KEMBAR78
introduction to programming using ANSI C | PDF
1
HISTORY OF C LANGUAGE
C is a general-purpose, procedural, imperative computer programming language
developed in 1972 by Dennis M. Ritchie at the Bell Telephone Laboratories to
develop the UNIX operating system C is a general-purpose, high-level
language that was originally developed by Dennis M. Ritchie to develop the
UNIX operating system at Bell Labs. C was originally first implemented on the
DEC PDP-11 computer in 1972.
In 1978, Brian Kernighan and Dennis Ritchie produced the first publicly available
description of C, now known as the K&R standard.
The UNIX operating system, the C compiler, and essentially all UNIX application
programs have been written in C. C has now become a widely used professional
language for various reasons:
 Easy to learn
 Structured language
 It produces efficient programs
 It can handle low-level activities
 It can be compiled on a variety of computer platforms
FactsaboutC
 C was invented to write an operating system called UNIX.
 C is a successor of B language which was introduced around the early
1970s.
 The language was formalized in 1988 by the American National Standard
Institute (ANSI).
 The UNIX OS was totally written in C.
 Today C is the most widely used and popular System Programming
Language.
 Most of the state-of-the-art software have been implemented using C.
 Today's most popular Linux OS and RDBMS MySQL have been written in
C.
WhyUseC?
C was initially used for system development work, particularly the programs that
make-up the operating system. C was adopted as a system development
language because it produces code that runs nearly as fast as the code written
in assembly language. Some examples of the use of C might be:
 Language Compilers
 Assemblers
 Text Editors
 Print Spoolers
 Network Drivers
 Modern Programs
 Databases
 Language Interpreters
 Utilities
 PROGRAM STRUCTUR
Before we study the basic building blocks of the C programming language, let us look
at a bare minimum C program structure
HelloWorldExample
A C program basically consists of the following parts:
 Preprocessor Commands
 Functions
 Variables
 Statements & Expressions
 Comments
Let us look at a simple code that would print the words "Hello World":
Let us take a look at the various parts of the above program:
1. The first line of the program #include <stdio.h> is a preprocessor
command, which tells a C compiler to include stdio.h file before going to
actual compilation.
2. The next line int main() is the main function where the program execution
#include <stdio.h>
int main()
{
/* my first program in C */
printf("Hello, World! n");
return 0;
}
begins.
3. The next line /*...*/ will be ignored by the compiler and it has been put to
add additional comments in the program. So such lines are called
comments in the program.
Identifiers
A C identifier is a name used to identify a variable, function, or any other user- defined item. An
identifier starts with a letter A to Z, a to z, or an underscore ‘_’ followed by zero or more letters,
underscores, and digits (0 to 9).
C does not allow punctuation characters such as @, $, and % within identifiers. C is a case-
sensitive programming language. Thus, MOHD and mohd are two different identifiers in C. Here are
some examples of acceptable identifiers:
mohd Aleena abc move_name a_123
myname50 _temp j a23b9 retVal
Keywords
The following list shows the reserved words in C. These reserved words may not be used as constants
or variables or any other identifier names.
Auto else long switch
Break enum register typedef
Case extern return union
Char float short unsigned
Const for signed void
Continue goto sizeof volatile
Default if static while
Do int struct _Packed
Double
DATA TYPES
Data types in C refer to an extensive system used for declaring variables or
functions of different types. The type of a variable determines how much space
it occupies in storage and how the bit pattern stored is interpreted.
The types in C can be classified as follows:
The array types and structure types are referred collectively as the aggregate
types. The type of a function specifies the type of the function's return value. We
will see the basic types in the following section, whereas other types will be
covered in the upcoming chapters.
IntegerTypes
The following table provides the details of standard integer types with their
storage sizes and value ranges:
S.N. Types and Description
1 Basic Types:
They are arithmetic types and are further classified into: (a) integer
types and (b) floating-point types.
2 Enumerated types:
They are again arithmetic types and they are used to define variables
that can only assign certain discrete integer values throughout the
program.
3 The type void:
The type specifier void indicates that no value is available.
4 Derived types:
They include (a) Pointer types, (b) Array types, (c) Structure types, (d)
Union types, and (e) Function types.
Type Storage
size
Value range
char 1 byte -128 to 127 or 0 to 255
unsigned
char
1 byte 0 to 255
signed char 1 byte -128 to 127
int 2 or 4 bytes -32,768 to 32,767 or -2,147,483,648
2,147,483,647
to
unsigned int 2 or 4 bytes 0 to 65,535 or 0 to 4,294,967,295
short 2 bytes -32,768 to 32,767
unsigned
short
2 bytes 0 to 65,535
long 4 bytes -2,147,483,648 to 2,147,483,647
unsigned
long
4 bytes 0 to 4,294,967,295
To get the exact size of a type or a variable on a particular platform, you can
use the sizeof operator. The expressions sizeof(type) yields the storage size of
the object or type in bytes. Given below is an example to get the size of int type
on any machine:
#include <stdio.h>
#include <limits.h>
int main()
{
printf("Storage size for int : %d n", sizeof(int));
When you compile and execute the above program, it produces the following
result on Linux:
Floating-Point Types
The following table provides the details of standard floating-point types with
storage sizes and value ranges and their precision:
Type Storage size Value range Precision
float 4 byte 1.2E-38 to 3.4E+38 6 decimal places
double 8 byte 2.3E-308 to 1.7E+308 15 decimal places
long double 10 byte 3.4E-4932 to 1.1E+4932 19 decimal places
The header file float.h defines macros that allow you to use these values and
other details about the binary representation of real numbers in your programs.
The following example prints the storage space taken by a float type and its
range values:
return 0;
}
Storage size for int : 4
#include <stdio.h>
#include <float.h>
int main()
{
printf("Storage size for float : %d n", sizeof(float));
printf("Minimum float positive value: %En", FLT_MIN );
printf("Maximum float positive value: %En", FLT_MAX );
printf("Precision value: %dn", FLT_DIG );
return 0;
When you compile and execute the above program, it produces the following
result on Linux:
Thevoid Type
The void type specifies that no value is available. It is used in three kinds of
situations:
S.N. Types and Description
1 Function returns as void
There are various functions in C which do not return any value or you
can say they return void. A function with no return value has the return
type as void. For example, void exit (int status);
2 Function arguments as void
There are various functions in C which do not accept any parameter. A
function with no parameter can accept a void. For example, int
rand(void);
3 Pointers to void
A pointer of type void * represents the address of an object, but not its
type. For example, a memory allocation function void *malloc(size_t
size); returns a pointer to void which can be casted to any data type.
DefiningConstants
There are two simple ways in C to define constants:
 Using #define preprocessor
 Using const keyword
Given below is the form to use #define preprocessor to define a constant:
}
Storage size for float : 4
Minimum float positive value: 1.175494E-38
Maximum float positive value: 3.402823E+38
Precision value: 6
The following example explains it in detail:
#define identifier value
#include <stdio.h>
#define LENGTH 10
#define WIDTH 5
#define NEWLINE 'n'
int main()
{
int area;
area = LENGTH * WIDTH;
printf("value of area : %d", area);
printf("%c", NEWLINE);
return 0;
}
15
When the above code is compiled and executed, it produces the following result:
VARIABLES
A variable is nothing but a name given to a storage area that our programs can
manipulate. Each variable in C has a specific type, which determines the size
and layout of the variable's memory; the range of values that can be stored
within that memory; and the set of operations that can be applied to the
variable.
The name of a variable can be composed of letters, digits, and the underscore
character. It must begin with either a letter or an underscore. Upper and
lowercase letters are distinct because C is case-sensitive. Based on the basic
types explained in the previous chapter, there will be the following basic variable
types:
Type Description
char Typically a single octet (one byte). This is an integer type.
int The most natural size of integer for the machine.
float A single-precision floating point value.
double A double-precision floating point value.
void Represents the absence of type.
C programming language also allows to define various other types of variables,
which we will cover in subsequent chapters like Enumeration, Pointer, Array,
Structure, Union, etc. For this chapter, let us study only basic variable types.
VariableDefinition inC
A variable definition tells the compiler where and how much storage to create for
the variable. A variable definition specifies a data type and contains a list of one
or more variables of that type as follows:
type variable_list;
value of area : 50
Here, type must be a valid C data type including char, w_char, int, float, double,
bool, or any user-defined object; and variable_list may consist of one or more
identifier names separated by commas. Some valid declarations are shown here:
The line int i, j, k; declares and defines the variables i, j and k; which instruct
the compiler to create variables named i, j, and k of type int.
Variables can be initialized (assigned an initial value) in their declaration. The
initializer consists of an equal sign followed by a constant expression as follows:
Some examples are:
For definition without an initializer: variables with static storage duration are
implicitly initialized with NULL (all bytes have the value 0); the initial value of all
other variables are undefined.
VariableDeclarationinC
A variable declaration provides assurance to the compiler that there exists a
variable with the given type and name so that the compiler can proceed for
further compilation without requiring the complete detail about the variable. A
variable declaration has its meaning at the time of compilation only, the
compiler needs actual variable declaration at the time of linking the program.
A variable declaration is useful when you are using multiple files and you define
your variable in one of the files which will be available at the time of linking the
program. You will use the keyword extern to declare a variable at any place.
Though you can declare a variable multiple times in your C program, it can be
defined only once in a file, a function, or a block of code.
Example
Try the following example, where variables have been declared at the top, but
they have been defined and initialized inside the main function:
int i, j, k;
char c, ch;
float f, salary;
double d;
type variable_name = value;
extern int d = 3, f = 5;
int d = 3, f = 5;
byte z = 22;
char x = 'x';
// declaration of d and f.
// definition and initializing d and f.
// definition and initializes z.
// the variable x has the value 'x'.
When the above code is compiled and executed, it produces the following result:
The same concept applies on function declaration where you provide a function
name at the time of its declaration and its actual definition can be given
anywhere else. For example:
#include <stdio.h>
// Variable declaration:
extern int a, b;
extern int c;
extern float f;
int main ()
{
/* variable definition: */
int a, b;
int c;
float f;
/* actual initialization */
a = 10;
b = 20;
c = a + b;
printf("value of c : %d n", c);
f = 70.0/3.0;
printf("value of f : %f n", f);
return 0;
}
value of c : 30
value of f : 23.333334
LvaluesandRvaluesinC
There are two kinds of expressions in C:
 lvalue : Expressions that refer to a memory location are called "lvalue" expressions. An
lvalue may appear as either the left-hand or right-hand side of an assignment.
 rvalue : The term rvalue refers to a data value that is stored at some address in memory.
An rvalue is an expression that cannot have a value assigned to it which means an rvalue
may appear on the right-hand side but not on the left-hand side of an assignment.
Variables are lvalues and so they may appear on the left-hand side of an assignment. Numeric
literals are rvalues and so they may not be assigned and cannot appear on the left-hand side.
Take a look at the following valid and invalid statements:
OPERATORS
An operator is a symbol that tells the compiler to perform specific mathematical
or logical functions. C language is rich in built-in operators and provides the
following types of operators:
 Arithmetic Operators
 Relational Operators
 Logical Operators
 Bitwise Operators
 Assignment Operators
int g = 20;
10 = 20;
// valid statement
// invalid statement; would generate compile-time error
// function declaration
int func();
int main()
{
// function call
int i = func();
}
// function definition
int func()
{
return 0;
}
 Misc Operators
We will, in this chapter, look into the way each operator works.
ArithmeticOperators
The following table shows all the arithmetic operators supported by the C
language. Assume variable A holds 10 and variable B holds 20, then:
Operator Description Example
+ Adds two operands. A + B = 30
- Subtracts second operand from the first. A - B = -10
* Multiplies both operands. A * B = 200
/ Divides numerator by de-numerator. B / A = 2
% Modulus Operator and remainder of after an
integer division.
B % A = 0
++ Increment operator increases the integer value
by one.
A++ = 11
-- Decrement operator
value by one.
decreases the integer A-- = 9
Example
Try the following example to understand all the arithmetic operators available in
C:
When you compile and execute the above program, it produces the following
result:
#include <stdio.h>
main()
{
int a = 21;
int b = 10;
int c ;
c = a + b;
printf("Line 1 - Value of c is %dn", c );
c = a - b;
printf("Line 2 - Value of c is %dn", c );
c = a * b;
printf("Line 3 - Value of c is %dn", c );
c = a / b;
printf("Line 4 - Value of c is %dn", c );
c = a % b;
printf("Line 5 - Value of c is %dn", c );
c = a++;
printf("Line 6 - Value of c is %dn", c );
c = a--;
printf("Line 7 - Value of c is %dn", c );
}
Line 1 - Value of c is 31
RelationalOperators
The following table shows all the relational operators supported by C. Assume
variable A holds 10 and variable B holds 20, then:
Operator Description Example
== Checks if the values of two operands are equal
or not. If yes, then the condition becomes
true.
(A == B) is not
true.
!= Checks if the values of two operands are equal
or not. If the values are not equal, then the
condition becomes true.
(A != B) is true.
> Checks if the value of left operand is greater
than the value of right operand. If yes, then
the condition becomes true.
(A > B) is not
true.
< Checks if the value of left operand is less than
the value of right operand. If yes, then the
condition becomes true.
(A < B) is true.
>= Checks if the value of left operand is greater
than or equal to the value of right operand. If
yes, then the condition becomes true.
(A >= B) is not
true.
<= Checks if the value of left operand is less than
or equal to the value of right operand. If yes,
then the condition becomes true.
(A <= B) is true.
Line 2 - Value of c is 11
Line 3 - Value of c is 210
Line 4 - Value of c is 2
Line 5 - Value of c is 1
Line 6 - Value of c is 21
Line 7 - Value of c is 22
Example
Try the following example to understand all the relational operators available in
C:
#include <stdio.h>
main()
{
int a = 21;
int b = 10;
int c ;
if( a == b )
{
printf("Line 1 - a is equal to bn" );
}
else
{
printf("Line 1 - a is not equal to bn" );
}
if ( a < b )
{
printf("Line 2 - a is less than bn" );
}
else
{
printf("Line 2 - a is not less than bn" );
}
if ( a > b )
{
printf("Line 3 - a is greater than bn" );
}
else
{
When you compile and execute the above program, it produces the following
result:
LogicalOperators
Following table shows all the logical operators supported by C language. Assume
variable A holds 1 and variable B holds 0, then:
Operator Description Example
&& Called Logical AND operator. If both the
operands are non-zero, then the condition
becomes true.
(A && B) is
false.
|| Called Logical OR Operator. If any of the two
operands is non-zero, then the condition
(A || B) is true.
printf("Line 3 - a is not greater than bn" );
}
/* Lets change value of a and b */
a = 5;
b = 20;
if ( a <= b )
{
printf("Line 4 - a is either less than or equal to bn" );
}
if ( b >= a )
{
printf("Line 5 - b is either greater than or equal to bn" );
}
}
Line 1 - a is not equal to b
Line 2 - a is not less than b
Line 3 - a is greater than b
Line 4 - a is either less than or equal to b
Line 5 - b is either greater than or equal to b
becomes true.
! Called Logical NOT Operator. It is used to
reverse the logical state of its operand. If a
condition is true, then Logical NOT operator will
make it false.
!(A &&
true.
B) is
Example
Try the following example to understand all the logical operators available in C:
#include <stdio.h>
main()
{
int a = 5;
int b = 20;
int c ;
if ( a && b )
{
printf("Line 1 - Condition is truen" );
}
if ( a || b )
{
printf("Line 2 - Condition is truen" );
}
/* lets change the value of a and b */
a = 0;
b = 10;
if ( a && b )
{
printf("Line 3 - Condition is truen" );
}
else
When you compile and execute the above program, it produces the following
result:
BitwiseOperators
Bitwise operators work on bits and perform bit-by-bit operation. The truth table
for &, |, and ^ is as follows:
p q p & q p | q p ^ q
0 0 0 0 0
0 1 0 1 1
1 1 1 1 0
1 0 0 1 1
Assume A = 60 and B = 13; in binary format, they will be as follows:
A = 0011 1100
B = 0000 1101
-----------------
{
printf("Line 3 - Condition is not truen" );
}
if ( !(a && b) )
{
printf("Line 4 - Condition is truen" );
}
}
Line 1 - Condition is true
Line 2 - Condition is true
Line 3 - Condition is not true
Line 4 - Condition is true
A&B = 0000 1100
A|B = 0011 1101
A^B = 0011 0001
~A = 1100 0011
The following table lists the bitwise operators supported by C. Assume variable
‘A’ holds 60 and variable ‘B’ holds 13, then:
Operator Description Example
& Binary AND Operator copies a bit to the result
if it exists in both operands.
