KEMBAR78
heap sort in the design anad analysis of algorithms | PPT
HEAP SORT
HEAP
A heap is a data structure that stores a
collection of objects (with keys), and has the
following properties:
 Complete Binary tree
 Heap Order
It is implemented as an array where each
node in the tree corresponds to an element
of the array.
HEAP
 The binary heap data structures is an array that can
be viewed as a complete binary tree. Each node of
the binary tree corresponds to an element of the
array. The array is completely filled on all levels
except possibly lowest.
19
12 16
4
1 7
16
19 1 4
12 7
Array A
HEAP
 The root of the tree A[1] and given index i of a
node, the indices of its parent, left child and right
child can be computed
PARENT (i)
return floor(i/2)
LEFT (i)
return 2i
RIGHT (i)
return 2i + 1
HEAP ORDER PROPERTY
 For every node v, other than the root, the key
stored in v is greater or equal (smaller or equal for
max heap) than the key stored in the parent of v.
 In this case the maximum value is stored in the root
DEFINITION
 Max Heap
 Store data in ascending order
 Has property of
A[Parent(i)] ≥ A[i]
 Min Heap
 Store data in descending order
 Has property of
A[Parent(i)] ≤ A[i]
MAX HEAP EXAMPLE
16
19 1 4
12 7
Array A
19
12 16
4
1 7
MIN HEAP EXAMPLE
12
7 19
16
4
1
Array A
1
4 16
12
7 19
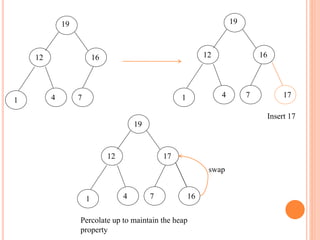
INSERTION
 Algorithm
1. Add the new element to the next available position at the
lowest level
2. Restore the max-heap property if violated
 General strategy is percolate up (or bubble up): if the
parent of the element is smaller than the element, then
interchange the parent and child.
OR
Restore the min-heap property if violated
 General strategy is percolate up (or bubble up): if the
parent of the element is larger than the element, then
interchange the parent and child.
19
12 16
4
1 7
19
12 16
4
1 7 17
19
12 17
4
1 7 16
Insert 17
swap
Percolate up to maintain the heap
property
DELETION
 Delete max
 Copy the last number to the root ( overwrite the
maximum element stored there ).
 Restore the max heap property by percolate down.
 Delete min
 Copy the last number to the root ( overwrite the
minimum element stored there ).
 Restore the min heap property by percolate down.
HEAP SORT
A sorting algorithm that works by first organizing the
data to be sorted into a special type of binary tree called
a heap
PROCEDURES ON HEAP
 Heapify
 Build Heap
 Heap Sort
HEAPIFY
 Heapify picks the largest child key and compare it to the
parent key. If parent key is larger than heapify quits, otherwise
it swaps the parent key with the largest child key. So that the
parent is now becomes larger than its children.
Heapify(A, i)
{
l  left(i)
r  right(i)
if l <= heapsize[A] and A[l] > A[i]
then largest l
else largest  i
if r <= heapsize[A] and A[r] > A[largest]
then largest  r
if largest != i
then swap A[i]  A[largest]
Heapify(A, largest)
}
BUILD HEAP
 We can use the procedure 'Heapify' in a bottom-up fashion to
convert an array A[1 . . n] into a heap. Since the elements in
the subarray A[n/2 +1 . . n] are all leaves, the procedure
BUILD_HEAP goes through the remaining nodes of the tree
and runs 'Heapify' on each one. The bottom-up order of
processing node guarantees that the subtree rooted at
children are heap before 'Heapify' is run at their parent.
Buildheap(A)
{
heapsize[A] length[A]
for i |length[A]/2 //down to 1
do Heapify(A, i)
}
HEAP SORT ALGORITHM
 The heap sort algorithm starts by using procedure BUILD-
HEAP to build a heap on the input array A[1 . . n]. Since the
maximum element of the array stored at the root A[1], it can
be put into its correct final position by exchanging it with A[n]
(the last element in A). If we now discard node n from the
heap than the remaining elements can be made into heap.
Note that the new element at the root may violate the heap
property. All that is needed to restore the heap property.
