KEMBAR78
Theory of Computation Lecture Notes | PDF
THEORY OF COMPUTATION
LECTURE NOTES
(Subject Code: BCS-303)
for
Bachelor of Technology
in
Computer Science and Engineering
&
Information Technology
Department of Computer Science and Engineering & Information Technology
Veer Surendra Sai University of Technology
(Formerly UCE, Burla)
Burla, Sambalpur, Odisha
Lecture Note Prepared by: Prof. D. Chandrasekhar Rao
Prof. Kishore Kumar Sahu
Prof. Pradipta Kumar Das
DISCLAIMER
This document does not claim any originality and cannot be
used as a substitute for prescribed textbooks. The information
presented here is merely a collection by the committee members
for their respective teaching assignments. Various sources as
mentioned at the end of the document as well as freely available
material from internet were consulted for preparing this
document. The ownership of the information lies with the
respective authors or institutions.
BCS 303 THEORY OF COMPUTATION (3-1-0) Cr.-4
Module – I (10 Lectures)
Introduction to Automata: The Methods Introduction to Finite Automata, Structural
Representations, Automata and Complexity. Proving Equivalences about Sets, The
Contrapositive, Proof by Contradiction, Inductive Proofs: General Concepts of Automata
Theory: Alphabets Strings, Languages, Applications of Automata Theory.
Finite Automata: The Ground Rules, The Protocol, Deterministic Finite Automata: Definition
of a Deterministic Finite Automata, How a DFA Processes Strings, Simpler Notations for
DFA’s, Extending the Transition Function to Strings, The Language of a DFA
Nondeterministic Finite Automata: An Informal View. The Extended Transition Function, The
Languages of an NFA, Equivalence of Deterministic and Nondeterministic Finite Automata.
Finite Automata With Epsilon-Transitions: Uses of ∈-Transitions, The Formal Notation for an
∈-NFA, Epsilon-Closures, Extended Transitions and Languages for ∈-NFA’s, Eliminating ∈-
Transitions.
Module – II (10 Lectures)
Regular Expressions and Languages: Regular Expressions: The Operators of regular
Expressions, Building Regular Expressions, Precedence of Regular-Expression Operators,
Precedence of Regular-Expression Operators
Finite Automata and Regular Expressions: From DFA’s to Regular Expressions, Converting
DFA’s to Regular Expressions, Converting DFA’s to Regular Expressions by Eliminating States,
Converting Regular Expressions to Automata.
Algebraic Laws for Regular Expressions:
Properties of Regular Languages: The Pumping Lemma for Regular Languages, Applications
of the Pumping Lemma Closure Properties of Regular Languages, Decision Properties of
Regular Languages, Equivalence and Minimization of Automata,
Context-Free Grammars and Languages: Definition of Context-Free Grammars, Derivations
Using a Grammars Leftmost and Rightmost Derivations, The Languages of a Grammar,
Parse Trees: Constructing Parse Trees, The Yield of a Parse Tree, Inference Derivations, and
Parse Trees, From Inferences to Trees, From Trees to Derivations, From Derivation to Recursive
Inferences,
Applications of Context-Free Grammars: Parsers, Ambiguity in Grammars and Languages:
Ambiguous Grammars, Removing Ambiguity From Grammars, Leftmost Derivations as a Way
to Express Ambiguity, Inherent Anbiguity
Module – III (10 Lectures)
Pushdown Automata: Definition Formal Definition of Pushdown Automata, A Graphical
Notation for PDA’s, Instantaneous Descriptions of a PDA,
Languages of PDA: Acceptance by Final State, Acceptance by Empty Stack, From Empty Stack
to Final State, From Final State to Empty Stack
Equivalence of PDA’s and CFG’s: From Grammars to Pushdown Automata, From PDA’s to
Grammars
Deterministic Pushdown Automata: Definition of a Deterministic PDA, Regular Languages
and Deterministic PDA’s, DPDA’s and Context-Free Languages, DPDA’s and Ambiguous
Grammars
Properties of Context-Free Languages: Normal Forms for Context-Free Grammars, The
Pumping Lemma for Context-Free Languages, Closure Properties of Context-Free Languages,
Decision Properties of CFL’s
Module –IV (10 Lectures)
Introduction to Turing Machines: The Turing Machine: The Instantaneous Descriptions for
Turing Machines, Transition Diagrams for Turing Machines, The Language of a Turing
Machine, Turing Machines and Halting
Programming Techniques for Turing Machines, Extensions to the Basic Turing Machine,
Restricted Turing Machines, Turing Machines and Computers,
Undecidability: A Language That is Not Recursively Enumerable, Enumerating the Binary
Strings, Codes for Turing Machines, The Diagonalization Language
An Undecidable Problem That Is RE: Recursive Languages, Complements of Recursive and RE
languages, The Universal Languages, Undecidability of the Universal Language
Undecidable Problems About Turing Machines: Reductions, Turing Machines That Accept the
Empty Language. Post’s Correspondence Problem: Definition of Post’s Correspondence
Problem, The “Modified” PCP, Other Undecidable Problems: Undecidability of Ambiguity for
CFG’s
Text Book:
1. Introduction to Automata Theory Languages, and Computation, by J.E.Hopcroft,
R.Motwani & J.D.Ullman (3rd
Edition) – Pearson Education
2. Theory of Computer Science (Automata Language & Computations), by K.L.Mishra &
N. Chandrashekhar, PHI
MODULE-I
WWWhat is TOC???
In theoretical computer science, the theory of computation is the branch that deals with
whether and how efficiently problems can be solved on a model of computation, using an
algorithm. The field is divided into three major branches: automata theory, computability theory
and computational complexity theory.
In order to perform a rigorous study of computation, computer scientists work with a
mathematical abstraction of computers called a model of computation. There are several models
in use, but the most commonly examined is the Turing machine.
Automata theory
In theoretical computer science, automata theory is the study of abstract machines (or more
appropriately, abstract 'mathematical' machines or systems) and the computational problems that
can be solved using these machines. These abstract machines are called automata.
This automaton consists of
• states (represented in the figure by circles),
• and transitions (represented by arrows).
As the automaton sees a symbol of input, it makes a transition (or jump) to another state,
according to its transition function (which takes the current state and the recent symbol as its
inputs).
Uses of Automata: compiler design and parsing.
Introduction to formal proof:
Basic Symbols used :
U – Union
∩- Conjunction
ϵ - Empty String
Φ – NULL set
7- negation
‘ – compliment
= > implies
Additive inverse: a+(-a)=0
Multiplicative inverse: a*1/a=1
Universal set U={1,2,3,4,5}
Subset A={1,3}
A’ ={2,4,5}
Absorption law: AU(A ∩B) = A, A∩(AUB) = A
De Morgan’s Law:
(AUB)’ =A’ ∩ B’
(A∩B)’ = A’ U B’
Double compliment
(A’)’ =A
A ∩ A’ = Φ
Logic relations:
a b = > 7a U b
7(a∩b)=7a U 7b
Relations:
Let a and b be two sets a relation R contains aXb.
Relations used in TOC:
Reflexive: a = a
Symmetric: aRb = > bRa
Transition: aRb, bRc = > aRc
If a given relation is reflexive, symmentric and transitive then the relation is called equivalence
relation.
Deductive proof: Consists of sequence of statements whose truth lead us from some initial
statement called the hypothesis or the give statement to a conclusion statement.
Additional forms of proof:
Proof of sets
Proof by contradiction
Proof by counter example
Direct proof (AKA) Constructive proof:
If p is true then q is true
Eg: if a and b are odd numbers then product is also an odd number.
Odd number can be represented as 2n+1
a=2x+1, b=2y+1
product of a X b = (2x+1) X (2y+1)
= 2(2xy+x+y)+1 = 2z+1 (odd number)
Proof by contrapositive:
Proof by Contradiction:
H and not C implies falsehood.
Be regarded as an observation than a theorem.
For any sets a,b,c if a∩b = Φ and c is a subset of b the prove that a∩c =Φ
Given : a∩b=Φ and c subset b
Assume: a∩c Φ
Then
= > a∩b Φ = > a∩c=Φ(i.e., the assumption is wrong)
Proof by mathematical Induction:
Languages :
The languages we consider for our discussion is an abstraction of natural languages. That is,
our focus here is on formal languages that need precise and formal definitions. Programming
languages belong to this category.
Symbols :
Symbols are indivisible objects or entity that cannot be defined. That is, symbols are the atoms
of the world of languages. A symbol is any single object such as , a, 0, 1, #,
begin, or do.
Alphabets :
An alphabet is a finite, nonempty set of symbols. The alphabet of a language is normally denoted
by . When more than one alphabets are considered for discussion, then
subscripts may be used (e.g. etc) or sometimes other symbol like G may also be
introduced.
Example :
Strings or Words over Alphabet :
A string or word over an alphabet is a finite sequence of concatenated symbols of .
Example : 0110, 11, 001 are three strings over the binary alphabet { 0, 1 } .
aab, abcb, b, cc are four strings over the alphabet { a, b, c }.
It is not the case that a string over some alphabet should contain all the symbols from the alpha-
bet. For example, the string cc over the alphabet { a, b, c } does not contain the symbols a and b.
Hence, it is true that a string over an alphabet is also a string over any superset of that alphabet.
Length of a string :
The number of symbols in a string w is called its length, denoted by |w|.
Example : | 011 | = 4, |11| = 2, | b | = 1
Convention : We will use small case letters towards the beginning of the English alphabet
to denote symbols of an alphabet and small case letters towards the end to
denote strings over an alphabet. That is,
(symbols) and
are strings.
Some String Operations :
Let and be two strings. The concatenation of x and y
denoted by xy, is the string . That is, the concatenation of x and y
denoted by xy is the string that has a copy of x followed by a copy of y without any intervening
space between them.
Example : Consider the string 011 over the binary alphabet. All the prefixes, suffixes and
substrings of this string are listed below.
Prefixes: , 0, 01, 011.
Suffixes: , 1, 11, 011.
Substrings: , 0, 1, 01, 11, 011.
Note that x is a prefix (suffix or substring) to x, for any string x and is a prefix (suffix or
substring) to any string.
A string x is a proper prefix (suffix) of string y if x is a prefix (suffix) of y and x y.
In the above example, all prefixes except 011 are proper prefixes.
Powers of Strings : For any string x and integer , we use to denote the string
formed by sequentially concatenating n copies of x. We can also give an inductive
definition of as follows:
= e, if n = 0 ; otherwise
Example : If x = 011, then = 011011011, = 011 and
Powers of Alphabets :
We write (for some integer k) to denote the set of strings of length k with symbols
from . In other words,
= { w | w is a string over and | w | = k}. Hence, for any alphabet, denotes the set
of all strings of length zero. That is, = { e }. For the binary alphabet { 0, 1 } we have
the following.
The set of all strings over an alphabet is denoted by . That is,
The set contains all the strings that can be generated by iteratively concatenating sym-
bols from any number of times.
Example : If = { a, b }, then = { , a, b, aa, ab, ba, bb, aaa, aab, aba, abb, baa, …}.
Please note that if , then that is . It may look odd that one can proceed
from the empty set to a non-empty set by iterated concatenation. But there is a reason for this
and we accept this convention
The set of all nonempty strings over an alphabet is denoted by . That is,
Note that is infinite. It contains no infinite strings but strings of arbitrary lengths.
Reversal :
For any string the reversal of the string is .
An inductive definition of reversal can be given as follows:
Languages :
A language over an alphabet is a set of strings over that alphabet. Therefore, a
language L is any subset of . That is, any is a language.
Example :
1. F is the empty language.
2. is a language for any .
3. {e} is a language for any . Note that, . Because the language F does not
contain any string but {e} contains one string of length zero.
4. The set of all strings over { 0, 1 } containing equal number of 0's and 1's.
5. The set of all strings over {a, b, c} that starts with a.
Convention : Capital letters A, B, C, L, etc. with or without subscripts are normally used to
denote languages.
Set operations on languages : Since languages are set of strings we can apply set operations to
languages. Here are some simple examples (though there is nothing new in it).
Union : A string
iff or
Example : { 0, 11, 01, 011 } { 1, 01, 110 } = { 0, 11, 01, 011, 111 }
Intersection : A string, xϵ L1 ∩ L2 iff x ϵ L1 and x ϵ L2 .
Example : { 0, 11, 01, 011 } { 1, 01, 110 } = { 01 }
Complement : Usually, is the universe that a complement is taken with respect to.
Thus for a language L, the complement is L(bar) = { | }.
Example : Let L = { x | |x| is even }. Then its complement is the language { | |x| is
odd }.
Similarly we can define other usual set operations on languages like relative com-
plement, symmetric difference, etc.
Reversal of a language :
The reversal of a language L, denoted as , is defined as: .
Example :
1. Let L = { 0, 11, 01, 011 }. Then = { 0, 11, 10, 110 }.
2. Let L = { | n is an integer }. Then = { | n is an integer }.
Language concatenation : The concatenation of languages and is defined as
= { xy | and }.
Example : { a, ab }{ b, ba } = { ab, aba, abb, abba }.
Note that ,
1. in general.
2.
3.
Iterated concatenation of languages : Since we can concatenate two languages, we also repeat
this to concatenate any number of languages. Or we can concatenate a language with itself any
number of times. The operation denotes the concatenation of
L with itself n times. This is defined formally as follows:
Example : Let L = { a, ab }. Then according to the definition, we have
and so on.
Kleene's Star operation : The Kleene star operation on a language L, denoted as is
defined as follows :
= ( Union n in N )
=
= { x | x is the concatenation of zero or more strings from L }
Thus is the set of all strings derivable by any number of concatenations of strings in
L. It is also useful to define
= , i.e., all strings derivable by one or more concatenations of strings in L. That is
= (Union n in N and n >0)
=
Example : Let L = { a, ab }. Then we have,
=
= {e} {a, ab} {aa, aab, aba, abab} …
=
= {a, ab} {aa, aab, aba, abab} …
Note : is in , for every language L, including .
The previously introduced definition of is an instance of Kleene star.
(Generates) (Recognizes)
Grammar Language Automata
Automata: A algorithm or program that automatically recognizes if a particular string belongs to
the language or not, by checking the grammar of the string.
An automata is an abstract computing device (or machine). There are different varities of such
abstract machines (also called models of computation) which can be defined mathematically.
Every Automaton fulfills the three basic requirements.
• Every automaton consists of some essential features as in real computers. It has a mech-
anism for reading input. The input is assumed to be a sequence of symbols over a given
alphabet and is placed on an input tape(or written on an input file). The simpler automata
can only read the input one symbol at a time from left to right but not change. Powerful
versions can both read (from left to right or right to left) and change the input.
• The automaton can produce output of some form. If the output in response to an input
string is binary (say, accept or reject), then it is called an accepter. If it produces an out-
put sequence in response to an input sequence, then it is called a transducer(or automaton
with output).
• The automaton may have a temporary storage, consisting of an unlimited number of
cells, each capable of holding a symbol from an alphabet ( whcih may be different from
the input alphabet). The automaton can both read and change the contents of the storage
cells in the temporary storage. The accusing capability of this storage varies depending
on the type of the storage.
• The most important feature of the automaton is its control unit, which can be in any
one of a finite number of interval states at any point. It can change state in some de-
fined manner determined by a transition function.
Figure 1: The figure above shows a diagrammatic representation of a generic automa-
tion.
Operation of the automation is defined as follows.
At any point of time the automaton is in some integral state and is reading a particular symbol
from the input tape by using the mechanism for reading input. In the next time step the automa-
ton then moves to some other integral (or remain in the same state) as defined by the transition
function. The transition function is based on the current state, input symbol read, and the content
of the temporary storage. At the same time the content of the storage may be changed and the
input read may be modifed. The automation may also produce some output during this transition.
The internal state, input and the content of storage at any point defines the configuration of the
automaton at that point. The transition from one configuration to the next ( as defined by the
transition function) is called a move. Finite state machine or Finite Automation is the simplest
type of abstract machine we consider. Any system that is at any point of time in one of a finite
number of interval state and moves among these states in a defined manner in response to some
input, can be modeled by a finite automaton. It doesnot have any temporary storage and hence a
restricted model of computation.
Finite Automata
Automata (singular : automation) are a particularly simple, but useful, model of compu-
tation. They were initially proposed as a simple model for the behavior of neurons.
States, Transitions and Finite-State Transition System :
Let us first give some intuitive idea about a state of a system and state transitions before
describing finite automata.
Informally, a state of a system is an instantaneous description of that system which gives all
relevant information necessary to determine how the system can evolve from that point on.
Transitions are changes of states that can occur spontaneously or in response to inputs to the
states. Though transitions usually take time, we assume that state transitions are instantaneous
(which is an abstraction).
Some examples of state transition systems are: digital systems, vending machines, etc. A system
containing only a finite number of states and transitions among them is called
a finite-state transition system.
Finite-state transition systems can be modeled abstractly by a mathematical model called
finite automation
Deterministic Finite (-state) Automata
Informally, a DFA (Deterministic Finite State Automaton) is a simple machine that reads an in-
put string -- one symbol at a time -- and then, after the input has been completely read, decides
whether to accept or reject the input. As the symbols are read from the tape, the automaton can
change its state, to reflect how it reacts to what it has seen so far. A machine for which a deter-
ministic code can be formulated, and if there is only one unique way to formulate the code, then
the machine is called deterministic finite automata.
Thus, a DFA conceptually consists of 3 parts:
1. A tape to hold the input string. The tape is divided into a finite number of cells. Each
cell holds a symbol from .
2. A tape head for reading symbols from the tape
3. A control , which itself consists of 3 things:
o finite number of states that the machine is allowed to be in (zero or more states
are designated as accept or final states),
o a current state, initially set to a start state,
o a state transition function for changing the current state.
An automaton processes a string on the tape by repeating the following actions until the tape
head has traversed the entire string:
1. The tape head reads the current tape cell and sends the symbol s found there to the
control. Then the tape head moves to the next cell.
2. he control takes s and the current state and consults the state transition function to get
the next state, which becomes the new current state.
Once the entire string has been processed, the state in which the automation enters is examined.
If it is an accept state , the input string is accepted ; otherwise, the string is rejected . Summariz-
ing all the above we can formulate the following formal definition:
Deterministic Finite State Automaton : A Deterministic Finite State Automaton (DFA) is
a 5-tuple :
• Q is a finite set of states.
• is a finite set of input symbols or alphabet
• is the “next state” transition function (which is total ). Intuitively, is a
function that tells which state to move to in response to an input, i.e., if M is in
state q and sees input a, it moves to state .
• is the start state.
• is the set of accept or final states.
Acceptance of Strings :
A DFA accepts a string if there is a sequence of states in Q
such that
1. is the start state.
2. for all .
3.
Language Accepted or Recognized by a DFA :
The language accepted or recognized by a DFA M is the set of all strings accepted by M , and
is denoted by i.e. The notion of
acceptance can also be made more precise by extending the transition function .
Extended transition function :
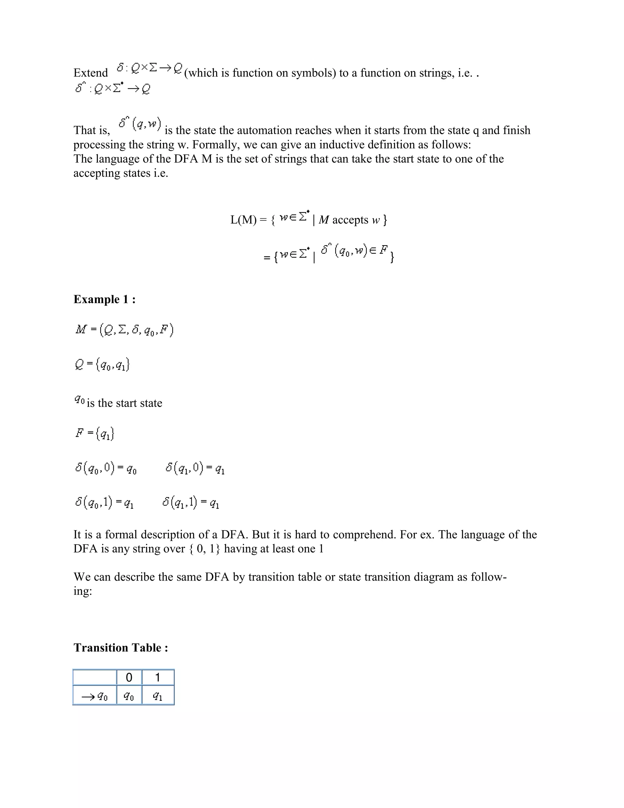
Extend (which is function on symbols) to a function on strings, i.e. .
That is, is the state the automation reaches when it starts from the state q and finish
processing the string w. Formally, we can give an inductive definition as follows:
The language of the DFA M is the set of strings that can take the start state to one of the
accepting states i.e.
L(M) = { | M accepts w }
= { | }
Example 1 :
is the start state
It is a formal description of a DFA. But it is hard to comprehend. For ex. The language of the
DFA is any string over { 0, 1} having at least one 1
We can describe the same DFA by transition table or state transition diagram as follow-
ing:
Transition Table :
0 1
It is easy to comprehend the transition diagram.
Explanation : We cannot reach find state w/0 or in the i/p string. There can be any no.
of 0's at the beginning. ( The self-loop at on label 0 indicates it ). Similarly there
can be any no. of 0's & 1's in any order at the end of the string.
Transition table :
It is basically a tabular representation of the transition function that takes two arguments (a state
and a symbol) and returns a value (the “next state”).
• Rows correspond to states,
• Columns correspond to input symbols,
• Entries correspond to next states
• The start state is marked with an arrow
• The accept states are marked with a star (*).
0 1
(State) Transition diagram :
A state transition diagram or simply a transition diagram is a directed graph which can be
constructed as follows:
1. For each state in Q there is a node.
2. There is a directed edge from node q to node p labeled a iff . (If there
are several input symbols that cause a transition, the edge is labeled by the list of these
symbols.)