(A & B) = 12, i.e.,
0000 1100
| Binary OR Operator copies a bit if it exists in
either operand.
(A | B) = 61, i.e.,
0011 1101
^ Binary XOR Operator copies the bit if it is set
in one operand but not both.
(A ^ B) = 49, i.e.,
0011 0001
~ Binary Ones Complement Operator is unary
and has the effect of 'flipping' bits.
(~A ) = -61, i.e.,
1100 0011 in 2's
complement form.
<< Binary Left Shift Operator. The left operands
value is moved left by the number of bits
specified by the right operand.
A << 2 = 240,
i.e., 1111 0000
>> Binary Right Shift Operator. The left operands
value is moved right by the number of bits
specified by the right operand.
A >> 2 = 15, i.e.,
0000 1111
Example
Try the following example to understand all the bitwise operators available in C:
#include <stdio.h>
main()
{
When you compile and execute the above program, it produces the following
result:
unsigned int a = 60;
unsigned int b = 13;
int c = 0;
/* 60 = 0011 1100 */
/* 13 = 0000 1101 */
c = a & b; /* 12 = 0000 1100 */
printf("Line 1 - Value of c is %dn", c );
c = a | b; /* 61 = 0011 1101 */
printf("Line 2 - Value of c is %dn", c );
c = a ^ b; /* 49 = 0011 0001 */
printf("Line 3 - Value of c is %dn", c );
c = ~a; /*-61 = 1100 0011 */
printf("Line 4 - Value of c is %dn", c );
c = a << 2; /* 240 = 1111 0000 */
printf("Line 5 - Value of c is %dn", c );
c = a >> 2; /* 15 = 0000 1111 */
printf("Line 6 - Value of c is %dn", c );
}
Line 1 - Value of c is 12
Line 2 - Value of c is 61
Line 3 - Value of c is 49
Line 4 - Value of c is -61
Line 5 - Value of c is 240
Line 6 - Value of c is 15
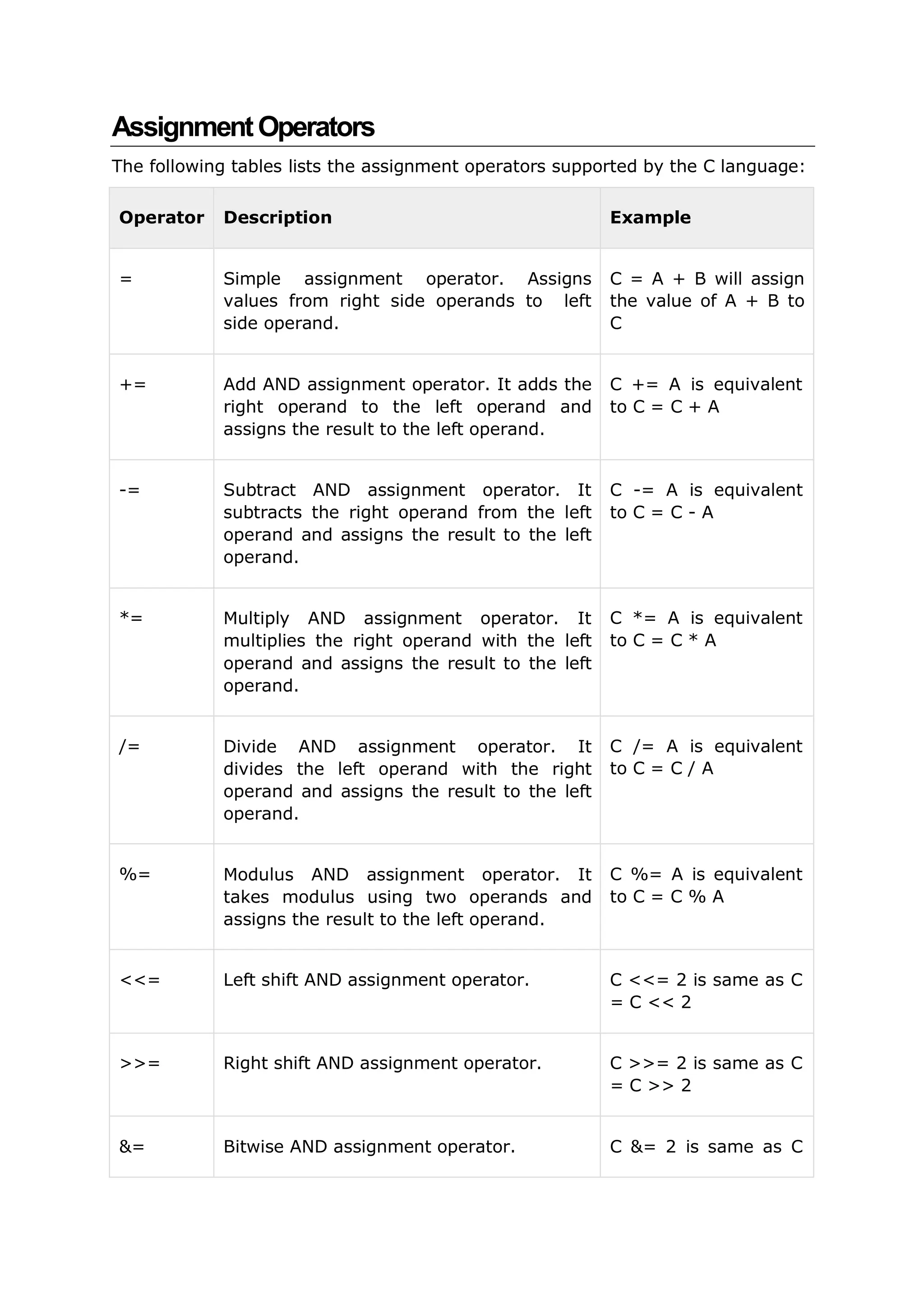
AssignmentOperators
The following tables lists the assignment operators supported by the C language:
Operator Description Example
= Simple assignment operator. Assigns
values from right side operands to left
side operand.
C = A + B will assign
the value of A + B to
C
+= Add AND assignment operator. It adds the
right operand to the left operand and
assigns the result to the left operand.
C += A is equivalent
to C = C + A
-= Subtract AND assignment operator. It
subtracts the right operand from the left
operand and assigns the result to the left
operand.
C -= A is equivalent
to C = C - A
*= Multiply AND assignment operator. It
multiplies the right operand with the left
operand and assigns the result to the left
operand.
C *= A is equivalent
to C = C * A
/= Divide AND assignment operator. It
divides the left operand with the right
operand and assigns the result to the left
operand.
C /= A is equivalent
to C = C / A
%= Modulus AND assignment operator. It
takes modulus using two operands and
assigns the result to the left operand.
C %= A is equivalent
to C = C % A
<<= Left shift AND assignment operator. C <<= 2 is same as C
= C << 2
>>= Right shift AND assignment operator. C >>= 2 is same as C
= C >> 2
&= Bitwise AND assignment operator. C &= 2 is same as C
= C & 2
^= Bitwise exclusive
operator.
OR and assignment C ^= 2 is same as
= C ^ 2
C
|= Bitwise inclusive
operator.
OR and assignment C |= 2 is same as C
C | 2
=
Example
Try the following example to understand all the assignment operators available
in C:
#include <stdio.h>
main()
{
int a = 21;
int c ;
c = a;
printf("Line 1 - = Operator Example, Value of c = %dn", c );
c += a;
printf("Line 2 - += Operator Example, Value of c = %dn", c );
c -= a;
printf("Line 3 - -= Operator Example, Value of c = %dn", c );
c *= a;
printf("Line 4 - *= Operator Example, Value of c = %dn", c );
When you compile and execute the above program, it produces the following
result:
c /= a;
printf("Line 5 - /= Operator Example, Value of c = %dn", c );
c = 200;
c %= a;
printf("Line 6 - %= Operator Example, Value of c = %dn", c );
c <<= 2;
printf("Line 7 - <<= Operator Example, Value of c = %dn", c );
c >>= 2;
printf("Line 8 - >>= Operator Example, Value of c = %dn", c );
c &= 2;
printf("Line 9 - &= Operator Example, Value of c = %dn", c );
c ^= 2;
printf("Line 10 - ^= Operator Example, Value of c = %dn", c );
c |= 2;
printf("Line 11 - |= Operator Example, Value of c = %dn", c );
}
Line 1 - = Operator Example, Value of c = 21
Line 2 - += Operator Example, Value of c = 42
Line 3 - -= Operator Example, Value of c = 21
Line 4 - *= Operator Example, Value of c = 441
Line 5 - /= Operator Example, Value of c = 21
Line 6 - %= Operator Example, Value of c = 11
Line 7 - <<= Operator Example, Value of c = 44
Line 8 - >>= Operator Example, Value of c = 11
MiscOperators↦sizeof&ternary
Besides the operators discussed above, there are a few other important
operators including sizeof and ? : supported by the C Language.
Operator Description Example
sizeof() Returns the size of a variable. sizeof(a), where a is
integer, will return 4.
& Returns the address of a variable. &a; returns the actual
address of the
variable.
* Pointer to a variable. *a;
? : Conditional Expression. If Condition is true ?
then value X :
otherwise value Y
Example
Try following example to understand all the miscellaneous operators available in
C:
Line 9 - &= Operator Example, Value of c = 2
Line 10 - ^= Operator Example, Value of c = 0
Line 11 - |= Operator Example, Value of c = 2
#include <stdio.h>
main()
{
int a = 4;
short b;
double c;
int* ptr;
When you compile and execute the above program, it produces the following
result:
OperatorsPrecedenceinC
Operator precedence determines the grouping of terms in an expression and
decides how an expression is evaluated. Certain operators have higher
precedence than others; for example, the multiplication operator has a higher
precedence than the addition operator.
For example, x = 7 + 3 * 2; here, x is assigned 13, not 20 because operator *
has a higher precedence than +, so it first gets multiplied with 3*2 and then
adds into 7.
/* example of sizeof operator */
printf("Line 1 - Size of variable a = %dn", sizeof(a) );
printf("Line 2 - Size of variable b = %dn", sizeof(b) );
printf("Line 3 - Size of variable c= %dn", sizeof(c) );
/* example of & and * operators */
ptr = &a; /* 'ptr' now contains the address of 'a'*/
printf("value of a is %dn", a);
printf("*ptr is %d.n", *ptr);
/* example of ternary operator */
a = 10;
b = (a == 1) ? 20: 30;
printf( "Value of b is %dn", b );
b = (a == 10) ? 20: 30;
printf( "Value of b is %dn", b );
}
value of a is 4
*ptr is 4.
Value of b is 30
Value of b is 20
Here, operators with the highest precedence appear at the top of the table,
those with the lowest appear at the bottom. Within an expression, higher
precedence operators will be evaluated first.
Category Operator Associativity
Postfix () [] -> . ++ - - Left to right
Unary + - ! ~ ++ - - (type)* & sizeof Right to left
Multiplicative * / % Left to right
Additive + - Left to right
Shift << >> Left to right
Relational < <= > >= Left to right
Equality == != Left to right
Bitwise AND & Left to right
Bitwise XOR ^ Left to right
Bitwise OR | Left to right
Logical AND && Left to right
Logical OR || Left to right
Conditional ?: Right to left
Assignment = += -= *= /= %=>>= <<= &= ^= |= Right to left
Comma , Left to right
Example
Try the following example to understand operator precedence in C:
When you compile and execute the above program, it produces the following
result:
#include <stdio.h>
main()
{
int a = 20;
int b = 10;
int c = 15;
int d = 5;
int e;
e = (a + b) * c / d; // ( 30 * 15 ) / 5
printf("Value of (a + b) * c / d is : %dn", e );
e = ((a + b) * c) / d; // (30 * 15 ) / 5
printf("Value of ((a + b) * c) / d is : %dn" , e );
e = (a + b) * (c / d); // (30) * (15/5)
printf("Value of (a + b) * (c / d) is : %dn", e );
e = a + (b * c) / d; // 20 + (150/5)
printf("Value of a + (b * c) / d is : %dn" , e );
return 0;
}
Value of (a + b) * c / d is : 90
Value of ((a + b) * c) / d is: 90
Value of (a + b) * (c / d) is: 90
Value of a + (b * c) / d is : 50
LIBRARY (I/O) FUNCTIONS
When we say Input, it means to feed some data into a program. An input can be
given in the form of a file or from the command line. C programming provides a
set of built-in functions to read the given input and feed it to the program as per
requirement.When we say Output, it means to display some data on screen,
printer, or in any file. C programming provides a set of built-in functions to
output the data on the computer screen as well as to save it in text or binary
files.
Thegetchar()andputchar()Functions
The int getchar(void) function reads the next available character from the
screen and returns it as an integer. This function reads only single character at a
time. You can use this method in the loop in case you want to read more than
one character from the screen.
The int putchar(int c) function puts the passed character on the screen and
returns the same character. This function puts only single character at a time.
You can use this method in the loop in case you want to display more than one
character on the screen. Check the following example:
#include <stdio.h>
int main( )
{
int c;
printf( "Enter a value :");
c = getchar( );
printf( "nYou entered: ");
putchar( c );
return 0;
}
When the above code is compiled and executed, it waits for you to input some
text. When you enter a text and press enter, then the program proceeds and
reads only a single character and displays it as follows:
Thegets()andputs()Functions
The char *gets(char *s) function reads a line from stdin into the buffer
pointed to by s until either a terminating newline or EOF (End of File).
The int puts(const char *s) function writes the string ‘s’ and ‘a’ trailing
newline to stdout.
$./a.out
Enter a value : this is test
You entered: t
#include <stdio.h>
int main( )
{
char str[100];
printf( "Enter a value :");
gets( str );
printf( "nYou entered: ");
puts( str );
return 0;
}
When the above code is compiled and executed, it waits for you to input some
text. When you enter a text and press enter, then the program proceeds and
reads the complete line till end, and displays it as follows:
Thescanf()andprintf()Functions
The int scanf(const char *format, ...) function reads the input from the
standard input stream stdin and scans that input according to the
format provided.
The int printf(const char *format, ...) function writes the output to the
standard output stream stdout and produces the output according to the format
provided.
The format can be a simple constant string, but you can specify %s, %d, %c,
%f, etc., to print or read strings, integer, character, or float, respectively. There
are many other formatting options available which can be used based on
requirements. Let us now proceed with a simple example to understand the
concepts better:
$./a.out
Enter a value : this is test
You entered: This is test
#include <stdio.h>
int main( )
{
char str[100];
int i;
printf( "Enter a value :");
scanf("%s %d", str, &i);
printf( "nYou entered: %s %d ", str, i);
return 0;
}
When the above code is compiled and executed, it waits for you to input some text. When you
enter a text and press enter, then program proceeds and reads the input and displays it as follows:
Here, it should be noted that scanf() expects input in the same format as you provided %s and %d,
which means you have to provide valid inputs like "string integer". If you provide "string string" or
"integer integer", then it will be assumed as wrong input. Secondly, while reading a string, scanf()
stops reading as soon as it encounters a space, so "this is test" are three strings for scanf().
STORAGE CLASSES
A storage class defines the scope (visibility) and life-time of variables
and/or functions within a C Program. They precede the type that they modify.
We have four different storage classes in a C program:
 auto
 register
 static
 extern
TheautoStorageClass
The auto storage class is the default storage class for all local variables.
The example above defines two variables within the same storage class. ‘auto’
can only be used within functions, i.e., local variables.
