write Solver File . 2. Apply the following settings: Setting Value File name BluntBody.def Quit CFX–Pre* (Selected) *. If using ANSYS CFX-Pre in Standalone Mode. 3. Ensure Start Solver Manager is selected and click Save. 4. If using Standalone Mode, quit ANSYS CFX-Pre, saving the simulation (.cfx) file at your discretion. ANSYS CFX Tutorials. ANSYS CFX Release 11.0. © 1996-2006 ANSYS Europe, Ltd. All rights reserved. Page 115 Contains proprietary and confidential information of ANSYS, Inc. and its subsidiaries and affiliates.
  • 128.
    Tutorial 5: FlowAround a Blunt Body: Obtaining a Solution Using ANSYS CFX-Solver Manager Obtaining a Solution Using ANSYS CFX-Solver Manager This tutorial introduces the parallel solver capabilities of ANSYS CFX. Note: The results produced will be identical, whether produced by a parallel or serial run. If you do not want to solve this tutorial in parallel (on more than one processor) or you do not have a license to run the ANSYS CFX-Solver in parallel, proceed to Obtaining a Solution in Serial (p. 116). If you do not know if you have a license to run the ANSYS CFX-Solver in parallel, you should either ask your system administrator, or query the license server (see the ANSYS, Inc. Licensing Guide (which is installed with the ANSYS License Manager) for details). Alternatively proceed to Obtaining a Solution in Serial (p. 116). If you would like to solve this tutorial in parallel on the same machine, proceed to Obtaining a Solution with Local Parallel (p. 117). If you would like to solve this tutorial in parallel across different machines, proceed to Obtaining a Solution with Distributed Parallel (p. 117). Obtaining a Solution in Serial When ANSYS CFX-Pre has shut down and ANSYS CFX-Solver Manager has started, you can obtain a solution to the CFD problem by using the following procedure. 1. Click Start Run. 2. Click Yes to process the results in ANSYS CFX-Post. 3. If using Standalone Mode, quit ANSYS CFX-Solver Manager. Continue this tutorial from Viewing the Results in ANSYS CFX-Post (p. 119). Obtaining a Solution in Parallel Background to Using the parallel capability of the ANSYS CFX-Solver allows you to divide a large CFD Parallel Running problem so that it can run on more than one processor/machine at once. This saves time in ANSYS CFX and, when multiple machines are used, avoids problems which arise when a CFD calculation requires more memory than a single machine has available. The partition (division) of the CFD problem is automatic. A number of events occur when you set up a parallel run and then ask the ANSYS CFX-Solver to calculate the solution: • Your mesh will be divided into the number of partitions that you have chosen. • The ANSYS CFX-Solver runs separately on each of the partitions on the selected machine(s). • The results that one ANSYS CFX-Solver process calculates affects the other ANSYS CFX-Solver processes at the interface between the different sections of the mesh. • All of the ANSYS CFX-Solver processes are required to communicate with each other and this is handled by the master process. Page 116 ANSYS CFX Tutorials. ANSYS CFX Release 11.0. © 1996-2006 ANSYS Europe, Ltd. All rights reserved. Contains proprietary and confidential information of ANSYS, Inc. and its subsidiaries and affiliates.
  • 129.
    Tutorial 5: FlowAround a Blunt Body: Obtaining a Solution Using ANSYS CFX-Solver Manager • The master process always runs on the machine that you are logged into when the parallel run starts. The other ANSYS CFX-Solver processes are slave processes and may be run on other machines. • After the problem has been solved, a single results file is written. It will be identical to a results file from the same problem run as a serial process, with one exception: an extra variable Real partition number will be available for the parallel run. This variable will be used later in this tutorial during post processing. Obtaining a To run in local parallel mode, the machine you are on must have more than one processor. Solution with In ANSYS CFX-Solver Manager, the Define Run dialog box should already be open. Local Parallel 1. Leave Type of Run set to Full. If Type of Run was instead set to Partitioner Only, your mesh would be split into a number of partitions but would not be run in the ANSYS CFX-Solver afterwards. 2. Set Run Mode to PVM Local Parallel . This is the recommended method for most applications. 3. If required, click Add Partition to add more partitions. By default, 2 partitions are assigned. 4. Select Show Advanced Controls. 5. Click the Partitioner tab at the top of the dialog box. 6. Use the default MeTiS partitioner. Your model will be divided into two sections, with each section running in its own ANSYS CFX-Solver process. The default is the MeTiS partitioner because it produces more efficient partitions than either Recursive Coordinate Bisection or User Specified Direction. 7. Click Start Run. 8. Click Post–Process Results . 9. If using ANSYS CFX-Solver in Standalone Mode, select Shut down Solver Manager, and then click OK. Continue this tutorial from Text Output when Running in Parallel (p. 118). Obtaining a Before running in Distributed Parallel mode, please ensure that your system has been Solution with configured as described in the installation documentation. Distributed Parallel In ANSYS CFX-Solver Manager, the Define Run dialog box should already be open. 1. Leave Type of Run set to Full. If Type of Run was instead set to Partitioner Only, your mesh would be split into a number of partitions but would not be run in the ANSYS CFX-Solver afterwards. 2. Set Run Mode to PVM Distributed Parallel. The name of the machine that you are currently logged into should be in the Host Name list. You are going to run with two partitions on two different machines, so another machine must be added. 3. Click Insert Host to specify a new host machine. ANSYS CFX Tutorials. ANSYS CFX Release 11.0. © 1996-2006 ANSYS Europe, Ltd. All rights reserved. Page 117 Contains proprietary and confidential information of ANSYS, Inc. and its subsidiaries and affiliates.
  • 130.
    Tutorial 5: FlowAround a Blunt Body: Obtaining a Solution Using ANSYS CFX-Solver Manager • The Select Parallel Hosts dialog box is displayed. This is where you choose additional machines to run your processes. • Your system administrator should have set up a hosts file containing a list of the machines that are available to run the parallel ANSYS CFX-Solver. • The Host Name column displays names of available hosts. • The second column shows the number of processors on that machine. • The third shows the relative processor speed: a processor on a machine with a relative speed of 1 would typically be twice as fast as a machine with a relative speed of 0.5. • The last column displays operating system information. • This information is read from the hosts file; if any information is missing or incorrect your system administrator should correct the hosts file. Note: The # processors, relative speed and system information does not have to be specified to be able to run on a host. 4. Select the name of another machine in the Host Name list. Select a machine that you can log into. 5. Click Add. The name of the machine is added to the Host Name column. Note: Ensure that the machine that you are currently logged into is in the Hosts Name list in the Define Run dialog box. 6. Close the Select Parallel Hosts dialog box. 7. Select Show Advanced Controls. 8. Click the Partitioner tab at the top of the dialog box. 9. Use the default MeTiS partitioner. Your model will be divided into two sections, with each section running in its own ANSYS CFX-Solver process. The default is the MeTiS partitioner because it produces more efficient partitions than either Recursive Coordinate Bisection or User Specified Direction. 10. Click Start Run to begin the parallel run. 11. Click OK on the pop-up message. 12. Click Yes to post-process the results when the completion message appears at the end of the run. 13. Close ANSYS CFX-Solver Manager. Text Output The text output area shows what is being written to the output file. You will see information when Running similar to the following: in Parallel +--------------------------------------------------------------------+ | Job Information | +--------------------------------------------------------------------+ Run mode: partitioning run Host computer: fastmachine1 Job started: Wed Nov 28 15:18:40 2005 Page 118 ANSYS CFX Tutorials. ANSYS CFX Release 11.0. © 1996-2006 ANSYS Europe, Ltd. All rights reserved. Contains proprietary and confidential information of ANSYS, Inc. and its subsidiaries and affiliates.
  • 131.
    Tutorial 5: FlowAround a Blunt Body: Viewing the Results in ANSYS CFX-Post This tells you that the information following is concerned with the partitioning. After the partitioning job has finished, you will find: CPU-Time requirements: - Preparations 1.460E+00 seconds - Low-level mesh partitioning 1.000E-01 seconds - Global partitioning information 3.100E-01 seconds - Vertex, element and face partitioning information 1.600E-01 seconds - Element and face set partitioning information 5.000E-02 seconds - Summed CPU-time for mesh partitioning 2.080E+00 seconds +--------------------------------------------------------------------+ | Job Information | +--------------------------------------------------------------------+ Host computer: fastmachine1 Job finished: Wed Nov 28 15:19:16 2005 Total CPU time: 1.143E+01 seconds or: ( 0: 0: 0: 11.428 ) ( Days: Hours: Minutes: Seconds ) This marks the end of the partitioning job. The ANSYS CFX-Solver now begins to solve your parallel run: +--------------------------------------------------------------------+ | Job Information | +--------------------------------------------------------------------+ Run mode: parallel run (PVM) Host computer: fastmachine1 Par. Process: Master running on mesh partition: 1 Job started: Thu Nov 28 15:19:20 2005 Host computer: slowermachine Par. Process: Slave running on mesh partition: 2 Job started: Thu Nov 28 15:24:55 2005 The machine that you are logged into runs the master process, and controls the overall simulation. The second machine selected will run the slave process. If you had more than two processes, each additional process is run as a slave process. The master process in this example is running on the mesh partition number 1 and the slave is running on partition number 2. You can find out which nodes and elements are in each partition by using ANSYS CFX-Post later on in the tutorial. When the ANSYS CFX-Solver finishes, the output file displays the job information and a pop-up message to indicate completion of the run. Viewing the Results in ANSYS CFX-Post In this tutorial, a vector plot is created in ANSYS CFX-Post. This will let you see how the flow behaves around the body. You will also use symmetry planes and learn more about manipulating the geometry view in the viewer. Using Symmetry Planes Earlier in this tutorial you used a symmetry plane boundary condition because the entire blunt body is symmetrical about a plane. Due to this symmetry, it was necessary to use only half of the full geometry to calculate the CFD results. However, for visualization purposes, it is helpful to use the full blunt body. ANSYS CFX-Post is able to recreate the full data set from the half that was originally calculated. This is done by creating an Instance Transform object. ANSYS CFX Tutorials. ANSYS CFX Release 11.0. © 1996-2006 ANSYS Europe, Ltd. All rights reserved. Page 119 Contains proprietary and confidential information of ANSYS, Inc. and its subsidiaries and affiliates.
  • 132.
    Tutorial 5: FlowAround a Blunt Body: Viewing the Results in ANSYS CFX-Post Manipulating You need to manipulate the geometry so that you will be able to see what happens when the Geometry you use the symmetry plane. The ANSYS CFX-Post features that you have used in earlier tutorials will not be described in detail. New features will be described in detail. 1. Right-click a blank area in the viewer and select Predefined Camera > View Towards +X. Creating an Instance Transforms are used to visualize a full geometry representation in cases where the Instance simulation took advantage of symmetry to solve for only part of the geometry. There are Transform three types of transforms that you can use: Rotation, Translation, Reflection. In this tutorial, you will create a Reflection transform located on a plane. 1. Click Location > Plane and set the name to Reflection Plane . 2. Apply the following settings: Tab Setting Value Geometry Definition > Method ZX Plane Render Draw Faces (cleared) 3. Click Apply. This creates a plane in the same location as the symmetry plane defined in ANSYS CFX-Pre. Now the instance transform can be created using this Plane: 4. From the main menu, select Insert > Instance Transform and accept the default name. 5. Apply the following settings: Tab Setting Value Definition Instancing Info From Domain (Cleared) Apply Rotation (Cleared) Apply Reflection (Selected) Apply Reflection > Plane Reflection Plane 6. Click Apply. Using the You can use the transform when creating or editing graphics objects. For example, you can Reflection modify the Wireframe view to use it as follows: Transform 1. Under the Outline tab, in User Locations and Plots, apply the following settings to Wireframe: Tab Setting Value View Apply Instancing Transform > Transform Instance Transform 1 2. Click Apply. 3. Zoom so that the geometry fills the Viewer. You will see the full blunt body. Page 120 ANSYS CFX Tutorials. ANSYS CFX Release 11.0. © 1996-2006 ANSYS Europe, Ltd. All rights reserved. Contains proprietary and confidential information of ANSYS, Inc. and its subsidiaries and affiliates.
  • 133.
    Tutorial 5: FlowAround a Blunt Body: Viewing the Results in ANSYS CFX-Post Creating Vectors You are now going to create a vector plot to show velocity vectors behind the blunt body. You need to first create an object to act as a locator, which, in this case, will be a sampling plane. Then, create the vector plot itself. Creating the A sampling plane is a plane with evenly spaced sampling points on it. Sampling Plane 1. Right-click a blank area in the viewer and select Predefined Camera > View Towards +Y. This ensures that the changes can be seen. 2. Create a new plane named Sample. 3. Apply the following settings: Tab Setting Value Geometry Definition > Method Point and Normal Definition > Point 6, -0.001, 1 Definition > Normal 0, 1, 0 Plane Bounds > Type Rectangular Plane Bounds > X Size 2.5 [m] Plane Bounds > Y Size 2.5 [m] Plane Type Sample Plane Type > X Samples 20 Plane Type > Y Samples 20 Render Draw Faces (Cleared) Draw Lines (Selected) 4. Click Apply. You can zoom in on the sampling plane to see the location of the sampling points (where lines intersect). There are a total of 400 (20 * 20) sampling points on the plane. A vector can be created at each sampling point. 5. Hide the plane by clearing the visibility check box next to Sample. Creating a 1. Click Vector and accept the default name. Vector Plot 2. Apply the following settings: Using Different Sampling Methods Tab Setting Value Geometry Definition > Locations Sample Definition > Sampling Vertex Symbol Symbol Size 0.25 3. Click Apply. 4. Zoom until the vector plot is roughly the same size as the viewer. You should be able to see a region of recirculation behind the blunt body. ANSYS CFX Tutorials. ANSYS CFX Release 11.0. © 1996-2006 ANSYS Europe, Ltd. All rights reserved. Page 121 Contains proprietary and confidential information of ANSYS, Inc. and its subsidiaries and affiliates.
  • 134.
    Tutorial 5: FlowAround a Blunt Body: Viewing the Results in ANSYS CFX-Post 5. Ignore the vertices on the sampling plane and increase the density of the vectors by applying the following settings: Tab Setting Value Geometry Definition > Sampling Equally Spaced Definition > # of Points 1000 6. Click Apply. 7. Change the location of the Vector plot by applying the following setting: Tab Setting Value Geometry Definition > Locations SymP 8. Click Apply. Creating a Pressure Plot 1. Apply the following settings to the boundary condition named Body: Tab Setting Value Color Mode Variable Variable Pressure View Apply Instancing Transform > Transform Instance Transform 1 2. Click Apply. 3. Apply the following settings to SymP: Tab Setting Value Render Draw Faces (Cleared) Draw Line (Selected) 4. Click Apply. You will be able to see the mesh around the blunt body, with the mesh length scale decreasing near the body, but still coarse in the region of recirculation. By zooming in, you will be able to see the layers of inflated elements near the body. Creating Surface Streamlines In order to show the path of air along the surface of the blunt body, surface streamlines can be made as follows: 1. Clear the visibility of Body, SymP and Vector 1. 2. Create a new plane named Starter. 3. Apply the following settings Page 122 ANSYS CFX Tutorials. ANSYS CFX Release 11.0. © 1996-2006 ANSYS Europe, Ltd. All rights reserved. Contains proprietary and confidential information of ANSYS, Inc. and its subsidiaries and affiliates.
  • 135.
    Tutorial 5: FlowAround a Blunt Body: Viewing the Results in ANSYS CFX-Post Tab Setting Value Geometry Definition > Method YZ Plane X -0.1 [m] 4. Click Apply. The plane appears just upstream of the blunt body. 5. Clear the visibility check box for the plane. This hides the plane from view, although the plane still exists. 6. Click Streamline . and click OK to accept the default name. 7. Apply the following settings: Tab Setting Value Geometry Type Surface Streamline Definition > Surfaces Body Definition > Start From Locations Definition > Locations Starter Definition > Max Points 100 Definition > Direction Forward 8. Apply the following settings. The surface streamlines appear on half of the surface of the blunt body. They start near the upstream end because the starting points were formed by projecting nodes from the plane to the blunt body. Moving Objects In ANSYS CFX-Post, you can reposition some locator objects directly in the viewer by using the mouse. 1. Select the visibility check box for the plane named Starter. 2. Select the Single Select mouse pointer from the Selection Tools toolbar. 3. In the viewer, click the Starter plane to select it, then use the left mouse button to drag it along the X axis. Notice that the streamlines are redrawn as the plane moves. Creating a Surface Plot of y+ The velocity next to a no-slip wall boundary changes rapidly from a value of zero at the wall to the free stream value a short distance away from the wall. This layer of high velocity gradient is known as the boundary layer. Many meshes are not fine enough near a wall to accurately resolve the velocity profile in the boundary layer. Wall functions can be used in these cases to apply an assumed functional shape of the velocity profile. Other grids are fine enough that they do not require wall functions, and application of the latter has little effect. ANSYS CFX Tutorials. ANSYS CFX Release 11.0. © 1996-2006 ANSYS Europe, Ltd. All rights reserved. Page 123 Contains proprietary and confidential information of ANSYS, Inc. and its subsidiaries and affiliates.
  • 136.
    Tutorial 5: FlowAround a Blunt Body: Viewing the Results in ANSYS CFX-Post The majority of cases fall somewhere in between these two extremes, where the boundary layer is partially resolved by nodes near the wall and wall functions are used to supplement accuracy where the nodes are not sufficiently clustered near the wall. One indicator of the closeness of the first node to the wall is the dimensionless wall distance + + y . It is good practice to examine the values of y at the end of your simulation. At the + lower limit, a value of y less than or equal to 11 indicates that the first node is within the laminar sublayer of the boundary flow. Values larger than this indicate that an assumed logarithmic shape of the velocity profile is being used to model the boundary layer portion between the wall and the first node. Ideally you should confirm that there are several nodes (3 or more) resolving the boundary layer profile. If this is not observed, it is highly recommended that more nodes be added near the wall surfaces in order to improve simulation accuracy. In this tutorial, a coarse mesh is used to reduce the run time. Thus, the grid is far too coarse to resolve any of the boundary layer profile, and the solution is not highly accurate. Surface Plot of A surface plot is one which colors a surface according to the values of a variable: in this case, y+ + + y . A surface plot of y can be obtained as follows: 1. Clear the visibility of all previous plots. 2. Under the Outline tab, apply the following settings to BluntBodyDefault: Tab Setting Value Color Mode Variable Variable Yplus* View Apply Instancing Transform > Transform Instance Transform 1 *. Click the ellipsis icon to the right of the Variable dropdown menu to view a full list of variables, including Yplus. 3. Click Apply. 4. Under the Outline tab, apply the following settings to Body: Tab Setting Value Color Mode Variable Variable Yplus* View Apply Instancing Transform > Transform Instance Transform 1 *. Click the ellipsis icon to the right of the Variable dropdown menu to view a full list of variables, including Yplus. 5. Click Apply. Page 124 ANSYS CFX Tutorials. ANSYS CFX Release 11.0. © 1996-2006 ANSYS Europe, Ltd. All rights reserved. Contains proprietary and confidential information of ANSYS, Inc. and its subsidiaries and affiliates.
  • 137.
    Tutorial 5: FlowAround a Blunt Body: Viewing the Results in ANSYS CFX-Post Demonstrating Power Syntax This section demonstrates a power syntax macro used to evaluate the variation of any variable in the direction of the x-axis. This is an example of power syntax programming in ANSYS CFX-Post. Synopsis A macro containing CCL and power syntax will be loaded by playing a session file. This macro will be executed by entering a line of power syntax in the Command Editor dialog box. The macro tells ANSYS CFX-Post to create slice planes, normal to the X axis, at 20 evenly-spaced locations from the beginning to the end of the domain. On each plane, it measures and prints the minimum, maximum, and average values for a specified variable (using conservative values). The planes are colored using the specified variable. Note: The ANSYS CFX-Post engine can respond to CCL commands issued directly, or to commands issued using the graphical user interface. The Command Editor dialog box can be used to enter any valid CCL command directly. Procedure 1. Play the session file named BluntBodyDist.cse. 2. Right-click a blank area in the viewer and select Predefined Camera > View Towards -X. 3. Select Tools > Command Editor from the menu bar. 4. Type the following line into the Command Editor dialog box (the quotation marks and the semi-colon are required): !BluntBodyDist("Velocity u"); 5. Click Process. The minimum, maximum and average values of the variable at each X location are written to the file BluntBody.txt. The results can be viewed by opening the file in a text editor. You can also run the macro with a different variable. To view the content of the session file (which contains explanatory comments), open the session file in a text editor. It contains all of the CCL and power syntax commands and will provide a better understanding of how the macro works. Viewing the Mesh Partitions (Parallel Only) If you solved this tutorial in parallel, then an additional variable named Real partition number will be available in ANSYS CFX-Post 1. Create an Isosurface of Real partition number equal to 1. 2. Create a second Isosurface of Real partition number equal to 1.999. The two Isosurfaces show the edges of the two partitions. The gap between the two plots shows the overlap nodes. These were contained in both partitions 1 and 2. When you have finished looking at the results, quit ANSYS CFX-Post. ANSYS CFX Tutorials. ANSYS CFX Release 11.0. © 1996-2006 ANSYS Europe, Ltd. All rights reserved. Page 125 Contains proprietary and confidential information of ANSYS, Inc. and its subsidiaries and affiliates.
  • 138.
    Tutorial 5: FlowAround a Blunt Body: Viewing the Results in ANSYS CFX-Post Page 126 ANSYS CFX Tutorials. ANSYS CFX Release 11.0. © 1996-2006 ANSYS Europe, Ltd. All rights reserved. Contains proprietary and confidential information of ANSYS, Inc. and its subsidiaries and affiliates.
  • 139.
    Tutorial 6: Buoyant Flowin a Partitioned Cavity Introduction This tutorial includes: • Tutorial 6 Features (p. 128) • Overview of the Problem to Solve (p. 128) • Defining a Simulation in ANSYS CFX-Pre (p. 129) • Obtaining a Solution using ANSYS CFX-Solver Manager (p. 134) • Viewing the Results in ANSYS CFX-Post (p. 135) If this is the first tutorial you are working with, it is important to review the following topics before beginning: • Setting the Working Directory (p. 1) • Changing the Display Colors (p. 2) Unless you plan on running a session file, you should copy the sample files used in this tutorial from the installation folder for your software (<CFXROOT>/examples/) to your working directory. This prevents you from overwriting source files provided with your installation. If you plan to use a session file, please refer to Playing a Session File (p. 129). Sample files referenced by this tutorial include: • Buoyancy2D.geo • Buoyancy2D.pre ANSYS CFX Tutorials Page 127 ANSYS CFX Release 11.0. © 1996-2006 ANSYS Europe, Ltd. All rights reserved. Contains proprietary and confidential information of ANSYS, Inc. and its subsidiaries and affiliates.
  • 140.
    Tutorial 6: BuoyantFlow in a Partitioned Cavity: Tutorial 6 Features Tutorial 6 Features This tutorial addresses the following features of ANSYS CFX. Component Feature Details ANSYS CFX-Pre User Mode General Mode Simulation Type Transient Fluid Type General Fluid Domain Type Single Domain Turbulence Model Laminar Heat Transfer Thermal Energy Buoyant Flow Boundary Conditions Symmetry Plane Outlet (Subsonic) Wall: No-Slip Wall: Adiabatic Wall: Fixed Temperature Output Control Timestep Transient Example Transient Results File ANSYS CFX-Post Plots Default Locators Report Other Time Step Selection Transient Animation In this tutorial you will learn about: • Using CFX-4 Mesh Import. • Setting up a time dependent (transient) simulation. • Modeling buoyant flow. Overview of the Problem to Solve This tutorial demonstrates the capability of ANSYS CFX in modeling buoyancy-driven flows which require the inclusion of gravitational effects. Page 128 ANSYS CFX Tutorials. ANSYS CFX Release 11.0. © 1996-2006 ANSYS Europe, Ltd. All rights reserved. Contains proprietary and confidential information of ANSYS, Inc. and its subsidiaries and affiliates.
  • 141.
    Tutorial 6: BuoyantFlow in a Partitioned Cavity: Defining a Simulation in ANSYS CFX-Pre The model is a 2D partitioned cavity containing air. The bottom of the cavity is kept at a constant temperature of 75°C, while the top is held constant at 5°C. The cavity is also tilted at an angle of 30 degrees to the horizontal. A transient simulation is set up to see how the flow develops starting from stationary conditions. Since you are starting from stationary conditions, there is no need to solve a steady-state simulation for use as the initial guess. 5 C air 75 C The mesh for the cavity was created in CFX-4 and has been provided. Defining a Simulation in ANSYS CFX-Pre You are going to import a hexahedral mesh originally generated in CFX-4. The mesh contains labelled regions which will enable you to apply the relevant boundary conditions for this problem. Playing a Session File If you wish to skip past these instructions, and have ANSYS CFX-Pre set up the simulation automatically, you can select Session > Play Tutorial from the menu in ANSYS CFX-Pre, then run the session file: Buoyancy2D.pre. After you have played the session file as described in earlier tutorials under Playing the Session File and Starting ANSYS CFX-Solver Manager (p. 87), proceed to Obtaining a Solution using ANSYS CFX-Solver Manager (p. 134). Creating a New Simulation 1. Start ANSYS CFX-Pre. 2. Create a new simulation using General Mode. 3. Select File > Save Simulation As and set File name to Buoyancy2D. 4. Click Save. Importing the Mesh 1. Right-click Mesh and select Import Mesh. The Import Mesh dialog box appears. ANSYS CFX Tutorials. ANSYS CFX Release 11.0. © 1996-2006 ANSYS Europe, Ltd. All rights reserved. Page 129 Contains proprietary and confidential information of ANSYS, Inc. and its subsidiaries and affiliates.
  • 142.
    Tutorial 6: BuoyantFlow in a Partitioned Cavity: Defining a Simulation in ANSYS CFX-Pre 2. Apply the following settings Setting Value File type CFX-4 File name Buoyancy2D.geo* *. This file is in your tutorial directory. 3. Click Open. Simulation Type The default units and coordinate frame settings are suitable for this tutorial, but the simulation type needs to be set to transient. You will notice physics validation messages as the case is set to Transient. These errors will be fixed in the later part of the tutorial. 1. Click Simulation Type . 2. Apply the following settings Tab Setting Value Basic Settings Simulation Type > Option Transient Simulation Type > Time Duration > 2 [s] Total Time* Simulation Type > Time Steps > 0.025 [s] Timesteps† Simulation Type > Initial Time > Time 0 [s] *. This is the total duration, in real time, for the simulation †. This is the interval from one step, in real time, to the next. The simulation will continue, moving forward in time by 0.025 s, until the total time has been reached 3. Click OK. Page 130 ANSYS CFX Tutorials. ANSYS CFX Release 11.0. © 1996-2006 ANSYS Europe, Ltd. All rights reserved. Contains proprietary and confidential information of ANSYS, Inc. and its subsidiaries and affiliates.
  • 143.
    Tutorial 6: BuoyantFlow in a Partitioned Cavity: Defining a Simulation in ANSYS CFX-Pre Creating the Domain gsin30 30 gcos30 g y x 30 You will model the cavity as if it were tilted at an angle of 30°. You can do this by specifying horizontal and vertical components of the gravity vector, which are aligned with the default coordinate axes, as shown in the diagram above. To Create a New 1. Click Domain , and set the name to Buoyancy2D. Domain 2. Apply the following settings to Buoyancy2D Tab Setting Value General Basic Settings > Fluids List Air at 25 C Options Domain Models > Pressure > Reference Pressure 1 [atm] Domain Models > Buoyancy > Option Buoyant Domain Models > Buoyancy > Gravity X Dirn. -4.9 [m s^-2] Domain Models > Buoyancy > Gravity Y Dirn. -8.5 [m s^-2] Domain Models > Buoyancy > Gravity Z Dirn. 0.0 [m s^-2]* Domain Models > Buoyancy > Buoy. Ref. Temp. 40 [C]† Fluid Models Heat Transfer > Option Thermal Energy Turbulence > Option None (Laminar) *. This produces a gravity vector which simulates the tilt of the cavity †. Do not forget to change the units. This is just an approximate representative domain temperature. Initialization will be set up using Global Initialization , so there is no need to visit the Initialization tab. 3. Click OK. ANSYS CFX Tutorials. ANSYS CFX Release 11.0. © 1996-2006 ANSYS Europe, Ltd. All rights reserved. Page 131 Contains proprietary and confidential information of ANSYS, Inc. and its subsidiaries and affiliates.
  • 144.
    Tutorial 6: BuoyantFlow in a Partitioned Cavity: Defining a Simulation in ANSYS CFX-Pre Creating the Boundary Conditions Hot and Cold You will create a wall boundary condition with a fixed temperature of 75 C on the bottom Wall Boundary surface of the cavity, as follows: 1. Create a new boundary condition named hot. 2. Apply the following settings Tab Setting Value Basic Settings Boundary Type Wall Location WALLHOT Boundary Heat Transfer > Option Temperature Details Heat Transfer > Fixed Temperature 75 [C] 3. Click OK. 4. Create a new boundary condition named cold. 5. Apply the following settings Tab Setting Value Basic Settings Boundary Type Wall Location WALLCOLD Boundary Heat Transfer > Option Temperature Details Heat Transfer > Fixed Temperature 5 [C] 6. Click OK. Symmetry Plane A single symmetry plane boundary condition can be used for the front and back of the Boundary cavity. 1. Create a new boundary condition named SymP. 2. Apply the following settings Tab Setting Value Basic Settings Boundary Type Symmetry Location SYMMET1, SYMMET2* *. Use the <Ctrl> key to select more than one region. 3. Click OK. The default adiabatic wall boundary condition will automatically be applied to the remaining boundaries. Setting Initial Values You should set initial settings using the Automatic with Value option when defining a transient simulation. Using this option, the first run will use the specified initial conditions while subsequent runs will use results file data for initial conditions. Page 132 ANSYS CFX Tutorials. ANSYS CFX Release 11.0. © 1996-2006 ANSYS Europe, Ltd. All rights reserved. Contains proprietary and confidential information of ANSYS, Inc. and its subsidiaries and affiliates.
  • 145.
    Tutorial 6: BuoyantFlow in a Partitioned Cavity: Defining a Simulation in ANSYS CFX-Pre 1. Click Global Initialization . 2. Apply the following settings Tab Setting Value Global Settings Initial Conditions > Cartesian Velocity Automatic with Components > Option Value Initial Conditions > Cartesian Velocity 0 [m s^-1] Components > U Initial Conditions > Cartesian Velocity 0 [m s^-1] Components > V Initial Conditions > Cartesian Velocity 0 [m s^-1] Components > W Initial Conditions > Static Pressure > Relative 0 [Pa] Pressure Initial Conditions > Temperature > Temperature 5 [C] 3. Click OK. Setting Output Control 1. Click Output Control . 2. Click the Trn Results tab. 3. Create a new Transient Results item with the default name. 4. Apply the following settings Tab Setting Value Trn Results Transient Results > Transient Results 1 > Selected Variables Option Transient Results > Transient Results 1 > Pressure, Temperature, Output Variables List* Velocity Transient Results > Transient Results 1 > Time Interval Output Frequency > Option Transient Results > Transient Results 1 > 0.1 [s] Output Frequency > Time Interval *. Click the ellipsis icon to select items if they do not appear in the drop-down list. Use the <Ctrl> key to select multiple items. 5. Click OK. Setting Solver Control 1. Click Solver Control . 2. Apply the following settings ANSYS CFX Tutorials. ANSYS CFX Release 11.0. © 1996-2006 ANSYS Europe, Ltd. All rights reserved. Page 133 Contains proprietary and confidential information of ANSYS, Inc. and its subsidiaries and affiliates.
  • 146.
    Tutorial 6: BuoyantFlow in a Partitioned Cavity: Obtaining a Solution using ANSYS CFX-Solver Manager Tab Setting Value Basic Settings Advection Scheme > Option High Resolution Convergence Control > Max. Coeff. Loops 5 Convergence Criteria > Residual Type RMS Convergence Criteria > Residual Target 1.E-4* *. An RMS value of at least 1.E-5 is usually required for adequate convergence, but the default value of 1.E-4 is sufficient for demonstration purposes. 3. Click OK. Writing the Solver (.def) File 1. Click Write Solver File . 2. Apply the following settings: Setting Value File name Buoyancy2D.def Quit CFX–Pre* (Selected) *. If using ANSYS CFX-Pre in Standalone Mode. 3. Ensure Start Solver Manager is selected and click Save. 4. If using Standalone Mode, quit ANSYS CFX-Pre, saving the simulation (.cfx) file at your discretion. Obtaining a Solution using ANSYS CFX-Solver Manager When ANSYS CFX-Pre has shut down and ANSYS CFX-Solver Manager has started, you can obtain a solution to the CFD problem by using the following procedure. Note: Recall that the output displayed on the Out File tab of the ANSYS CFX-Solver Manager is more complicated for transient problems than for steady-state problems. Each timestep consists of several iterations, and after the timestep, information about various quantities is printed. 1. Click Start Run. 2. Click Yes to post-process the results when the completion message appears at the end of the run. 3. If using Standalone Mode, quit ANSYS CFX-Solver Manager. Page 134 ANSYS CFX Tutorials. ANSYS CFX Release 11.0. © 1996-2006 ANSYS Europe, Ltd. All rights reserved. Contains proprietary and confidential information of ANSYS, Inc. and its subsidiaries and affiliates.
  • 147.
    Tutorial 6: BuoyantFlow in a Partitioned Cavity: Viewing the Results in ANSYS CFX-Post Viewing the Results in ANSYS CFX-Post In this section, you will create a report in ANSYS CFX-Post. You will also make an animation to see changes in temperature with time. Simple Report First, you will view a report that is created with little effort: 1. Click the Report Viewer tab. Note that the report loads with some automatically-generated statistical information. 2. In the Outline tree view, under Report, experiment with the various settings for Mesh Report, Physics Report and other report objects. These settings control the report contents. On the Report Viewer tab, you can click Refresh to see the changes to your report. Plots Here, you will create the following objects in preparation for generating a more customized report: • Contour plot of temperature • Point locators (for observing temperature) • Comment • Figure showing the contour plot and point locator • Time chart showing the temperature at the point locator • Table Contour Plot 1. Click the 3D Viewer tab and right-click a blank area of the viewer, then select Predefined Camera > View Towards -Z. 2. Select Insert > Contour from the main menu. 3. Accept the default name by clicking OK. 4. Set Locations to SymP. 5. Set Variable to Temperature. 6. Click Apply. The contour plot shows the temperature at the end of the simulation, since ANSYS CFX-Post loads values for the last timestep by default. You can load different timesteps using the Timestep Selector dialog box, accessible by selecting Tools > Timestep Selector from the main menu. Point Locators 1. From the main menu, select Insert > Location > Point. 2. Accept the default name by clicking OK. 3. Set Method to XYZ. 4. Set Point coordinates to 0.098, 0.05, 0.00125. 5. Click Apply. Note the location of Point 1 in the viewer. ANSYS CFX Tutorials. ANSYS CFX Release 11.0. © 1996-2006 ANSYS Europe, Ltd. All rights reserved. Page 135 Contains proprietary and confidential information of ANSYS, Inc. and its subsidiaries and affiliates.
  • 148.
    Tutorial 6: BuoyantFlow in a Partitioned Cavity: Viewing the Results in ANSYS CFX-Post 6. Right-click the Point 1 object in the tree view and select Duplicate from the shortcut menu. 7. Accept the default name by clicking OK. 8. Right-click the Point 2 object in the tree view and select Edit from the shortcut menu. 9. Change the x-coordinate to 0.052. 10. Click Apply. Note the location of Point 2 in the viewer. Comment 1. Click Create comment . 2. Accept the default name by clicking OK. A comment object appears in the tree view, under the Report object. 3. Set Heading to Buoyant Flow in a Partitioned Cavity. 4. In the large text box, type: This is a sample paragraph. Figure 1. Click the 3D Viewer tab. 2. Select Insert > Figure from the main menu. 3. Accept the default name by clicking OK. The Make copies of objects check box determines whether or not the objects that are visible in the viewer are copied. If objects are copied, then the copies are used in the figure instead of the originals. Since you are not using multiple views or figures, the check box setting does not matter. A figure object will appear under the Report branch in the tree view. Time Chart 1. Select Insert > Chart from the main menu. 2. Accept the default name by clicking OK. 3. Set Title to Temperature versus Time. 4. Set Type to Time. 5. Click the Chart Line 1 tab. 6. Set Line Name to Temperature at Point 1. 7. Set Method to Point. 8. Set Location to Point 1. 9. Set Time Variable > Variable to Temperature. 10. Click Apply. A chart object will appear under the Report branch in the tree view. The chart itself will appear in the Chart Viewer tab. It may take some time for the chart to appear because every transient results file will be loaded in order to generate the time chart. 11. Click New Line (on the Chart Line 1 tab). 12. Set Line Name to Temperature at Point 2. 13. Set Location to Point 2 and Time Variable > Variable to Temperature. 14. Click Apply. A second chart line will appear in the chart, representing the temperature at Point 2. Table 1. Select Insert > Table from the main menu. Page 136 ANSYS CFX Tutorials. ANSYS CFX Release 11.0. © 1996-2006 ANSYS Europe, Ltd. All rights reserved. Contains proprietary and confidential information of ANSYS, Inc. and its subsidiaries and affiliates.
  • 149.
    Tutorial 6: BuoyantFlow in a Partitioned Cavity: Viewing the Results in ANSYS CFX-Post 2. Accept the default name by clicking OK. A table object will appear under the Report branch in the tree view. 3. Set the following: Cell Value A1 Location A2 Point 1 A3 Point 2 B1 Temperature B2 =probe(Temperature)@Point 1 B3 =probe(Temperature)@Point 2 The table shows temperatures at the end of the simulation, since ANSYS CFX-Post loads values for the last timestep by default. You can load different timesteps using the Timestep Selector dialog box, accessible by selecting Tools > Timestep Selector. Customized Report Right-click the Report object and select Refresh from the shortcut menu. Look at the report in the Report Viewer tab. Note that, in addition to the automatically-generated objects that you saw earlier when creating a simple report, this report also includes the customized figure, time chart and table described above. Animations Use the animation feature to see the changing temperature field. The animation feature was used in Tutorial 4: Flow from a Circular Vent (p. 93). Completion When you have finished, quit ANSYS CFX-Post. ANSYS CFX Tutorials. ANSYS CFX Release 11.0. © 1996-2006 ANSYS Europe, Ltd. All rights reserved. Page 137 Contains proprietary and confidential information of ANSYS, Inc. and its subsidiaries and affiliates.
  • 150.
    Tutorial 6: BuoyantFlow in a Partitioned Cavity: Viewing the Results in ANSYS CFX-Post Page 138 ANSYS CFX Tutorials. ANSYS CFX Release 11.0. © 1996-2006 ANSYS Europe, Ltd. All rights reserved. Contains proprietary and confidential information of ANSYS, Inc. and its subsidiaries and affiliates.
  • 151.
    Tutorial 7: Free SurfaceFlow Over a Bump Introduction This tutorial includes: • Tutorial 7 Features (p. 139) • Overview of the Problem to Solve (p. 140) • Defining a Simulation in ANSYS CFX-Pre (p. 141) • Obtaining a Solution using ANSYS CFX-Solver Manager (p. 148) • Viewing the Results in ANSYS CFX-Post (p. 149) • Using a Supercritical Outlet Condition (p. 154) If this is the first tutorial you are working with, it is important to review the following topics before beginning. • Setting the Working Directory (p. 1) • Changing the Display Colors (p. 2) Unless you plan on running a session file, you should copy the sample files used in this tutorial from the installation folder for your software (<CFXROOT>/examples/) to your working directory. This prevents you from overwriting source files provided with your installation. If you plan to use a session file, please refer to Playing a Session File (p. 141). Sample files referenced by this tutorial include: • Bump2D.pre • Bump2DExpressions.ccl • Bump2Dpatran.out Tutorial 7 Features This tutorial addresses the following features of ANSYS CFX: ANSYS CFX Tutorials Page 139 ANSYS CFX Release 11.0. © 1996-2006 ANSYS Europe, Ltd. All rights reserved. Contains proprietary and confidential information of ANSYS, Inc. and its subsidiaries and affiliates.
  • 152.
    Tutorial 7: FreeSurface Flow Over a Bump: Overview of the Problem to Solve Component Feature Details ANSYS CFX-Pre User Mode General Mode Simulation Type Steady State Fluid Type General Fluid Domain Type Single Domain Turbulence Model k-Epsilon Heat Transfer None Buoyant Flow Multiphase Boundary Conditions Inlet (Subsonic) Outlet (Subsonic) Symmetry Plane Wall: No-Slip Wall: Free-Slip CEL (CFX Expression Language) Mesh Adaption Timestep Physical Time Scale ANSYS CFX-Post Plots Default Locators Isosurface Polyline Sampling Plane Vector Volume Other Chart Creation Title/Text Viewing the Mesh In this tutorial you will learn about: • Mesh import in PATRAN Neutral format. • Setting up a 2D problem. • Setting up appropriate boundary conditions for a free surface simulation. (Free surface simulations are more sensitive to incorrect boundary and initial guess settings than other more basic models.) • Mesh adaption to refine the mesh where the volume fraction gradient is greatest. (This aids in the development of a sharp interface between the liquid and gas.) Overview of the Problem to Solve This tutorial demonstrates the simulation of a free surface flow. The geometry consists of a 2D channel in which the bottom of the channel is interrupted by a semi-circular bump of radius 30 mm. The flow upstream of the bump is subcritical. The downstream conditions are not known but can be estimated using an analytical 1D calculation or data tables for flow over a bump. Page 140 ANSYS CFX Tutorials. ANSYS CFX Release 11.0. © 1996-2006 ANSYS Europe, Ltd. All rights reserved. Contains proprietary and confidential information of ANSYS, Inc. and its subsidiaries and affiliates.
  • 153.
    Tutorial 7: FreeSurface Flow Over a Bump: Defining a Simulation in ANSYS CFX-Pre Defining a Simulation in ANSYS CFX-Pre The following sections describe the simulation setup in ANSYS CFX-Pre. Playing a Session File If you wish to skip past these instructions, and have ANSYS CFX-Pre set up the simulation automatically, you can select Session > Play Tutorial from the menu in ANSYS CFX-Pre, then run the session file: Bump2D.pre. After you have played the session file as described in earlier tutorials under Playing the Session File and Starting ANSYS CFX-Solver Manager (p. 87), proceed to Obtaining a Solution using ANSYS CFX-Solver Manager (p. 148). Creating a New Simulation 1. Start ANSYS CFX-Pre. 2. Select File > New Simulation. 3. Select General and click OK. 4. Select File > Save Simulation As. 5. Under File name, type Bump2D. 6. Click Save. Importing the Mesh 1. Right-click Mesh and select Import Mesh. The Import Mesh dialog box appears. 2. Apply the following settings Setting Value File type PATRAN Neutral File name Bump2Dpatran.out 3. Click Open. 4. Right-click a blank area in the viewer and select Predefined Camera > View Towards -Z from the shortcut menu. Viewing the 1. Click Label and Marker Visibility . Region Labels 2. Apply the following settings Tab Setting Value Label Options Show Labels (Selected) Show Labels > Show Primitive3D Labels (Selected) Show Labels > Show Primitive2D Labels (Selected) 3. Click OK. ANSYS CFX Tutorials. ANSYS CFX Release 11.0. © 1996-2006 ANSYS Europe, Ltd. All rights reserved. Page 141 Contains proprietary and confidential information of ANSYS, Inc. and its subsidiaries and affiliates.
  • 154.