3. There is an arrow with no source into the start state.
4. Accepting states are indicated by double circle.
5.
6. Here is an informal description how a DFA operates. An input to a DFA can be any
string. Put a pointer to the start state q. Read the input string w from left
to right, one symbol at a time, moving the pointer according to the transition
function, . If the next symbol of w is a and the pointer is on state p, move the
pointer to . When the end of the input string w is encountered, the pointer is on
some state, r. The string is said to be accepted by the DFA if and
rejected if . Note that there is no formal mechanism for moving the pointer.
7. A language is said to be regular if L = L(M) for some DFA M.
Regular Expressions: Formal Definition
We construct REs from primitive constituents (basic elements) by repeatedly applying certain
recursive rules as given below. (In the definition)
Definition : Let S be an alphabet. The regular expressions are defined recursively as follows.
Basis :
i) is a RE
ii) is a RE
iii) , a is RE.
These are called primitive regular expression i.e. Primitive Constituents
Recursive Step :
If
and are REs over, then so are
i)
ii)
iii)
iv)
Closure : r is RE over only if it can be obtained from the basis elements (Primitive REs)
by a finite no of applications of the recursive step (given in 2).
Example : Let = { 0,1,2 }. Then (0+21)*(1+ F ) is a RE, because we can construct this
expression by applying the above rules as given in the following step.
Steps RE Constructed Rule Used
1 1 Rule 1(iii)
2 Rule 1(i)
3 1+ Rule 2(i) & Results of Step 1, 2
4 (1+ ) Rule 2(iv) & Step 3
5 2 1(iii)
6 1 1(iii)
7 21 2(ii), 5, 6
8 0 1(iii)
9 0+21 2(i), 7, 8
10 (0+21) 2(iv), 9
11 (0+21)* 2(iii), 10
12 (0+21)* 2(ii), 4, 11
Language described by REs : Each describes a language (or a language is associated
with every RE). We will see later that REs are used to attribute regular languages.
Notation : If r is a RE over some alphabet then L(r) is the language associate with r . We can
define the language L(r) associated with (or described by) a REs as follows.
1. is the RE describing the empty language i.e. L( ) = .
2. is a RE describing the language { } i.e. L( ) = { } .
3. , a is a RE denoting the language {a} i.e . L(a) = {a} .
4. If and are REs denoting language L( ) and L( ) respectively, then
i) is a regular expression denoting the language L( ) = L( ) ∪ L( )
ii) is a regular expression denoting the language L( )=L( ) L( )
iii) is a regular expression denoting the language
iv) ( ) is a regular expression denoting the language L(( )) = L( )
Example : Consider the RE (0*(0+1)). Thus the language denoted by the RE is
L(0*(0+1)) = L(0*) L(0+1) .......................by 4(ii)
= L(0)*L(0) ∪ L(1)
= { , 0,00,000,. } {0} {1}
= { , 0,00,000,........} {0,1}
= {0, 00, 000, 0000,..........,1, 01, 001, 0001,...............}
Precedence Rule
Consider the RE ab + c. The language described by the RE can be thought of either
L(a)L(b+c) or L(ab) L(c) as provided by the rules (of languages described by REs)
given already. But these two represents two different languages lending to ambiguity.
To remove this ambiguity we can either
1) Use fully parenthesized expression- (cumbersome) or
2) Use a set of precedence rules to evaluate the options of REs in some order. Like
other algebras mod in mathematics.
For REs, the order of precedence for the operators is as follows:
i) The star operator precedes concatenation and concatenation precedes union (+)
operator.
ii) It is also important to note that concatenation & union (+) operators are associative
and union operation is commutative.
Using these precedence rule, we find that the RE ab+c represents the language L(ab)
L(c) i.e. it should be grouped as ((ab)+c).
We can, of course change the order of precedence by using parentheses. For example,
the language represented by the RE a(b+c) is L(a)L(b+c).
Example : The RE ab*+b is grouped as ((a(b*))+b) which describes the language
L(a)(L(b))* L(b)
Example : The RE (ab)*+b represents the language (L(a)L(b))* L(b).
Example : It is easy to see that the RE (0+1)*(0+11) represents the language of all
strings over {0,1} which are either ended with 0 or 11.
Example : The regular expression r =(00)*(11)*1 denotes the set of all strings with an
even number of 0's followed by an odd number of 1's i.e.
Note : The notation is used to represent the RE rr*. Similarly, represents the RE
rr, denotes r, and so on.
An arbitrary string over = {0,1} is denoted as (0+1)*.
Exercise : Give a RE r over {0,1} s.t. L(r)={ has at least one pair of
consecutive 1's}
Solution : Every string in L(r) must contain 00 somewhere, but what comes before and
what goes before is completely arbitrary. Considering these observations we can write
the REs as (0+1)*11(0+1)*.
Example : Considering the above example it becomes clean that the RE
(0+1)*11(0+1)*+(0+1)*00(0+1)* represents the set of string over {0,1} that contains the
substring 11 or 00.
Example : Consider the RE 0*10*10*. It is not difficult to see that this RE describes the
set of strings over {0,1} that contains exactly two 1's. The presence of two 1's in the RE
and any no of 0's before, between and after the 1's ensure it.
Example : Consider the language of strings over {0,1} containing two or more 1's.
Solution : There must be at least two 1's in the RE somewhere and what comes before,
between, and after is completely arbitrary. Hence we can write the RE as
(0+1)*1(0+1)*1(0+1)*. But following two REs also represent the same language, each
ensuring presence of least two 1's somewhere in the string
i) 0*10*1(0+1)*
ii) (0+1)*10*10*
Example : Consider a RE r over {0,1} such that
L(r) = { has no pair of consecutive 1's}
Solution : Though it looks similar to ex ……., it is harder to construct to construct. We
observer that, whenever a 1 occurs, it must be immediately followed by a 0. This
substring may be preceded & followed by any no of 0's. So the final RE must be a
repetition of strings of the form: 00…0100….00 i.e. 0*100*. So it looks like the RE is
(0*100*)*. But in this case the strings ending in 1 or consisting of all 0's are not
accounted for. Taking these observations into consideration, the final RE is r =
(0*100*)(1+ )+0*(1+ ).
Alternative Solution :
The language can be viewed as repetitions of the strings 0 and 01. Hence get the RE as
r = (0+10)*(1+ ).This is a shorter expression but represents the same language.
Regular Expression and Regular Language :
Equivalence(of REs) with FA :
Recall that, language that is accepted by some FAs are known as Regular language.
The two concepts : REs and Regular language are essentially same i.e. (for) every
regular language can be developed by (there is) a RE, and for every RE there is a
Regular Langauge. This fact is rather suprising, because RE approach to describing
language is fundamentally differnet from the FA approach. But REs and FA are
equivalent in their descriptive power. We can put this fact in the focus of the following
Theorem.
Theorem : A language is regular iff some RE describes it.
This Theorem has two directions, and are stated & proved below as a separate lemma
RE to FA :
REs denote regular languages :
Lemma : If L(r) is a language described by the RE r, then it is regular i.e. there is a FA
such that L(M) L(r).
Proof : To prove the lemma, we apply structured index on the expression r. First, we
show how to construct FA for the basis elements: , and for any . Then we show
how to combine these Finite Automata into Complex Automata that accept the Union,
Concatenation, Kleen Closure of the languages accepted by the original smaller
automata.
Use of NFAs is helpful in the case i.e. we construct NFAs for every REs which are
represented by transition diagram only.
Basis :
• Case (i) : . Then . Then and the following NFA N
recognizes L(r). Formally where Q = {q} and
.
• Case (ii) : . , and the following NFA N accepts L(r). Formally
where .
Since the start state is also the accept step, and there is no any transition defined, it will
accept the only string and nothing else.
• Case (iii) : r = a for some . Then L(r) = {a}, and the following NFA N
accepts L(r).
Formally, where for or
Induction :
Assume that the start of the theorem is true for REs and . Hence we can assume
that we have automata and that accepts languages denoted by REs and ,
respectively i.e. and . The FAs are represented
schematically as shown below.
Each has an initial state and a final state. There are four cases to consider.
• Case (i) : Consider the RE denoting the language . We
construct FA , from and to accept the language denoted by RE as
follows :
Create a new (initial) start state and give - transition to the initial state of and
.This is the initial state of .
• Create a final state and give -transition from the two final state of and
. is the only final state of and final state of and will be ordinary
states in .
• All the state of and are also state of .
• All the moves of and are also moves of . [ Formal Construction]
It is easy to prove that
Proof: To show that we must show that
=
= by following transition of
Starts at initial state and enters the start state of either or follwoing the
transition i.e. without consuming any input. WLOG, assume that, it enters the start state
of . From this point onward it has to follow only the transition of to enter the final
state of , because this is the only way to enter the final state of M by following the e-
transition.(Which is the last transition & no input is taken at hte transition). Hence the
whole input w is considered while traversing from the start state of to the final state
of . Therefore must accept .
Say, or .
WLOG, say
Therefore when process the string w , it starts at the initial state and enters the final
state when w consumed totally, by following its transition. Then also accepts w, by
starting at state and taking -transition enters the start state of -follows the moves
of to enter the final state of consuming input w thus takes -transition to .
Hence proved
• Case(ii) : Consider the RE denoting the language . We construct
FA from & to accept as follows :
Create a new start state and a new final state
1. Add - transition from
o to the start state of
o to
o final state of to the start state of
2. All the states of are also the states of . has 2 more states than that of
namely and .
3. All the moves of are also included in .
By the transition of type (b), can accept .
By the transition of type (a), can enters the initial state of w/o any input and then
follow all kinds moves of to enter the final state of and then following -transition
can enter . Hence if any is accepted by then w is also accepted by . By
the transition of type (b), strings accepted by can be repeated by any no of times &
thus accepted by . Hence accepts and any string accepted by repeated (i.e.
concatenated) any no of times. Hence
Case(iv) : Let =( ). Then the FA is also the FA for ( ), since the use of
parentheses does not change the language denoted by the expression
Non-Deterministic Finite Automata
Nondeterminism is an important abstraction in computer science. Importance of
nondeterminism is found in the design of algorithms. For examples, there are many
problems with efficient nondeterministic solutions but no known efficient deterministic
solutions. ( Travelling salesman, Hamiltonean cycle, clique, etc). Behaviour of a process
is in a distributed system is also a good example of nondeterministic situation. Because
the behaviour of a process might depend on some messages from other processes that
might arrive at arbitrary times with arbitrary contents.
It is easy to construct and comprehend an NFA than DFA for a given regular language.
The concept of NFA can also be used in proving many theorems and results. Hence, it
plays an important role in this subject.
In the context of FA nondeterminism can be incorporated naturally. That is, an NFA is
defined in the same way as the DFA but with the following two exceptions:
• multiple next state.
• - transitions.
Multiple Next State :
• In contrast to a DFA, the next state is not necessarily uniquely determined by the
current state and input symbol in case of an NFA. (Recall that, in a DFA there is
exactly one start state and exactly one transition out of every state for each
symbol in ).
• This means that - in a state q and with input symbol a - there could be one, more
than one or zero next state to go, i.e. the value of is a subset of Q. Thus
= which means that any one of could be the next
state.
• The zero next state case is a special one giving = , which means that
there is no next state on input symbol when the automata is in state q. In such a
case, we may think that the automata "hangs" and the input will be rejected.
- transitions :
In an -transition, the tape head doesn't do anything- it doesnot read and it doesnot
move. However, the state of the automata can be changed - that is can go to zero, one
or more states. This is written formally as implying that the next
state could by any one of w/o consuming the next input symbol.
Acceptance :
Informally, an NFA is said to accept its input if it is possible to start in some start state
and process , moving according to the transition rules and making choices along the
way whenever the next state is not uniquely defined, such that when is completely
processed (i.e. end of is reached), the automata is in an accept state. There may be
several possible paths through the automation in response to an input since the start
state is not determined and there are choices along the way because of multiple next
states. Some of these paths may lead to accpet states while others may not. The
automation is said to accept if at least one computation path on input starting from
at least one start state leads to an accept state- otherwise, the automation rejects input
. Alternatively, we can say that, is accepted iff there exists a path with label from
some start state to some accept state. Since there is no mechanism for determining
which state to start in or which of the possible next moves to take (including the -
transitions) in response to an input symbol we can think that the automation is having
some "guessing" power to chose the correct one in case the input is accepted
Example 1 : Consider the language L = { {0, 1}* | The 3rd symbol from the right is
1}. The following four-state automation accepts L.
The m/c is not deterministic since there are two transitions from state on input 1 and
no transition (zero transition) from on both 0 & 1.
For any string whose 3rd symbol from the right is a 1, there exists a sequence of legal
transitions leading from the start state q, to the accept state . But for any string
where 3rd symbol from the right is 0, there is no possible sequence of legal
tranisitons leading from and . Hence m/c accepts L. How does it accept any string
L?
Formal definition of NFA :
Formally, an NFA is a quituple where Q, , , and F bear
the same meaning as for a DFA, but , the transition function is redefined as follows:
where P(Q) is the power set of Q i.e. .
The Langauge of an NFA :
From the discussion of the acceptance by an NFA, we can give the formal definition of a
language accepted by an NFA as follows :
If is an NFA, then the langauge accepted by N is writtten as L(N) is
given by .
That is, L(N) is the set of all strings w in such that contains at least one
accepting state.
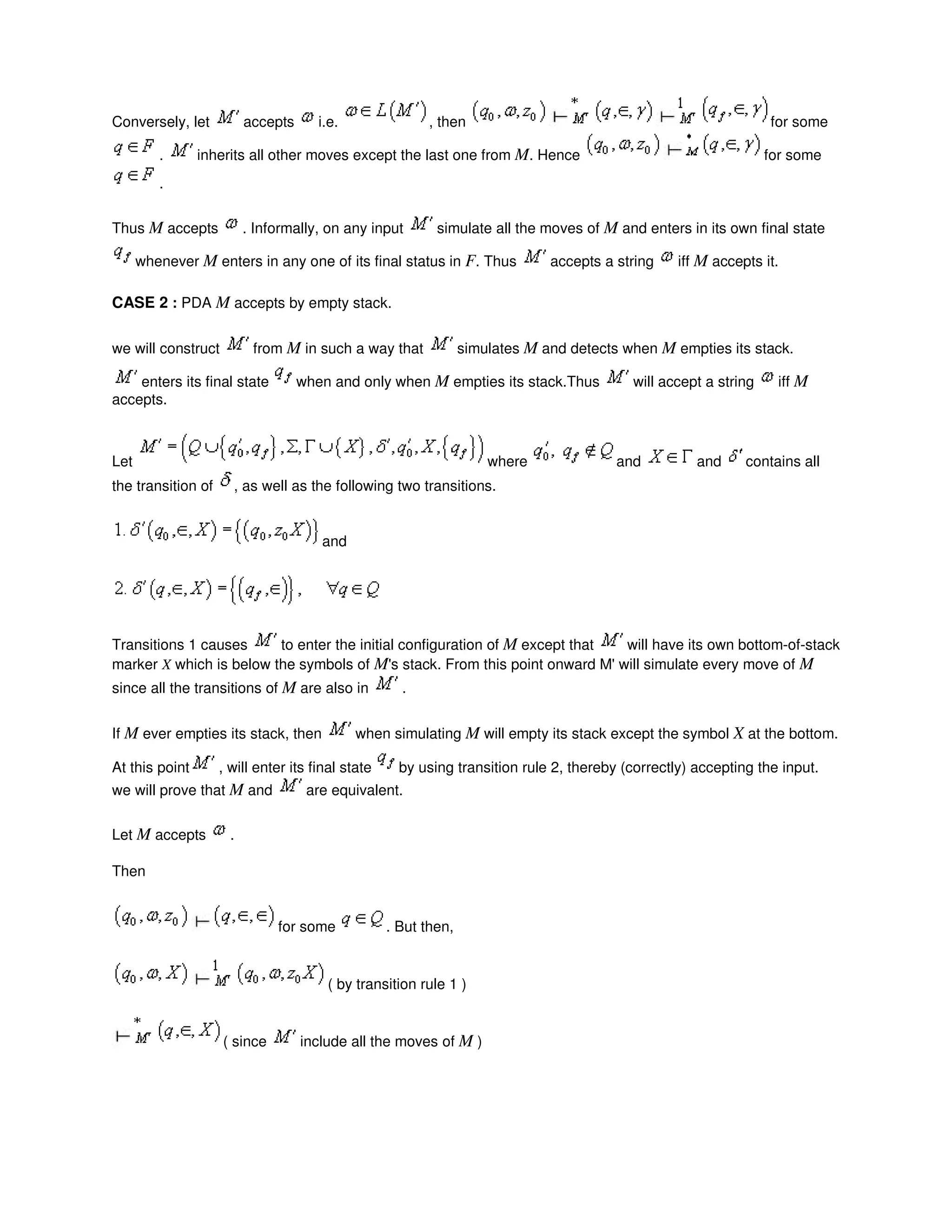
Removing ϵ-transition:
- transitions do not increase the power of an NFA . That is, any - NFA ( NFA with
transition), we can always construct an equivalent NFA without -transitions. The
equivalent NFA must keep track where the NFA goes at every step during
computation. This can be done by adding extra transitions for removal of every -
transitions from the - NFA as follows.
If we removed the - transition from the - NFA , then we need to moves
from state p to all the state on input symbol which are reachable from state q (in
the - NFA ) on same input symbol q. This will allow the modified NFA to move from
state p to all states on some input symbols which were possible in case of -NFA on
the same input symbol. This process is stated formally in the following theories.
Theorem if L is accepted by an - NFA N , then there is some equivalent
without transitions accepting the same language L
Proof:
Let be the given with
We construct
Where, for all and and
Other elements of N' and N
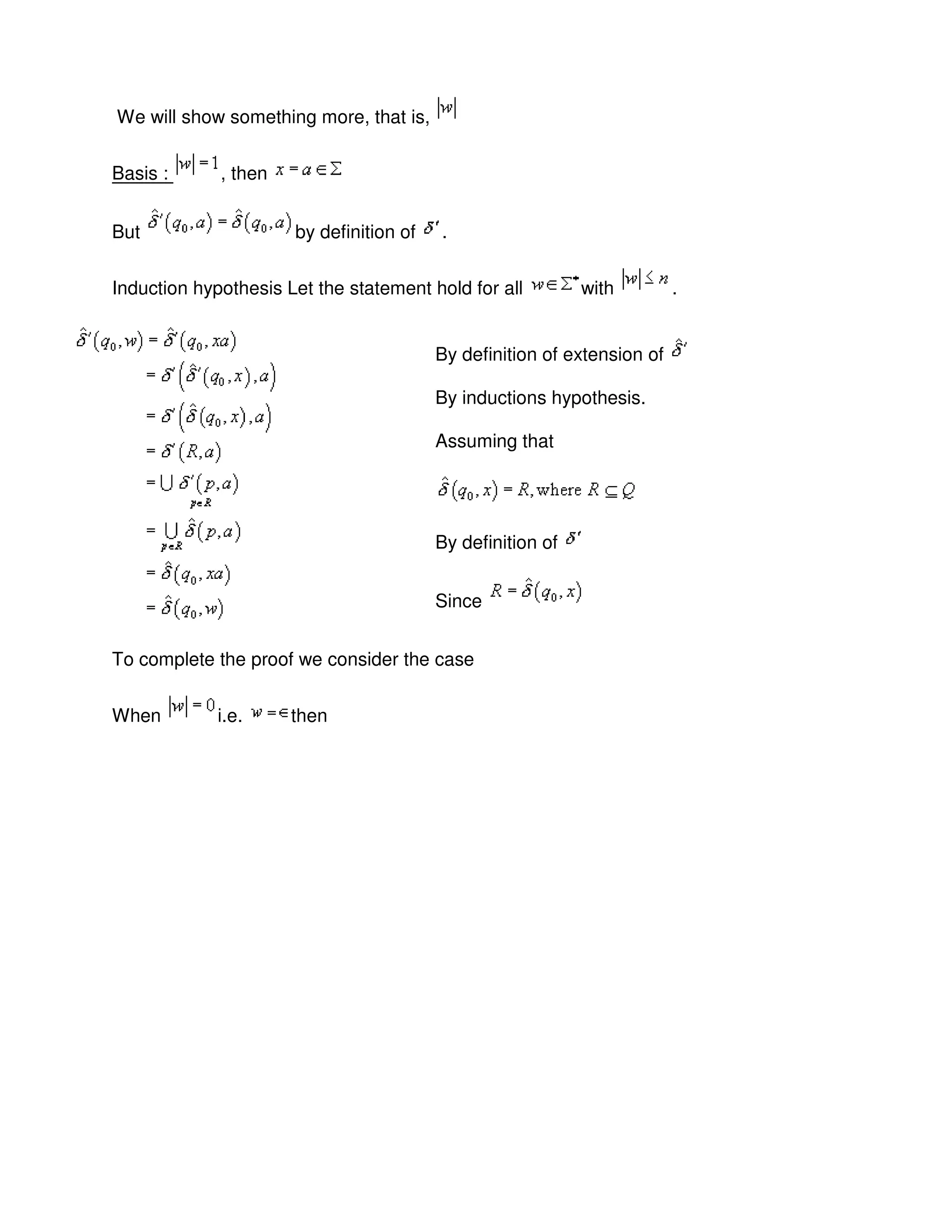
We can show that i.e. N' and N are equivalent.
We need to prove that
i.e.
We will show something more, that is,
We will show something more, that is,
Basis : , then
But by definition of .
Induction hypothesis Let the statement hold for all with .
By definition of extension of
By inductions hypothesis.
Assuming that
By definition of
Since
To complete the proof we consider the case
When i.e. then
and by the construction of wherever constrains a state in F.