TheregisterStorageClass
The register storage class is used to define local variables that should be stored
in a register instead of RAM. This means that the variable has a maximum size
equal to the register size (usually one word) and can't have the unary '&'
operator applied to it (as it does not have a memory location).
$./a.out
Enter a value : seven 7
You entered: seven 7
{
int mount;
auto int month;
}
The register should only be used for variables that require quick access such as
counters. It should also be noted that defining 'register' does not mean that the
variable will be stored in a register. It means that it MIGHT be stored in a
register depending on hardware and implementation restrictions.
{
register int miles;
}
ThestaticStorageClass
The static storage class instructs the compiler to keep a local variable in
existence during the life-time of the program instead of creating and destroying
it each time it comes into and goes out of scope. Therefore, making local
variables static allows them to maintain their values between function calls.
The static modifier may also be applied to global variables. When this is done, it
causes that variable's scope to be restricted to the file in which it is declared.
In C programming, when static is used on a class data member, it causes only
one copy of that member to be shared by all the objects of its class.
When the above code is compiled and executed, it produces the following result:
#include <stdio.h>
/* function declaration */
void func(void);
static int count = 5; /* global variable */
main()
{
while(count--)
{
func();
}
return 0;
}
/* function definition */
void func( void )
{
static int i = 5;
i++;
/* local static variable */
printf("i is %d and count is %dn", i, count);
}
i is 6 and count is 4
i is 7 and count is 3
TheexternStorageClass
The extern storage class is used to give a reference of a global variable that is
visible to ALL the program files. When you use 'extern', the variable cannot be
initialized, however, it points the variable name at a storage location that has
been previously defined.
When you have multiple files and you define a global variable or function, which
will also be used in other files, then extern will be used in another file to provide
the reference of defined variable or function. Just for understanding, extern is
used to declare a global variable or function in another file.
The extern modifier is most commonly used when there are two or more files
sharing the same global variables or functions as explained below.
First File: main.c
Second File: support.c
i is 8 and count is 2
i is 9 and count is 1
i is 10 and count is 0
#include <stdio.h>
int count;
extern void write_extern();
main()
{
count = 5;
write_extern();
}
#include <stdio.h>
extern int count;
void write_extern(void)
{
Here, extern is being used to declare count in the second file, whereas it has its
definition in the first file, main.c. Now, compile these two files as follows:
It will produce the executable program a.out. When this program is executed, it
produces the following result:
CONTROL STATEMENTS.
Decision-making structures require that the programmer specifies one or more
conditions to be evaluated or tested by the program, along with a statement or
statements to be executed if the condition is determined to be true, and optionally,
other statements to be executed if the condition is determined to be false.
C programming language assumes any non-zero and non-null values as true,
and if it is either zero or null, then it is assumed as false value.
C programming language provides the following types of decision-
making statements.
ifStatement
An if statement consists of a Boolean expression followed by one or more
statements.
Syntax
The syntax of an ‘if’ statement in C programming language is:
If the Boolean expression evaluates to true, then the block of code inside the ‘if’
statement will be executed. If the Boolean expression evaluates to false, then
the first set of code after the end of the ‘if’ statement (after the closing curly
brace) will be executed.
C programming language assumes any non-zero and non-null values
as true and if it is either zero or null, then it is assumed as false value.
printf("count is %dn", count);
}
$gcc main.c support.c
5
if(boolean_expression)
{
/* statement(s) will execute if the boolean expression is true */
}
Example
When the above code is compiled and executed, it produces the following result:
if…elseStatement
An if statement can be followed by an optional else statement, which executes
when the Boolean expression is false.
Syntax
The syntax of an if...else statement in C programming language is:
#include <stdio.h>
int main ()
{
/* local variable definition */
int a = 10;
/* check the boolean condition using if statement */
if( a < 20 )
{
/* if condition is true then print the following */
printf("a is less than 20n" );
}
printf("value of a is : %dn", a);
return 0;
}
a is less than 20;
value of a is : 10
If the Boolean expression evaluates to true, then the if block will be executed,
otherwise, the else block will be executed.
C programming language assumes any non-zero and non-null values as true,
and if it is either zero or null, then it is assumed as false value.
Example
if(boolean_expression)
{
/* statement(s) will execute if the boolean expression is true */
}
else
{
/* statement(s) will execute if the boolean expression is false */
}
When the above code is compiled and executed, it produces the following result:
if...elseif...elseStatement
An if statement can be followed by an optional else if...else statement, which is
very useful to test various conditions using single if...else if statement.
When using if…else if…else statements, there are few points to keep in mind:
 An if can have zero or one else's and it must come after any else if's.
 An if can have zero to many else if's and they must come before the else.
#include <stdio.h>
int main ()
{
/* local variable definition */
int a = 100;
/* check the boolean condition */
if( a < 20 )
{
/* if condition is true then print the following */
printf("a is less than 20n" );
}
else
{
/* if condition is false then print the following */
printf("a is not less than 20n" );
}
printf("value of a is : %dn", a);
return 0;
}
a is not less than 20;
value of a is : 100
 Once an else if succeeds, none of the remaining else if's or else's will be
tested.
Syntax
The syntax of an if...else if...else statement in C programming language is:
Example
if(boolean_expression 1)
{
/* Executes when the boolean expression 1 is true */
}
else if( boolean_expression 2)
{
/* Executes when the boolean expression 2 is true */
}
else if( boolean_expression 3)
{
/* Executes when the boolean expression 3 is true */
}
else
{
/* executes when the none of the above condition is true */
}
#include <stdio.h>
int main ()
{
/* local variable definition */
int a = 100;
/* check the boolean condition */
if( a == 10 )
{
/* if condition is true then print the following */
When the above code is compiled and executed, it produces the following result:
NestedifStatements
It is always legal in C programming to nest if-else statements, which means you
can use one if or else if statement inside another if or else if statement(s).
Syntax
The syntax for a nested if statement is as follows:
printf("Value of a is 10n" );
}
else if( a == 20 )
{
/* if else if condition is true */
printf("Value of a is 20n" );
}
else if( a == 30 )
{
/* if else if condition is true */
printf("Value of a is 30n" );
}
else
{
/* if none of the conditions is true */
printf("None of the values is matchingn" );
}
printf("Exact value of a is: %dn", a );
return 0;
}
None of the values is matching
Exact value of a is: 100
if( boolean_expression 1)
{
You can nest else if...else in the similar way as you have nested if statements.
Example
When the above code is compiled and executed, it produces the following result:
/* Executes when the boolean expression 1 is true */
if(boolean_expression 2)
{
/* Executes when the boolean expression 2 is true */
}
}
#include <stdio.h>
int main ()
{
/* local variable definition */
int a = 100;
int b = 200;
/* check the boolean condition */
if( a == 100 )
{
/* if condition is true then check the following */
if( b == 200 )
{
/* if condition is true then print the following */
printf("Value of a is 100 and b is 200n" );
}
}
printf("Exact value of a is : %dn", a );
printf("Exact value of b is : %dn", b );
return 0;
}
switchStatement
A switch statement allows a variable to be tested for equality against a list of
values. Each value is called a case, and the variable being switched on is
checked for each switch case.
Syntax
The syntax for a switch statement in C programming language is as follows:
The following rules apply to a switch statement:
 The expression used in a switch statement must have an integral or
enumerated type, or be of a class type in which the class has a single
conversion function to an integral or enumerated type.
 You can have any number of case statements within a switch. Each case is
followed by the value to be compared to and a colon.
 The constant-expression for a case must be the same data type as the
variable in the switch, and it must be a constant or a literal.
 When the variable being switched on is equal to a case, the statements
following that case will execute until a break statement is reached.
 When a break statement is reached, the switch terminates, and the flow
of control jumps to the next line following the switch statement.
Value of a is 100 and b is 200
Exact value of a is : 100
Exact value of b is : 200
switch(expression){
case constant-expression
statement(s);
break; /* optional */
case constant-expression
statement(s);
break; /* optional */
:
:
/* you can have any number of case statements */
default : /* Optional */
statement(s);
}
 Not every case needs to contain a break. If no break appears, the flow of
control will fall through to subsequent cases until a break is reached.
 A switch statement can have an optional default case, which must
appear at the end of the switch. The default case can be used for
performing a task when none of the cases is true. No break is needed in
the default case.
Example
#include <stdio.h>
int main ()
{
/* local variable definition */
char grade = 'B';
switch(grade)
{
case 'A' :
When the above code is compiled and executed, it produces the following result:
LOOPS
You may encounter situations when a block of code needs to be executed
several number of times. In general, statements are executed sequentially: The
first statement in a function is executed first, followed by the second, and so on
Programming languages provide various control structures that allow for more
complicated execution paths.A loop statement allows us to execute a
statement or group of statements multiple times.
C programming language provides the following types of loops to
handle looping requirements.
whileLoop A while loop in C programming repeatedly executes a target
printf("Excellent!n" );
break;
case 'B' :
case 'C' :
printf("Well donen" );
break;
case 'D' :
printf("You passedn" );
break;
case 'F' :
printf("Better try againn" );
break;
default :
printf("Invalid graden" );
}
printf("Your grade is %cn", grade );
return 0;
}
Well done
Your grade is B
statement as long as a given condition is true.
Syntax
The syntax of a while loop in C programming language is:
Here, statement(s) may be a single statement or a block of statements.
The condition may be any expression, and true is any nonzero value. The loop
iterates while the condition is true.
When the condition becomes false, the program control passes to the line
immediately following the loop.
Example
while(condition)
{
statement(s);
}
#include <stdio.h>
int main ()
{
/* local variable definition */
int a = 10;
/* while loop execution */
while( a < 20 )
{
printf("value of a: %dn", a);
a++;
}
When the above code is compiled and executed, it produces the following result:
forLoop
A for loop is a repetition control structure that allows you to efficiently write a
loop that needs to execute a specific number of times.
Syntax
The syntax of a for loop in C programming language is:
Here is the flow of control in a ‘for’ loop:
1. The init step is executed first, and only once. This step allows you to
declare and initialize any loop control variables. You are not required to
put a statement here, as long as a semicolon appears.
2. Next, the condition is evaluated. If it is true, the body of the loop is
executed. If it is false, the body of the loop does not execute and the flow
of control jumps to the next statement just after the ‘for’ loop.
3. After the body of the ‘for’ loop executes, the flow of control jumps back up
to the increment statement. This statement allows you to update any
loop control variables. This statement can be left blank, as long as a
semicolon appears after the condition.
return 0;
}
value of a: 10
value of a: 11
value of a: 12
value of a: 13
value of a: 14
value of a: 15
value of a: 16
value of a: 17
value of a: 18
value of a: 19
for ( init; condition; increment )
{
statement(s);
}
4. The condition is now evaluated again. If it is true, the loop executes and
the process repeats itself (body of loop, then increment step, and then
again condition). After the condition becomes false, the ‘for’ loop
terminates.
Example
#include <stdio.h>
int main ()
{
/* for loop execution */
for( int a = 10; a < 20; a = a + 1 )
{
printf("value of a: %dn", a);
When the above code is compiled and executed, it produces the following result:
do…whileLoop
Unlike for and while loops, which test the loop condition at the top of the loop,
the do...while loop in C programming checks its condition at the bottom of the
loop.
A do...while loop is similar to a while loop, except the fact that it is guaranteed
to execute at least one time.
Syntax
The syntax of a do...while loop in C programming language is:
Notice that the conditional expression appears at the end of the loop, so the
statement(s) in the loop executes once before the condition is tested.
}
return 0;
}
value of a: 10
value of a: 11
value of a: 12
value of a: 13
value of a: 14
value of a: 15
value of a: 16
value of a: 17
value of a: 18
value of a: 19
do
{
statement(s);
}while( condition );
If the condition is true, the flow of control jumps back up to do, and the
statement(s) in the loop executes again. This process repeats until the given
condition becomes false.
breakStatement
The break statement in C programming has the following two usages:
 When a break statement is encountered inside a loop, the loop is
immediately terminated and the program control resumes at the next
statement following the loop.
 It can be used to terminate a case in the switch statement (covered in
the next chapter).
If you are using nested loops, the break statement will stop the execution of the
innermost loop and start executing the next line of code after the block.
Syntax
The syntax for a break statement in C is as follows:
Example
break;
#include <stdio.h>
int main ()
{
/* local variable definition */
int a = 10;
/* while loop execution */
while( a < 20 )
{
printf("value of a: %dn", a);
a++;
if( a > 15)
{
/* terminate the loop using break statement */
break;
}
}
When the above code is compiled and executed, it produces the following result:
continueStatement
The continue statement in C programming works somewhat like the break
statement. Instead of forcing termination, it forces the next iteration of the loop
to take place, skipping any code in between.
For the for loop, continue statement causes the conditional test and increment
portions of the loop to execute. For the while and do...while loops, continue
statement causes the program control to pass to the conditional tests.
Syntax
The syntax for a continue statement in C is as follows:
Example
return 0;
}
value of a: 10
value of a: 11
value of a: 12
value of a: 13
value of a: 14
value of a: 15
continue;
#include <stdio.h>
int main ()
{
/* local variable definition */
int a = 10;
/* do loop execution */
do
{
if( a == 15)
{
/* skip the iteration */
a = a + 1;
continue;
}
printf("value of a: %dn", a);
a++;
}while( a < 20 );
When the above code is compiled and executed, it produces the following result:
gotoStatement
A goto statement in C programming provides an unconditional jump from the
‘goto’ to a labeled statement in the same function.
NOTE: Use of goto statement is highly discouraged in any programming
language because it makes difficult to trace the control flow of a program,
making the program hard to understand and hard to modify. Any program that
uses a goto can be rewritten to avoid them.
Syntax
The syntax for a goto statement in C is as follows:
Here label can be any plain text except C keyword and it can be set anywhere in
the C program above or below to goto statement.
Example
return 0;
}
value of a: 10
value of a: 11
value of a: 12
value of a: 13
value of a: 14
value of a: 16
value of a: 17
value of a: 18
value of a: 19
goto label;
..
.
label: statement;
#include <stdio.h>
int main ()
{
/* local variable definition */
int a = 10;
/* do loop execution */
LOOP:do
{
if( a == 15)
{
/* skip the iteration */
a = a + 1;
goto LOOP;
}
printf("value of a: %dn", a);
a++;
}while( a < 20 );
When the above code is compiled and executed, it produces the following result:
FUNCTIONS.
A function is a group of statements that together perform a task. Every C
program has at least one function, which is main(), and all the most trivial
programs can define additional functions.
You can divide up your code into separate functions. How you divide up your
code among different functions is up to you, but logically the division is such
that each function performs a specific task.
A function declaration tells the compiler about a function's name, return type,
and parameters. A function definition provides the actual body of the function.
The C standard library provides numerous built-in functions that your program
can call. For example, strcat() to concatenate two strings, memcpy() to copy
one memory location to another location, and many more functions.
A function can also be referred as a method or a sub-routine or a procedure, etc.
DefiningaFunction
The general form of a function definition in C programming language is as
follows:
A function definition in C programming consists of a function header and function body.
return 0;
}
return_type function_name( parameter list )
{
body of the function
}
value of a: 10
value of a: 11
value of a: 12
value of a: 13
value of a: 14
value of a: 16
value of a: 17
value of a: 18
value of a: 19
Here are all the parts of a function:
 Return Type: A function may return a value. The return_type is the
data type of the value the function returns. Some functions perform the
desired operations without returning a value. In this case, the return_type
is the keyword void.
 Function Name: This is the actual name of the function. The function
name and the parameter list together constitute the function signature.
 Parameters: A parameter is like a placeholder. When a function is
invoked, you pass a value to the parameter. This value is referred to as
actual parameter or argument. The parameter list refers to the type,
order, and number of the parameters of a function. Parameters are
optional; that is, a function may contain no parameters.
 Function Body: The function body contains a collection of statements
that define what the function does.
Example
Given below is the source code for a function called max(). This function takes
two parameters num1 and num2 and returns the maximum value between the
two:
FunctionDeclarations
A function declaration tells the compiler about a function name and how to call
the function. The actual body of the function can be defined separately.