    Tutorial 7: FreeSurface Flow Over a Bump: Defining a Simulation in ANSYS CFX-Pre Creating Expressions for Initial and Boundary Conditions Simulation of free surface flows usually requires defining boundary and initial conditions to set up appropriate pressure and volume fraction fields. You will need to create expressions using CEL (CFX Expression Language) to define these conditions. In this simulation, the following conditions are set and require expressions: • An inlet boundary where the volume fraction above the free surface is 1 for air and 0 for water, and below the free surface is 0 for air and 1 for water. • A pressure-specified outlet boundary, where the pressure above the free surface is constant and the pressure below the free surface is a hydrostatic distribution. This requires you to know the approximate height of the fluid at the outlet. In this case, an analytical solution for 1D flow over a bump was used. The simulation is not sensitive to the exact outlet fluid height, so an approximation is sufficient. You will examine the effect of the outlet boundary condition in the post-processing section and confirm that it does not affect the validity of the results. It is necessary to specify such a boundary condition to force the flow downstream of the bump into the supercritical regime. • An initial pressure field for the domain with a similar pressure distribution to that of the outlet boundary. Either create expressions using the Expressions workspace or import expressions from a file. • Creating Expressions (p. 142) • Reading Expressions From a File (p. 143) Creating 1. Right-click Expressions in the tree view and select Insert > Expression. Expressions 2. Set the name to UpH and click OK. 3. Set Definition to 0.069 [m], and then click Apply. 4. Use the same method to create the expressions listed in the table below. These are expressions for the downstream free surface height, the density of the fluid, the upstream volume fractions of air and water, the upstream pressure distribution, the downstream volume fractions of air and water, and the downstream pressure distribution. Name Definition DownH 0.022 [m] DenH 998 [kg m^-3] UpVFAir step((y-UpH)/1[m]) UpVFWater 1-UpVFAir UpPres DenH*g*UpVFWater*(UpH-y) DownVFAir step((y-DownH)/1[m]) DownVFWater 1-DownVFAir DownPres DenH*g*DownVFWater*(DownH-y) 5. Proceed to Creating the Domain (p. 143). Page 142 ANSYS CFX Tutorials. ANSYS CFX Release 11.0. © 1996-2006 ANSYS Europe, Ltd. All rights reserved. Contains proprietary and confidential information of ANSYS, Inc. and its subsidiaries and affiliates.
  • 155.
    Tutorial 7: FreeSurface Flow Over a Bump: Defining a Simulation in ANSYS CFX-Pre Reading 1. Copy the file Bump2DExpressions.ccl to your working directory from the ANSYS CFX Expressions examples directory. From a File 2. Select File > Import CCL. 3. When Import CCL appears, ensure that Append is selected. 4. Select Bump2DExpressions.ccl. 5. Click Open. 6. After the file has been imported, use the Expression tree view to view the expressions that have been created. Creating the Domain 1. Right click Simulation in the Outline tree view and ensure that Automatic Default Domain is selected. A domain named Default Domain should now appear under the Simulation branch. 2. Double click Default Domain and apply the following settings Tab Setting Value General Basic Settings > Fluids List Air at 25 C, Water Options Domain Models > Pressure > Reference Pressure 1 [atm] Domain Models > Buoyancy > Option Buoyant Domain Models > Buoyancy > Gravity X Dirn. 0 [m s^-2] Domain Models > Buoyancy > Gravity Y Dirn.* -g Domain Models > Buoyancy > Gravity Z Dirn. 0 [m s^-2] Domain Models > Buoyancy > Buoy. Ref. Density† 1.185 [kg m^-3] Domain Models > Buoyancy > Ref Location > Option Automatic Fluid Models Multiphase Options > Homogeneous Model‡ (Selected) Multiphase Options > Free Surface Model > Option Standard Heat Transfer > Option Isothermal Heat Transfer > Fluid Temperature 25 C Turbulence > Option k-Epsilon *. You need to click Enter Expression beside the field first. †. Always set Buoyancy Reference Density to the density of the least dense fluid in free surface calculations. ‡. The homogeneous model solves for a single solution field. This is only appropriate in some simulations. 3. Click OK. Creating the Boundary Conditions Inlet Boundary 1. Create a new boundary condition named inflow. 2. Apply the following settings ANSYS CFX Tutorials. ANSYS CFX Release 11.0. © 1996-2006 ANSYS Europe, Ltd. All rights reserved. Page 143 Contains proprietary and confidential information of ANSYS, Inc. and its subsidiaries and affiliates.
  • 156.
    Tutorial 7: FreeSurface Flow Over a Bump: Defining a Simulation in ANSYS CFX-Pre Tab Setting Value Basic Boundary Type Inlet Settings Location INFLOW Boundary Mass and Momentum > Option Normal Speed Details Mass and Momentum > Option > Normal Speed 0.26 [m s^-1] Turbulence > Option Intensity and Length Scale Turbulence > Value 0.05 Turbulence > Eddy Len. Scale* UpH Fluid Values Boundary Conditions Air as 25 C Air at 25 C > Volume Fraction > Volume Fraction UpVFAir Boundary Conditions Water Water > Volume Fraction > Volume Fraction UpVFWater *. Click the Enter Expression icon. 3. Click OK. Outlet 1. Create a new boundary condition named outflow. Boundary 2. Apply the following settings Tab Setting Value Basic Boundary Type Outlet Settings Location OUTFLOW Boundary Flow Regime> Option Subsonic Details Mass and Momentum > Option Static Pressure Mass and Momentum > Relative Pressure DownPres 3. Click OK. Symmetry 1. Create a new boundary condition named front. Boundary 2. Apply the following settings Tab Setting Value Basic Boundary Type Symmetry Settings Location FRONT 3. Click OK. 4. Create a new boundary condition named back. 5. Apply the following settings Tab Setting Value Basic Boundary Type Symmetry Settings Location BACK Page 144 ANSYS CFX Tutorials. ANSYS CFX Release 11.0. © 1996-2006 ANSYS Europe, Ltd. All rights reserved. Contains proprietary and confidential information of ANSYS, Inc. and its subsidiaries and affiliates.
  • 157.
    Tutorial 7: FreeSurface Flow Over a Bump: Defining a Simulation in ANSYS CFX-Pre 6. Click OK. Wall and 1. Create a new boundary condition named top. Opening 2. Apply the following settings Boundaries Tab Setting Value Basic Settings Boundary Type Opening Location TOP Boundary Details Mass And Momentum > Option Static Pres. (Entrain) Mass And Momentum > Relative Pressure 0 [Pa] Turbulence > Option Zero Gradient Fluid Values Boundary Conditions Air at 25 C Boundary Conditions > Air at 25 C > 1.0 Volume Fraction > Volume Fraction Boundary Conditions Water Boundary Conditions > Water > Volume 0.0 Fraction > Volume Fraction 3. Click OK. 4. Create a new boundary condition named bottom. 5. Apply the following settings Tab Setting Value Basic Boundary Type Wall Settings Location BOTTOM1, BOTTOM2, BOTTOM3 Boundary Wall Influence on Flow > Option No Slip Details Wall Roughness > Option Smooth Wall 6. Click OK. Setting Initial Values 1. Click Global Initialization . 2. Apply the following settings ANSYS CFX Tutorials. ANSYS CFX Release 11.0. © 1996-2006 ANSYS Europe, Ltd. All rights reserved. Page 145 Contains proprietary and confidential information of ANSYS, Inc. and its subsidiaries and affiliates.
  • 158.
    Tutorial 7: FreeSurface Flow Over a Bump: Defining a Simulation in ANSYS CFX-Pre Tab Setting Value Global Settings Initial Conditions > Cartesian Velocity Automatic with Value Components > Option Initial Conditions > Cartesian Velocity 0.26 [m s^-1] Components > U Initial Conditions > Cartesian Velocity 0 [m s^-1] Components > V Initial Conditions > Cartesian Velocity 0 [m s^-1] Components > W Initial Conditions > Static Pressure > Option Automatic with Value Initial Conditions > Static Pressure > Relative UpPres Pressure Initial Conditions > Turbulence Eddy Dissipation (Selected) Fluid Settings Fluid Specific Initialization > Air at 25 C (Selected) Air at 25 C > Initial Conditions > Volume Fraction > Automatic with Value Option Air at 25 C > Initial Conditions > Volume Fraction > UpVFAir Volume Fraction Fluid Settings Fluid Specific Initialization > Water (Selected) Fluid Specific Initialization > Water > Initial Automatic with Value Conditions > Volume Fraction > Option Fluid Specific Initialization > Water > Initial UpVFWater Conditions > Volume Fraction > Volume Fraction 3. Click OK. Setting Mesh Adaption Parameters 1. Click Mesh Adaption . 2. Apply the following settings Tab Setting Value Basic Settings Activate Adaption (Selected) Save Intermediate Files (Cleared) Adaption Criteria > Variables List Air at 25 C.Volume Fraction Adaption Criteria > Max. Num. Steps 2 Adaption Criteria > Option Multiple of Initial Mesh Adaption Criteria > Node Factor 4 Adaption Convergence Criteria > Max. 100 Iter. per Step Advanced Options Node Alloc. Param. 1.6 Number of Levels 2 3. Click OK. Page 146 ANSYS CFX Tutorials. ANSYS CFX Release 11.0. © 1996-2006 ANSYS Europe, Ltd. All rights reserved. Contains proprietary and confidential information of ANSYS, Inc. and its subsidiaries and affiliates.
  • 159.
    Tutorial 7: FreeSurface Flow Over a Bump: Defining a Simulation in ANSYS CFX-Pre Setting Solver Control Important: Setting Max Iterations to 200 and Number of Adaption Levels to 2 with a maximum of 100 timesteps each, results in a total maximum number of timesteps of 400 (2*100+200=400). 1. Click Solver Control . 2. Apply the following settings Tab Setting Value Basic Settings Convergence Control > Max. Iterations 200 Convergence Control >Fluid Timescale Physical Timescale Control > Timescale Control Convergence Control >Fluid Timescale 0.25 [s] Control > Physical Timescale Advanced Options Multiphase Control (Selected) Multiphase Control > Volume Fraction (Selected) Coupling Multiphase Control > Volume Fraction Coupled Coupling > Option Note: The options selected above activate the Coupled Volume Fraction solution algorithm. This algorithm typically converges better than the Segregated Volume Faction algorithm for buoyancy-driven problems such as this tutorial, which requires a 0.05 [s] timescale using the Segregated Volume Faction algorithm compared with 0.25 [s] for the Coupled Volume Fraction algorithm. Note: 3. Click OK. Writing the Solver (.def) File 1. Click Write Solver File . 2. Apply the following settings: Setting Value File name Bump2D.def Quit CFX–Pre* (Selected) *. If using ANSYS CFX-Pre in Standalone Mode. 3. Ensure Start Solver Manager is selected and click Save. 4. If using Standalone Mode, quit ANSYS CFX-Pre, saving the simulation (.cfx) file at your discretion. ANSYS CFX Tutorials. ANSYS CFX Release 11.0. © 1996-2006 ANSYS Europe, Ltd. All rights reserved. Page 147 Contains proprietary and confidential information of ANSYS, Inc. and its subsidiaries and affiliates.
  • 160.
    Tutorial 7: FreeSurface Flow Over a Bump: Obtaining a Solution using ANSYS CFX-Solver Manager Obtaining a Solution using ANSYS CFX-Solver Manager When ANSYS CFX-Pre has shut down and ANSYS CFX-Solver Manager has started, the solution will be obtained. Within 100 iterations, the first adaption step will be performed. Information will be written to the OUT file, containing the number of elements refined and the size of the new mesh. After mesh refinement, there will be a jump in the residual levels. This is because the solution from the old mesh is interpolated on to the new mesh. A new residual plot will also appear for the W-Mom-Bulk equation. Hexahedral mesh elements are refined orthogonally, so the mesh is no longer 2D (it is more than 1 element thick in the z-direction). Y Before Refinement After Refinement X Z Convergence to the target residual level has been achieved. It is common for convergence in a residual sense to be difficult to obtain in a free surface simulation. This is due to the presence of small waves at the surface preventing the residuals from dropping to the target level. This is more frequently a problem in the subcritical flow regime, as the waves can travel upstream. In the supercritical regime, the waves tend to get carried downstream and out the domain. To satisfy convergence in these cases, monitor the value of a global quantity, (for example, drag for flow around a ship’s hull) to see when a steady state value is reached. Where there is no obvious global quantity to monitor, you should view the results to see where the solution is changing. You can do this by running transient for a few timesteps, starting from a results file that you think is converged, or by writing some backup results files at different timesteps. In both cases look to see where the results are changing (this could be due to the presence of small transient waves). Also confirm that the value of quantities that you are interested in (for example, downstream fluid height for this case) has reached a steady state value. 1. Click Start Run. 2. Click Yes to post-process the results when the completion message appears at the end of the run. 3. If using Standalone Mode, quit ANSYS CFX-Solver Manager. Page 148 ANSYS CFX Tutorials. ANSYS CFX Release 11.0. © 1996-2006 ANSYS Europe, Ltd. All rights reserved. Contains proprietary and confidential information of ANSYS, Inc. and its subsidiaries and affiliates.
  • 161.
    Tutorial 7: FreeSurface Flow Over a Bump: Viewing the Results in ANSYS CFX-Post Viewing the Results in ANSYS CFX-Post 1. Select View Towards -Z by right-clicking on a blank area in the viewer and selecting Predefined Camera > View Towards -Z. 2. Zoom in so the geometry fills the Viewer. 3. In the tree view under Bump2D, edit front. 4. Apply the following settings Tab Setting Value Color Mode Variable Variable Water.Volume Fraction 5. Click Apply. 6. Clear the check box next to front. Creating Velocity Vector Plots The next step involves creating a sampling plane to display velocity vectors for Water. 1. Create a new plane named Plane 1. 2. Apply the following settings Tab Setting Value Geometry Definition > Method XY Plane Plane Bounds > Type Rectangular Plane Bounds > X Size 1.25 [m] Plane Bounds > Y Size 0.3 [m] Plane Bounds > X Angle 0 [degree] Plane Type Sample X Samples 160 Y Samples 40 Render Draw Faces (Cleared) Draw Lines (Selected) 3. Click Apply. 4. Clear the check box next to Plane 1. 5. Create a new vector named Vector 1. 6. Apply the following settings Tab Setting Value Geometry Definition > Locations Plane 1 Definition > Variable * Water.Velocity Symbol Symbol Size 0.5 ANSYS CFX Tutorials. ANSYS CFX Release 11.0. © 1996-2006 ANSYS Europe, Ltd. All rights reserved. Page 149 Contains proprietary and confidential information of ANSYS, Inc. and its subsidiaries and affiliates.
  • 162.
    Tutorial 7: FreeSurface Flow Over a Bump: Viewing the Results in ANSYS CFX-Post *. Since fluids in a free-surface calculation share the same velocity field, only the velocity of the first non-vapour fluid is available. The other allowed velocities are superficial velocities. For details, see Further Post-processing (p. 154). 7. Click Apply. 8. Apply the following settings Tab Setting Value Geometry Definition > Variable Air at 25 C.Superficial Velocity Symbol Symbol Size 0.15 Normalize Symbols (Selected) 9. Click Apply. Viewing Mesh Refinement In this section, you will view the surface mesh on one of the symmetry boundaries, create volume objects to show where the mesh was modified, and create a vector plot to visualize the added mesh nodes. 1. Clear the check box next to Vector 1.. 2. Zoom in so the geometry fills the Viewer. 3. In Outline under Default Domain, edit front. 4. Apply the following settings Tab Setting Value Color Mode Constant Render Draw Faces (Cleared) Draw Lines (Selected) 5. Click Apply. • The mesh has been refined near the free surface. • In the transition region between different levels of refinement, tetrahedral and pyramidal elements are used since it is not possible to recreate hexahedral elements in ANSYS CFX. Near the inlet, the aspect ratio of these elements increases. Page 150 ANSYS CFX Tutorials. ANSYS CFX Release 11.0. © 1996-2006 ANSYS Europe, Ltd. All rights reserved. Contains proprietary and confidential information of ANSYS, Inc. and its subsidiaries and affiliates.
  • 163.
    Tutorial 7: FreeSurface Flow Over a Bump: Viewing the Results in ANSYS CFX-Post • Avoid performing mesh refinement on high-aspect-ratio hex meshes, as this will produce high aspect ratio tetrahedral-elements, resulting in poor mesh quality. Figure 1 Mesh around the bump 6. Create a new volume named first refinement elements. 7. Apply the following settings Tab Setting Value Geometry Definition > Method Isovolume Definition > Variable Refinement Level Definition > Mode At Value Definition > Value 1 Render Draw Faces (Cleared) Draw Lines (Selected) Draw Lines > Line Width 2 Draw Lines > Color Mode User Specified Draw Lines > Line Color (Green) 8. Click Apply. You will see a band of green which indicates the elements that include nodes added during the first mesh adaption. 9. Create a new volume named second refinement elements. 10. Apply the following settings Tab Setting Value Geometry Definition > Method Isovolume Definition > Variable Refinement Level Definition >Mode At Value Definition > Value 2 Color Color White ANSYS CFX Tutorials. ANSYS CFX Release 11.0. © 1996-2006 ANSYS Europe, Ltd. All rights reserved. Page 151 Contains proprietary and confidential information of ANSYS, Inc. and its subsidiaries and affiliates.
  • 164.
    Tutorial 7: FreeSurface Flow Over a Bump: Viewing the Results in ANSYS CFX-Post Tab Setting Value Render Draw Faces (Selected) Draw Lines (Selected) Draw Lines > Line Width 4 Draw Lines > Color Mode User Specified Draw Lines > Line Color (Black) 11. Click Apply. You will see a band of white (with black lines) which indicates the elements that include nodes added during the second mesh adaption. 12. Zoom in to a region where the mesh has been refined. The Refinement Level variable holds an integer value at each node, which is either 0, 1 or 2 (since you used a maximum of two adaption levels). The nodal values of refinement level will be visualized next. 13. Create a new vector named Vector 2. 14. Apply the following settings Tab Setting Value Geometry Definition > Location Bump2D Definition > Variable * (Any Vector Variable) Color Mode Variable Variable Refinement Level Symbol Symbol Cube Symbol Size 0.02 Normalize Symbols (Selected) *. The variable’s magnitude and direction do not matter since you will change the vector symbol to a cube with a normalized size. 15. Click Apply. Blue nodes (Refinement Level 0 according to the color legend) are part of the original mesh. Green nodes (Refinement Level 1) were added during the first adaption step. Red nodes (Refinement Level 2) were added during the second adaption step. Note that some elements contain combinations of blue, green, and red nodes. Creating a Chart Next, you will create a chart to show how the height of the free surface varies along the length of the channel. To do this, you will need a Polyline which follows the free surface. You can create the Polyline from the intersecting line between one of the Symmetry planes and an Isosurface which shows the free surface. First you must create the Isosurface. 1. Clear the visibility check boxes for all of the objects except Wireframe. 2. Create a new isosurface named Isosurface 1. 3. Apply the following settings Page 152 ANSYS CFX Tutorials. ANSYS CFX Release 11.0. © 1996-2006 ANSYS Europe, Ltd. All rights reserved. Contains proprietary and confidential information of ANSYS, Inc. and its subsidiaries and affiliates.
  • 165.
    Tutorial 7: FreeSurface Flow Over a Bump: Viewing the Results in ANSYS CFX-Post Tab Setting Value Geometry Definition > Variable Water.Volume Fraction Definition > Value 0.5 4. Click Apply. Creating isosurfaces using this method is a good way to visualize a free surface in a 3D simulation. 5. Right-click any blank area in the viewer, select Predefined Camera, then select Isometric View (Y up). Creating a These steps explain creating a Polyline which follows the free surface: Polyline to 1. Clear the visibility check box for Isosurface 1. Follow the Free Surface 2. Create a new polyline named Polyline 1. 3. Apply the following settings Tab Setting Value Geometry Method Boundary Intersection Boundary List front Intersect With Isosurface 1 4. Click Apply. A green line is displayed that follows the high-Z edge of the isosurface. Creating a Chart 1. Create a new chart named Chart 1. to Show the The Chart Viewer tab is selected. Height of the 2. Apply the following settings Surface Tab Setting Value Chart Line 1 Line Name free surface height Location Polyline 1 X Axis > Variable X Y Axis > Variable Y Appearance > Symbols Rectangle Chart Title Free Surface Height for Flow over a Bump 3. Click Apply. As discussed in Creating Expressions for Initial and Boundary Conditions (p. 142), an approximate outlet elevation is imposed as part of the boundary condition, even though the flow is supercritical. The chart illustrates the effect of this, in that the water level rises just before the exit plane. It is evident from this plot that imposing the elevation does not affect the upstream flow. ANSYS CFX Tutorials. ANSYS CFX Release 11.0. © 1996-2006 ANSYS Europe, Ltd. All rights reserved. Page 153 Contains proprietary and confidential information of ANSYS, Inc. and its subsidiaries and affiliates.
  • 166.
    Tutorial 7: FreeSurface Flow Over a Bump: Using a Supercritical Outlet Condition The chart shows a wiggle in the elevation of the free surface interface at the inlet. This is related to an overspecification of conditions at the inlet, since both the inlet velocity and elevation were specified. For a subcritical inlet, only the velocity or the total energy should be specified. The wiggle is due to a small inconsistency between the specified elevation and the elevation computed by the solver to obtain critical conditions at the bump. The wiggle is analogous to one found if pressure and velocity were both specified at a subsonic inlet, in a converging-diverging nozzle with choked flow at the throat. Further Post-processing You may wish to create some plots using the <Fluid>.Superficial Velocity variables. This is the fluid volume fraction multiplied by the fluid velocity and is sometimes called the volume flux. It is useful to use this variable for vector plots in separated multiphase flow, as you will only see a vector where a significant amount of that phase exists. Using a Supercritical Outlet Condition For supercritical free surface flows, the supercritical outlet boundary condition is usually the most appropriate boundary condition for the outlet, since it does not rely on the specification of the outlet pressure distribution (which depends on an estimate of the free surface height at the outlet). The supercritical outlet boundary condition requires a relative pressure specification for the gas only; no pressure information is required for the liquid at the outlet. For this tutorial, the relative gas pressure at the outlet should be set to 0 [Pa]. The supercritical outlet condition may admit multiple solutions. To find the supercritical solution, it is often necessary to start with a static pressure outlet condition (as previously done in this tutorial) or an average static pressure condition where the pressure is set consistent with an elevation to drive the solution into the supercritical regime. The outlet condition can then be changed to the supercritical option. Page 154 ANSYS CFX Tutorials. ANSYS CFX Release 11.0. © 1996-2006 ANSYS Europe, Ltd. All rights reserved. Contains proprietary and confidential information of ANSYS, Inc. and its subsidiaries and affiliates.
  • 167.
    Tutorial 8: Supersonic FlowOver a Wing Introduction This tutorial includes: • Tutorial 8 Features (p. 155) • Overview of the Problem to Solve (p. 157) • Defining a Simulation in ANSYS CFX-Pre (p. 157) • Obtaining a Solution using ANSYS CFX-Solver Manager (p. 162) • Viewing the Results in ANSYS CFX-Post (p. 162) If this is the first tutorial you are working with, it is important to review the following topics before beginning: • Setting the Working Directory (p. 1) • Changing the Display Colors (p. 2) Unless you plan on running a session file, you should copy the sample files used in this tutorial from the installation folder for your software (<CFXROOT>/examples/) to your working directory. This prevents you from overwriting source files provided with your installation. If you plan to use a session file, please refer to Playing a Session File (p. 157). Sample files referenced by this tutorial include: • WingSPS.pre • WingSPSMesh.out Tutorial 8 Features This tutorial addresses the following features of ANSYS CFX. ANSYS CFX Tutorials Page 155 ANSYS CFX Release 11.0. © 1996-2006 ANSYS Europe, Ltd. All rights reserved. Contains proprietary and confidential information of ANSYS, Inc. and its subsidiaries and affiliates.
  • 168.
    Tutorial 8: SupersonicFlow Over a Wing: Tutorial 8 Features Component Feature Details ANSYS CFX-Pre User Mode General Mode Simulation Type Steady State Fluid Type Ideal Gas Domain Type Single Domain Turbulence Model Shear Stress Transport Heat Transfer Total Energy Boundary Conditions Inlet (Supersonic) Outlet (Supersonic) Symmetry Plane Wall: No-Slip Wall: Adiabatic Wall: Free-Slip Domain Interfaces Fluid-Fluid (No Frame Change) Timestep Auto Time Scale ANSYS CFX-Post Plots Contour Default Locators Vector Other Variable Details View In this tutorial you will learn about: • Setting up a supersonic flow simulation. • Using the Shear Stress Transport turbulence model to accurately resolve flow around the wing surface. • Defining custom vector variables for use in visualizing pressure distribution. Page 156 ANSYS CFX Tutorials. ANSYS CFX Release 11.0. © 1996-2006 ANSYS Europe, Ltd. All rights reserved. Contains proprietary and confidential information of ANSYS, Inc. and its subsidiaries and affiliates.
  • 169.
    Tutorial 8: SupersonicFlow Over a Wing: Overview of the Problem to Solve Overview of the Problem to Solve This example demonstrates the use of ANSYS CFX in simulating supersonic flow over a symmetric NACA0012 airfoil at 0° angle of attack. A 2D section of the wing is modeled. A 2D hexahedral mesh is provided that is imported into ANSYS CFX-Pre. air speed 1.25 [m] u = 600 m/s outlet 30 [m] wing surface 70 [m] Defining a Simulation in ANSYS CFX-Pre The following sections describe the simulation setup in ANSYS CFX-Pre. Playing a Session File If you wish to skip past these instructions, and have ANSYS CFX-Pre set up the simulation automatically, you can select Session > Play Tutorial from the menu in ANSYS CFX-Pre, then run the session file: WingSPS.pre. After you have played the session file as described in earlier tutorials under Playing the Session File and Starting ANSYS CFX-Solver Manager (p. 87), proceed to Obtaining a Solution using ANSYS CFX-Solver Manager (p. 162). Creating a New Simulation 1. Start ANSYS CFX-Pre. 2. Select File > New Simulation. 3. Select General and click OK. 4. Select File > Save Simulation As. 5. Under File name, type WingSPS. 6. Click Save. ANSYS CFX Tutorials. ANSYS CFX Release 11.0. © 1996-2006 ANSYS Europe, Ltd. All rights reserved. Page 157 Contains proprietary and confidential information of ANSYS, Inc. and its subsidiaries and affiliates.
  • 170.
    Tutorial 8: SupersonicFlow Over a Wing: Defining a Simulation in ANSYS CFX-Pre Importing the Mesh 1. Right-click Mesh and select Import Mesh. The Import Mesh dialog box appears. 2. Apply the following settings Setting Value File type PATRAN Neutral File name WingSPSMesh.out 3. Click Open. 4. Right-click a blank area in the viewer and select Predefined Camera > Isometric View (Y up) from the shortcut menu. Creating the Domain Creating a New 1. Right click Simulation in the Outline tree view and ensure that Automatic Default Domain Domain is selected. A domain named Default Domain should now appear under the Simulation branch. 2. Double click it and apply the following settings Tab Setting Value General Options Basic Settings > Location WING Fluids List Air Ideal Gas Domain Models > Pressure > 1 [atm] Reference Pressure* Fluid Models Heat Transfer > Option Total Energy† Turbulence > Option Shear Stress Transport *. When using an ideal gas, it is important to set an appropriate reference pressure since some properties depend on the absolute pressure level. †. The Total Energy model is appropriate for high speed flows since it includes kinetic energy effects. 3. Click OK. Creating the Boundary Conditions Inlet Boundary 1. Create a new boundary condition named Inlet. 2. Apply the following settings Tab Setting Value Basic Settings Boundary Type Inlet Location INLET Page 158 ANSYS CFX Tutorials. ANSYS CFX Release 11.0. © 1996-2006 ANSYS Europe, Ltd. All rights reserved. Contains proprietary and confidential information of ANSYS, Inc. and its subsidiaries and affiliates.
  • 171.
    Tutorial 8: SupersonicFlow Over a Wing: Defining a Simulation in ANSYS CFX-Pre Tab Setting Value Boundary Details Flow Regime > Option Supersonic Mass and Momentum > Option Cart. Vel. & Pressure Mass and Momentum > U 600 [m s^-1] Mass and Momentum > V 0 [m s^-1] Mass and Momentum > W 0 [m s^-1] Mass and Momentum > Rel. Static Pres. 0 [Pa] Turbulence > Option Intensity and Length Scale Turbulence > Value 0.01 Turbulence > Eddy Len. Scale 0.02 [m] Heat Transfer > Static Temperature 300 [K] 3. Click OK. Outlet 1. Create a new boundary condition named Outlet. Boundary 2. Apply the following settings Tab Setting Value Basic Settings Boundary Type Outlet Location OUTLET Boundary Details Flow Regime > Option Supersonic 3. Click OK. Symmetry Plane 1. Create a new boundary condition named SymP1. Boundary 2. Apply the following settings Tab Setting Value Basic Settings Boundary Type Symmetry Location SIDE1 3. Click OK. 4. Create a new boundary condition named SymP2. 5. Apply the following settings Tab Setting Value Basic Settings Boundary Type Symmetry Location SIDE2 6. Click OK. 7. Create a new boundary condition named Bottom. 8. Apply the following settings ANSYS CFX Tutorials. ANSYS CFX Release 11.0. © 1996-2006 ANSYS Europe, Ltd. All rights reserved. Page 159 Contains proprietary and confidential information of ANSYS, Inc. and its subsidiaries and affiliates.
  • 172.
    Tutorial 8: SupersonicFlow Over a Wing: Defining a Simulation in ANSYS CFX-Pre Tab Setting Value Basic Settings Boundary Type Symmetry Location BOTTOM 9. Click OK. Free Slip 1. Create a new boundary condition named Top. Boundary 2. Apply the following settings Tab Setting Value Basic Settings Boundary Type Wall Location TOP Boundary Details Wall Influence on Flow > Option Free Slip 3. Click OK. Wall Boundary 1. Create a new boundary condition named WingSurface. 2. Apply the following settings Tab Setting Value Basic Settings Boundary Type Wall Location WING_Nodes* *. Click the ellipsis icon to select items if they do not appear in the drop-down list. 3. Click OK. Creating Domain Interfaces The imported mesh contains three regions which will be connected with domain interfaces. 1. Create a new domain interface named Domain Interface 1. 2. Apply the following settings Tab Setting Value Basic Settings Interface Type Fluid Fluid Interface Side 1 > Region List Primitive 2D A* Interface Side 2 > Region List Primitive 2D, Primitive 2D B *. Click the ellipsis icon to select items if they do not appear in the drop-down list. 3. Click OK. Page 160 ANSYS CFX Tutorials. ANSYS CFX Release 11.0. © 1996-2006 ANSYS Europe, Ltd. All rights reserved. Contains proprietary and confidential information of ANSYS, Inc. and its subsidiaries and affiliates.
  • 173.
    Tutorial 8: SupersonicFlow Over a Wing: Defining a Simulation in ANSYS CFX-Pre Setting Initial Values For high speed compressible flow, the ANSYS CFX-Solver usually requires sensible initial conditions to be set for the velocity field. 1. Click Global Initialization . 2. Apply the following settings Tab Setting Value Global Initial Conditions > Cartesian Velocity Components > Option Automatic Settings with Value Initial Conditions > Cartesian Velocity Components > U 600 [m s^-1] Initial Conditions > Cartesian Velocity Components > V 0 [m s^-1] Initial Conditions > Cartesian Velocity Components > W 0 [m s^-1] Initial Conditions > Temperature > Option Automatic with Value Initial Conditions > Temperature > Temperature 300 [K] Initial Conditions > Turbulence Eddy Dissipation (Selected) 3. Click OK. Setting Solver Control The residence time for the fluid is approximately: 70 [m] / 600 [m s^-1] = 0.117 [s] In the next step, you will start with a conservative time scale that gradually increases towards the fluid residence time as the residuals decrease. A user specified maximum time scale can be combined with an auto timescale in ANSYS CFX-Pre. 1. Click Solver Control . 2. Apply the following settings Tab Setting Value Basic Settings Convergence Control > Fluid Timescale (Selected) Control > Maximum Timescale Convergence Control > Fluid Timescale 0.1 [s] Control > Maximum Timescale > Maximum Timescale Convergence Criteria > Residual Target 1.0e-05 3. Click OK. Writing the Solver (.def) File Since this tutorial uses domain interfaces and the Summarize Interface Data toggle was selected, an information window is displayed that informs you of the connection type used for each domain interface. ANSYS CFX Tutorials. ANSYS CFX Release 11.0. © 1996-2006 ANSYS Europe, Ltd. All rights reserved. Page 161 Contains proprietary and confidential information of ANSYS, Inc. and its subsidiaries and affiliates.
  • 174.
    Tutorial 8: SupersonicFlow Over a Wing: Obtaining a Solution using ANSYS CFX-Solver Manager 1. Click Write Solver File . 2. Apply the following settings Setting Value File name WingSPS.def Summarize Interface Data (Selected) Quit CFX–Pre* (Selected) *. If using ANSYS CFX-Pre in Standalone Mode. 3. Ensure Start Solver Manager is selected and click Save. 4. The Interface Summary dialog box is displayed. This displays information related to the summary of interface connections. Click OK. 5. If using Standalone Mode, quit ANSYS CFX-Pre, saving the simulation (.cfx) file at your discretion. Obtaining a Solution using ANSYS CFX-Solver Manager When ANSYS CFX-Pre has shut down, and the ANSYS CFX-Solver Manager has started, obtain a solution to the CFD problem by following the instructions below. 1. In the ANSYS CFX-Solver Manager, click Start Run. 2. Click Yes to post-process the results when the completion message appears at the end of the run. 3. If using Standalone Mode, quit ANSYS CFX-Solver Manager. Viewing the Results in ANSYS CFX-Post The following topics will be discussed: • Displaying Mach Information (p. 162) • Displaying Pressure Information (p. 163) • Displaying Temperature Information (p. 163) • Displaying Pressure With User Vectors (p. 163) Displaying Mach Information The first view configured shows that the bulk of the flow over the wing has a Mach Number of over 1.5. 1. Select View Towards -Z by typing <Shift>+<Z>. 2. Zoom in so the geometry fills the Viewer. 3. Create a new contour named SymP2Mach. 4. Apply the following settings Page 162 ANSYS CFX Tutorials. ANSYS CFX Release 11.0. © 1996-2006 ANSYS Europe, Ltd. All rights reserved. Contains proprietary and confidential information of ANSYS, Inc. and its subsidiaries and affiliates.
  • 175.
    Tutorial 8: SupersonicFlow Over a Wing: Viewing the Results in ANSYS CFX-Post Tab Setting Value Geometry Locations SymP2 Variable Mach Number Range User Specified Min 1 Max 2 # of Contours 21 5. Click Apply. 6. Clear the check box next to SymP2Mach. Displaying Pressure Information You will now create a contour plot that shows the pressure field. 1. Create a new contour named SymP2Pressure. 2. Apply the following settings Tab Setting Value Geometry Locations SymP2 Variable Pressure Range Global 3. Click Apply. 4. Clear the check box next to SymP2Pressure. Displaying Temperature Information You can confirm that a significant energy loss occurs around the wing leading edge by plotting temperature on SymP2. The temperature at the wing tip is approximately 180 K higher than the inlet temperature. 1. Create a new contour named SymP2Temperature. 2. Apply the following settings Tab Setting Value Geometry Locations SymP2 Variable Temperature Range Global 3. Click Apply. 4. Clear the check box next to SymP2Temperature. Displaying Pressure With User Vectors You can also try creating a user vector to show the pressure acting on the wing: ANSYS CFX Tutorials. ANSYS CFX Release 11.0. © 1996-2006 ANSYS Europe, Ltd. All rights reserved. Page 163 Contains proprietary and confidential information of ANSYS, Inc. and its subsidiaries and affiliates.
  • 176.
    Tutorial 8: SupersonicFlow Over a Wing: Viewing the Results in ANSYS CFX-Post 1. Create a new variable named Variable 1. 2. Apply the following settings Name Setting Value Variable 1 Vector (Selected) X Expression (Pressure+101325[Pa])*Normal X Y Expression (Pressure+101325[Pa])*Normal Y Z Expression (Pressure+101325[Pa])*Normal Z 3. Click Apply. 4. Create a new vector named Vector 1. 5. Apply the following settings Tab Setting Value Geometry Locations WingSurface Variable Variable 1 Symbol Symbol Size 0.04 6. Click Apply. 7. Zoom in on the wing in order to see the created vector plot. Page 164 ANSYS CFX Tutorials. ANSYS CFX Release 11.0. © 1996-2006 ANSYS Europe, Ltd. All rights reserved. Contains proprietary and confidential information of ANSYS, Inc. and its subsidiaries and affiliates.
  • 177.
    Tutorial 9: Flow Througha Butterfly Valve Introduction This tutorial includes: • Tutorial 9 Features (p. 165) • Overview of the Problem to Solve (p. 166) • Defining a Simulation in ANSYS CFX-Pre (p. 167) • Obtaining a Solution using ANSYS CFX-Solver Manager (p. 180) • Viewing the Results in ANSYS CFX-Post (p. 180) If this is the first tutorial you are working with, it is important to review the following topics before beginning: • Setting the Working Directory (p. 1) • Changing the Display Colors (p. 2) Unless you plan on running a session file, you should copy the sample files used in this tutorial from the installation folder for your software (<CFXROOT>/examples/) to your working directory. This prevents you from overwriting source files provided with your installation. If you plan to use a session file, please refer to Playing a Session File (p. 167). Sample files referenced by this tutorial include: • PipeValve.pre • PipeValve_inlet.F • PipeValveMesh.gtm • PipeValveUserF.pre Tutorial 9 Features This tutorial addresses the following features of ANSYS CFX. ANSYS CFX Tutorials Page 165 ANSYS CFX Release 11.0. © 1996-2006 ANSYS Europe, Ltd. All rights reserved. Contains proprietary and confidential information of ANSYS, Inc. and its subsidiaries and affiliates.
  • 178.
    Tutorial 9: FlowThrough a Butterfly Valve: Overview of the Problem to Solve Component Feature Details ANSYS CFX-Pre User Mode General Mode Simulation Type Steady State Fluid Type General Fluid Domain Type Single Domain Turbulence Model k-Epsilon Heat Transfer None Particle Tracking Boundary Conditions Inlet (Profile) Inlet (Subsonic) Outlet (Subsonic) Symmetry Plane Wall: No-Slip Wall: Rough CEL (CFX Expression Language) User Fortran Timestep Auto Time Scale ANSYS CFX-Solver Manager Power-Syntax ANSYS CFX-Post Plots Animation Default Locators Particle Track Point Slice Plane Other Changing the Color Range MPEG Generation Particle Track Animation Quantitative Calculation Symmetry In this tutorial you will learn about: • using a rough wall boundary condition in ANSYS CFX-Pre to simulate the pipe wall • creating a fully developed inlet velocity profile using either the CFX Expression Language or a User CEL Function • setting up a Particle Tracking simulation in ANSYS CFX-Pre to trace sand particles • animating particle tracks in ANSYS CFX-Post to trace sand particles through the domain • quantitative calculation of average static pressure in ANSYS CFX-Post on the outlet boundary Overview of the Problem to Solve In industry, pumps and compressors are commonplace. An estimate of the pumping requirement can be calculated based on the height difference between source and destination and head loss estimates for the pipe and any obstructions/joints along the way. Page 166 ANSYS CFX Tutorials. ANSYS CFX Release 11.0. © 1996-2006 ANSYS Europe, Ltd. All rights reserved. Contains proprietary and confidential information of ANSYS, Inc. and its subsidiaries and affiliates.
  • 179.
    Tutorial 9: FlowThrough a Butterfly Valve: Defining a Simulation in ANSYS CFX-Pre Investigating the detailed flow pattern around a valve or joint however, can lead to a better understanding of why these losses occur. Improvements in valve/joint design can be simulated using CFD, and implemented to reduce pumping requirement and cost. Max. Vel. 5 m/s r = 20 mm 288 K Valve Plate Flows can also contain particulates that affect the flow and cause erosion to pipe and valve components. The particle tracking capability of ANSYS CFX can be used to simulate these effects. In this example, water flows through a 20 mm radius pipe with a rough internal surface. The equivalent sand grain roughness is 0.2 mm. The flow is controlled by a butterfly valve, which is set at an angle of 55° to the vertical axis. The velocity profile is assumed to be fully developed at the pipe inlet. The flow contains sand particles ranging in size from 50 to 500 microns. Defining a Simulation in ANSYS CFX-Pre The following sections describe the simulation setup in ANSYS CFX-Pre. Playing a Session File If you wish to skip past these instructions, and have ANSYS CFX-Pre set up the simulation automatically, you can select Session > Play Tutorial from the menu in ANSYS CFX-Pre, then run one of the following session files available for this tutorial: • PipeValve.pre sets the inlet velocity profile using a CEL (ANSYS CFX Expression Language) expression. • PipeValveUserF.pre sets the inlet velocity profile using a User CEL Function that is defined by a Fortran subroutine. This session file requires that you have the required Fortran compiler installed and set in your system path. For details on which Fortran compiler is required for your platform, see the applicable ANSYS, Inc. installation guide. If you are not sure which Fortran compiler is installed on your system, try running the cfx5mkext command (found in <CFXROOT>/bin) from the command line and read the output messages. ANSYS CFX Tutorials. ANSYS CFX Release 11.0. © 1996-2006 ANSYS Europe, Ltd. All rights reserved. Page 167 Contains proprietary and confidential information of ANSYS, Inc. and its subsidiaries and affiliates.
  • 180.
    Tutorial 9: FlowThrough a Butterfly Valve: Defining a Simulation in ANSYS CFX-Pre If you choose to run a session file do so using the procedure described in earlier tutorials under Playing the Session File and Starting ANSYS CFX-Solver Manager (p. 87), and then proceed to Obtaining a Solution using ANSYS CFX-Solver Manager (p. 180) once the simulation setup is complete. Creating a New Simulation 1. Start ANSYS CFX-Pre. 2. Select File > New Simulation. 3. Select General and click OK. 4. Select File > Save Simulation As. 5. Under File name, type PipeValve. 6. Click Save. Importing the Mesh 1. Right-click Mesh and select Import Mesh. 2. Apply the following settings Setting Value File name PipeValveMesh.gtm 3. Click Open. Defining the Properties of Sand The material properties of the sand particles used in the simulation need to be defined. Heat transfer and radiation modeling are not used in this simulation, so the only property that needs to be defined is the density of the sand. To calculate the effect of the particles on the continuous fluid, between 100 and 1000 particles are usually required. However, if accurate information about the particle volume fraction or local forces on wall boundaries is required, then a much larger number of particles needs to be modeled. When you create the domain, choose either full coupling or one-way coupling between the particle and continuous phase. Full coupling is needed to predict the effect of the particles on the continuous phase flow field but has a higher CPU cost than one-way coupling. One-way coupling simply predicts the particle paths during post-processing based on the flow field, but without affecting the flow field. To optimise CPU usage, you can create two sets of identical particles. The first set will be fully coupled and between 100 and 1000 particles will be used. This allows the particles to influence the flow field. The second set will use one-way coupling but a much higher number of particles will be used. This provides a more accurate calculation of the particle volume fraction and local forces on walls. 1. Click Material then create a new material named Sand Fully Coupled. Page 168 ANSYS CFX Tutorials. ANSYS CFX Release 11.0. © 1996-2006 ANSYS Europe, Ltd. All rights reserved. Contains proprietary and confidential information of ANSYS, Inc. and its subsidiaries and affiliates.
  • 181.
    Tutorial 9: FlowThrough a Butterfly Valve: Defining a Simulation in ANSYS CFX-Pre 2. Apply the following settings: Tab Setting Value Basic Settings Material Group Particle Solids Thermodynamic State (Selected) Material Properties Thermodynamic Properties > Equation of 2300 [kg m^-3] State > Density Thermodynamic Properties >Specific Heat (Selected) Capacity Thermodynamic Properties >Specific Heat 0 [J kg^-1 K^-1]* Capacity > Specific Heat Capacity Thermodynamic Properties > Reference (Selected) State Thermodynamic Properties > Reference Specified Point State > Option Thermodynamic Properties > Reference 300 [K] State > Ref. Temperature *. This value is not used because heat transfer is not modeled in this tutorial. 3. Click OK. 4. Under Materials, right-click Sand Fully Coupled and select Duplicate from the shortcut menu. 5. Name the duplicate Sand One Way Coupled. 6. Click OK. Sand One Way Coupled is created with properties identical to Sand Fully Coupled. Creating the Domain 1. Right click Simulation in the Outline tree view and ensure that Automatic Default Domain is selected. A domain named Default Domain should now appear under the Simulation branch. 2. Double click Default Domain and apply the following settings Tab Setting Value General Options Basic Settings > Fluids List Water Basic Settings > Particle Tracking (Selected) Basic Settings > Particle Tracking > Particles List Sand Fully Coupled, Sand One Way Coupled Domain Models > Pressure > Reference Pressure 1 [atm] Fluid Models Heat Transfer > Option None Turbulence > Option k-Epsilon* ANSYS CFX Tutorials. ANSYS CFX Release 11.0. © 1996-2006 ANSYS Europe, Ltd. All rights reserved. Page 169 Contains proprietary and confidential information of ANSYS, Inc. and its subsidiaries and affiliates.