If (and thus is not in F ), then with leads to an accepting state in N' iff it lead
to an accepting state in N ( by the construction of N' and N ).
Also, if ( , thus w is accepted by N' iff w is accepted by N (iff )
If (and, thus in M we load in F ), thus is accepted by both N' and N .
Let . If w cannot lead to in N , then . (Since can add transitions to get an accept
state). So there is no harm in making an accept state in N'.
Ex: Consider the following NFA with - transition.
Transition Diagram
0 1
Transition diagram for ' for the equivalent NFA without - moves
Since the start state q0 must be final state in the equivalent NFA .
Since and and we add moves and
in the equivalent NFA . Other moves are also constructed accordingly.
-closures:
The concept used in the above construction can be made more formal by defining the
-closure for a state (or a set of states). The idea of -closure is that, when moving
from a state p to a state q (or from a set of states Si to a set of states Sj ) an input ,
we need to take account of all -moves that could be made after the transition.
Formally, for a given state q,
-closures:
Similarly, for a given set
-closures:
So, in the construction of equivalent NFA N' without -transition from any NFA with
moves. the first rule can now be written as
0 1
Equivalence of NFA and DFA
It is worth noting that a DFA is a special type of NFA and hence the class of languages
accepted by DFA s is a subset of the class of languages accepted by NFA s.
Surprisingly, these two classes are in fact equal. NFA s appeared to have more power
than DFA s because of generality enjoyed in terms of -transition and multiple next
states. But they are no more powerful than DFA s in terms of the languages they
accept.
Converting DFA to NFA
Theorem: Every DFA has as equivalent NFA
Proof: A DFA is just a special type of an NFA . In a DFA , the transition functions is
defined from whereas in case of an NFA it is defined from and
be a DFA . We construct an equivalent NFA as
follows.
i. e
If and
All other elements of N are as in D.
If then there is a sequence of states such that
Then it is clear from the above construction of N that there is a sequence of states (in N)
such that and and hence
Similarly we can show the converse.
Hence ,
Given any NFA we need to construct as equivalent DFA i.e. the DFA need to simulate
the behaviour of the NFA . For this, the DFA have to keep track of all the states where
the NFA could be in at every step during processing a given input string.
There are possible subsets of states for any NFA with n states. Every subset
corresponds to one of the possibilities that the equivalent DFA must keep track of. Thus,
the equivalent DFA will have states.
The formal constructions of an equivalent DFA for any NFA is given below. We first
consider an NFA without transitions and then we incorporate the affects of
transitions later.
Formal construction of an equivalent DFA for a given NFA without transitions.
Given an without - moves, we construct an equivalent DFA
as follows
i.e.
(i.e. every subset of Q which as an element in F is considered as a final state
in DFA D )
for all and
where
That is,
To show that this construction works we need to show that L(D)=L(N) i.e.
Or,
We will prove the following which is a stranger statement thus required.
Proof : We will show by inductions on
Basis If =0, then w =
So, by definition.
Inductions hypothesis : Assume inductively that the statement holds of length
less than or equal to n.
Inductive step
Let , then with
Now,
Now, given any NFA with -transition, we can first construct an equivalent NFA without
-transition and then use the above construction process to construct an equivalent
DFA , thus, proving the equivalence of NFA s and DFA s..
It is also possible to construct an equivalent DFA directly from any given NFA with -
transition by integrating the concept of -closure in the above construction.
Recall that, for any
- closure :
In the equivalent DFA , at every step, we need to modify the transition functions to
keep track of all the states where the NFA can go on -transitions. This is done by
replacing by -closure , i.e. we now compute at every step as
follows:
Besides this the initial state of the DFA D has to be modified to keep track of all the
states that can be reached from the initial state of NFA on zero or more -transitions.
This can be done by changing the initial state to -closure ( ) .
It is clear that, at every step in the processing of an input string by the DFA D , it enters
a state that corresponds to the subset of states that the NFA N could be in at that
particular point. This has been proved in the constructions of an equivalent NFA for any
-NFA
If the number of states in the NFA is n , then there are states in the DFA . That is,
each state in the DFA is a subset of state of the NFA .
But, it is important to note that most of these states are inaccessible from the start
state and hence can be removed from the DFA without changing the accepted
language. Thus, in fact, the number of states in the equivalent DFA would be much less
than .
Example : Consider the NFA given below.
Since there are 3 states in the NFA
0 1
{ }
There will be states (representing all possible subset of states) in the equivalent
DFA . The transition table of the DFA constructed by using the subset constructions
process is produced here.
The start state of the DFA is - closures
The final states are all those subsets that contains (since
in the NFA).
Let us compute one entry,
Similarly, all other transitions can be computed
Corresponding Transition fig. for DFA.Note that states
are not accessible and hence can be removed. This
gives us the following simplified DFA with only 3 states.
0 1
{ }
0 1
It is interesting to note that we can avoid encountering all those inaccessible or
unnecessary states in the equivalent DFA by performing the following two steps
inductively.
1. If is the start state of the NFA, then make - closure ( ) the start state of the
equivalent DFA . This is definitely the only accessible state.
2. If we have already computed a set of states which are accessible. Then
. compute because these set of states will also be accessible.
Following these steps in the above example, we get the transition table given below
MODULE-II
Regular Expressions: Formal Definition
We construct REs from primitive constituents (basic elements) by repeatedly applying certain recursive rules as
given below. (In the definition)
Definition : Let S be an alphabet. The regular expressions are defined recursively as follows.
Basis :
i) is a RE
ii) is a RE
iii) , a is RE.
These are called primitive regular expression i.e. Primitive Constituents
Recursive Step :
If and are REs over, then so are
i)
ii)
iii)
iv)
Closure : r is RE over only if it can be obtained from the basis elements (Primitive REs) by a finite no of
applications of the recursive step (given in 2).
Example : Let = { 0,1,2 }. Then (0+21)*(1+ F ) is a RE, because we can construct this expression by
applying the above rules as given in the following step.
Steps RE Constructed Rule Used
1 1 Rule 1(iii)
2 Rule 1(i)
3 1+ Rule 2(i) & Results of Step 1, 2
4 (1+ ) Rule 2(iv) & Step 3
5 2 1(iii)
6 1 1(iii)
7 21 2(ii), 5, 6
8 0 1(iii)
9 0+21 2(i), 7, 8
10 (0+21) 2(iv), 9
11 (0+21)* 2(iii), 10
12 (0+21)* 2(ii), 4, 11
Language described by REs : Each describes a language (or a language is associated with every RE). We
will see later that REs are used to attribute regular languages.
Notation : If r is a RE over some alphabet then L(r) is the language associate with r . We can define the
language L(r) associated with (or described by) a REs as follows.
1. is the RE describing the empty language i.e. L( ) = .
2. is a RE describing the language { } i.e. L( ) = { } .
3. , a is a RE denoting the language {a} i.e . L(a) = {a} .
4. If and are REs denoting language L( ) and L( ) respectively, then
i) is a regular expression denoting the language L( ) = L( ) ∪ L( )
ii) is a regular expression denoting the language L( )=L( ) L( )
iii) is a regular expression denoting the language
iv) ( ) is a regular expression denoting the language L(( )) = L( )
Example : Consider the RE (0*(0+1)). Thus the language denoted by the RE is
L(0*(0+1)) = L(0*) L(0+1) .......................by 4(ii)
= L(0)*L(0) ∪ L(1)
= { , 0,00,000,........} {0} {1}
= { , 0,00,000,........} {0,1}
= {0, 00, 000, 0000,..........,1, 01, 001, 0001,...............}
Precedence Rule
Consider the RE ab + c. The language described by the RE can be thought of either L(a)L(b+c) or
L(ab) L(c) as provided by the rules (of languages described by REs) given already. But these two
represents two different languages lending to ambiguity. To remove this ambiguity we can either
1) Use fully parenthesized expression- (cumbersome) or
2) Use a set of precedence rules to evaluate the options of REs in some order. Like other algebras mod in
mathematics.
For REs, the order of precedence for the operators is as follows:
i) The star operator precedes concatenation and concatenation precedes union (+) operator.
ii) It is also important to note that concatenation & union (+) operators are associative and union operation is
commutative.
Using these precedence rule, we find that the RE ab+c represents the language L(ab) L(c) i.e. it should be
grouped as ((ab)+c).
We can, of course change the order of precedence by using parentheses. For example, the language
represented by the RE a(b+c) is L(a)L(b+c).
Example : The RE ab*+b is grouped as ((a(b*))+b) which describes the language L(a)(L(b))* L(b)
Example : The RE (ab)*+b represents the language (L(a)L(b))* L(b).
Example : It is easy to see that the RE (0+1)*(0+11) represents the language of all strings over {0,1} which are
either ended with 0 or 11.
Example : The regular expression r =(00)*(11)*1 denotes the set of all strings with an even number of 0's
followed by an odd number of 1's i.e.
Note : The notation is used to represent the RE rr*. Similarly, represents the RE rr, denotes r,
and so on.
An arbitrary string over = {0,1} is denoted as (0+1)*.
Exercise : Give a RE r over {0,1} s.t. L(r)={ has at least one pair of consecutive 1's}
Solution : Every string in L(r) must contain 00 somewhere, but what comes before and what goes before is
completely arbitrary. Considering these observations we can write the REs as (0+1)*11(0+1)*.
Example : Considering the above example it becomes clean that the RE (0+1)*11(0+1)*+(0+1)*00(0+1)*
represents the set of string over {0,1} that contains the substring 11 or 00.
Example : Consider the RE 0*10*10*. It is not difficult to see that this RE describes the set of strings over {0,1}
that contains exactly two 1's. The presence of two 1's in the RE and any no of 0's before, between and after the
1's ensure it.
Example : Consider the language of strings over {0,1} containing two or more 1's.
Solution : There must be at least two 1's in the RE somewhere and what comes before, between, and after is
completely arbitrary. Hence we can write the RE as (0+1)*1(0+1)*1(0+1)*. But following two REs also represent
the same language, each ensuring presence of least two 1's somewhere in the string
i) 0*10*1(0+1)*
ii) (0+1)*10*10*
Example : Consider a RE r over {0,1} such that
L(r) = { has no pair of consecutive 1's}
Solution : Though it looks similar to ex ……., it is harder to construct to construct. We observer that, whenever
a 1 occurs, it must be immediately followed by a 0. This substring may be preceded & followed by any no of
0's. So the final RE must be a repetition of strings of the form: 00…0100….00 i.e. 0*100*. So it looks like the
RE is (0*100*)*. But in this case the strings ending in 1 or consisting of all 0's are not accounted for. Taking
these observations into consideration, the final RE is r = (0*100*)(1+ )+0*(1+ ).
Alternative Solution :
The language can be viewed as repetitions of the strings 0 and 01. Hence get the RE as r = (0+10)*(1+ ).This
is a shorter expression but represents the same language.
Regular Expression:
FA to regular expressions:
FA to RE (REs for Regular Languages) :
Lemma : If a language is regular, then there is a RE to describe it. i.e. if L = L(M) for some DFA M, then there
is a RE r such that L = L(r).
Proof : We need to construct a RE r such that . Since M is a DFA, it has a finite
no of states. Let the set of states of M is Q = {1, 2, 3,..., n} for some integer n. [ Note : if the n states of M were
denoted by some other symbols, we can always rename those to indicate as 1, 2, 3,..., n ]. The required RE is
constructed inductively.
Notations : is a RE denoting the language which is the set of all strings w such that w is the label of a
path from state i to state j in M, and that path has no intermediate state whose number is
greater then k. ( i & j (begining and end pts) are not considered to be "intermediate" so i and /or j can be
greater than k )
We now construct inductively, for all i, j Q starting at k = 0 and finally reaching k = n.
Basis : k = 0, i.e. the paths must not have any intermediate state ( since all states are numbered 1 or
above). There are only two possible paths meeting the above condition :
1. A direct transition from state i to state j.
o = a if then is a transition from state i to state j on symbol the single symbol a.
o = if there are multiple transitions from state i to state j on symbols
.
o = f if there is no transition at all from state i to state j.
2. All paths consisting of only one node i.e. when i = j. This gives the path of length 0 (i.e. the RE
denoting the string ) and all self loops. By simply adding Î to various cases above we get the
corresponding REs i.e.
o = + a if there is a self loop on symbol a in state i .
o = + if there are self loops in state i as multiple symbols
.
o = if there is no self loop on state i.
Induction :
Assume that there exists a path from state i to state j such that there is no intermediate state whose number is
greater than k. The corresponding Re for the label of the path is .
There are only two possible cases :
1. The path dose not go through the state k at all i.e. number of all the intermediate states are less than
k. So, the label of the path from state i to state j is tha language described by the RE .
2. The path goes through the state k at least once. The path may go from i to j and k may appear more
than once. We can break the into pieces as shown in the figure 7.
Figure 7
1. The first part from the state i to the state k which is the first recurence. In this path, all intermediate
states are less than k and it starts at iand ends at k. So the RE denotes the language of the
label of path.
2. The last part from the last occurence of the state k in the path to state j. In this path also, no
intermediate state is numbered greater than k. Hence the RE denoting the language of the label
of the path.
3. In the middle, for the first occurence of k to the last occurence of k , represents a loop which may be
taken zero times, once or any no of times. And all states between two consecutive k's are numbered
less than k.
Hence the label of the path of the part is denoted by the RE .The label of the path from state i to state
j is the concatenation of these 3 parts which is
Since either case 1 or case 2 may happen the labels of all paths from state i to j is denoted by the following RE
We can construct for all i, j {1,2,..., n} in increasing order of k starting with the basis k = 0 upto k = n
since depends only on expressions with a small superscript (and hence will be available). WLOG, assume
that state 1 is the start state and are the m final states where ji {1, 2, ... , n }, and
. According to the convention used, the language of the automatacan be denoted by the RE
Since is the set of all strings that starts at start state 1 and finishes at final state following the transition
of the FA with any value of the intermediate state (1, 2, ... , n) and hence accepted by the automata.
Regular Grammar:
A grammar is right-linear if each production has one of the following three forms:
• A cB ,
• A c,
• A
Where A, B ( with A = B allowed) and . A grammar G is left-linear if each production has once of
the following three forms.
A Bc , A c, A
A right or left-linear grammar is called a regular grammar.
Regular grammar and Finite Automata are equivalent as stated in the following theorem.
Theorem : A language L is regular iff it has a regular grammar. We use the following two lemmas to prove the
above theorem.
Lemma 1 : If L is a regular language, then L is generated by some right-linear grammar.
Proof : Let be a DFA that accepts L.
Let and .
We construct the right-linear grammar by letting
N = Q , and
[ Note: If , then ]
Let . For M to accept w, there must be a sequence of states such that
and
By construction, the grammar G will have one production for each of the above transitions. Therefore, we have
the corresponding derivation.
Hence w L(g).
Conversely, if , then the derivation of w in G must have the form as given above. But,
then the construction of G from M implies that
, where , completing the proof.
Lemma 2 : Let be a right-linear grammar. Then L(G) is a regular language.
Proof: To prove it, we construct a FA M from G to accept the same language.
is constructed as follows:
( is a special sumbol not in N )
,
For any and and is defined as
if
and , if .
We now show that this construction works.
Let . Then there is a derivation of w in G of the form
By contradiction of M, there must be a sequence of transitions
implying that i.e. w is accepted by M.
Conversely, if is accepted by M, then because is the only accepting state of M, the
transitions causing w to be accepted by M will be of the form given above. These transitions corresponds to a
derivationof w in the grammar G. Hence , completing the proof of the lemma.
Given any left-linear grammar G with production of the form , we can construct from it a right-
linear grammar by replacing every production of G of the form with
It is easy to prove that . Since is right-linear, is regular. But then so are
i.e. because regular languages are closed under reversal.
Putting the two lemmas and the discussions in the above paragraph together we get the proof of the theorem-
A language L is regular iff it has a regular grammar
Example : Consider the grammar
It is easy to see that G generates the language denoted by the regular expression (01)*0.
The construction of lemma 2 for this grammar produces the follwoing FA.
This FA accepts exactly (01)*1.
Decisions Algorithms for CFL
In this section, we examine some questions about CFLs we can answer. A CFL may be represented using a
CFG or PDA. But an algorithm that uses one representation can be made to work for the others, since we can
construct one from the other.
Testing Emptiness :
Theorem : There are algorithms to test emptiness of a CFL.
Proof : Given any CFL L, there is a CFG G to generate it. We can determine, using the construction described
in the context of elimination of useless symbols, whether the start symbol is useless. If so, then ;
otherwise not.
Testing Membership :
Given a CFL L and a string x, the membership, problem is to determine whether ?
Given a PDA P for L, simulating the PDA on input string x doesnot quite work, because the PDA can grow its
stack indefinitely on input, and the process may never terminate, even if the PDA is deterministic.
So, we assume that a CFG is given such that L = L(G).
Let us first present a simple but inefficient algorithm.
Convert G to in CNF generating . If the input string , then we need to
determine whether and it can easily be done using the technique given in the context of elimination of
-production. If , then iff . Consider a derivation under a grammar in CNF. At
every step, a production in CNF in used, and hence it adds exactly one terminal symbol to the sentential form.
Hence, if the length of the input string x is n, then it takes exactly n steps to derive x ( provided x is in ).
Let the maximum number of productions for any nonterminal in is K. So at every step in derivation, there
are atmost k choices. We may try out all these choices, systematically., to derive the string x in . Since
there are atmost i.e. choices. This algorithms is of exponential time complexity. We now present an
efficient (polynomial time) membership algorithm.
Pumping Lemma:
Limitations of Finite Automata and Non regular Languages :
The class of languages recognized by FA s is strictly the regular set. There are certain languages which are
non regular i.e. cannot be recognized by any FA
Consider the language
In order to accept is language, we find that, an automaton seems to need to remember when passing the
center point between a's and b's how many a's it has seen so far. Because it would have to compare that with
the number of b's to either accept (when the two numbers are same) or reject (when they are not same) the
input string.
But the number of a's is not limited and may be much larger than the number of states since the string may be
arbitrarily long. So, the amount of information the automaton need to remember is unbounded.
A finite automaton cannot remember this with only finite memory (i.e. finite number of states). The fact that FA
s have finite memory imposes some limitations on the structure of the languages recognized. Inductively, we
can say that a language is regular only if in processing any string in this language, the information that has to
be remembered at any point is strictly limited. The argument given above to show that is non regular is
informal. We now present a formal method for showing that certain languages such as are non regular
Properties of CFL’s
Closure properties of CFL:
We consider some important closure properties of CFLs.
Theorem : If and are CFLs then so is
Proof : Let and be CFGs generating. Without loss of generality,
we can assume that . Let is a nonterminal not in or . We construct the grammar
from and , where
,
We now show that
Thus proving the theorem.
Let . Then . All productions applied in their derivation are also in . Hence i.e.
Similarly, if , then
Thus .
Conversely, let . Then and the first step in this derivation must be either or
. Considering the former case, we have
Since and are disjoint, the derivation must use the productions of only ( which are also in
) Since is the start symbol of . Hence, giving .
Using similar reasoning, in the latter case, we get . Thus .
So, , as claimed
Theorem : If and are CFLs, then so is .
Proof : Let and be the CFGs generating and respectively.
Again, we assume that and are disjoint, and is a nonterminal not in or . we construct the CFG
from and , where
We claim that
To prove it, we first assume that and . Then and . We can derive the string xy in
as shown below.
since and . Hence .
For the converse, let . Then the derivation of w in will be of the form
i.e. the first step in the derivation must see the rule . Again, since and are
disjoint and and , some string x will be generated from using productions in ( which are
also in ) and such that .
Thus
Hence and .
This means that w can be divided into two parts x, y such that and . Thus .This
completes the proof
Theorem : If L is a CFL, then so is .
Proof : Let be the CFG generating L. Let us construct the CFG from G
where .
We now prove that , which prove the theorem.
can generate in one step by using the production since , can generate any string in L.
Let for any n >1 we can write where for . w can be generated by
using following steps.
First (n-1)-steps uses the production S SS producing the sentential form of n numbers of S 's. The
nonterminal S in the i-th position then generates using production in P ( which are also in )
It is also easy to see that G can generate the empty string, any string in L and any string for n >1 and
none other.
Hence
Theorem : CFLs are not closed under intersection
Proof : We prove it by giving a counter example. Consider the language .The following
CFG generates L1 and hence a CFL
The nonterminal X generates strings of the form and C generates strings of the form , .
These are the only types of strings generated by X and C. Hence, S generates .
Using similar reasoning, it can be shown that the following grammar and hence it is
also a CFL.
But, and is already shown to be not context-free.
Hence proof.
Theorem : A CFL's are not closed under complementations
Proof : Assume, for contradiction, that CFL's are closed under complementation. SInce, CFL's are also closed
under union, the language , where and are CFL's must be CFL. But by DeMorgan's law
This contradicts the already proved fact that CFL's are not closed under intersection.
But it can be shown that the CFL's are closed under intersection with a regular set.
Theorem : If L is a CFL and R is a regular language, then is a CFL.
Proof : Let be a PDA for L and let be a DFA for R.
We construct a PDA M from P and D as follows
where is defined as
contains iff
and contains
The idea is that M simulates the moves of P and D parallely on input w, and accepts w iff both P and D
accepts. That means, we want to show that
We apply induction on n, the number of moves, to show that
iff
and
Basic Case is n=0. Hence , and . For this case it is trivially true
Inductive hypothesis : Assume that the statement is true for n -1.
Inductive Step : Let w = xa and
Let
By inductive hypothesis, and
From the definition of and considering the n-th move of the PDA M above, we have
and
Hence and
If and , then and we got that if M accepts w, then both P and D accepts it.
We can show that converse, in a similar way. Hence is a CFL ( since it is accepted by a PDA M )
This property is useful in showing that certain languages are not context-free.