A function declaration has the following parts:
For the above defined function max(),the function declaration is as follows:
Parameter names are not important in function declaration, only their type is
required, so the following is also a valid declaration:
Function declaration is required when you define a function in one source file
and you call that function in another file. In such case, you should declare the
function at the top of the file calling the function.
/* function returning the max between two numbers */
int max(int num1, int num2)
{
/* local variable declaration */
int result;
if (num1 > num2)
result = num1;
else
result = num2;
return result;
}
return_type function_name( parameter list );
int max(int num1, int num2);
int max(int, int);
CallingaFunction
While creating a C function, you give a definition of what the function has to do.
To use a function, you will have to call that function to perform the defined task.
When a program calls a function, the program control is transferred to the called
function. A called function performs a defined task and when its return
statement is executed or when its function-ending closing brace is reached, it
returns the program control back to the main program.
To call a function, you simply need to pass the required parameters along with
the function name, and if the function returns a value, then you can store the
returned value. For example:
#include <stdio.h>
/* function declaration */
int max(int num1, int num2);
int main ()
{
/* local variable definition */
int a = 100;
int b = 200;
int ret;
/* calling a function to get max value */
ret = max(a, b);
printf( "Max value is : %dn", ret );
return 0;
}
/* function returning the max between two numbers */
int max(int num1, int num2)
{
/* local variable declaration */
int result;
We have kept max()along with main() and compiled the source code. While
running the final executable, it would produce the following result:
FunctionArguments
If a function is to use arguments, it must declare variables that accept the
values of the arguments. These variables are called the formal parameters of
the function.
Formal parameters behave like other local variables inside the function and are
created upon entry into the function and destroyed upon exit.
While calling a function, there are two ways in which arguments can be passed
to a function:
Call Type Description
Call by value This method copies the actual value of an argument
into the formal parameter of the function. In this case,
changes made to the parameter inside the function
have no effect on the argument.
Call by reference This method copies the address of an argument into
the formal parameter. Inside the function, the address
is used to access the actual argument used in the call.
This means that changes made to the parameter affect
the argument.
if (num1 > num2)
result = num1;
else
result = num2;
return result;
}
Max value is : 200
CallbyValue
The call by value method of passing arguments to a function copies the actual
value of an argument into the formal parameter of the function. In this case,
changes made to the parameter inside the function have no effect on the
argument.
By default, C programming uses call by value to pass arguments. In general, it
means the code within a function cannot alter the arguments used to call the
function. Consider the function swap() definition as follows.
Now, let us call the function swap() by passing actual values as in the following
example:
/* function definition to swap the values */
void swap(int x, int y)
{
int temp;
temp = x; /* save the value of x */
x = y; /* put y into x */
y = temp; /* put temp into y */
return;
}
#include <stdio.h>
/* function declaration */
void swap(int x, int y);
int main ()
{
/* local variable definition */
int a = 100;
int b = 200;
printf("Before swap, value of a : %dn", a );
printf("Before swap, value of b : %dn", b );
Let us put the above code in a single C file, compile and execute it, it will
produce the following result:
It shows that there are no changes in the values, though they had been changed
inside the function.
CallbyReference
The call by reference method of passing arguments to a function copies the
address of an argument into the formal parameter. Inside the function, the
address is used to access the actual argument used in the call. It means the
changes made to the parameter affect the passed argument.
To pass a value by reference, argument pointers are passed to the functions just
like any other value. So accordingly, you need to declare the function
parameters as pointer types as in the following function swap(), which
exchanges the values of the two integer variables pointed to, by their
arguments.
/* calling a function to swap the values */
swap(a, b);
printf("After swap, value of a : %dn", a );
printf("After swap, value of b : %dn", b );
return 0;
}
Before swap, value of a :100
Before swap, value of b :200
After swap, value of a :100
After swap, value of b :200
/* function definition to swap the values */
void swap(int *x, int *y)
{
int temp;
temp = *x;
*x = *y;
*y = temp;
/* save the value at address x */
/* put y into x */
/* put temp into y */
Let us now call the function swap() by passing values by reference as in the
following example:
Let us put the above code in a single C file, compile and execute it, to produce
the following result:
return;
}
#include <stdio.h>
/* function declaration */
void swap(int *x, int *y);
int main ()
{
/* local variable definition */
int a = 100;
int b = 200;
printf("Before swap, value of a : %dn", a );
printf("Before swap, value of b : %dn", b );
/* calling a function to swap the values.
* &a indicates pointer to a i.e. address of variable a and
* &b indicates pointer to b i.e. address of variable b.
*/
swap(&a, &b);
printf("After swap, value of a : %dn", a );
printf("After swap, value of b : %dn", b );
return 0;
}
Before swap, value of a :100
Before swap, value of b :200
After swap, value of a :200
After swap, value of b :100
It shows that the change has reflected outside the function as well, unlike call
by value where the changes do not reflect outside the function.
By default, C uses call by value to pass arguments. In general, it means the
code within a function cannot alter the arguments used to call the function.
ARRAYS
Arrays a kind of data structure that can store a fixed-size
sequential collection of elements of the same type. An
array is used to store a collection of data, but it is often
more useful to think of an array as a collection of
variables of the same type.
Instead of declaring individual variables, such as
number0, number1, ..., and number99, you declare one
array variable such as numbers and use numbers[0],
numbers[1], and ..., numbers[99] to represent individual
variables. A specific element in an array is accessed by an
index.
All arrays consist of contiguous memory locations. The
lowest address corresponds to the first element and the
highest address to the last element.
DeclaringArrays
To declare an array in C, a programmer specifies the type of the
elements and the number of elements required by an array as follows:
AccessingArrayElements
An element is accessed by indexing the array name. This is done by placing the
index of the element within square brackets after the name of the array. For
example:
The above statement will take the 10th element from the array and assign the
value to salary variable. The following example shows how to use all the three
above-mentioned concepts viz. declaration, assignment, and accessing arrays:
double salary = balance[9];
}
/* output each array element's value
*/ for (j = 0; j < 10; j++ )
{
printf("Element[%d] = %dn", j, n[j] );
}
return 0;
}
#include <stdio.h>
int main ()
{
int n[ 10 ]; /* n is an array of 10 integers */
int i,j;
/* initialize elements of array n to 0 */
for ( i = 0; i < 10; i++ )
{
n[ i ] = i + 100; /* set element at location i to i + 100 */
When the above code is compiled and executed, it produces the following result:
Element[0] = 100
Element[1] = 101
Element[2] = 102
Element[3] = 103
Element[4] = 104
Element[5] = 105
Element[6] = 106
Element[7] = 107
Element[8] = 108
Element[9] = 109
Types of arrays
The above example was single dimentional array
.also there are other types these are
Two-dimensionalArrays
The simplest form of multidimensional array is the two-dimensional array. A
two-dimensional array is, in essence, a list of one-dimensional arrays. To declare
a two-dimensional integer array of size [x][y], you would write something as
follows:
we have used a nested loop to handle a two-dimensional array:
type arrayName [ x ][ y ];
When the above code is compiled and executed, it produces the following result:
MultidimensionalArrays
C programming language allows multidimensional arrays. Here is the general
form of a multidimensional array declaration:
For example, the following declaration creates a three-dimensional integer
array:
#include <stdio.h>
int main ()
{
/* an array with 5 rows and 2 columns*/
int a[5][2] = { {0,0}, {1,2}, {2,4}, {3,6},{4,8}};
int i, j;
/* output each array element's value */
for ( i = 0; i < 5; i++ )
{
for ( j = 0; j < 2; j++ )
{
printf("a[%d][%d] = %dn", i,j, a[i][j] );
a[0][0]: 0
a[0][1]: 0
a[1][0]: 1
a[1][1]: 2
a[2][0]: 2
a[2][1]: 4
a[3][0]: 3
a[3][1]: 6
a[4][0]: 4
a[4][1]: 8
type name[size1][size2]...[sizeN];
int threedim[5][10][4];
PassingArrays to Functions
If you want to pass a single-dimension array as an argument in a function, you
would have to declare a formal parameter in one of following three ways and all
three declaration methods produce similar results because each tells the
compiler that an integer pointer is going to be received. Similarly, you can pass
multi-dimensional arrays as formal parameters.
Formal parameters as a pointer:
Example
Now, consider the following function, which takes an array as an argument along
with another argument and based on the passed arguments, it returns the
average of the numbers passed through the array as follows:
void myFunction(int *param)
{
.
.
.
}
double getAverage(int arr[], int size)
{
int i;
double avg;
double sum;
for (i = 0; i < size; ++i)
{
sum += arr[i];
}
avg = sum / size;
Now, let us call the above function as follows:
When the above code is compiled together and executed, it produces the following result:
WhatarePointers?
A pointer is a variable whose value is the address of another variable, i.e.,
direct address of the memory location. Like any variable or constant, you must
declare a pointer before using it to store any variable address. The general form
of a pointer variable declaration is:
return avg;
}
#include <stdio.h>
/* function declaration */
double getAverage(int arr[], int size);
int main ()
{
/* an int array with 5 elements */
int balance[5] = {1000, 2, 3, 17, 50};
double avg;
/* pass pointer to the array as an argument */
avg = getAverage( balance, 5 ) ;
/* output the returned value */
printf( "Average value is: %f ", avg );
return 0;
}
Average value is: 214.400000
Here, type is the pointer's base type; it must be a valid C data type and var-
name is the name of the pointer variable. The asterisk * used to declare a
pointer is the same asterisk used for multiplication. However, in this statement,
the asterisk is being used to designate a variable as a pointer. Take a look at
some of the valid pointer declarations:
The actual data type of the value of all pointers, whether integer, float,
character, or otherwise, is the same, a long hexadecimal number that represents
a memory address. The only difference between pointers of different data types
is the data type of the variable or constant that the pointer points to.
ArrayofPointers
Before we understand the concept of arrays of pointers, let us consider the
following example, which uses an array of 3 integers:
When the above code is compiled and executed, it produces the following result:
type *var-name;
int *ip;
double *dp;
float *fp;
char *ch
/* pointer
/* pointer
/* pointer
/* pointer
to
to
to
to
an integer */
a
a
a
double */
float */
character */
#include <stdio.h>
const int MAX = 3;
int main ()
{
int var[] = {10, 100, 200};
int i;
for (i = 0; i < MAX; i++)
{
printf("Value of var[%d] = %dn", i, var[i] );
}
return 0;
}
There may be a situation when we want to maintain an array, which can store
pointers to an int or char or any other data type available. Following is the
declaration of an array of pointers to an integer:
It declares ptr as an array of MAX integer pointers. Thus, each element in ptr
holds a pointer to an int value. The following example uses three integers, which
are stored in an array of pointers, as follows:
Value of var[0] = 10
int *ptr[MAX];
Value of var[1] = 100
Value of var[2] = 200
#include <stdio.h>
const int MAX = 3;
int main ()
{
int var[] = {10, 100, 200};
int i, *ptr[MAX];
for ( i = 0; i < MAX; i++)
{
ptr[i] = &var[i]; /* assign the address of integer. */
}
for ( i = 0; i < MAX; i++)
{
printf("Value of var[%d] = %dn", i, *ptr[i] );
}
return 0;
}
#include <stdio.h>
const int MAX = 4;
int main ()
{
char *names[] = {
"Zara Ali",
"Hina Ali",
"Nuha Ali",
"Sara Ali",
};
int i = 0;
for ( i = 0; i < MAX; i++)
{
printf("Value of names[%d] = %sn", i, names[i] );
}
return 0;
}
When the above code is compiled and executed, it produces the following result:
ARRAY OF STRINGS
You can also use an array of pointers to character to store a list of strings as
follows:
Value of var[0] = 10
Value of var[1] = 100
Value of var[2] = 200
#include <stdio.h>
#include <time.h>
void getSeconds(unsigned long *par);
int main ()
{
unsigned long sec;
getSeconds( &sec );
/* print the actual value */ printf("Number
of seconds: %ldn", sec );
return 0;
}
void getSeconds(unsigned long *par)
{
/* get the current number of seconds */
*par = time( NULL );
return;
}
When the above code is compiled and executed, it produces the following result:
PassingPointerstoFunctions
C programming allows passing a pointer to a function. To do so, simply declare
the function parameter as a pointer type.
Following is a simple example where we pass an unsigned long pointer to a
function and change the value inside the function which reflects back in the
calling function:
Value of names[0] = Zara Ali
Value of names[1] = Hina Ali
Value of names[2] = Nuha Ali
Value of names[3] = Sara Ali
STRINGS
Strings are actually one-dimensional array of
characters terminated by a null character '0'. Thus a
null-terminated string contains the characters that
comprise the string followed by a null.
The following declaration and initialization create a string
consisting of the word "Hello". To hold the null
character at the end of the array, the size of the
character array containing the string is one more than the
number of characters in the word "Hello."
C supports a wide range of functions that manipulate null-terminated strings:
S.N. Function & Purpose
1 strcpy(s1, s2);
Copies string s2 into string s1.
2 strcat(s1, s2);
Concatenates string s2 onto the end of string s1.
3 strlen(s1);
Returns the length of string s1.
4 strcmp(s1, s2);
Returns 0 if s1 and s2 are the same; less than 0 if s1<s2; greater than
0 if s1>s2.
5 strchr(s1, ch);
Returns a pointer to the first occurrence of character ch in string s1.
6 strstr(s1, s2);
Returns a pointer to the first occurrence of string s2 in string s1.
MEMORY ALLOCATION
The C programming language provides several functions
for memory allocation and management. These
functions can be found in the <stdlib.h> header file.
char greeting[6] = {'H', 'e', 'l', 'l', 'o', '0'};
S.N. Function and Description
1 void *calloc(int num, int size);
This function allocates an array of num elements each of which size in
bytes will be size.
2 void free(void *address);
This function releases a block of memory block specified by address.
3 void *malloc(int num);
This function allocates an array of num bytes and leave them initialized.
4 void *realloc(void *address, int newsize);
This function re-allocates memory extending it upto newsize.
AllocatingMemoryDynamically
While programming, if you are aware of the size of an
array, then it is easy and you can define it as an array.
For example, to store a name of any person, it can go up
to a maximum of 100 characters, so you can define
something as follows:
example:
When the above code is compiled and executed, it produces the following result.
calloc();
Same program can be written using calloc(); only thing is you need to replace
malloc with calloc as follows:
So you have complete control and you can pass any size value while allocating
memory, unlike arrays where once the size is defined, you cannot change it.
realloc().
Alternatively, you can increase or decrease the size of an allocated memory
block by calling the function realloc(). Let us check the above program once
#include <stdlib.h>
#include <string.h>
int main()
{
char name[100];
char *description;
strcpy(name, "Zara Ali");
/* allocate memory dynamically */
description = malloc( 200 * sizeof(char) );
if( description == NULL )
{
fprintf(stderr, "Error - unable to allocate required memoryn");
}
else
{
strcpy( description, "Zara ali a DPS student in class 10th");
}
printf("Name = %sn", name );
printf("Description: %sn", description );
}
Name = Zara Ali
Description: Zara ali a DPS student in class 10th
calloc(200, sizeof(char));
again and make use of realloc() and free() functions:
#include <stdio.h>
#include <stdlib.h>
#include <string.h>
int main()
{
char name[100];
char *description;
strcpy(name, "Zara Ali");
/* allocate memory dynamically */
description = malloc( 30 * sizeof(char) );
if( description == NULL )
{
fprintf(stderr, "Error - unable to allocate required memoryn");
}
else
{
strcpy( description, "Zara ali a DPS student.");
}
/* suppose you want to store bigger description */
description = realloc( description, 100 * sizeof(char) );
if( description == NULL )
{
fprintf(stderr, "Error - unable to allocate required memoryn");
}
When the above code is compiled and executed, it produces the following result.