  • 182.
    Tutorial 9: FlowThrough a Butterfly Valve: Defining a Simulation in ANSYS CFX-Pre Tab Setting Value Fluid Details Sand Fully Coupled (Selected) Sand Fully Coupled > Morphology > Option Solid Particles Sand Fully Coupled > Morphology > Particle (Selected) Diameter Distribution Sand Fully Coupled > Morphology > Particle Normal in Diameter by Diameter Distribution > Option Mass Sand Fully Coupled > Morphology > Particle 50e-6 [m] Diameter Distribution > Minimum Diameter Sand Fully Coupled > Morphology > Particle 500e-6 [m] Diameter Distribution > Maximum Diameter Sand Fully Coupled > Morphology > Particle 250e-6 [m] Diameter Distribution > Mean Diameter Sand Fully Coupled > Morphology > Particle 70e-6 [m] Diameter Distribution > Std. Deviation Sand Fully Coupled > Erosion Model (Selected) Sand Fully Coupled > Erosion Model > Option Finnie Sand Fully Coupled > Erosion Model > Vel. 2.0 Power Factor Sand Fully Coupled > Erosion Model > Reference 1 [m s^-1] Velocity *. The turbulence model only applies to the continuous phase and not the particle phases. 3. Apply the following settings Page 170 ANSYS CFX Tutorials. ANSYS CFX Release 11.0. © 1996-2006 ANSYS Europe, Ltd. All rights reserved. Contains proprietary and confidential information of ANSYS, Inc. and its subsidiaries and affiliates.
  • 183.
    Tutorial 9: FlowThrough a Butterfly Valve: Defining a Simulation in ANSYS CFX-Pre Tab Setting Value Fluid Details Sand One Way Coupled (Selected) Sand One Way Coupled > Morphology > Solid Particles Option Sand One Way Coupled > Morphology > (Selected) Particle Diameter Distribution Sand One Way Coupled > Morphology > Normal in Diameter by Mass Particle Diameter Distribution > Option Sand One Way Coupled > Morphology > 50e-6 [m] Particle Diameter Distribution > Minimum Diameter Sand One Way Coupled > Morphology > 500e-6 [m] Particle Diameter Distribution > Maximum Diameter Sand One Way Coupled > Morphology > 250e-6 [m] Particle Diameter Distribution > Mean Diameter Sand One Way Coupled > Morphology > 70e-6 [m] Particle Diameter Distribution > Std. Deviation Sand One Way Coupled > Erosion Model (Selected) Sand One Way Coupled > Erosion Model > Finnie Option Sand One Way Coupled > Erosion Model > 2.0 Vel. Power Factor Sand One Way Coupled > Erosion Model > 1 [m s^-1] Reference Velocity 4. Apply the following settings Tab Setting Value Fluid Details Water (Selected) Water > Morphology > Option Continuous Fluid Fluid Pairs Fluid Pairs Water | Sand Fully Coupled Fluid Pairs > Water | Sand Fully Coupled > Fully Coupled Particle Coupling Fluid Pairs > Water | Sand Fully Coupled > Schiller Naumann Momentum Transfer > Drag Force > Option Fluid Pairs Water | Sand One Way Coupled Fluid Pairs > Water | Sand One Way Coupled > One-way Coupling Particle Coupling Fluid Pairs > Water | Sand One Way Coupled > Schiller Naumann Momentum Transfer > Drag Force > Option 5. Click OK. ANSYS CFX Tutorials. ANSYS CFX Release 11.0. © 1996-2006 ANSYS Europe, Ltd. All rights reserved. Page 171 Contains proprietary and confidential information of ANSYS, Inc. and its subsidiaries and affiliates.
  • 184.
    Tutorial 9: FlowThrough a Butterfly Valve: Defining a Simulation in ANSYS CFX-Pre Creating the Inlet Velocity Profile In previous tutorials you have often defined a uniform velocity profile at an inlet boundary. This means that the inlet velocity near to the walls is the same as that at the center of the inlet. If you look at the results from these simulations, you will see that downstream of the inlet, a boundary layer will develop, so that the downstream near wall velocity is much lower than the inlet near wall velocity. You can simulate an inlet more accurately by defining an inlet velocity profile, so that the boundary layer is already fully developed at the inlet. The one seventh power law will be used in this tutorial to describe the profile at the pipe inlet. The equation for this is: 1 -- r 7 U = W max ⎛ 1 – ---------- ⎞ - (Eqn. 1) ⎝ R max⎠ where W max is the pipe centerline velocity, R max is the pipe radius, and r is the distance from the pipe centerline. A non uniform (profile) boundary condition can be created by: • Creating an expression using CEL that describes the inlet profile. OR • Creating a User CEL Function which uses a user subroutine (linked to the ANSYS CFX-Solver during execution) to describe the inlet profile. OR • Loading a BC profile file (a file which contains profile data). Profiles created from data files are not used in this tutorial, but are used in the tutorial Tutorial 3: Flow in a Process Injection Mixing Pipe (p. 77). In this tutorial, you use one of the first two methods listed above to define the velocity profile for the inlet boundary condition. The results from each method will be identical. Using a CEL expression is the easiest way to create the profile. The User CEL Function method is more complex but is provided as an example of how to use this feature. For more complex profiles, it may be necessary to use a User CEL Function or a BC profile file. To use the User CEL Function method, continue with this tutorial from User CEL Function Method for the Inlet Velocity Profile (p. 173). Note that you will need access to a Fortran compiler to be able to complete the tutorial by the User CEL Function method. To use the expression method, continue with the tutorial from this point. Expression 1. Create the following expressions. Method for the Inlet Velocity Profile Name Definition Rmax 20 [mm] Wmax 5 [m s^-1] Wprof Wmax*(abs(1-r/Rmax)^0.143) Page 172 ANSYS CFX Tutorials. ANSYS CFX Release 11.0. © 1996-2006 ANSYS Europe, Ltd. All rights reserved. Contains proprietary and confidential information of ANSYS, Inc. and its subsidiaries and affiliates.
  • 185.
    Tutorial 9: FlowThrough a Butterfly Valve: Defining a Simulation in ANSYS CFX-Pre In the definition of Wprof, the variable r (radius) is a ANSYS CFX System Variable defined as: 2 2 r = x +y (Eqn. 2) In this equation, x and y are defined as directions 1 and 2 (X and Y for Cartesian coordinate frames) respectively, in the selected reference coordinate frame. You should now continue with the tutorial from Creating the Boundary Conditions (p. 175). User CEL The Fortran subroutine has already been written for this tutorial. Function Method for the Important: You must have the required Fortran compiler installed and set in your system Inlet Velocity path in order to run this part of the tutorial. If you do not have a Fortran compiler, you should Profile use the expression method for defining the inlet velocity, as described in Expression Method for the Inlet Velocity Profile (p. 172). For details on which Fortran compiler is required for your platform, see the applicable ANSYS, Inc. installation guide. If you are not sure which Fortran compiler is installed on your system, try running the cfx5mkext command (found in <CFXROOT>/bin) from the command line and read the output messages. Compiling the Subroutine 1. Copy the subroutine PipeValve_inlet.F to your working directory. It is located in the <CFXROOT>/examples/ directory. 2. Examine the contents of this file in any text editor to gain a better understanding of this subroutine. This file was created by modifying the ucf_template.F file, which is available in the <CFXROOT>/examples/ directory. You can compile the subroutine and create the required library files used by the ANSYS CFX-Solver at any time before running the ANSYS CFX-Solver. The operation is performed at this point in the tutorial so that you have a better understanding of the values you need to specify in ANSYS CFX-Pre when creating a User CEL Function. The cfx5mkext command is used to create the required objects and libraries as described below. 3. From the main menu, select Tools > Command Editor. 4. Type the following in the Command Editor dialog box (make sure you do not miss the semi-colon at the end of the line): ! system ("cfx5mkext PipeValve_inlet.F") < 1 or die; • This is equivalent to executing the following at an OS command prompt: cfx5mkext PipeValve_inlet.F • The ! indicates that the following line is to be interpreted as power syntax and not CCL. Everything after the ! symbol is processed as Perl commands. • system is a Perl function to execute a system command. • The < 1 or die will cause an error message to be returned if, for some reason, there is an error in processing the command. 5. Click Process to compile the subroutine. ANSYS CFX Tutorials. ANSYS CFX Release 11.0. © 1996-2006 ANSYS Europe, Ltd. All rights reserved. Page 173 Contains proprietary and confidential information of ANSYS, Inc. and its subsidiaries and affiliates.
  • 186.
    Tutorial 9: FlowThrough a Butterfly Valve: Defining a Simulation in ANSYS CFX-Pre The output produced when this command is executed will be printed to your terminal window. Note: You can use the -double option (that is, cfx5mkext -double PipeValve_inlet.F) to compile the subroutine for use with double precision. A subdirectory will have been created in your working directory whose name is system dependent (for example, on IRIX it is named irix). This subdirectory contains the shared object library. Note: If you are running problems in parallel over multiple platforms then you will need to create these subdirectories using the cfx5mkext command for each different platform. • You can view more details about the cfx5mkext command by running cfx5mkext -help • You can set a Library Name and Library Path using the -name and -dest options respectively. • If these are not specified, the default Library Name is that of your Fortran file and the default Library Path is your current working directory. 6. Close the Command Editor dialog box. Creating the Input Arguments Next, you will create some values that will be used as input arguments when the subroutine is called. 1. Click Expression . 2. Set Name to Wmax, and then click OK. 3. Type 5 [m s^-1] into the Definition box, and then click Apply. The expression will be listed in the Expressions tree view. 4. Use the same method to create an expression named Rmax defined to be 20 [mm]. Creating the User CEL Function Two steps are required to define a User CEL Function that uses the compiled Fortran subroutine. First, a User Routine that points to the Fortran subroutine will be created. Then a User CEL Function that points to the User Routine will be created. 1. From the main toolbar, click User Routine . 2. Set Name to WprofRoutine, and then click OK. The User Routine details view appears. 3. Set Option to User CEL Function. 4. Set Calling Name to inlet_velocity. • This is the name of the subroutine within the Fortran file. • Always use lower case letters for the calling name, even if the subroutine name in the Fortran file is in upper case. 5. Set Library Name to PipeValve_inlet. • This is the name passed to the cfx5mkext command by the -name option. • If the -name option is not specified, a default is used. Page 174 ANSYS CFX Tutorials. ANSYS CFX Release 11.0. © 1996-2006 ANSYS Europe, Ltd. All rights reserved. Contains proprietary and confidential information of ANSYS, Inc. and its subsidiaries and affiliates.
  • 187.
    Tutorial 9: FlowThrough a Butterfly Valve: Defining a Simulation in ANSYS CFX-Pre • The default is the Fortran file name without the .F extension. 6. Set Library Path to the directory where the cfx5mkext command was executed (usually the current working directory). For example: • UNIX: /home/user/cfx/tutorials/PipeValve. • Windows: c:usercfxtutorialsPipeValve. This can be accomplished quickly by clicking Browse (next to Library Path), browsing to the appropriate folder in Select Directory (not necessary if selecting the working directory), and clicking OK (in Select Directory). 7. Click OK to complete the definition of the user routine. 8. Click User Function . 9. Set Name to WprofFunction, and then click OK. The Function details view appears. Important: You must not use the same name for the function and the routine. 10. Set Option to User Function. 11. Set User Routine Name to WprofRoutine. 12. Set Argument Units to [m s^-1], [m], [m]. These are the units for the three input arguments: Wmax, r, and Rmax. Set Result Units to [m s^-1], since the result will be a velocity for the inlet. 1. Click OK to complete the User Function specification. You can now use the user function (WprofFunction) in place of a velocity value by entering the expression WprofFunction(Wmax, r, Rmax) (although it only makes sense for the W component of the inlet velocity in this tutorial). In the definition of WprofFunction, the variable r (radius) is a system variable defined as: 2 2 r = x +y (Eqn. 3) In this equation, x and y are defined as directions 1 and 2 (X and Y for Cartesian coordinate frames) respectively, in the selected reference coordinate frame. Creating the Boundary Conditions Inlet Boundary 1. Create a new boundary condition named inlet. 2. Apply the following settings Tab Setting Value Basic Settings Boundary Type Inlet Location inlet ANSYS CFX Tutorials. ANSYS CFX Release 11.0. © 1996-2006 ANSYS Europe, Ltd. All rights reserved. Page 175 Contains proprietary and confidential information of ANSYS, Inc. and its subsidiaries and affiliates.
  • 188.
    Tutorial 9: FlowThrough a Butterfly Valve: Defining a Simulation in ANSYS CFX-Pre Tab Setting Value Boundary Mass And Momentum > Option Cart. Vel. Components Details Mass And Momentum > U 0 [m s^-1] Mass And Momentum > V 0 [m s^-1] Mass And Momentum > W Wprof -OR- WprofFunction(Wmax, r, Rmax)* Fluid Values† Boundary Conditions Sand Fully Coupled Sand Fully Coupled > Particle Behavior > Define (Selected) Particle Behavior Sand Fully Coupled > Mass and Momentum > Cart. Vel. Components‡ Option Sand Fully Coupled > Mass And Momentum > U 0 [m s^-1] Sand Fully Coupled > Mass And Momentum > V 0 [m s^-1] Sand Fully Coupled > Mass And Momentum > W Wprof -OR- WprofFunction(Wmax, r, Rmax)** Sand Fully Coupled > Particle Position > Option Uniform Injection Sand Fully Coupled > Particle Position > Number Direct Specification of Positions > Option Sand Fully Coupled > Particle Position > Number 200 of Positions > Number Sand Fully Coupled > Particle Mass Flow > Mass 0.01 [kg s^-1] Flow Rate Fluid Values Boundary Conditions Sand One Way Coupled Sand One Way Coupled > Particle Behavior > (Selected) Define Particle Behavior Sand One Way Coupled > Mass and Momentum > Cart. Vel. Components†† Option Sand One Way Coupled > Mass And Momentum > 0 [m s^-1] U Sand One Way Coupled > Mass And Momentum > 0 [m s^-1] V Sand One Way Coupled > Mass And Momentum > Wprof -OR- W WprofFunction(Wmax, r, Rmax)‡‡ Sand One Way Coupled > Particle Position > Uniform Injection Option Sand One Way Coupled > Particle Position > Direct Specification Number of Positions > Option Sand One Way Coupled > Particle Position > 5000 Number of Positions > Number Sand One Way Coupled > Particle Position > 0.01 [kg s^-1] Particle Mass Flow Rate > Mass Flow Rate Page 176 ANSYS CFX Tutorials. ANSYS CFX Release 11.0. © 1996-2006 ANSYS Europe, Ltd. All rights reserved. Contains proprietary and confidential information of ANSYS, Inc. and its subsidiaries and affiliates.
  • 189.
    Tutorial 9: FlowThrough a Butterfly Valve: Defining a Simulation in ANSYS CFX-Pre *. Use the Expressions details view to enter either Wprof if using the expression method, or WprofFunction(Wmax, r, Rmax) if using the User CEL Function method. †. Do NOT select Particle Diameter Distribution. The diameter distribution was defined when creating the domain; this option would override those settings for this boundary only. ‡. Instead of manually specifying the same velocity profile as the fluid, you can also select the Zero Slip Velocity option. **. as you did on the Boundary Details tab ††. Instead of manually specifying the same velocity profile as the fluid, you can also select the Zero Slip Velocity option. ‡‡. as you did on the Boundary Details tab 3. Click OK. One-way coupled particles are tracked as a function of the fluid flow field. The latter is not influenced by the one-way coupled particles. The fluid flow will therefore be influenced by the 0.01 [kg s^-1] flow of two-way coupled particles, but not by the 0.01 [kg s^-1] flow of one-way coupled particles. Outlet 1. Create a new boundary condition named outlet. Boundary 2. Apply the following settings Tab Setting Value Basic Settings Boundary Type Outlet Location outlet Boundary Flow Regime > Option Subsonic Details Mass and Momentum > Option Average Static Pressure Mass and Momentum > Relative Pressure 0 [Pa] 3. Click OK. Symmetry Plane 1. Create a new boundary condition named symP. Boundary 2. Apply the following settings Tab Setting Value Basic Settings Boundary Type Symmetry Location symP 3. Click OK. Pipe Wall 1. Create a new boundary condition named pipe wall. Boundary 2. Apply the following settings Tab Setting Value Basic Boundary Type Wall Settings Location pipe wall ANSYS CFX Tutorials. ANSYS CFX Release 11.0. © 1996-2006 ANSYS Europe, Ltd. All rights reserved. Page 177 Contains proprietary and confidential information of ANSYS, Inc. and its subsidiaries and affiliates.
  • 190.
    Tutorial 9: FlowThrough a Butterfly Valve: Defining a Simulation in ANSYS CFX-Pre Tab Setting Value Boundary Wall Roughness > Option Rough Wall Details Roughness Height 0.2 [mm]* Fluid Boundary Conditions Sand Fully Coupled Values Boundary Conditions > Sand Fully Coupled > Velocity Restitution Coefficient > Option Boundary Conditions > Sand Fully Coupled > Velocity 0.8 > Perpendicular Coeff. Boundary Conditions > Sand Fully Coupled > Velocity 1 > Parallel Coeff. Boundary Conditions Sand One Way Coupled Boundary Conditions > Sand One Way Coupled > Restitution Coefficient Velocity > Option Boundary Conditions > Sand One Way Coupled > 0.8 Velocity > Perpendicular Coeff. Boundary Conditions > Sand One Way Coupled > 1 Velocity > Parallel Coeff. *. Make sure that you change the units to millimetres. The thickness of the first element should be of the same order as the roughness height. 3. Click OK. Editing the 1. In the Outline tree view, edit the boundary condition named Default Domain Default Default. Boundary 2. Apply the following settings Condition Tab Setting Value Fluid Values Boundary Conditions Sand Fully Coupled Boundary Conditions > Sand Fully 0.9 Coupled > Velocity > Perpendicular Coeff. Boundary Conditions Sand One Way Coupled Boundary Conditions > Sand One Way 0.9 Coupled > Velocity > Perpendicular Coeff. 3. Click OK. Setting Initial Values 1. Click Global Initialization . 2. Apply the following settings Page 178 ANSYS CFX Tutorials. ANSYS CFX Release 11.0. © 1996-2006 ANSYS Europe, Ltd. All rights reserved. Contains proprietary and confidential information of ANSYS, Inc. and its subsidiaries and affiliates.
  • 191.
    Tutorial 9: FlowThrough a Butterfly Valve: Defining a Simulation in ANSYS CFX-Pre Tab Setting Value Global Settings Initial Conditions > Cartesian Velocity Automatic with Value Components > Option Initial Conditions > Cartesian Velocity 0 [m s^-1] Components > Option > U Initial Conditions > Cartesian Velocity 0 [m s^-1] Components > Option > V Initial Conditions > Cartesian Velocity Wprof -OR- Components > Option > W WprofFunction(Wmax, r, Rmax)* Initial Conditions > Turbulence Eddy (Selected) Dissipation *. Use Enter Expression to enter Wprof if using the Expression method; enter WprofFunction(Wmax, r, Rmax) if using the User CEL Function method. 3. Click OK. Setting Solver Control 1. Click Solver Control . 2. Apply the following settings Tab Setting Value Basic Settings Advection Scheme > Option Specified Blend Factor Advection Scheme > Blend Factor 0.75 Particle Control Particle Integration > Maximum Tracking Time (Selected) Particle Integration > Maximum Tracking Time 10 [s] > Value Particle Integration > Maximum Tracking (Selected) Distance Particle Integration > Maximum Tracking 10 [m] Distance > Value Particle Integration > Max. Num. Integration (Selected) Steps Particle Integration > Max. Num. Integration 10000 Steps > Value Particle Integration > Max. Particle Intg. Time (Selected) Step Particle Integration > Max. Particle Intg. Time 1e+10 [s] Step > Value 3. Click OK. ANSYS CFX Tutorials. ANSYS CFX Release 11.0. © 1996-2006 ANSYS Europe, Ltd. All rights reserved. Page 179 Contains proprietary and confidential information of ANSYS, Inc. and its subsidiaries and affiliates.
  • 192.
    Tutorial 9: FlowThrough a Butterfly Valve: Obtaining a Solution using ANSYS CFX-Solver Manager Writing the Solver (.def) File 1. Click Write Solver File . 2. Apply the following settings: Setting Value File name PipeValve.def Quit CFX–Pre* (Selected) *. If using ANSYS CFX-Pre in Standalone Mode. 3. Ensure Start Solver Manager is selected and click Save. 4. If using Standalone Mode, quit ANSYS CFX-Pre, saving the simulation (.cfx) file at your discretion. Obtaining a Solution using ANSYS CFX-Solver Manager When ANSYS CFX-Pre has shut down and ANSYS CFX-Solver Manager has started, you can obtain a solution to the CFD problem by using the following procedure. Note: If you followed the User CEL Function method, and you wish to run this tutorial in distributed parallel on machines with different architectures, you must first compile the PipeValve_inlet.F subroutine on all architectures. 1. Ensure the Define Run dialog box is displayed and click Start Run. 2. Click Yes to post-process the results when the completion message appears at the end of the run. 3. If using Standalone Mode, quit ANSYS CFX-Solver Manager. Viewing the Results in ANSYS CFX-Post In this section, you will first plot erosion on the valve surface and side walls due to the sand particles. You will then create an animation of particle tracks through the domain. Erosion Due to Sand Particles An important consideration in this simulation is erosion to the pipe wall and valve due to the sand particles. A good indication of erosion is given by the Erosion Rate Density parameter, which corresponds to pressure and shear stress due to the flow. 1. Edit the object named Default Domain Default. 2. Apply the following settings using the Ellipsis as required for selections Page 180 ANSYS CFX Tutorials. ANSYS CFX Release 11.0. © 1996-2006 ANSYS Europe, Ltd. All rights reserved. Contains proprietary and confidential information of ANSYS, Inc. and its subsidiaries and affiliates.
  • 193.
    Tutorial 9: FlowThrough a Butterfly Valve: Viewing the Results in ANSYS CFX-Post Tab Setting Value Color Mode Variable Variable Sand One Way Coupled.Erosion Rate Density* Range User Specified Min 0 [kg m^-2 s^-1] Max 25 [kg m^-2 s^-1]† *. This is statistically better than Sand Fully Coupled.Erosion Rate Density since many more particles were calculated for Sand One Way Coupled. †. This range is used to gain a better resolution of the wall shear stress values around the edge of the valve surfaces. 3. Click Apply. As can be seen, the highest values occur on the edges of the valve where most particles strike. Erosion of the low Z side of the valve would occur more quickly than for the high Z side. Particle Tracks Default particle track objects are created at the start of the session. One particle track is created for each set of particles in the simulation. You are going to make use of the default object for Sand Fully Coupled. The default object draws 10 tracks as lines from the inlet to outlet. Info shows information about the total number of tracks, index range and the track numbers which are drawn. 1. Edit the object named Res PT for Sand Fully Coupled. 2. Apply the following settings Tab Setting Value Geometry Max Tracks 20 3. Click Apply. Erosion on the Pipe Wall The User Specified range for coloring will be set to resolve areas of stress on the pipe wall near of the valve. 1. Clear the check box next to Res PT for Sand Fully Coupled. 2. Clear the check box next to Default Domain Default. 3. Edit the object named pipe wall. 4. Apply the following settings ANSYS CFX Tutorials. ANSYS CFX Release 11.0. © 1996-2006 ANSYS Europe, Ltd. All rights reserved. Page 181 Contains proprietary and confidential information of ANSYS, Inc. and its subsidiaries and affiliates.
  • 194.
    Tutorial 9: FlowThrough a Butterfly Valve: Viewing the Results in ANSYS CFX-Post Tab Setting Value Color Mode Variable Variable Sand One Way Coupled.Erosion Rate Density Range User Specified Min 0 [kg m^-2 s^-1] Max 25 [kg m^-2 s^-1] 5. Click Apply. Particle Track Symbols 1. Clear visibility for all objects except Wireframe. 2. Edit the object named Res PT for Sand Fully Coupled. 3. Apply the following settings Tab Setting Value Color Mode Variable Variable Sand Fully Coupled.Velocity w Symbol Draw Symbols (Selected) Draw Symbols > Max Time 0 [s] Draw Symbols > Min Time 0 [s] Draw Symbols > Interval 0.07 [s] Draw Symbols > Symbol Fish3D Draw Symbols > Symbol Size 0.5 4. Clear Draw Tracks. 5. Click Apply. Symbols are placed at the start of each track. Creating a Particle Track Animation The following steps describe how to create a particle tracking animation using Quick Animation. Similar effects can be achieved in more detail using the Keyframe Animation option, which allows full control over all aspects on an animation. 1. Select Tools > Animation or click Animation . 2. Select Quick Animation. 3. Select Res PT for Sand Fully Coupled: 4. Click Options to display the Animation Options dialog box, then clear Override Symbol Settings to ensure the symbol type and size are kept at their specified settings for the animation playback. Click OK. Note: The arrow pointing downward in the bottom right corner of the Animation Window will reveal the Options button if it is not immediately visible. Page 182 ANSYS CFX Tutorials. ANSYS CFX Release 11.0. © 1996-2006 ANSYS Europe, Ltd. All rights reserved. Contains proprietary and confidential information of ANSYS, Inc. and its subsidiaries and affiliates.
  • 195.
    Tutorial 9: FlowThrough a Butterfly Valve: Viewing the Results in ANSYS CFX-Post 5. Select Loop. 6. Deselect Repeat forever and ensure Repeat is set to 1. 7. Select Save MPEG. 8. Click Browse and enter tracks.mpg as the file name. 9. Click Play the animation . 10. If prompted to overwrite an existing movie, click Overwrite. The animation plays and builds an .mpg file. 11. Close the Animation dialog box. Performing Quantitative Calculations On the outlet boundary condition you created in ANSYS CFX-Pre, you set the Average Static Pressure to 0.0 [Pa]. To see the effect of this: 1. From the main menu select Tools > Function Calculator. The Function Calculator is displayed. It allows you to perform a wide range of quantitative calculations on your results. Note: You should use Conservative variable values when performing calculations and Hybrid values for visualization purposes. Conservative values are set by default in ANSYS CFX-Post but you can manually change the setting for each variable in the Variables Workspace, or the settings for all variables by using the Function Calculator. 2. Set Function to maxVal. 3. Set Location to outlet. 4. Set Variable to Pressure. 5. Click Calculate. The result is the maximum value of pressure at the outlet. 6. Perform the calculation again using minVal to obtain the minimum pressure at the outlet. 7. Select areaAve, and then click Calculate. • This calculates the area weighted average of pressure. • The average pressure is approximately zero, as specified by the boundary condition. Other Features The geometry was created using a symmetry plane. You can display the other half of the geometry by creating a YZ Plane at X = 0 and then editing the Default Transform object to use this plane as a reflection plane. 1. When you have finished viewing the results, quit ANSYS CFX-Post. ANSYS CFX Tutorials. ANSYS CFX Release 11.0. © 1996-2006 ANSYS Europe, Ltd. All rights reserved. Page 183 Contains proprietary and confidential information of ANSYS, Inc. and its subsidiaries and affiliates.
  • 196.
    Tutorial 9: FlowThrough a Butterfly Valve: Viewing the Results in ANSYS CFX-Post Page 184 ANSYS CFX Tutorials. ANSYS CFX Release 11.0. © 1996-2006 ANSYS Europe, Ltd. All rights reserved. Contains proprietary and confidential information of ANSYS, Inc. and its subsidiaries and affiliates.
  • 197.
    Tutorial 10: Flow ina Catalytic Converter Introduction This tutorial includes: • Tutorial 10 Features (p. 185) • Overview of the Problem to Solve (p. 186) • Defining a Simulation in ANSYS CFX-Pre (p. 187) • Obtaining a Solution using ANSYS CFX-Solver Manager (p. 193) • Viewing the Results in ANSYS CFX-Post (p. 194) If this is the first tutorial you are working with, it is important to review the following topics before beginning: • Setting the Working Directory (p. 1) • Changing the Display Colors (p. 2) Unless you plan on running a session file, you should copy the sample files used in this tutorial from the installation folder for your software (<CFXROOT>/examples/) to your working directory. This prevents you from overwriting source files provided with your installation. If you plan to use a session file, please refer to Playing a Session File (p. 187). Sample files referenced by this tutorial include: • CatConv.pre • CatConvHousing.hex • CatConvMesh.gtm Tutorial 10 Features This tutorial addresses the following features of ANSYS CFX. ANSYS CFX Tutorials Page 185 ANSYS CFX Release 11.0. © 1996-2006 ANSYS Europe, Ltd. All rights reserved. Contains proprietary and confidential information of ANSYS, Inc. and its subsidiaries and affiliates.
  • 198.
    Tutorial 10: Flowin a Catalytic Converter: Overview of the Problem to Solve Component Feature Details ANSYS CFX-Pre User Mode General Mode Simulation Type Steady State Fluid Type Ideal Gas Turbulence Model k-Epsilon Heat Transfer Isothermal Subdomains Resistance Source Boundary Conditions Inlet (Subsonic) Outlet (Subsonic) Wall: No-Slip Domain Interfaces Fluid-Fluid (No Frame Change) Timestep Physical Time Scale ANSYS CFX-Post Plots Contour Default Locators Outline Plot (Wireframe) Polyline Slice Plane Vector Other Chart Creation Data Export Title/Text Viewing the Mesh In this tutorial you will learn about: • Using multiple meshes in ANSYS CFX-Pre. • Joining meshes together using static fluid-fluid domain interfaces between the inlet/outlet flanges and the central catalyst body. • Applying a source of resistance using a directional loss model. • Creating a chart to show pressure drop through the domain in ANSYS CFX-Post. • Exporting data from a line locator to a file. Overview of the Problem to Solve Catalytic converters are used on most vehicles on the road today. They reduce harmful emissions from internal combustion engines (such as oxides of nitrogen, hydrocarbons, and carbon monoxide) that are the result of incomplete combustion. Most new catalytic Page 186 ANSYS CFX Tutorials. ANSYS CFX Release 11.0. © 1996-2006 ANSYS Europe, Ltd. All rights reserved. Contains proprietary and confidential information of ANSYS, Inc. and its subsidiaries and affiliates.
  • 199.
    Tutorial 10: Flowin a Catalytic Converter: Defining a Simulation in ANSYS CFX-Pre converters are the honeycomb ceramic type and are usually coated with platinum, rhodium, or palladium. The exhaust gases flow through the honeycomb structure and a pressure gradient is established between the inlet and outlet. exhaust gas 25.0 m/s 288.0 K catalyst material flange 20 cm In this tutorial, a catalytic converter is modeled without chemical reactions in order to determine the pressure drop. The inlet flange (joining the pipe to the catalyst) is designed to distribute exhaust gas evenly across the catalyst material. A hexahedral mesh for the housing, which was created in ICEM-Hexa, is provided. The different meshes are connected together in ANSYS CFX-Pre. You will import each mesh then create a domain, which spans all of them. Within the converter, a subdomain is added to model a honeycomb structure using a directional loss model. The physics is then specified in the same way as for other tutorials. Defining a Simulation in ANSYS CFX-Pre The following sections describe the simulation setup in ANSYS CFX-Pre. Playing a Session File If you wish to skip past these instructions, and have ANSYS CFX-Pre set up the simulation automatically, you can select Session > Play Tutorial from the menu in ANSYS CFX-Pre, then run the session file: CatConv.pre. After you have played the session file as described in earlier tutorials under Playing the Session File and Starting ANSYS CFX-Solver Manager (p. 87), proceed to Obtaining a Solution using ANSYS CFX-Solver Manager (p. 193). Creating a New Simulation 1. Start ANSYS CFX-Pre. 2. Select File > New Simulation. ANSYS CFX Tutorials. ANSYS CFX Release 11.0. © 1996-2006 ANSYS Europe, Ltd. All rights reserved. Page 187 Contains proprietary and confidential information of ANSYS, Inc. and its subsidiaries and affiliates.
  • 200.
    Tutorial 10: Flowin a Catalytic Converter: Defining a Simulation in ANSYS CFX-Pre 3. Select General and click OK. 4. Select File > Save Simulation As. 5. Under File name, type CatConv. 6. Click Save. Importing the Meshes The catalytic converter is comprised of three distinct parts: • The inlet section (pipe and flange). • The outlet section (pipe and flange). • The catalyst (or monolith). Next you will import a generic inlet/outlet section and the catalyst housing from provided files. Housing Section The first mesh that you will import is the hexahedral mesh for the catalyst housing, created in ICEM-Hexa, named CatConvHousing.hex. This mesh was created using units of centimetres; however, the units are not stored with the mesh file for this type of mesh. You must set the mesh import units to cm when importing the mesh into ANSYS CFX-Pre so that the mesh remains the intended size. The imported mesh has a width in the x-direction of 21 cm and a length in the z-direction of 20 cm. 1. Right-click Mesh and select Import Mesh. 2. Apply the following settings Setting Value File type All Types Definition > Mesh Format ICEM CFD File name CatConvHousing.hex Definition > Mesh Units cm 3. Click Open. Pipe and Flange This mesh was created in units of centimetres. When importing GTM files, ANSYS CFX-Pre Section uses the units used in the mesh file. 1. Right-click Mesh and select Import Mesh to import the second section. 2. Apply the following settings Setting Value File type CFX Mesh (gtm) File name CatConvMesh.gtm 3. Click Open. You only need to import this mesh once, as you will be copying and rotating the flange through 180 degrees in the next step to create the inlet side pipe and flange. Page 188 ANSYS CFX Tutorials. ANSYS CFX Release 11.0. © 1996-2006 ANSYS Europe, Ltd. All rights reserved. Contains proprietary and confidential information of ANSYS, Inc. and its subsidiaries and affiliates.
  • 201.
    Tutorial 10: Flowin a Catalytic Converter: Defining a Simulation in ANSYS CFX-Pre Applying a Transform The pipe and flange are located at the outlet end of the housing. The flange will be rotated about an axis that points in the y-direction and is located at the center of the housing. 1. Right-click CatConvMesh.gtm and select Transform Mesh. The Mesh Transformation Editor dialog box appears. 2. Apply the following settings Tab Setting Value Definition Apply Rotation > Rotation Option Rotation Axis Apply Rotation > From 0, 0, 0.16 Apply Rotation > To 0, 1, 0.16* Apply Rotation > Rotation Angle 180 [degree] Multiple Copies (Selected) Multiple Copies > # of Copies 1 *. This specifies an axis located at the center of the housing parallel to the y-axis. 3. Click OK. Creating a Union Region Three separate regions now exist, but since there is no relative motion between each region, you only need to create a single domain. This can be done by simply using all three regions in the domain Location list or, as in this case, by using the Region details view to create a union of the three regions. 1. Create a new composite region named CatConverter. 2. Apply the following settings Tab Setting Value Basic Settings Dimension (Filter) 3D Region List B1.P3, B1.P3 2, LIVE 3. Click OK. Creating the Domain For this simulation you will use an isothermal heat transfer model and assume turbulent flow. 1. Click Domain and set the name to CatConv. 2. Apply the following settings ANSYS CFX Tutorials. ANSYS CFX Release 11.0. © 1996-2006 ANSYS Europe, Ltd. All rights reserved. Page 189 Contains proprietary and confidential information of ANSYS, Inc. and its subsidiaries and affiliates.
  • 202.
    Tutorial 10: Flowin a Catalytic Converter: Defining a Simulation in ANSYS CFX-Pre Tab Setting Value General Basic Settings > Location CatConverter Options Basic Settings > Fluid List Air Ideal Gas Domain Models > Pressure > Reference Pressure 1 [atm] Fluid Models Heat Transfer > Option Isothermal Heat Transfer > Fluid Temperature 600 [K] 3. Click OK. Creating a Subdomain to Model the Catalyst Structure The catalyst-coated honeycomb structure will be modeled using a subdomain with a directional source of resistance. For quadratic resistances, the pressure drop is modeled using: ∂p ------ = – K Q U U i - (Eqn. 1) ∂x i where K Q is the quadratic resistance coefficient, U i is the local velocity in the i direction, ∂p and ------ is the pressure drop gradient in the i direction. - ∂x i 1. Select Insert > Subdomain from the main menu or click Subdomain 2. In the Insert Subdomain dialog box, type catalyst. 3. Apply the following settings Tab Setting Value Basic Settings Location LIVE* Sources† Sources (Selected) Sources > Momentum Source/Porous Loss (Selected) Sources > Momentum Source/Porous Loss > (Selected) Directional Loss *. This is the entire housing section. †. Used to set sources of momentum, resistance and mass for the subdomain (Other sources are available for different problem physics). 4. Apply the following settings in the Directional Loss section Setting Value Streamwise Direction > X Component 0 Streamwise Direction > Y Component 0 Streamwise Direction > Z Component 1 Page 190 ANSYS CFX Tutorials. ANSYS CFX Release 11.0. © 1996-2006 ANSYS Europe, Ltd. All rights reserved. Contains proprietary and confidential information of ANSYS, Inc. and its subsidiaries and affiliates.
  • 203.
    Tutorial 10: Flowin a Catalytic Converter: Defining a Simulation in ANSYS CFX-Pre Setting Value Streamwise Loss > Option Linear and Quadratic Coefs Streamwise Loss > Quadratic Resistance Coefficient (Selected) Streamwise Loss > Quadratic Resistance Coefficient > Quadratic 650 [kg m^-4] Coefficient 5. Click OK. Creating Boundary Conditions Inlet Boundary 1. Create a new boundary condition named Inlet. 2. Apply the following settings Tab Setting Value Basic Settings Boundary Type Inlet Location PipeEnd 2 Boundary Details Mass and Momentum > Normal Speed 25 [m s^-1] 3. Click OK. Outlet 1. Create a new boundary condition named Outlet. Boundary 2. Apply the following settings Tab Setting Value Basic Settings Boundary Type Outlet Location PipeEnd Boundary Details Mass and Momentum > Option Static Pressure Mass and Momentum > Relative Pressure 0 [Pa] 3. Click OK. The remaining surfaces are automatically grouped into the default no slip wall boundary condition. Creating the Domain Interfaces Domain interfaces are used to define the connecting boundaries between meshes where the faces do not match or when a frame change occurs. Meshes are ‘glued’ together using the General Grid Interface (GGI) functionality of ANSYS CFX. Different types of GGI connections can be made. In this case, you require a simple Fluid-Fluid Static connection (no Frame Change). Other options allow you to change reference frame across the interface or create a periodic boundary with dissimilar meshes on each periodic face. Two Interfaces are required, one to connect the inlet flange to the catalyst housing and one to connect the outlet flange to the catalyst housing. ANSYS CFX Tutorials. ANSYS CFX Release 11.0. © 1996-2006 ANSYS Europe, Ltd. All rights reserved. Page 191 Contains proprietary and confidential information of ANSYS, Inc. and its subsidiaries and affiliates.
  • 204.
    Tutorial 10: Flowin a Catalytic Converter: Defining a Simulation in ANSYS CFX-Pre Inlet Pipe / 1. Create a new domain interface named InletSide. Housing 2. Apply the following settings Interface Tab Setting Value Basic Settings Interface Side 1 > Region List FlangeEnd 2 Interface Side 2 > Region List INLET 3. Click OK. Outlet Pipe / 1. Create a new domain interface named OutletSide. Housing 2. Apply the following settings Interface Tab Setting Value Basic Settings Interface Side 1 > Region List FlangeEnd Interface Side 2 > Region List OUTLET 3. Click OK. Setting Initial Values A sensible guess for the initial velocity is to set it to the expected velocity through the catalyst housing. As the inlet velocity is 25 [m s^-1] and the cross sectional area of the inlet and housing are known, you can apply conservation of mass to obtain an approximate velocity of 2 [m s^-1] through the housing. 1. Click Global Initialization . 2. Apply the following settings Tab Setting Value Global Initial Conditions > Cartesian Velocity Automatic with Value Settings Components > Option Initial Conditions > Cartesian Velocity 0 [m s^-1] Components > U Initial Conditions > Cartesian Velocity 0 [m s^-1] Components > V Initial Conditions > Cartesian Velocity -2 [m s^-1] Components > W Initial Conditions > Turbulence Eddy (Selected) Dissipation 3. Click OK. Setting Solver Control Assuming velocities of 25 [m s^-1] in the inlet and outlet pipes, and 2 [m s^-1] in the catalyst housing, an approximate fluid residence time of 0.1 [s] can be calculated. A sensible timestep of 0.04 [s] (1/4 to 1/2 of the fluid residence time) will be applied. Page 192 ANSYS CFX Tutorials. ANSYS CFX Release 11.0. © 1996-2006 ANSYS Europe, Ltd. All rights reserved. Contains proprietary and confidential information of ANSYS, Inc. and its subsidiaries and affiliates.
  • 205.
    Tutorial 10: Flowin a Catalytic Converter: Obtaining a Solution using ANSYS CFX-Solver Manager For the convergence criteria, an RMS value of at least 1e-05 is usually required for adequate convergence, but the default value is sufficient for demonstration purposes. 1. Click Solver Control . 2. Apply the following settings Tab Setting Value Basic Settings Convergence Control > Fluid Timescale Physical Timescale Control > Timescale Control Convergence Control >Fluid Timescale 0.04 [s] Control > Physical Timescale 3. Click OK. Writing the Solver (.def) File While writing the solver file, you will use the Summarize Interface Data option to display information about the connection type used for each domain interface. 1. Click Write Solver File . 2. Apply the following settings Setting Value File name CatConv.def Summarize Interface Data (Selected) Quit CFX–Pre * (Selected) *. If using ANSYS CFX-Pre in Standalone Mode. 3. Ensure Start Solver Manager is selected and click Save. 4. Once ANSYS CFX-Solver Manager launches, return to ANSYS CFX-Pre. The Interface Summary dialog box is displayed. This displays information related to the summary of interface connections. 5. Click OK. 6. If using Standalone Mode, quit ANSYS CFX-Pre, saving the simulation (.cfx) file at your discretion. Obtaining a Solution using ANSYS CFX-Solver Manager When ANSYS CFX-Pre has shut down and the ANSYS CFX-Solver Manager has started, you can obtain a solution to the CFD problem by following the instructions below: 1. Ensure Define Run is displayed. 2. Click Start Run. ANSYS CFX-Solver runs and attempts to obtain a solution. This can take a long time depending on your system. Eventually a dialog box is displayed. ANSYS CFX Tutorials. ANSYS CFX Release 11.0. © 1996-2006 ANSYS Europe, Ltd. All rights reserved. Page 193 Contains proprietary and confidential information of ANSYS, Inc. and its subsidiaries and affiliates.
  • 206.
    Tutorial 10: Flowin a Catalytic Converter: Viewing the Results in ANSYS CFX-Post 3. Click Yes to post-process the results. 4. If using Standalone Mode, quit ANSYS CFX-Solver Manager. Viewing the Results in ANSYS CFX-Post When ANSYS CFX-Post opens, you will need to experiment with the Edge Angle setting for the Wireframe object in order to view an appropriate amount of the mesh. Under the Outline tab, several interface boundaries are available. The two connections between the catalyst housing mesh and the mesh for the inlet and outlet pipes have two interface boundaries each, one for each side of the connection. 1. Zoom in so the geometry fills the viewer. 2. In the Outline tree view, edit InletSide Side 1. 3. Apply the following settings Tab Setting Value Render Draw Faces (Cleared) Draw Lines (Selected) Draw Lines > Color Mode User Specified Draw Lines > Line Color (Red) 4. Click Apply. 5. In the Outline tree view, edit InletSide Side 2. 6. Apply the following settings Tab Setting Value Render Draw Faces (Cleared) Draw Lines (Selected) Draw Lines > Color Mode User Specified Draw Lines > Line Color (Green) 7. Click Apply. 8. In the Outline tree view, clear Wireframe to hide it. 9. Right-click a blank area in the viewer and select Predefined Camera > View Towards -Z. You should now have a clear view of the tetrahedral / prism and hexahedral mesh on each side of the interface. The General Grid Interface (GGI) capability of ANSYS CFX was used to produce a connection between these two dissimilar meshes before the solution was calculated. Notice that there are more tetrahedral / prism elements than hexahedral elements and that the extent of the two meshes is not quite the same (this is most noticeable on the curved edges). The extent of each side of the interface does not have to match to allow a GGI connection to be made. Page 194 ANSYS CFX Tutorials. ANSYS CFX Release 11.0. © 1996-2006 ANSYS Europe, Ltd. All rights reserved. Contains proprietary and confidential information of ANSYS, Inc. and its subsidiaries and affiliates.