Example : Consider the language
Intersecting L with the regular set , we get
Which is already known to be not context-free. Hence L is not context-free
Theorem : CFL's are closed under reversal. That is if L is a CFL, then so is
Proof : Let the CFG generates L. We construct a CFG where
. We now show that , thus proving the theorem.
We need to prove that
iff .
The proof is by induction on n, the number of steps taken by the derivation. We assume, for simplicity (and of
course without loss of generality), that G and hence are in CNF.
The basis is n=1 in which case it is trivial. Because must be either or BC with .
Hence iff
Assume that it is true for (n-1)-steps. Let . Then the first step must apply a rule of the form
and it gives
where and
By constructing of G',
Hence
The converse case is exactly similar
Substitution :
, let be a language (over any alphabet). This defines a function S, called substitution, on which is
denoted as - for all
This definition of substitution can be extended further to apply strings and langauge as well.
If , where , is a string in , then
.
Similarly, for any language L,
The following theorem shows that CFLs are closed under substitution.
Thereom : Let is a CFL, and s is a substitution on such that is a CFL for all , thus
s(L) is a CFL
Proof : Let L = L(G) for a CFG and for every , for some
. Without loss of generality, assume that the sets of nonterminals N and 's are
disjoint.
Now, we construct a grammar , generating s(L), from G and 's as follows :
•
•
•
• consists of
1. and
2. The production of P but with each terminal a in the right hand side of a production replaced by
everywhere.
We now want to prove that this construction works i.e. iff .
If Part : Let then according to the definition there is some string and
for such that
We will show that .
From the construction of , we find that, there is a derivation corresponding to the string
(since contains all productions of G but every ai replaced with in the RHS of any
production).
Every is the start symbol of and all productions of are also included in .
Hence
Therefore,
(Only-if Part) Let . Then there must be a derivative as follows :
(using the production of G include in as modified by (step 2) of the construction of .)
Each ( ) can only generate a string , since each 's and N are disjoin. Therefore,
we get
since
since
The string is formed by substituting strings for each and hence .
Theorem : CFL's are closed under homomorphism
Proof : Let be a CFL, and h is a homomorphism on i.e for some alphabets . consider
the following substitution S:Replace each symbol by the language consisting of the only string h(a), i.e.
for all . Then, it is clear that, h(L) = s(L). Hence, CFL's being closed under substitution
must also be closed under homomorphism.
Grammar
A grammar is a mechanism used for describing languages. This is one of the most simple but yet powerful
mechanism. There are other notions to do the same, of course.
In everyday language, like English, we have a set of symbols (alphabet), a set of words constructed from these
symbols, and a set of rules using which we can group the words to construct meaningful sentences. The
grammar for English tells us what are the words in it and the rules to construct sentences. It also tells us
whether a particular sentence is well-formed (as per the grammar) or not. But even if one follows the rules of
the english grammar it may lead to some sentences which are not meaningful at all, because of impreciseness
and ambiguities involved in the language. In english grammar we use many other higher level constructs like
noun-phrase, verb-phrase, article, noun, predicate, verb etc. A typical rule can be defined as
< sentence > < noun-phrase > < predicate >
meaning that "a sentence can be constructed using a 'noun-phrase' followed by a predicate".
Some more rules are as follows:
< noun-phrase > < article >< noun >
< predicate > < verb >
with similar kind of interpretation given above.
If we take {a, an, the} to be <article>; cow, bird, boy, Ram, pen to be examples of <noun>; and eats, runs,
swims, walks, are associated with <verb>, then we can construct the sentence- a cow runs, the boy eats, an
pen walks- using the above rules. Even though all sentences are well-formed, the last one is not meaningful.
We observe that we start with the higher level construct <sentence> and then reduce it to <noun-phrase>,
<article>, <noun>, <verb> successively, eventually leading to a group of words associated with these
constructs.
These concepts are generalized in formal language leading to formal grammars. The word 'formal' here refers
to the fact that the specified rules for the language are explicitly stated in terms of what strings or symbols can
occur. There can be no ambiguity in it.
Formal definitions of a Grammar
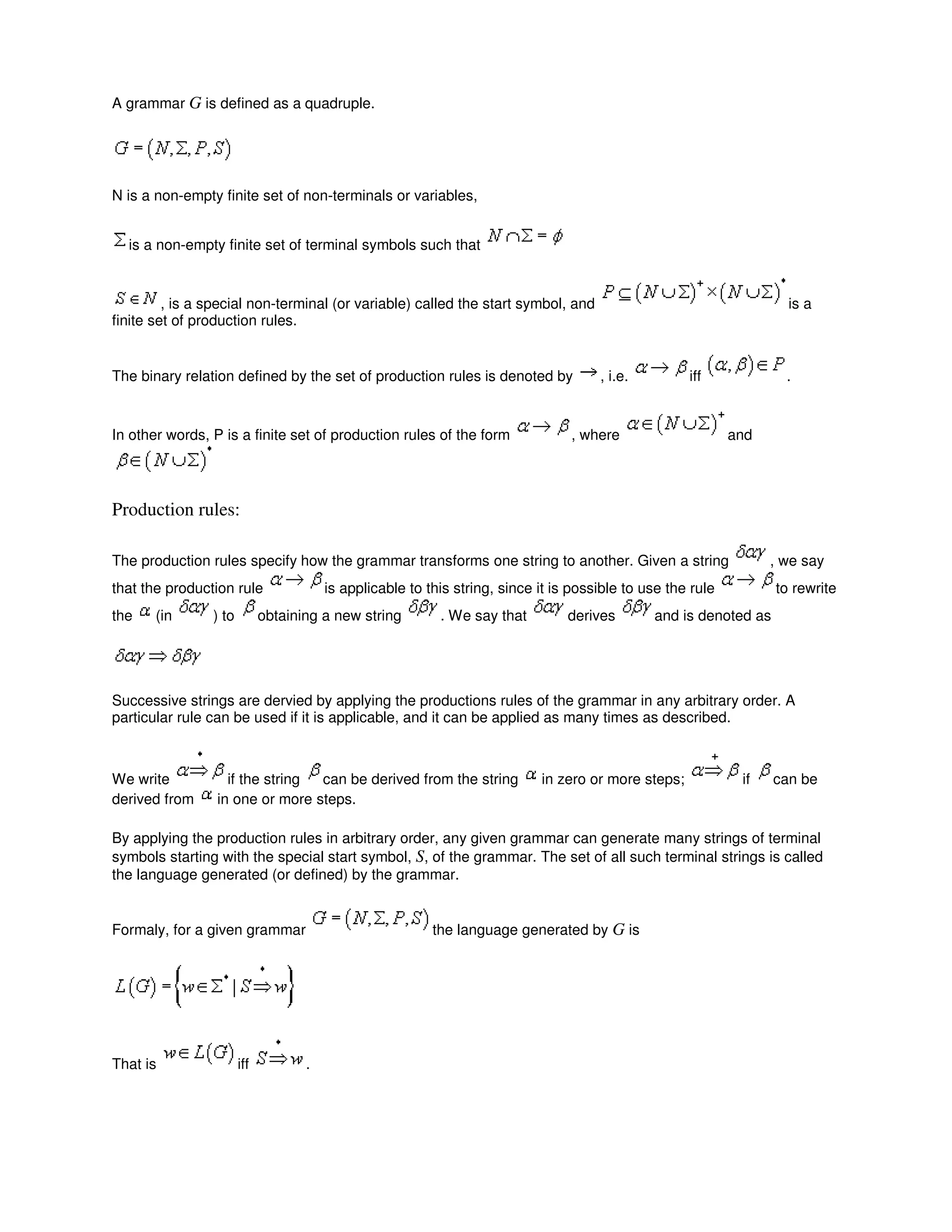
A grammar G is defined as a quadruple.
N is a non-empty finite set of non-terminals or variables,
is a non-empty finite set of terminal symbols such that
, is a special non-terminal (or variable) called the start symbol, and is a
finite set of production rules.
The binary relation defined by the set of production rules is denoted by , i.e. iff .
In other words, P is a finite set of production rules of the form , where and
Production rules:
The production rules specify how the grammar transforms one string to another. Given a string , we say
that the production rule is applicable to this string, since it is possible to use the rule to rewrite
the (in ) to obtaining a new string . We say that derives and is denoted as
Successive strings are dervied by applying the productions rules of the grammar in any arbitrary order. A
particular rule can be used if it is applicable, and it can be applied as many times as described.
We write if the string can be derived from the string in zero or more steps; if can be
derived from in one or more steps.
By applying the production rules in arbitrary order, any given grammar can generate many strings of terminal
symbols starting with the special start symbol, S, of the grammar. The set of all such terminal strings is called
the language generated (or defined) by the grammar.
Formaly, for a given grammar the language generated by G is
That is iff .
If , we must have for some , , denoted as a
derivation sequence of w, The strings are denoted as sentential forms of the
derivation.
Example : Consider the grammar , where N = {S}, ={a, b} and P is the set of the following
production rules
{ S ab, S aSb}
Some terminal strings generated by this grammar together with their derivation is given below.
S ab
S aSb aabb
S aSb aaSbb aaabbb
It is easy to prove that the language generated by this grammar is
By using the first production, it generates the string ab ( for i =1 ).
To generate any other string, it needs to start with the production S aSb and then the non-terminal S in the
RHS can be replaced either by ab (in which we get the string aabb) or the same production S aSb can be
used one or more times. Every time it adds an 'a' to the left and a 'b' to the right of S, thus giving the sentential
form . When the non-terminal is replaced by ab (which is then only possibility for generating a
terminal string) we get a terminal string of the form .
There is no general rule for finding a grammar for a given language. For many languages we can devise
grammars and there are many languages for which we cannot find any grammar.
Example: Find a grammar for the language .
It is possible to find a grammar for L by modifying the previous grammar since we need to generate an extra b
at the end of the string . We can do this by adding a production S Bb where the non-terminal B
generates as given in the previous example.
Using the above concept we devise the follwoing grammar for L.
where, N = { S, B }, P = { S Bb, B ab, B aBb }
Parse Trees:
Construction of a Parse tree:
Yield of a Parse tree:
Ambiguity in languages and grammars:
Push down automata:
Regular language can be charaterized as the language accepted by finite automata. Similarly, we can
characterize the context-free language as the langauge accepted by a class of machines called "Pushdown
Automata" (PDA). A pushdown automation is an extension of the NFA.
It is observed that FA have limited capability. (in the sense that the class of languages accepted or
characterized by them is small). This is due to the "finite memory" (number of states) and "no external memory"
involved with them. A PDA is simply an NFA augmented with an "external stack memory". The addition of a
stack provides the PDA with a last-in, first-out memory management cpapability. This "Stack" or "pushdown
store" can be used to record a potentially unbounded information. It is due to this memory management
capability with the help of the stack that a PDA can overcome the memory limitations that prevents a FA to
accept many interesting languages like . Although, a PDA can store an unbounded amount of
information on the stack, its access to the information on the stack is limited. It can push an element onto the
top of the stack and pop off an element from the top of the stack. To read down into the stack the top elements
must be popped off and are lost. Due to this limited access to the information on the stack, a PDA still has
some limitations and cannot accept some other interesting languages.
As shown in figure, a PDA has three components: an input tape with read only head, a finite control and a
pushdown store.
The input head is read-only and may only move from left to right, one symbol (or cell) at a time. In each step,
the PDA pops the top symbol off the stack; based on this symbol, the input symbol it is currently reading, and
MODULE-III
its present state, it can push a sequence of symbols onto the stack, move its read-only head one cell (or
symbol) to the right, and enter a new state, as defined by the transition rules of the PDA.
PDA are nondeterministic, by default. That is, - transitions are also allowed in which the PDA can pop and
push, and change state without reading the next input symbol or moving its read-only head. Besides this, there
may be multiple options for possible next moves.
Formal Definitions : Formally, a PDA M is a 7-tuple M =
where,
• is a finite set of states,
• is a finite set of input symbols (input alphabets),
• is a finite set of stack symbols (stack alphabets),
• is a transition function from to subset of
• is the start state
• , is the initial stack symbol, and
• , is the final or accept states.
Explanation of the transition function, :
If, for any , . This means intitutively that whenever the
PDA is in state q reading input symbol a and z on top of the stack, it can nondeterministically for any i,
• go to state
• pop z off the stack
• push onto the stack (where ) (The usual convention is that if , then
will be at the top and at the bottom.)
• move read head right one cell past the current symbol a.
If a = , then means intitutively that whenver the PDA is in
state q with z on the top of the stack regardless of the current input symbol, it can nondeterministically for any
i, ,
• go to state
• pop z off the stack
• push onto the stack, and
• leave its read-only head where it is.
State transition diagram : A PDA can also be depicted by a state transition diagram. The labels on the arcs
indicate both the input and the stack operation. The transition
for and is depicted by
Final states are indicated by double circles and the start state is indicated by an arrow to it from nowhere.
Configuration or Instantaneous Description (ID) :
A configuration or an instantaneous description (ID) of PDA at any moment during its computation is an
element of describing the current state, the portion of the input remaining to be read (i.e.
under and to the right of the read head), and the current stack contents. Only these three elements can
affect the computation from that point on and, hence, are parts of the ID.
The start or inital configuartion (or ID) on input is . That is, the PDA always starts in its
start state, with its read head pointing to the leftmost input symbol and the stack containing only the
start/initial stack symbol, .
The "next move relation" one figure describes how the PDA can move from one configuration to another
in one step.
Formally,
iff
'a' may be or an input symbol.
Let I, J, K be IDs of a PDA. We define we write I K, if ID I can become K after exactly i moves. The
relations and define as follows
I K
I J if such that I K and K J
I J if such that I J.
That is, is the reflexive, transitive closure of . We say that I J if the ID J follows from the ID I in
zero or more moves.
( Note : subscript M can be dropped when the particular PDA M is understood. )
Language accepted by a PDA M
There are two alternative definiton of acceptance as given below.
1. Acceptance by final state :
Consider the PDA . Informally, the PDA M is said to accept its input by final
state if it enters any final state in zero or more moves after reading its entire input, starting in the start
configuration on input .
Formally, we define L(M), the language accepted by final state to be
{ | for some and }
2. Acceptance by empty stack (or Null stack) : The PDA M accepts its input by empty stack if starting in the
start configuration on input , it ever empties the stack w/o pushing anything back on after reading the entire
input. Formally, we define N(M), the language accepted by empty stack, to be
{ | for some }
Note that the set of final states, F is irrelevant in this case and we usually let the F to be the empty set i.e. F =
Q .
Example 1 : Here is a PDA that accepts the language .
, and consists of the following transitions
The PDA can also be described by the adjacent transition diagram.
Informally, whenever the PDA M sees an input a in the start state with the start symbol z on the top of the
stack it pushes a onto the stack and changes state to . (to remember that it has seen the first 'a'). On state
if it sees anymore a, it simply pushes it onto the stack. Note that when M is on state , the symbol on the
top of the stack can only be a. On state if it sees the first b with a on the top of the stack, then it needs to
start comparison of numbers of a's and b's, since all the a's at the begining of the input have already been
pushed onto the stack. It start this process by popping off the a from the top of the stack and enters in state q3
(to remember that the comparison process has begun). On state , it expects only b's in the input (if it sees
any more a in the input thus the input will not be in the proper form of anbn). Hence there is no more on input a
when it is in state . On state it pops off an a from the top of the stack for every b in the input. When it
sees the last b on state q3 (i.e. when the input is exaushted), then the last a from the stack will be popped off
and the start symbol z is exposed. This is the only possible case when the input (i.e. on -input ) the PDA M
will move to state which is an accept state.
we can show the computation of the PDA on a given input using the IDs and next move relations. For example,
following are the computation on two input strings.
Let the input be aabb. we start with the start configuration and proceed to the subsequent IDs using the
transition function defined
( using transition 1 )
( using transition 2 )
( using transition 3 )
( using transition 4 ), ( using transition 5 ) , is final state. Hence , accept. So the
string aabb is rightly accepted by M
we can show the computation of the PDA on a given input using the IDs and next move relations. For example,
following are the computation on two input strings.
i) Let the input be aabab.
No further move is defined at this point.
Hence the PDA gets stuck and the string aabab is not accepted.
Example 2 : We give an example of a PDA M that accepts the set of balanced strings of parentheses [] by
empty stack.
The PDA M is given below.
where is defined as
Informally, whenever it sees a [, it will push the ] onto the stack. (first two transitions), and whenever it sees a ]
and the top of the stack symbol is [, it will pop the symbol [ off the stack. (The third transition). The fourth
transition is used when the input is exhausted in order to pop z off the stack ( to empty the stack) and accept.
Note that there is only one state and no final state. The following is a sequence of configurations leading to the
acceptance of the string [ [ ] [ ] ] [ ].
Equivalence of acceptance by final state and empty stack.
It turns out that the two definitions of acceptance of a language by a PDA - accpetance by final state and empty
stack- are equivalent in the sense that if a language can be accepted by empty stack by some PDA, it can also
be accepted by final state by some other PDA and vice versa. Hence it doesn't matter which one we use, since
each kind of machine can simulate the other.Given any arbitrary PDA M that accpets the language L by final
state or empty stack, we can always construct an equivalent PDA M with a single final state that accpets
exactly the same language L. The construction process of M' from M and the proof of equivalence of M & M'
are given below.
There are two cases to be considered.
CASE I : PDA M accepts by final state, Let Let qf be a new state not in Q.
Consider the PDA where as well as the following transition.
contains and . It is easy to show that M and M' are equivalent i.e.
L(M) = L( )
Let L(M) . Then for some and
Then
Thus accepts
Conversely, let accepts i.e. L( ), then for
inherits all other moves except the last one from M. Hence for some
.
Thus M accepts . Informally, on any input simulate all the moves of M and enters in its own final state
whenever M enters in any one of its final status in F. Thus accepts a string iff M accepts it.
CASE II : PDA M accepts by empty stack.
We will construct from M in such a way that simulates M and detects when M empties its stack.
enters its final state when and only when M empties its stack.Thus will accept a string iff M
accepts.
Let where and X and contains all the
transition of , as well as the following two transitions.
and
Transitions 1 causes to enter the initial configuration of M except that will have its own bottom-of-stack
marker X which is below the symbols of M's stack. From this point onward will simulate every move of M
since all the transitions of M are also in
If M ever empties its stack, then when simulating M will empty its stack except the symbol X at the bottom.
At this point, will enter its final state by using transition rule 2, thereby (correctly) accepting the input.
We will prove that M and are equivalent.
Let M accepts . Then
for some . But then
( by transition rule 1)
( Since includes all the moves of M )
( by transition rule 2 )
Hence, also accepts . Conversely, let accepts .
Then for some
Every move in the sequence, were taken from M.
Hence, M starting with its initial configuration will eventually empty its stack and accept the input i.e.
Equivalence of PDA’s and CFG’s:
We will now show that pushdown automata and context-free grammars are equivalent in expressive power,
that is, the language accepted by PDAs are exactly the context-free languages. To show this, we have to prove
each of the following:
i) Given any arbitrary CFG G there exists some PDA M that accepts exactly the same language
generated by G.
ii) Given any arbitrary PDA M there exists a CFG G that generates exactly the same language
accpeted by M.
(i) CFA to PDA
We will first prove that the first part i.e. we want to show to convert a given CFG to an equivalent PDA.
Let the given CFG is . Without loss of generality we can assume that G is in Greibach
Normal Form i.e. all productions of G are of the form .
where and .
From the given CFG G we now construct an equivalent PDA M that accepts by empty stack. Note that there is
only one state in M. Let
, where
• q is the only state
• is the input alphabet,
• N is the stack alphabet ,
• q is the start state.
• S is the start/initial stack symbol, and , the transition relation is defined as follows
For each production , . We now want to show
that M and G are equivalent i.e. L(G)=N(M). i.e. for any . iff .
If , then by definition of L(G), there must be a leftmost derivation starting with S and deriving w.
i.e.
Again if , then one sysmbol. Therefore we need to show that for any .
iff .
But we will prove a more general result as given in the following lemma. Replacing A by S (the start symbol)
and by gives the required proof.
Lemma For any , and , via a leftmost derivative iff
.
Proof : The proof is by induction on n.
Basis : n = 0
iff i.e. and
iff
iff
Induction Step :
First, assume that via a leftmost derivation. Let the last production applied in their derivation is
for some and .
Then, for some ,
where and
Now by the indirection hypothesis, we get,
.............................................................................(1)
Again by the construction of M, we get
so, from (1), we get
since and , we get
That is, if , then . Conversely, assume that
and let
be the transition used in the last move. Then for some , and
where and .
Now, by the induction hypothesis, we get
via a leftmost derivation.
Again, by the construction of M, must be a production of G. [ Since ].
Applying the production to the sentential form we get
i.e.
via a leftmost derivation.
Hence the proof.
Example : Consider the CFG G in GNF
S aAB
A a / aA
B a / bB
The one state PDA M equivalent to G is shown below. For convenience, a production of G and the
corresponding transition in M are marked by the same encircled number.
(1) S aAB
(2) A a
(3) A aA
(4) B a
(5) B bB
. We have used the same construction discussed earlier
Some Useful Explanations :
Consider the moves of M on input aaaba leading to acceptance of the string.
Steps
1. (q, aaaba, s) ( q, aaba, AB )
2. ( q, aba, AB )
3. ( q, ba, B )
4. ( q, a, B )
5. ( q, , ) Accept by empty stack.
Note : encircled numbers here shows the transitions rule applied at every step.
Now consider the derivation of the same string under grammar G. Once again, the production used at every
step is shown with encircled number.
S aAB aaAB aaaB aaabB aaaba
Steps 1 2 3 4 5
Observations:
• There is an one-to-one correspondence of the sequence of moves of the PDA M and the derivation
sequence under the CFG G for the same input string in the sense that - number of steps in both the
cases are same and transition rule corresponding to the same production is used at every step (as
shown by encircled number).