Heapsort(A)
{
Buildheap(A)
for i  length[A] //down to 2
do swap A[1]  A[i]
heapsize[A]  heapsize[A] - 1
Heapify(A, 1)
}
Example: Convert the following array to a heap
16 4 7 1 12 19
Picture the array as a complete binary tree:
16
4 7
12
1 19
16
4 7
12
1 19
16
4 19
12
1 7
16
12 19
4
1 7
19
12 16
4
1 7
swap
swap
swap
HEAP SORT
 The heapsort algorithm consists of two phases:
- build a heap from an arbitrary array
- use the heap to sort the data
 To sort the elements in the decreasing order, use a min heap
 To sort the elements in the increasing order, use a max heap
19
12 16
4
1 7
EXAMPLE OF HEAP SORT
19
12 16
4
1 7
19
12 16 1 4 7
Array A
Sorted:
Take out biggest
Move the last element
to the root
12 16
4
1
7
19
12 16 1 4
7
Array A
Sorted:
HEAPIFY()
swap
12
16
4
1
7
19
12
16 1 4
7
Array A
Sorted:
12
16
4
1
7
19
12 16
1 4
7
Array A
Sorted:
Take out biggest
Move the last element
to the root
12
4
1
7
19
12 16
1
4 7
Array A
Sorted:
12
4
1
7
19
12 16
1
4 7
Array A
Sorted:
HEAPIFY()
swap
12
4
1
7
19
12 16
1
4 7
Array A
Sorted:
12
4
1
7
19
12 16
1
4 7
Array A
Sorted:
Take out biggest
Move the last
element to the
root
4
1
7
19
12 16
1 4 7
Array A
Sorted:
swap
4 1
7
19
12 16
1
4
7
Array A
Sorted:
4 1
7
19
12 16
1 4 7
Array A
Sorted:
Move the last
element to the
root
Take out biggest
4
1
19
12 16
1
4 7
Array A
Sorted:
HEAPIFY()
swap
4
1
19
12 16
1 4 7
Array A
Sorted:
Move the last
element to the
root
Take out biggest
1
19
12 16
1 4 7
Array A
Sorted:
Take out biggest
19
12 16
1 4 7
Sorted:
TIME ANALYSIS
 Build Heap Algorithm will run in O(n) time
 There are n-1 calls to Heapify each call requires
O(log n) time
 Heap sort program combine Build Heap program
and Heapify, therefore it has the running time of O(n
log n) time
 Total time complexity: O(n log n)
TIME COMPLEXITY OF MAX HEAPIFY
 Maximum number of nodes of Height h is
COMPARISON WITH QUICK SORT AND MERGE
SORT
 Quick sort is typically somewhat faster, due to better cache
behavior and other factors, but the worst-case running time for
quick sort is O (n2), which is unacceptable for large data sets
and can be deliberately triggered given enough knowledge of
the implementation, creating a security risk.
 The quick sort algorithm also requires Ω (log n) extra storage
space, making it not a strictly in-place algorithm. This typically
does not pose a problem except on the smallest embedded
systems, or on systems where memory allocation is highly
restricted. Constant space (in-place) variants of quick sort are
possible to construct, but are rarely used in practice due to
their extra complexity.
COMPARISON WITH QUICK SORT AND MERGE
SORT (CONT)
 Thus, because of the O(n log n) upper bound on heap sort’s
running time and constant upper bound on its auxiliary
storage, embedded systems with real-time constraints or
systems concerned with security often use heap sort.
 Heap sort also competes with merge sort, which has the same
time bounds, but requires Ω(n) auxiliary space, whereas heap
sort requires only a constant amount. Heap sort also typically
runs more quickly in practice. However, merge sort is simpler
to understand than heap sort, is a stable sort, parallelizes
better, and can be easily adapted to operate on linked lists
and very large lists stored on slow-to-access media such as
disk storage or network attached storage. Heap sort shares
none of these benefits; in particular, it relies strongly on
random access.
CONCLUSION
 The primary advantage of the heap sort is its
efficiency. The execution time efficiency of the heap
sort is O(n log n). The memory efficiency of the
heap sort, unlike the other n log n sorts, is constant,
O(1), because the heap sort algorithm is not
recursive.