  • 207.
    Tutorial 10: Flowin a Catalytic Converter: Viewing the Results in ANSYS CFX-Post Creating User Locations and Plots 1. In the Outline tree view, select Wireframe to show it. 2. In the Outline tree view, clear both InletSide Side 1 and InletSide Side 2. Creating a Slice Plane 1. Create a new plane named Plane 1. 2. Apply the following settings Tab Setting Value Geometry Definition > Method ZX Plane Color Mode Variable Variable Pressure 3. Click Apply. 4. Right-click a blank area in the viewer and select Predefined Camera > View Towards -Y. Creating a Contour Plot The pressure falls steadily throughout the main body of the catalytic converter. You can confirm this with a contour plot. 1. Clear Plane 1 in the Outline tab. 2. Create a new contour plot named Contour 1. 3. Apply the following settings Tab Setting Value Geometry Locations Plane 1 Variable Pressure # of Contours 30 Render Draw Faces (Cleared) 4. Click Apply. Creating a Vector Plot Using the Slice Plane 1. Create a new vector plot named Vector 1. 2. Apply the following settings Tab Setting Value Geometry Locations Plane 1 Symbol Symbol Size 0.1 Normalize Symbols (Selected) 3. Click Apply. ANSYS CFX Tutorials. ANSYS CFX Release 11.0. © 1996-2006 ANSYS Europe, Ltd. All rights reserved. Page 195 Contains proprietary and confidential information of ANSYS, Inc. and its subsidiaries and affiliates.
  • 208.
    Tutorial 10: Flowin a Catalytic Converter: Viewing the Results in ANSYS CFX-Post Notice the flow separates from the walls, where the inlet pipe expands into the flange, setting up a recirculation zone. The flow is uniform through the catalyst housing. Suppose for now that you want to see if the pressure drop is linear by plotting a line graph of pressure against the z-coordinate. In this case you will use ANSYS CFX-Post to produce the graph, but you could also export the data, then read it into any standard plotting package. Graphs are produced using the chart object, but before you can create the chart you must define the points at which you require the data. To define a set of points in a line, you can use the polyline object. Creating a Polyline The Method used to create the polyline can be From File, Boundary Intersection or From Contour. If you select From File, you must specify a file containing point definitions in the required format. In this tutorial, you will use the Boundary Intersection method. This creates a polyline from the intersecting line between a boundary object and a location (e.g., between a wall and a plane). The points on the polyline are where the intersecting line cuts through a surface mesh edge. You will be able to see the polyline following the intersecting line between the wall, inlet and outlet boundaries and the slice plane. 1. In the Outline tree view, clear Contour 1 and Vector 1. 2. Create a new polyline named Polyline 1. 3. Apply the following settings Tab Setting Value Geometry Method Boundary Intersection Boundary List CatConv Default, Inlet, Outlet* Intersect With Plane 1 Color Color (Yellow) Render Line Width 3 *. Click the ellipsis icon to select multiple items using the <Ctrl> key. 4. Click Apply. 5. Right-click a blank area in the viewer and select Predefined Camera > Isometric View (Y up). Creating a Chart Now that a polyline has been defined, a chart can be created. Charts are defined by creating chart line objects. A chart line is listed in the tree view beneath the chart object to which it belongs. 1. Create a new chart named Chart 1. 2. Apply the following settings Page 196 ANSYS CFX Tutorials. ANSYS CFX Release 11.0. © 1996-2006 ANSYS Europe, Ltd. All rights reserved. Contains proprietary and confidential information of ANSYS, Inc. and its subsidiaries and affiliates.
  • 209.
    Tutorial 10: Flowin a Catalytic Converter: Viewing the Results in ANSYS CFX-Post Tab Setting Value Chart Title Pressure Drop through a Catalytic Converter Chart Line 1 Line Name Pressure Drop Location Polyline 1 X Axis > Variable Z Y Axis > Variable Pressure Appearance > Symbols Rectangle Appearance Sizes > Line 3 3. Click Apply. Through the main body of the catalytic converter you can see that the pressure drop is linear. This is in the region from approximately Z=0.05 to Z=0.25. The two lines show the pressure on each side of the wall. You can see a noticeable difference in pressure between the two walls on the inlet side of the housing (at around Z=0.25). 4. If required, in the Outline tree view, select Contour 1, Polyline 1, and Vector 1. 5. Click the 3D Viewer tab, then right-click a blank area and select Predefined Camera > View Towards +Y. You should now see that the flow enters the housing from the inlet pipe at a slight angle, producing a higher pressure on the high X wall of the housing. 6. Under Report, expand Chart 1, and edit Chart Line 1. 7. Apply the following settings Tab Setting Value Chart Line 1 X Axis > Variable Chart Count* *. This is the data point number (e.g. 1,2,3,4...), it does NOT represent the distance between each point along the polyline. 8. Click Apply. Exporting Data 1. From the main menu, select File > Export. 2. Apply the following settings Tab Setting Value Options Locations Polyline 1 Export Geometry Information (Selected)* Select Variables Pressure Formatting Precision 3 *. This ensures X, Y, and Z to be sent to the output file. 3. Click Save. ANSYS CFX Tutorials. ANSYS CFX Release 11.0. © 1996-2006 ANSYS Europe, Ltd. All rights reserved. Page 197 Contains proprietary and confidential information of ANSYS, Inc. and its subsidiaries and affiliates.
  • 210.
    Tutorial 10: Flowin a Catalytic Converter: Viewing the Results in ANSYS CFX-Post The file export.csv will be written to the current working directory. This file can be opened in any text editor. You can use the exported data file to plot charts in other software. 4. When finished, quit ANSYS CFX-Post. Page 198 ANSYS CFX Tutorials. ANSYS CFX Release 11.0. © 1996-2006 ANSYS Europe, Ltd. All rights reserved. Contains proprietary and confidential information of ANSYS, Inc. and its subsidiaries and affiliates.
  • 211.
    Tutorial 11: Non-Newtonian FluidFlow in an Annulus Introduction This tutorial includes: • Tutorial 11 Features (p. 200) • Overview of the Problem to Solve (p. 201) • Defining a Simulation in ANSYS CFX-Pre (p. 201) • Obtaining a Solution using ANSYS CFX-Solver Manager (p. 205) • Viewing the Results in ANSYS CFX-Post (p. 206) If this is the first tutorial you are working with, it is important to review the following topics before beginning: • Setting the Working Directory (p. 1) • Changing the Display Colors (p. 2) Unless you plan on running a session file, you should copy the sample files used in this tutorial from the installation folder for your software (<CFXROOT>/examples/) to your working directory. This prevents you from overwriting source files provided with your installation. If you plan to use a session file, please refer to Playing a Session File (p. 201). Sample files referenced by this tutorial include: • NonNewton.pre • NonNewtonMesh.gtm ANSYS CFX Tutorials Page 199 ANSYS CFX Release 11.0. © 1996-2006 ANSYS Europe, Ltd. All rights reserved. Contains proprietary and confidential information of ANSYS, Inc. and its subsidiaries and affiliates.
  • 212.
    Tutorial 11: Non-NewtonianFluid Flow in an Annulus: Tutorial 11 Features Tutorial 11 Features This tutorial addresses the following features of ANSYS CFX. Component Feature Details ANSYS CFX-Pre User Mode General Mode Simulation Type Steady State Fluid Type General Fluid Domain Type Single Domain Turbulence Model Laminar Heat Transfer None Boundary Conditions Symmetry Plane Wall: No-Slip Wall: Moving CEL (CFX Expression Language) Timestep Auto Time Scale ANSYS CFX-Post Plots Sampling Plane Slice Plane Vector In this tutorial you will learn about: • Using CFX Expression Language (CEL) to define the properties of a shear-thickening fluid. • Using the Moving Wall feature to apply a rotation to the fluid at a wall boundary. Page 200 ANSYS CFX Tutorials. ANSYS CFX Release 11.0. © 1996-2006 ANSYS Europe, Ltd. All rights reserved. Contains proprietary and confidential information of ANSYS, Inc. and its subsidiaries and affiliates.
  • 213.
    Tutorial 11: Non-NewtonianFluid Flow in an Annulus: Overview of the Problem to Solve Overview of the Problem to Solve In this example a non-Newtonian, shear-thickening liquid rotates in a 2D eccentric annular pipe gap. The motion, shown by the arrow, is brought about solely by viscous fluid interactions caused by the rotation of the inner pipe. Defining a Simulation in ANSYS CFX-Pre The following sections describe the simulation setup in ANSYS CFX-Pre. Playing a Session File If you wish to skip past these instructions, and have ANSYS CFX-Pre set up the simulation automatically, you can select Session > Play Tutorial from the menu in ANSYS CFX-Pre, then run the session file: NonNewton.pre. After you have played the session file as described in earlier tutorials under Playing the Session File and Starting ANSYS CFX-Solver Manager (p. 87), proceed to Obtaining a Solution using ANSYS CFX-Solver Manager (p. 205). Creating a New Simulation 1. Start ANSYS CFX-Pre. 2. Select File > New Simulation. 3. Select General and click OK. 4. Select File > Save Simulation As. 5. Under File name, type NonNewton. 6. Click Save. ANSYS CFX Tutorials. ANSYS CFX Release 11.0. © 1996-2006 ANSYS Europe, Ltd. All rights reserved. Page 201 Contains proprietary and confidential information of ANSYS, Inc. and its subsidiaries and affiliates.
  • 214.
    Tutorial 11: Non-NewtonianFluid Flow in an Annulus: Defining a Simulation in ANSYS CFX-Pre Importing the Mesh 1. Right-click Mesh and select Import Mesh. 2. Apply the following settings Setting Value File name NonNewtonMesh.gtm 3. Click Open. Creating an Expression for Shear Rate Dependent Viscosity You can use an expression to define the dependency of fluid properties on other variables. In this case, the fluid does not obey the simple linear Newtonian relationship between shear stress and shear strain rate. The general relationship for the fluid you will model is given by: n–1 µ = Kγ (Eqn. 1) where γ is the shear strain rate and K and n are constants. For your fluid, n =1.5 and this results in shear-thickening behavior of the fluid, i.e., the viscosity increases with increasing shear strain rate. The shear strain rate is available as a ANSYS CFX-Pre System Variable (sstrnr). In order to describe this relationship using CEL, the dimensions must be consistent on both sides of the equation. Clearly this means that K must have dimensions and requires units to satisfy the equation. If the units of viscosity are kg m^-1 s^-1, and those of γ are s^-1, then the expression is consistent if the units of K are kg m^-1 s^(-0.5). 1. Create the following expressions, remembering to click Apply after each is defined. Name Definition K 10.0 [kg m^-1 s^-0.5] n 1.5 You should bound the viscosity to ensure that it remains physically meaningful. To do so, you will create two additional parameters that will be used to guarantee the value of the shear strain rate. 2. Create the following expressions for upper and lower bounds. Name Definition UpperS 100 [s^-1] LowerS 1.0E-3 [s^-1] ViscEqn K*(min(UpperS,max(sstrnr,LowerS))^(n-1)) 3. Close the Expressions tab. Page 202 ANSYS CFX Tutorials. ANSYS CFX Release 11.0. © 1996-2006 ANSYS Europe, Ltd. All rights reserved. Contains proprietary and confidential information of ANSYS, Inc. and its subsidiaries and affiliates.
  • 215.
    Tutorial 11: Non-NewtonianFluid Flow in an Annulus: Defining a Simulation in ANSYS CFX-Pre Creating a New Fluid 1. Create a new material named myfluid. 2. Apply the following settings Tab Setting Value Basic Settings Thermodynamic State (Selected) Material Properties Equation of State > Molar Mass 1 [kg kmol^-1]* Equation of State > Density 1.0E+4 [kg m^-3] Specific Heat Capacity (Selected) Specific Heat Capacity > Specific Heat Capacity 0 [J kg^-1 K^-1]† Reference State (Selected) Reference State > Option Specified Point Reference State > Ref. Temperature 25 [C] Reference State > Reference Pressure 1 [atm] Transport Properties > Dynamic Viscosity (Selected) Transport Properties > Dynamic Viscosity > ViscEqn Dynamic Viscosity *. This is not the correct Molar Mass value, but this material property will not be used by the ANSYS CFX-Solver for this case. In other cases it will be used. †. This is not the correct value for specific heat, but this property will not be used in the ANSYS CFX-Solver. 3. Click OK. Creating the Domain 1. Click Domain and set the name to NonNewton. 2. Apply the following settings to NonNewton Tab Setting Value General Basic Settings > Fluids List myfluid Options Domain Models > Pressure > Reference Pressure 1 [atm] Fluid Models Heat Transfer > Option Isothermal Heat Transfer > Fluid Temperature 25 C Turbulence > Option None (Laminar) 3. Click OK. Creating the Boundary Conditions Wall Boundary 1. Create a new boundary condition named rotwall. 2. Apply the following settings ANSYS CFX Tutorials. ANSYS CFX Release 11.0. © 1996-2006 ANSYS Europe, Ltd. All rights reserved. Page 203 Contains proprietary and confidential information of ANSYS, Inc. and its subsidiaries and affiliates.
  • 216.
    Tutorial 11: Non-NewtonianFluid Flow in an Annulus: Defining a Simulation in ANSYS CFX-Pre Tab Setting Value Basic Settings Boundary Type Wall Location rotwall Boundary Details Wall Influence on Flow > Wall Velocity (Selected) Wall Influence on Flow > Wall Velocity > Rotating Wall Option Wall Influence on Flow > Wall Velocity > 31.33 [rev min^-1] Angular Velocity 3. Click OK. Symmetry Plane 1. Create a new boundary condition named SymP1. Boundary 2. Apply the following settings Tab Setting Value Basic Settings Boundary Type Symmetry Location SymP1 3. Click OK. 4. Create a new boundary condition named SymP2. 5. Apply the following settings Tab Setting Value Basic Settings Boundary Type Symmetry Location SymP2 6. Click OK. The outer annulus surfaces will default to the no-slip stationary wall boundary condition. Setting Initial Values A reasonable initial guess for the velocity field is a value of zero throughout the domain. 1. Click Global Initialization . 2. Apply the following settings Tab Setting Value Global Initial Conditions > Cartesian Velocity Components > Option Automatic with Settings Value Initial Conditions > Cartesian Velocity Components > U 0 [m s^-1] Initial Conditions > Cartesian Velocity Components > V 0 [m s^-1] Initial Conditions > Cartesian Velocity Components > W 0 [m s^-1] 3. Click OK. Page 204 ANSYS CFX Tutorials. ANSYS CFX Release 11.0. © 1996-2006 ANSYS Europe, Ltd. All rights reserved. Contains proprietary and confidential information of ANSYS, Inc. and its subsidiaries and affiliates.
  • 217.
    Tutorial 11: Non-NewtonianFluid Flow in an Annulus: Obtaining a Solution using ANSYS CFX-Solver Manager Setting Solver Control 1. Click Solver Control . 2. Apply the following settings Tab Setting Value Basic Settings Advection Scheme > Option Specific Blend Factor Advection Scheme > Blend Factor 1* Convergence Control > Max. Iterations 50 Convergence Criteria > Residual Target 1e-05 *. This is the most accurate but least robust advection scheme. 3. Click OK. Writing the Solver (.def) File 1. Click Write Solver File . 2. Apply the following settings: Setting Value File name NonNewton.def Quit CFX–Pre * (Selected) *. If using ANSYS CFX-Pre in Standalone Mode. 3. Ensure Start Solver Manager is selected and click Save. 4. If using Standalone Mode, quit ANSYS CFX-Pre, saving the simulation (.cfx) file at your discretion. Obtaining a Solution using ANSYS CFX-Solver Manager When ANSYS CFX-Pre has shut down and the ANSYS CFX-Solver Manager has started, you can obtain a solution to the CFD problem by following the instructions below: 1. Ensure Define Run is displayed. 2. Click Start Run. ANSYS CFX-Solver runs and attempts to obtain a solution. This can take a long time depending on your system. Eventually a dialog box is displayed. 3. Click Yes to post-process the results. 4. If using Standalone Mode, quit ANSYS CFX-Solver Manager. ANSYS CFX Tutorials. ANSYS CFX Release 11.0. © 1996-2006 ANSYS Europe, Ltd. All rights reserved. Page 205 Contains proprietary and confidential information of ANSYS, Inc. and its subsidiaries and affiliates.
  • 218.
    Tutorial 11: Non-NewtonianFluid Flow in an Annulus: Viewing the Results in ANSYS CFX-Post Viewing the Results in ANSYS CFX-Post In this tutorial you have used CEL to create an expression for the dynamic viscosity. If you now perform calculations or color graphics objects using the Dynamic Viscosity variable, its values will have been calculated from the expression you defined in ANSYS CFX-Pre. These steps instruct the user on how to create a vector plot to show the velocity values in the domain. 1. Right-click a blank area in the viewer and select Predefined Camera > View Towards -Z from the shortcut menu. 2. Create a new plane named Plane 1. 3. Apply the following settings Tab Setting Value Geometry Definition > Method Point and Normal Definition > Point 0, 0, 0.02 Definition > Normal 0, 0, 1 Plane Bounds > Type Circular Plane Bounds > Radius 0.3 [m] Plane Type Sample Plane Type > R Samples 32 Plane Type > Theta Samples 24 Render Draw Faces (Cleared) 4. Click Apply. 5. Create a new vector plot named Vector 1. 6. Apply the following settings Tab Setting Value Geometry Definition > Locations Plane 1 Definition > Variable Velocity Symbol Symbol Size 3 7. Click Apply. 8. Try creating some plots of your own, including one that shows the variation of dynamic viscosity. 9. When you have finished, quit ANSYS CFX-Post. Page 206 ANSYS CFX Tutorials. ANSYS CFX Release 11.0. © 1996-2006 ANSYS Europe, Ltd. All rights reserved. Contains proprietary and confidential information of ANSYS, Inc. and its subsidiaries and affiliates.
  • 219.
    Tutorial 12: Flow inan Axial Rotor/Stator Introduction This tutorial includes: • Tutorial 12 Features (p. 208) • Overview of the Problem to Solve (p. 209) • Defining a Frozen Rotor Simulation in ANSYS CFX-Pre (p. 210) • Obtaining a Solution to the Frozen Rotor Model (p. 214) • Viewing the Frozen Rotor Results in ANSYS CFX-Post (p. 215) • Setting up a Transient Rotor-Stator Calculation (p. 216) • Obtaining a Solution to the Transient Rotor-Stator Model (p. 219) • Viewing the Transient Rotor-Stator Results in ANSYS CFX-Post (p. 220) If this is the first tutorial you are working with it is important to review the following topics before beginning: • Setting the Working Directory (p. 1) • Changing the Display Colors (p. 2) Unless you plan on running a session file, you should copy the sample files used in this tutorial from the installation folder for your software (<CFXROOT>/examples/) to your working directory. This prevents you from overwriting source files provided with your installation. If you plan to use a session file, please refer to Playing a Session File (p. 211). Sample files referenced by this tutorial include: • Axial.pre • AxialIni.pre • AxialIni_001.res • rotor.grd • stator.gtm ANSYS CFX Tutorials Page 207 ANSYS CFX Release 11.0. © 1996-2006 ANSYS Europe, Ltd. All rights reserved. Contains proprietary and confidential information of ANSYS, Inc. and its subsidiaries and affiliates.
  • 220.
    Tutorial 12: Flowin an Axial Rotor/Stator: Tutorial 12 Features Tutorial 12 Features This tutorial addresses the following features of ANSYS CFX. Component Feature Details ANSYS CFX-Pre User Mode Turbo Wizard Simulation Type Steady State Transient Fluid Type Ideal Gas Domain Type Multiple Domain Rotating Frame of Reference Turbulence Model k-Epsilon Heat Transfer Total Energy Boundary Conditions Inlet (Subsonic) Outlet (Subsonic) Wall: No-Slip Wall: Adiabatic Domain Interfaces Frozen Rotor Periodic Transient Rotor Stator Timestep Physical Time Scale Transient Example Transient Results File ANSYS CFX-Solver Manager Restart Parallel Processing ANSYS CFX-Post Plots Animation Isosurface Surface Group Turbo Post Other Changing the Color Range Chart Creation Instancing Transformation MPEG Generation Quantitative Calculation Time Step Selection Transient Animation In this tutorial you will learn about: • Using the Turbo Wizard in ANSYS CFX-Pre to quickly specify a turbomachinery application. • Multiple Frames of Reference and Generalized Grid Interface. • Using a Frozen Rotor interface between the rotor and stator domains. • Modifying an existing simulation. • Setting up a transient calculation. • Using a Transient Rotor-Stator interface condition to replace a Frozen Rotor interface. Page 208 ANSYS CFX Tutorials. ANSYS CFX Release 11.0. © 1996-2006 ANSYS Europe, Ltd. All rights reserved. Contains proprietary and confidential information of ANSYS, Inc. and its subsidiaries and affiliates.
  • 221.
    Tutorial 12: Flowin an Axial Rotor/Stator: Overview of the Problem to Solve • Creating a transient animation showing domain movement in ANSYS CFX-Post. Overview of the Problem to Solve The following tutorial demonstrates the versatility of GGI and MFR in ANSYS CFX-Pre by combining two dissimilar meshes. The first mesh to be imported (the rotor) was created in CFX-TASCflow. This is combined with a second mesh (the stator) which was created using ANSYS CFX-Mesh. The geometry to be modeled consists of a single stator blade passage and two rotor blade passages. The rotor rotates about the Z-axis while the stator is stationary. Periodic boundaries are used to allow only a small section of the full geometry to be modeled. Figure 1 Geometry subsection Outflow Shroud Stator Blade Rotor Blade Hub Inflow At the change in reference frame between the rotor and stator, two different interface models are considered. First a solution is obtained using a Frozen Rotor model. After viewing the results from this simulation, the latter is modified to use a transient rotor-stator interface model. The Frozen Rotor solution is used as an initial guess for the transient rotor-stator simulation. ANSYS CFX Tutorials. ANSYS CFX Release 11.0. © 1996-2006 ANSYS Europe, Ltd. All rights reserved. Page 209 Contains proprietary and confidential information of ANSYS, Inc. and its subsidiaries and affiliates.
  • 222.
    Tutorial 12: Flowin an Axial Rotor/Stator: Defining a Frozen Rotor Simulation in ANSYS CFX-Pre The full geometry contains 60 stator blades and 113 rotor blades. To help you visualize how the modeled geometry fits into the full geometry, the following figure shows approximately half of the full geometry. The Inflow and Outflow labels show the location of the modeled section in . Outflow Inflow Axis of Rotation As previously indicated, the modeled geometry contains two rotor blades and one stator blade. This is an approximation to the full geometry since the ratio of rotor blades to stator blades is close to, but not exactly, 2:1. In the stator blade passage a 6° section is being modeled (360°/60 blades), while in the rotor blade passage a 6.372° section is being modeled (2*360°/113 blades). This produces a pitch ratio at the interface between the stator and rotor of 0.942. As the flow crosses the interface it is scaled to allow this type of geometry to be modeled. This results in an approximation of the inflow to the rotor passage. Furthermore, the flow across the interface will not appear continuous due to the scaling applied. The periodic boundary conditions will introduce an additional approximation since they cannot be periodic when a pitch change occurs. You should always try to obtain a pitch ratio as close to 1 as possible in your model to minimize approximations, but this must be weighed against computational resources. A full machine analysis can be performed (modeling all rotor and stator blades) which will always eliminate any pitch change, but will require significant computational time. For this rotor/stator geometry, a 1/4 machine section (28 rotor blades, 15 stator blades) would produce a pitch change of 1.009, but this would require a model about 15 times larger than in this tutorial example. Defining a Frozen Rotor Simulation in ANSYS CFX-Pre The following sections describe the simulation setup in ANSYS CFX-Pre. Page 210 ANSYS CFX Tutorials. ANSYS CFX Release 11.0. © 1996-2006 ANSYS Europe, Ltd. All rights reserved. Contains proprietary and confidential information of ANSYS, Inc. and its subsidiaries and affiliates.
  • 223.
    Tutorial 12: Flowin an Axial Rotor/Stator: Defining a Frozen Rotor Simulation in ANSYS CFX-Pre Playing a Session File If you wish to skip past these instructions, and have ANSYS CFX-Pre set up the simulation automatically, you can select Session > Play Tutorial from the menu in ANSYS CFX-Pre, then run the session file: AxialIni.pre. After you have played the session file as described in earlier tutorials under Playing the Session File and Starting ANSYS CFX-Solver Manager (p. 87), proceed to Obtaining a Solution to the Frozen Rotor Model (p. 214). Creating a New Simulation This tutorial will use the Turbomachinery wizard in ANSYS CFX-Pre. This pre-processing mode is designed to simplify the setup of turbomachinery simulations. 1. Start ANSYS CFX-Pre. 2. Select File > New Simulation. 3. Select Turbomachinery and click OK. 4. Select File > Save Simulation As. 5. Under File name, type AxialIni. 6. Click Save. Basic Settings 1. Set Machine Type to Axial Turbine. 2. Click Next. Component Definition Two new components are required. As they are created, meshes are imported. 1. Right-click in the blank area and select New Component from the shortcut menu. 2. Create a new component of type Stationary, named S1. 3. Apply the following setting Setting Value Mesh > File stator.gtm* *. You may have to select the CFX Mesh option under File Type. 4. Create a new component of type Rotating, named R1. 5. Apply the following settings ANSYS CFX Tutorials. ANSYS CFX Release 11.0. © 1996-2006 ANSYS Europe, Ltd. All rights reserved. Page 211 Contains proprietary and confidential information of ANSYS, Inc. and its subsidiaries and affiliates.
  • 224.
    Tutorial 12: Flowin an Axial Rotor/Stator: Defining a Frozen Rotor Simulation in ANSYS CFX-Pre Setting Value Component Type > Value 523.6 [radian s^-1] Mesh File > File rotor.grd* *. You may have to select the CFX-TASCflow option under File Type. Note: The components must be ordered as above (stator then rotor) in order for the interface to be created correctly. The order of the two components can be changed by right clicking on S1 and selecting Move Component Up. When a component is defined, Turbo Mode will automatically select a list of regions that correspond to certain boundary condition types. This information should be reviewed in the Region Information section to ensure that all is correct. This information will be used to help set up boundary conditions and interfaces. The upper case turbo regions that are selected (e.g., HUB) correspond to the region names in the CFX-TASCflow grd file. CFX-TASCflow turbomachinery meshes use these names consistently. 6. Click Next. Physics Definition In this section, you will set properties of the fluid domain and some solver parameters. 1. Apply the following settings Tab Setting Value Physics Fluid Air Ideal Gas Definition Simulation Type > Type Steady State Model Data > Reference Pressure 0.25 [atm] Model Data > Heat Transfer Total Energy Model Data > Turbulence k-Epsilon Boundary Templates > P-Total Inlet Mass Flow Outlet (Selected) Boundary Templates > P-Total 0 [atm] Boundary Templates > T-Total 340 [K] Boundary Templates > Mass Flow Rate 0.06 [kg s^-1] Interface > Default Type Frozen Rotor Solver Parameters > Convergence Control Physical Timescale Solver Parameters > Physical Timescale 0.002 [s]* *. This time scale is approximately equal to 1 / ω , which is often appropriate for rotating machinery applications. 2. Click Next. Page 212 ANSYS CFX Tutorials. ANSYS CFX Release 11.0. © 1996-2006 ANSYS Europe, Ltd. All rights reserved. Contains proprietary and confidential information of ANSYS, Inc. and its subsidiaries and affiliates.
  • 225.
    Tutorial 12: Flowin an Axial Rotor/Stator: Defining a Frozen Rotor Simulation in ANSYS CFX-Pre Interface Definition ANSYS CFX-Pre will try to create appropriate interfaces using the region names presented previously in the Region Information section. In this case, you should see that a periodic interface has been generated for both the rotor and the stator. These are required when modeling a small section of the true geometry. An interface is also required to connect the two components together across the frame change. 1. Review the various interfaces but do not change them. 2. Click Next. Boundary Definition ANSYS CFX-Pre will try to create appropriate boundary conditions using the region names presented previously in the Region Information section. In this case, you should see a list of boundary conditions that have been generated. They can be edited or deleted in the same way as the interface connections that were set up earlier. 1. Review the various boundary definitions but do not change them. 2. Click Next. Final Operations 1. Set Operation to Enter General Mode. 2. Click Finish. Writing the Solver (.def) File 1. Click Write Solver File . 2. Apply the following settings: Setting Value File name AxialIni.def Quit CFX–Pre* (Selected) *. If using ANSYS CFX-Pre in Standalone Mode. 3. Ensure Start Solver Manager is selected and click Save. 4. If using Standalone Mode, quit ANSYS CFX-Pre, saving the simulation (.cfx) file at your discretion. You should see ANSYS CFX-Solver Manager appear. ANSYS CFX Tutorials. ANSYS CFX Release 11.0. © 1996-2006 ANSYS Europe, Ltd. All rights reserved. Page 213 Contains proprietary and confidential information of ANSYS, Inc. and its subsidiaries and affiliates.
  • 226.
    Tutorial 12: Flowin an Axial Rotor/Stator: Obtaining a Solution to the Frozen Rotor Model Obtaining a Solution to the Frozen Rotor Model Compared to previous tutorials, the mesh for this tutorial contains many more nodes (although it is still too coarse to perform a high quality CFD simulation). This results in a corresponding increase in solution time for the problem. Solving this problem in parallel is recommended, if possible. Your machine should have a minimum of 256MB of memory to run this tutorial. More detailed information about setting up ANSYS CFX to run in parallel is available. For details, see Tutorial 5: Flow Around a Blunt Body (p. 109). You can solve this example using Serial, Local Parallel or Distributed Parallel. • Obtaining a Solution in Serial (p. 214) • Obtaining a Solution With Local Parallel (p. 214) • Obtaining a Solution with Distributed Parallel (p. 215) Obtaining a Solution in Serial If you do not have a license to run ANSYS CFX in parallel you can run in serial by clicking the Start Run button when ANSYS CFX-Solver Manager has opened up. Solution time in serial is approximately 45 minutes on a 1GHz processor. 1. Click Start Run on the Define Run dialog box. ANSYS CFX-Solver runs and attempts to obtain a solution. This can take a long time depending on your system. Eventually a dialog box is displayed. 2. Click Yes to start ANSYS CFX-Post. 3. If using Standalone Mode, quit ANSYS CFX-Solver Manager. When you are finished, proceed to Viewing the Frozen Rotor Results in ANSYS CFX-Post (p. 215). Obtaining a Solution With Local Parallel To run in local parallel, the machine you are on must have more than one processor. 1. Set Run Mode to PVM Local Parallel in the Define Run dialog box. This is the recommended method for most applications. 2. If required, click Add Partition to add more partitions. By default, 2 partitions are assigned. 3. Click Start Run. 4. Click Yes to post-process the results when the completion message appears at the end of the run. 5. If using Standalone Mode, quit ANSYS CFX-Solver Manager. When you are finished, proceed to Viewing the Frozen Rotor Results in ANSYS CFX-Post (p. 215). Page 214 ANSYS CFX Tutorials. ANSYS CFX Release 11.0. © 1996-2006 ANSYS Europe, Ltd. All rights reserved. Contains proprietary and confidential information of ANSYS, Inc. and its subsidiaries and affiliates.
  • 227.
    Tutorial 12: Flowin an Axial Rotor/Stator: Viewing the Frozen Rotor Results in ANSYS CFX-Post Obtaining a Solution with Distributed Parallel 1. Set Run Mode to PVM Distributed Parallel in the Define Run dialog box. One partition should already be assigned to the host that you are logged into. 2. Click Insert Host to specify a new parallel host. 3. In Select Parallel Hosts, select another host name (this should be a machine that you can log into using the same user name). 4. Click Add, and then Close. The names of the two selected machines should be listed in the Host Name column of the Define Run dialog box. 5. Click Start Run. 6. Click Yes to post-process the results when the completion message appears at the end of the run. 7. If using Standalone Mode, quit ANSYS CFX-Solver Manager. Viewing the Frozen Rotor Results in ANSYS CFX-Post The Turbo-Post feature will be demonstrated in the following sections. This feature is designed to greatly reduce the effort taken to post-process turbomachinery simulations. Initializing Turbo-Post To initialize Turbo-Post, the properties of each component must be entered. This includes entering information about the inlet, outlet, hub, shroud, blade and periodic regions. 1. Click the Turbo tab. The Turbo Initialization dialog box is displayed, and asks you whether you want to auto-initialize all components. Note: If you do not see the Turbo Initialization dialog box, or as an alternative to using that dialog box, you can initialize all components by clicking the Initialize All Components button which is visible initially by default, or after double-clicking the Initialization object in the Turbo tree view. 2. Click Yes. The Turbo tree view shows the two components in domains R1 and S1. In this case, the initialization works without problems. If there was a problem initializing a component, this would be indicated in the tree view. Viewing Three Domain Passages Next, you will create an instancing transformation to plot three blade passages for the stator and six blade passages for the rotor. The instancing properties of each domain have already been entered during Initialization. In the next steps, you will create a surface group plot to color the blade and hub surfaces with the same variable. ANSYS CFX Tutorials. ANSYS CFX Release 11.0. © 1996-2006 ANSYS Europe, Ltd. All rights reserved. Page 215 Contains proprietary and confidential information of ANSYS, Inc. and its subsidiaries and affiliates.
  • 228.
    Tutorial 12: Flowin an Axial Rotor/Stator: Setting up a Transient Rotor-Stator Calculation 1. From the main menu, select Insert > Location > Surface Group. 2. Click OK. The default name is accepted. 3. Apply the following settings Tab Setting Value Geometry Locations R1 Blade, R1 Hub, S1 Blade, S1 Hub Color Mode Variable Variable Pressure 4. Click Apply. 5. Click the Turbo tab. 6. Open Plots > 3D View for editing. 7. Apply the following settings Tab Setting Value 3D View Instancing > Domain R1 Instancing > # of Copies 3 8. Click Apply. 9. Apply the following settings Tab Setting Value 3D View Instancing > Domain S1 Instancing > # of Copies 3 10. Click Apply. Blade Loading Turbo Chart In this section, you will create a plot of pressure around the stator blade at a given spanwise location. 1. In the Turbo tree view, double-click Blade Loading. This profile of the pressure curve is typical for turbomachinery applications. When you are finished viewing the chart, quit ANSYS CFX-Post. Setting up a Transient Rotor-Stator Calculation This section describes the step-by-step definition of the flow physics in ANSYS CFX-Pre. The existing frozen-rotor simulation is modified to define the transient rotor-stator simulation. If you have not already completed the frozen-rotor simulation, please refer to Defining a Frozen Rotor Simulation in ANSYS CFX-Pre (p. 210) before proceeding with the transient rotor-stator simulation. Page 216 ANSYS CFX Tutorials. ANSYS CFX Release 11.0. © 1996-2006 ANSYS Europe, Ltd. All rights reserved. Contains proprietary and confidential information of ANSYS, Inc. and its subsidiaries and affiliates.
  • 229.
    Tutorial 12: Flowin an Axial Rotor/Stator: Setting up a Transient Rotor-Stator Calculation Playing a Session File If you wish to skip past these instructions, and have ANSYS CFX-Pre set up the simulation automatically, you can select Session > Play Tutorial from the menu in ANSYS CFX-Pre, then run the session file: Axial.pre. After you have played the session file as described in earlier tutorials under Playing the Session File and Starting ANSYS CFX-Solver Manager (p. 87), proceed to Obtaining a Solution to the Transient Rotor-Stator Model (p. 219). Note: The session file creates a new simulation named Axial.cfx and will not modify the existing database. It also copies the required initial values files from the examples directory to the current working directory. Opening the Existing Simulation This step involves opening the original simulation and saving it to a different location. 1. Start ANSYS CFX-Pre. 2. Open the results file named AxialIni_001.res. 3. Save the simulation as Axial.cfx in your working directory. 4. Select Tools > Turbo Mode. Basic Settings is displayed Modifying the Physics Definition You need to modify the domain to define a transient simulation. You are going to run for a time interval such that the rotor blades pass through 1 pitch (6.372°) using 10 timesteps. This is generally too few timesteps to obtain high quality results, but is sufficient for tutorial purposes. The timestep size is calculated as follows: Rotational Speed = 523.6 rad/s Rotor Pitch Modelled = 2*(2π/113) = 0.1112 rad Time to pass through 1 pitch = 0.1112/523.6 = 2.124e-4 s Since 10 time steps are used over this interval each timestep should be 2.124e-5 s. 1. Click Next. Component Definition is displayed. 2. Click Next. Physics Definition is displayed. 3. Apply the following settings ANSYS CFX Tutorials. ANSYS CFX Release 11.0. © 1996-2006 ANSYS Europe, Ltd. All rights reserved. Page 217 Contains proprietary and confidential information of ANSYS, Inc. and its subsidiaries and affiliates.
  • 230.
    Tutorial 12: Flowin an Axial Rotor/Stator: Setting up a Transient Rotor-Stator Calculation Tab Setting Value Physics Fluid Air Ideal Gas Definition Simulation Type > Type Transient Simulation Type > Total Time 2.124e-4 [s]* Simulation Type > Time Steps 2.124e-5 [s]† Interface > Default Type Transient Rotor Stator *. This gives 10 timesteps of 2.124e-5 s †. This timestep will be used until the total time is reached Note: A transient rotor-stator calculation often runs through more than one pitch. In these cases, it may be useful to look at variable data averaged over the time interval required to complete 1 pitch. You can then compare data for each pitch rotation to see if a “steady state” has been achieved, or if the flow is still developing. 4. Click Next. Interface Definition is displayed. 5. Click Next. Boundary Definition is displayed. 6. Click Next. Final Operations is displayed. 7. Ensure that Operation is set to Enter General Mode. 8. Click Finish. Initial values are required, but will be supplied later using a results file. Setting Output Control 1. Click Output Control . 2. Click the Trn Results tab. 3. Create a new transient result with the name Transient Results 1. 4. Apply the following settings to Transient Results 1 Setting Value Option Selected Variables Output Variables List * Pressure, Velocity, Velocity in Stn Frame Output Frequency > Option Time Interval Output Frequency > Time Interval 2.124e-5 [s] *. Use the <Ctrl> key to select more than one variable. 5. Click OK. Writing the Solver (.def) File 1. Click Write Solver File . Page 218 ANSYS CFX Tutorials. ANSYS CFX Release 11.0. © 1996-2006 ANSYS Europe, Ltd. All rights reserved. Contains proprietary and confidential information of ANSYS, Inc. and its subsidiaries and affiliates.
  • 231.
    Tutorial 12: Flowin an Axial Rotor/Stator: Obtaining a Solution to the Transient Rotor-Stator Model A warning will appear, due to a lack of initial values. 2. Click Yes. Initial values are required, but will be supplied later using a results file. 3. Apply the following settings: Setting Value File name Axial.def Quit CFX–Pre * (Selected) *. If using ANSYS CFX-Pre in Standalone Mode. 4. Ensure Start Solver Manager is selected and click Save. 5. If using Standalone Mode, quit ANSYS CFX-Pre, saving the simulation (.cfx) file at your discretion. Obtaining a Solution to the Transient Rotor-Stator Model When the ANSYS CFX-Solver Manager has started you will need to specify an initial values file before starting the ANSYS CFX-Solver. Serial Solution If you do not have a license, or do not want to run ANSYS CFX in parallel, you can run it in serial. Solution time in serial is similar to the first part of this tutorial. 1. Under Initial Values File, click Browse . 2. Select AxialIni_001.res. 3. Click Open. 4. Click Start Run. 5. You may see a notice that the mesh from the initial values file will be used. This mesh is the same as in the definition file. Click OK to continue. ANSYS CFX-Solver runs and attempts to obtain a solution. This can take a long time depending on your system. Eventually a dialog box is displayed. 6. Click Yes to post-process the results when the completion message appears at the end of the run. 7. If using Standalone Mode, quit ANSYS CFX-Solver Manager. When you are finished, continue with Monitoring the Run (p. 220). Parallel Solution You can solve this example using either local parallel or distributed parallel, in the same way as in the first part of this tutorial. For details, see Obtaining a Solution to the Frozen Rotor Model (p. 214). ANSYS CFX Tutorials. ANSYS CFX Release 11.0. © 1996-2006 ANSYS Europe, Ltd. All rights reserved. Page 219 Contains proprietary and confidential information of ANSYS, Inc. and its subsidiaries and affiliates.
  • 232.
    Tutorial 12: Flowin an Axial Rotor/Stator: Viewing the Transient Rotor-Stator Results in ANSYS CFX-Post Monitoring the Run During the solution, look for the additional information that is provided for transient rotor-stator runs. Each time the rotor is rotated to its next position, the number of degrees of rotation and the fraction of a pitch moved is given. You should see that after 10 timesteps the rotor has been moved through 1 pitch. Viewing the Transient Rotor-Stator Results in ANSYS CFX-Post To examine the transient interaction between the rotor and stator, you are going to create a blade-to-blade animation of pressure. A turbo surface will be used as the basis for this plot. Initializing Turbo-Post 1. Click the Turbo tab. The Turbo Initialization dialog box is displayed, and asks you whether you want to auto-initialize all components. Note: If you do not see the Turbo Initialization dialog box, or as an alternative to using that dialog box, you can initialize all components by clicking the Initialize All Components button which is visible initially by default, or after double-clicking the Initialization object in the Turbo tree view. 2. Click Yes. Both components (domains) are now being initialized based on the automatically selected turbo regions. When the process is complete, a green turbine icon appears next to each component entry in the list. Also, the viewer displays a green background mesh for each initialized component. 3. Double-click Component 1 (S1) and review the automatically-selected turbo regions. Displaying a Surface of Constant Span 1. In the Turbo tree view, double-click Blade-to-Blade. A surface of constant span appears, colored by pressure. This object can be edited and then redisplayed using the details view. Using Multiple Turbo Viewports 1. In the Turbo tree view, double-click Initialization. 2. Click Three Views. Left view is 3D View, top right is Blade-to-Blade and bottom right is Meridional view. 3. Click Single View. Creating a Turbo Surface Midway Between the Hub and Shroud 1. Create a Turbo Surface from the Insert drop down menu with a Constant Span and value of 0.5. Page 220 ANSYS CFX Tutorials. ANSYS CFX Release 11.0. © 1996-2006 ANSYS Europe, Ltd. All rights reserved. Contains proprietary and confidential information of ANSYS, Inc. and its subsidiaries and affiliates.
  • 233.
    Tutorial 12: Flowin an Axial Rotor/Stator: Viewing the Transient Rotor-Stator Results in ANSYS CFX-Post 2. Under the Color panel select Variable and set it to Pressure with a user specified range of -10000 [Pa] to -7000 [Pa]. Setting up Instancing Transformations Next, you will use instancing transformations to view a larger section of the model. The properties for each domain have already been entered during the initialization phase, so only the number of instances needs to be set. 1. In the Turbo tree view, double-click the 3D View object. 2. In the Instancing section of the form, set # of Copies to 6 for R1. 3. Click Apply. 4. In the Instancing section of the form, set # of Copies to 6 for S1. 5. Click Apply. 6. Return to the Outline tab and ensure that the turbo surface is visible again. Creating a Transient Animation Start by loading the first timestep: 1. Click Timestep Selector . 2. Select time value 0. 3. Click Apply to load the timestep. The rotor blades move to their starting position. This is exactly 1 pitch from the previous position so the blades will not appear to move. 4. Clear Visibility for Wireframe. 5. Position the geometry as shown below, ready for the animation. During the animation the rotor blades will move to the right. Make sure you have at least two rotor blades out of view to the left side of the viewer. They will come into view during the animation. 6. In the toolbar at the top of the window click Animation . 7. In the Animation dialog box, click New to create KeyFrameNo1. 8. Highlight KeyframeNo1, then set # of Frames to 9. 9. Use the Timestep Selector to load the final timestep. ANSYS CFX Tutorials. ANSYS CFX Release 11.0. © 1996-2006 ANSYS Europe, Ltd. All rights reserved. Page 221 Contains proprietary and confidential information of ANSYS, Inc. and its subsidiaries and affiliates.
  • 234.