• considering the moves of the PDA and derivation under G together, it is also observed that at every
step the input read so far and the stack content together is exactly identical to the corresponding
sentential form i.e.
<what is Read><stack> = <sentential form>
Say, at step 2, Read so far = a
stack = AB
Sentential form = aAB From this property we claim that iff . If the claim is
true, then apply with and we get iff or iff ( by
definition )
Thus N(M) = L(G) as desired. Note that we have already proved a more general version of the claim
PDA and CFG:
We now want to show that for every PDA M that accpets by empty stack, there is a CFG G such that L(G) =
N(M)
we first see whether the "reverse of the construction" that was used in part (i) can be used here to construct an
equivalent CFG from any PDA M.
It can be show that this reverse construction works only for single state PDAs.
• That is, for every one-state PDA M there is CFG G such that L(G) = N(M). For every move of the
PDA M we introduce a production in the
grammar where N = T and .
we can now apply the proof in part (i) in the reverse direction to show that L(G) = N(M).
But the reverse construction does not work for PDAs with more than one state. For example, consider the PDA
M produced here to accept the langauge
Now let us construct CFG using the "reverse" construction.
( Note ).
Transitions in M Corresponding Production in G
We can drive strings like aabaa which is in the language.
But under this grammar we can also derive some strings which are not in the language. e.g
and . But
Therefore, to complete the proof of part (ii) we need to prove the following claim also.
Claim: For every PDA M there is some one-state PDA such that .
It is quite possible to prove the above claim. But here we will adopt a different approach. We start with any
arbitrary PDA M that accepts by empty stack and directly construct an equivalent CFG G.
PDA to CFG
We want to construct a CFG G to simulate any arbitrary PDA M with one or more states. Without loss of
generality we can assume that the PDA M accepts by empty stack.
The idea is to use nonterminal of the form <PAq> whenever PDA M in state P with A on top of the stack goes
to state . That is, for example, for a given transition of the PDA corresponding production in the grammar as
shown below,
And, we would like to show, in general, that iff the PDA M, when started from state P with A on
the top of the stack will finish processing , arrive at state q and remove A from the stack.
we are now ready to give the construction of an equivalent CFG G from a given PDA M. we need to introduce
two kinds of producitons in the grammar as given below. The reason for introduction of the first kind of
production will be justified at a later point. Introduction of the second type of production has been justified in the
above discussion.
Let be a PDA. We construct from M a equivalent CFG
Where
• N is the set of nonterminals of the form <PAq> for and and P contains the follwoing
two kind of production
1.
2. If , then for every choice of the sequence ,
, .
Include the follwoing production
If n = 0, then the production is .For the whole exercise to be meaningful we want
means there is a sequence of transitions ( for PDA M ), starting in state q, ending in ,
during which the PDA M consumes the input string and removes A from the stack (and, of course, all other
symbols pushed onto stack in A's place, and so on.)
That is we want to claim that
iff
If this claim is true, then let to get iff for some
. But for all we have as production in G. Therefore,
iff i.e. iff PDA M accepts w by empty stack or L(G) = N(M)
Now, to show that the above construction of CFG G from any PDA M works, we need to prove the proposed
claim.
Note: At this point, the justification for introduction of the first type of production (of the form ) in
the CFG G, is quite clear. This helps use deriving a string from the start symbol of the grammar.
Proof : Of the claim iff for some , and
The proof is by induction on the number of steps in a derivation of G (which of course is equal to the number of
moves taken by M). Let the number of steps taken is n.
The proof consists of two parts: ' if ' part and ' only if ' part. First, consider the ' if ' part
If then .
Basis is n =1
Then . In this case, it is clear that . Hence, by construction is
a production of G.
Then
Inductive Hypothesis :
Inductive Step :
For n >1, let w = ax for some and consider the first move of the PDA M which uses the
general transition =
. Now M must remove from stack while
consuming x in the remaining n-1 moves.
Let , where is the prefix of x that M has consumed when first appears at top of
the stack. Then there must exist a sequence of states in M (as per construction) (with
), such that
[ This step implies ]
[ This step implies ]
...
=
[ Note: Each step takes less than or equal to n -1 moves because the total number of moves required assumed
to be n-1.]
That is, in general
, .
So, applying inductive hypothesis we get
, . But corresponding to the original move
in M we have added the following production in G.
We can show the computation of the PDA on a given input using the IDs and next move relations. For example,
following are the computation on two input strings.
i) Let the input be aabb. we start with the start configuration and proceed to the subsequent IDs using the
transition function defined
( using transition 1 ) , ( using transition 2 )
( using transition 3 ), ( using transition 4 )
( using transition 5 ) , is final state. Hence, accept.
So the string aabb is rightly accepted by M.
we can show the computation of the PDA on a given input using the IDs and next move relations. For example,
following are the computation on two input strings.
i) Let the input be aabab.
No further move is defined at this point.
Hence the PDA gets stuck and the string aabab is not accepted.
The following is a sequence of configurations leading to the acceptance of the string [ [ ] [ ] ] [ ].
Equivalence of acceptance by final state and empty stack.
It turns out that the two definitions of acceptance of a language by a PDA - accpetance by final state and empty
stack- are equivalent in the sense that if a language can be accepted by empty stack by some PDA, it can also
be accepted by final state by some other PDA and vice versa. Hence it doesn't matter which one we use, since
each kind of machine can simulate the other.Given any arbitrary PDA M that accpets the language L by final
state or empty stack, we can always construct an equivalent PDA M with a single final state that accpets
exactly the same language L. The construction process of M' from M and the proof of equivalence of M & M'
are given below
There are two cases to be considered.
CASE 1 : PDA M accepts by final state, Let . Let be a new state not in Q.
Consider the PDA where as well as the following transition.
contains and . It is easy to show that M and are equivalent i.e.
.
Let . Then for some and
Then .
Thus accepts .
Conversely, let accepts i.e. , then for some
. inherits all other moves except the last one from M. Hence for some
.
Thus M accepts . Informally, on any input simulate all the moves of M and enters in its own final state
whenever M enters in any one of its final status in F. Thus accepts a string iff M accepts it.
CASE 2 : PDA M accepts by empty stack.
we will construct from M in such a way that simulates M and detects when M empties its stack.
enters its final state when and only when M empties its stack.Thus will accept a string iff M
accepts.
Let where and and contains all
the transition of , as well as the following two transitions.
and
Transitions 1 causes to enter the initial configuration of M except that will have its own bottom-of-stack
marker X which is below the symbols of M's stack. From this point onward M' will simulate every move of M
since all the transitions of M are also in .
If M ever empties its stack, then when simulating M will empty its stack except the symbol X at the bottom.
At this point , will enter its final state by using transition rule 2, thereby (correctly) accepting the input.
we will prove that M and are equivalent.
Let M accepts .
Then
for some . But then,
( by transition rule 1 )
( since include all the moves of M )
( by transition rule 2 )
Hence, also accepts .Conversely, let accepts .
Then for some Q .
Every move in the sequence
were taken from M.
Hence, M starting with its initial configuration will eventually empty its stack and accept the input i.e.
.
Deterministic PDA:
Regular Languages and DPDA’s The DPDA’s accepts a class of languages that is in between the regular
languages and CFL’s.
Deterministic Pushdown Automata (DPDA) and Deterministic Context-free Languages (DCFLs)
Pushdown automata that we have already defined and discussed are nondeterministic by default, that is , there may be two or
more moves involving the same combinations of state, input symbol, and top of the stock, and again, for some state and
top of the stock the machine may either read and input symbol or make an - transition (without consuming any input).
In deterministic PDA , there is never a choice of move in any situation. This is handled by preventing the above mentioned two
cases as described in the definition below.
Defnition : Let be a PDA . Then M is deterministic if and only if both the following conditions are
satisfied.
1. has at most one element for any and (this condition prevents multiple choice f
any combination of )
2. If and for every
(This condition prevents the possibility of a choice between a move with or without an input symbol).
Empty Production Removal
The productions of context-free grammars can be coerced into a variety of forms without
affecting the expressive power of the grammars. If the empty string does not belong to a language,
then there is a way to eliminate the productions of the form A→ λ from the grammar.
If the empty string belongs to a language, then we can eliminate λ from all productions
save for the single production S → λ. In this case we can also eliminate any occurrences of S from
the right-hand side of productions.
Procedure to find CFG with out empty Productions
Unit production removal
Left Recursion Removal
NORMAL FORMS
Two kinds of normal forms viz., Chomsky Normal Form and Greibach Normal Form (GNF) are
considered here.
Chomsky Normal Form (CNF)
Any context-free language L without any λ-production is generated by a grammar is
which productions are of the form A → BC or A→ a, where A, B ∈VN , and a ∈ V Τ.
Procedure to find Equivalent Grammar in CNF
(i) Eliminate the unit productions, and λ-productions if any,
(ii) Eliminate the terminals on the right hand side of length two or more.
(iii) Restrict the number of variables on the right hand side of productions to two.
Proof:
For Step (i): Apply the following theorem: “Every context free language can be generated by a
grammar with no useless symbols and no unit productions”.
At the end of this step the RHS of any production has a single terminal or two or more symbols.
Let us assume the equivalent resulting grammar as G = (VN ,VT ,P ,S ).
For Step (ii): Consider any production of the form
Example
Obtain a grammar in Chomsky Normal Form (CNF) equivalent to the grammar G with
productions P given
Solution
Pumping Lemma for CFG
A “Pumping Lemma” is a theorem used to show that, if certain strings belong to a
language, then certain other strings must also belong to the language. Let us discuss a Pumping
Lemma for CFL. We will show that , if L is a context-free language, then strings of L that are at
least ‘m’ symbols long can be “pumped” to produce additional strings in L. The value of ‘m’
depends on the particular language. Let L be an infinite context-free language. Then there is some
positive integer ‘m’ such that, if S is a string of L of Length at least ‘m’, then
(i) S = uvwxy (for some u, v, w, x, y)
(ii) | vwx| ≤ m
(iii) | vx| ≥1
(iv) uv iwx i y∈L.
for all non-negative values of i.
It should be understood that
(i) If S is sufficiently long string, then there are two substrings, v and x, somewhere in S.
There is stuff (u) before v, stuff (w) between v and x, and stuff (y), after x.
(ii) The stuff between v and x won’t be too long, because | vwx | can’t be larger than m.
(iii) Substrings v and x won’t both be empty, though either one could be.
(iv) If we duplicate substring v, some number (i) of times, and duplicate x the same number
of times, the resultant string will also be in L.
Definitions
A variable is useful if it occurs in the derivation of some string. This requires that
(a) the variable occurs in some sentential form (you can get to the variable if you start from S), and
(b) a string of terminals can be derived from the sentential form (the variable is not a “dead end”).
A variable is “recursive” if it can generate a string containing itself. For example, variable A is
recursive if
Proof of Pumping Lemma
(a) Suppose we have a CFL given by L. Then there is some context-free Grammar G that generates
L. Suppose
(i) L is infinite, hence there is no proper upper bound on the length of strings belonging to L.
(ii) L does not contain l.
(iii) G has no productions or l-productions.
There are only a finite number of variables in a grammar and the productions for each
variable have finite lengths. The only way that a grammar can generate arbitrarily long strings is if
one or more variables is both useful and recursive. Suppose no variable is recursive. Since the start
symbol is non recursive, it must be defined only in terms of terminals and other variables. Then
since those variables are non recursive, they have to be defined in terms of terminals and still other
variables and so on.
After a while we run out of “other variables” while the generated string is still finite. Therefore
there is an upper bond on the length of the string which can be generated from the start symbol.
This contradicts our statement that the language is finite.
Hence, our assumption that no variable is recursive must be incorrect.
(b) Let us consider a string X belonging to L. If X is sufficiently long, then the derivation of X must
have involved recursive use of some variable A. Since A was used in the derivation, the derivation
should have started as
Usage of Pumping Lemma
Hence our original assumption, that L is context free should be false. Hence the language L is not
con text-free.
Example
Check whether the language given by L = {a mbmcn : m ≤ n ≤ 2m} is a CFL or not.
Solution
Closure properties of CFL – Substitution
Applications of substitution theorem
Reversal
Inverse Homomorphism:
Turing machine:
Informal Definition:
We consider here a basic model of TM which is deterministic and have one-tape. There are many variations, all
are equally powerfull.
The basic model of TM has a finite set of states, a semi-infinite tape that has a leftmost cell but is infinite to the
right and a tape head that can move left and right over the tape, reading and writing symbols.
For any input w with |w|=n, initially it is written on the n leftmost (continguous) tape cells. The infinitely many
cells to the right of the input all contain a blank symbol, B whcih is a special tape symbol that is not an input
symbol. The machine starts in its start state with its head scanning the leftmost symbol of the input w. De-
pending upon the symbol scanned by the tape head and the current state the machine makes a move which
consists of the following:
• writes a new symbol on that tape cell, •
moves its head one cell either to the left or to the right and
• (possibly) enters a new state.
The action it takes in each step is determined by a transition functions. The machine continues computing (i.e.
making moves) until
• it decides to "accept" its input by entering a special state called accept or final state or
• halts without accepting i.e. rejecting the input when there is no move defined.
On some inputs the TM many keep on computing forever without ever accepting or rejecting the input, in which
case it is said to "loop" on that input
Formal Definition :
Formally, a deterministic turing machine (DTM) is a 7-tuple , where
• Q is a finite nonempty set of states.
• is a finite non-empty set of tape symbols, callled the tape alphabet of M.
• is a finite non-empty set of input symbols, called the input alphabet of M.
• is the transition function of M,
MODULE-IVVV
• is the initial or start state.
• is the blank symbol
• is the set of final state.
So, given the current state and tape symbol being read, the transition function describes the next state, symbol
to be written on the tape, and the direction in which to move the tape head ( L and R denote left and right,
respectively ).
Transition function :
• The heart of the TM is the transition function, because it tells us how the machine gets one step to
the next.
• when the machine is in a certain state q Q and the head is currently scanning the tape symbol
, and if , then the machine
1. replaces the symbol X by Y on the tape
2. goes to state p, and
3. the tape head moves one cell ( i.e. one tape symbol ) to the left ( or right ) if D is L ( or R ).
The ID (instantaneous description) of a TM capture what is going out at any moment i.e. it contains all the
information to exactly capture the "current state of the computations".
It contains the following:
• The current state, q
• The position of the tape head,
• The constants of the tape up to the rightmost nonblank symbol or the symbol to the left of the head,
whichever is rightmost.
Note that, although there is no limit on how far right the head may move and write nonblank symbols on the
tape, at any finite
time, the TM has visited only a finite prefix of the infinite tape.
An ID (or configuration) of a TM M is denoted by where and
• is the tape contents to the left of the head
• q is the current state.
• is the tape contents at or to the right of the tape head
That is, the tape head is currently scanning the leftmost tape symbol of . ( Note that if , then the tape
head is scanning a blank symbol)
If is the start state and w is the input to a TM M then the starting or initial configuration of M is onviously
denoted by
Moves of Turing Machines
To indicate one move we use the symbol . Similarly, zero, one, or more moves will be represented by . A
move of a TM
M is defined as follows.
Let be an ID of M where , and .
Let there exists a transition of M.
Then we write meaning that ID yields
• Alternatively , if is a transition of M, then we write which
means that the ID yields
• In other words, when two IDs are related by the relation , we say that the first one yields the second
( or the second is the result of the first) by one move.
• If IDj results from IDi by zero, one or more (finite) moves then we write ( If the TM M is understand,
then the subscript M can be dropped from or )
Special Boundary Cases
• Let be an ID and be an transition of M. Then . That is, the head is not
allowed to fall off the left end of the tape.
• Let be an ID and then figure (Note that is equivalent to )
• Let be an ID and then figure
• Let be an ID and then figure
The language accepted by a TM , denoted as L(M) is
L(M) = { w | and figure for some p F and }
In other words the TM M accepts a string that cause M to enter a final or accepting state when started
in its initial ID (i.e. ). That is a TM M accepts the string if a sequence of IDs,
exists such that
• is the initial or starting ID of M
• ;
• The representation of IDk contains an accepting state.
The set of strings that M accepts is the language of M, denoted L(M), as defined above
More about configuration and acceptance
• An ID of M is called an accepting (or final) ID if
• An ID is called a blocking (or halting) ID if is undefined i.e. the TM has no move at this
point.
• is called reactable from if
• is the initial (or starting) ID if is the input to the TM and is the initial (or start) state
of M.
On any input string
either
• M halts on w if there exists a blocking (configuration) ID, such that
There are two cases to be considered
• M accepts w if I is an accepting ID. The set of all accepted by M is denoted as L(M) as
already defined
• M rejects w if is a blocking configuration. Denote by reject (M), the set of all rejected by M.
or
• M loops on w if it does not halt on w.
Let loop(M) be the set of all on which M loops for.
It is quite clear that
That is, we assume that a TM M halts
• When it enters an accepting or
• When it enters a blocking i.e. when there is no next move.
However, on some input string, , , it is possible that the TM M loops for ever i.e. it never halts
The Halting Problem
The input to a Turing machine is a string. Turing machines themselves can be written as
strings. Since these strings can be used as input to other Turing machines. A “Universal Turing
machine” is one whose input consists of a description M of some arbitrary Turing machine, and
some input w to which machine M is to be applied, we write this combined input as M + w. This
produces the same output that would be produced by M. This is written as
Universal Turing Machine (M + w) = M (w).
As a Turing machine can be represented as a string, it is fully possible to supply a Turing
machine as input to itself, for example M (M). This is not even a particularly bizarre thing to do for
example, suppose you have written a C pretty printer in C, then used the Pretty printer on itself.
Another common usage is Bootstrapping—where some convenient languages used to write a
minimal compiler for some new language L, then used this minimal compiler for L to write a new,
improved compiler for language L. Each time a new feature is added to language L, you can
recompile and use this new feature in the next version of the compiler. Turing machines sometimes
halt, and sometimes they enter an infinite loop.
A Turing machine might halt for one input string, but go into an infinite loop when given
some other string. The halting problem asks: “It is possible to tell, in general, whether a given
machine will halt for some given input?” If it is possible, then there is an effective procedure to look
at a Turing machine and its input and determine whether the machine will halt with that input. If
there is an effective procedure, then we can build a Turing machine to implement it. Suppose we
have a Turing machine “WillHalt” which, given an input string M + w, will halt and accept the string
if Turing machine M halts on input w and will halt and reject the string if Turing machine M does not
halt on input w. When viewed as a Boolean function, “WillHalt (M, w)” halts and returns “TRUE” in
the first case, and (halts and) returns “FALSE” in the second.
Theorem
Turing Machine “WillHalt (M, w)” does not exist.
Proof: This theorem is proved by contradiction. Suppose we could build a machine “WillHalt”.
Then we can certainly build a second machine, “LoopIfHalts”, that will go into an infinite loop if
and only if “WillHalt” accepts its input:
Function LoopIfHalts (M, w):
if WillHalt (M, w) then
while true do { }
else
return false;
We will also define a machine “LoopIfHaltOnItSelf” that, for any given input M, representing a
Turing machine, will determine what will happen if M is applied to itself, and loops if M will halt in
this case.
Function LoopIfHaltsOnItself (M):
return LoopIfHalts (M, M):
Finally, we ask what happens if we try:
Func tion Impos sible:
return LoopIfHaltsOnItself (LoopIfHaltsOnItself):
This machine, when applied to itself, goes into an infinite loop if and only if it halts when
applied to itself. This is impossible. Hence the theorem is proved.
Implications of Halting Problem
Programming
The Theorem of “Halting Problem” does not say that we can never determine whether or not
a given program halts on a given input. Most of the times, for practical reasons, we could eliminate
infinite loops from programs. Sometimes a “meta-program” is used to check another program for
potential infinite loops, and get this meta-program to work most of the time.
The theorem says that we cannot ever write such a meta-program and have it work all of the
time. This result is also used to demonstrate that certain other programs are also impossible.
The basic outline is as follows:
(i) If we could solve a problem X, we could solve the Halting problem
(ii) We cannot solve the Halting Problem
(iii) Therefore, we cannot solve problem X
A Turing machine can be "programmed," in much the same manner as a computer is
programmed. When one specifies the function which we usually call δ for a Tm, he is really writing
a program for the Tm.
1. Storage in finite Control
The finite control can be used to hold a finite amount of information. To do so, the state is
written as a pair of elements, one exercising control and the other storing a symbol. It should be
emphasized that this arrangement is for conceptual purposes only. No modification in the definition
of the Turing machine has been made.
Example
Consider the Turing machine
Solution
2. Multiple Tracks
We can imagine that the tape of the Turing machine is divided into k tracks, for any finite k. This
arrangement is shown in Fig., with k = 3. What is actually done is that the symbols on the tape are
considered as k-tuples. One component for each track.
Example
The tape in Fig. can be imagined to be that of a Turing machine which takes a binary input
greater than 2, written on the first track, and determines if it is a prime. The input is surrounded by ¢
and $ on the first track.
Thus, the allowable input symbols are [¢, B, B], [0, B, B ], [1, B, B ], and [$, B, B]. These
symbols can be identified with ¢, 0, 1, and $, respectively, when viewed as input symbols. The blank
symbol can be represented by [B, B, B ]
To test if its input is a prime, the Tm first writes the number two in binary on the second track
and copies the first track onto the third track. Then, the second track is subtracted, as many times as
possible, from the third track, effectively dividing the third track by the second and leaving the
remainder. If the remainder is zero, the number on the first track is not a prime. If the remainder is
nonzero, increase the number on the second track by one.
If now the second track equals the first, the number on the first track is a prime, because it cannot
be divided by any number between one and itself. If the second is less than the first, the whole
operation is repeated for the new number on the second track. In Fig., the Tm is testing to determine
if 47 is a prime. The Tm is dividing by 5; already 5 has been subtracted twice, so 37 appears on the
third track.
3. Subroutines
UNDECIDABILITYYY
Design a Turing machine to add two given integers.