DefiningaStructure
To define a structure, you must use the struct statement. The struct statement
defines a new data type, with more than one member. The format of the struct
statement is as follows:
The structure tag is optional and each member definition is a normal variable
definition, such as int i; or float f; or any other valid variable definition. At the
end of the structure's definition, before the final semicolon, you can specify one
or more structure variables but it is optional. Here is the way you would declare
the Book structure:
else
{
strcat( description, "She is in class 10th");
}
printf("Name = %sn", name );
printf("Description: %sn", description );
/* release memory using free() function */
free(description);
}
Name = Zara Ali
Description: Zara ali a DPS student.She is in class 10th
struct [structure tag]
{
member definition;
member definition;
...
member definition;
} [one or more structure variables];
struct Books
{
char title[50];
char author[50];
char subject[100];
AccessingStructureMembers
To access any member of a structure, we use the member access operator
(.). The member access operator is coded as a period between the structure
variable name and the structure member that we wish to access. You would
use the keyword struct to define variables of structure type. The following
example shows how to use a structure in a program:
int book_id;
} book;
#include <stdio.h>
#include <string.h>
struct Books
{
char title[50];
char author[50];
char subject[100];
int book_id;
};
int main( )
{
struct Books Book1;
struct Books Book2;
/* Declare Book1 of type Book */
/* Declare Book2 of type Book */
/* book 1 specification */
strcpy( Book1.title, "C Programming");
strcpy( Book1.author, "ashraf");
strcpy( Book1.subject, "C Programming Tutorial");
Book1.book_id = 6495407;
/* book 2 specification */
strcpy( Book2.title, "Telecom Billing");
strcpy( Book2.author, "Zara Ali");
When the above code is compiled and executed, it produces the following result:
DefiningaUnion
To define a union, you must use the union statement in the same way as you did
while defining a structure. The union statement defines a new data type with more
than one member for your program
The following example displays the total memory size
strcpy( Book2.subject, "Telecom Billing Tutorial");
Book2.book_id = 6495700;
/* print Book1 info */
printf( "Book 1 title : %sn", Book1.title);
printf( "Book 1 author : %sn", Book1.author);
printf( "Book 1 subject : %sn", Book1.subject);
printf( "Book 1 book_id : %dn", Book1.book_id);
/* print Book2 info */
printf( "Book 2 title : %sn", Book2.title);
printf( "Book 2 author : %sn", Book2.author);
printf( "Book 2 subject : %sn", Book2.subject);
printf( "Book 2 book_id : %dn", Book2.book_id);
return 0;
}
Book 1 title : C Programming
Book 1 author : ashraf
Book 1 subject : C Programming Tutorial
Book 1 book_id : 6495407
Book 2 title : Telecom Billing
Book 2 author : Zara Ali
Book 2 subject : Telecom Billing Tutorial
Book 2 book_id : 6495700
When the above code is compiled and executed, it produces the following result:
OpeningFiles
You can use the fopen( ) function to create a new file or
to open an existing file. This call will initialize an object of
the type FILE, which contains all the information
necessary to control the stream. The prototype of this
function call is as follows:
ClosingaFile
To close a file, use the fclose( ) function. The prototype of this function is:
#include <stdio.h>
#include <string.h>
union Data
{
int i;
float f;
char str[20];
};
int main( )
{
union Data data;
printf( "Memory size occupied by data : %dn", sizeof(data));
return 0;
}
Memory size occupied by data : 20
int fclose( FILE *fp );
FILE *fopen( const char * filename, const char * mode );
introduction to programming using ANSI C

introduction to programming using ANSI C

  • 1.
    1 HISTORY OF CLANGUAGE C is a general-purpose, procedural, imperative computer programming language developed in 1972 by Dennis M. Ritchie at the Bell Telephone Laboratories to develop the UNIX operating system C is a general-purpose, high-level language that was originally developed by Dennis M. Ritchie to develop the UNIX operating system at Bell Labs. C was originally first implemented on the DEC PDP-11 computer in 1972. In 1978, Brian Kernighan and Dennis Ritchie produced the first publicly available description of C, now known as the K&R standard. The UNIX operating system, the C compiler, and essentially all UNIX application programs have been written in C. C has now become a widely used professional language for various reasons:  Easy to learn  Structured language  It produces efficient programs  It can handle low-level activities  It can be compiled on a variety of computer platforms FactsaboutC  C was invented to write an operating system called UNIX.  C is a successor of B language which was introduced around the early 1970s.  The language was formalized in 1988 by the American National Standard Institute (ANSI).  The UNIX OS was totally written in C.  Today C is the most widely used and popular System Programming Language.  Most of the state-of-the-art software have been implemented using C.  Today's most popular Linux OS and RDBMS MySQL have been written in C. WhyUseC? C was initially used for system development work, particularly the programs that make-up the operating system. C was adopted as a system development language because it produces code that runs nearly as fast as the code written in assembly language. Some examples of the use of C might be:
  • 2.
     Language Compilers Assemblers  Text Editors  Print Spoolers  Network Drivers  Modern Programs  Databases  Language Interpreters  Utilities  PROGRAM STRUCTUR Before we study the basic building blocks of the C programming language, let us look at a bare minimum C program structure HelloWorldExample A C program basically consists of the following parts:  Preprocessor Commands  Functions  Variables  Statements & Expressions  Comments Let us look at a simple code that would print the words "Hello World": Let us take a look at the various parts of the above program: 1. The first line of the program #include <stdio.h> is a preprocessor command, which tells a C compiler to include stdio.h file before going to actual compilation. 2. The next line int main() is the main function where the program execution #include <stdio.h> int main() { /* my first program in C */ printf("Hello, World! n"); return 0; }
  • 3.
    begins. 3. The nextline /*...*/ will be ignored by the compiler and it has been put to add additional comments in the program. So such lines are called comments in the program. Identifiers A C identifier is a name used to identify a variable, function, or any other user- defined item. An identifier starts with a letter A to Z, a to z, or an underscore ‘_’ followed by zero or more letters, underscores, and digits (0 to 9). C does not allow punctuation characters such as @, $, and % within identifiers. C is a case- sensitive programming language. Thus, MOHD and mohd are two different identifiers in C. Here are some examples of acceptable identifiers: mohd Aleena abc move_name a_123 myname50 _temp j a23b9 retVal Keywords The following list shows the reserved words in C. These reserved words may not be used as constants or variables or any other identifier names. Auto else long switch Break enum register typedef Case extern return union Char float short unsigned Const for signed void Continue goto sizeof volatile Default if static while Do int struct _Packed Double DATA TYPES Data types in C refer to an extensive system used for declaring variables or functions of different types. The type of a variable determines how much space it occupies in storage and how the bit pattern stored is interpreted. The types in C can be classified as follows:
  • 4.
    The array typesand structure types are referred collectively as the aggregate types. The type of a function specifies the type of the function's return value. We will see the basic types in the following section, whereas other types will be covered in the upcoming chapters. IntegerTypes The following table provides the details of standard integer types with their storage sizes and value ranges: S.N. Types and Description 1 Basic Types: They are arithmetic types and are further classified into: (a) integer types and (b) floating-point types. 2 Enumerated types: They are again arithmetic types and they are used to define variables that can only assign certain discrete integer values throughout the program. 3 The type void: The type specifier void indicates that no value is available. 4 Derived types: They include (a) Pointer types, (b) Array types, (c) Structure types, (d) Union types, and (e) Function types.
  • 5.
    Type Storage size Value range char1 byte -128 to 127 or 0 to 255 unsigned char 1 byte 0 to 255 signed char 1 byte -128 to 127 int 2 or 4 bytes -32,768 to 32,767 or -2,147,483,648 2,147,483,647 to unsigned int 2 or 4 bytes 0 to 65,535 or 0 to 4,294,967,295 short 2 bytes -32,768 to 32,767 unsigned short 2 bytes 0 to 65,535 long 4 bytes -2,147,483,648 to 2,147,483,647 unsigned long 4 bytes 0 to 4,294,967,295 To get the exact size of a type or a variable on a particular platform, you can use the sizeof operator. The expressions sizeof(type) yields the storage size of the object or type in bytes. Given below is an example to get the size of int type on any machine: #include <stdio.h> #include <limits.h> int main() { printf("Storage size for int : %d n", sizeof(int));
  • 6.
    When you compileand execute the above program, it produces the following result on Linux: Floating-Point Types The following table provides the details of standard floating-point types with storage sizes and value ranges and their precision: Type Storage size Value range Precision float 4 byte 1.2E-38 to 3.4E+38 6 decimal places double 8 byte 2.3E-308 to 1.7E+308 15 decimal places long double 10 byte 3.4E-4932 to 1.1E+4932 19 decimal places The header file float.h defines macros that allow you to use these values and other details about the binary representation of real numbers in your programs. The following example prints the storage space taken by a float type and its range values: return 0; } Storage size for int : 4 #include <stdio.h> #include <float.h> int main() { printf("Storage size for float : %d n", sizeof(float)); printf("Minimum float positive value: %En", FLT_MIN ); printf("Maximum float positive value: %En", FLT_MAX ); printf("Precision value: %dn", FLT_DIG ); return 0;
  • 7.
    When you compileand execute the above program, it produces the following result on Linux: Thevoid Type The void type specifies that no value is available. It is used in three kinds of situations: S.N. Types and Description 1 Function returns as void There are various functions in C which do not return any value or you can say they return void. A function with no return value has the return type as void. For example, void exit (int status); 2 Function arguments as void There are various functions in C which do not accept any parameter. A function with no parameter can accept a void. For example, int rand(void); 3 Pointers to void A pointer of type void * represents the address of an object, but not its type. For example, a memory allocation function void *malloc(size_t size); returns a pointer to void which can be casted to any data type. DefiningConstants There are two simple ways in C to define constants:  Using #define preprocessor  Using const keyword Given below is the form to use #define preprocessor to define a constant: } Storage size for float : 4 Minimum float positive value: 1.175494E-38 Maximum float positive value: 3.402823E+38 Precision value: 6
  • 8.
    The following exampleexplains it in detail: #define identifier value #include <stdio.h> #define LENGTH 10 #define WIDTH 5 #define NEWLINE 'n' int main() { int area; area = LENGTH * WIDTH; printf("value of area : %d", area); printf("%c", NEWLINE); return 0; }
  • 9.
    15 When the abovecode is compiled and executed, it produces the following result: VARIABLES A variable is nothing but a name given to a storage area that our programs can manipulate. Each variable in C has a specific type, which determines the size and layout of the variable's memory; the range of values that can be stored within that memory; and the set of operations that can be applied to the variable. The name of a variable can be composed of letters, digits, and the underscore character. It must begin with either a letter or an underscore. Upper and lowercase letters are distinct because C is case-sensitive. Based on the basic types explained in the previous chapter, there will be the following basic variable types: Type Description char Typically a single octet (one byte). This is an integer type. int The most natural size of integer for the machine. float A single-precision floating point value. double A double-precision floating point value. void Represents the absence of type. C programming language also allows to define various other types of variables, which we will cover in subsequent chapters like Enumeration, Pointer, Array, Structure, Union, etc. For this chapter, let us study only basic variable types. VariableDefinition inC A variable definition tells the compiler where and how much storage to create for the variable. A variable definition specifies a data type and contains a list of one or more variables of that type as follows: type variable_list; value of area : 50
  • 10.
    Here, type mustbe a valid C data type including char, w_char, int, float, double, bool, or any user-defined object; and variable_list may consist of one or more identifier names separated by commas. Some valid declarations are shown here: The line int i, j, k; declares and defines the variables i, j and k; which instruct the compiler to create variables named i, j, and k of type int. Variables can be initialized (assigned an initial value) in their declaration. The initializer consists of an equal sign followed by a constant expression as follows: Some examples are: For definition without an initializer: variables with static storage duration are implicitly initialized with NULL (all bytes have the value 0); the initial value of all other variables are undefined. VariableDeclarationinC A variable declaration provides assurance to the compiler that there exists a variable with the given type and name so that the compiler can proceed for further compilation without requiring the complete detail about the variable. A variable declaration has its meaning at the time of compilation only, the compiler needs actual variable declaration at the time of linking the program. A variable declaration is useful when you are using multiple files and you define your variable in one of the files which will be available at the time of linking the program. You will use the keyword extern to declare a variable at any place. Though you can declare a variable multiple times in your C program, it can be defined only once in a file, a function, or a block of code. Example Try the following example, where variables have been declared at the top, but they have been defined and initialized inside the main function: int i, j, k; char c, ch; float f, salary; double d; type variable_name = value; extern int d = 3, f = 5; int d = 3, f = 5; byte z = 22; char x = 'x'; // declaration of d and f. // definition and initializing d and f. // definition and initializes z. // the variable x has the value 'x'.
  • 11.
    When the abovecode is compiled and executed, it produces the following result: The same concept applies on function declaration where you provide a function name at the time of its declaration and its actual definition can be given anywhere else. For example: #include <stdio.h> // Variable declaration: extern int a, b; extern int c; extern float f; int main () { /* variable definition: */ int a, b; int c; float f; /* actual initialization */ a = 10; b = 20; c = a + b; printf("value of c : %d n", c); f = 70.0/3.0; printf("value of f : %f n", f); return 0; } value of c : 30 value of f : 23.333334
  • 12.
    LvaluesandRvaluesinC There are twokinds of expressions in C:  lvalue : Expressions that refer to a memory location are called "lvalue" expressions. An lvalue may appear as either the left-hand or right-hand side of an assignment.  rvalue : The term rvalue refers to a data value that is stored at some address in memory. An rvalue is an expression that cannot have a value assigned to it which means an rvalue may appear on the right-hand side but not on the left-hand side of an assignment. Variables are lvalues and so they may appear on the left-hand side of an assignment. Numeric literals are rvalues and so they may not be assigned and cannot appear on the left-hand side. Take a look at the following valid and invalid statements: OPERATORS An operator is a symbol that tells the compiler to perform specific mathematical or logical functions. C language is rich in built-in operators and provides the following types of operators:  Arithmetic Operators  Relational Operators  Logical Operators  Bitwise Operators  Assignment Operators int g = 20; 10 = 20; // valid statement // invalid statement; would generate compile-time error // function declaration int func(); int main() { // function call int i = func(); } // function definition int func() { return 0; }
  • 13.
     Misc Operators Wewill, in this chapter, look into the way each operator works. ArithmeticOperators The following table shows all the arithmetic operators supported by the C language. Assume variable A holds 10 and variable B holds 20, then: Operator Description Example + Adds two operands. A + B = 30 - Subtracts second operand from the first. A - B = -10 * Multiplies both operands. A * B = 200 / Divides numerator by de-numerator. B / A = 2 % Modulus Operator and remainder of after an integer division. B % A = 0 ++ Increment operator increases the integer value by one. A++ = 11
  • 14.
    -- Decrement operator valueby one. decreases the integer A-- = 9 Example Try the following example to understand all the arithmetic operators available in C: When you compile and execute the above program, it produces the following result: #include <stdio.h> main() { int a = 21; int b = 10; int c ; c = a + b; printf("Line 1 - Value of c is %dn", c ); c = a - b; printf("Line 2 - Value of c is %dn", c ); c = a * b; printf("Line 3 - Value of c is %dn", c ); c = a / b; printf("Line 4 - Value of c is %dn", c ); c = a % b; printf("Line 5 - Value of c is %dn", c ); c = a++; printf("Line 6 - Value of c is %dn", c ); c = a--; printf("Line 7 - Value of c is %dn", c ); } Line 1 - Value of c is 31
  • 15.
    RelationalOperators The following tableshows all the relational operators supported by C. Assume variable A holds 10 and variable B holds 20, then: Operator Description Example == Checks if the values of two operands are equal or not. If yes, then the condition becomes true. (A == B) is not true. != Checks if the values of two operands are equal or not. If the values are not equal, then the condition becomes true. (A != B) is true. > Checks if the value of left operand is greater than the value of right operand. If yes, then the condition becomes true. (A > B) is not true. < Checks if the value of left operand is less than the value of right operand. If yes, then the condition becomes true. (A < B) is true. >= Checks if the value of left operand is greater than or equal to the value of right operand. If yes, then the condition becomes true. (A >= B) is not true. <= Checks if the value of left operand is less than or equal to the value of right operand. If yes, then the condition becomes true. (A <= B) is true. Line 2 - Value of c is 11 Line 3 - Value of c is 210 Line 4 - Value of c is 2 Line 5 - Value of c is 1 Line 6 - Value of c is 21 Line 7 - Value of c is 22
  • 16.