    Tutorial 12: Flowin an Axial Rotor/Stator: Viewing the Transient Rotor-Stator Results in ANSYS CFX-Post 10. In the Animation dialog box, click New to create KeyframeNo2. 11. Click More Animation Options to expand the Animation dialog box. 12. Click Options and set Transient Case to TimeValue Interpolation. Click OK. The animation now contains a total of 11 frames (9 intermediate frames plus the two Keyframes), one for each of the available time values. 13. In the expanded Animation dialog box, select Save MPEG. 14. Click Browse , next to the Save MPEG box and then set the file name to an appropriate file name. 15. If frame 1 is not loaded (shown in the F: text box at the bottom of the Animation dialog box), click To Beginning to load it. Wait for ANSYS CFX-Post to finish loading the objects for this frame before proceeding. 16. Click Play the animation . • It takes a while for the animation to complete. • To view the MPEG file, you will need to use a media player that supports the MPEG format. You will be able to see from the animation, and from the plots created previously, that the flow is not continuous across the interface. This is because a pitch change occurs. The relatively coarse mesh and the small number of timesteps used in the transient simulation also contribute to this. The movie was created with a narrow pressure range compared to the global range which exaggerates the differences across the interface. Further Postprocessing You can use the Turbo Calculator to produce a report on the performance of the turbine. 1. Edit the Gas Turbine Performance macro in the Turbo tree view. 2. Set Ref Radius to 0.4575 and leave other settings at their default values. 3. Click Calculate. 4. Click View Report. Page 222 ANSYS CFX Tutorials. ANSYS CFX Release 11.0. © 1996-2006 ANSYS Europe, Ltd. All rights reserved. Contains proprietary and confidential information of ANSYS, Inc. and its subsidiaries and affiliates.
  • 235.
    Tutorial 13: Reacting Flowin a Mixing Tube Introduction This tutorial includes: • Tutorial 13 Features (p. 223) • Overview of the Problem to Solve (p. 224) • Outline of the Process (p. 224) • Defining a Simulation in ANSYS CFX-Pre (p. 225) • Obtaining a Solution using ANSYS CFX-Solver Manager (p. 237) • Viewing the Results in ANSYS CFX-Post (p. 237) If this is the first tutorial you are working with, it is important to review the following topics before beginning: • Setting the Working Directory (p. 1) • Changing the Display Colors (p. 2) Unless you plan on running a session file, you should copy the sample files used in this tutorial from the installation folder for your software (<CFXROOT>/examples/) to your working directory. This prevents you from overwriting source files provided with your installation. If you plan to use a session file, please refer to Playing a Session File (p. 225). Sample files referenced by this tutorial include: • Reactor.pre • ReactorExpressions.ccl • ReactorMesh.gtm Tutorial 13 Features This tutorial addresses the following features of ANSYS CFX. ANSYS CFX Tutorials Page 223 ANSYS CFX Release 11.0. © 1996-2006 ANSYS Europe, Ltd. All rights reserved. Contains proprietary and confidential information of ANSYS, Inc. and its subsidiaries and affiliates.
  • 236.
    Tutorial 13: ReactingFlow in a Mixing Tube: Overview of the Problem to Solve Component Feature Details ANSYS CFX-Pre User Mode General Mode Simulation Type Steady State Fluid Type Variable Composition Mixture Domain Type Single Domain Turbulence Model k-Epsilon Heat Transfer Thermal Energy Particle Tracking Component Source Boundary Conditions Inlet (Subsonic) Outlet (Subsonic) Symmetry Plane Wall: Adiabatic Additional Variables CEL (CFX Expression Language) Timestep Physical Time Scale ANSYS CFX-Post Plots Isosurface Slice Plane Other Changing the Color Range In this tutorial you will learn about: • Creating and using a multicomponent fluid in ANSYS CFX-Pre. • Using CEL to model a reaction in ANSYS CFX-Pre. • Using an algebraic additional variable to model a scalar distribution. • Using a subdomain as the basis for component sources. Overview of the Problem to Solve Reaction engineering is one of the main core components in the chemical industry. Optimizing reactor design leads to higher yields, lower costs and, as a result, higher profit. This example demonstrates the capability of ANSYS CFX in modeling basic reacting flows using a multicomponent fluid model. Outline of the Process The model is a mixing tube into which acid and alkali are injected through side holes. The reaction to be modeled is: H 2 SO 4 + 2NaOH → Na 2 SO 4 + 2H 2 O (Eqn. 1) The tube is modeled as an axisymmetric section. Page 224 ANSYS CFX Tutorials. ANSYS CFX Release 11.0. © 1996-2006 ANSYS Europe, Ltd. All rights reserved. Contains proprietary and confidential information of ANSYS, Inc. and its subsidiaries and affiliates.
  • 237.
    Tutorial 13: ReactingFlow in a Mixing Tube: Defining a Simulation in ANSYS CFX-Pre The reaction between acid and alkali is represented as a single step irreversible liquid-phase reaction A+B→C (Eqn. 2) Reagent A (dilute sulphuric acid) is injected through a ring of holes near the start of the tube. As it flows along the tube it reacts with Reagent B (dilute sodium hydroxide) which is injected through a further two rings of holes downstream. The product, C , remains in solution. The composition and pH of the mixture within the tube are principal quantities of interest to be predicted by the model. The flow is assumed to be fully turbulent and turbulence is assumed to have a significant effect on the process. The process is also exothermic. Defining a Simulation in ANSYS CFX-Pre The following sections describe the simulation setup in ANSYS CFX-Pre. Playing a Session File If you wish to skip past these instructions, and have ANSYS CFX-Pre set up the simulation automatically, you can select Session > Play Tutorial from the menu in ANSYS CFX-Pre, then run the session file: Reactor.pre. After you have played the session file as described in earlier tutorials under Playing the Session File and Starting ANSYS CFX-Solver Manager (p. 87), proceed to Obtaining a Solution using ANSYS CFX-Solver Manager (p. 237). Creating a New Simulation 1. Start ANSYS CFX-Pre. 2. Select File > New Simulation. 3. Select General and click OK. 4. Select File > Save Simulation As. 5. Under File name, type Reactor. 6. Click Save. Importing the Mesh 1. Right-click Mesh and select Import Mesh. 2. Apply the following settings ANSYS CFX Tutorials. ANSYS CFX Release 11.0. © 1996-2006 ANSYS Europe, Ltd. All rights reserved. Page 225 Contains proprietary and confidential information of ANSYS, Inc. and its subsidiaries and affiliates.
  • 238.
    Tutorial 13: ReactingFlow in a Mixing Tube: Defining a Simulation in ANSYS CFX-Pre Setting Value File name ReactorMesh.gtm 3. Click Open. Creating a Multicomponent Fluid In addition to providing template fluids, ANSYS CFX allows you to create custom fluids for use in all your ANSYS CFX models. These fluids may be defined as a pure substance, but may also be defined as a mixture, consisting of a number of transported fluid components. This type of fluid model is useful for applications involving mixtures, reactions, and combustion. In order to define custom fluids, ANSYS CFX-Pre provides the Material details view. This tool allows you to define your own fluids as pure substances, fixed composition mixtures or variable composition mixtures using a range of template property sets defined for common materials. The mixing tube application requires a fluid made up from four separate materials (or components). The components are the reactants and products of a simple chemical reaction together with a neutral carrier liquid. You are first going to define the materials that take part in the reaction (acid, alkali and product) as pure substances. The neutral carrier liquid is water; this material is already defined since it is commonly used. Finally, you will create a variable composition mixture consisting of these four materials. This is the fluid that you will use in your simulation. A variable composition mixture (as opposed to a fixed composition mixture) is required because the proportion of each component will change throughout the simulation due to the reaction. Acid properties 1. Create a new material named acid. 2. Apply the following settings Tab Setting Value Basic Settings Option Pure Substance Thermodynamic State (Selected) Thermodynamic State > Thermodynamic State Liquid Page 226 ANSYS CFX Tutorials. ANSYS CFX Release 11.0. © 1996-2006 ANSYS Europe, Ltd. All rights reserved. Contains proprietary and confidential information of ANSYS, Inc. and its subsidiaries and affiliates.
  • 239.
    Tutorial 13: ReactingFlow in a Mixing Tube: Defining a Simulation in ANSYS CFX-Pre Tab Setting Value Material Properties Thermodynamic Properties > Equation of State 19.52 [kg kmol^-1]* > Molar Mass Thermodynamic Properties > Equation of State 1080 [kg m^-3] > Density Thermodynamic Properties > Specific Heat (Selected) Capacity Thermodynamic Properties > Specific Heat 4190 [J kg^-1 K^-1] Capacity > Specific Heat Capacity Transport Properties > Dynamic Viscosity (Selected) Transport Properties > Dynamic Viscosity > Value Option Transport Properties > Dynamic Viscosity > 0.001 [kg m^-1 s^-1] Dynamic Viscosity Transport Properties > Thermal Conductivity (Selected) Transport Properties > Thermal Conductivity > 0.6 [W m^-1 K^-1] Thermal Conductivity *. The Molar Masses for the three materials created are only set for completeness since they are not used when solving this problem. 3. Click OK. Alkali 1. Create a new material named alkali. properties 2. Apply the following settings Tab Setting Value Basic Settings Option Pure Substance Thermodynamic State (Selected) Thermodynamic State > Thermodynamic State Liquid Material Properties Thermodynamic Properties > Equation of State 20.42 [kg kmol^-1] > Molar Mass Thermodynamic Properties > Equation of State 1130 [kg m^-3] > Density Thermodynamic Properties > Specific Heat (Selected) Capacity Thermodynamic Properties > Specific Heat 4190 [J kg^-1 K^-1] Capacity > Specific Heat Capacity Transport Properties > Dynamic Viscosity (Selected) Transport Properties > Dynamic Viscosity > 0.001 [kg m^-1 s^-1] Dynamic Viscosity Transport Properties > Thermal Conductivity (Selected) Transport Properties > Thermal Conductivity > 0.6 [W m^-1 K^-1] Thermal Conductivity 3. Click OK. ANSYS CFX Tutorials. ANSYS CFX Release 11.0. © 1996-2006 ANSYS Europe, Ltd. All rights reserved. Page 227 Contains proprietary and confidential information of ANSYS, Inc. and its subsidiaries and affiliates.
  • 240.
    Tutorial 13: ReactingFlow in a Mixing Tube: Defining a Simulation in ANSYS CFX-Pre Product of the 1. Create a new material named product. reaction 2. Apply the following settings properties Tab Setting Value Basic Settings Option Pure Substance Thermodynamic State (Selected) Thermodynamic State > Thermodynamic State Liquid Material Properties Thermodynamic Properties > Equation of State 21.51 [kg kmol^-1] > Molar Mass Thermodynamic Properties > Equation of State 1190 [kg m^-3] > Density Thermodynamic Properties > Specific Heat (Selected) Capacity Thermodynamic Properties > Specific Heat 4190 [J kg^-1 K^-1] Capacity > Specific Heat Capacity Transport Properties > Dynamic Viscosity (Selected) Transport Properties > Dynamic Viscosity > 0.001 [kg m^-1 s^-1] Dynamic Viscosity Transport Properties > Thermal Conductivity (Selected) Transport Properties > Thermal Conductivity > 0.6 [W m^-1 K^-1] Thermal Conductivity 3. Click OK. Fluid properties 1. Create a new material named mixture. 2. Apply the following settings Tab Setting Value Basic Settings Option Variable Composition Mixture Material Group User, Water Data Materials List Water, acid, alkali, product Thermodynamic State (Selected) Thermodynamic State > Liquid Thermodynamic State 3. Click OK. Creating an Additional Variable to Model pH You are going to use an additional variable to model the distribution of pH in the mixing tube. You can create additional variables and use them in selected fluids in your domain. 1. Create a new additional variable named MixturePH. 2. Apply the following settings Page 228 ANSYS CFX Tutorials. ANSYS CFX Release 11.0. © 1996-2006 ANSYS Europe, Ltd. All rights reserved. Contains proprietary and confidential information of ANSYS, Inc. and its subsidiaries and affiliates.
  • 241.
    Tutorial 13: ReactingFlow in a Mixing Tube: Defining a Simulation in ANSYS CFX-Pre Tab Setting Value Basic Settings Units [kg kg^-1] 3. Click OK. This additional variable is now available for use when you create or modify a domain. Defining the Reaction Reactions and reaction kinetics can be modeled using CFX Expression Language (CEL), together with appropriate settings for Component sources. This section shows you how to develop an Eddy Break Up (EBU) type term using CEL to simulate the reaction between acid and alkali. Reaction Source The reaction and reaction rate are modeled using a basic Eddy Break Up formulation for the Terms component and energy sources, so that, for example, the transport equation for mass fraction of acid is ∂ d ---- ( ρm f acid ) + ∇•( ρU mf acid ) – ∇ • ( ρD A ∇m f acid ) - ∂t (Eqn. 3) ε mf alkali = – 4ρ --min ⎛ mf acid, ---------------- ⎞ - k ⎝ i ⎠ where mf is mass fraction, D A is the kinematic diffusivity (set above) and i is the stoichiometric ratio. The right hand side represents the source term applied to the transport equation for the mass fraction of acid. The left hand side consists of the transient, advection and diffusion terms. For acid-alkali reactions, the stoichiometric ratio is usually based on volume fractions. To correctly model the reaction using an Eddy Break Up formulation based on mass fractions, you must calculate the stoichiometric ratio based on mass fractions. In this tutorial the reaction is modeled by introducing source terms for the acid, alkali and product components. You can now also model this type of flow more easily using a reacting mixture as your fluid. There is also a tutorial example using a reacting mixture. For details, see Tutorial 18: Combustion and Radiation in a Can Combustor (p. 299). Technical Note (Reference Only) In ANSYS CFX, Release 11.0, a source is fully specified by an expression for its value S. A source coefficient C is optional, but can be specified to provide convergence enhancement or stability for strongly-varying sources. The value of C may affect the rate of convergence but should not affect the converged results. ANSYS CFX Tutorials. ANSYS CFX Release 11.0. © 1996-2006 ANSYS Europe, Ltd. All rights reserved. Page 229 Contains proprietary and confidential information of ANSYS, Inc. and its subsidiaries and affiliates.
  • 242.
    Tutorial 13: ReactingFlow in a Mixing Tube: Defining a Simulation in ANSYS CFX-Pre If no suitable value is available for C , the solution time scale or timestep can still be reduced to help improve convergence of difficult source terms. Important: C must never be positive. An optimal value for C when solving an individual equation for a positive variable φ with a source S whose strength decreases with increasing φ is ∂S C = (Eqn. 4) ∂φ Where this derivative cannot be computed easily, S C = -- - (Eqn. 5) φ may be sufficient to ensure convergence. Another useful recipe for C is ρ C = – -- - (Eqn. 6) τ where τ is a local estimate for the source time scale. Provided that the source time scale is not excessively short compared to flow or mixing time scales, this may be a useful approach for controlling sources with positive feedback ( ∂S ⁄ ∂φ > 0 ) or sources that do not depend directly on the solved variable φ . Calculating pH The pH (or acidity) of the mixture is a function of the mass fraction of acid, alkali and product. For the purposes of this calculation, acid is assumed to be dilute and fully dissociated into + - its respective ions ( H and X ); alkali is assumed to be dilute and fully dissociated into its + - respective ions ( Y and OH ); product is assumed to be a salt solution including further + - H and OH ions in a stoichiometric ratio. The concentrations of hydrogen and hydroxyl ions can be calculated from the mass fractions of the components using the following expressions: mf prod [ H ] acid = αρ ⎛ mf acid + --------------- ⎞ = [ X ] + i–i - (Eqn. 7) ⎝ 1+i ⎠ imf prod [ OH ] alkali = βρ ⎛ mf alkali + ----------------- ⎞ = [ Y ] - i+i - (Eqn. 8) ⎝ 1+i ⎠ Page 230 ANSYS CFX Tutorials. ANSYS CFX Release 11.0. © 1996-2006 ANSYS Europe, Ltd. All rights reserved. Contains proprietary and confidential information of ANSYS, Inc. and its subsidiaries and affiliates.
  • 243.
    Tutorial 13: ReactingFlow in a Mixing Tube: Defining a Simulation in ANSYS CFX-Pre - + where α and β are the X ion and Y ion concentrations in the acid and alkali - respectively. For this problem, α is set to 1.0E-05 kmole X per kg of acid, and β = α ⁄ i . Applying charge conservation and equilibrium conditions, + + - - [ H ] + [ Y ] = [ X ] + [ OH ] (Eqn. 9) + - [ H ] [ OH ] = K W (Eqn. 10) gives the following quadratic equation for free hydrogen ion concentration: + + + - [ H ] ( [ H ] + [ Y ] –[ X ] ) = K W (Eqn. 11) + 2 + - + [H ] + ([Y ] – [X ])[H ] – K W = 0 (Eqn. 12) i+i pH = – log 10 [ H ] (Eqn. 13) where K W is the equilibrium constant (1.0 x 10E-14 kmoles2 m-6). + The quadratic equation can be solved for [ H ] using the equation 2 + – b + b – 4ac + - [ H ] = ------------------------------------- where a = 1 , b = [ Y ] – [ X ] and c = – K W . - 2a Creating You can create the expressions required to model the reaction sources and pH by either expressions to reading them in from a file or by defining them in the Expressions workspace. Note that the model the expressions used here do not refer to a particular fluid since there is only a single fluid. In a reaction multiphase simulation you must prefix variables with a fluid name, for example Mixture.acid.mf instead of acid.mf. In this tutorial the expressions can be imported from a file to avoid typing them. Reading 1. Select File > Import CCL. expressions 2. Ensure that Import Method is set to Append. from a file 3. Select ReactorExpressions.ccl, which should be in your working directory. 4. Click Open. Note that the expressions have been loaded. Creating the Domain 1. Right click Simulation in the Outline tree view and ensure that Automatic Default Domain is selected. A domain named Default Domain should now appear under the Simulation branch. 2. Double click Default Domain and apply the following settings ANSYS CFX Tutorials. ANSYS CFX Release 11.0. © 1996-2006 ANSYS Europe, Ltd. All rights reserved. Page 231 Contains proprietary and confidential information of ANSYS, Inc. and its subsidiaries and affiliates.
  • 244.
    Tutorial 13: ReactingFlow in a Mixing Tube: Defining a Simulation in ANSYS CFX-Pre Tab Setting Value General Basic Settings > Domain Type Fluid Domain Options Basic Settings > Fluids List mixture Domain Models > Pressure > Reference Pressure 1 [atm] Fluid Models Heat Transfer > Option Thermal Energy Component Details acid Component Details > acid > Option Transport Equation Component Details > acid > Kinematic Diffusivity (Selected) Component Details > acid > Kinematic Diffusivity > 0.001 [m^2 s^-1] Kinematic Diffusivity 3. Use the same Option and Kinematic Diffusivity settings for alkali and product as you have just set for acid. 4. For Water, set Option to Constraint as follows Tab Setting Value Fluid Models Component Details Water Component Details > Water > Option Constraint One component must always use Constraint. This is the component used to balance the mass fraction equation; the sum of the mass fractions of all components of a fluid must equal unity. 5. Apply the following settings Tab Setting Value Fluid Models Additional Variable Details > MixturePH (Selected) Additional Variable Details > MixturePH > Algebraic Equation Option Additional Variable Details > MixturePH > pH Value 6. Click OK. Creating a Subdomain to Model the Chemical Reactions To provide the correct modeling for the chemical reaction you need to define sources for the fluid components acid, alkali ,and product. To do this, you need to create a subdomain where the relevant sources can be specified. In this case, sources need to be provided within the entire domain of the mixing tube since the reaction occurs throughout the domain. 1. Create a new subdomain named sources. 2. Apply the following settings Page 232 ANSYS CFX Tutorials. ANSYS CFX Release 11.0. © 1996-2006 ANSYS Europe, Ltd. All rights reserved. Contains proprietary and confidential information of ANSYS, Inc. and its subsidiaries and affiliates.
  • 245.
    Tutorial 13: ReactingFlow in a Mixing Tube: Defining a Simulation in ANSYS CFX-Pre Tab Setting Value Sources Sources (Selected) Sources > Equation Sources acid.mf Sources > Equation Sources > acid.mf (Selected) Sources > Equation Sources > acid.mf > Source AcidSource Sources > Equation Sources > acid.mf > Source Coefficient (Selected) Sources > Equation Sources > acid.mf > Source Coefficient > AcidSourceCoeff Source Coefficient Sources > Equation Sources alkali.mf Sources > Equation Sources > alkali.mf (Selected) Sources > Equation Sources > alkali.mf > Source AlkaliSource Sources > Equation Sources > alkali.mf > Source Coefficient (Selected) Sources > Equation Sources > alkali.mf > Source Coefficient > AlkaliSourceCoeff Source Coefficient Sources > Equation Sources Energy Sources > Equation Sources > Energy (Selected) Sources > Equation Sources > Energy > Source HeatSource Sources > Equation Sources product.mf Sources > Equation Sources > product.mf (Selected) Sources > Equation Sources > product.mf > Source ProductSource Sources > Equation Sources > product.mf > Source Coefficient (Selected) Sources > Equation Sources > product.mf > Source Coefficient 0 [kg m^-3 s^-1] > Source Coefficient 3. Click OK. Creating the Boundary Conditions Water Inlet 1. Create a new boundary condition named InWater. Boundary 2. Apply the following settings Tab Setting Value Basic Settings Boundary Type Inlet Location InWater Boundary Details Mass and Momentum > Normal Speed 2 [m s^-1] Heat Transfer > Option Static Temperature Heat Transfer > Static Temperature 300 [K] 3. Leave mass fractions for all components set to zero. Since Water is the constraint fluid, it will be automatically given a mass fraction of 1 on this inlet. 4. Click OK. Acid Inlet 1. Create a new boundary condition named InAcid. Boundary ANSYS CFX Tutorials. ANSYS CFX Release 11.0. © 1996-2006 ANSYS Europe, Ltd. All rights reserved. Page 233 Contains proprietary and confidential information of ANSYS, Inc. and its subsidiaries and affiliates.
  • 246.
    Tutorial 13: ReactingFlow in a Mixing Tube: Defining a Simulation in ANSYS CFX-Pre 2. Apply the following settings Tab Setting Value Basic Settings Boundary Type Inlet Location InAcid Boundary Details Mass and Momentum > Normal Speed 2 [m s^-1] Heat Transfer > Option Static Temperature Heat Transfer > Static Temperature 300 [K] Component Details acid Component Details > acid > Mass Fraction 1.0 Component Details alkali Component Details > alkali > Mass Fraction 0 Component Details product Component Details > product > Mass Fraction 0 3. Click OK. Alkali Inlet The inlet area for the alkali is twice that of the acid and it also enters at a higher velocity. The Boundary result is an acid-to-alkali volume inflow ratio of 1:2.667. Recall that a stoichiometric ratio of 2.7905 was specified based on mass fractions. When the density of the acid (1080 [kg m^3]) and alkali (1130 [kg m^3]) are considered, the acid-to-alkali mass flow ratio can be calculated as 1:2.7905. You are therefore providing enough acid and alkali to produce a neutral solution if they react together completely. 1. Create a new boundary condition named InAlkali. 2. Apply the following settings Tab Setting Value Basic Settings Boundary Type Inlet Location InAlkali Boundary Details Mass and Momentum > Normal Speed 2.667 [m s^-1] Heat Transfer > Option Static Temperature Heat Transfer > Static Temperature 300 [K] Component Details > acid (Selected) Component Details > acid > Mass Fraction 0 Component Details > alkali (Selected) Component Details > alkali > Mass Fraction 1 Component Details > product (Selected) Component Details > product > Mass Fraction 0 3. Click OK. Outlet 1. Create a new boundary condition named out. Boundary 2. Apply the following settings Page 234 ANSYS CFX Tutorials. ANSYS CFX Release 11.0. © 1996-2006 ANSYS Europe, Ltd. All rights reserved. Contains proprietary and confidential information of ANSYS, Inc. and its subsidiaries and affiliates.
  • 247.
    Tutorial 13: ReactingFlow in a Mixing Tube: Defining a Simulation in ANSYS CFX-Pre Tab Setting Value Basic Settings Boundary Type Outlet Location out Boundary Details Mass and Momentum > Option Static Pressure Mass and Momentum > Relative Pressure 0 [Pa] 3. Click OK. Symmetry 1. Create a new boundary condition named sym1. Boundary 2. Apply the following settings Tab Setting Value Basic Settings Boundary Type Symmetry Location sym1 3. Click OK. 4. Create a new boundary condition named sym2. 5. Apply the following settings Tab Setting Value Basic Settings Boundary Type Symmetry Location sym2 6. Click OK. The default adiabatic wall boundary condition will automatically be applied to the remaining unspecified boundary. Setting Initial Values The values for acid, alkali and product will be initialized to 0. Since Water is the constrained component, it will make up the remaining mass fraction which, in this case, is 1. 1. Click Global Initialization . 2. Apply the following settings ANSYS CFX Tutorials. ANSYS CFX Release 11.0. © 1996-2006 ANSYS Europe, Ltd. All rights reserved. Page 235 Contains proprietary and confidential information of ANSYS, Inc. and its subsidiaries and affiliates.
  • 248.
    Tutorial 13: ReactingFlow in a Mixing Tube: Defining a Simulation in ANSYS CFX-Pre Tab Setting Value Global Initial Conditions > Cartesian Velocity Components > Automatic with Value Settings Option Initial Conditions > Cartesian Velocity Components > U 2 [m s^-1] Initial Conditions > Cartesian Velocity Components > V 0 [m s^-1] Initial Conditions > Cartesian Velocity Components > W 0 [m s^-1] Initial Conditions > Turbulence Eddy Dissipation (Selected) Initial Conditions > Turbulence Eddy Dissipation > Automatic Option Initial Conditions > Component Details acid Initial Conditions > Component Details > acid > Option Automatic with Value Initial Conditions > Component Details > acid > Mass 0 Fraction Initial Conditions > Component Details alkali Initial Conditions > Component Details > alkali > Option Automatic with Value Initial Conditions > Component Details > alkali > Mass 0 Fraction Initial Conditions > Component Details product Initial Conditions > Component Details > product > Automatic with Value Option Initial Conditions > Component Details > product > Mass 0 Fraction 3. Click OK. Setting Solver Control 1. Click Solver Control . 2. Apply the following settings Tab Setting Value Basic Settings Advection Scheme > Option Specific Blend Factor Advection Scheme > Blend Factor 0.75 Convergence Control > Max. Iterations 50 Convergence Control > Fluid Timescale Physical Timescale Control > Timescale Control Convergence Control > Fluid Timescale 0.01 [s]* Control > Physical Timescale *. The length of mixing tube is 0.06 [m] and inlet velocity is 2 [m s^-1]. An estimate of the dynamic time scale is 0.03 [s]. An appropriate timestep would be 1/4 to 1/2 of this value. Page 236 ANSYS CFX Tutorials. ANSYS CFX Release 11.0. © 1996-2006 ANSYS Europe, Ltd. All rights reserved. Contains proprietary and confidential information of ANSYS, Inc. and its subsidiaries and affiliates.
  • 249.
    Tutorial 13: ReactingFlow in a Mixing Tube: Obtaining a Solution using ANSYS CFX-Solver Manager 3. Click OK. Note: At this point, you might see a physics validation message regarding a change in the advection scheme. This change will not affect the outcome of the simulation; you will still be able to run this simulation in the ANSYS CFX-Solver. Writing the Solver (.def) File 1. Click Write Solver File . 2. Apply the following settings: Setting Value File name Reactor.def Quit CFX–Pre* (Selected) *. If using ANSYS CFX-Pre in Standalone Mode. 3. Ensure Start Solver Manager is selected and click Save. 4. If using Standalone Mode, quit ANSYS CFX-Pre, saving the simulation (.cfx) file at your discretion. Obtaining a Solution using ANSYS CFX-Solver Manager When the ANSYS CFX-Solver Manager has started, obtain a solution to the CFD problem by following the instructions below. Using the double precision ANSYS CFX-Solver executable is recommended for this case: 1. Ensure Define Run is displayed. 2. Select Show Advanced Controls. On the Solver tab, select Double Precision under Executable Settings. 3. Click Start Run. ANSYS CFX-Solver runs and attempts to obtain a solution. This can take a long time depending on your system. Eventually a dialog box is displayed. 4. Click Yes to post-process the results. 5. If using Standalone Mode, quit ANSYS CFX-Solver Manager. Viewing the Results in ANSYS CFX-Post Try the following: • Create an XY plane through Z = 0 colored by MixturePH. The lower and upper bounds depend on the precision setting used in the ANSYS CFX-Solver should approximately range from 2 to 15 (single) or 2 to 11 (double). ANSYS CFX Tutorials. ANSYS CFX Release 11.0. © 1996-2006 ANSYS Europe, Ltd. All rights reserved. Page 237 Contains proprietary and confidential information of ANSYS, Inc. and its subsidiaries and affiliates.
  • 250.
    Tutorial 13: ReactingFlow in a Mixing Tube: Viewing the Results in ANSYS CFX-Post Figure 1 shows two planes colored by MixturePH, with the plane on the right having a more accurate solution throughout the domain. Figure 1 Comparison of Single and Double Precision Results for pH Variance • View the acid, alkali and product mass fractions on the same plane. • Create isosurfaces of Turbulence Kinetic Energy and Turbulence Eddy Dissipation. Page 238 ANSYS CFX Tutorials. ANSYS CFX Release 11.0. © 1996-2006 ANSYS Europe, Ltd. All rights reserved. Contains proprietary and confidential information of ANSYS, Inc. and its subsidiaries and affiliates.
  • 251.
    Tutorial 14: Conjugate HeatTransfer in a Heating Coil Introduction This tutorial includes: • Tutorial 14 Features (p. 240) • Overview of the Problem to Solve (p. 241) • Defining a Simulation in ANSYS CFX-Pre (p. 241) • Obtaining a Solution using ANSYS CFX-Solver Manager (p. 246) • Viewing the Results in ANSYS CFX-Post (p. 246) If this is the first tutorial you are working with, it is important to review the following topics before beginning: • Setting the Working Directory (p. 1) • Changing the Display Colors (p. 2) Unless you plan on running a session file, you should copy the sample files used in this tutorial from the installation folder for your software (<CFXROOT>/examples/) to your working directory. This prevents you from overwriting source files provided with your installation. If you plan to use a session file, please refer to Playing a Session File (p. 241). Sample files referenced by this tutorial include: • HeatingCoil.pre • HeatingCoil_001.res • HeatingCoilMesh.gtm ANSYS CFX Tutorials Page 239 ANSYS CFX Release 11.0. © 1996-2006 ANSYS Europe, Ltd. All rights reserved. Contains proprietary and confidential information of ANSYS, Inc. and its subsidiaries and affiliates.
  • 252.
    Tutorial 14: ConjugateHeat Transfer in a Heating Coil: Tutorial 14 Features Tutorial 14 Features This tutorial addresses the following features of ANSYS CFX. Component Feature Details ANSYS CFX-Pre User Mode General Mode Simulation Type Steady State Fluid Type General Fluid Domain Type Multiple Domain Turbulence Model k-Epsilon Heat Transfer Thermal Energy Conjugate Heat Transfer Subdomains Energy Source Boundary Conditions Inlet (Subsonic) Opening Wall: No-Slip Wall: Adiabatic CEL (CFX Expression Language) Timestep Physical Time Scale ANSYS CFX-Post Plots Cylinder Default Locators Isosurface Other Changing the Color Range Expression Details View Lighting Adjustment Variable Details View In this tutorial you will learn about: • Creating and using a solid domain as a heater coil in ANSYS CFX-Pre. • Modeling conjugate heat transfer in ANSYS CFX-Pre. • Specifying a subdomain to specify a heat source. • Creating a cylinder locator using CEL in ANSYS CFX-Post. • Examining the temperature distribution which is affected by heat transfer from the coil to the fluid. Page 240 ANSYS CFX Tutorials. ANSYS CFX Release 11.0. © 1996-2006 ANSYS Europe, Ltd. All rights reserved. Contains proprietary and confidential information of ANSYS, Inc. and its subsidiaries and affiliates.
  • 253.
    Tutorial 14: ConjugateHeat Transfer in a Heating Coil: Overview of the Problem to Solve Overview of the Problem to Solve This example demonstrates the capability of ANSYS CFX in modeling conjugate heat transfer. In this example, part of the model of a simple heat exchanger is used to model the transfer of heat from a solid to a fluid. The model consists of a fluid domain and a solid domain. The fluid domain is an annular region through which water flows at a constant rate. The heater is a solid copper coil modeled as a constant heat source. Outflow Solid Heater Inflow This tutorial also includes an optional step that demonstrates the use of the CFX to ANSYS Data Transfer Tool to export thermal and mechanical stress data for analysis in ANSYS. A results file is provided in case you wish to skip the model creation and solution steps within ANSYS CFX. Defining a Simulation in ANSYS CFX-Pre The following sections describe the simulation setup in ANSYS CFX-Pre. Playing a Session File If you wish to skip past these instructions, and have ANSYS CFX-Pre set up the simulation automatically, you can select Session > Play Tutorial from the menu in ANSYS CFX-Pre, then run the session file: HeatingCoil.pre. After you have played the session file as described in earlier tutorials under Playing the Session File and Starting ANSYS CFX-Solver Manager (p. 87), proceed to Obtaining a Solution using ANSYS CFX-Solver Manager (p. 246). Creating a New Simulation 1. Start ANSYS CFX-Pre. 2. Select File > New Simulation. 3. Select General and click OK. 4. Select File > Save Simulation As. 5. Under File name, type HeatingCoil. ANSYS CFX Tutorials. ANSYS CFX Release 11.0. © 1996-2006 ANSYS Europe, Ltd. All rights reserved. Page 241 Contains proprietary and confidential information of ANSYS, Inc. and its subsidiaries and affiliates.
  • 254.
    Tutorial 14: ConjugateHeat Transfer in a Heating Coil: Defining a Simulation in ANSYS CFX-Pre 6. Click Save. Importing the Mesh 1. Right-click Mesh and select Import Mesh. 2. Apply the following settings Setting Value File name HeatingCoilMesh.gtm 3. Click Open. 4. Right-click a blank area in the viewer and select Predefined Camera > Isometric View (Z up) from the shortcut menu. Creating the Domains This simulation requires both a fluid and a solid domain. First, you will create a fluid domain for the annular region of the heat exchanger. Creating a Fluid The fluid domain will include the region of fluid flow but exclude the solid copper heater. Domain 1. Click Domain and set the name to FluidZone. 2. Apply the following settings to FluidZone Tab Setting Value General Basic Settings > Location B1.P3* Options Basic Settings > Fluids List Water Domain Models > Pressure > Reference Pressure 1 [atm] Fluid Models Heat Transfer > Option Thermal Energy Initialization Domain Initialization (Selected) Domain Initialization > Initial Conditions (Selected) Domain Initialization > Initial Conditions > Turbulence (Selected) Eddy Dissipation *. This region name may be different depending on how the mesh was created. You should pick the region that forms the exterior surface of the volume surrounding the coil. 3. Click OK. Creating a Solid Since you know that the copper heating element will be much hotter than the fluid, you can Domain initialize the temperature to a reasonable value. The initialization option that is set when creating a domain applies only to that domain. 1. Create a new domain named SolidZone. 2. Apply the following settings Page 242 ANSYS CFX Tutorials. ANSYS CFX Release 11.0. © 1996-2006 ANSYS Europe, Ltd. All rights reserved. Contains proprietary and confidential information of ANSYS, Inc. and its subsidiaries and affiliates.
  • 255.
    Tutorial 14: ConjugateHeat Transfer in a Heating Coil: Defining a Simulation in ANSYS CFX-Pre Tab Setting Value General Basic Settings > Location B2.P3 Options Basic Settings > Domain Type Solid Domain Basic Settings > Solids List Copper Solid Models Heat Transfer > Option Thermal Energy Initialization Domain Initialization (Selected) Domain Initialization > Initial Conditions (Selected) Domain Initialization > Initial Conditions > Automatic with Temperature > Option Value Domain Initialization > Initial Conditions > 550 [K] Temperature > Temperature 3. Click OK. Creating a Subdomain to Specify a Thermal Energy Source To allow a thermal energy source to be specified for the copper heating element, you need to create a subdomain. 1. Create a new subdomain named Heater in the domain SolidZone. 2. Apply the following settings Tab Setting Value Basic Settings Basic Settings > Location B2.P3* Sources Sources (Selected) Sources > Equation Sources > Energy (Selected) Sources > Equation Sources > Energy > Source 1.0E+07 [W m^-3] *. This is the same location as for the domain SolidZone, because you want the source term to apply to the entire solid domain. 3. Click OK. Creating the Boundary Conditions Inlet Boundary You will now create an inlet boundary condition for the cooling fluid (Water). 1. Create a new boundary condition named inflow in the domain FluidZone. 2. Apply the following settings Tab Setting Value Basic Settings Boundary Type Inlet Location inflow Boundary Details Mass and Momentum > Normal Speed 0.4 [m s^-1] Heat Transfer > Static Temperature 300 [K] 3. Click OK. ANSYS CFX Tutorials. ANSYS CFX Release 11.0. © 1996-2006 ANSYS Europe, Ltd. All rights reserved. Page 243 Contains proprietary and confidential information of ANSYS, Inc. and its subsidiaries and affiliates.
  • 256.
    Tutorial 14: ConjugateHeat Transfer in a Heating Coil: Defining a Simulation in ANSYS CFX-Pre Opening The opening boundary condition type is used in this case because at some stage during the boundary solution, the coiled heating element will cause some recirculation at the exit. At an opening boundary you need to set the temperature of fluid that enters through the boundary. In this case it is useful to base this temperature on the fluid temperature at the outlet, since you expect the fluid to be flowing mostly out through this opening. 1. Create a new expression named OutletTemperature. 2. Set Definition to areaAve(T)@REGION:outflow 3. Click Apply. 4. Create a new boundary condition named outflow in the domain FluidZone. 5. Apply the following settings: Tab Setting Value Basic Settings Boundary Type Opening Location outflow Boundary Details Mass and Momentum > Option Opening Pres. and Dirn Mass and Momentum > Relative Pressure 0 [Pa] Heat Transfer > Option Static Temperature Heat Transfer > Static Temperature OutletTemperature 6. Click OK. The default adiabatic wall boundary condition will automatically be applied to the remaining unspecified external boundaries of the fluid domain. The default Fluid-Solid Interface boundary condition (flux conserved) will be applied to the surfaces between the solid domain and the fluid domain. Creating the Domain Interface If you have the Generate Default Domain Interfaces option turned on (from Edit > Options > CFX-Pre), then you will see that an interface called Default Fluid Solid Interface already exists, and is listed in the Outline tree view. If this is the case, you can optionally skip the following instructions for creating a domain interface (since the domain interface set here will have the same settings as, and will automatically replace, the default domain interface). If you have the Generate Default Domain Interfaces option turned off, then there is no domain interface defined at this point. In this case, create a domain interface using either one of the following methods (the result is the same): Creating a 1. Right click Simulation in the Outline tree view and ensure that Automatic Default Default Domain Interfaces is selected. An interface named Default Fluid Solid Interface should Interface now appear under the Simulation branch. Creating a 1. Double click Default Fluid Solid Interface and apply the following settings: Domain Interface Manually Page 244 ANSYS CFX Tutorials. ANSYS CFX Release 11.0. © 1996-2006 ANSYS Europe, Ltd. All rights reserved. Contains proprietary and confidential information of ANSYS, Inc. and its subsidiaries and affiliates.
  • 257.
    Tutorial 14: ConjugateHeat Transfer in a Heating Coil: Defining a Simulation in ANSYS CFX-Pre Tab Setting Value Basic Settings Interface Type Fluid Solid Interface Side 1 > Domain (Filter) FluidZone Interface Side 1 > Region List F10.B1.P3, F5.B1.P3, F6.B1.P3, F7.B1.P3, F8.B1.P3, F9.B1.P3 Interface Side 2 > Domain (Filter) SolidZone Interface Side 2 > Region List F10.B2.P3, F5.B2.P3, F6.B2.P3, F7.B2.P3, F8.B2.P3, F9.B2.P3 Interface Models > Option General Connection Interface Models > Frame Change/Mixing None Model > Option Interface Models > Pitch Change > Option None Mesh Connection Method > Option Automatic 2. Click OK. Setting Solver Control 1. Click Solver Control . 2. Apply the following settings: Tab Setting Value Basic Settings Convergence Control > Fluid Timescale Physical Timescale Control > Timescale Control Convergence Control >Fluid Timescale 2 [s] Control > Physical Timescale For the Convergence Criteria, an RMS value of at least 1e-05 is usually required for adequate convergence, but the default value is sufficient for demonstration purposes. 3. Click OK. Writing the Solver (.def) File 1. Click Write Solver File . 2. Apply the following settings: Setting Value File name HeatingCoil.def Quit CFX–Pre * (Selected) *. If using ANSYS CFX-Pre in Standalone Mode. 3. Ensure Start Solver Manager is selected and click Save. ANSYS CFX Tutorials. ANSYS CFX Release 11.0. © 1996-2006 ANSYS Europe, Ltd. All rights reserved. Page 245 Contains proprietary and confidential information of ANSYS, Inc. and its subsidiaries and affiliates.
  • 258.
    Tutorial 14: ConjugateHeat Transfer in a Heating Coil: Obtaining a Solution using ANSYS CFX-Solver Manager 4. If using Standalone Mode, quit ANSYS CFX-Pre, saving the simulation (.cfx) file at your discretion. Obtaining a Solution using ANSYS CFX-Solver Manager While the calculations proceed, you can see residual output for various equations in both the text area and the plot area. Use the tabs to switch between different plots (e.g., Heat Transfer, Turbulence Quantities, etc.) in the plot area. You can view residual plots for the fluid and solid domains separately by editing the Workspace Properties. 1. Ensure Define Run is displayed. 2. Click Start Run. ANSYS CFX-Solver runs and attempts to obtain a solution. This can take a long time depending on your system. Eventually a dialog box is displayed. 3. Click Yes to post-process the results. 4. If using Standalone Mode, quit ANSYS CFX-Solver Manager. Viewing the Results in ANSYS CFX-Post The following topics will be discussed: • Creating a Cylindrical Locator (p. 246) • Specular Lighting (p. 247) • Moving the Light Source (p. 247) Creating a Cylindrical Locator Next, you will create a cylindrical locator close to the outside wall of the annular domain. This can be done by using an expression to specify radius and locating a particular radius with an isosurface. Expression 1. Create a new expression named expradius. 2. Apply the following settings Setting Value Definition (x^2 + y^2)^0.5 3. Click Apply. Variable 1. Create a new variable named radius. 2. Apply the following settings Setting Value Expression expradius Page 246 ANSYS CFX Tutorials. ANSYS CFX Release 11.0. © 1996-2006 ANSYS Europe, Ltd. All rights reserved. Contains proprietary and confidential information of ANSYS, Inc. and its subsidiaries and affiliates.
  • 259.
    Tutorial 14: ConjugateHeat Transfer in a Heating Coil: Exporting the Results to ANSYS 3. Click Apply. Isosurface of the 1. Create a new isosurface named Isosurface 1. variable 2. Apply the following settings Tab Setting Value Geometry Definition > Variable radius Definition > Value 0.8 [m]* Color Mode Variable Variable Temperature Range User Specified Min 300 [K] Max 302 [K] Render Draw Faces (Selected) *. The maximum radius is 1 m, so a cylinder locator at a radius of 0.8 m is suitable. 3. Click Apply. Specular Lighting Specular lighting is on by default. Specular lighting allows glaring bright spots on the surface of an object, depending on the orientation of the surface and the position of the light. 1. Apply the following settings to Isosurface 1 Tab Setting Value Render Draw Faces > Specular (Cleared) 2. Click Apply. Moving the Light Source To move the light source, click within the 3-D Viewer, then press and hold <Shift> while pressing the arrow keys left, right, up or down. Tip: If using the Standalone version, you can move the light source by positioning the mouse pointer in the viewer, holding down the <Ctrl> key, and dragging using the right mouse button. Exporting the Results to ANSYS This optional step involves generating an ANSYS .cdb data file from the results generated in ANSYS CFX-Solver. The .cdb file could then be used with the ANSYS Multi-field solver to measure the combined effects of thermal and mechanical stresses on the solid heating coil. There are two possible ways to export data to ANSYS: ANSYS CFX Tutorials. ANSYS CFX Release 11.0. © 1996-2006 ANSYS Europe, Ltd. All rights reserved. Page 247 Contains proprietary and confidential information of ANSYS, Inc. and its subsidiaries and affiliates.