Solution:
Some unsolvable Problems are as follows:
(i) Does a given Turing machine M halts on all input?
(ii) Does Turing machine M halt for any input?
(iii) Is the language L(M) finite?
(iv) Does L(M) contain a string of length k, for some given k?
(v) Do two Turing machines M1 and M2 accept the same language?
It is very obvious that if there is no algorithm that decides, for an arbitrary given Turing machine M
and input string w, whether or not M accepts w. These problems for which no algorithms exist are
called “UNDECIDABLE” or “UNSOLVABLE”.
Code for Turing Machine:
Diagonalization language:
This table represents language acceptable by Turing machine
Proof that Ld is not recursively enumerable:
Recursive Languages:
Universal
Language:
Undecidability of Universal Language:
Problem -Reduction :
If P1 reduced to P2,
Then P2 is at least as hard as P1.
Theorem: If P1 reduces to P2 then,
• If P1 is undecidable the so is P2.
• If P1 is Non-RE then so is P2.
Post's Correspondence Problem (PCP)
A post correspondence system consists of a finite set of ordered pairs where
for some alphabet .
Any sequence of numbers
is called a solution to a Post Correspondence System.
The Post's Correspondence Problem is the problem of determining whether a
Post Correspondence system has a solutions.
Example 1 : Consider the post correspondence system
The list 1,2,1,3 is a solution to it.
Because
i xi yi
1
2
3
(A post correspondence system is also denoted as an instance of the PCP)
Example 2 : The following PCP instance has no solution
i xi yi
1
2
This can be proved as follows. cannot be chosen at the start, since than the LHS and RHS would
differ in the first symbol ( in LHS and in RHS). So, we must start with . The next pair must be
so that the 3 rd symbol in the RHS becomes identical to that of the LHS, which is a . After this
step, LHS and RHS are not matching. If is selected next, then would be mismatched in the 7 th symbol
( in LHS and in RHS). If is selected, instead, there will not be any choice to match the both side in
the next step.
Example3 : The list 1,3,2,3 is a solution to the following PCP instance.
i xi yi
1 1 101
2 10 00
3 011 11
The following properties can easily be proved.
Proposition The Post Correspondence System
has solutions if and only if
Corollary : PCP over one-letter alphabet is decidable.
Proposition Any PCP instance over an alphabet with is equivalent to a PCP instance over an
alphabet with
Proof : Let
Consider We can now encode every as any PCP instance over will now
have only two symbols, 0 and 1 and, hence, is equivalent to a PCP instance over
Theorem : PCP is undecidable. That is, there is no algorithm that determines whether an arbitrary Post
Correspondence System has a solution.
Proof: The halting problem of turning machine can be reduced to PCP to show the undecidability of PCP. Since
halting problem of TM is undecidable (already proved), This reduction shows that PCP is also undecidable. The
proof is little bit lengthy and left as an exercise.
Some undecidable problem in context-free languages
We can use the undecidability of PCP to show that many problem concerning the context-free languages are
undecidable. To prove this we reduce the PCP to each of these problem. The following discussion makes it
clear how PCP can be used to serve this purpose.
Let be a Post Correspondence System over the alphabet . We construct
two CFG's Gx and Gy from the ordered pairs x,y respectively as follows.
and
where
and
it is clear that the grammar generates the strings that can appear in the LHS of a sequence while solving
the PCP followed by a sequence of numbers. The sequence of number at the end records the sequence of
strings from the PCP instance (in reverse order) that generates the string. Similarly, generates the strings
that can be obtained from the RHS of a sequence and the corresponding sequence of numbers (in reverse
order).
Now, if the Post Correspondence System has a solution, then there must be a sequence
According to the construction of and
In this case
Hence , and implying
Conversely, let
Hence, w must be in the form w1w2 where and w2 in a sequence (since, only that kind of
strings can be generated by each of and ).
Now, the string is a solution to the Post Correspondence System.
It is interesting to note that we have here reduced PCP to the language of pairs of CFG,s whose intersection is
nonempty. The following result is a direct conclusion of the above.
Theorem : Given any two CFG's G1 and G2 the question "Is " is undecidable.
Proof: Assume for contradiction that there exists an algorithm A to decide this question. This would imply that
PCP is decidable as shown below.
For any Post Correspondence System, P construct grammars and by using the constructions
elaborated already. We can now use the algorithm A to decide whether and
Thus, PCP is decidable, a contradiction. So, such an algorithm does not exist.
If and are CFG's constructed from any arbitrary Post Correspondence System, than it is not difficult to
show that and are also context-free, even though the class of context-free languages are not
closed under complementation.
and their complements can be used in various ways to show that many other questions
related to CFL's are undecidable. We prove here some of those.
Theorem : Foe any two arbitrary CFG's the following questions are undecidable
i. Is
ii. Is
iii. Is
Proof :
i. If then,
Hence, it suffice to show that the question “Is " is undecidable.
Since, and are CFl's and CFL's are closed under union, is also context-
free. By DeMorgan's theorem,
If there is an algorithm to decide whether we can use it to decide whether
or not. But this problem has already been proved to be undecidable.
Hence there is no such algorithm to decide or not.
ii.
Let P be any arbitrary Post correspondence system and and are CFg's constructed from the pairs of
strings.
must be a CFL and let G1generates L1. That is,
by De Morgan's theorem, as shown already, any string, represents a solution to the
PCP. Hence, contains all but those strings representing the solution to the PCP.
Let for same CFG G2.
It is now obvious that if and only if the PCP has no solutions, which is already proved to be
undecidable. Hence, the question “Is ?" is undecidable.
iii.
Let be a CFG generating the language and G2 be a CFG generating
where and are CFG.s constructed from same arbitrary instance of PCP.
iff
i.e. iff the PCP instance has no solutions as discussed in part (ii).
Hence the proof.
Theorem : It is undecidable whether an arbitrary CFG is ambiguous.
Proof : Consider an arbitrary instance of PCP and construct the CFG's and from the ordered pairs of
strings.
We construct a new grammar G from and as follows.
where
is same as that of and .
This constructions gives a reduction of PCP to the -------- of whether a CFG is ambiguous, thus leading to the
undecidability of the given problem. That is, we will now show that the PCP has a solution if and only if G is
ambiguous. (where G is constructed from an arbitrary instance of PCP).
Only if Assume that is a solution sequence to this instance of PCP.
Consider the following two derivation in .
But ,
is a solution to the PCP. Hence the same string of terminals has two derivations. Both these
derivations are, clearly, leftmost. Hence G is ambiguous.
If It is important to note that any string of terminals cannot have more than one derivation in and
Because, every terminal string which are derivable under these grammars ends with a sequence of integers
This sequence uniquely determines which productions must be used at every step of the derivation.
Hence, if a terminal string, , has two leftmost derivations, then one of them must begin with the
step.
then continues with derivations under
In both derivations the resulting string must end with a sequence for same The reverse of
this sequence must be a solution to the PCP, because the string that precede in one case is
and in the other case. Since the string derived in both cases are identical, the
sequence
must be a solution to the PCP.
Hence the proof
Class p-problem solvable in polynomial time:
Non deterministic polynomial time:
A nondeterministic TM that never makes more than p(n) moves in any sequence of choices for some
polynomial p is said to be non polynomial time NTM.
• NP is the set of languags that are accepted by polynomial time NTM’s
• Many problems are in NP but appear not to be in p.
• One of the great mathematical questions of our age: is there anything in NP that is not in p?
NP-complete problems:
If We cannot resolve the “p=np question, we can at least demonstrate that certain problems in NP are
the hardest , in the sense that if any one of them were in P , then P=NP.
• These are called NP-complete.
• Intellectual leverage: Each NP-complete problem’s apparent difficulty reinforces the belief
that they are all hard.
Methods for proving NP-Complete problems:
• Polynomial time reduction (PTR): Take time that is some polynomial in the input size to
convert instances of one problem to instances of another.
• If P1 PTR to P2 and P2 is in P1 the so is P1.
• Start by showing every problem in NP has a PTR to Satisfiability of Boolean formula.
• Then, more problems can be proven NP complete by showing that SAT PTRs to them
directly or indirectly.

Theory of Computation Lecture Notes

  • 1.
    THEORY OF COMPUTATION LECTURENOTES (Subject Code: BCS-303) for Bachelor of Technology in Computer Science and Engineering & Information Technology Department of Computer Science and Engineering & Information Technology Veer Surendra Sai University of Technology (Formerly UCE, Burla) Burla, Sambalpur, Odisha Lecture Note Prepared by: Prof. D. Chandrasekhar Rao Prof. Kishore Kumar Sahu Prof. Pradipta Kumar Das
  • 2.
    DISCLAIMER This document doesnot claim any originality and cannot be used as a substitute for prescribed textbooks. The information presented here is merely a collection by the committee members for their respective teaching assignments. Various sources as mentioned at the end of the document as well as freely available material from internet were consulted for preparing this document. The ownership of the information lies with the respective authors or institutions.
  • 3.
    BCS 303 THEORYOF COMPUTATION (3-1-0) Cr.-4 Module – I (10 Lectures) Introduction to Automata: The Methods Introduction to Finite Automata, Structural Representations, Automata and Complexity. Proving Equivalences about Sets, The Contrapositive, Proof by Contradiction, Inductive Proofs: General Concepts of Automata Theory: Alphabets Strings, Languages, Applications of Automata Theory. Finite Automata: The Ground Rules, The Protocol, Deterministic Finite Automata: Definition of a Deterministic Finite Automata, How a DFA Processes Strings, Simpler Notations for DFA’s, Extending the Transition Function to Strings, The Language of a DFA Nondeterministic Finite Automata: An Informal View. The Extended Transition Function, The Languages of an NFA, Equivalence of Deterministic and Nondeterministic Finite Automata. Finite Automata With Epsilon-Transitions: Uses of ∈-Transitions, The Formal Notation for an ∈-NFA, Epsilon-Closures, Extended Transitions and Languages for ∈-NFA’s, Eliminating ∈- Transitions. Module – II (10 Lectures) Regular Expressions and Languages: Regular Expressions: The Operators of regular Expressions, Building Regular Expressions, Precedence of Regular-Expression Operators, Precedence of Regular-Expression Operators Finite Automata and Regular Expressions: From DFA’s to Regular Expressions, Converting DFA’s to Regular Expressions, Converting DFA’s to Regular Expressions by Eliminating States, Converting Regular Expressions to Automata. Algebraic Laws for Regular Expressions: Properties of Regular Languages: The Pumping Lemma for Regular Languages, Applications of the Pumping Lemma Closure Properties of Regular Languages, Decision Properties of Regular Languages, Equivalence and Minimization of Automata, Context-Free Grammars and Languages: Definition of Context-Free Grammars, Derivations Using a Grammars Leftmost and Rightmost Derivations, The Languages of a Grammar, Parse Trees: Constructing Parse Trees, The Yield of a Parse Tree, Inference Derivations, and Parse Trees, From Inferences to Trees, From Trees to Derivations, From Derivation to Recursive Inferences, Applications of Context-Free Grammars: Parsers, Ambiguity in Grammars and Languages: Ambiguous Grammars, Removing Ambiguity From Grammars, Leftmost Derivations as a Way to Express Ambiguity, Inherent Anbiguity Module – III (10 Lectures)
  • 4.
    Pushdown Automata: DefinitionFormal Definition of Pushdown Automata, A Graphical Notation for PDA’s, Instantaneous Descriptions of a PDA, Languages of PDA: Acceptance by Final State, Acceptance by Empty Stack, From Empty Stack to Final State, From Final State to Empty Stack Equivalence of PDA’s and CFG’s: From Grammars to Pushdown Automata, From PDA’s to Grammars Deterministic Pushdown Automata: Definition of a Deterministic PDA, Regular Languages and Deterministic PDA’s, DPDA’s and Context-Free Languages, DPDA’s and Ambiguous Grammars Properties of Context-Free Languages: Normal Forms for Context-Free Grammars, The Pumping Lemma for Context-Free Languages, Closure Properties of Context-Free Languages, Decision Properties of CFL’s Module –IV (10 Lectures) Introduction to Turing Machines: The Turing Machine: The Instantaneous Descriptions for Turing Machines, Transition Diagrams for Turing Machines, The Language of a Turing Machine, Turing Machines and Halting Programming Techniques for Turing Machines, Extensions to the Basic Turing Machine, Restricted Turing Machines, Turing Machines and Computers, Undecidability: A Language That is Not Recursively Enumerable, Enumerating the Binary Strings, Codes for Turing Machines, The Diagonalization Language An Undecidable Problem That Is RE: Recursive Languages, Complements of Recursive and RE languages, The Universal Languages, Undecidability of the Universal Language Undecidable Problems About Turing Machines: Reductions, Turing Machines That Accept the Empty Language. Post’s Correspondence Problem: Definition of Post’s Correspondence Problem, The “Modified” PCP, Other Undecidable Problems: Undecidability of Ambiguity for CFG’s Text Book: 1. Introduction to Automata Theory Languages, and Computation, by J.E.Hopcroft, R.Motwani & J.D.Ullman (3rd Edition) – Pearson Education 2. Theory of Computer Science (Automata Language & Computations), by K.L.Mishra & N. Chandrashekhar, PHI
  • 5.
    MODULE-I WWWhat is TOC??? Intheoretical computer science, the theory of computation is the branch that deals with whether and how efficiently problems can be solved on a model of computation, using an algorithm. The field is divided into three major branches: automata theory, computability theory and computational complexity theory. In order to perform a rigorous study of computation, computer scientists work with a mathematical abstraction of computers called a model of computation. There are several models in use, but the most commonly examined is the Turing machine. Automata theory In theoretical computer science, automata theory is the study of abstract machines (or more appropriately, abstract 'mathematical' machines or systems) and the computational problems that can be solved using these machines. These abstract machines are called automata. This automaton consists of • states (represented in the figure by circles), • and transitions (represented by arrows). As the automaton sees a symbol of input, it makes a transition (or jump) to another state, according to its transition function (which takes the current state and the recent symbol as its inputs). Uses of Automata: compiler design and parsing. Introduction to formal proof: Basic Symbols used : U – Union ∩- Conjunction ϵ - Empty String Φ – NULL set 7- negation ‘ – compliment = > implies
  • 6.
    Additive inverse: a+(-a)=0 Multiplicativeinverse: a*1/a=1 Universal set U={1,2,3,4,5} Subset A={1,3} A’ ={2,4,5} Absorption law: AU(A ∩B) = A, A∩(AUB) = A De Morgan’s Law: (AUB)’ =A’ ∩ B’ (A∩B)’ = A’ U B’ Double compliment (A’)’ =A A ∩ A’ = Φ Logic relations: a b = > 7a U b 7(a∩b)=7a U 7b Relations: Let a and b be two sets a relation R contains aXb. Relations used in TOC: Reflexive: a = a Symmetric: aRb = > bRa Transition: aRb, bRc = > aRc If a given relation is reflexive, symmentric and transitive then the relation is called equivalence relation. Deductive proof: Consists of sequence of statements whose truth lead us from some initial statement called the hypothesis or the give statement to a conclusion statement. Additional forms of proof: Proof of sets Proof by contradiction Proof by counter example Direct proof (AKA) Constructive proof: If p is true then q is true Eg: if a and b are odd numbers then product is also an odd number. Odd number can be represented as 2n+1 a=2x+1, b=2y+1 product of a X b = (2x+1) X (2y+1) = 2(2xy+x+y)+1 = 2z+1 (odd number)
  • 7.
  • 8.
    Proof by Contradiction: Hand not C implies falsehood. Be regarded as an observation than a theorem. For any sets a,b,c if a∩b = Φ and c is a subset of b the prove that a∩c =Φ Given : a∩b=Φ and c subset b Assume: a∩c Φ Then = > a∩b Φ = > a∩c=Φ(i.e., the assumption is wrong)
  • 9.
    Proof by mathematicalInduction: Languages : The languages we consider for our discussion is an abstraction of natural languages. That is, our focus here is on formal languages that need precise and formal definitions. Programming languages belong to this category. Symbols : Symbols are indivisible objects or entity that cannot be defined. That is, symbols are the atoms of the world of languages. A symbol is any single object such as , a, 0, 1, #, begin, or do. Alphabets : An alphabet is a finite, nonempty set of symbols. The alphabet of a language is normally denoted by . When more than one alphabets are considered for discussion, then subscripts may be used (e.g. etc) or sometimes other symbol like G may also be introduced. Example : Strings or Words over Alphabet : A string or word over an alphabet is a finite sequence of concatenated symbols of .
  • 10.
    Example : 0110,11, 001 are three strings over the binary alphabet { 0, 1 } . aab, abcb, b, cc are four strings over the alphabet { a, b, c }. It is not the case that a string over some alphabet should contain all the symbols from the alpha- bet. For example, the string cc over the alphabet { a, b, c } does not contain the symbols a and b. Hence, it is true that a string over an alphabet is also a string over any superset of that alphabet. Length of a string : The number of symbols in a string w is called its length, denoted by |w|. Example : | 011 | = 4, |11| = 2, | b | = 1 Convention : We will use small case letters towards the beginning of the English alphabet to denote symbols of an alphabet and small case letters towards the end to denote strings over an alphabet. That is, (symbols) and are strings. Some String Operations : Let and be two strings. The concatenation of x and y denoted by xy, is the string . That is, the concatenation of x and y denoted by xy is the string that has a copy of x followed by a copy of y without any intervening space between them. Example : Consider the string 011 over the binary alphabet. All the prefixes, suffixes and substrings of this string are listed below. Prefixes: , 0, 01, 011. Suffixes: , 1, 11, 011. Substrings: , 0, 1, 01, 11, 011. Note that x is a prefix (suffix or substring) to x, for any string x and is a prefix (suffix or substring) to any string. A string x is a proper prefix (suffix) of string y if x is a prefix (suffix) of y and x y. In the above example, all prefixes except 011 are proper prefixes. Powers of Strings : For any string x and integer , we use to denote the string formed by sequentially concatenating n copies of x. We can also give an inductive definition of as follows: = e, if n = 0 ; otherwise
  • 11.
    Example : Ifx = 011, then = 011011011, = 011 and Powers of Alphabets : We write (for some integer k) to denote the set of strings of length k with symbols from . In other words, = { w | w is a string over and | w | = k}. Hence, for any alphabet, denotes the set of all strings of length zero. That is, = { e }. For the binary alphabet { 0, 1 } we have the following. The set of all strings over an alphabet is denoted by . That is, The set contains all the strings that can be generated by iteratively concatenating sym- bols from any number of times. Example : If = { a, b }, then = { , a, b, aa, ab, ba, bb, aaa, aab, aba, abb, baa, …}. Please note that if , then that is . It may look odd that one can proceed from the empty set to a non-empty set by iterated concatenation. But there is a reason for this and we accept this convention The set of all nonempty strings over an alphabet is denoted by . That is, Note that is infinite. It contains no infinite strings but strings of arbitrary lengths. Reversal : For any string the reversal of the string is . An inductive definition of reversal can be given as follows:
  • 12.
    Languages : A languageover an alphabet is a set of strings over that alphabet. Therefore, a language L is any subset of . That is, any is a language. Example : 1. F is the empty language. 2. is a language for any . 3. {e} is a language for any . Note that, . Because the language F does not contain any string but {e} contains one string of length zero. 4. The set of all strings over { 0, 1 } containing equal number of 0's and 1's. 5. The set of all strings over {a, b, c} that starts with a. Convention : Capital letters A, B, C, L, etc. with or without subscripts are normally used to denote languages. Set operations on languages : Since languages are set of strings we can apply set operations to languages. Here are some simple examples (though there is nothing new in it). Union : A string iff or Example : { 0, 11, 01, 011 } { 1, 01, 110 } = { 0, 11, 01, 011, 111 } Intersection : A string, xϵ L1 ∩ L2 iff x ϵ L1 and x ϵ L2 . Example : { 0, 11, 01, 011 } { 1, 01, 110 } = { 01 } Complement : Usually, is the universe that a complement is taken with respect to. Thus for a language L, the complement is L(bar) = { | }. Example : Let L = { x | |x| is even }. Then its complement is the language { | |x| is odd }. Similarly we can define other usual set operations on languages like relative com- plement, symmetric difference, etc. Reversal of a language : The reversal of a language L, denoted as , is defined as: . Example : 1. Let L = { 0, 11, 01, 011 }. Then = { 0, 11, 10, 110 }.
  • 13.
    2. Let L= { | n is an integer }. Then = { | n is an integer }. Language concatenation : The concatenation of languages and is defined as = { xy | and }. Example : { a, ab }{ b, ba } = { ab, aba, abb, abba }. Note that , 1. in general. 2. 3. Iterated concatenation of languages : Since we can concatenate two languages, we also repeat this to concatenate any number of languages. Or we can concatenate a language with itself any number of times. The operation denotes the concatenation of L with itself n times. This is defined formally as follows: Example : Let L = { a, ab }. Then according to the definition, we have and so on. Kleene's Star operation : The Kleene star operation on a language L, denoted as is defined as follows : = ( Union n in N ) = = { x | x is the concatenation of zero or more strings from L }
  • 14.
    Thus is theset of all strings derivable by any number of concatenations of strings in L. It is also useful to define = , i.e., all strings derivable by one or more concatenations of strings in L. That is = (Union n in N and n >0) = Example : Let L = { a, ab }. Then we have, = = {e} {a, ab} {aa, aab, aba, abab} … = = {a, ab} {aa, aab, aba, abab} … Note : is in , for every language L, including . The previously introduced definition of is an instance of Kleene star. (Generates) (Recognizes) Grammar Language Automata Automata: A algorithm or program that automatically recognizes if a particular string belongs to the language or not, by checking the grammar of the string. An automata is an abstract computing device (or machine). There are different varities of such abstract machines (also called models of computation) which can be defined mathematically. Every Automaton fulfills the three basic requirements. • Every automaton consists of some essential features as in real computers. It has a mech- anism for reading input. The input is assumed to be a sequence of symbols over a given alphabet and is placed on an input tape(or written on an input file). The simpler automata can only read the input one symbol at a time from left to right but not change. Powerful versions can both read (from left to right or right to left) and change the input.