    Example Try the followingexample to understand all the relational operators available in C: #include <stdio.h> main() { int a = 21; int b = 10; int c ; if( a == b ) { printf("Line 1 - a is equal to bn" ); } else { printf("Line 1 - a is not equal to bn" ); } if ( a < b ) { printf("Line 2 - a is less than bn" ); } else { printf("Line 2 - a is not less than bn" ); } if ( a > b ) { printf("Line 3 - a is greater than bn" ); } else {
  • 17.
    When you compileand execute the above program, it produces the following result: LogicalOperators Following table shows all the logical operators supported by C language. Assume variable A holds 1 and variable B holds 0, then: Operator Description Example && Called Logical AND operator. If both the operands are non-zero, then the condition becomes true. (A && B) is false. || Called Logical OR Operator. If any of the two operands is non-zero, then the condition (A || B) is true. printf("Line 3 - a is not greater than bn" ); } /* Lets change value of a and b */ a = 5; b = 20; if ( a <= b ) { printf("Line 4 - a is either less than or equal to bn" ); } if ( b >= a ) { printf("Line 5 - b is either greater than or equal to bn" ); } } Line 1 - a is not equal to b Line 2 - a is not less than b Line 3 - a is greater than b Line 4 - a is either less than or equal to b Line 5 - b is either greater than or equal to b
  • 18.
    becomes true. ! CalledLogical NOT Operator. It is used to reverse the logical state of its operand. If a condition is true, then Logical NOT operator will make it false. !(A && true. B) is Example Try the following example to understand all the logical operators available in C: #include <stdio.h> main() { int a = 5; int b = 20; int c ; if ( a && b ) { printf("Line 1 - Condition is truen" ); } if ( a || b ) { printf("Line 2 - Condition is truen" ); } /* lets change the value of a and b */ a = 0; b = 10; if ( a && b ) { printf("Line 3 - Condition is truen" ); } else
  • 19.
    When you compileand execute the above program, it produces the following result: BitwiseOperators Bitwise operators work on bits and perform bit-by-bit operation. The truth table for &, |, and ^ is as follows: p q p & q p | q p ^ q 0 0 0 0 0 0 1 0 1 1 1 1 1 1 0 1 0 0 1 1 Assume A = 60 and B = 13; in binary format, they will be as follows: A = 0011 1100 B = 0000 1101 ----------------- { printf("Line 3 - Condition is not truen" ); } if ( !(a && b) ) { printf("Line 4 - Condition is truen" ); } } Line 1 - Condition is true Line 2 - Condition is true Line 3 - Condition is not true Line 4 - Condition is true
  • 20.
    A&B = 00001100 A|B = 0011 1101 A^B = 0011 0001 ~A = 1100 0011 The following table lists the bitwise operators supported by C. Assume variable ‘A’ holds 60 and variable ‘B’ holds 13, then: Operator Description Example & Binary AND Operator copies a bit to the result if it exists in both operands. (A & B) = 12, i.e., 0000 1100 | Binary OR Operator copies a bit if it exists in either operand. (A | B) = 61, i.e., 0011 1101 ^ Binary XOR Operator copies the bit if it is set in one operand but not both. (A ^ B) = 49, i.e., 0011 0001 ~ Binary Ones Complement Operator is unary and has the effect of 'flipping' bits. (~A ) = -61, i.e., 1100 0011 in 2's complement form. << Binary Left Shift Operator. The left operands value is moved left by the number of bits specified by the right operand. A << 2 = 240, i.e., 1111 0000 >> Binary Right Shift Operator. The left operands value is moved right by the number of bits specified by the right operand. A >> 2 = 15, i.e., 0000 1111 Example Try the following example to understand all the bitwise operators available in C: #include <stdio.h> main() {
  • 21.
    When you compileand execute the above program, it produces the following result: unsigned int a = 60; unsigned int b = 13; int c = 0; /* 60 = 0011 1100 */ /* 13 = 0000 1101 */ c = a & b; /* 12 = 0000 1100 */ printf("Line 1 - Value of c is %dn", c ); c = a | b; /* 61 = 0011 1101 */ printf("Line 2 - Value of c is %dn", c ); c = a ^ b; /* 49 = 0011 0001 */ printf("Line 3 - Value of c is %dn", c ); c = ~a; /*-61 = 1100 0011 */ printf("Line 4 - Value of c is %dn", c ); c = a << 2; /* 240 = 1111 0000 */ printf("Line 5 - Value of c is %dn", c ); c = a >> 2; /* 15 = 0000 1111 */ printf("Line 6 - Value of c is %dn", c ); } Line 1 - Value of c is 12 Line 2 - Value of c is 61 Line 3 - Value of c is 49 Line 4 - Value of c is -61 Line 5 - Value of c is 240 Line 6 - Value of c is 15
  • 22.
    AssignmentOperators The following tableslists the assignment operators supported by the C language: Operator Description Example = Simple assignment operator. Assigns values from right side operands to left side operand. C = A + B will assign the value of A + B to C += Add AND assignment operator. It adds the right operand to the left operand and assigns the result to the left operand. C += A is equivalent to C = C + A -= Subtract AND assignment operator. It subtracts the right operand from the left operand and assigns the result to the left operand. C -= A is equivalent to C = C - A *= Multiply AND assignment operator. It multiplies the right operand with the left operand and assigns the result to the left operand. C *= A is equivalent to C = C * A /= Divide AND assignment operator. It divides the left operand with the right operand and assigns the result to the left operand. C /= A is equivalent to C = C / A %= Modulus AND assignment operator. It takes modulus using two operands and assigns the result to the left operand. C %= A is equivalent to C = C % A <<= Left shift AND assignment operator. C <<= 2 is same as C = C << 2 >>= Right shift AND assignment operator. C >>= 2 is same as C = C >> 2 &= Bitwise AND assignment operator. C &= 2 is same as C
  • 23.
    = C &2 ^= Bitwise exclusive operator. OR and assignment C ^= 2 is same as = C ^ 2 C |= Bitwise inclusive operator. OR and assignment C |= 2 is same as C C | 2 = Example Try the following example to understand all the assignment operators available in C: #include <stdio.h> main() { int a = 21; int c ; c = a; printf("Line 1 - = Operator Example, Value of c = %dn", c ); c += a; printf("Line 2 - += Operator Example, Value of c = %dn", c ); c -= a; printf("Line 3 - -= Operator Example, Value of c = %dn", c ); c *= a; printf("Line 4 - *= Operator Example, Value of c = %dn", c );
  • 24.
    When you compileand execute the above program, it produces the following result: c /= a; printf("Line 5 - /= Operator Example, Value of c = %dn", c ); c = 200; c %= a; printf("Line 6 - %= Operator Example, Value of c = %dn", c ); c <<= 2; printf("Line 7 - <<= Operator Example, Value of c = %dn", c ); c >>= 2; printf("Line 8 - >>= Operator Example, Value of c = %dn", c ); c &= 2; printf("Line 9 - &= Operator Example, Value of c = %dn", c ); c ^= 2; printf("Line 10 - ^= Operator Example, Value of c = %dn", c ); c |= 2; printf("Line 11 - |= Operator Example, Value of c = %dn", c ); } Line 1 - = Operator Example, Value of c = 21 Line 2 - += Operator Example, Value of c = 42 Line 3 - -= Operator Example, Value of c = 21 Line 4 - *= Operator Example, Value of c = 441 Line 5 - /= Operator Example, Value of c = 21 Line 6 - %= Operator Example, Value of c = 11 Line 7 - <<= Operator Example, Value of c = 44 Line 8 - >>= Operator Example, Value of c = 11
  • 25.
    MiscOperators↦sizeof&ternary Besides the operatorsdiscussed above, there are a few other important operators including sizeof and ? : supported by the C Language. Operator Description Example sizeof() Returns the size of a variable. sizeof(a), where a is integer, will return 4. & Returns the address of a variable. &a; returns the actual address of the variable. * Pointer to a variable. *a; ? : Conditional Expression. If Condition is true ? then value X : otherwise value Y Example Try following example to understand all the miscellaneous operators available in C: Line 9 - &= Operator Example, Value of c = 2 Line 10 - ^= Operator Example, Value of c = 0 Line 11 - |= Operator Example, Value of c = 2 #include <stdio.h> main() { int a = 4; short b; double c; int* ptr;
  • 26.
    When you compileand execute the above program, it produces the following result: OperatorsPrecedenceinC Operator precedence determines the grouping of terms in an expression and decides how an expression is evaluated. Certain operators have higher precedence than others; for example, the multiplication operator has a higher precedence than the addition operator. For example, x = 7 + 3 * 2; here, x is assigned 13, not 20 because operator * has a higher precedence than +, so it first gets multiplied with 3*2 and then adds into 7. /* example of sizeof operator */ printf("Line 1 - Size of variable a = %dn", sizeof(a) ); printf("Line 2 - Size of variable b = %dn", sizeof(b) ); printf("Line 3 - Size of variable c= %dn", sizeof(c) ); /* example of & and * operators */ ptr = &a; /* 'ptr' now contains the address of 'a'*/ printf("value of a is %dn", a); printf("*ptr is %d.n", *ptr); /* example of ternary operator */ a = 10; b = (a == 1) ? 20: 30; printf( "Value of b is %dn", b ); b = (a == 10) ? 20: 30; printf( "Value of b is %dn", b ); } value of a is 4 *ptr is 4. Value of b is 30 Value of b is 20
  • 27.
    Here, operators withthe highest precedence appear at the top of the table, those with the lowest appear at the bottom. Within an expression, higher precedence operators will be evaluated first. Category Operator Associativity Postfix () [] -> . ++ - - Left to right Unary + - ! ~ ++ - - (type)* & sizeof Right to left Multiplicative * / % Left to right Additive + - Left to right Shift << >> Left to right Relational < <= > >= Left to right Equality == != Left to right Bitwise AND & Left to right Bitwise XOR ^ Left to right Bitwise OR | Left to right Logical AND && Left to right Logical OR || Left to right Conditional ?: Right to left Assignment = += -= *= /= %=>>= <<= &= ^= |= Right to left Comma , Left to right
  • 28.
    Example Try the followingexample to understand operator precedence in C: When you compile and execute the above program, it produces the following result: #include <stdio.h> main() { int a = 20; int b = 10; int c = 15; int d = 5; int e; e = (a + b) * c / d; // ( 30 * 15 ) / 5 printf("Value of (a + b) * c / d is : %dn", e ); e = ((a + b) * c) / d; // (30 * 15 ) / 5 printf("Value of ((a + b) * c) / d is : %dn" , e ); e = (a + b) * (c / d); // (30) * (15/5) printf("Value of (a + b) * (c / d) is : %dn", e ); e = a + (b * c) / d; // 20 + (150/5) printf("Value of a + (b * c) / d is : %dn" , e ); return 0; } Value of (a + b) * c / d is : 90 Value of ((a + b) * c) / d is: 90 Value of (a + b) * (c / d) is: 90 Value of a + (b * c) / d is : 50
  • 29.
    LIBRARY (I/O) FUNCTIONS Whenwe say Input, it means to feed some data into a program. An input can be given in the form of a file or from the command line. C programming provides a set of built-in functions to read the given input and feed it to the program as per requirement.When we say Output, it means to display some data on screen, printer, or in any file. C programming provides a set of built-in functions to output the data on the computer screen as well as to save it in text or binary files. Thegetchar()andputchar()Functions The int getchar(void) function reads the next available character from the screen and returns it as an integer. This function reads only single character at a time. You can use this method in the loop in case you want to read more than one character from the screen. The int putchar(int c) function puts the passed character on the screen and returns the same character. This function puts only single character at a time. You can use this method in the loop in case you want to display more than one character on the screen. Check the following example: #include <stdio.h> int main( ) { int c; printf( "Enter a value :"); c = getchar( ); printf( "nYou entered: "); putchar( c ); return 0; }
  • 30.
    When the abovecode is compiled and executed, it waits for you to input some text. When you enter a text and press enter, then the program proceeds and reads only a single character and displays it as follows: Thegets()andputs()Functions The char *gets(char *s) function reads a line from stdin into the buffer pointed to by s until either a terminating newline or EOF (End of File). The int puts(const char *s) function writes the string ‘s’ and ‘a’ trailing newline to stdout. $./a.out Enter a value : this is test You entered: t #include <stdio.h> int main( ) { char str[100]; printf( "Enter a value :"); gets( str ); printf( "nYou entered: "); puts( str ); return 0; }
  • 31.
    When the abovecode is compiled and executed, it waits for you to input some text. When you enter a text and press enter, then the program proceeds and reads the complete line till end, and displays it as follows: Thescanf()andprintf()Functions The int scanf(const char *format, ...) function reads the input from the standard input stream stdin and scans that input according to the format provided. The int printf(const char *format, ...) function writes the output to the standard output stream stdout and produces the output according to the format provided. The format can be a simple constant string, but you can specify %s, %d, %c, %f, etc., to print or read strings, integer, character, or float, respectively. There are many other formatting options available which can be used based on requirements. Let us now proceed with a simple example to understand the concepts better: $./a.out Enter a value : this is test You entered: This is test #include <stdio.h> int main( ) { char str[100]; int i; printf( "Enter a value :"); scanf("%s %d", str, &i); printf( "nYou entered: %s %d ", str, i); return 0; }
  • 32.
    When the abovecode is compiled and executed, it waits for you to input some text. When you enter a text and press enter, then program proceeds and reads the input and displays it as follows: Here, it should be noted that scanf() expects input in the same format as you provided %s and %d, which means you have to provide valid inputs like "string integer". If you provide "string string" or "integer integer", then it will be assumed as wrong input. Secondly, while reading a string, scanf() stops reading as soon as it encounters a space, so "this is test" are three strings for scanf(). STORAGE CLASSES A storage class defines the scope (visibility) and life-time of variables and/or functions within a C Program. They precede the type that they modify. We have four different storage classes in a C program:  auto  register  static  extern TheautoStorageClass The auto storage class is the default storage class for all local variables. The example above defines two variables within the same storage class. ‘auto’ can only be used within functions, i.e., local variables. TheregisterStorageClass The register storage class is used to define local variables that should be stored in a register instead of RAM. This means that the variable has a maximum size equal to the register size (usually one word) and can't have the unary '&' operator applied to it (as it does not have a memory location). $./a.out Enter a value : seven 7 You entered: seven 7 { int mount; auto int month; }
  • 33.
    The register shouldonly be used for variables that require quick access such as counters. It should also be noted that defining 'register' does not mean that the variable will be stored in a register. It means that it MIGHT be stored in a register depending on hardware and implementation restrictions. { register int miles; }
  • 34.
    ThestaticStorageClass The static storageclass instructs the compiler to keep a local variable in existence during the life-time of the program instead of creating and destroying it each time it comes into and goes out of scope. Therefore, making local variables static allows them to maintain their values between function calls. The static modifier may also be applied to global variables. When this is done, it causes that variable's scope to be restricted to the file in which it is declared. In C programming, when static is used on a class data member, it causes only one copy of that member to be shared by all the objects of its class. When the above code is compiled and executed, it produces the following result: #include <stdio.h> /* function declaration */ void func(void); static int count = 5; /* global variable */ main() { while(count--) { func(); } return 0; } /* function definition */ void func( void ) { static int i = 5; i++; /* local static variable */ printf("i is %d and count is %dn", i, count); } i is 6 and count is 4 i is 7 and count is 3
  • 35.
    TheexternStorageClass The extern storageclass is used to give a reference of a global variable that is visible to ALL the program files. When you use 'extern', the variable cannot be initialized, however, it points the variable name at a storage location that has been previously defined. When you have multiple files and you define a global variable or function, which will also be used in other files, then extern will be used in another file to provide the reference of defined variable or function. Just for understanding, extern is used to declare a global variable or function in another file. The extern modifier is most commonly used when there are two or more files sharing the same global variables or functions as explained below. First File: main.c Second File: support.c i is 8 and count is 2 i is 9 and count is 1 i is 10 and count is 0 #include <stdio.h> int count; extern void write_extern(); main() { count = 5; write_extern(); } #include <stdio.h> extern int count; void write_extern(void) {
  • 36.