  • 260.
    Tutorial 14: ConjugateHeat Transfer in a Heating Coil: Exporting the Results to ANSYS • Use ANSYS CFX-Solver Manager to export data. For details, see Exporting Data from ANSYS CFX-Solver Manager (p. 248). • Use ANSYS CFX-Post to export data. This involves: a. Importing a surface mesh from ANSYS into ANSYS CFX-Post, and associating the surface with the corresponding 2D region in the ANSYS CFX-Solver results file. b. Exporting the data to a file containing SFE commands that represent surface element thermal or mechanical stress values. c. Loading the commands created in the previous step into ANSYS and visualizing the loads. Exporting Data from ANSYS CFX-Solver Manager Since the heat transfer in the solid domain was calculated in ANSYS CFX, the 3D thermal data will be exported to ANSYS Element Type as 3D Thermal (70) data. The mechanical stresses are calculated on the liquid side of the liquid-solid interface. These values will be exported to ANSYS Element Type as 2D Stress (154) data. Thermal Data 1. Start ANSYS CFX-Solver Manager. 2. Select Tools > Export to ANSYS MultiField. Export to ANSYS MultiField Solver dialog box appears. 3. Apply the following settings: Setting Value Results File HeatingCoil_001.res Export File HeatingCoil_001_ansysfsi_70.csv Domain Name > Domain SolidZone Domain Name > Boundary * * Export Options > ANSYS Element Type 3D Thermal (70) *. Leave Boundary empty. 4. Click Export. When the export is complete, click OK to acknowledge the message and continue with the next steps to export data for Mechanical Stresses. Mechanical 1. Apply the following settings in the Export to ANSYS MultiField Solver dialog box (see Stresses Step 2 above): Setting Value Results File HeatingCoil_001.res Export File HeatingCoil_001_ansysfsi_154.csv Domain Name > Domain FluidZone Domain Name > Boundary FluidZone Default Export Options > ANSYS Element Type 2D Stress (154) 2. Click Export. Page 248 ANSYS CFX Tutorials. ANSYS CFX Release 11.0. © 1996-2006 ANSYS Europe, Ltd. All rights reserved. Contains proprietary and confidential information of ANSYS, Inc. and its subsidiaries and affiliates.
  • 261.
    Tutorial 14: ConjugateHeat Transfer in a Heating Coil: Exporting the Results to ANSYS You now have two exported files that can be loaded into ANSYS Multiphysics. When you are finished, close ANSYS CFX-Solver Manager and ANSYS CFX-Post. ANSYS CFX Tutorials. ANSYS CFX Release 11.0. © 1996-2006 ANSYS Europe, Ltd. All rights reserved. Page 249 Contains proprietary and confidential information of ANSYS, Inc. and its subsidiaries and affiliates.
  • 262.
    Tutorial 14: ConjugateHeat Transfer in a Heating Coil: Exporting the Results to ANSYS Page 250 ANSYS CFX Tutorials. ANSYS CFX Release 11.0. © 1996-2006 ANSYS Europe, Ltd. All rights reserved. Contains proprietary and confidential information of ANSYS, Inc. and its subsidiaries and affiliates.
  • 263.
    Tutorial 15: Multiphase Flowin Mixing Vessel Introduction This tutorial includes: • Tutorial 15 Features (p. 252) • Overview of the Problem to Solve (p. 253) • Defining a Simulation in ANSYS CFX-Pre (p. 253) • Obtaining a Solution using ANSYS CFX-Solver Manager (p. 265) • Viewing the Results in ANSYS CFX-Post (p. 265) If this is the first tutorial you are working with it is important to review the following topics before beginning: • Setting the Working Directory (p. 1) • Changing the Display Colors (p. 2) Unless you plan on running a session file, you should copy the sample files used in this tutorial from the installation folder for your software (<CFXROOT>/examples/) to your working directory. This prevents you from overwriting source files provided with your installation. If you plan to use a session file, please refer to Playing a Session File (p. 253). Sample files referenced by this tutorial include: • MixerImpellerMesh.gtm • MixerTank.geo • MultiphaseMixer.pre ANSYS CFX Tutorials Page 251 ANSYS CFX Release 11.0. © 1996-2006 ANSYS Europe, Ltd. All rights reserved. Contains proprietary and confidential information of ANSYS, Inc. and its subsidiaries and affiliates.
  • 264.
    Tutorial 15: MultiphaseFlow in Mixing Vessel: Tutorial 15 Features Tutorial 15 Features This tutorial addresses the following features of ANSYS CFX. Component Feature Details ANSYS CFX-Pre User Mode General Mode Simulation Type Steady State Fluid Type General Fluid Domain Type Multiple Domain Rotating Frame of Reference Turbulence Model Dispersed Phase Zero Equation Fluid-Dependant Turbulence Model k-Epsilon Heat Transfer None Buoyant Flow Multiphase Boundary Conditions Inlet (Subsonic) Outlet (Degassing) Wall: Thin Surface Wall: (Slip Depends on Volume Fraction) Domain Interfaces Frozen Rotor Periodic Output Control Timestep Physical Time Scale ANSYS CFX-Post Plots Default Locators Isosurface Slice Plane Other Quantitative Calculation In this tutorial you will learn about: • Importing meshes that have CFX-4 and ANSYS CFX .def/.res file formats. • Setting up a simulation using multiple frames of reference. • Connecting two domains (one for the impeller and one for the tank) via Frozen Rotor interfaces. • Modeling rotational periodicity using periodic boundary conditions. • Using periodic GGI interfaces where the mesh does not map exactly. • Using thin surfaces for the blade and baffle surfaces. • Setting up a multiphase flow problem. Page 252 ANSYS CFX Tutorials. ANSYS CFX Release 11.0. © 1996-2006 ANSYS Europe, Ltd. All rights reserved. Contains proprietary and confidential information of ANSYS, Inc. and its subsidiaries and affiliates.
  • 265.
    Tutorial 15: MultiphaseFlow in Mixing Vessel: Overview of the Problem to Solve Overview of the Problem to Solve This example simulates the mixing of two fluids in a mixing vessel. The geometry consists of a mixing tank vessel containing four baffles. A rotating impeller blade is connected to a shaft which runs vertically through the vessel. Air is injected into the vessel through an inlet pipe located below the impeller blade at a speed of 5 m/s. Figure 1 Cut-away diagram of Mixing Vessel Shaft Baffles Mixing Tank Air Inlet Impeller The figure above shows the full geometry, with part of the tank walls and one baffle cut away. The symmetry of the vessel allows a 1/4 section of the full geometry to be modeled. Defining a Simulation in ANSYS CFX-Pre The following sections describe the simulation setup in ANSYS CFX-Pre. Playing a Session File If you wish to skip past these instructions, and have ANSYS CFX-Pre set up the simulation automatically, you can select Session > Play Tutorial from the menu in ANSYS CFX-Pre, then run the session file: MultiphaseMixer.pre. After you have played the session file as described in earlier tutorials under Playing the Session File and Starting ANSYS CFX-Solver Manager (p. 87), proceed to Obtaining a Solution using ANSYS CFX-Solver Manager (p. 265). Creating a New Simulation 1. Start ANSYS CFX-Pre. ANSYS CFX Tutorials. ANSYS CFX Release 11.0. © 1996-2006 ANSYS Europe, Ltd. All rights reserved. Page 253 Contains proprietary and confidential information of ANSYS, Inc. and its subsidiaries and affiliates.
  • 266.
    Tutorial 15: MultiphaseFlow in Mixing Vessel: Defining a Simulation in ANSYS CFX-Pre 2. Select File > New Simulation. 3. Select General and click OK. 4. Select File > Save Simulation As. 5. Under File name, type MultiphaseMixer. 6. Click Save. Importing the Meshes In this tutorial, a CFX-4 mesh is imported using advanced options. These options control how the CFX-4 mesh is imported into ANSYS CFX. By creating 3D regions on fluid regions, you prevent import of USER3D and POROUS regions. Turn off this option if you do not need these regions for sub-domains. This will simplify the regions available in ANSYS CFX-Pre. In this case, the mesh file contains USER3D regions that were created as a location for a thin surface and you do not need them for defining any subdomains. Importing the 1. Right-click Mesh and select Import Mesh. Mixer Tank 2. Apply the following settings Mesh Setting Value File type CFX-4 (*geo) File name MixerTank.geo Advanced Options > Create 3D Regions on > Fluid Regions (Cleared) (USER3D, POROUS) 3. Click Open. Importing the 1. Right-click Mesh and select Import Mesh to import the second mesh. Impeller Mesh 2. Apply the following settings Setting Value File type CFX Mesh (*gtm) File name MixerImpellerMesh.gtm 3. Click Open. 4. Right-click a blank area in the viewer and select Predefined Camera > Isometric View (X up) to view the mesh assemblies. Transforming In the next step you will move the impeller mesh to its correct position. the Impeller 1. Right-click MixerImpellerMesh.gtm and select Transform Mesh. Mesh The Mesh Transformation Editor dialog box appears. 2. Apply the following settings Page 254 ANSYS CFX Tutorials. ANSYS CFX Release 11.0. © 1996-2006 ANSYS Europe, Ltd. All rights reserved. Contains proprietary and confidential information of ANSYS, Inc. and its subsidiaries and affiliates.
  • 267.
    Tutorial 15: MultiphaseFlow in Mixing Vessel: Defining a Simulation in ANSYS CFX-Pre Tab Setting Value Definition Transformation Translation Apply Translation > Method Deltas Apply Translation > Dx, Dy, Dz 0.275, 0, 0 3. Click OK. Viewing the 1. Click Label and Marker Visibility . Mesh at the 2. Apply the following setting Tank Periodic Boundary Tab Setting Value Label Options Show Labels (Cleared) 3. Click OK. 4. In the Outline workspace, expand MixerImpellerMesh.gtm and MixerTank.geo to view associated 2D primitives. 5. Under MixerTank.geo > Principal 3D regions > Primitive 3D, click the primitive region BLKBDY_TANK_PER2. You can now see the mesh on one of the periodic regions of the tank. To reduce the solution time for this tutorial, the mesh used is very coarse. This is not a suitable mesh to obtain accurate results, but it is sufficient for demonstration purposes. Note: If you do not see the surface mesh, highlighting may be turned off. If highlighting is disabled, toggle Highlight . The default highlight type will show the surface mesh for any selected regions. If you see a different highlighting type, you can alter it by selecting Edit > Options and browsing to CFX-Pre > Viewer. Creating the Domains Rotating 1. Click Domain and set the name to impeller. Domain for the 2. Apply the following settings Impeller ANSYS CFX Tutorials. ANSYS CFX Release 11.0. © 1996-2006 ANSYS Europe, Ltd. All rights reserved. Page 255 Contains proprietary and confidential information of ANSYS, Inc. and its subsidiaries and affiliates.
  • 268.
    Tutorial 15: MultiphaseFlow in Mixing Vessel: Defining a Simulation in ANSYS CFX-Pre Tab Setting Value General Basic Settings > Location Main Options Basic Settings > Fluids List Air at 25 C, Water Domain Models > Pressure > Reference Pressure 1 [atm] Domain Models > Buoyancy > Option Buoyant Domain Models > Buoyancy > Gravity X Dirn. -9.81 [m s^-2] Domain Models > Buoyancy > Gravity Y Dirn. 0 [m s^-2] Domain Models > Buoyancy > Gravity Z Dirn. 0 [m s^-2] Domain Models > Buoyancy > Buoy. Ref. Density* 997 [kg m^-3] Domain Models > Domain Motion > Option Rotating Domain Models > Domain Motion > Angular Velocity 84 [rev min-1]† Domain Models > Domain Motion > Axis Definition > Global X Rotation Axis Fluid Multiphase Options > Homogeneous Model (Cleared) Models Multiphase Options > Allow Musig Fluids (Cleared) Multiphase Options > Free Surface Model > Option None Heat Transfer > Homogeneous Model (Cleared) Heat Transfer > Option Isothermal Heat Transfer > Fluid Temperature 25 [C] Turbulence > Homogeneous Model (Cleared) Turbulence > Option Fluid Dependent Fluid Fluid Details Air at 25 C Details Fluid Details > Air at 25 C > Morphology > Option Dispersed Fluid Fluid Details > Air at 25 C > Morphology > Mean Diameter 3 [mm] Fluid Fluid Pairs Air at 25 C | Water Pairs Fluid Pairs > Air at 25 C | Water > Surface Tension Coefficient (Selected) Fluid Pairs > Air at 25 C | Water > Surface Tension Coefficient 0.073 [N m^-1]‡ > Surf. Tension Coeff. Fluid Pairs > Air at 25 C | Water > Momentum Transfer > Drag Grace Force > Option Fluid Pairs > Air at 25 C | Water > Momentum Transfer > Drag (Selected) Force > Volume Fraction Correction Exponent Fluid Pairs > Air at 25 C | Water > Momentum Transfer > Drag 4 Force > Volume Fraction Correction Exponent > Value Fluid Pairs > Air at 25 C | Water > Momentum Transfer > Lopez de Non-drag forces > Turbulent Dispersion Force > Option Bertodano Fluid Pairs > Air at 25 C | Water > Momentum Transfer > 0.1 Non-drag forces > Turbulent Dispersion Force > Dispersion Coeff. Fluid Pairs > Air at 25 C | Water > Turbulence Transfer > Sato Enhanced Option Eddy Viscosity Page 256 ANSYS CFX Tutorials. ANSYS CFX Release 11.0. © 1996-2006 ANSYS Europe, Ltd. All rights reserved. Contains proprietary and confidential information of ANSYS, Inc. and its subsidiaries and affiliates.
  • 269.
    Tutorial 15: MultiphaseFlow in Mixing Vessel: Defining a Simulation in ANSYS CFX-Pre *. For dilute dispersed multiphase flow, always set the buoyancy reference density to that for continuous fluid. †. Note the unit. ‡. This must be set to allow the Grace drag model to be used. 3. Click OK. Stationary Next, you will create a stationary domain for the main tank by copying the properties of the Domain for the existing fluid domain. Main Tank 1. Right-click impeller and select Duplicate from the shortcut menu. 2. Set the name of this domain to tank and open it for editing. 3. Apply the following settings Tab Setting Value General Options Basic Settings > Location Primitive 3D Domain Models > Domain Motion > Stationary Option 4. Click OK. Creating the Boundary Conditions The following boundary conditions that define the problem will be set: • An inlet through which air enters the mixer. • A degassing outlet, so that only the gas phase can leave the domain. • Thin surfaces for the baffle and impeller blade. • A wall for the hub and shaft in the rotating domain. This will be stationary relative to the rotating domain. • A wall for the shaft in the stationary domain. This will be rotating relative to the stationary domain. • Periodic domain interfaces for the periodic faces of the tank and impeller. Periodic domain interfaces can either be one-to-one or GGI interfaces. One-to-one transformations occur for topologically similar meshes whose nodes match within a given tolerance. One-to-one periodic interfaces are more accurate and reduce CPU and memory requirements. When the default wall boundary condition is generated, the internal 2D regions of an imported mesh are ignored, while the regions that form domain boundaries are included. Air Inlet 1. Create a new boundary condition in the domain tank named Airin. Boundary 2. Apply the following settings Tab Setting Value Basic Settings Boundary Type Inlet Location INLET_DIPTUBE Boundary Details Mass and Momentum > Option Fluid Dependent ANSYS CFX Tutorials. ANSYS CFX Release 11.0. © 1996-2006 ANSYS Europe, Ltd. All rights reserved. Page 257 Contains proprietary and confidential information of ANSYS, Inc. and its subsidiaries and affiliates.
  • 270.
    Tutorial 15: MultiphaseFlow in Mixing Vessel: Defining a Simulation in ANSYS CFX-Pre Tab Setting Value Fluid Values Boundary Conditions Air at 25 C Boundary Conditions > Air at 25 C > Velocity 5 [m s^-1] > Normal Speed Boundary Conditions > Air at 25 C > Volume 1 Fraction > Volume Fraction Boundary Conditions Water Boundary Conditions > Water > Velocity > 5 [m s^-1] Normal Speed Boundary Conditions > Water > Volume 0 Fraction > Volume Fraction 3. Click OK. Degassing 1. Create a new boundary condition in the domain tank named LiquidSurface. Outlet 2. Apply the following settings Boundary Tab Setting Value Basic Settings Boundary Type Outlet Location WALL_LIQUID_SURFACE Boundary Details Mass and Momentum > Option Degassing Condition 3. Click OK. Thin Surface for In ANSYS CFX-Pre, thin surfaces can be created by specifying wall boundary conditions on the Baffle both sides of internal 2D regions. Both sides of the baffle regions will be specified as walls in this case. 1. Create a new boundary condition in the domain tank named Baffle. 2. Apply the following settings Tab Setting Value Basic Settings Boundary Type Wall Location WALL_BAFFLES* Boundary Details Wall Influence On Flow > Option Fluid Dependent Fluid Values Boundary Conditions Air at 25 C Boundary Conditions > Air at 25 C > Wall Free Slip Influence on Flow > Option Boundary Conditions Water Boundary Conditions > Water > Wall No Slip† Influence on Flow > Option *. The WALL_BAFFLES region includes the surfaces on both sides of the baffle (you can confirm this by examining WALL_BAFFLES in the region selector). Therefore, you do not need to use the Create Thin Surface Partner option. †. The Free Slip condition can be used for the gas phase since the contact area with the walls is near zero for low gas phase volume fractions. 3. Click OK. Page 258 ANSYS CFX Tutorials. ANSYS CFX Release 11.0. © 1996-2006 ANSYS Europe, Ltd. All rights reserved. Contains proprietary and confidential information of ANSYS, Inc. and its subsidiaries and affiliates.
  • 271.
    Tutorial 15: MultiphaseFlow in Mixing Vessel: Defining a Simulation in ANSYS CFX-Pre Wall Boundary The next stage involves setting up a boundary condition for the shaft, which exists in the Condition for tank (stationary domain). These regions are connected to the shaft in the impeller domain. the Shaft Since the tank domain is not rotating, you need to specify a moving wall to account for the rotation of the shaft. Part of the shaft is located directly above the air inlet, so the volume fraction of air in this location will be high and the assumption of zero contact area for the gas phase is not physically correct. In this case, a no slip boundary condition is more appropriate than a free slip condition for the air phase. When the volume fraction of air in contact with a wall is low, a free slip condition is more appropriate for the air phase. In cases where it is important to correctly model the dispersed phase slip properties at walls for all volume fractions, you can declare both fluids as no slip, but set up an expression for the dispersed phase wall area fraction. The expression should result in an area fraction of zero for dispersed phase volume fractions from 0 to 0.3, for example, and then linearly increase to an area fraction of 1 as the volume fraction increases to 1. 1. Create a new boundary condition in the domain tank named TankShaft. 2. Apply the following settings Tab Setting Value Basic Settings Boundary Type Wall Location WALL_SHAFT, WALL_SHAFT_CENTER Boundary Details Wall Influence On Flow > Option Fluid Dependent Fluid Values Boundary Conditions Air at 25 C Boundary Conditions > Air at 25 C > Wall No Slip Influence on Flow > Option Boundary Conditions > Air at 25 C > Wall (Selected) Influence on Flow > Wall Velocity Boundary Conditions > Air at 25 C > Wall Rotating Wall Influence on Flow > Wall Velocity > Option Boundary Conditions > Air at 25 C > Wall 84 [rev min-1]* Influence on Flow > Wall Velocity > Angular Velocity Boundary Conditions > Air at 25 C > Wall Global X Influence on Flow > Wall Velocity > Axis Definition > Rotation Axis *. Note the unit. 3. Select Water and set the same values as for Air at 25 C. 4. Click OK. Required 1. Create a new boundary condition in the domain impeller named Blade. Boundary 2. Apply the following settings Conditions in the Impeller Domain ANSYS CFX Tutorials. ANSYS CFX Release 11.0. © 1996-2006 ANSYS Europe, Ltd. All rights reserved. Page 259 Contains proprietary and confidential information of ANSYS, Inc. and its subsidiaries and affiliates.
  • 272.
    Tutorial 15: MultiphaseFlow in Mixing Vessel: Defining a Simulation in ANSYS CFX-Pre Tab Setting Value Basic Settings Boundary Type Wall Location Blade Thin Surfaces > Create Thin Surface Partner (Selected)* Boundary Details Wall Influence On Flow > Option Fluid Dependent Fluid Values Boundary Conditions Air at 25 C Boundary Conditions > Air at 25 C > Wall Free Slip Influence on Flow > Option Boundary Conditions Water Boundary Conditions > Water > Wall No Slip Influence on Flow > Option *. The Blade region only includes the surface from one side of the blade (you can confirm this by examining Blade in the region selector). Therefore, you can select Create Thin Surface Partner to include the surfaces from the other side of the blade. 3. Click OK. You will see in the tree view that a boundary named Blade Other Side has automatically been created. 4. Create a new boundary condition in the domain impeller named HubShaft. 5. Apply the following settings Tab Setting Value Basic Settings Boundary Type Wall Location Hub, Shaft Boundary Details Wall Influence On Flow > Option Fluid Dependent Fluid Values Boundary Conditions Air at 25 C Boundary Conditions > Air at 25 C > Wall Free Slip Influence on Flow > Option Boundary Conditions Water Boundary Conditions > Water > Wall No Slip Influence on Flow > Option 6. Click OK. Modifying the 1. On the tree view, open tank Default for editing. Default Wall 2. Apply the following settings Boundary Condition Tab Setting Value Boundary Details Wall Influence On Flow > Option Fluid Dependent Page 260 ANSYS CFX Tutorials. ANSYS CFX Release 11.0. © 1996-2006 ANSYS Europe, Ltd. All rights reserved. Contains proprietary and confidential information of ANSYS, Inc. and its subsidiaries and affiliates.
  • 273.
    Tutorial 15: MultiphaseFlow in Mixing Vessel: Defining a Simulation in ANSYS CFX-Pre Tab Setting Value Fluid Values Boundary Conditions Air at 25 C Boundary Conditions > Air at 25 C > Wall Free Slip Influence on Flow > Option Boundary Conditions Water Boundary Conditions > Water > Wall No Slip Influence on Flow > Option 3. Click OK. It is not necessary to set the default boundary in the impeller domain since the remaining surfaces will be assigned interface conditions in the next section. Creating the Domain Interfaces Impeller 1. Create a new domain interface named ImpellerPeriodic. Domain 2. Apply the following settings Tab Setting Value Basic Settings Interface Type Fluid Fluid Interface Side 1 > Domain (Filter) impeller Interface Side 1 > Region List Periodic1 Interface Side 2 > Domain (Filter) impeller Interface Side 2 > Region List Periodic2 Interface Models > Option Rotational Periodicity Interface Models > Axis Definition > Global X Rotation Axis 3. Click OK. Tank Domain 1. Create a new domain interface named TankPeriodic. 2. Apply the following settings Tab Setting Value Basic Settings Interface Type Fluid Fluid Interface Side 1 > Domain (Filter) tank Interface Side 1 > Region List BLKBDY_TANK_PER1 Interface Side 2 > Domain (Filter) tank Interface Side 2 > Region List BLKBDY_TANK_PER2 Interface Models > Option Rotational Periodicity Interface Models > Axis Definition > Global X Rotation Axis 3. Click OK. ANSYS CFX Tutorials. ANSYS CFX Release 11.0. © 1996-2006 ANSYS Europe, Ltd. All rights reserved. Page 261 Contains proprietary and confidential information of ANSYS, Inc. and its subsidiaries and affiliates.
  • 274.
    Tutorial 15: MultiphaseFlow in Mixing Vessel: Defining a Simulation in ANSYS CFX-Pre Frozen Rotor Next, you will create three Frozen Rotor interfaces for the regions connecting the two Interface domains. In this case three separate interfaces are created. You should not try to create a single domain interface for multiple surfaces that lie in different planes. 1. Create a new domain interface named Top. 2. Apply the following settings Tab Setting Value Basic Settings Interface Type Fluid Fluid Interface Side 1 > Domain (Filter) impeller Interface Side 1 > Region List Top Interface Side 2 > Domain (Filter) tank Interface Side 2 > Region List BLKBDY_TANK_TOP Interface Models > Frame Change/Mixing Frozen Rotor Model > Option 3. Click OK. 4. Create a new domain interface named Bottom. 5. Apply the following settings Tab Setting Value Basic Settings Interface Type Fluid Fluid Interface Side 1 > Domain (Filter) impeller Interface Side 1 > Region List Bottom Interface Side 2 > Domain (Filter) tank Interface Side 2 > Region List BLKBDY_TANK_BOT Interface Models > Frame Change/Mixing Frozen Rotor Model > Option 6. Click OK. 7. Create a new domain interface named Outer. 8. Apply the following settings Tab Setting Value Basic Settings Interface Type Fluid Fluid Interface Side 1 > Domain (Filter) impeller Interface Side 1 > Region List Outer Interface Side 2 > Domain (Filter) tank Interface Side 2 > Region List BLKBDY_TANK_OUTER Interface Models > Frame Change/Mixing Frozen Rotor Model > Option 9. Click OK. Page 262 ANSYS CFX Tutorials. ANSYS CFX Release 11.0. © 1996-2006 ANSYS Europe, Ltd. All rights reserved. Contains proprietary and confidential information of ANSYS, Inc. and its subsidiaries and affiliates.
  • 275.
    Tutorial 15: MultiphaseFlow in Mixing Vessel: Defining a Simulation in ANSYS CFX-Pre Setting Initial Values The initialization for volume fraction is 0 for air and automatic for water. Therefore, the initial volume fraction for water will be set to 1 so that the sum of the two fluid volume fractions is 1. It is important to understand how the velocity is initialized in this tutorial. Here, both fluids use Automatic for the Cartesian Velocity Components. When the Automatic option is used, the initial velocity field will be based on the velocity values set at inlets, openings, and outlets. In this tutorial, the only boundary that has a set velocity value is the inlet, which specifies a velocity of 5 [m s^-1] for both phases. Without setting the Velocity Scale parameter, the resulting initial guess would be a uniform velocity of 5 [m s^-1] in the X-direction throughout the domains for both phases. This is clearly not suitable since the water phase is enclosed by the tank. When the boundary velocity conditions are not representative of the expected domain velocities, the Velocity Scale parameter should be used to set a representative domain velocity. In this case the velocity scale for water is set to zero, causing the initial velocity for the water to be zero. The velocity scale is not set for air, resulting in an initial velocity of 5 [m s^-1] in the X-direction for the air. This should not be a problem since the initial volume fraction of the air is zero everywhere. 1. Click Global Initialization . 2. Apply the following settings Tab Setting Value Fluid Settings Fluid Specific Initialization Air at 25 C Fluid Specific Initialization > Air at 25 C > Initial Automatic with Value Conditions > Volume Fraction > Option Fluid Specific Initialization > Air at 25 C > Initial 0 Conditions > Volume Fraction > Volume Fraction Fluid Specific Initialization Water Fluid Specific Initialization > Water > Initial (Selected) Conditions > Cartesian Velocity Components > Velocity Scale Fluid Specific Initialization > Water > Initial 0 [m s^-1] Conditions > Cartesian Velocity Components > Velocity Scale > Value Fluid Specific Initialization > Water > Initial (Selected) Conditions > Turbulence Eddy Dissipation 3. Click OK. Setting Solver Control Generally, two different time scales exist for multiphase mixers. The first is a small time scale based on the rotational speed of the impeller, typically taken as 1 / ω , resulting in a time scale of 0.11 s for this case. The second time scale is usually larger and based on the recirculation time of the continuous phase in the mixer. ANSYS CFX Tutorials. ANSYS CFX Release 11.0. © 1996-2006 ANSYS Europe, Ltd. All rights reserved. Page 263 Contains proprietary and confidential information of ANSYS, Inc. and its subsidiaries and affiliates.
  • 276.
    Tutorial 15: MultiphaseFlow in Mixing Vessel: Defining a Simulation in ANSYS CFX-Pre Using a timestep based on the rotational speed of the impeller will be more robust, but convergence will be slow since it takes time for the flow field in the mixer to develop. Using a larger timestep reduces the number of iterations required for the mixer flow field to develop, but reduces robustness. You will need to experiment to find an optimum timestep. Note: You may find it useful to monitor the value of an expression during the solver run so that you can view the volume fraction of air in the tank (the gas hold up). The gas hold up is often used to judge convergence in these types of simulations by converging until a steady-state value is achieved. You could create the following expressions: TankAirHoldUp = volumeAve(Air at 25 C.vf)@tank ImpellerAirHoldUp = volumeAve(Air at 25 C.vf)@impeller TotalAirHoldUp = (volume()@tank * TankAirHoldUp + volume()@impeller * ImpellerAirHoldUp) / (volume()@tank + volume()@impeller) and then monitor the value of TotalAirHoldUp. 1. Click Solver Control . 2. Apply the following settings Tab Setting Value Basic Settings Convergence Control > Fluid Timescale Physical Timescale Control > Timescale Control Convergence Control > Fluid Timescale 2 [s]* Control > Physical Timescale *. This is an aggressive timestep for this case. 3. Click OK. Setting Output Control In the next step, you will choose to write additional data to the results file which allows force and torque calculations to be performed in post-processing. 1. Click Output Control . 2. Apply the following settings Tab Setting Value Results Output Boundary Flows (Selected) Output Boundary Flows > Boundary Flows All 3. Click OK. Writing the Solver (.def) File Since this tutorial uses domain interfaces and you choose to summarize the interface data, an information window is displayed that informs you of the connection type used for each domain interface. 1. Click Write Solver File . 2. Apply the following settings: Page 264 ANSYS CFX Tutorials. ANSYS CFX Release 11.0. © 1996-2006 ANSYS Europe, Ltd. All rights reserved. Contains proprietary and confidential information of ANSYS, Inc. and its subsidiaries and affiliates.
  • 277.
    Tutorial 15: MultiphaseFlow in Mixing Vessel: Obtaining a Solution using ANSYS CFX-Solver Manager Setting Value File name MultiphaseMixer.def Summarize Interface Data (Selected) Quit CFX–Pre* (Cleared) *. If using ANSYS CFX-Pre in Standalone Mode. 3. Ensure Start Solver Manager is selected and click Save. If you are notified the file already exists, click Overwrite. A message about interface connections appears. 4. Click OK. 5. If using Standalone Mode, quit ANSYS CFX-Pre, saving the simulation (.cfx) file at your discretion. Obtaining a Solution using ANSYS CFX-Solver Manager The ANSYS CFX-Solver Manager will be launched after ANSYS CFX-Pre has closed down. You will be able to obtain a solution to the CFD problem by following the instructions below. 1. Ensure Define Run is displayed. 2. Click Start Run. ANSYS CFX-Solver runs and attempts to obtain a solution. This can take a long time depending on your system. After a run has finished, examine some of the information printed at the end of the OUT file. A common quantity of interest is the mass balance; this compares the amount of fluid leaving the domain to the amount entering. • You usually want the Global Imbalance, in %: to be less than 0.1 % in a converged solution. • For a single phase calculation, the mass balance is the P-Mass equation. • For a multiphase calculation, examine the information given for the P-Vol equation. • This is not the volumetric flow balance information, but is the summation of the phasic continuity mass balance information. 3. Click Yes to post-process the results when the completion message appears at the end of the run. 4. If using Standalone Mode, quit ANSYS CFX-Solver Manager. Viewing the Results in ANSYS CFX-Post When ANSYS CFX-Post has started you will be able to see the mixer geometry in the Viewer. You will create some plots showing how effective mixing has occurred. You will also calculate the torque and power required by the impeller. ANSYS CFX Tutorials. ANSYS CFX Release 11.0. © 1996-2006 ANSYS Europe, Ltd. All rights reserved. Page 265 Contains proprietary and confidential information of ANSYS, Inc. and its subsidiaries and affiliates.
  • 278.
    Tutorial 15: MultiphaseFlow in Mixing Vessel: Viewing the Results in ANSYS CFX-Post Visualizing the Mixing Process Creating a plane 1. Create a new plane named Plane 1. 2. Apply the following settings Tab Setting Value Geometry Definition > Method Three Points Definition > Point 1 1, 0, 0 Definition > Point 2 0, 1, -0.9 Definition > Point 3 0, 0, 0 Color Mode Variable Variable Air at 25 C.Volume Fraction Range User Specified Min 0 Max 0.04 3. Click Apply. 4. Observe the plane, then apply the following settings: Tab Setting Value Color Variable Air at 25 C.Shear Strain Rate Range User Specified Min 0 [s^-1] Max 15 [s^-1] 5. Click Apply. Areas of high shear strain rate or shear stress are typically also areas where the highest mixing occurs. 6. Observe the plane, then apply the following settings: Tab Setting Value Color Variable Pressure Range Local 7. Click Apply. Note that the hydrostatic contribution to pressure is excluded due to the use of an appropriate buoyancy reference density. If you plot the variable called Absolute Pressure, you will see the true pressure including the hydrostatic contribution. Creating a 1. Create a new vector named Vector 1. vector 2. Apply the following settings Page 266 ANSYS CFX Tutorials. ANSYS CFX Release 11.0. © 1996-2006 ANSYS Europe, Ltd. All rights reserved. Contains proprietary and confidential information of ANSYS, Inc. and its subsidiaries and affiliates.
  • 279.
    Tutorial 15: MultiphaseFlow in Mixing Vessel: Viewing the Results in ANSYS CFX-Post Tab Setting Value Geometry Definition > Locations Plane 1 Variable Water.Velocity in Stn Frame* Symbol Symbol Size 0.2 Normalize Symbols (Selected) *. Using this variable, instead of Water.Velocity, results in the velocity vectors appearing to be continuous at the interface between the rotating and stationary domains. Velocity variables that do not include a frame specification always use the local reference frame. 3. Observe the vector plot, then change the variable to Air at 25 C.Velocity in Stn Frame. Observe this as well, then clear the visibility of Vector 1. 4. Modify the tank Default object. 5. Apply the following settings: Tab Setting Value Color Mode Variable Variable Water.Wall Shear Range Local The legend for this plot shows the range of wall shear values. The global maximum wall shear is much higher than the maximum value on the default walls. The global maximum values occur on the TankShaft boundary directly above the inlet. Although these values are very high, the shear force exerted on this boundary will be small since the contact area fraction of water here is very small. Calculating 1. Select Tools > Function Calculator from the main menu or click Show Function Power and Calculator from the main toolbar. Torque Required by the 2. Apply the following settings: Impeller Tab Setting Value Function Function torque Calculator Location Blade Axis Global X Fluid All Fluids 3. Click Calculate to find the torque required to rotate Blade about the X-axis. 4. Repeat the calculation setting Location to Blade Other Side. The sum of these two results is the torque required by the single impeller blade, approximately 70 [N m]. This must be multiplied by the number of blades in the full geometry to obtain the total torque required by the impeller; the result is a value of approximately 282 [N m]. You could also include the results from the locations HubShaft and TankShaft; however in this case their contributions are negligible. ANSYS CFX Tutorials. ANSYS CFX Release 11.0. © 1996-2006 ANSYS Europe, Ltd. All rights reserved. Page 267 Contains proprietary and confidential information of ANSYS, Inc. and its subsidiaries and affiliates.
  • 280.
    Tutorial 15: MultiphaseFlow in Mixing Vessel: Viewing the Results in ANSYS CFX-Post The power requirement is simply the required torque multiplied by the rotational speed (8.8 rad/s): Power = 282*8.8 = 2482 [W]. Remember that this value is the power requirement for the work done on the fluid only, it does not account for any mechanical losses, efficiencies etc. Also note that the accuracy of these results is significantly affected by the coarseness of the mesh. You should not use a mesh of this length scale to obtain accurate quantitative results. Page 268 ANSYS CFX Tutorials. ANSYS CFX Release 11.0. © 1996-2006 ANSYS Europe, Ltd. All rights reserved. Contains proprietary and confidential information of ANSYS, Inc. and its subsidiaries and affiliates.
  • 281.
    Tutorial 16: Gas-Liquid Flowin an Airlift Reactor Introduction This tutorial includes: • Tutorial 16 Features (p. 270) • Overview of the Problem to Solve (p. 270) • Defining a Simulation in ANSYS CFX-Pre (p. 271) • Obtaining a Solution using ANSYS CFX-Solver Manager (p. 277) • Viewing the Results in ANSYS CFX-Post (p. 278) • Additional Fine Mesh Simulation Results (p. 280) If this is the first tutorial you are working with it is important to review the following topics before beginning: • Setting the Working Directory (p. 1) • Changing the Display Colors (p. 2) Unless you plan on running a session file, you should copy the sample files used in this tutorial from the installation folder for your software (<CFXROOT>/examples/) to your working directory. This prevents you from overwriting source files provided with your installation. If you plan to use a session file, please refer to Playing a Session File (p. 271). Sample files referenced by this tutorial include: • BubbleColumn.pre • BubbleColumnMesh.gtm ANSYS CFX Tutorials Page 269 ANSYS CFX Release 11.0. © 1996-2006 ANSYS Europe, Ltd. All rights reserved. Contains proprietary and confidential information of ANSYS, Inc. and its subsidiaries and affiliates.
  • 282.
    Tutorial 16: Gas-LiquidFlow in an Airlift Reactor: Tutorial 16 Features Tutorial 16 Features This tutorial addresses the following features of ANSYS CFX. Component Feature Details ANSYS CFX-Pre User Mode General Simulation Type Steady State Fluid Type General Fluid Domain Type Single Domain Turbulence Model Dispersed Phase Zero Equation Fluid-Dependent Turbulence Model k-Epsilon Heat Transfer None Buoyant Flow Multiphase Boundary Conditions Inlet (Subsonic) Outlet (Degassing) Symmetry Plane Wall: Thin Surface Wall: (Slip Depends on Volume Fraction) Timestep Physical Time Scale ANSYS CFX-Post Plots Default Locators Vector Other Changing the Color Range Symmetry In this tutorial you will learn about: • Setting up a multiphase flow involving air and water • Using a fluid dependent turbulence model to set different turbulence options for each fluid. • Specifying buoyant flow. • Specifying a degassing outlet boundary condition to allow air, but not water, to escape from the boundary. Overview of the Problem to Solve This tutorial demonstrates the Eulerian–Eulerian multiphase model in ANSYS CFX. The tutorial simulates a bubble column with an internal tube (draft tube) used to direct recirculation of the flow. This configuration is known as an airlift reactor. Bubble columns are tall gas-liquid contacting vessels and are often used in processes where gas absorption is important (e.g., bioreactors to dissolve oxygen in broths) and to limit the exposure of micro-organisms to excessive shear, imparted by mechanically driven mixers. Page 270 ANSYS CFX Tutorials. ANSYS CFX Release 11.0. © 1996-2006 ANSYS Europe, Ltd. All rights reserved. Contains proprietary and confidential information of ANSYS, Inc. and its subsidiaries and affiliates.
  • 283.
    Tutorial 16: Gas-LiquidFlow in an Airlift Reactor: Defining a Simulation in ANSYS CFX-Pre This example models the dispersion of air bubbles in water. The gas is supplied through a sparger at the bottom of the vessel and the rising action of the bubbles provides gentle agitation of the liquid. Simple bubble columns that are without the draft tube tend to develop irregular flow patterns and poor overall mixing. The draft tube in the airlift reactor helps establish a regular flow pattern in the column and achieve better uniformity of temperature, concentration and pH in the liquid phase, but sometimes at the expense of decreased mass transfer from the gas to the liquid. This tutorial also demonstrates the use of thin surfaces. Thin surfaces are internal two dimensional wall boundaries used to model thin three dimensional features (e.g., baffles, guide vanes within ducts, etc.). The airlift reactor that is modeled here is very similar to the laboratory bench scale prototype used by García-Calvo and Letón. If you are interested, a formal analysis of this simulation involving a finer mesh is available at the end of this tutorial. For details, see Additional Fine Mesh Simulation Results (p. 280). Defining a Simulation in ANSYS CFX-Pre The following sections describe the simulation setup in ANSYS CFX-Pre. Playing a Session File If you wish to skip past these instructions, and have ANSYS CFX-Pre set up the simulation automatically, you can select Session > Play Tutorial from the menu in ANSYS CFX-Pre, then run the session file: BubbleColumn.pre. After you have played the session file as described in earlier tutorials under Playing the Session File and Starting ANSYS CFX-Solver Manager (p. 87), proceed to Obtaining a Solution using ANSYS CFX-Solver Manager (p. 277). Creating a New Simulation 1. Start ANSYS CFX-Pre. 2. Select File > New Simulation. 3. Select General and click OK. 4. Select File > Save Simulation As. 5. Under File name, type BubbleColumn. 6. Click Save. Importing the Mesh 1. Right-click Mesh and select Import Mesh. 2. Apply the following settings ANSYS CFX Tutorials. ANSYS CFX Release 11.0. © 1996-2006 ANSYS Europe, Ltd. All rights reserved. Page 271 Contains proprietary and confidential information of ANSYS, Inc. and its subsidiaries and affiliates.
  • 284.
    Tutorial 16: Gas-LiquidFlow in an Airlift Reactor: Defining a Simulation in ANSYS CFX-Pre Setting Value File name BubbleColumnMesh.gtm 3. Click Open. Creating the Domain 1. Right click Simulation in the Outline tree view and ensure that Automatic Default Domain is selected. A domain named Default Domain should now appear under the Simulation branch. 2. Double click Default Domain and apply the following settings: Tab Setting Value General Basic Settings > Location B1.P3, B2.P3 Options Basic Settings > Fluids List Air at 25 C, Water Domain Models > Pressure > Reference Pressure 1 [atm] Domain Models > Buoyancy > Option Buoyant Domain Models > Buoyancy > Gravity X Dirn. 0 [m s^-2] Domain Models > Buoyancy > Gravity Y Dirn. -9.81 [m s^-2] Domain Models > Buoyancy > Gravity Z Dirn. 0 [m s^-2] Domain Models > Buoyancy > Buoy. Ref. Density* 997 [kg m^-3] Fluid Multiphase Options > Homogeneous Model (Cleared) Models Multiphase Options > Allow Musig Fluids (Cleared) Free Surface Model > Option None Heat Transfer > Option Isothermal Heat Transfer > Fluid Temperature 25 C Turbulence > Option Fluid Dependent Fluid Fluid Details Air at 25 C Details Fluid Details > Air at 25 C > Morphology > Option Dispersed Fluid Fluid Details > Air at 25 C > Morphology > Mean Diameter 6 [mm] Page 272 ANSYS CFX Tutorials. ANSYS CFX Release 11.0. © 1996-2006 ANSYS Europe, Ltd. All rights reserved. Contains proprietary and confidential information of ANSYS, Inc. and its subsidiaries and affiliates.
  • 285.
    Tutorial 16: Gas-LiquidFlow in an Airlift Reactor: Defining a Simulation in ANSYS CFX-Pre Tab Setting Value Fluid Fluid Pairs > Air at 25 C | Water > Surface Tension Coefficient (Selected) Pairs Fluid Pairs > Air at 25 C | Water > Surface Tension Coefficient 0.072 [N m^-1]† > Surf. Tension Coeff. Fluid Pairs > Air at 25 C | Water > Momentum Transfer > Drag Grace Force > Option Fluid Pairs > Air at 25 C | Water > Momentum Transfer > Drag (Selected) Force > Volume Fraction Correction Exponent Fluid Pairs > Air at 25 C | Water > Momentum Transfer > Drag 2 Force > Volume Fraction Correction Exponent > Value Fluid Pairs > Air at 25 C | Water > Momentum Transfer > Lopez de Non-drag Forces > Turbulent Dispersion Force > Option Bertodano Fluid Pairs > Air at 25 C | Water > Momentum Transfer > 0.3 Non-drag Forces > Turbulent Dispersion Force > Dispersion Coeff. Fluid Pairs > Air at 25 C | Water > Turbulence Transfer > Sato Enhanced Option Eddy Viscosity *. For dilute dispersed multiphase flow, always set the buoyancy reference density to that for continuous fluid. †. This must be set to allow the Grace drag model to be used. 3. Click OK. Creating the Boundary Conditions For this simulation of the airlift reactor, the boundary conditions required are: • An inlet for air on the sparger. • A degassing outlet for air at the liquid surface. • A thin surface wall for the draft tube. • An exterior wall for the outer wall, base and sparger tube. • Symmetry planes for the cross sections. Inlet Boundary There are an infinite number of inlet velocity/volume fraction combinations that will produce the same mass inflow of air. The combination chosen gives an air inlet velocity close to the terminal rise velocity. Since the water inlet velocity is zero, you can adjust its volume fraction until the required mass flow rate of air is obtained for a given air inlet velocity. 1. Create a new boundary condition named Sparger. 2. Apply the following settings Tab Setting Value Basic Settings Boundary Type Inlet Location Sparger Boundary Details Mass And Momentum > Option Fluid Dependent ANSYS CFX Tutorials. ANSYS CFX Release 11.0. © 1996-2006 ANSYS Europe, Ltd. All rights reserved. Page 273 Contains proprietary and confidential information of ANSYS, Inc. and its subsidiaries and affiliates.