 The heap sort algorithm has two major steps. The
first major step involves transforming the complete
tree into a heap. The second major step is to
perform the actual sort by extracting the largest
element from the root and transforming the
remaining tree into a heap.

heap sort in the design anad analysis of algorithms

  • 1.
  • 2.
    HEAP A heap isa data structure that stores a collection of objects (with keys), and has the following properties:  Complete Binary tree  Heap Order It is implemented as an array where each node in the tree corresponds to an element of the array.
  • 3.
    HEAP  The binaryheap data structures is an array that can be viewed as a complete binary tree. Each node of the binary tree corresponds to an element of the array. The array is completely filled on all levels except possibly lowest. 19 12 16 4 1 7 16 19 1 4 12 7 Array A
  • 4.
    HEAP  The rootof the tree A[1] and given index i of a node, the indices of its parent, left child and right child can be computed PARENT (i) return floor(i/2) LEFT (i) return 2i RIGHT (i) return 2i + 1
  • 5.
    HEAP ORDER PROPERTY For every node v, other than the root, the key stored in v is greater or equal (smaller or equal for max heap) than the key stored in the parent of v.  In this case the maximum value is stored in the root
  • 6.
    DEFINITION  Max Heap Store data in ascending order  Has property of A[Parent(i)] ≥ A[i]  Min Heap  Store data in descending order  Has property of A[Parent(i)] ≤ A[i]
  • 7.
    MAX HEAP EXAMPLE 16 191 4 12 7 Array A 19 12 16 4 1 7
  • 8.
    MIN HEAP EXAMPLE 12 719 16 4 1 Array A 1 4 16 12 7 19
  • 9.
    INSERTION  Algorithm 1. Addthe new element to the next available position at the lowest level 2. Restore the max-heap property if violated  General strategy is percolate up (or bubble up): if the parent of the element is smaller than the element, then interchange the parent and child. OR Restore the min-heap property if violated  General strategy is percolate up (or bubble up): if the parent of the element is larger than the element, then interchange the parent and child.
  • 10.
    19 12 16 4 1 7 19 1216 4 1 7 17 19 12 17 4 1 7 16 Insert 17 swap Percolate up to maintain the heap property
  • 11.
    DELETION  Delete max Copy the last number to the root ( overwrite the maximum element stored there ).  Restore the max heap property by percolate down.  Delete min  Copy the last number to the root ( overwrite the minimum element stored there ).  Restore the min heap property by percolate down.
  • 12.
    HEAP SORT A sortingalgorithm that works by first organizing the data to be sorted into a special type of binary tree called a heap
  • 13.
    PROCEDURES ON HEAP Heapify  Build Heap  Heap Sort
  • 14.
    HEAPIFY  Heapify picksthe largest child key and compare it to the parent key. If parent key is larger than heapify quits, otherwise it swaps the parent key with the largest child key. So that the parent is now becomes larger than its children. Heapify(A, i) { l  left(i) r  right(i) if l <= heapsize[A] and A[l] > A[i] then largest l else largest  i if r <= heapsize[A] and A[r] > A[largest] then largest  r if largest != i then swap A[i]  A[largest] Heapify(A, largest) }
  • 15.
    BUILD HEAP  Wecan use the procedure 'Heapify' in a bottom-up fashion to convert an array A[1 . . n] into a heap. Since the elements in the subarray A[n/2 +1 . . n] are all leaves, the procedure BUILD_HEAP goes through the remaining nodes of the tree and runs 'Heapify' on each one. The bottom-up order of processing node guarantees that the subtree rooted at children are heap before 'Heapify' is run at their parent. Buildheap(A) { heapsize[A] length[A] for i |length[A]/2 //down to 1 do Heapify(A, i) }
  • 16.
    HEAP SORT ALGORITHM The heap sort algorithm starts by using procedure BUILD- HEAP to build a heap on the input array A[1 . . n]. Since the maximum element of the array stored at the root A[1], it can be put into its correct final position by exchanging it with A[n] (the last element in A). If we now discard node n from the heap than the remaining elements can be made into heap. Note that the new element at the root may violate the heap property. All that is needed to restore the heap property. Heapsort(A) { Buildheap(A) for i  length[A] //down to 2 do swap A[1]  A[i] heapsize[A]  heapsize[A] - 1 Heapify(A, 1) }
  • 17.