    Here, extern isbeing used to declare count in the second file, whereas it has its definition in the first file, main.c. Now, compile these two files as follows: It will produce the executable program a.out. When this program is executed, it produces the following result: CONTROL STATEMENTS. Decision-making structures require that the programmer specifies one or more conditions to be evaluated or tested by the program, along with a statement or statements to be executed if the condition is determined to be true, and optionally, other statements to be executed if the condition is determined to be false. C programming language assumes any non-zero and non-null values as true, and if it is either zero or null, then it is assumed as false value. C programming language provides the following types of decision- making statements. ifStatement An if statement consists of a Boolean expression followed by one or more statements. Syntax The syntax of an ‘if’ statement in C programming language is: If the Boolean expression evaluates to true, then the block of code inside the ‘if’ statement will be executed. If the Boolean expression evaluates to false, then the first set of code after the end of the ‘if’ statement (after the closing curly brace) will be executed. C programming language assumes any non-zero and non-null values as true and if it is either zero or null, then it is assumed as false value. printf("count is %dn", count); } $gcc main.c support.c 5 if(boolean_expression) { /* statement(s) will execute if the boolean expression is true */ }
  • 37.
    Example When the abovecode is compiled and executed, it produces the following result: if…elseStatement An if statement can be followed by an optional else statement, which executes when the Boolean expression is false. Syntax The syntax of an if...else statement in C programming language is: #include <stdio.h> int main () { /* local variable definition */ int a = 10; /* check the boolean condition using if statement */ if( a < 20 ) { /* if condition is true then print the following */ printf("a is less than 20n" ); } printf("value of a is : %dn", a); return 0; } a is less than 20; value of a is : 10
  • 38.
    If the Booleanexpression evaluates to true, then the if block will be executed, otherwise, the else block will be executed. C programming language assumes any non-zero and non-null values as true, and if it is either zero or null, then it is assumed as false value. Example if(boolean_expression) { /* statement(s) will execute if the boolean expression is true */ } else { /* statement(s) will execute if the boolean expression is false */ }
  • 39.
    When the abovecode is compiled and executed, it produces the following result: if...elseif...elseStatement An if statement can be followed by an optional else if...else statement, which is very useful to test various conditions using single if...else if statement. When using if…else if…else statements, there are few points to keep in mind:  An if can have zero or one else's and it must come after any else if's.  An if can have zero to many else if's and they must come before the else. #include <stdio.h> int main () { /* local variable definition */ int a = 100; /* check the boolean condition */ if( a < 20 ) { /* if condition is true then print the following */ printf("a is less than 20n" ); } else { /* if condition is false then print the following */ printf("a is not less than 20n" ); } printf("value of a is : %dn", a); return 0; } a is not less than 20; value of a is : 100
  • 40.
     Once anelse if succeeds, none of the remaining else if's or else's will be tested. Syntax The syntax of an if...else if...else statement in C programming language is: Example if(boolean_expression 1) { /* Executes when the boolean expression 1 is true */ } else if( boolean_expression 2) { /* Executes when the boolean expression 2 is true */ } else if( boolean_expression 3) { /* Executes when the boolean expression 3 is true */ } else { /* executes when the none of the above condition is true */ } #include <stdio.h> int main () { /* local variable definition */ int a = 100; /* check the boolean condition */ if( a == 10 ) { /* if condition is true then print the following */
  • 41.
    When the abovecode is compiled and executed, it produces the following result: NestedifStatements It is always legal in C programming to nest if-else statements, which means you can use one if or else if statement inside another if or else if statement(s). Syntax The syntax for a nested if statement is as follows: printf("Value of a is 10n" ); } else if( a == 20 ) { /* if else if condition is true */ printf("Value of a is 20n" ); } else if( a == 30 ) { /* if else if condition is true */ printf("Value of a is 30n" ); } else { /* if none of the conditions is true */ printf("None of the values is matchingn" ); } printf("Exact value of a is: %dn", a ); return 0; } None of the values is matching Exact value of a is: 100 if( boolean_expression 1) {
  • 42.
    You can nestelse if...else in the similar way as you have nested if statements. Example When the above code is compiled and executed, it produces the following result: /* Executes when the boolean expression 1 is true */ if(boolean_expression 2) { /* Executes when the boolean expression 2 is true */ } } #include <stdio.h> int main () { /* local variable definition */ int a = 100; int b = 200; /* check the boolean condition */ if( a == 100 ) { /* if condition is true then check the following */ if( b == 200 ) { /* if condition is true then print the following */ printf("Value of a is 100 and b is 200n" ); } } printf("Exact value of a is : %dn", a ); printf("Exact value of b is : %dn", b ); return 0; }
  • 43.
    switchStatement A switch statementallows a variable to be tested for equality against a list of values. Each value is called a case, and the variable being switched on is checked for each switch case. Syntax The syntax for a switch statement in C programming language is as follows: The following rules apply to a switch statement:  The expression used in a switch statement must have an integral or enumerated type, or be of a class type in which the class has a single conversion function to an integral or enumerated type.  You can have any number of case statements within a switch. Each case is followed by the value to be compared to and a colon.  The constant-expression for a case must be the same data type as the variable in the switch, and it must be a constant or a literal.  When the variable being switched on is equal to a case, the statements following that case will execute until a break statement is reached.  When a break statement is reached, the switch terminates, and the flow of control jumps to the next line following the switch statement. Value of a is 100 and b is 200 Exact value of a is : 100 Exact value of b is : 200 switch(expression){ case constant-expression statement(s); break; /* optional */ case constant-expression statement(s); break; /* optional */ : : /* you can have any number of case statements */ default : /* Optional */ statement(s); }
  • 44.
     Not everycase needs to contain a break. If no break appears, the flow of control will fall through to subsequent cases until a break is reached.  A switch statement can have an optional default case, which must appear at the end of the switch. The default case can be used for performing a task when none of the cases is true. No break is needed in the default case. Example #include <stdio.h> int main () { /* local variable definition */ char grade = 'B'; switch(grade) { case 'A' :
  • 45.
    When the abovecode is compiled and executed, it produces the following result: LOOPS You may encounter situations when a block of code needs to be executed several number of times. In general, statements are executed sequentially: The first statement in a function is executed first, followed by the second, and so on Programming languages provide various control structures that allow for more complicated execution paths.A loop statement allows us to execute a statement or group of statements multiple times. C programming language provides the following types of loops to handle looping requirements. whileLoop A while loop in C programming repeatedly executes a target printf("Excellent!n" ); break; case 'B' : case 'C' : printf("Well donen" ); break; case 'D' : printf("You passedn" ); break; case 'F' : printf("Better try againn" ); break; default : printf("Invalid graden" ); } printf("Your grade is %cn", grade ); return 0; } Well done Your grade is B
  • 46.
    statement as longas a given condition is true. Syntax The syntax of a while loop in C programming language is: Here, statement(s) may be a single statement or a block of statements. The condition may be any expression, and true is any nonzero value. The loop iterates while the condition is true. When the condition becomes false, the program control passes to the line immediately following the loop. Example while(condition) { statement(s); } #include <stdio.h> int main () { /* local variable definition */ int a = 10; /* while loop execution */ while( a < 20 ) { printf("value of a: %dn", a); a++; }
  • 47.
    When the abovecode is compiled and executed, it produces the following result: forLoop A for loop is a repetition control structure that allows you to efficiently write a loop that needs to execute a specific number of times. Syntax The syntax of a for loop in C programming language is: Here is the flow of control in a ‘for’ loop: 1. The init step is executed first, and only once. This step allows you to declare and initialize any loop control variables. You are not required to put a statement here, as long as a semicolon appears. 2. Next, the condition is evaluated. If it is true, the body of the loop is executed. If it is false, the body of the loop does not execute and the flow of control jumps to the next statement just after the ‘for’ loop. 3. After the body of the ‘for’ loop executes, the flow of control jumps back up to the increment statement. This statement allows you to update any loop control variables. This statement can be left blank, as long as a semicolon appears after the condition. return 0; } value of a: 10 value of a: 11 value of a: 12 value of a: 13 value of a: 14 value of a: 15 value of a: 16 value of a: 17 value of a: 18 value of a: 19 for ( init; condition; increment ) { statement(s); }
  • 48.
    4. The conditionis now evaluated again. If it is true, the loop executes and the process repeats itself (body of loop, then increment step, and then again condition). After the condition becomes false, the ‘for’ loop terminates. Example #include <stdio.h> int main () { /* for loop execution */ for( int a = 10; a < 20; a = a + 1 ) { printf("value of a: %dn", a);
  • 49.
    When the abovecode is compiled and executed, it produces the following result: do…whileLoop Unlike for and while loops, which test the loop condition at the top of the loop, the do...while loop in C programming checks its condition at the bottom of the loop. A do...while loop is similar to a while loop, except the fact that it is guaranteed to execute at least one time. Syntax The syntax of a do...while loop in C programming language is: Notice that the conditional expression appears at the end of the loop, so the statement(s) in the loop executes once before the condition is tested. } return 0; } value of a: 10 value of a: 11 value of a: 12 value of a: 13 value of a: 14 value of a: 15 value of a: 16 value of a: 17 value of a: 18 value of a: 19 do { statement(s); }while( condition );
  • 50.
    If the conditionis true, the flow of control jumps back up to do, and the statement(s) in the loop executes again. This process repeats until the given condition becomes false. breakStatement The break statement in C programming has the following two usages:  When a break statement is encountered inside a loop, the loop is immediately terminated and the program control resumes at the next statement following the loop.  It can be used to terminate a case in the switch statement (covered in the next chapter). If you are using nested loops, the break statement will stop the execution of the innermost loop and start executing the next line of code after the block. Syntax The syntax for a break statement in C is as follows: Example break;
  • 51.
    #include <stdio.h> int main() { /* local variable definition */ int a = 10; /* while loop execution */ while( a < 20 ) { printf("value of a: %dn", a); a++; if( a > 15) { /* terminate the loop using break statement */ break; } }
  • 52.
    When the abovecode is compiled and executed, it produces the following result: continueStatement The continue statement in C programming works somewhat like the break statement. Instead of forcing termination, it forces the next iteration of the loop to take place, skipping any code in between. For the for loop, continue statement causes the conditional test and increment portions of the loop to execute. For the while and do...while loops, continue statement causes the program control to pass to the conditional tests. Syntax The syntax for a continue statement in C is as follows: Example return 0; } value of a: 10 value of a: 11 value of a: 12 value of a: 13 value of a: 14 value of a: 15 continue;
  • 53.
    #include <stdio.h> int main() { /* local variable definition */ int a = 10; /* do loop execution */ do { if( a == 15) { /* skip the iteration */ a = a + 1; continue; } printf("value of a: %dn", a); a++; }while( a < 20 );
  • 54.
    When the abovecode is compiled and executed, it produces the following result: gotoStatement A goto statement in C programming provides an unconditional jump from the ‘goto’ to a labeled statement in the same function. NOTE: Use of goto statement is highly discouraged in any programming language because it makes difficult to trace the control flow of a program, making the program hard to understand and hard to modify. Any program that uses a goto can be rewritten to avoid them. Syntax The syntax for a goto statement in C is as follows: Here label can be any plain text except C keyword and it can be set anywhere in the C program above or below to goto statement. Example return 0; } value of a: 10 value of a: 11 value of a: 12 value of a: 13 value of a: 14 value of a: 16 value of a: 17 value of a: 18 value of a: 19 goto label; .. . label: statement;
  • 55.
    #include <stdio.h> int main() { /* local variable definition */ int a = 10; /* do loop execution */ LOOP:do { if( a == 15) { /* skip the iteration */ a = a + 1; goto LOOP; } printf("value of a: %dn", a); a++; }while( a < 20 );
  • 56.
    When the abovecode is compiled and executed, it produces the following result: FUNCTIONS. A function is a group of statements that together perform a task. Every C program has at least one function, which is main(), and all the most trivial programs can define additional functions. You can divide up your code into separate functions. How you divide up your code among different functions is up to you, but logically the division is such that each function performs a specific task. A function declaration tells the compiler about a function's name, return type, and parameters. A function definition provides the actual body of the function. The C standard library provides numerous built-in functions that your program can call. For example, strcat() to concatenate two strings, memcpy() to copy one memory location to another location, and many more functions. A function can also be referred as a method or a sub-routine or a procedure, etc. DefiningaFunction The general form of a function definition in C programming language is as follows: A function definition in C programming consists of a function header and function body. return 0; } return_type function_name( parameter list ) { body of the function } value of a: 10 value of a: 11 value of a: 12 value of a: 13 value of a: 14 value of a: 16 value of a: 17 value of a: 18 value of a: 19
  • 57.
    Here are allthe parts of a function:  Return Type: A function may return a value. The return_type is the data type of the value the function returns. Some functions perform the desired operations without returning a value. In this case, the return_type is the keyword void.  Function Name: This is the actual name of the function. The function name and the parameter list together constitute the function signature.  Parameters: A parameter is like a placeholder. When a function is invoked, you pass a value to the parameter. This value is referred to as actual parameter or argument. The parameter list refers to the type, order, and number of the parameters of a function. Parameters are optional; that is, a function may contain no parameters.
  • 58.
     Function Body:The function body contains a collection of statements that define what the function does. Example Given below is the source code for a function called max(). This function takes two parameters num1 and num2 and returns the maximum value between the two: FunctionDeclarations A function declaration tells the compiler about a function name and how to call the function. The actual body of the function can be defined separately. A function declaration has the following parts: For the above defined function max(),the function declaration is as follows: Parameter names are not important in function declaration, only their type is required, so the following is also a valid declaration: Function declaration is required when you define a function in one source file and you call that function in another file. In such case, you should declare the function at the top of the file calling the function. /* function returning the max between two numbers */ int max(int num1, int num2) { /* local variable declaration */ int result; if (num1 > num2) result = num1; else result = num2; return result; } return_type function_name( parameter list ); int max(int num1, int num2); int max(int, int);
  • 59.
    CallingaFunction While creating aC function, you give a definition of what the function has to do. To use a function, you will have to call that function to perform the defined task. When a program calls a function, the program control is transferred to the called function. A called function performs a defined task and when its return statement is executed or when its function-ending closing brace is reached, it returns the program control back to the main program. To call a function, you simply need to pass the required parameters along with the function name, and if the function returns a value, then you can store the returned value. For example: #include <stdio.h> /* function declaration */ int max(int num1, int num2); int main () { /* local variable definition */ int a = 100; int b = 200; int ret; /* calling a function to get max value */ ret = max(a, b); printf( "Max value is : %dn", ret ); return 0; } /* function returning the max between two numbers */ int max(int num1, int num2) { /* local variable declaration */ int result;
  • 60.
    We have keptmax()along with main() and compiled the source code. While running the final executable, it would produce the following result: FunctionArguments If a function is to use arguments, it must declare variables that accept the values of the arguments. These variables are called the formal parameters of the function. Formal parameters behave like other local variables inside the function and are created upon entry into the function and destroyed upon exit. While calling a function, there are two ways in which arguments can be passed to a function: Call Type Description Call by value This method copies the actual value of an argument into the formal parameter of the function. In this case, changes made to the parameter inside the function have no effect on the argument. Call by reference This method copies the address of an argument into the formal parameter. Inside the function, the address is used to access the actual argument used in the call. This means that changes made to the parameter affect the argument. if (num1 > num2) result = num1; else result = num2; return result; } Max value is : 200
  • 61.
    CallbyValue The call byvalue method of passing arguments to a function copies the actual value of an argument into the formal parameter of the function. In this case, changes made to the parameter inside the function have no effect on the argument. By default, C programming uses call by value to pass arguments. In general, it means the code within a function cannot alter the arguments used to call the function. Consider the function swap() definition as follows. Now, let us call the function swap() by passing actual values as in the following example: /* function definition to swap the values */ void swap(int x, int y) { int temp; temp = x; /* save the value of x */ x = y; /* put y into x */ y = temp; /* put temp into y */ return; }
  • 62.