  • 286.
    Tutorial 16: Gas-LiquidFlow in an Airlift Reactor: Defining a Simulation in ANSYS CFX-Pre Tab Setting Value Fluid Values Boundary Conditions Air at 25 C Boundary Conditions > Air at 25 C > Velocity 0.3 [m s^-1] > Normal Speed Boundary Conditions > Air at 25 C > Volume 0.25 Fraction > Volume Fraction Boundary Conditions Water Boundary Conditions > Water > Velocity > 0 [m s^-1] Normal Speed Boundary Conditions > Water > Volume 0.75 Fraction > Volume Fraction 3. Click OK. Outlet The top of the reactor will be a degassing boundary, which is classified as an outlet Boundary boundary. 1. Create a new boundary condition named Top. 2. Apply the following settings Tab Setting Value Basic Settings Boundary Type Outlet Location Top Boundary Details Mass and Momentum > Option Degassing Condition 3. Click OK. Thin Surface Thin surfaces are created by specifying a wall boundary condition on both sides of an Draft Tube internal region. If only one side has a boundary condition then the ANSYS CFX-Solver will Boundary fail. To assist with this, you can select only one side of a thin surface and then enable the Create Thin Surface Partner toggle. ANSYS CFX-Pre will then try to automatically create another boundary condition for the other side. 1. Create a new boundary condition named DraftTube. 2. Apply the following settings Tab Setting Value Basic Settings Boundary Type Wall Location Draft Tube Thin Surfaces > Create Thin Surface Partner (Selected) Boundary Details Wall Influence On Flow > Option Fluid Dependent Fluid Values Boundary Conditions Air at 25 C Boundary Conditions > Air at 25 C > Wall Free Slip Influence On Flow > Option Boundary Conditions Water Boundary Conditions > Water > Wall No Slip Influence On Flow > Option Page 274 ANSYS CFX Tutorials. ANSYS CFX Release 11.0. © 1996-2006 ANSYS Europe, Ltd. All rights reserved. Contains proprietary and confidential information of ANSYS, Inc. and its subsidiaries and affiliates.
  • 287.
    Tutorial 16: Gas-LiquidFlow in an Airlift Reactor: Defining a Simulation in ANSYS CFX-Pre 3. Click OK. A boundary condition named DraftTube Other Side will now be created automatically. Symmetry Plane In this step you will create symmetry plane boundary conditions on the Symmetry1 and Boundary Symmetry2 locators, one for each of the two vertical cross sections of the reactor sector. 1. Create a new boundary condition named SymP1. 2. Apply the following settings Tab Setting Value Basic Settings Boundary Type Symmetry Location Symmetry1 3. Click OK. 4. Create a new boundary condition named SymP2. 5. Apply the following settings Tab Setting Value Basic Settings Boundary Type Symmetry Location Symmetry2 6. Click OK. Modifying the The remaining external regions are assigned to the default wall boundary condition. This Default needs to be modified to set the Air phase to Free Slip. Boundary 1. In the Outline workspace, open Default Domain Default for editing. 2. Apply the following settings Tab Setting Value Boundary Details Wall Influence on Flow > Option Fluid Dependent Fluid Values Boundary Conditions Air at 25 C Boundary Conditions > Air at 25 C > Wall Free Slip Influence on Flow > Option 3. Click OK. The boundary condition specifications are now complete. Setting Initial Values It often helps to set an initial velocity for a dispersed phase that is different to that of the continuous phase. This results in a non-zero drag between the phases which can help stability at the start of a simulation. For some bubble column problems, improved convergence can be obtained by using CEL (CFX Expression Language) to specify a non zero volume fraction, for air in the riser and a zero value in the downcomer. This should be done if two solutions are possible (for example, if the flow could go up the downcomer and down the riser). ANSYS CFX Tutorials. ANSYS CFX Release 11.0. © 1996-2006 ANSYS Europe, Ltd. All rights reserved. Page 275 Contains proprietary and confidential information of ANSYS, Inc. and its subsidiaries and affiliates.
  • 288.
    Tutorial 16: Gas-LiquidFlow in an Airlift Reactor: Defining a Simulation in ANSYS CFX-Pre 1. Click Global Initialization . Since a single pressure field exists for a multiphase calculation you do not set pressure values on a per fluid basis. 2. Apply the following settings Tab Setting Value Fluid Settings Fluid Specific Initialization Air at 25 C Fluid Specific Initialization > Air at 25 C (Selected) Fluid Specific Initialization > Air at 25 C > Initial Automatic with Value Conditions > Cartesian Velocity Components > Option Fluid Specific Initialization > Air at 25 C > Initial 0 [m s^-1] Conditions > Cartesian Velocity Components > U Fluid Specific Initialization > Air at 25 C > Initial 0.3 [m s^-1] Conditions > Cartesian Velocity Components > V Fluid Specific Initialization > Air at 25 C > Initial 0 [m s^-1] Conditions > Cartesian Velocity Components > W Fluid Specific Initialization Water* Fluid Specific Initialization > Water (Selected) Fluid Specific Initialization > Water > Initial Automatic with Value Conditions > Cartesian Velocity Components > Option Fluid Specific Initialization > Water > Initial 0 [m s^-1] Conditions > Cartesian Velocity Components > U Fluid Specific Initialization > Water > Initial 0 [m s^-1] Conditions > Cartesian Velocity Components > V Fluid Specific Initialization > Water > Initial 0 [m s^-1] Conditions > Cartesian Velocity Components > W Fluid Specific Initialization > Water > Initial Automatic Conditions > Turbulence Kinetic Energy > Option Fluid Specific Initialization > Water > Initial (Selected) Conditions > Turbulence Eddy Dissipation Fluid Specific Initialization > Water > Initial Automatic Conditions > Turbulence Eddy Dissipation > Option Fluid Specific Initialization > Water > Initial Automatic with Value Conditions > Volume Fraction > Option Fluid Specific Initialization > Water > Initial 1† Conditions > Volume Fraction > Volume Fraction *. Since there is no water entering or leaving the domain, a stationary initial guess is recommended. †. The volume fractions must sum to unity over all fluids. Since a value has been set for water, the volume fraction of air will be calculated as the remaining difference, in this case, 0. 3. Click OK. Page 276 ANSYS CFX Tutorials. ANSYS CFX Release 11.0. © 1996-2006 ANSYS Europe, Ltd. All rights reserved. Contains proprietary and confidential information of ANSYS, Inc. and its subsidiaries and affiliates.
  • 289.
    Tutorial 16: Gas-LiquidFlow in an Airlift Reactor: Obtaining a Solution using ANSYS CFX-Solver Manager Setting Solver Control If you are using a maximum edge length of 0.005 m or less to produce a finer mesh, use a Target Residual of 1.0E-05 to obtain a more accurate solution. 1. Click Solver Control . 2. Apply the following settings Tab Setting Value Basic Settings Convergence Control > Fluid Timescale Physical Timescale Control > Timescale Control Convergence Control > Fluid Timescale 1 [s] Control > Physical Timescale 3. Click OK. Writing the Solver (.def) File 1. Click Write Solver File . 2. Apply the following settings: Setting Value File name BubbleColumn.def Quit CFX–Pre* (Selected) *. If using ANSYS CFX-Pre in Standalone Mode. 3. Ensure Start Solver Manager is selected and click Save. 4. If using Standalone Mode, quit ANSYS CFX-Pre, saving the simulation (.cfx) file at your discretion. Obtaining a Solution using ANSYS CFX-Solver Manager The ANSYS CFX-Solver Manager will be launched after ANSYS CFX-Pre has closed down. You will be able to obtain a solution to the CFD problem by following the instructions below. Note: If a fine mesh is used for a formal quantitative analysis of the flow in the reactor, the solution time will be significantly longer than for the coarse mesh. You can run the simulation in parallel to reduce the solution time. For details, see Obtaining a Solution in Parallel (p. 116). 1. Ensure Define Run is displayed. 2. Click Start Run. ANSYS CFX-Solver runs and attempts to obtain a solution. This can take a long time depending on your system. Eventually a dialog box is displayed stating that the simulation has completed. ANSYS CFX Tutorials. ANSYS CFX Release 11.0. © 1996-2006 ANSYS Europe, Ltd. All rights reserved. Page 277 Contains proprietary and confidential information of ANSYS, Inc. and its subsidiaries and affiliates.
  • 290.
    Tutorial 16: Gas-LiquidFlow in an Airlift Reactor: Viewing the Results in ANSYS CFX-Post 3. Click Yes to post-process the results when the completion message appears at the end of the run. 4. If using Standalone Mode, quit ANSYS CFX-Solver Manager. Viewing the Results in ANSYS CFX-Post The following topics will be discussed: • Creating Velocity Vector Plots (p. 278) • Viewing Volume Fractions (p. 279) • Displaying the Entire Airlift Reactor Geometry (p. 280) Creating Velocity Vector Plots Because the simulation in this tutorial is conducted on a coarse grid, the results are only suitable for a qualitative demonstration of the multiphase capability of ANSYS CFX, Release 11.0. You will first examine the distribution of velocities and fluid volume fraction by creating the following plots. The results will then be verified to check if the values are reasonable. 1. Right-click a blank area in the viewer and select Predefined Camera > View Towards -Z. 2. Zoom in as required. 3. Turn on the visibility of SymP1. 4. Apply the following settings to SymP1. Tab Setting Value Color Mode Variable Variable Air at 25 C.Volume Fraction Range User Specified Min 0 Max 0.025 5. Click Apply. Observe the volume fraction values throughout the domain. 6. Turn off the visibility of SymP1. 7. Create a new vector named Vector 1. 8. Apply the following settings Tab Setting Value Geometry Definition > Locations SymP1 Definition > Variable Water.Velocity Symbol Symbol Size 0.3 9. Click Apply. 10. Create a new vector plot named Vector 2. Page 278 ANSYS CFX Tutorials. ANSYS CFX Release 11.0. © 1996-2006 ANSYS Europe, Ltd. All rights reserved. Contains proprietary and confidential information of ANSYS, Inc. and its subsidiaries and affiliates.
  • 291.
    Tutorial 16: Gas-LiquidFlow in an Airlift Reactor: Viewing the Results in ANSYS CFX-Post 11. Apply the following settings Tab Setting Value Geometry Definition > Locations SymP1 Definition > Variable Air at 25 C.Velocity Symbol Symbol Size 0.3 12. Click Apply. 13. Compare the vector fields by toggling the visibility of each and zooming in as needed. Viewing Volume Fractions In creating the geometry for the airlift reactor, a thin surface was used to model the draft tube. You will next plot the volume fraction of air on the thin surface. 1. Right-click on a blank area in the viewer, and select Predefined Camera > Isometric View (Y up). 2. Zoom in as required. 3. Turn off the visibility of any vector plots and turn on the visibility of DraftTube. 4. Modify DraftTube by applying the following settings Tab Setting Value Color Mode Variable Variable Air at 25 C.Volume Fraction Range User Specified Min 0 Max 0.02 5. Click Apply. • This boundary represents one side of the thin surface. When viewing plots on thin surfaces, you must ensure that you are viewing the correct side of the thin surface. • The plot just created is displaying the volume fraction for air in the downcomer region of the airlift reactor. If you rotate the geometry you will see that the same plot is visible from both sides of the thin surface. • You will make use of the face culling feature whichs turns off the visibility of the plot on one side of the thin surface. In this case, you need to turn off the “front” faces. 6. Modify DraftTube by applying the following settings Tab Setting Value Render Draw Faces > Face Culling Front Faces 7. Click Apply. 8. Rotate the image in the viewer to see the effect of face culling on DraftTube. You should see that the color appears only on one side: the downcomer side. 9. Turn on the visibility of DraftTube Other Side. ANSYS CFX Tutorials. ANSYS CFX Release 11.0. © 1996-2006 ANSYS Europe, Ltd. All rights reserved. Page 279 Contains proprietary and confidential information of ANSYS, Inc. and its subsidiaries and affiliates.
  • 292.
    Tutorial 16: Gas-LiquidFlow in an Airlift Reactor: Additional Fine Mesh Simulation Results 10. Color the DraftTube Other Side object using the same color settings as for DraftTube. Tab Setting Value Color Mode Variable Variable Air at 25 C.Volume Fraction Range User Specified Min 0 Max 0.02 11. Modify DraftTube Other Side by applying the following settings Tab Setting Value Render Draw Faces > Face Culling Front Faces This will create a plot of air volume fraction on the riser side of the bubble column. 12. Click Apply. Rotating the geometry will now show correct plots of the air volume fraction on each side of the draft tube. To see why face culling was needed to prevent interference between the plots on each side of the draft tube, try turning off face culling for DraftTube and watch the effect on the riser side (Results may vary, which is why face culling was used to prevent interference.). Displaying the Entire Airlift Reactor Geometry Display the entire airlift reactor geometry by expanding User Locations and Plots and double-clicking the Default Transform object: 1. Apply the following settings to Default Transform Tab Setting Value Definition Instancing Info From Domain (Cleared) # of Copies 12 Apply Rotation > Axis Y Apply Rotation > # of Passages 12 2. Click Apply. Additional Fine Mesh Simulation Results A formal analysis of this airlift reactor was carried out on a finer grid (having 21000+ nodes and a maximum edge length of 0.005 m). Page 280 ANSYS CFX Tutorials. ANSYS CFX Release 11.0. © 1996-2006 ANSYS Europe, Ltd. All rights reserved. Contains proprietary and confidential information of ANSYS, Inc. and its subsidiaries and affiliates.
  • 293.
    Tutorial 16: Gas-LiquidFlow in an Airlift Reactor: Additional Fine Mesh Simulation Results The analysis showed a region of air bubble recirculation at the top of the reactor on the downcomer side. This was confirmed by zooming in on a vector plot of Air at 25 C.Velocity on SymP1 near the top of the downcomer. A similar plot of Water.Velocity revealed no recirculation of the water. Other results of the simulation: • Due to their large 0.006 m diameter, the air bubbles quickly attained a significant terminal slip velocity (i.e., the terminal velocity relative to water). The resulting terminal slip velocity, obtained using the Grace drag model, is consistent with the prediction by Maneri and Mendelson and the prediction by Baker and Chao. These correlations predict a terminal slip velocity of about 0.23 m s-1 to 0.25 m s-1 for air bubbles of the diameter specified. • The values of gas hold up (the average volume fraction of air in the riser), the superficial gas velocity (the rising velocity, relative to the reactor vessel, of gas bubbles in the riser, multiplied by the gas holdup), and the liquid velocity in the downcomer agree with the results reported by García-Calvo and Letón, for gas holdup values of 0.03 or less. At higher values of gas holdup, the multifluid model does not account for pressure-volume work transferred from gas to liquid due to isothermal expansion of the bubbles. The simulation therefore tends to under-predict both the superficial gas velocity in the riser, and the liquid velocity in the downcomer for gas holdup values greater than 0.03. Note: Multiphase results files contain the vector variable Fluid.Superficial Velocity defined as Fluid.Volume Fraction multiplied by Fluid.Velocity. This is sometimes also referred to as the fluid volume flux. The components of this vector variable are available as scalar variables (e.g., Fluid.Superficial Velocity X). Many reference texts on bubble columns cite the Hughmark correlation as a standard for gas hold up and superficial gas velocity in bubble columns. However, the Hughmark correlation should not be used when liquid flow is concurrent with gas at velocities exceeding 0.1 m s-1. In the airlift reactor described in this tutorial, the liquid velocity in the riser clearly exceeds 0.2 m s-1 and the Hughmark correlation is therefore not applicable. ANSYS CFX Tutorials. ANSYS CFX Release 11.0. © 1996-2006 ANSYS Europe, Ltd. All rights reserved. Page 281 Contains proprietary and confidential information of ANSYS, Inc. and its subsidiaries and affiliates.
  • 294.
    Tutorial 16: Gas-LiquidFlow in an Airlift Reactor: Additional Fine Mesh Simulation Results Page 282 ANSYS CFX Tutorials. ANSYS CFX Release 11.0. © 1996-2006 ANSYS Europe, Ltd. All rights reserved. Contains proprietary and confidential information of ANSYS, Inc. and its subsidiaries and affiliates.
  • 295.
    Tutorial 17: Air ConditioningSimulation Introduction This tutorial includes: • Tutorial 17 Features (p. 284) • Overview of the Problem to Solve (p. 285) • Defining a Simulation in ANSYS CFX-Pre (p. 285) • Obtaining a Solution using ANSYS CFX-Solver Manager (p. 295) • Viewing the Results in ANSYS CFX-Post (p. 295) If this is the first tutorial you are working with, it is important to review the following topics before beginning: • Setting the Working Directory (p. 1) • Changing the Display Colors (p. 2) Unless you plan on running a session file, you should copy the sample files used in this tutorial from the installation folder for your software (<CFXROOT>/examples/) to your working directory. This prevents you from overwriting source files provided with your installation. If you plan to use a session file, please refer to Playing a Session File (p. 285). Sample files referenced by this tutorial include: • HVAC.pre • HVAC_expressions.ccl • HVACMesh.gtm • TStat_Control.F Note: You must have a Fortran compiler installed on your system to perform this tutorial. ANSYS CFX Tutorials Page 283 ANSYS CFX Release 11.0. © 1996-2006 ANSYS Europe, Ltd. All rights reserved. Contains proprietary and confidential information of ANSYS, Inc. and its subsidiaries and affiliates.
  • 296.
    Tutorial 17: AirConditioning Simulation: Tutorial 17 Features Tutorial 17 Features This tutorial addresses the following features of ANSYS CFX. Component Feature Details ANSYS CFX-Pre User Mode General Mode Simulation Type Transient Fluid Type General Fluid Domain Type Single Domain Turbulence Model k-Epsilon Heat Transfer Thermal Energy Radiation Buoyant Flow Boundary Conditions Boundary Profile Visualization Inlet (Profile) Outlet (Subsonic) Wall: No-Slip Wall: Adiabatic Wall: Fixed Temperature Output Control CEL (CFX Expression Language) User Fortran Timestep Transient Example Transient Results File ANSYS CFX-Post Plots Animation Isosurface Point Slice Plane Other Auto Annotation Changing the Color Range Legend MPEG Generation Time Step Selection Title/Text Transient Animation In this tutorial you will learn about: • Using the Monte Carlo radiation model with a directional source of radiation. • Setting a monitor point to observe the temperature at a prescribed location. Page 284 ANSYS CFX Tutorials. ANSYS CFX Release 11.0. © 1996-2006 ANSYS Europe, Ltd. All rights reserved. Contains proprietary and confidential information of ANSYS, Inc. and its subsidiaries and affiliates.
  • 297.
    Tutorial 17: AirConditioning Simulation: Overview of the Problem to Solve Overview of the Problem to Solve This tutorial demonstrates a simple air conditioning case in a room. The room contains windows and an inlet vent for cooled air. The windows are set up to include heat and radiation sources that act to raise the temperature of the room. The inlet vent introduces cool air into the room to lower the temperature to a set level. The room also contains an outlet vent, which removes ambient air from the room. Roof Inlet Windows Outlet Defining a Simulation in ANSYS CFX-Pre This section describes the step-by-step definition of the flow physics in ANSYS CFX-Pre. Important: You must have the required Fortran compiler installed and set in your system path in order to run this tutorial. For details on which Fortran compiler is required for your platform, see the applicable ANSYS, Inc. installation guide. If you are not sure which Fortran compiler is installed on your system, try running the cfx5mkext command (found in <CFXROOT>/bin) from the command line and read the output messages. Playing a Session File If you wish to skip past these instructions, and have ANSYS CFX-Pre set up the simulation automatically, you can select Session > Play Tutorial from the menu in ANSYS CFX-Pre, then run the session file: HVAC.pre. After performing this step, you can continue from Obtaining a Solution using ANSYS CFX-Solver Manager (p. 295). ANSYS CFX Tutorials. ANSYS CFX Release 11.0. © 1996-2006 ANSYS Europe, Ltd. All rights reserved. Page 285 Contains proprietary and confidential information of ANSYS, Inc. and its subsidiaries and affiliates.
  • 298.
    Tutorial 17: AirConditioning Simulation: Defining a Simulation in ANSYS CFX-Pre Creating a New Simulation 1. Start ANSYS CFX-Pre. 2. Select File > New Simulation. 3. Select General and click OK. 4. Select File > Save Simulation As. 5. Under File name, type HVAC. 6. Click Save. Importing the Mesh 1. Right-click Mesh and select Import Mesh. 2. Apply the following settings Setting Value File name HVACMesh.gtm 3. Click Open. 4. Right-click a blank area in the viewer and select Predefined Camera > Isometric View (Z up) from the shortcut menu. Creating Expressions This tutorial requires some CEL expressions. In this tutorial, a transient simulation will be performed over 3 minutes 45 seconds with 3 second timesteps for a total of 75 timesteps. Expressions will be used to enter these values. The expressions are also used to calculate the inlet temperature of air under different conditions. As the air conditioner will remove a specified amount of heat, the inlet vent temperature is a function of the outlet vent temperature. A CEL function is used to find the outlet temperature. A User CEL Function is used to simulate behavior of a thermostat that turns on cold air when the temperature (measured at a particular location) is above 22 °C (295.15 K) and turns off the cold air when the temperature falls below 20 °C (293.15 K). Note: The expression for TSensor requires a monitor point named Thermometer to provide room temperature feedback to the thermostat. This will be set up later. Importing the 1. Select File > Import CCL. Expressions 2. Select the file HVAC_expressions.ccl. 3. Click Open. The expression for ACOn requires a User CEL Function that indicates the thermostat output: whether the air conditioner should be on or off. This will be set up next. Page 286 ANSYS CFX Tutorials. ANSYS CFX Release 11.0. © 1996-2006 ANSYS Europe, Ltd. All rights reserved. Contains proprietary and confidential information of ANSYS, Inc. and its subsidiaries and affiliates.
  • 299.
    Tutorial 17: AirConditioning Simulation: Defining a Simulation in ANSYS CFX-Pre Inlet Velocity Expressions are used to simulate guiding vanes at the inlet, as the following diagram shows: Profile Figure 1 Intended airflow direction from the roof inlet vent Roof Inlet Vent z x=0.15 x=0.05 Wall x The two x locations indicated on the diagram correspond to the x values across the width of the inlet vent. When x is 0.05, the z component of velocity will be -1 and the x component will be zero. When x is 0.15, the x component of velocity will be 0.5 and the z component will be -0.5. The x component of velocity varies linearly with x. The following expression can be used to calculate the x component of velocity: x – 0.05 XCompInlet = 0.5 × ------------------ = 5 ( x – 0.05 ) 0.1 (Eqn. 1) ZCompInlet = – 1 + XCompInlet Setting up the Thermostat A Fortran subroutine that simulates the thermostat has already been written for this tutorial. Compiling the You can compile the subroutine and create the required library file used by ANSYS Subroutine CFX-Solver at any time before running the ANSYS CFX-Solver. The operation is performed at this point in the tutorial so that you have a better understanding of the values you need to specify in ANSYS CFX-Pre when creating a User CEL Function. The cfx5mkext command is used to compile the subroutine as described below. Important: You must have the required Fortran compiler installed and set in your system path in order to run the cfx5mkext command successfully. For details on which Fortran compiler is required for your platform, see the applicable ANSYS, Inc. installation guide. If you are not sure which Fortran compiler is installed on your system, try running the cfx5mkext command (found in <CFXROOT>/bin) from the command line and read the output messages. 1. Copy the subroutine TStat_Control.F to your working directory (if you have not already done so). 2. Examine the contents of this file in any text editor to gain a better understanding of this subroutine. This file was created by modifying the ucf_template.F file, which is available in the <CFXROOT>/examples/ directory. ANSYS CFX Tutorials. ANSYS CFX Release 11.0. © 1996-2006 ANSYS Europe, Ltd. All rights reserved. Page 287 Contains proprietary and confidential information of ANSYS, Inc. and its subsidiaries and affiliates.
  • 300.
    Tutorial 17: AirConditioning Simulation: Defining a Simulation in ANSYS CFX-Pre 3. Select Tools > Command Editor. 4. Type the following command in the Command Editor dialog box (make sure you do not miss the semi-colon at the end of the line): ! system (“cfx5mkext TStat_Control.F”) < 1 or die “cfx5mkext failed”; • This is equivalent to executing the following at an OS command prompt: cfx5mkext TStat_Control.F • The ! indicates that the following line is to be interpreted as power syntax and not CCL. Everything after the ! symbol is processed as Perl commands. • system is a Perl function to execute a system command. • The < 1 or die will cause an error message to be returned if, for some reason, there is an error in processing the command. 5. Click Process to compile the subroutine. Note: You can use the -double option (i.e., cfx5mkext -double TStat_Control.F) to compile the subroutine for use with double precision ANSYS CFX-Solver executables. A subdirectory will have been created in your working directory whose name is system dependent (e.g., on IRIX it is named irix). This sub directory contains the shared object library. Note: If you are running problems in parallel over multiple platforms then you will need to create these subdirectories using the cfx5mkext command for each different platform. • You can view more details about the cfx5mkext command by running cfx5mkext -help. • You can set a Library Name and Library Path using the -name and -dest options respectively. • If these are not specified, the default Library Name is that of your Fortran file and the default Library Path is your current working directory. 1. Close the Command Editor dialog box. Creating the A User CEL Function is required to link the subroutine into ANSYS CFX. The complete User CEL definition for the function is defined in two steps. First, a user routine that contains the Function calling name, library name, and library path is created. Then, a user function that points to the user routine, and also contains the argument and result units, is defined. 1. From the main menu, select Insert > Expressions, Functions and Variables > User Routine or click User Routine . 2. Set the name to Thermostat Routine. 3. Apply the following settings Tab Setting Value Basic Settings Option User CEL Function Calling Name ac_on* Library Name‘ TStat_Control† Library Path (Working Directory)‡ Page 288 ANSYS CFX Tutorials. ANSYS CFX Release 11.0. © 1996-2006 ANSYS Europe, Ltd. All rights reserved. Contains proprietary and confidential information of ANSYS, Inc. and its subsidiaries and affiliates.
  • 301.
    Tutorial 17: AirConditioning Simulation: Defining a Simulation in ANSYS CFX-Pre *. This is the name of the subroutine within the Fortran file. Always use lower case letters for the calling name, even if the subroutine name in the Fortran file is in upper case. †. This is the name passed to the cfx5mkext command by the -name option. If the -name option is not specified, a default is used. The default is the Fortran file name without the .F extension. ‡. Set this to your working directory. 4. Click OK. 5. Create a new user function named Thermostat Function by selecting Insert > Expressions, Functions and Variables > User Function from the main menu. 6. Apply the following settings Tab Setting Value Basic Settings Option User Function Argument Units [K], [K], [K], []* Result Units []† *. These are the units for the four input arguments: TSensor, TSet, TTol, and aitern. †. The result will be a dimensionless integer flag of values 1 or 0. 7. Click OK. The function you have just prepared is called during the evaluation of the expression for ACOn (that you imported earlier). The expression is: Thermostat Function(TSensor,TSet,TTol,aitern) It evaluates to 1 or 0, depending on whether the air conditioner should be on (1) or off (0). Setting the Simulation Type 1. Click Simulation Type . 2. Apply the following settings Tab Setting Value Basic Settings Simulation Type > Option Transient Simulation Type > Time Duration > Total Time tTotal Simulation Type > Time Steps > Timesteps tStep Simulation Type > Initial Time > Time 0 [s] 3. Click OK. Creating the Domain 1. Right click Simulation in the Outline tree view and ensure that Automatic Default Domain is selected. A domain named Default Domain should now appear under the Simulation branch. 2. Double click Default Domain and apply the following settings: ANSYS CFX Tutorials. ANSYS CFX Release 11.0. © 1996-2006 ANSYS Europe, Ltd. All rights reserved. Page 289 Contains proprietary and confidential information of ANSYS, Inc. and its subsidiaries and affiliates.
  • 302.
    Tutorial 17: AirConditioning Simulation: Defining a Simulation in ANSYS CFX-Pre Tab Setting Value General Basic Settings > Location B1.P3 Options Fluids List Air Ideal Gas Domain Models > Pressure > Reference Pressure 1 [atm] Domain Models > Buoyancy > Option Buoyant Domain Models > Buoyancy > Gravity X Dirn. 0 [m s^-2] Domain Models > Buoyancy > Gravity Y Dirn. 0 [m s^-2] Domain Models > Buoyancy > Gravity Z Dirn. -g Domain Models > Buoyancy > Buoy. Ref. Density 1.2 [kg m^-3] Fluid Models Heat Transfer > Option Thermal Energy Thermal Radiation Model > Option Monte Carlo 3. Click OK. Setting Boundary Conditions In this section you will define the locations and values of the boundary conditions. Inlet Boundary 1. Create a new boundary condition named Inlet. 2. Apply the following settings Tab Setting Value Basic Settings Boundary Type Inlet Location Inlet Boundary Details Mass and Momentum > Option Mass Flow Rate Mass and Momentum > Mass Flow Rate MassFlow Flow Direction > Option Cartesian Components Flow Direction > X Component XCompInlet Flow Direction > Y Component 0 Flow Direction > Z Component ZCompInlet Heat Transfer > Static Temperature TIn Plot Options Boundary Vector (Selected) 3. Click OK. Note: Ignore the physics errors that appear. They will be fixed by setting up the rest of the simulation. The error you see is due to a reference to Thermometer which has not been set up yet. This will be done as part of the output control. Outlet 1. Create a new boundary condition named VentOut. Boundary 2. Apply the following settings Page 290 ANSYS CFX Tutorials. ANSYS CFX Release 11.0. © 1996-2006 ANSYS Europe, Ltd. All rights reserved. Contains proprietary and confidential information of ANSYS, Inc. and its subsidiaries and affiliates.
  • 303.
    Tutorial 17: AirConditioning Simulation: Defining a Simulation in ANSYS CFX-Pre Tab Setting Value Basic Settings Boundary Type Outlet Location VentOut Boundary Details Mass and Momentum > Relative Pressure 0 [Pa] 3. Click OK. Window To model incoming radiation at the window boundaries, a directional radiation source will Boundary be created. The windows will also contribute heat to the room via a fixed temperature of 26 [C]. 1. Create a new boundary condition named Windows. 2. Apply the following settings Tab Setting Value Basic Boundary Type Wall Settings Location Window1, Window2 Boundary Heat Transfer > Option Temperature Details Heat Transfer > Fixed Temperature 26 [C] 3. Apply the following settings Tab Setting Value Sources Boundary Source (Selected) Boundary Source > Sources (Selected) 4. Create a new radiation source item by clicking Add New Item and accepting the default name. 5. Apply the following settings to Radiation Source 1 Setting Value Option Directional Radiation Flux Radiation Flux 600 [W m^-2] Direction > Option Cartesian Components Direction > X Component 0.33 Direction > Y Component 0.33 Direction > Z Component -0.33 6. Apply the following setting Tab Setting Value Plot Boundary Vector (Selected) Options ANSYS CFX Tutorials. ANSYS CFX Release 11.0. © 1996-2006 ANSYS Europe, Ltd. All rights reserved. Page 291 Contains proprietary and confidential information of ANSYS, Inc. and its subsidiaries and affiliates.
  • 304.
    Tutorial 17: AirConditioning Simulation: Defining a Simulation in ANSYS CFX-Pre 7. Click OK. The directional source of radiation is displayed. Default Wall The default boundary condition for any undefined surface in ANSYS CFX-Pre is a no-slip, Boundary smooth, adiabatic wall. For radiation purposes, the default wall is assumed to be a perfectly absorbing and emitting surface (emissivity = 1), and this will be preserved when setting up the boundary condition. In this tutorial, a fixed temperature of 26 °C will be assumed to exist at the wall during the simulation. A more detailed analysis would model heat transfer through the walls, but as this tutorial is designed only for demonstration purposes, a fixed temperature wall is sufficient. 1. Modify the boundary condition named Default Domain Default. 2. Apply the following settings Tab Setting Value Boundary Heat Transfer > Option Temperature Details Heat Transfer > Fixed Temperature 26 [C] 3. Click OK. This setting will include the Door region, which will be modeled as a wall (closed door) for simplicity. Since the region is part of the entire default boundary, it will not appear in the wireframe when the results file is opened in ANSYS CFX-Post (but can still be viewed in the Regions list). Setting Initial Values 1. Click Global Initialization . 2. Apply the following settings Page 292 ANSYS CFX Tutorials. ANSYS CFX Release 11.0. © 1996-2006 ANSYS Europe, Ltd. All rights reserved. Contains proprietary and confidential information of ANSYS, Inc. and its subsidiaries and affiliates.
  • 305.
    Tutorial 17: AirConditioning Simulation: Defining a Simulation in ANSYS CFX-Pre Tab Setting Value Global Settings Initial Conditions > Velocity Type Cartesian Initial Conditions > Cartesian Velocity Automatic with Value Components > Option Initial Conditions > Cartesian Velocity 0 [m s^-1] Components > U Initial Conditions > Cartesian Velocity 0 [m s^-1] Components > V Initial Conditions > Cartesian Velocity 0 [m s^-1] Components > W Initial Conditions > Static Pressure > Relative 0 [Pa] Pressure Initial Conditions > Temperature > Temperature 22 [C] Initial Conditions > Turbulence Kinetic Energy > (Selected) Fractional Intensity Initial Conditions > Turbulence Eddy Dissipation (Selected) Initial Conditions > Turbulence Eddy Dissipation (Selected) > Eddy Length Scale Initial Conditions > Turbulence Eddy Dissipation 0.25 [m] > Eddy Length Scale > Eddy Len. Scale Initial Conditions > Radiation Intensity > (Selected) Blackbody Temperature Initial Conditions > Radiation Intensity > 22 [C] Blackbody Temperature > Blackbody Temp. 3. Click OK. Setting Solver Control 1. Click Solver Control . 2. Apply the following settings Tab Setting Value Basic Settings Transient Scheme > Option Second Order Backward Euler Convergence Control > Max. Coeff. Loops 3 3. Click OK. Setting Output Control Transient results files will be set up to record transient values of a chosen set of variables. Monitor points will be created to show the on/off status of the air conditioner, the temperature at the inlet, the temperature at the outlet, and the temperature at a prescribed thermometer location. ANSYS CFX Tutorials. ANSYS CFX Release 11.0. © 1996-2006 ANSYS Europe, Ltd. All rights reserved. Page 293 Contains proprietary and confidential information of ANSYS, Inc. and its subsidiaries and affiliates.
  • 306.
    Tutorial 17: AirConditioning Simulation: Defining a Simulation in ANSYS CFX-Pre 1. Click Output Control . 2. Click Trn Results. 3. Create a new Transient Results item by clicking Add New Item and accept the the default name. 4. Apply the following settings to Transient Results 1 Setting Value Option Selected Variables Output Variables List Pressure, Radiation Intensity, Temperature, Velocity Output Variables Operators (Selected) Output Variables Operators > Output Var. All* Operators Output Frequency > Option Time Interval Output Frequency > Time Interval tStep *. This causes the gradients of the selected variables to be written to the transient files, along with other information. 5. Apply the following settings Tab Setting Value Monitor Monitor Options (Selected) 6. Create a new Monitor Points and Expressions item named Temp at Inlet. 7. Apply the following settings to Temp at Inlet Setting Value Option Expression Expression Value TIn 8. Create a new Monitor Points and Expressions item named Thermometer. 9. Apply the following settings to Thermometer Setting Value Output Variable List Temperature Cartesian Coordinates 2.95, 1.5, 1.25 10. Create a new Monitor Points and Expressions item named Temp at VentOut. 11. Apply the following settings to Temp at VentOut Setting Value Option Expression Expression Value TVentOut Page 294 ANSYS CFX Tutorials. ANSYS CFX Release 11.0. © 1996-2006 ANSYS Europe, Ltd. All rights reserved. Contains proprietary and confidential information of ANSYS, Inc. and its subsidiaries and affiliates.
  • 307.
    Tutorial 17: AirConditioning Simulation: Obtaining a Solution using ANSYS CFX-Solver Manager 12. Create a new Monitor Points and Expressions item named ACOnStatus. 13. Apply the following settings to ACOnStatus Setting Value Option Expression Expression Value ACOn 14. Click OK. Writing the Solver (.def) File 1. Click Write Solver File . 2. Apply the following settings: Setting Value File name HVAC.def Quit CFX–Pre* (Selected) *. If using ANSYS CFX-Pre in Standalone Mode. 3. Ensure Start Solver Manager is selected and click Save. 4. If using Standalone Mode, quit ANSYS CFX-Pre, saving the simulation (.cfx) file at your discretion. Obtaining a Solution using ANSYS CFX-Solver Manager When ANSYS CFX-Pre has shut down and the ANSYS CFX-Solver Manager has started, obtain a solution to the CFD problem by following the instructions below. 1. Click Start Run. 2. When the User Points tab appears, click it to view the value of the temperature at VentOut as the solution progresses. 3. Click Yes to post-process the results when the completion message appears at the end of the run. 4. If using Standalone Mode, quit ANSYS CFX-Solver Manager. Viewing the Results in ANSYS CFX-Post The temperature of air in the house is distributed in both space and time. While the transient behavior of the temperature field can easily be shown with an animation, it is not easy to visualize a complicated 3D distribution. In order to show the key features of the temperature field, graphic objects will be produced on strategically-placed locators; Plane locators will be used to show contour plots of temperature, while Isosurfaces will be used sparingly to show the general shape of thermal plumes. ANSYS CFX Tutorials. ANSYS CFX Release 11.0. © 1996-2006 ANSYS Europe, Ltd. All rights reserved. Page 295 Contains proprietary and confidential information of ANSYS, Inc. and its subsidiaries and affiliates.
  • 308.
    Tutorial 17: AirConditioning Simulation: Viewing the Results in ANSYS CFX-Post Creating Graphics Objects Plane locators will be placed vertically through the vents and horizontally above the floor. Plane Locators 1. Load the res file (HVAC_001.res) if you did not elect to load the results directly from the ANSYS CFX-Solver Manager. 2. Right-click a blank area in the viewer, select Predefined Camera > Isometric View (Z up). 3. Create a ZX-Plane named Plane 1 with Y=1.5 [m]. Color it by Temperature using a user specified range from 19 [C] to 23 [C], and clear Lighting. 4. Create an XY Plane named Plane 2 with Z=0.35 [m]. Color it using the same settings as for the first plane, and clear Lighting. Isosurface 1. Click Timestep Selector . Locator The Timestep Selector appears. 2. Double-click the value (12s) in the Timestep Selector. The Timestep is set to 12s so that the cold plume is visible. 3. Create an isosurface named Cold Plume which is a surface of Temperature=19 [C]. Use conservative values for Temperature. 4. Color the isosurface by Temperature and use the same range as for the planes. Although the color of the isosurface will not show variation (by definition), it will be consistent with the other graphic objects. 5. On the Render tab for the isosurface, set Transparency to 0.5, and clear Lighting. 6. Click Apply. Note: The isosurface will not be visible in some timesteps, but you will be able to see it when playing the animation (a step carried out later). Adjusting the The legend title should not name the locator of any particular object since all objects are Legend colored by the same variable and use the same range. 1. In the tree view, double-click Default Legend View 1. 2. In the Definition tab, change Title Mode to Variable. This will remove the locator name from the legend. 3. Click the Appearance tab, then: a. Change Precision to 2, Fixed. b. Change Text Height to 0.03. 4. Click Apply. A label will be used to show the simulation time and the temperature of the thermometer which controls the thermostat. This will be especially useful for the animation which is created later in this tutorial. Page 296 ANSYS CFX Tutorials. ANSYS CFX Release 11.0. © 1996-2006 ANSYS Europe, Ltd. All rights reserved. Contains proprietary and confidential information of ANSYS, Inc. and its subsidiaries and affiliates.
  • 309.
    Tutorial 17: AirConditioning Simulation: Viewing the Results in ANSYS CFX-Post Before creating the label, you will need to support the expression for TSensor by creating a point called Thermometer at the location of the sensor thermometer. This point will replace the monitor point called Thermometer which was used during the solver run, but no longer exists. Note: The actual thermometer data generated during the run was stored in the results file, but is not easily accessible, and cannot currently be used in an auto-annotation label. Creating a Point 1. From the main menu, select Insert > Location > Point. for the 2. Set Name to Thermometer. Thermometer 3. Set Point to (2.95,1.5,1.25). 4. Click Apply. Now the expression TSensor will once again measure temperature at the prescribed location. Creating the 1. Click Text . Text Label 2. Accept the default name and click OK. 3. Set Text String to Time Elapsed 4. Select Embed Auto Annotation. The full text string should now be Time Elapsed: <aa>. The <aa> represents the location where the auto annotation will be substituted. 5. Set Type to Time Value. This will show the amount of simulated time that has passed in the simulation. 6. Click More. This adds a second line of text to the text object. 7. Set Text String to Sensor Temperature: 8. Select Embed Auto Annotation. 9. Set Type to Expression. 10. Set Expression to TSensor. 11. Click the Appearance tab, change Height to 0.03, then click Apply. Ensure the visibility check box next to Text 1 is selected. A label appears at the top of the figure. The large font is used so that the text will be clearly visible in the animation which will be produced in the next section. Creating an Animation 1. Ensure that the view is set to Isometric View (Z up). 2. Click Timestep Selector . The Timestep Selector appears. 3. Double-click the first time value (0 s) in the Timestep Selector. 4. Click Animation found in the toolbar. The Animation dialog box appears. 5. In the Animation dialog box: ANSYS CFX Tutorials. ANSYS CFX Release 11.0. © 1996-2006 ANSYS Europe, Ltd. All rights reserved. Page 297 Contains proprietary and confidential information of ANSYS, Inc. and its subsidiaries and affiliates.
  • 310.
    Tutorial 17: AirConditioning Simulation: Viewing the Results in ANSYS CFX-Post a. Click New to create KeyframeNo1. b. Highlight KeyframeNo1, change # of Frames to 200, then press <Enter> while in the # of Frames box. Tip: Be sure to press <Enter> and confirm that the new number appears in the list before continuing. This will place 200 intermediate frames between the first and (yet to be created) second key frames, for a total of 202 frames. This will produce an animation lasting about 8.8 s since the frame rate will be 24 frames per second. Since there are 76 unique frames, each frame will be shown at least once. 6. Load the last time value (225 s) using the Timestep Selector dialog box. 7. In the Animation dialog box: a. Click New to create KeyframeNo2. The # of Frames parameter has no effect for the last keyframe, so leave it at the default value. b. Click More Animation Options to expand the Animation dialog box. c. Select Save MPEG. d. Specify a file name for the MPEG file. e. Click the Options button. f. Change MPEG Size to 720 x 480 (or a similar resolution). g. Click the Advanced tab, and note the Quality setting. If your MPEG player does not play the MPEG, you can try using the Low or Custom quality settings. h. Click OK. i. Click To Beginning to rewind the active key frame to KeyframeNo1. j. Click Save animation state and save the animation to a file. This will enable you to quickly restore the animation in case you want to make changes. Animations are not restored by loading ordinary state files (those with the .cst extension). 8. Click Play the animation . 9. If prompted to overwrite an existing movie, click Overwrite. The animation plays and builds an .mpg file. 10. When you have finished, quit ANSYS CFX-Post. Further Steps 1. This tutorial uses an aggressive value for the flow rate of air, a coarse mesh, and the timesteps are too large for a satisfactory analysis. Running this tutorial with a finer mesh, a flow rate of air that is closer to 5 changes of air per hour (0.03 m3 s-1), and smaller timesteps will produce more accurate results. 2. Running the simulation for a longer total time period will allow you to see more on/off cycles of the thermostat. Page 298 ANSYS CFX Tutorials. ANSYS CFX Release 11.0. © 1996-2006 ANSYS Europe, Ltd. All rights reserved. Contains proprietary and confidential information of ANSYS, Inc. and its subsidiaries and affiliates.