  • 15.
    • The automatoncan produce output of some form. If the output in response to an input string is binary (say, accept or reject), then it is called an accepter. If it produces an out- put sequence in response to an input sequence, then it is called a transducer(or automaton with output). • The automaton may have a temporary storage, consisting of an unlimited number of cells, each capable of holding a symbol from an alphabet ( whcih may be different from the input alphabet). The automaton can both read and change the contents of the storage cells in the temporary storage. The accusing capability of this storage varies depending on the type of the storage. • The most important feature of the automaton is its control unit, which can be in any one of a finite number of interval states at any point. It can change state in some de- fined manner determined by a transition function. Figure 1: The figure above shows a diagrammatic representation of a generic automa- tion. Operation of the automation is defined as follows. At any point of time the automaton is in some integral state and is reading a particular symbol from the input tape by using the mechanism for reading input. In the next time step the automa- ton then moves to some other integral (or remain in the same state) as defined by the transition function. The transition function is based on the current state, input symbol read, and the content of the temporary storage. At the same time the content of the storage may be changed and the input read may be modifed. The automation may also produce some output during this transition. The internal state, input and the content of storage at any point defines the configuration of the automaton at that point. The transition from one configuration to the next ( as defined by the transition function) is called a move. Finite state machine or Finite Automation is the simplest type of abstract machine we consider. Any system that is at any point of time in one of a finite number of interval state and moves among these states in a defined manner in response to some input, can be modeled by a finite automaton. It doesnot have any temporary storage and hence a restricted model of computation.
  • 16.
    Finite Automata Automata (singular: automation) are a particularly simple, but useful, model of compu- tation. They were initially proposed as a simple model for the behavior of neurons. States, Transitions and Finite-State Transition System : Let us first give some intuitive idea about a state of a system and state transitions before describing finite automata. Informally, a state of a system is an instantaneous description of that system which gives all relevant information necessary to determine how the system can evolve from that point on. Transitions are changes of states that can occur spontaneously or in response to inputs to the states. Though transitions usually take time, we assume that state transitions are instantaneous (which is an abstraction). Some examples of state transition systems are: digital systems, vending machines, etc. A system containing only a finite number of states and transitions among them is called a finite-state transition system. Finite-state transition systems can be modeled abstractly by a mathematical model called finite automation Deterministic Finite (-state) Automata Informally, a DFA (Deterministic Finite State Automaton) is a simple machine that reads an in- put string -- one symbol at a time -- and then, after the input has been completely read, decides whether to accept or reject the input. As the symbols are read from the tape, the automaton can change its state, to reflect how it reacts to what it has seen so far. A machine for which a deter- ministic code can be formulated, and if there is only one unique way to formulate the code, then the machine is called deterministic finite automata. Thus, a DFA conceptually consists of 3 parts: 1. A tape to hold the input string. The tape is divided into a finite number of cells. Each cell holds a symbol from . 2. A tape head for reading symbols from the tape 3. A control , which itself consists of 3 things: o finite number of states that the machine is allowed to be in (zero or more states are designated as accept or final states), o a current state, initially set to a start state,
  • 17.
    o a statetransition function for changing the current state. An automaton processes a string on the tape by repeating the following actions until the tape head has traversed the entire string: 1. The tape head reads the current tape cell and sends the symbol s found there to the control. Then the tape head moves to the next cell. 2. he control takes s and the current state and consults the state transition function to get the next state, which becomes the new current state. Once the entire string has been processed, the state in which the automation enters is examined. If it is an accept state , the input string is accepted ; otherwise, the string is rejected . Summariz- ing all the above we can formulate the following formal definition: Deterministic Finite State Automaton : A Deterministic Finite State Automaton (DFA) is a 5-tuple : • Q is a finite set of states. • is a finite set of input symbols or alphabet • is the “next state” transition function (which is total ). Intuitively, is a function that tells which state to move to in response to an input, i.e., if M is in state q and sees input a, it moves to state . • is the start state. • is the set of accept or final states. Acceptance of Strings : A DFA accepts a string if there is a sequence of states in Q such that 1. is the start state. 2. for all . 3. Language Accepted or Recognized by a DFA : The language accepted or recognized by a DFA M is the set of all strings accepted by M , and is denoted by i.e. The notion of acceptance can also be made more precise by extending the transition function . Extended transition function :
  • 18.
    Extend (which isfunction on symbols) to a function on strings, i.e. . That is, is the state the automation reaches when it starts from the state q and finish processing the string w. Formally, we can give an inductive definition as follows: The language of the DFA M is the set of strings that can take the start state to one of the accepting states i.e. L(M) = { | M accepts w } = { | } Example 1 : is the start state It is a formal description of a DFA. But it is hard to comprehend. For ex. The language of the DFA is any string over { 0, 1} having at least one 1 We can describe the same DFA by transition table or state transition diagram as follow- ing: Transition Table : 0 1
  • 19.
    It is easyto comprehend the transition diagram. Explanation : We cannot reach find state w/0 or in the i/p string. There can be any no. of 0's at the beginning. ( The self-loop at on label 0 indicates it ). Similarly there can be any no. of 0's & 1's in any order at the end of the string. Transition table : It is basically a tabular representation of the transition function that takes two arguments (a state and a symbol) and returns a value (the “next state”). • Rows correspond to states, • Columns correspond to input symbols, • Entries correspond to next states • The start state is marked with an arrow • The accept states are marked with a star (*). 0 1 (State) Transition diagram : A state transition diagram or simply a transition diagram is a directed graph which can be constructed as follows: 1. For each state in Q there is a node. 2. There is a directed edge from node q to node p labeled a iff . (If there are several input symbols that cause a transition, the edge is labeled by the list of these symbols.) 3. There is an arrow with no source into the start state. 4. Accepting states are indicated by double circle.
  • 20.
    5. 6. Here isan informal description how a DFA operates. An input to a DFA can be any string. Put a pointer to the start state q. Read the input string w from left to right, one symbol at a time, moving the pointer according to the transition function, . If the next symbol of w is a and the pointer is on state p, move the pointer to . When the end of the input string w is encountered, the pointer is on some state, r. The string is said to be accepted by the DFA if and rejected if . Note that there is no formal mechanism for moving the pointer. 7. A language is said to be regular if L = L(M) for some DFA M. Regular Expressions: Formal Definition We construct REs from primitive constituents (basic elements) by repeatedly applying certain recursive rules as given below. (In the definition) Definition : Let S be an alphabet. The regular expressions are defined recursively as follows. Basis : i) is a RE ii) is a RE iii) , a is RE. These are called primitive regular expression i.e. Primitive Constituents Recursive Step : If and are REs over, then so are i) ii)
  • 21.
    iii) iv) Closure : ris RE over only if it can be obtained from the basis elements (Primitive REs) by a finite no of applications of the recursive step (given in 2). Example : Let = { 0,1,2 }. Then (0+21)*(1+ F ) is a RE, because we can construct this expression by applying the above rules as given in the following step. Steps RE Constructed Rule Used 1 1 Rule 1(iii) 2 Rule 1(i) 3 1+ Rule 2(i) & Results of Step 1, 2 4 (1+ ) Rule 2(iv) & Step 3 5 2 1(iii) 6 1 1(iii) 7 21 2(ii), 5, 6 8 0 1(iii) 9 0+21 2(i), 7, 8 10 (0+21) 2(iv), 9 11 (0+21)* 2(iii), 10 12 (0+21)* 2(ii), 4, 11 Language described by REs : Each describes a language (or a language is associated with every RE). We will see later that REs are used to attribute regular languages. Notation : If r is a RE over some alphabet then L(r) is the language associate with r . We can define the language L(r) associated with (or described by) a REs as follows. 1. is the RE describing the empty language i.e. L( ) = . 2. is a RE describing the language { } i.e. L( ) = { } . 3. , a is a RE denoting the language {a} i.e . L(a) = {a} . 4. If and are REs denoting language L( ) and L( ) respectively, then i) is a regular expression denoting the language L( ) = L( ) ∪ L( )
  • 22.
    ii) is aregular expression denoting the language L( )=L( ) L( ) iii) is a regular expression denoting the language iv) ( ) is a regular expression denoting the language L(( )) = L( ) Example : Consider the RE (0*(0+1)). Thus the language denoted by the RE is L(0*(0+1)) = L(0*) L(0+1) .......................by 4(ii) = L(0)*L(0) ∪ L(1) = { , 0,00,000,. } {0} {1} = { , 0,00,000,........} {0,1} = {0, 00, 000, 0000,..........,1, 01, 001, 0001,...............} Precedence Rule Consider the RE ab + c. The language described by the RE can be thought of either L(a)L(b+c) or L(ab) L(c) as provided by the rules (of languages described by REs) given already. But these two represents two different languages lending to ambiguity. To remove this ambiguity we can either 1) Use fully parenthesized expression- (cumbersome) or 2) Use a set of precedence rules to evaluate the options of REs in some order. Like other algebras mod in mathematics. For REs, the order of precedence for the operators is as follows: i) The star operator precedes concatenation and concatenation precedes union (+) operator. ii) It is also important to note that concatenation & union (+) operators are associative and union operation is commutative. Using these precedence rule, we find that the RE ab+c represents the language L(ab) L(c) i.e. it should be grouped as ((ab)+c). We can, of course change the order of precedence by using parentheses. For example, the language represented by the RE a(b+c) is L(a)L(b+c).
  • 23.
    Example : TheRE ab*+b is grouped as ((a(b*))+b) which describes the language L(a)(L(b))* L(b) Example : The RE (ab)*+b represents the language (L(a)L(b))* L(b). Example : It is easy to see that the RE (0+1)*(0+11) represents the language of all strings over {0,1} which are either ended with 0 or 11. Example : The regular expression r =(00)*(11)*1 denotes the set of all strings with an even number of 0's followed by an odd number of 1's i.e. Note : The notation is used to represent the RE rr*. Similarly, represents the RE rr, denotes r, and so on. An arbitrary string over = {0,1} is denoted as (0+1)*. Exercise : Give a RE r over {0,1} s.t. L(r)={ has at least one pair of consecutive 1's} Solution : Every string in L(r) must contain 00 somewhere, but what comes before and what goes before is completely arbitrary. Considering these observations we can write the REs as (0+1)*11(0+1)*. Example : Considering the above example it becomes clean that the RE (0+1)*11(0+1)*+(0+1)*00(0+1)* represents the set of string over {0,1} that contains the substring 11 or 00. Example : Consider the RE 0*10*10*. It is not difficult to see that this RE describes the set of strings over {0,1} that contains exactly two 1's. The presence of two 1's in the RE and any no of 0's before, between and after the 1's ensure it. Example : Consider the language of strings over {0,1} containing two or more 1's. Solution : There must be at least two 1's in the RE somewhere and what comes before, between, and after is completely arbitrary. Hence we can write the RE as (0+1)*1(0+1)*1(0+1)*. But following two REs also represent the same language, each ensuring presence of least two 1's somewhere in the string i) 0*10*1(0+1)* ii) (0+1)*10*10* Example : Consider a RE r over {0,1} such that
  • 24.
    L(r) = {has no pair of consecutive 1's} Solution : Though it looks similar to ex ……., it is harder to construct to construct. We observer that, whenever a 1 occurs, it must be immediately followed by a 0. This substring may be preceded & followed by any no of 0's. So the final RE must be a repetition of strings of the form: 00…0100….00 i.e. 0*100*. So it looks like the RE is (0*100*)*. But in this case the strings ending in 1 or consisting of all 0's are not accounted for. Taking these observations into consideration, the final RE is r = (0*100*)(1+ )+0*(1+ ). Alternative Solution : The language can be viewed as repetitions of the strings 0 and 01. Hence get the RE as r = (0+10)*(1+ ).This is a shorter expression but represents the same language. Regular Expression and Regular Language : Equivalence(of REs) with FA : Recall that, language that is accepted by some FAs are known as Regular language. The two concepts : REs and Regular language are essentially same i.e. (for) every regular language can be developed by (there is) a RE, and for every RE there is a Regular Langauge. This fact is rather suprising, because RE approach to describing language is fundamentally differnet from the FA approach. But REs and FA are equivalent in their descriptive power. We can put this fact in the focus of the following Theorem. Theorem : A language is regular iff some RE describes it. This Theorem has two directions, and are stated & proved below as a separate lemma RE to FA : REs denote regular languages : Lemma : If L(r) is a language described by the RE r, then it is regular i.e. there is a FA such that L(M) L(r). Proof : To prove the lemma, we apply structured index on the expression r. First, we show how to construct FA for the basis elements: , and for any . Then we show how to combine these Finite Automata into Complex Automata that accept the Union, Concatenation, Kleen Closure of the languages accepted by the original smaller automata.
  • 25.
    Use of NFAsis helpful in the case i.e. we construct NFAs for every REs which are represented by transition diagram only. Basis : • Case (i) : . Then . Then and the following NFA N recognizes L(r). Formally where Q = {q} and . • Case (ii) : . , and the following NFA N accepts L(r). Formally where . Since the start state is also the accept step, and there is no any transition defined, it will accept the only string and nothing else. • Case (iii) : r = a for some . Then L(r) = {a}, and the following NFA N accepts L(r). Formally, where for or Induction :
  • 26.
    Assume that thestart of the theorem is true for REs and . Hence we can assume that we have automata and that accepts languages denoted by REs and , respectively i.e. and . The FAs are represented schematically as shown below. Each has an initial state and a final state. There are four cases to consider. • Case (i) : Consider the RE denoting the language . We construct FA , from and to accept the language denoted by RE as follows : Create a new (initial) start state and give - transition to the initial state of and .This is the initial state of . • Create a final state and give -transition from the two final state of and . is the only final state of and final state of and will be ordinary states in . • All the state of and are also state of .
  • 27.
    • All themoves of and are also moves of . [ Formal Construction] It is easy to prove that Proof: To show that we must show that = = by following transition of Starts at initial state and enters the start state of either or follwoing the transition i.e. without consuming any input. WLOG, assume that, it enters the start state of . From this point onward it has to follow only the transition of to enter the final state of , because this is the only way to enter the final state of M by following the e- transition.(Which is the last transition & no input is taken at hte transition). Hence the whole input w is considered while traversing from the start state of to the final state of . Therefore must accept . Say, or . WLOG, say Therefore when process the string w , it starts at the initial state and enters the final state when w consumed totally, by following its transition. Then also accepts w, by starting at state and taking -transition enters the start state of -follows the moves of to enter the final state of consuming input w thus takes -transition to . Hence proved • Case(ii) : Consider the RE denoting the language . We construct FA from & to accept as follows :
  • 28.
    Create a newstart state and a new final state 1. Add - transition from o to the start state of o to o final state of to the start state of 2. All the states of are also the states of . has 2 more states than that of namely and . 3. All the moves of are also included in . By the transition of type (b), can accept . By the transition of type (a), can enters the initial state of w/o any input and then follow all kinds moves of to enter the final state of and then following -transition can enter . Hence if any is accepted by then w is also accepted by . By the transition of type (b), strings accepted by can be repeated by any no of times & thus accepted by . Hence accepts and any string accepted by repeated (i.e. concatenated) any no of times. Hence Case(iv) : Let =( ). Then the FA is also the FA for ( ), since the use of parentheses does not change the language denoted by the expression Non-Deterministic Finite Automata Nondeterminism is an important abstraction in computer science. Importance of nondeterminism is found in the design of algorithms. For examples, there are many problems with efficient nondeterministic solutions but no known efficient deterministic solutions. ( Travelling salesman, Hamiltonean cycle, clique, etc). Behaviour of a process is in a distributed system is also a good example of nondeterministic situation. Because
  • 29.
    the behaviour ofa process might depend on some messages from other processes that might arrive at arbitrary times with arbitrary contents. It is easy to construct and comprehend an NFA than DFA for a given regular language. The concept of NFA can also be used in proving many theorems and results. Hence, it plays an important role in this subject. In the context of FA nondeterminism can be incorporated naturally. That is, an NFA is defined in the same way as the DFA but with the following two exceptions: • multiple next state. • - transitions. Multiple Next State : • In contrast to a DFA, the next state is not necessarily uniquely determined by the current state and input symbol in case of an NFA. (Recall that, in a DFA there is exactly one start state and exactly one transition out of every state for each symbol in ). • This means that - in a state q and with input symbol a - there could be one, more than one or zero next state to go, i.e. the value of is a subset of Q. Thus = which means that any one of could be the next state. • The zero next state case is a special one giving = , which means that there is no next state on input symbol when the automata is in state q. In such a case, we may think that the automata "hangs" and the input will be rejected. - transitions : In an -transition, the tape head doesn't do anything- it doesnot read and it doesnot move. However, the state of the automata can be changed - that is can go to zero, one or more states. This is written formally as implying that the next state could by any one of w/o consuming the next input symbol. Acceptance : Informally, an NFA is said to accept its input if it is possible to start in some start state and process , moving according to the transition rules and making choices along the way whenever the next state is not uniquely defined, such that when is completely processed (i.e. end of is reached), the automata is in an accept state. There may be several possible paths through the automation in response to an input since the start state is not determined and there are choices along the way because of multiple next states. Some of these paths may lead to accpet states while others may not. The
  • 30.
    automation is saidto accept if at least one computation path on input starting from at least one start state leads to an accept state- otherwise, the automation rejects input . Alternatively, we can say that, is accepted iff there exists a path with label from some start state to some accept state. Since there is no mechanism for determining which state to start in or which of the possible next moves to take (including the - transitions) in response to an input symbol we can think that the automation is having some "guessing" power to chose the correct one in case the input is accepted Example 1 : Consider the language L = { {0, 1}* | The 3rd symbol from the right is 1}. The following four-state automation accepts L. The m/c is not deterministic since there are two transitions from state on input 1 and no transition (zero transition) from on both 0 & 1. For any string whose 3rd symbol from the right is a 1, there exists a sequence of legal transitions leading from the start state q, to the accept state . But for any string where 3rd symbol from the right is 0, there is no possible sequence of legal tranisitons leading from and . Hence m/c accepts L. How does it accept any string L? Formal definition of NFA : Formally, an NFA is a quituple where Q, , , and F bear the same meaning as for a DFA, but , the transition function is redefined as follows: where P(Q) is the power set of Q i.e. . The Langauge of an NFA : From the discussion of the acceptance by an NFA, we can give the formal definition of a language accepted by an NFA as follows : If is an NFA, then the langauge accepted by N is writtten as L(N) is given by . That is, L(N) is the set of all strings w in such that contains at least one accepting state.
  • 31.
    Removing ϵ-transition: - transitionsdo not increase the power of an NFA . That is, any - NFA ( NFA with transition), we can always construct an equivalent NFA without -transitions. The equivalent NFA must keep track where the NFA goes at every step during computation. This can be done by adding extra transitions for removal of every - transitions from the - NFA as follows. If we removed the - transition from the - NFA , then we need to moves from state p to all the state on input symbol which are reachable from state q (in the - NFA ) on same input symbol q. This will allow the modified NFA to move from state p to all states on some input symbols which were possible in case of -NFA on the same input symbol. This process is stated formally in the following theories. Theorem if L is accepted by an - NFA N , then there is some equivalent without transitions accepting the same language L Proof: Let be the given with We construct Where, for all and and Other elements of N' and N We can show that i.e. N' and N are equivalent. We need to prove that i.e. We will show something more, that is,
  • 32.
    We will showsomething more, that is, Basis : , then But by definition of . Induction hypothesis Let the statement hold for all with . By definition of extension of By inductions hypothesis. Assuming that By definition of Since To complete the proof we consider the case When i.e. then
  • 33.
    and by theconstruction of wherever constrains a state in F. If (and thus is not in F ), then with leads to an accepting state in N' iff it lead to an accepting state in N ( by the construction of N' and N ). Also, if ( , thus w is accepted by N' iff w is accepted by N (iff ) If (and, thus in M we load in F ), thus is accepted by both N' and N . Let . If w cannot lead to in N , then . (Since can add transitions to get an accept state). So there is no harm in making an accept state in N'. Ex: Consider the following NFA with - transition. Transition Diagram 0 1 Transition diagram for ' for the equivalent NFA without - moves
  • 34.
    Since the startstate q0 must be final state in the equivalent NFA . Since and and we add moves and in the equivalent NFA . Other moves are also constructed accordingly. -closures: The concept used in the above construction can be made more formal by defining the -closure for a state (or a set of states). The idea of -closure is that, when moving from a state p to a state q (or from a set of states Si to a set of states Sj ) an input , we need to take account of all -moves that could be made after the transition. Formally, for a given state q, -closures: Similarly, for a given set -closures: So, in the construction of equivalent NFA N' without -transition from any NFA with moves. the first rule can now be written as 0 1
  • 35.
    Equivalence of NFAand DFA It is worth noting that a DFA is a special type of NFA and hence the class of languages accepted by DFA s is a subset of the class of languages accepted by NFA s. Surprisingly, these two classes are in fact equal. NFA s appeared to have more power than DFA s because of generality enjoyed in terms of -transition and multiple next states. But they are no more powerful than DFA s in terms of the languages they accept. Converting DFA to NFA Theorem: Every DFA has as equivalent NFA Proof: A DFA is just a special type of an NFA . In a DFA , the transition functions is defined from whereas in case of an NFA it is defined from and be a DFA . We construct an equivalent NFA as follows. i. e If and All other elements of N are as in D. If then there is a sequence of states such that Then it is clear from the above construction of N that there is a sequence of states (in N) such that and and hence Similarly we can show the converse. Hence , Given any NFA we need to construct as equivalent DFA i.e. the DFA need to simulate the behaviour of the NFA . For this, the DFA have to keep track of all the states where the NFA could be in at every step during processing a given input string.
