KEMBAR78
HSI MODEL IN COLOR IMAGE PROCESSING | PPTX
HSI COLOR MODEL
-ANAM SINGLA
BASIC CONCEPT OF LIGHT SOURCE
• The characteristics generally used to distinguish
one color from another are brightness, hue, and
saturation.
• Hue is an attribute associated with the dominant
wavelength in a mixture of light waves.
• Hue represent dominant color as perceived by an
observer.
• Saturation refers to the relatives purity or the
amount of white light mixed with a hue. The pure
spectrum color are fully saturation.
WHY WE HAVE NEED OF HSI MODEL?
• RGB AND CMY model are suitable for hardware
implementation.
• These model are easily perceptive to human eye.
• But they are suitable for describing color in terms
that are practical for human interpretation.
• Example- one doesn’t refer to the color of an
object by giving the percentage of each of the
primaries composing its color.
• We describe it by hue, saturation and its
brightness
Basic of HSI MODEL
• The HSI (hue, saturation, intensity) color model,
decouples the intensity component from the
color-carrying information(hue and saturation) in
a color image.
• The HSI model is an ideal tool for developing
image processing algorithms based on color
descriptions that are natural and intuitive to
humans.
The HSI model uses three measures to
describe colors:
• Hue: A color attribute that describes a pure color
(pure yellow, orange or red)
• Saturation: Gives a measure of how much a pure
color is diluted with white light
• Intensity: Brightness is nearly impossible to
measure because it is so subjective. Instead we
use intensity. Intensity is the same achromatic
notion that we have seen in grey level images
Relationship between the RGB and
HSI color models
• Now the intensity component
of any color can be
determined by passing a
plane perpendicular to the
intensity axis and containing
the color point
• The intersection of the plane
with the intensity axis gives
.us the intensity component
of the color.
• In a similar way we can
extract the hue from the
RGB color cube
• Consider a plane defined by
the three points cyan, black
and white
• All points contained in this
plane must have the same
hue (cyan) as black and
white cannot contribute hue
information to a color
Hue and Saturation in the HSI color model
• Consider if we look straight down at
the RGB cube as it was arranged
previously
• We would see a hexagonal shape
with each primary color separated by
120° and secondary colors at 60° from
the primaries
• So the HSI model is composed of a
vertical intensity axis and the locus of
color points that lie on planes
perpendicular to that axis
• To the right we see a hexagonal
shape and an arbitrary color point
• The hue is determined by an
angle from a reference point,
usually red
• The saturation is the distance
from the origin to the point
• The intensity is determined by
how far up the vertical intensity
axis this hexagonal plane sits (not
apparent from this diagram.
• The only important things are the angle and the length of
the saturation vector this plane is also often represented
as a circle or a triangle
• The angle from the red axis gives the hue, and the length
of the vector is the saturation.
• The intensity of all colors in any of these planes is given
by the position of the plane on the vertical intensity axis.
HSI Model Example
Converting from RGB to HSI
• Given a color as R, G, and B its H, S, and I values are
calculated as follows:
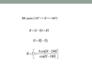
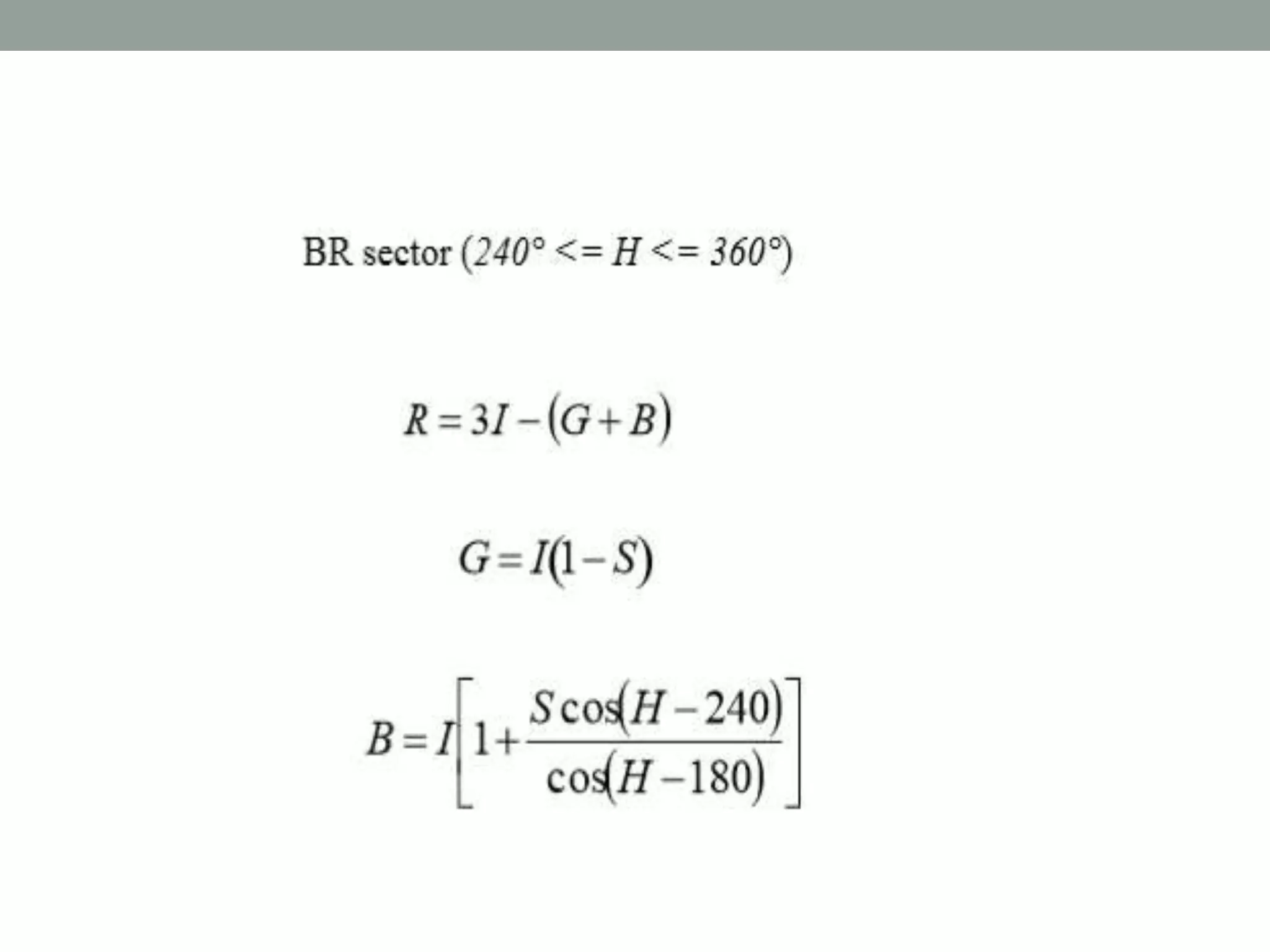
Converting from HSI to RGB
• Given a color as H, S, and I it’s R, G, and B values are
calculated as follows:
• RG sector (0 <= H < 120°)
HSI & RGB
• H, S, and I Components of RGB Color Cube.
Manipulating Images In The HSI Model
• In order to manipulate an image under the HIS model we:
• First convert it from RGB to HSI
• Perform our manipulations under HSI
• Finally convert the image back from HSI to RGB
THANKYOU…. ۩