  • 311.
    Tutorial 18: Combustion andRadiation in a Can Combustor Introduction This tutorial includes: • Tutorial 18 Features (p. 300) • Overview of the Problem to Solve (p. 301) • Using Eddy Dissipation and P1 Models (p. 301) • Defining a Simulation in ANSYS CFX-Pre (p. 302) • Obtaining a Solution using ANSYS CFX-Solver Manager (p. 307) • Viewing the Results in ANSYS CFX-Post (p. 308) • Laminar Flamelet and Discrete Transfer Models (p. 311) • Further Postprocessing (p. 316) If this is the first tutorial you are working with, it is important to review the following topics before beginning: • Setting the Working Directory (p. 1) • Changing the Display Colors (p. 2) Unless you plan on running a session file, you should copy the sample files used in this tutorial from the installation folder for your software (<CFXROOT>/examples/) to your working directory. This prevents you from overwriting source files provided with your installation. If you plan to use a session file, please refer to Playing a Session File (p. 302). Sample files referenced by this tutorial include: • CombustorMesh.gtm • CombustorEDM.pre • CombustorFlamelet.pre • CombustorEDM.cfx ANSYS CFX Tutorials Page 299 ANSYS CFX Release 11.0. © 1996-2006 ANSYS Europe, Ltd. All rights reserved. Contains proprietary and confidential information of ANSYS, Inc. and its subsidiaries and affiliates.
  • 312.
    Tutorial 18: Combustionand Radiation in a Can Combustor: Tutorial 18 Features Tutorial 18 Features This tutorial addresses the following features of ANSYS CFX. Component Feature Details ANSYS CFX-Pre User Mode General Mode Simulation Type Steady State Fluid Type Reacting Mixture Domain Type Single Domain Turbulence Model k-Epsilon Heat Transfer Thermal Energy Combustion Radiation Boundary Conditions Inlet (Subsonic) Outlet (Subsonic) Wall: No-Slip Wall: Adiabatic Wall: Thin Surface Timestep Physical Time Scale ANSYS CFX-Post Plots Outline Plot (Wireframe) Sampling Plane Slice Plane Vector Other Changing the Color Range Color map Legend Quantitative Calculation In this tutorial you will learn about: • Creating thin surfaces for the inlet vanes. • Using a Reacting Mixture. • Using the Eddy Dissipation Combustion Model. • Using the Flamelet Model. • Changing the Combustion model in a simulation. • Using the P1 Radiation Model in ANSYS CFX-Pre. • Using the Discrete Transfer Radiation Model in ANSYS CFX-Pre. • Using the NOx model in ANSYS CFX-Pre. • Changing object color maps in ANSYS CFX-Post to prepare a greyscale image. Page 300 ANSYS CFX Tutorials. ANSYS CFX Release 11.0. © 1996-2006 ANSYS Europe, Ltd. All rights reserved. Contains proprietary and confidential information of ANSYS, Inc. and its subsidiaries and affiliates.
  • 313.
    Tutorial 18: Combustionand Radiation in a Can Combustor: Overview of the Problem to Solve Overview of the Problem to Solve The can combustor is a feature of the gas turbine engine. Arranged around a central annulus, can combustors are designed to minimize emissions, burn very efficiently and keep wall temperatures as low as possible. This tutorial is designed to give a qualitative impression of the flow and temperature distributions. The basic geometry is shown below with a section of the outer wall cut away. The Outlet has a surface area of 150 cm2. There are six side air inlets, each with a surface area of 2 cm2. There are six small fuel inlets, each with a surface area of 0.14 cm2. Main air inlet. The inlet is guided by vanes to give the air a swirling velocity component. Total surface area is 57 cm2. Using Eddy Dissipation and P1 Models This tutorial demonstrates two different combustion and radiation model combinations. The first uses the Eddy Dissipation Combustion model with the P1 Radiation model; the NOx model is also included. The second uses the Laminar Flamelet model with the Discrete Transfer Radiation model. If you wish to use the Flamelet Combustion model and Discrete Transfer Radiation model, see Laminar Flamelet and Discrete Transfer Models (p. 311), otherwise continue from this point. ANSYS CFX Tutorials. ANSYS CFX Release 11.0. © 1996-2006 ANSYS Europe, Ltd. All rights reserved. Page 301 Contains proprietary and confidential information of ANSYS, Inc. and its subsidiaries and affiliates.
  • 314.
    Tutorial 18: Combustionand Radiation in a Can Combustor: Defining a Simulation in ANSYS CFX-Pre Defining a Simulation in ANSYS CFX-Pre You will define a domain that includes a variable composition mixture. These mixtures are used to model combusting and reacting flows in ANSYS CFX. Playing a Session File If you wish to skip past these instructions, and have ANSYS CFX-Pre set up the simulation automatically, you can select Session > Play Tutorial from the menu in ANSYS CFX-Pre, then run the session file: CombustorEDM.pre. After you have played the session file as described in earlier tutorials under Playing the Session File and Starting ANSYS CFX-Solver Manager (p. 87), proceed to Obtaining a Solution using ANSYS CFX-Solver Manager (p. 307). Creating a New Simulation 1. Start ANSYS CFX-Pre. 2. Select File > New Simulation. 3. Select General and click OK. 4. Select File > Save Simulation As. 5. Under File name, type CombustorEDM. 6. Click Save. Importing the Mesh 1. Right-click Mesh and select Import Mesh. 2. Apply the following setting Setting Value File name CombustorMesh.gtm 3. Click Open. Creating a Reacting Mixture To allow combustion modeling, you must create a variable composition mixture. To create the 1. Create a new material named Methane Air Mixture. variable 2. Apply the following settings composition mixture Tab Setting Value Basic Settings Option Reacting Mixture Material Group Gas Phase Combustion Reactions List Methane Air WD1 NO PDF* Page 302 ANSYS CFX Tutorials. ANSYS CFX Release 11.0. © 1996-2006 ANSYS Europe, Ltd. All rights reserved. Contains proprietary and confidential information of ANSYS, Inc. and its subsidiaries and affiliates.
  • 315.
    Tutorial 18: Combustionand Radiation in a Can Combustor: Defining a Simulation in ANSYS CFX-Pre Tab Setting Value Mixture Mixture Properties (Selected) Properties Mixture Properties > Radiation Properties > (Selected)† Refractive Index Mixture Properties > Radiation Properties > (Selected) Absorption Coefficient Mixture Properties > Radiation Properties > (Selected) Scattering Coefficient *. The Methane Air WD1 NO PDF reaction specifies complete combustion of the fuel into its products in a single-step reaction. The formation of NO is also modeled and occurs in an additional reaction step. Click to display the Reactions List dialog box, then click Import Library Data and select the appropriate reaction to import. †. Setting the radiation properties explicitly will significantly shorten the solution time since the ANSYS CFX-Solver will not have to calculate radiation mixture properties. 3. Click OK. Creating the Domain 1. Right click Simulation in the Outline tree view and ensure that Automatic Default Domain is selected. A domain named Default Domain should now appear under the Simulation branch. 2. Double click Default Domain and apply the following settings Tab Setting Value General Basic Settings > Locations B152, B153, B154, Options B155, B156 Basic Settings > Fluids List Methane Air Mixture Domain Models > Pressure > Reference Pressure 1 [atm]* Fluid Models Heat Transfer > Option Thermal Energy Reaction or Combustion > Option Eddy Dissipation Reaction or Combustion > Eddy Dissipation Model (Selected) Coefficient B Reaction or Combustion > Eddy Dissipation Model 0.5† Coefficient B > EDM Coeff. B Thermal Radiation Model > Option P1 Component Details > N2 (Selected) Component Details > N2 > Option Constraint *. It is important to set a realistic reference pressure in this tutorial because the components of Methane Air Mixture are ideal gases. †. This includes a simple model for partial premixing effects by turning on the Product Limiter. When it is selected, non-zero initial values are required for the products. The products limiter is not recommended for multi-step eddy dissipation reactions, and so is set for this single step reaction only. 3. Click OK. ANSYS CFX Tutorials. ANSYS CFX Release 11.0. © 1996-2006 ANSYS Europe, Ltd. All rights reserved. Page 303 Contains proprietary and confidential information of ANSYS, Inc. and its subsidiaries and affiliates.
  • 316.
    Tutorial 18: Combustionand Radiation in a Can Combustor: Defining a Simulation in ANSYS CFX-Pre Creating the Boundary Conditions Fuel Inlet 1. Create a new boundary condition named fuelin. Boundary 2. Apply the following settings Tab Setting Value Basic Settings Boundary Type Inlet Location fuelin Boundary Details Mass and Momentum > Normal Speed 40 [m s^-1] Heat Transfer > Static Temperature 300 [K] Component Details CH4 Component Details > CH4 > Mass Fraction 1 3. Click OK. Bottom Air Inlet Two separate boundary conditions will be applied for the incoming air. The first is at the Boundary base of the can combustor. The can combustor employs vanes downstream of the fuel inlet to give the incoming air a swirling velocity. 1. Create a new boundary condition named airin. 2. Apply the following settings Tab Setting Value Basic Settings Boundary Type Inlet Location airin Boundary Details Mass and Momentum > Normal Speed 10 [m s^-1] Heat Transfer > Static Temperature 300 [K] Component Details O2 Component Details > O2 > Mass Fraction 0.232* *. The remaining mass fraction at the inlet will be made up from the constraint component, N2. 3. Click OK. Side Air Inlet The secondary air inlets are located on the side of the vessel and introduce extra air to aid Boundary combustion. 1. Create a new boundary condition named secairin. 2. Apply the following settings Tab Setting Value Basic Settings Boundary Type Inlet Location secairin Page 304 ANSYS CFX Tutorials. ANSYS CFX Release 11.0. © 1996-2006 ANSYS Europe, Ltd. All rights reserved. Contains proprietary and confidential information of ANSYS, Inc. and its subsidiaries and affiliates.
  • 317.
    Tutorial 18: Combustionand Radiation in a Can Combustor: Defining a Simulation in ANSYS CFX-Pre Tab Setting Value Boundary Details Mass and Momentum > Option Normal Speed Mass and Momentum > Normal Speed 6 [m s^-1] Heat Transfer > Option Static Temperature Heat Transfer > Static Temperature 300 [K] Component Details O2 Component Details > O2 > Mass Fraction 0.232* *. The remaining mass fraction at the inlet will be made up from the constraint component, N2. 3. Click OK. Outlet 1. Create a new boundary condition named out. Boundary 2. Apply the following settings Tab Setting Value Basic Settings Boundary Type Outlet Location out Boundary Details Mass and Momentum > Option Average Static Pressure Mass and Momentum > Relative Pressure 0 [Pa] 3. Click OK. Vanes Boundary The vanes above the main air inlet are to be modeled as thin surfaces. To create a vane as a thin surface in ANSYS CFX-Pre, you must specify a wall boundary condition on each side of the vanes. The Create Thin Surface Partner feature in ANSYS CFX-Pre will automatically match the other side of a thin surface if you pick just a single side. You will first create a new region which contains one side of each of the eight vanes, then use the Create Thin Surface Partner feature to match the other side. 1. Create a new composite region named Vane Surfaces. 2. Apply the following settings Tab Setting Value Basic Settings Dimension (Filter) 2D* Region List F129.152, F132.152, F136.152, F138.152, F141.152, F145.152, F147.152, F150.152 *. This will filter out the 3D regions, leaving only 2D regions 3. Click OK. 4. Create a new boundary condition named vanes. 5. Apply the following settings ANSYS CFX Tutorials. ANSYS CFX Release 11.0. © 1996-2006 ANSYS Europe, Ltd. All rights reserved. Page 305 Contains proprietary and confidential information of ANSYS, Inc. and its subsidiaries and affiliates.
  • 318.
    Tutorial 18: Combustionand Radiation in a Can Combustor: Defining a Simulation in ANSYS CFX-Pre Tab Setting Value Basic Settings Boundary Type Wall Location Vane Surfaces Create Thin Surface Partner (Selected)* *. This feature will attempt to match all primitives specified in the location list to create a thin surface boundary condition. 6. Click OK. Default Wall The default boundary condition for any undefined surface in ANSYS CFX-Pre is a no-slip, Boundary smooth, adiabatic wall. • For radiation purposes, the wall is assumed to be a perfectly absorbing and emitting surface (emissivity = 1). • The wall is non-catalytic, i.e., it does not take part in the reaction. Since this tutorial serves as a basic model, heat transfer through the wall is neglected. As a result, no further boundary conditions need to be defined. Setting Initial Values 1. Click Global Initialization . 2. Apply the following settings Tab Setting Value Global Initial Conditions > Cartesian Velocity Components > Automatic with Value Settings Option Initial Conditions > Cartesian Velocity Components > U 0 [m s^-1] Initial Conditions > Cartesian Velocity Components > V 0 [m s^-1] Initial Conditions > Cartesian Velocity Components > W 5 [m s^-1] Initial Conditions > Turbulence Eddy Dissipation (Selected) Initial Conditions > Turbulence Eddy Dissipation > Automatic Option Initial Conditions > Component Details O2 Initial Conditions > Component Details > O2> Option Automatic with Value Initial Conditions > Component Details > O2 > Mass 0.232* Fraction Initial Conditions > Component Details CO2 Initial Conditions > Component Details > CO2 > Option Automatic with Value Initial Conditions > Component Details > CO2 > Mass 0.01 Fraction Initial Conditions > Component Details H2O Initial Conditions > Component Details> H2O > Option Automatic with Value Initial Conditions > Component Details > H2O > Mass 0.01 Fraction Page 306 ANSYS CFX Tutorials. ANSYS CFX Release 11.0. © 1996-2006 ANSYS Europe, Ltd. All rights reserved. Contains proprietary and confidential information of ANSYS, Inc. and its subsidiaries and affiliates.
  • 319.
    Tutorial 18: Combustionand Radiation in a Can Combustor: Obtaining a Solution using ANSYS CFX-Solver Manager *. The initial conditions assume the domain consists mainly of air and the fraction of oxygen in air is 0.232. A small mass fraction of reaction products (CO2 and H2O) is needed for the EDM model to initiate combustion. 3. Click OK. Setting Solver Control 1. Click Solver Control . 2. Apply the following settings Tab Setting Value Basic Settings Convergence Control > Max. Iterations 100 Convergence Control > Fluid Timescale Control > Physical Timescale Timescale Control Convergence Control > Fluid Timescale Control > 0.025 [s] Physical Timescale 3. Click OK. Writing the Solver (.def) File 1. Click Write Solver File . 2. Apply the following settings: Setting Value File name CombustorEDM.def Quit CFX–Pre* (Selected) *. If using ANSYS CFX-Pre in Standalone Mode. 3. Ensure Start Solver Manager is selected and click Save. 4. If using Standalone Mode, quit ANSYS CFX-Pre, saving the simulation (.cfx) file. Obtaining a Solution using ANSYS CFX-Solver Manager The ANSYS CFX-Solver Manager will be launched after ANSYS CFX-Pre saves the definition file. You will be able to obtain a solution to the CFD problem by following the instructions below. Note: If a fine mesh is used for a formal quantitative analysis of the flow in the combustor, the solution time will be significantly longer than for the coarse mesh. You can run the simulation in parallel to reduce the solution time. For details, see Obtaining a Solution in Parallel (p. 116). 1. Ensure Define Run is displayed. Definition File should be set to CombustorEDM.def. ANSYS CFX Tutorials. ANSYS CFX Release 11.0. © 1996-2006 ANSYS Europe, Ltd. All rights reserved. Page 307 Contains proprietary and confidential information of ANSYS, Inc. and its subsidiaries and affiliates.
  • 320.
    Tutorial 18: Combustionand Radiation in a Can Combustor: Viewing the Results in ANSYS CFX-Post 2. Click Start Run. ANSYS CFX-Solver runs and attempts to obtain a solution. This can take a long time depending on your system. Eventually a dialog box is displayed stating that the run has finished. 3. Click Yes to post-process the results. 4. If using Standalone Mode, quit ANSYS CFX-Solver Manager. Viewing the Results in ANSYS CFX-Post When ANSYS CFX-Post opens, experiment with the Edge Angle setting for the Wireframe object and the various rotation and zoom features in order to place the geometry in a sensible position. A setting of about 8.25 should result in a detailed enough geometry for this exercise. Temperature Within the Domain 1. Create a new plane named Plane 1. 2. Apply the following settings Tab Setting Value Geometry Definition > Method ZX Plane Color Mode Variable Mode > Variable Temperature 3. Click Apply. The large area of high temperature through most of the vessel is due to forced convection. Note: Later in this tutorial (see Laminar Flamelet and Discrete Transfer Models (p. 311)), the Laminar Flamelet combustion model will be used to simulate the combustion again, resulting in an even higher concentration of high temperatures throughout the combustor. The NO Concentration in the Combustor In the next step you will color Plane 1 by the mass fraction of NO to view the distribution of NO within the domain. The NO concentration is highest in the high temperature region close to the outlet of the domain. 1. Modify the plane named Plane 1. 2. Apply the following settings Tab Setting Value Color Mode > Variable NO.Mass Fraction 3. Click Apply. Page 308 ANSYS CFX Tutorials. ANSYS CFX Release 11.0. © 1996-2006 ANSYS Europe, Ltd. All rights reserved. Contains proprietary and confidential information of ANSYS, Inc. and its subsidiaries and affiliates.
  • 321.
    Tutorial 18: Combustionand Radiation in a Can Combustor: Viewing the Results in ANSYS CFX-Post Printing a Greyscale Graphic Here you will change the color map (for Plane 1) to a greyscale map. The result will be a plot with different levels of grey representing different mass fractions of NO. This technique is especially useful for printing, to a black and white printer, any image that contains a color map. Conversion to greyscale by conventional means (i.e., using graphics software, or letting the printer do the conversion) will generally cause color legends to change to a non-linear distribution of levels of grey. 1. Modify the plane named Plane 1. 2. Apply the following settings Tab Setting Value Color Color Map Inverse Greyscale 3. Click Apply. Calculating NO Mass Fraction at the Outlet The emission of pollutants into the atmosphere is always a design consideration for combustion applications. In the next step, you will calculate the mass fraction of NO in the outlet stream. 1. Select Tools > Function Calculator or click the Tools tab and select Function Calculator. 2. Apply the following settings Tab Setting Value Function Function massFlowAve Calculator Location out Variable NO.Mass Fraction 3. Click Calculate. A small amount of NO is released from the outlet of the combustor. This amount is lower than can normally be expected, and is mainly due to the coarse mesh and the short residence times in the combustor. Viewing Flow Field To investigate the reasons behind the efficiency of the combustion process, you will next look at the velocity vectors to show the flow field. You may notice a small recirculation in the center of the combustor. Running the problem with a finer mesh would show this region to be a larger recirculation zone. The coarseness of the mesh in this tutorial means that this region of flow is not accurately resolved. 1. Select the Outline tab. 2. Under User Locations and Plots, clear Plane 1. Plane 1 is no longer visible. ANSYS CFX Tutorials. ANSYS CFX Release 11.0. © 1996-2006 ANSYS Europe, Ltd. All rights reserved. Page 309 Contains proprietary and confidential information of ANSYS, Inc. and its subsidiaries and affiliates.
  • 322.
    Tutorial 18: Combustionand Radiation in a Can Combustor: Viewing the Results in ANSYS CFX-Post 3. Create a new vector named Vector 1. 4. Apply the following settings Tab Setting Value Geometry Definition > Locations Plane 1 Symbol Symbol Size 2 5. Click Apply. 6. Create a new plane named Plane 2. 7. Apply the following settings Tab Setting Value Geometry Definition > Method XY Plane Definition > Z 0.03 Plane Bounds > Type Rectangular Plane Bounds > X Size 0.5 [m] Plane Bounds > Y Size 0.5 [m] Plane Type > Sample (Selected) Plane Type > X Samples 30 Plane Type > Y Samples 30 Render Draw Faces (Cleared) 8. Click Apply. 9. Modify Vector 1. 10. Apply the following setting Tab Setting Value Geometry Definition > Locations Plane 2 11. Click Apply. To view the swirling velocity field, right-click in the viewer and select Predefined Camera > View Towards -Z. You may also want to turn off the wireframe visibility. In the region near the fuel and air inlets, the swirl component of momentum (theta direction) results in increased mixing with the surrounding fluid and a higher residence time in this region. As a result, more fuel is burned. Viewing Radiation Try examining the distribution of Incident Radiation and Radiation Intensity throughout the domain. When you are finished, quit ANSYS CFX-Post. Page 310 ANSYS CFX Tutorials. ANSYS CFX Release 11.0. © 1996-2006 ANSYS Europe, Ltd. All rights reserved. Contains proprietary and confidential information of ANSYS, Inc. and its subsidiaries and affiliates.
  • 323.
    Tutorial 18: Combustionand Radiation in a Can Combustor: Laminar Flamelet and Discrete Transfer Models Laminar Flamelet and Discrete Transfer Models In this second part of the tutorial, you will start with the simulation from the first part of the tutorial and modify it to use the Laminar Flamelet combustion and Discrete Transfer radiation models. Running the simulation a second time will demonstrate the differences in the combustion models, including the variance in carbon dioxide distribution, which is shown below. Playing a Session File If you wish to skip past these instructions, and have ANSYS CFX-Pre set up the simulation automatically, you can select Session > Play Tutorial from the menu in ANSYS CFX-Pre, then run the session file: CombustorFlamelet.pre. After you have played the session file as described in earlier tutorials under Playing the Session File and Starting ANSYS CFX-Solver Manager (p. 87), proceed to Obtaining a Solution (p. 314). Creating a New Simulation 1. If you have not completed the first part of this tutorial, or otherwise do not have the simulation file from the first part, start ANSYS CFX-Pre and then play the session file CombustorEDM.pre. The simulation file CombustorEDM.cfx will be created. 2. Start ANSYS CFX-Pre (unless it is already running). 3. Select File > Open Simulation. 4. Load the simulation named CombustorEDM.cfx. The simulation from the first part of this tutorial is loaded. 5. Select File > Save Simulation As. ANSYS CFX Tutorials. ANSYS CFX Release 11.0. © 1996-2006 ANSYS Europe, Ltd. All rights reserved. Page 311 Contains proprietary and confidential information of ANSYS, Inc. and its subsidiaries and affiliates.
  • 324.
    Tutorial 18: Combustionand Radiation in a Can Combustor: Laminar Flamelet and Discrete Transfer Models 6. Save the simulation as CombustorFlamelet.cfx. This creates a separate simulation file which will be modified to use the Laminar Flamelet and Discrete Transfer models. Modifying the Reacting Mixture A flamelet library will be used to create the variable composition mixture. 1. Expand Materials and open Methane Air Mixture for editing. 2. Apply the following settings Tab Setting Value Basic Settings Reactions List Methane Air FLL STP and NO PDF* *. Click to display the Reactions List dialog box, then click Import Library Data and select the appropriate reaction to import. 3. Click OK. Note: Some physics validation messages appear after this reaction is selected. In this situation, the messages can be safely ignored as the physics will be corrected once the domains and boundary conditions are modified. Modifying the Domain 1. Double-click the Default Domain. 2. Apply the following settings Tab Setting Value Fluid Models Reaction or Combustion > Option PDF Flamelet Thermal Radiation Model > Option Discrete Transfer Component Details N2 Component Details > N2 > Option Constraint Component Details NO Component Details > NO > Option Transport Equation Component Details (All other components)* Component Details > (All other components) Automatic > Option *. Select these one at a time and check each of them. 3. Click OK. Modifying the Boundary Conditions Fuel Inlet 1. Modify the boundary condition named fuelin. Boundary 2. Apply the following settings Page 312 ANSYS CFX Tutorials. ANSYS CFX Release 11.0. © 1996-2006 ANSYS Europe, Ltd. All rights reserved. Contains proprietary and confidential information of ANSYS, Inc. and its subsidiaries and affiliates.
  • 325.
    Tutorial 18: Combustionand Radiation in a Can Combustor: Laminar Flamelet and Discrete Transfer Models Tab Setting Value Boundary Details Mixture > Option Fuel Component Details NO Component Details > NO > Option Mass Fraction Component Details > NO > Mass Fraction 0 3. Click OK. Bottom Air Inlet 1. Modify the boundary condition named airin. Boundary 2. Apply the following settings Tab Setting Value Boundary Details Mixture > Option Oxidiser Component Details NO Component Details > NO > Option Mass Fraction Component Details > NO > Mass Fraction 0 3. Click OK. Side Air Inlet 1. Modify the boundary condition named secairin. Boundary 2. Apply the following settings Tab Setting Value Boundary Details Mixture > Option Oxidiser Component Details NO Component Details > NO > Option Mass Fraction Component Details > NO > Mass Fraction 0 3. Click OK. Setting Initial Values 1. Click Global Initialization . 2. Apply the following settings Tab Setting Value Global Initial Conditions > Component Details NO Settings Initial Conditions > Component Details > NO > Option Automatic with Value Initial Conditions > Component Details > NO > Mass 0 Fraction 3. Click OK. ANSYS CFX Tutorials. ANSYS CFX Release 11.0. © 1996-2006 ANSYS Europe, Ltd. All rights reserved. Page 313 Contains proprietary and confidential information of ANSYS, Inc. and its subsidiaries and affiliates.
  • 326.
    Tutorial 18: Combustionand Radiation in a Can Combustor: Laminar Flamelet and Discrete Transfer Models Setting Solver Control To reduce the amount of CPU time required for solving the radiation equations, you can select to solve them only every 10 iterations. 1. Click Solver Control . 2. Apply the following settings Tab Setting Value Advanced Dynamic Model Control > Global Dynamic Model Control (Selected) Options Thermal Radiation Control (Selected) Thermal Radiation Control > Iteration Interval (Selected) Thermal Radiation Control > Iteration Interval > Iteration 10 Interval 3. Click OK. Writing the Solver (.def) File 1. Click Write Solver File . 2. Apply the following settings: Setting Value File name CombustorFlamelet.def Quit CFX–Pre* (Selected) *. If using ANSYS CFX-Pre in Standalone Mode. 3. Ensure Start Solver Manager is selected and click Save. 4. If using Standalone Mode, quit ANSYS CFX-Pre, saving the simulation (.cfx) file at your discretion. Obtaining a Solution When ANSYS CFX-Pre has shut down and the ANSYS CFX-Solver Manager has started, obtain a solution to the CFD problem by following the instructions below. 1. Ensure Define Run is displayed. Definition File should be set to CombustorFlamelet.def. 2. Click Start Run. ANSYS CFX-Solver runs and attempts to obtain a solution. This can take a long time depending on your system. Eventually a dialog box is displayed. 3. Click Yes to post-process the results. 4. If using Standalone Mode, quit ANSYS CFX-Solver Manager. Page 314 ANSYS CFX Tutorials. ANSYS CFX Release 11.0. © 1996-2006 ANSYS Europe, Ltd. All rights reserved. Contains proprietary and confidential information of ANSYS, Inc. and its subsidiaries and affiliates.
  • 327.
    Tutorial 18: Combustionand Radiation in a Can Combustor: Laminar Flamelet and Discrete Transfer Models Viewing the Results Viewing 1. Create a new plane named Plane 1. Temperature within the Note: If ANSYS CFX-Post was not closed since CombustorEDM.def was processed, all Domain meshes and locators from that session will be retained and updated when the CombustorFlamelet.def is opened. In this way Plane 1 does not need to be remade. 2. Apply the following settings Tab Setting Value Geometry Definition > Method ZX Plane Definition > Y 0 Color Mode Variable Mode > Variable Temperature 3. Click Apply. Viewing the NO 1. Modify the plane named Plane 1. concentration in 2. Apply the following settings the Combustor Tab Setting Value Color Mode > Variable NO.Mass Fraction 3. Click Apply. Calculating NO The next calculation shows the amount of NO at the outlet. Concentration 1. Select Tools > Function Calculator or click the Tools tab and select Function Calculator. 2. Apply the following settings Tab Setting Value Function Function massFlowAve Calculator Location out Variable NO.Mass Fraction 3. Click Calculate. Viewing CO The next plot will show the concentration of CO (carbon monoxide), which is a by-product Concentration of incomplete combustion and is poisonous in significant concentrations. As you will see, the highest values are very close to the fuel inlet and in the regions of highest temperature. 1. Modify the plane named Plane 1. 2. Apply the following settings ANSYS CFX Tutorials. ANSYS CFX Release 11.0. © 1996-2006 ANSYS Europe, Ltd. All rights reserved. Page 315 Contains proprietary and confidential information of ANSYS, Inc. and its subsidiaries and affiliates.
  • 328.
    Tutorial 18: Combustionand Radiation in a Can Combustor: Further Postprocessing Tab Setting Value Color Mode > Variable CO.Mass Fraction Range Local 3. Click Apply. Calculating CO In the next step, you will calculate the mass fraction of CO in the outlet stream. Mass Fraction at 1. Select Tools > Function Calculator or click the Tools tab and select Function the Outlet Calculator. 2. Apply the following settings Tab Setting Value Function Function massFlowAve Calculator Location out Variable CO.Mass Fraction 3. Click Calculate. There is approximately 0.4% CO by mass in the outlet stream. Further Postprocessing 1. Try putting some plots of your choice into the Viewer. You can plot the concentration of other species and compare values to those found for the Eddy Dissipation model. 2. Examine the distribution of Incident Radiation and Radiation Intensity throughout the domain. 3. Load one combustion model, then load the other using the Add to current results option in the Load Results File dialog box. You can compare both models in the viewer at once, in terms of mass fractions of various materials, as well as total temperature and other relevant measurements. Page 316 ANSYS CFX Tutorials. ANSYS CFX Release 11.0. © 1996-2006 ANSYS Europe, Ltd. All rights reserved. Contains proprietary and confidential information of ANSYS, Inc. and its subsidiaries and affiliates.
  • 329.
    Tutorial 19: Cavitation Arounda Hydrofoil Introduction This tutorial includes: • Tutorial 19 Features (p. 318) • Overview of the Problem to Solve (p. 319) • Creating an Initial Simulation (p. 319) • Obtaining an Initial Solution using ANSYS CFX-Solver Manager (p. 323) • Viewing the Results of the Initial Simulation (p. 324) • Preparing a Simulation with Cavitation (p. 326) • Obtaining a Cavitation Solution using ANSYS CFX-Solver Manager (p. 328) • Viewing the Results of the Cavitation Simulation (p. 328) If this is the first tutorial you are working with it is important to review the following topics before beginning: • Setting the Working Directory (p. 1) • Changing the Display Colors (p. 2) Unless you plan on running a session file, you should copy the sample files used in this tutorial from the installation folder for your software (<CFXROOT>/examples/) to your working directory. This prevents you from overwriting source files provided with your installation. If you plan to use a session file, please refer to Playing a Session File (p. 319). Sample files referenced by this tutorial include: • HydrofoilExperimentalCp.csv • HydrofoilGrid.def • HydrofoilIni.pre • Hydrofoil.pre • HydrofoilIni_001.res ANSYS CFX Tutorials Page 317 ANSYS CFX Release 11.0. © 1996-2006 ANSYS Europe, Ltd. All rights reserved. Contains proprietary and confidential information of ANSYS, Inc. and its subsidiaries and affiliates.
  • 330.
    Tutorial 19: CavitationAround a Hydrofoil: Tutorial 19 Features Tutorial 19 Features This tutorial addresses the following features of ANSYS CFX. Component Feature Details ANSYS CFX-Pre User Mode General Mode Simulation Type Steady State Fluid Type General Fluid Domain Type Single Domain Turbulence Model k-Epsilon Heat Transfer Isothermal Multiphase Boundary Conditions Inlet (Subsonic) Outlet (Subsonic) Symmetry Plane Wall: No-Slip Wall: Free-Slip Timestep Physical Time Scale ANSYS CFX-Solver Manager Restart ANSYS CFX-Post Plots Contour Line Locator Polyline Slice Plane Streamline Vector Other Chart Creation Data Export Printing Title/Text Variable Details View In this tutorial you will learn about: • Modeling flow with cavitation. • Using vector reduction in ANSYS CFX-Post to clarify a vector plot with many arrows. • Importing and exporting data along a polyline. • Plotting computed and experimental results. Page 318 ANSYS CFX Tutorials. ANSYS CFX Release 11.0. © 1996-2006 ANSYS Europe, Ltd. All rights reserved. Contains proprietary and confidential information of ANSYS, Inc. and its subsidiaries and affiliates.
  • 331.
    Tutorial 19: CavitationAround a Hydrofoil: Overview of the Problem to Solve Overview of the Problem to Solve This example demonstrates cavitation in the flow of water around a hydrofoil. A two-dimensional solution is obtained by modeling a thin slice of the hydrofoil and using two symmetry boundary conditions. cavitation zone 16.91 m s^-1 In this tutorial, an initial solution with no cavitation is generated to provide an accurate initial guess for a full cavitation solution, which is generated afterwards. Creating an Initial Simulation This section describes the step-by-step definition of the flow physics in ANSYS CFX-Pre. Playing a Session File If you wish to skip past these instructions, and have ANSYS CFX-Pre set up the simulation automatically, you can select Session > Play Tutorial from the menu in ANSYS CFX-Pre, then run the session file: HydrofoilIni.pre. After you have played the session file as described in earlier tutorials under Playing the Session File and Starting ANSYS CFX-Solver Manager (p. 87), proceed to Obtaining an Initial Solution using ANSYS CFX-Solver Manager (p. 323). Defining the Simulation 1. Start ANSYS CFX-Pre. 2. Select File > New Simulation. 3. Select General and click OK. 4. Select File > Save Simulation As. 5. Under File name, type HydrofoilIni. 6. Click Save. Importing the Mesh 1. Right-click Mesh and select Import Mesh. The Import Mesh dialog box appears. 2. Apply the following settings ANSYS CFX Tutorials. ANSYS CFX Release 11.0. © 1996-2006 ANSYS Europe, Ltd. All rights reserved. Page 319 Contains proprietary and confidential information of ANSYS, Inc. and its subsidiaries and affiliates.
  • 332.
    Tutorial 19: CavitationAround a Hydrofoil: Creating an Initial Simulation Setting Value File type CFX-Solver (*.def, *.ref, *.trn, *.bak) File name HydrofoilGrid.def 3. Click Open. 4. Right-click a blank area in the viewer and select Predefined Camera > View Towards -Z. Loading Materials Since this tutorial uses Water Vapour at 25 C and Water at 25 C you need to load these materials. 1. In the Outline tree view, right-click Materials and select Import Library Data. The Select Library Data to Import dialog box is displayed. 2. Expand Water Data. 3. Select both Water Vapour at 25 C and Water at 25 C by holding <Crtl> when selecting. 4. Click OK. Creating the Domain The fluid domain used for this simulation contains liquid water and water vapour. The volume fractions are initially set so that the domain is filled entirely with liquid. 1. Right click Simulation in the Outline tree view and ensure that Automatic Default Domain is selected. A domain named Default Domain should now appear under the Simulation branch. 2. Double click Default Domain and apply the following settings Tab Setting Value General Basic Settings > Fluids List * Water at 25 C, Water Options Vapour at 25 C Domain Models > Pressure > Reference Pressure 0 [atm] Fluid Models Multiphase Options > Homogeneous Model (Selected) Heat Transfer > Option Isothermal Heat Transfer > Fluid Temperature 300 [K] Turbulence > Option k-Epsilon *. These two fluids have consistent reference enthalpies. 3. Click OK. Creating the Boundary Conditions The simulation requires inlet, outlet, wall and symmetry plane boundary conditions. The regions for these boundary conditions were imported with the grid file. Page 320 ANSYS CFX Tutorials. ANSYS CFX Release 11.0. © 1996-2006 ANSYS Europe, Ltd. All rights reserved. Contains proprietary and confidential information of ANSYS, Inc. and its subsidiaries and affiliates.
  • 333.
    Tutorial 19: CavitationAround a Hydrofoil: Creating an Initial Simulation Inlet Boundary 1. Create a new boundary condition named Inlet. 2. Apply the following settings Tab Setting Value Basic Settings Boundary Type Inlet Location IN Boundary Details Mass and Momentum > Normal Speed 16.91 [m s^-1] Turbulence > Option Intensity and Length Scale Turbulence > Value 0.03 Turbulence > Eddy Len. Scale 0.0076 [m] Fluid Values Boundary Conditions Water at 25 C Boundary Conditions > Water at 25 C> 1 Volume Fraction > Volume Fraction Boundary Conditions Water Vapour at 25 C Boundary Conditions > Water Vapour at 25 C > 0 Volume Fraction > Volume Fraction 3. Click OK. Outlet 1. Create a new boundary condition named Outlet. Boundary 2. Apply the following settings Tab Setting Value Basic Settings Boundary Type Outlet Location OUT Boundary Details Mass and Momentum > Option Static Pressure Mass and Momentum > Relative Pressure 51957 [Pa] 3. Click OK. Free Slip Wall 1. Create a new boundary condition named SlipWalls. Boundary 2. Apply the following settings Tab Setting Value Basic Settings Boundary Type Wall Location BOT, TOP Boundary Details Wall Influence on Flow > Option Free Slip 3. Click OK. Symmetry Plane 1. Create a new boundary condition named Sym1. Boundaries 2. Apply the following settings ANSYS CFX Tutorials. ANSYS CFX Release 11.0. © 1996-2006 ANSYS Europe, Ltd. All rights reserved. Page 321 Contains proprietary and confidential information of ANSYS, Inc. and its subsidiaries and affiliates.
  • 334.
    Tutorial 19: CavitationAround a Hydrofoil: Creating an Initial Simulation Tab Setting Value Basic Settings Boundary Type Symmetry Location SYM1 3. Click OK. 1. Create a new boundary condition named Sym2. 2. Apply the following settings Tab Setting Value Basic Settings Boundary Type Symmetry Location SYM2 3. Click OK. Setting Initial Values 1. Click Global Initialization . 2. Apply the following settings Tab Setting Value Global Initial Conditions > Cartesian Velocity Components > Automatic with Value Settings Option Initial Conditions > Cartesian Velocity Components > U 16.91 [m s^-1] Initial Conditions > Cartesian Velocity Components > V 0 [m s^-1] Initial Conditions > Cartesian Velocity Components > W 0 [m s^-1] Initial Conditions > Turbulence Eddy Dissipation (Selected) Fluid Fluid Specific Initialization Water Settings at 25 C Fluid Specific Initialization > Water at 25 C (Selected) Fluid Specific Initialization > Water at 25 C > Initial Automatic with Value Conditions > Volume Fraction > Option Fluid Specific Initialization > Water at 25 C > Initial 1 Conditions > Volume Fraction > Volume Fraction Fluid Specific Initialization Water Vapour at 25 C Fluid Specific Initialization > Water Vapour at 25 C (Selected) Fluid Specific Initialization > Water Vapour at 25 C > Initial Automatic with Value Conditions > Volume Fraction > Option Fluid Specific Initialization > Water Vapour at 25 C > Initial 0 Conditions > Volume Fraction > Volume Fraction 3. Click OK. Page 322 ANSYS CFX Tutorials. ANSYS CFX Release 11.0. © 1996-2006 ANSYS Europe, Ltd. All rights reserved. Contains proprietary and confidential information of ANSYS, Inc. and its subsidiaries and affiliates.
  • 335.
    Tutorial 19: CavitationAround a Hydrofoil: Obtaining an Initial Solution using ANSYS CFX-Solver Manager Setting Solver Control 1. Click Solver Control . 2. Apply the following settings Tab Setting Value Basic Settings Convergence Control > Max. Iterations 35 Convergence Control > Fluid Timescale Physical Timescale Control > Timescale Control Convergence Control > Fluid Timescale 0.01 [s] Control > Physical Timescale Note: For the Convergence Criteria, an RMS value of at least 1e-05 is usually required for adequate convergence, but the default value is sufficient for demonstration purposes. 3. Click OK. Writing the Solver (.def) File 1. Click Write Solver File . 2. Apply the following settings Setting Value File name HydrofoilIni.def Quit CFX–Pre * (Selected) *. If using ANSYS CFX-Pre in Standalone Mode. 3. Ensure Start Solver Manager is selected and click Save. 4. Quit ANSYS CFX-Pre, saving the simulation (.cfx) file at your discretion. Obtaining an Initial Solution using ANSYS CFX-Solver Manager While the calculations proceed, you can see residual output for various equations in both the text area and the plot area. Use the tabs to switch between different plots (e.g., Momentum and Mass, Turbulence Quantities, etc.) in the plot area. You can view residual plots for the fluid and solid domains separately by editing the workspace properties. 1. Ensure that the Define Run dialog box is displayed. 2. Click Start Run. ANSYS CFX-Solver runs and attempts to obtain a solution. This can take a long time depending on your system. Eventually a dialog box is displayed. 3. Click Yes to post-process the results. 4. If using Standalone Mode, quit ANSYS CFX-Solver Manager. ANSYS CFX Tutorials. ANSYS CFX Release 11.0. © 1996-2006 ANSYS Europe, Ltd. All rights reserved. Page 323 Contains proprietary and confidential information of ANSYS, Inc. and its subsidiaries and affiliates.
  • 336.
    Tutorial 19: CavitationAround a Hydrofoil: Viewing the Results of the Initial Simulation Viewing the Results of the Initial Simulation The following topics will be discussed: • Plotting Pressure Distribution Data (p. 324) • Exporting Pressure Distribution Data (p. 325) • Saving the Post-Processing State (p. 326) Plotting Pressure Distribution Data In this section, you will create a plot of the pressure coefficient distribution around the hydrofoil. The data will then be exported to a file for later comparison with data from the cavitating flow case, which will be run later in this tutorial. 1. Right-click a blank area in the viewer and select Predefined Camera > View Towards -Z. 2. Insert a new plane named Slice. 3. Apply the following settings Tab Setting Value Geometry Definition > Method XY Plane Definition > Z 5e-5 [m] Render Draw Faces (Cleared) 4. Click Apply. 5. Create a new polyline named Foil by selecting Insert > Location > Polyline from the main menu. 6. Apply the following settings Tab Setting Value Geometry Method Boundary Intersection Boundary List Default Domain Default Intersect With Slice 7. Click Apply. Zoom in on the center of the hydrofoil (near the cavity) to confirm the polyline wraps around the hydrofoil. 8. Create a new variable named Pressure Coefficient. 9. Apply the following settings Setting Value Expression (Pressure-51957[Pa])/(0.5*996.2[kg m^-3]*16.91[m s^-1]^2) 10. Click Apply. 11. Create a new variable named Chord. 12. Apply the following settings Page 324 ANSYS CFX Tutorials. ANSYS CFX Release 11.0. © 1996-2006 ANSYS Europe, Ltd. All rights reserved. Contains proprietary and confidential information of ANSYS, Inc. and its subsidiaries and affiliates.
  • 337.
    Tutorial 19: CavitationAround a Hydrofoil: Viewing the Results of the Initial Simulation Setting Value Expression (X-minVal(X)@Foil)/(maxVal(X)@Foil-minVal(X)@Foil) This creates a normalized chord, measured in the X direction, ranging from 0 at the leading edge to 1 at the trailing edge of the hydrofoil. 13. Click Apply. Note: Although the variables that were just created are only needed at points along the polyline, they exist throughout the domain. Now that the variables Chord and Pressure Coefficient exist, they can be associated with the previously defined polyline (the locator) to form a chart line. This chart line will be added to the chart object, which is created next. 1. Select Insert > Chart from the main menu. 2. Set the name to Pressure Coefficient Distribution. 3. Apply the following settings Tab Setting Value Chart Title Pressure Coefficient Distribution Labels > Use Data For Axis Label (Cleared) Labels > X Axis Normalized Chord Position Labels > Y Axis Pressure Coefficient Chart Line 1 Line Name Solver Cp Location Foil X Axis > Variable Chord Y Axis > Variable Pressure Coefficient Axes X Axis > Determine Ranges Automatically (Cleared) X Axis > Min 0 X Axis > Max 1 Y Axis > Determine Ranges Automatically (Cleared) Y Axis > Min -0.5 Y Axis > Max 0.4 Y Axis > Invert Axis (Selected) 4. Click Apply. 5. The chart appears on the Chart Viewer tab. Exporting Pressure Distribution Data You will now export the chord and pressure coefficient data along the polyline. This data will be imported and used in a chart later in this tutorial for comparison with the results for when cavitation is present. 1. Select File > Export. The Export dialog box appears 2. Apply the following settings ANSYS CFX Tutorials. ANSY