    Example: Convert thefollowing array to a heap 16 4 7 1 12 19 Picture the array as a complete binary tree: 16 4 7 12 1 19
  • 18.
    16 4 7 12 1 19 16 419 12 1 7 16 12 19 4 1 7 19 12 16 4 1 7 swap swap swap
  • 19.
    HEAP SORT  Theheapsort algorithm consists of two phases: - build a heap from an arbitrary array - use the heap to sort the data  To sort the elements in the decreasing order, use a min heap  To sort the elements in the increasing order, use a max heap 19 12 16 4 1 7
  • 20.
    EXAMPLE OF HEAPSORT 19 12 16 4 1 7 19 12 16 1 4 7 Array A Sorted: Take out biggest Move the last element to the root
  • 21.
    12 16 4 1 7 19 12 161 4 7 Array A Sorted: HEAPIFY() swap
  • 22.
  • 23.
    12 16 4 1 7 19 12 16 1 4 7 ArrayA Sorted: Take out biggest Move the last element to the root
  • 24.
  • 25.
    12 4 1 7 19 12 16 1 4 7 ArrayA Sorted: HEAPIFY() swap
  • 26.
  • 27.
    12 4 1 7 19 12 16 1 4 7 ArrayA Sorted: Take out biggest Move the last element to the root
  • 28.
    4 1 7 19 12 16 1 47 Array A Sorted: swap
  • 29.
  • 30.
    4 1 7 19 12 16 14 7 Array A Sorted: Move the last element to the root Take out biggest
  • 31.
    4 1 19 12 16 1 4 7 ArrayA Sorted: HEAPIFY() swap
  • 32.
    4 1 19 12 16 1 47 Array A Sorted: Move the last element to the root Take out biggest
  • 33.
    1 19 12 16 1 47 Array A Sorted: Take out biggest
  • 34.
    19 12 16 1 47 Sorted:
  • 35.
    TIME ANALYSIS  BuildHeap Algorithm will run in O(n) time  There are n-1 calls to Heapify each call requires O(log n) time  Heap sort program combine Build Heap program and Heapify, therefore it has the running time of O(n log n) time  Total time complexity: O(n log n)
  • 36.
    TIME COMPLEXITY OFMAX HEAPIFY  Maximum number of nodes of Height h is
  • 37.
    COMPARISON WITH QUICKSORT AND MERGE SORT  Quick sort is typically somewhat faster, due to better cache behavior and other factors, but the worst-case running time for quick sort is O (n2), which is unacceptable for large data sets and can be deliberately triggered given enough knowledge of the implementation, creating a security risk.  The quick sort algorithm also requires Ω (log n) extra storage space, making it not a strictly in-place algorithm. This typically does not pose a problem except on the smallest embedded systems, or on systems where memory allocation is highly restricted. Constant space (in-place) variants of quick sort are possible to construct, but are rarely used in practice due to their extra complexity.
  • 38.
    COMPARISON WITH QUICKSORT AND MERGE SORT (CONT)  Thus, because of the O(n log n) upper bound on heap sort’s running time and constant upper bound on its auxiliary storage, embedded systems with real-time constraints or systems concerned with security often use heap sort.  Heap sort also competes with merge sort, which has the same time bounds, but requires Ω(n) auxiliary space, whereas heap sort requires only a constant amount. Heap sort also typically runs more quickly in practice. However, merge sort is simpler to understand than heap sort, is a stable sort, parallelizes better, and can be easily adapted to operate on linked lists and very large lists stored on slow-to-access media such as disk storage or network attached storage. Heap sort shares none of these benefits; in particular, it relies strongly on random access.
  • 39.
    CONCLUSION  The primaryadvantage of the heap sort is its efficiency. The execution time efficiency of the heap sort is O(n log n). The memory efficiency of the heap sort, unlike the other n log n sorts, is constant, O(1), because the heap sort algorithm is not recursive.  The heap sort algorithm has two major steps. The first major step involves transforming the complete tree into a heap. The second major step is to perform the actual sort by extracting the largest element from the root and transforming the remaining tree into a heap.