HSI MODEL IN COLOR IMAGE PROCESSING

  • 1.
  • 2.
    BASIC CONCEPT OFLIGHT SOURCE • The characteristics generally used to distinguish one color from another are brightness, hue, and saturation. • Hue is an attribute associated with the dominant wavelength in a mixture of light waves. • Hue represent dominant color as perceived by an observer. • Saturation refers to the relatives purity or the amount of white light mixed with a hue. The pure spectrum color are fully saturation.
  • 3.
    WHY WE HAVENEED OF HSI MODEL? • RGB AND CMY model are suitable for hardware implementation. • These model are easily perceptive to human eye. • But they are suitable for describing color in terms that are practical for human interpretation. • Example- one doesn’t refer to the color of an object by giving the percentage of each of the primaries composing its color. • We describe it by hue, saturation and its brightness
  • 4.
    Basic of HSIMODEL • The HSI (hue, saturation, intensity) color model, decouples the intensity component from the color-carrying information(hue and saturation) in a color image. • The HSI model is an ideal tool for developing image processing algorithms based on color descriptions that are natural and intuitive to humans.
  • 5.
    The HSI modeluses three measures to describe colors: • Hue: A color attribute that describes a pure color (pure yellow, orange or red) • Saturation: Gives a measure of how much a pure color is diluted with white light • Intensity: Brightness is nearly impossible to measure because it is so subjective. Instead we use intensity. Intensity is the same achromatic notion that we have seen in grey level images
  • 6.
    Relationship between theRGB and HSI color models • Now the intensity component of any color can be determined by passing a plane perpendicular to the intensity axis and containing the color point • The intersection of the plane with the intensity axis gives .us the intensity component of the color.
  • 7.
    • In asimilar way we can extract the hue from the RGB color cube • Consider a plane defined by the three points cyan, black and white • All points contained in this plane must have the same hue (cyan) as black and white cannot contribute hue information to a color
  • 8.
    Hue and Saturationin the HSI color model • Consider if we look straight down at the RGB cube as it was arranged previously • We would see a hexagonal shape with each primary color separated by 120° and secondary colors at 60° from the primaries • So the HSI model is composed of a vertical intensity axis and the locus of color points that lie on planes perpendicular to that axis
  • 9.
    • To theright we see a hexagonal shape and an arbitrary color point • The hue is determined by an angle from a reference point, usually red • The saturation is the distance from the origin to the point • The intensity is determined by how far up the vertical intensity axis this hexagonal plane sits (not apparent from this diagram.
  • 10.
    • The onlyimportant things are the angle and the length of the saturation vector this plane is also often represented as a circle or a triangle • The angle from the red axis gives the hue, and the length of the vector is the saturation. • The intensity of all colors in any of these planes is given by the position of the plane on the vertical intensity axis.
  • 11.
  • 12.
    Converting from RGBto HSI • Given a color as R, G, and B its H, S, and I values are calculated as follows:
  • 13.
    Converting from HSIto RGB • Given a color as H, S, and I it’s R, G, and B values are calculated as follows: • RG sector (0 <= H < 120°)
  • 15.
    HSI & RGB •H, S, and I Components of RGB Color Cube.
  • 16.
    Manipulating Images InThe HSI Model • In order to manipulate an image under the HIS model we: • First convert it from RGB to HSI • Perform our manipulations under HSI • Finally convert the image back from HSI to RGB
  • 17.