    #include <stdio.h> /* functiondeclaration */ void swap(int x, int y); int main () { /* local variable definition */ int a = 100; int b = 200; printf("Before swap, value of a : %dn", a ); printf("Before swap, value of b : %dn", b );
  • 63.
    Let us putthe above code in a single C file, compile and execute it, it will produce the following result: It shows that there are no changes in the values, though they had been changed inside the function. CallbyReference The call by reference method of passing arguments to a function copies the address of an argument into the formal parameter. Inside the function, the address is used to access the actual argument used in the call. It means the changes made to the parameter affect the passed argument. To pass a value by reference, argument pointers are passed to the functions just like any other value. So accordingly, you need to declare the function parameters as pointer types as in the following function swap(), which exchanges the values of the two integer variables pointed to, by their arguments. /* calling a function to swap the values */ swap(a, b); printf("After swap, value of a : %dn", a ); printf("After swap, value of b : %dn", b ); return 0; } Before swap, value of a :100 Before swap, value of b :200 After swap, value of a :100 After swap, value of b :200 /* function definition to swap the values */ void swap(int *x, int *y) { int temp; temp = *x; *x = *y; *y = temp; /* save the value at address x */ /* put y into x */ /* put temp into y */
  • 64.
    Let us nowcall the function swap() by passing values by reference as in the following example: Let us put the above code in a single C file, compile and execute it, to produce the following result: return; } #include <stdio.h> /* function declaration */ void swap(int *x, int *y); int main () { /* local variable definition */ int a = 100; int b = 200; printf("Before swap, value of a : %dn", a ); printf("Before swap, value of b : %dn", b ); /* calling a function to swap the values. * &a indicates pointer to a i.e. address of variable a and * &b indicates pointer to b i.e. address of variable b. */ swap(&a, &b); printf("After swap, value of a : %dn", a ); printf("After swap, value of b : %dn", b ); return 0; } Before swap, value of a :100 Before swap, value of b :200
  • 65.
    After swap, valueof a :200 After swap, value of b :100 It shows that the change has reflected outside the function as well, unlike call by value where the changes do not reflect outside the function. By default, C uses call by value to pass arguments. In general, it means the code within a function cannot alter the arguments used to call the function. ARRAYS Arrays a kind of data structure that can store a fixed-size sequential collection of elements of the same type. An array is used to store a collection of data, but it is often more useful to think of an array as a collection of variables of the same type. Instead of declaring individual variables, such as number0, number1, ..., and number99, you declare one array variable such as numbers and use numbers[0], numbers[1], and ..., numbers[99] to represent individual variables. A specific element in an array is accessed by an index. All arrays consist of contiguous memory locations. The lowest address corresponds to the first element and the highest address to the last element. DeclaringArrays To declare an array in C, a programmer specifies the type of the elements and the number of elements required by an array as follows: AccessingArrayElements An element is accessed by indexing the array name. This is done by placing the index of the element within square brackets after the name of the array. For example: The above statement will take the 10th element from the array and assign the value to salary variable. The following example shows how to use all the three above-mentioned concepts viz. declaration, assignment, and accessing arrays: double salary = balance[9];
  • 66.
    } /* output eacharray element's value */ for (j = 0; j < 10; j++ ) { printf("Element[%d] = %dn", j, n[j] ); } return 0; } #include <stdio.h> int main () { int n[ 10 ]; /* n is an array of 10 integers */ int i,j; /* initialize elements of array n to 0 */ for ( i = 0; i < 10; i++ ) { n[ i ] = i + 100; /* set element at location i to i + 100 */
  • 67.
    When the abovecode is compiled and executed, it produces the following result: Element[0] = 100 Element[1] = 101 Element[2] = 102 Element[3] = 103 Element[4] = 104 Element[5] = 105 Element[6] = 106 Element[7] = 107 Element[8] = 108 Element[9] = 109 Types of arrays The above example was single dimentional array .also there are other types these are Two-dimensionalArrays The simplest form of multidimensional array is the two-dimensional array. A two-dimensional array is, in essence, a list of one-dimensional arrays. To declare a two-dimensional integer array of size [x][y], you would write something as follows: we have used a nested loop to handle a two-dimensional array: type arrayName [ x ][ y ];
  • 68.
    When the abovecode is compiled and executed, it produces the following result: MultidimensionalArrays C programming language allows multidimensional arrays. Here is the general form of a multidimensional array declaration: For example, the following declaration creates a three-dimensional integer array: #include <stdio.h> int main () { /* an array with 5 rows and 2 columns*/ int a[5][2] = { {0,0}, {1,2}, {2,4}, {3,6},{4,8}}; int i, j; /* output each array element's value */ for ( i = 0; i < 5; i++ ) { for ( j = 0; j < 2; j++ ) { printf("a[%d][%d] = %dn", i,j, a[i][j] ); a[0][0]: 0 a[0][1]: 0 a[1][0]: 1 a[1][1]: 2 a[2][0]: 2 a[2][1]: 4 a[3][0]: 3 a[3][1]: 6 a[4][0]: 4 a[4][1]: 8 type name[size1][size2]...[sizeN]; int threedim[5][10][4];
  • 69.
    PassingArrays to Functions Ifyou want to pass a single-dimension array as an argument in a function, you would have to declare a formal parameter in one of following three ways and all three declaration methods produce similar results because each tells the compiler that an integer pointer is going to be received. Similarly, you can pass multi-dimensional arrays as formal parameters. Formal parameters as a pointer: Example Now, consider the following function, which takes an array as an argument along with another argument and based on the passed arguments, it returns the average of the numbers passed through the array as follows: void myFunction(int *param) { . . . } double getAverage(int arr[], int size) { int i; double avg; double sum; for (i = 0; i < size; ++i) { sum += arr[i]; } avg = sum / size;
  • 70.
    Now, let uscall the above function as follows: When the above code is compiled together and executed, it produces the following result: WhatarePointers? A pointer is a variable whose value is the address of another variable, i.e., direct address of the memory location. Like any variable or constant, you must declare a pointer before using it to store any variable address. The general form of a pointer variable declaration is: return avg; } #include <stdio.h> /* function declaration */ double getAverage(int arr[], int size); int main () { /* an int array with 5 elements */ int balance[5] = {1000, 2, 3, 17, 50}; double avg; /* pass pointer to the array as an argument */ avg = getAverage( balance, 5 ) ; /* output the returned value */ printf( "Average value is: %f ", avg ); return 0; } Average value is: 214.400000
  • 71.
    Here, type isthe pointer's base type; it must be a valid C data type and var- name is the name of the pointer variable. The asterisk * used to declare a pointer is the same asterisk used for multiplication. However, in this statement, the asterisk is being used to designate a variable as a pointer. Take a look at some of the valid pointer declarations: The actual data type of the value of all pointers, whether integer, float, character, or otherwise, is the same, a long hexadecimal number that represents a memory address. The only difference between pointers of different data types is the data type of the variable or constant that the pointer points to. ArrayofPointers Before we understand the concept of arrays of pointers, let us consider the following example, which uses an array of 3 integers: When the above code is compiled and executed, it produces the following result: type *var-name; int *ip; double *dp; float *fp; char *ch /* pointer /* pointer /* pointer /* pointer to to to to an integer */ a a a double */ float */ character */ #include <stdio.h> const int MAX = 3; int main () { int var[] = {10, 100, 200}; int i; for (i = 0; i < MAX; i++) { printf("Value of var[%d] = %dn", i, var[i] ); } return 0; }
  • 72.
    There may bea situation when we want to maintain an array, which can store pointers to an int or char or any other data type available. Following is the declaration of an array of pointers to an integer: It declares ptr as an array of MAX integer pointers. Thus, each element in ptr holds a pointer to an int value. The following example uses three integers, which are stored in an array of pointers, as follows: Value of var[0] = 10 int *ptr[MAX]; Value of var[1] = 100 Value of var[2] = 200 #include <stdio.h> const int MAX = 3; int main () { int var[] = {10, 100, 200}; int i, *ptr[MAX]; for ( i = 0; i < MAX; i++) { ptr[i] = &var[i]; /* assign the address of integer. */ } for ( i = 0; i < MAX; i++) { printf("Value of var[%d] = %dn", i, *ptr[i] ); } return 0; }
  • 73.
    #include <stdio.h> const intMAX = 4; int main () { char *names[] = { "Zara Ali", "Hina Ali", "Nuha Ali", "Sara Ali", }; int i = 0; for ( i = 0; i < MAX; i++) { printf("Value of names[%d] = %sn", i, names[i] ); } return 0; } When the above code is compiled and executed, it produces the following result: ARRAY OF STRINGS You can also use an array of pointers to character to store a list of strings as follows: Value of var[0] = 10 Value of var[1] = 100 Value of var[2] = 200
  • 74.
    #include <stdio.h> #include <time.h> voidgetSeconds(unsigned long *par); int main () { unsigned long sec; getSeconds( &sec ); /* print the actual value */ printf("Number of seconds: %ldn", sec ); return 0; } void getSeconds(unsigned long *par) { /* get the current number of seconds */ *par = time( NULL ); return; } When the above code is compiled and executed, it produces the following result: PassingPointerstoFunctions C programming allows passing a pointer to a function. To do so, simply declare the function parameter as a pointer type. Following is a simple example where we pass an unsigned long pointer to a function and change the value inside the function which reflects back in the calling function: Value of names[0] = Zara Ali Value of names[1] = Hina Ali Value of names[2] = Nuha Ali Value of names[3] = Sara Ali
  • 75.
    STRINGS Strings are actuallyone-dimensional array of characters terminated by a null character '0'. Thus a null-terminated string contains the characters that comprise the string followed by a null. The following declaration and initialization create a string consisting of the word "Hello". To hold the null character at the end of the array, the size of the character array containing the string is one more than the number of characters in the word "Hello." C supports a wide range of functions that manipulate null-terminated strings: S.N. Function & Purpose 1 strcpy(s1, s2); Copies string s2 into string s1. 2 strcat(s1, s2); Concatenates string s2 onto the end of string s1. 3 strlen(s1); Returns the length of string s1. 4 strcmp(s1, s2); Returns 0 if s1 and s2 are the same; less than 0 if s1<s2; greater than 0 if s1>s2. 5 strchr(s1, ch); Returns a pointer to the first occurrence of character ch in string s1. 6 strstr(s1, s2); Returns a pointer to the first occurrence of string s2 in string s1. MEMORY ALLOCATION The C programming language provides several functions for memory allocation and management. These functions can be found in the <stdlib.h> header file. char greeting[6] = {'H', 'e', 'l', 'l', 'o', '0'};
  • 76.
    S.N. Function andDescription 1 void *calloc(int num, int size); This function allocates an array of num elements each of which size in bytes will be size. 2 void free(void *address); This function releases a block of memory block specified by address. 3 void *malloc(int num); This function allocates an array of num bytes and leave them initialized. 4 void *realloc(void *address, int newsize); This function re-allocates memory extending it upto newsize. AllocatingMemoryDynamically While programming, if you are aware of the size of an array, then it is easy and you can define it as an array. For example, to store a name of any person, it can go up to a maximum of 100 characters, so you can define something as follows: example:
  • 77.
    When the abovecode is compiled and executed, it produces the following result. calloc(); Same program can be written using calloc(); only thing is you need to replace malloc with calloc as follows: So you have complete control and you can pass any size value while allocating memory, unlike arrays where once the size is defined, you cannot change it. realloc(). Alternatively, you can increase or decrease the size of an allocated memory block by calling the function realloc(). Let us check the above program once #include <stdlib.h> #include <string.h> int main() { char name[100]; char *description; strcpy(name, "Zara Ali"); /* allocate memory dynamically */ description = malloc( 200 * sizeof(char) ); if( description == NULL ) { fprintf(stderr, "Error - unable to allocate required memoryn"); } else { strcpy( description, "Zara ali a DPS student in class 10th"); } printf("Name = %sn", name ); printf("Description: %sn", description ); } Name = Zara Ali Description: Zara ali a DPS student in class 10th calloc(200, sizeof(char));
  • 78.
    again and makeuse of realloc() and free() functions: #include <stdio.h> #include <stdlib.h> #include <string.h> int main() { char name[100]; char *description; strcpy(name, "Zara Ali"); /* allocate memory dynamically */ description = malloc( 30 * sizeof(char) ); if( description == NULL ) { fprintf(stderr, "Error - unable to allocate required memoryn"); } else { strcpy( description, "Zara ali a DPS student."); } /* suppose you want to store bigger description */ description = realloc( description, 100 * sizeof(char) ); if( description == NULL ) { fprintf(stderr, "Error - unable to allocate required memoryn"); }
  • 79.
    When the abovecode is compiled and executed, it produces the following result. DefiningaStructure To define a structure, you must use the struct statement. The struct statement defines a new data type, with more than one member. The format of the struct statement is as follows: The structure tag is optional and each member definition is a normal variable definition, such as int i; or float f; or any other valid variable definition. At the end of the structure's definition, before the final semicolon, you can specify one or more structure variables but it is optional. Here is the way you would declare the Book structure: else { strcat( description, "She is in class 10th"); } printf("Name = %sn", name ); printf("Description: %sn", description ); /* release memory using free() function */ free(description); } Name = Zara Ali Description: Zara ali a DPS student.She is in class 10th struct [structure tag] { member definition; member definition; ... member definition; } [one or more structure variables]; struct Books { char title[50]; char author[50]; char subject[100];
  • 80.
    AccessingStructureMembers To access anymember of a structure, we use the member access operator (.). The member access operator is coded as a period between the structure variable name and the structure member that we wish to access. You would use the keyword struct to define variables of structure type. The following example shows how to use a structure in a program: int book_id; } book; #include <stdio.h> #include <string.h> struct Books { char title[50]; char author[50]; char subject[100]; int book_id; }; int main( ) { struct Books Book1; struct Books Book2; /* Declare Book1 of type Book */ /* Declare Book2 of type Book */ /* book 1 specification */ strcpy( Book1.title, "C Programming"); strcpy( Book1.author, "ashraf"); strcpy( Book1.subject, "C Programming Tutorial"); Book1.book_id = 6495407; /* book 2 specification */ strcpy( Book2.title, "Telecom Billing"); strcpy( Book2.author, "Zara Ali");
  • 81.
    When the abovecode is compiled and executed, it produces the following result: DefiningaUnion To define a union, you must use the union statement in the same way as you did while defining a structure. The union statement defines a new data type with more than one member for your program The following example displays the total memory size strcpy( Book2.subject, "Telecom Billing Tutorial"); Book2.book_id = 6495700; /* print Book1 info */ printf( "Book 1 title : %sn", Book1.title); printf( "Book 1 author : %sn", Book1.author); printf( "Book 1 subject : %sn", Book1.subject); printf( "Book 1 book_id : %dn", Book1.book_id); /* print Book2 info */ printf( "Book 2 title : %sn", Book2.title); printf( "Book 2 author : %sn", Book2.author); printf( "Book 2 subject : %sn", Book2.subject); printf( "Book 2 book_id : %dn", Book2.book_id); return 0; } Book 1 title : C Programming Book 1 author : ashraf Book 1 subject : C Programming Tutorial Book 1 book_id : 6495407 Book 2 title : Telecom Billing Book 2 author : Zara Ali Book 2 subject : Telecom Billing Tutorial Book 2 book_id : 6495700
  • 82.
    When the abovecode is compiled and executed, it produces the following result: OpeningFiles You can use the fopen( ) function to create a new file or to open an existing file. This call will initialize an object of the type FILE, which contains all the information necessary to control the stream. The prototype of this function call is as follows: ClosingaFile To close a file, use the fclose( ) function. The prototype of this function is: #include <stdio.h> #include <string.h> union Data { int i; float f; char str[20]; }; int main( ) { union Data data; printf( "Memory size occupied by data : %dn", sizeof(data)); return 0; } Memory size occupied by data : 20 int fclose( FILE *fp ); FILE *fopen( const char * filename, const char * mode );