  • 36.
    There are possiblesubsets of states for any NFA with n states. Every subset corresponds to one of the possibilities that the equivalent DFA must keep track of. Thus, the equivalent DFA will have states. The formal constructions of an equivalent DFA for any NFA is given below. We first consider an NFA without transitions and then we incorporate the affects of transitions later. Formal construction of an equivalent DFA for a given NFA without transitions. Given an without - moves, we construct an equivalent DFA as follows i.e. (i.e. every subset of Q which as an element in F is considered as a final state in DFA D ) for all and where That is, To show that this construction works we need to show that L(D)=L(N) i.e. Or, We will prove the following which is a stranger statement thus required.
  • 37.
    Proof : Wewill show by inductions on Basis If =0, then w = So, by definition. Inductions hypothesis : Assume inductively that the statement holds of length less than or equal to n. Inductive step Let , then with Now, Now, given any NFA with -transition, we can first construct an equivalent NFA without -transition and then use the above construction process to construct an equivalent DFA , thus, proving the equivalence of NFA s and DFA s.. It is also possible to construct an equivalent DFA directly from any given NFA with - transition by integrating the concept of -closure in the above construction. Recall that, for any - closure :
  • 38.
    In the equivalentDFA , at every step, we need to modify the transition functions to keep track of all the states where the NFA can go on -transitions. This is done by replacing by -closure , i.e. we now compute at every step as follows: Besides this the initial state of the DFA D has to be modified to keep track of all the states that can be reached from the initial state of NFA on zero or more -transitions. This can be done by changing the initial state to -closure ( ) . It is clear that, at every step in the processing of an input string by the DFA D , it enters a state that corresponds to the subset of states that the NFA N could be in at that particular point. This has been proved in the constructions of an equivalent NFA for any -NFA If the number of states in the NFA is n , then there are states in the DFA . That is, each state in the DFA is a subset of state of the NFA . But, it is important to note that most of these states are inaccessible from the start state and hence can be removed from the DFA without changing the accepted language. Thus, in fact, the number of states in the equivalent DFA would be much less than . Example : Consider the NFA given below. Since there are 3 states in the NFA 0 1 { }
  • 39.
    There will bestates (representing all possible subset of states) in the equivalent DFA . The transition table of the DFA constructed by using the subset constructions process is produced here. The start state of the DFA is - closures The final states are all those subsets that contains (since in the NFA). Let us compute one entry, Similarly, all other transitions can be computed Corresponding Transition fig. for DFA.Note that states are not accessible and hence can be removed. This gives us the following simplified DFA with only 3 states. 0 1 { } 0 1
  • 40.
    It is interestingto note that we can avoid encountering all those inaccessible or unnecessary states in the equivalent DFA by performing the following two steps inductively. 1. If is the start state of the NFA, then make - closure ( ) the start state of the equivalent DFA . This is definitely the only accessible state. 2. If we have already computed a set of states which are accessible. Then . compute because these set of states will also be accessible. Following these steps in the above example, we get the transition table given below
  • 41.
    MODULE-II Regular Expressions: FormalDefinition We construct REs from primitive constituents (basic elements) by repeatedly applying certain recursive rules as given below. (In the definition) Definition : Let S be an alphabet. The regular expressions are defined recursively as follows. Basis : i) is a RE ii) is a RE iii) , a is RE. These are called primitive regular expression i.e. Primitive Constituents Recursive Step : If and are REs over, then so are i) ii) iii) iv) Closure : r is RE over only if it can be obtained from the basis elements (Primitive REs) by a finite no of applications of the recursive step (given in 2). Example : Let = { 0,1,2 }. Then (0+21)*(1+ F ) is a RE, because we can construct this expression by applying the above rules as given in the following step. Steps RE Constructed Rule Used 1 1 Rule 1(iii) 2 Rule 1(i) 3 1+ Rule 2(i) & Results of Step 1, 2
  • 42.
    4 (1+ )Rule 2(iv) & Step 3 5 2 1(iii) 6 1 1(iii) 7 21 2(ii), 5, 6 8 0 1(iii) 9 0+21 2(i), 7, 8 10 (0+21) 2(iv), 9 11 (0+21)* 2(iii), 10 12 (0+21)* 2(ii), 4, 11 Language described by REs : Each describes a language (or a language is associated with every RE). We will see later that REs are used to attribute regular languages. Notation : If r is a RE over some alphabet then L(r) is the language associate with r . We can define the language L(r) associated with (or described by) a REs as follows. 1. is the RE describing the empty language i.e. L( ) = . 2. is a RE describing the language { } i.e. L( ) = { } . 3. , a is a RE denoting the language {a} i.e . L(a) = {a} . 4. If and are REs denoting language L( ) and L( ) respectively, then i) is a regular expression denoting the language L( ) = L( ) ∪ L( ) ii) is a regular expression denoting the language L( )=L( ) L( ) iii) is a regular expression denoting the language iv) ( ) is a regular expression denoting the language L(( )) = L( ) Example : Consider the RE (0*(0+1)). Thus the language denoted by the RE is L(0*(0+1)) = L(0*) L(0+1) .......................by 4(ii) = L(0)*L(0) ∪ L(1) = { , 0,00,000,........} {0} {1} = { , 0,00,000,........} {0,1} = {0, 00, 000, 0000,..........,1, 01, 001, 0001,...............} Precedence Rule
  • 43.
    Consider the REab + c. The language described by the RE can be thought of either L(a)L(b+c) or L(ab) L(c) as provided by the rules (of languages described by REs) given already. But these two represents two different languages lending to ambiguity. To remove this ambiguity we can either 1) Use fully parenthesized expression- (cumbersome) or 2) Use a set of precedence rules to evaluate the options of REs in some order. Like other algebras mod in mathematics. For REs, the order of precedence for the operators is as follows: i) The star operator precedes concatenation and concatenation precedes union (+) operator. ii) It is also important to note that concatenation & union (+) operators are associative and union operation is commutative. Using these precedence rule, we find that the RE ab+c represents the language L(ab) L(c) i.e. it should be grouped as ((ab)+c). We can, of course change the order of precedence by using parentheses. For example, the language represented by the RE a(b+c) is L(a)L(b+c). Example : The RE ab*+b is grouped as ((a(b*))+b) which describes the language L(a)(L(b))* L(b) Example : The RE (ab)*+b represents the language (L(a)L(b))* L(b). Example : It is easy to see that the RE (0+1)*(0+11) represents the language of all strings over {0,1} which are either ended with 0 or 11. Example : The regular expression r =(00)*(11)*1 denotes the set of all strings with an even number of 0's followed by an odd number of 1's i.e. Note : The notation is used to represent the RE rr*. Similarly, represents the RE rr, denotes r, and so on. An arbitrary string over = {0,1} is denoted as (0+1)*. Exercise : Give a RE r over {0,1} s.t. L(r)={ has at least one pair of consecutive 1's} Solution : Every string in L(r) must contain 00 somewhere, but what comes before and what goes before is completely arbitrary. Considering these observations we can write the REs as (0+1)*11(0+1)*. Example : Considering the above example it becomes clean that the RE (0+1)*11(0+1)*+(0+1)*00(0+1)* represents the set of string over {0,1} that contains the substring 11 or 00.
  • 44.
    Example : Considerthe RE 0*10*10*. It is not difficult to see that this RE describes the set of strings over {0,1} that contains exactly two 1's. The presence of two 1's in the RE and any no of 0's before, between and after the 1's ensure it. Example : Consider the language of strings over {0,1} containing two or more 1's. Solution : There must be at least two 1's in the RE somewhere and what comes before, between, and after is completely arbitrary. Hence we can write the RE as (0+1)*1(0+1)*1(0+1)*. But following two REs also represent the same language, each ensuring presence of least two 1's somewhere in the string i) 0*10*1(0+1)* ii) (0+1)*10*10* Example : Consider a RE r over {0,1} such that L(r) = { has no pair of consecutive 1's} Solution : Though it looks similar to ex ……., it is harder to construct to construct. We observer that, whenever a 1 occurs, it must be immediately followed by a 0. This substring may be preceded & followed by any no of 0's. So the final RE must be a repetition of strings of the form: 00…0100….00 i.e. 0*100*. So it looks like the RE is (0*100*)*. But in this case the strings ending in 1 or consisting of all 0's are not accounted for. Taking these observations into consideration, the final RE is r = (0*100*)(1+ )+0*(1+ ). Alternative Solution : The language can be viewed as repetitions of the strings 0 and 01. Hence get the RE as r = (0+10)*(1+ ).This is a shorter expression but represents the same language. Regular Expression: FA to regular expressions: FA to RE (REs for Regular Languages) : Lemma : If a language is regular, then there is a RE to describe it. i.e. if L = L(M) for some DFA M, then there is a RE r such that L = L(r). Proof : We need to construct a RE r such that . Since M is a DFA, it has a finite no of states. Let the set of states of M is Q = {1, 2, 3,..., n} for some integer n. [ Note : if the n states of M were denoted by some other symbols, we can always rename those to indicate as 1, 2, 3,..., n ]. The required RE is constructed inductively. Notations : is a RE denoting the language which is the set of all strings w such that w is the label of a path from state i to state j in M, and that path has no intermediate state whose number is greater then k. ( i & j (begining and end pts) are not considered to be "intermediate" so i and /or j can be
  • 45.
    greater than k) We now construct inductively, for all i, j Q starting at k = 0 and finally reaching k = n. Basis : k = 0, i.e. the paths must not have any intermediate state ( since all states are numbered 1 or above). There are only two possible paths meeting the above condition : 1. A direct transition from state i to state j. o = a if then is a transition from state i to state j on symbol the single symbol a. o = if there are multiple transitions from state i to state j on symbols . o = f if there is no transition at all from state i to state j. 2. All paths consisting of only one node i.e. when i = j. This gives the path of length 0 (i.e. the RE denoting the string ) and all self loops. By simply adding Î to various cases above we get the corresponding REs i.e. o = + a if there is a self loop on symbol a in state i . o = + if there are self loops in state i as multiple symbols . o = if there is no self loop on state i. Induction : Assume that there exists a path from state i to state j such that there is no intermediate state whose number is greater than k. The corresponding Re for the label of the path is . There are only two possible cases : 1. The path dose not go through the state k at all i.e. number of all the intermediate states are less than k. So, the label of the path from state i to state j is tha language described by the RE . 2. The path goes through the state k at least once. The path may go from i to j and k may appear more than once. We can break the into pieces as shown in the figure 7.
  • 46.
    Figure 7 1. Thefirst part from the state i to the state k which is the first recurence. In this path, all intermediate states are less than k and it starts at iand ends at k. So the RE denotes the language of the label of path. 2. The last part from the last occurence of the state k in the path to state j. In this path also, no intermediate state is numbered greater than k. Hence the RE denoting the language of the label of the path. 3. In the middle, for the first occurence of k to the last occurence of k , represents a loop which may be taken zero times, once or any no of times. And all states between two consecutive k's are numbered less than k. Hence the label of the path of the part is denoted by the RE .The label of the path from state i to state j is the concatenation of these 3 parts which is Since either case 1 or case 2 may happen the labels of all paths from state i to j is denoted by the following RE We can construct for all i, j {1,2,..., n} in increasing order of k starting with the basis k = 0 upto k = n since depends only on expressions with a small superscript (and hence will be available). WLOG, assume that state 1 is the start state and are the m final states where ji {1, 2, ... , n }, and . According to the convention used, the language of the automatacan be denoted by the RE
  • 47.
    Since is theset of all strings that starts at start state 1 and finishes at final state following the transition of the FA with any value of the intermediate state (1, 2, ... , n) and hence accepted by the automata. Regular Grammar: A grammar is right-linear if each production has one of the following three forms: • A cB , • A c, • A Where A, B ( with A = B allowed) and . A grammar G is left-linear if each production has once of the following three forms. A Bc , A c, A A right or left-linear grammar is called a regular grammar. Regular grammar and Finite Automata are equivalent as stated in the following theorem. Theorem : A language L is regular iff it has a regular grammar. We use the following two lemmas to prove the above theorem. Lemma 1 : If L is a regular language, then L is generated by some right-linear grammar. Proof : Let be a DFA that accepts L. Let and . We construct the right-linear grammar by letting N = Q , and [ Note: If , then ] Let . For M to accept w, there must be a sequence of states such that
  • 48.
    and By construction, thegrammar G will have one production for each of the above transitions. Therefore, we have the corresponding derivation. Hence w L(g). Conversely, if , then the derivation of w in G must have the form as given above. But, then the construction of G from M implies that , where , completing the proof. Lemma 2 : Let be a right-linear grammar. Then L(G) is a regular language. Proof: To prove it, we construct a FA M from G to accept the same language. is constructed as follows: ( is a special sumbol not in N ) , For any and and is defined as if and , if . We now show that this construction works. Let . Then there is a derivation of w in G of the form
  • 49.
    By contradiction ofM, there must be a sequence of transitions implying that i.e. w is accepted by M. Conversely, if is accepted by M, then because is the only accepting state of M, the transitions causing w to be accepted by M will be of the form given above. These transitions corresponds to a derivationof w in the grammar G. Hence , completing the proof of the lemma. Given any left-linear grammar G with production of the form , we can construct from it a right- linear grammar by replacing every production of G of the form with It is easy to prove that . Since is right-linear, is regular. But then so are i.e. because regular languages are closed under reversal. Putting the two lemmas and the discussions in the above paragraph together we get the proof of the theorem- A language L is regular iff it has a regular grammar Example : Consider the grammar It is easy to see that G generates the language denoted by the regular expression (01)*0. The construction of lemma 2 for this grammar produces the follwoing FA. This FA accepts exactly (01)*1. Decisions Algorithms for CFL In this section, we examine some questions about CFLs we can answer. A CFL may be represented using a CFG or PDA. But an algorithm that uses one representation can be made to work for the others, since we can construct one from the other.
  • 50.
    Testing Emptiness : Theorem: There are algorithms to test emptiness of a CFL. Proof : Given any CFL L, there is a CFG G to generate it. We can determine, using the construction described in the context of elimination of useless symbols, whether the start symbol is useless. If so, then ; otherwise not. Testing Membership : Given a CFL L and a string x, the membership, problem is to determine whether ? Given a PDA P for L, simulating the PDA on input string x doesnot quite work, because the PDA can grow its stack indefinitely on input, and the process may never terminate, even if the PDA is deterministic. So, we assume that a CFG is given such that L = L(G). Let us first present a simple but inefficient algorithm. Convert G to in CNF generating . If the input string , then we need to determine whether and it can easily be done using the technique given in the context of elimination of -production. If , then iff . Consider a derivation under a grammar in CNF. At every step, a production in CNF in used, and hence it adds exactly one terminal symbol to the sentential form. Hence, if the length of the input string x is n, then it takes exactly n steps to derive x ( provided x is in ). Let the maximum number of productions for any nonterminal in is K. So at every step in derivation, there are atmost k choices. We may try out all these choices, systematically., to derive the string x in . Since there are atmost i.e. choices. This algorithms is of exponential time complexity. We now present an efficient (polynomial time) membership algorithm. Pumping Lemma: Limitations of Finite Automata and Non regular Languages : The class of languages recognized by FA s is strictly the regular set. There are certain languages which are non regular i.e. cannot be recognized by any FA Consider the language In order to accept is language, we find that, an automaton seems to need to remember when passing the center point between a's and b's how many a's it has seen so far. Because it would have to compare that with the number of b's to either accept (when the two numbers are same) or reject (when they are not same) the input string.
  • 51.
    But the numberof a's is not limited and may be much larger than the number of states since the string may be arbitrarily long. So, the amount of information the automaton need to remember is unbounded. A finite automaton cannot remember this with only finite memory (i.e. finite number of states). The fact that FA s have finite memory imposes some limitations on the structure of the languages recognized. Inductively, we can say that a language is regular only if in processing any string in this language, the information that has to be remembered at any point is strictly limited. The argument given above to show that is non regular is informal. We now present a formal method for showing that certain languages such as are non regular Properties of CFL’s Closure properties of CFL: We consider some important closure properties of CFLs. Theorem : If and are CFLs then so is Proof : Let and be CFGs generating. Without loss of generality, we can assume that . Let is a nonterminal not in or . We construct the grammar from and , where , We now show that Thus proving the theorem. Let . Then . All productions applied in their derivation are also in . Hence i.e. Similarly, if , then Thus .
  • 52.
    Conversely, let .Then and the first step in this derivation must be either or . Considering the former case, we have Since and are disjoint, the derivation must use the productions of only ( which are also in ) Since is the start symbol of . Hence, giving . Using similar reasoning, in the latter case, we get . Thus . So, , as claimed Theorem : If and are CFLs, then so is . Proof : Let and be the CFGs generating and respectively. Again, we assume that and are disjoint, and is a nonterminal not in or . we construct the CFG from and , where We claim that To prove it, we first assume that and . Then and . We can derive the string xy in as shown below. since and . Hence .
  • 53.
    For the converse,let . Then the derivation of w in will be of the form i.e. the first step in the derivation must see the rule . Again, since and are disjoint and and , some string x will be generated from using productions in ( which are also in ) and such that . Thus Hence and . This means that w can be divided into two parts x, y such that and . Thus .This completes the proof Theorem : If L is a CFL, then so is . Proof : Let be the CFG generating L. Let us construct the CFG from G where . We now prove that , which prove the theorem. can generate in one step by using the production since , can generate any string in L. Let for any n >1 we can write where for . w can be generated by using following steps. First (n-1)-steps uses the production S SS producing the sentential form of n numbers of S 's. The nonterminal S in the i-th position then generates using production in P ( which are also in ) It is also easy to see that G can generate the empty string, any string in L and any string for n >1 and none other. Hence Theorem : CFLs are not closed under intersection Proof : We prove it by giving a counter example. Consider the language .The following CFG generates L1 and hence a CFL
  • 54.
    The nonterminal Xgenerates strings of the form and C generates strings of the form , . These are the only types of strings generated by X and C. Hence, S generates . Using similar reasoning, it can be shown that the following grammar and hence it is also a CFL. But, and is already shown to be not context-free. Hence proof. Theorem : A CFL's are not closed under complementations Proof : Assume, for contradiction, that CFL's are closed under complementation. SInce, CFL's are also closed under union, the language , where and are CFL's must be CFL. But by DeMorgan's law This contradicts the already proved fact that CFL's are not closed under intersection. But it can be shown that the CFL's are closed under intersection with a regular set. Theorem : If L is a CFL and R is a regular language, then is a CFL. Proof : Let be a PDA for L and let be a DFA for R. We construct a PDA M from P and D as follows where is defined as contains iff
  • 55.
    and contains The ideais that M simulates the moves of P and D parallely on input w, and accepts w iff both P and D accepts. That means, we want to show that We apply induction on n, the number of moves, to show that iff and Basic Case is n=0. Hence , and . For this case it is trivially true Inductive hypothesis : Assume that the statement is true for n -1. Inductive Step : Let w = xa and Let By inductive hypothesis, and From the definition of and considering the n-th move of the PDA M above, we have and Hence and If and , then and we got that if M accepts w, then both P and D accepts it. We can show that converse, in a similar way. Hence is a CFL ( since it is accepted by a PDA M ) This property is useful in showing that certain languages are not context-free. Example : Consider the language Intersecting L with the regular set , we get
  • 56.
    Which is alreadyknown to be not context-free. Hence L is not context-free Theorem : CFL's are closed under reversal. That is if L is a CFL, then so is Proof : Let the CFG generates L. We construct a CFG where . We now show that , thus proving the theorem. We need to prove that iff . The proof is by induction on n, the number of steps taken by the derivation. We assume, for simplicity (and of course without loss of generality), that G and hence are in CNF. The basis is n=1 in which case it is trivial. Because must be either or BC with . Hence iff Assume that it is true for (n-1)-steps. Let . Then the first step must apply a rule of the form and it gives where and By constructing of G', Hence The converse case is exactly similar Substitution : , let be a language (over any alphabet). This defines a function S, called substitution, on which is denoted as - for all This definition of substitution can be extended further to apply strings and langauge as well. If , where , is a string in , then . Similarly, for any language L, The following theorem shows that CFLs are closed under substitution. Thereom : Let is a CFL, and s is a substitution on such that is a CFL for all , thus s(L) is a CFL Proof : Let L = L(G) for a CFG and for every , for some . Without loss of generality, assume that the sets of nonterminals N and 's are disjoint.
  • 57.
    Now, we constructa grammar , generating s(L), from G and 's as follows : • • • • consists of 1. and 2. The production of P but with each terminal a in the right hand side of a production replaced by everywhere. We now want to prove that this construction works i.e. iff . If Part : Let then according to the definition there is some string and for such that We will show that . From the construction of , we find that, there is a derivation corresponding to the string (since contains all productions of G but every ai replaced with in the RHS of any production). Every is the start symbol of and all productions of are also included in . Hence Therefore, (Only-if Part) Let . Then there must be a derivative as follows : (using the production of G include in as modified by (step 2) of the construction of .) Each ( ) can only generate a string , since each 's and N are disjoin. Therefore, we get since
  • 58.
    since The string isformed by substituting strings for each and hence . Theorem : CFL's are closed under homomorphism Proof : Let be a CFL, and h is a homomorphism on i.e for some alphabets . consider the following substitution S:Replace each symbol by the language consisting of the only string h(a), i.e. for all . Then, it is clear that, h(L) = s(L). Hence, CFL's being closed under substitution must also be closed under homomorphism.
  • 59.
    Grammar A grammar isa mechanism used for describing languages. This is one of the most simple but yet powerful mechanism. There are other notions to do the same, of course. In everyday language, like English, we have a set of symbols (alphabet), a set of words constructed from these symbols, and a set of rules using which we can group the words to construct meaningful sentences. The grammar for English tells us what are the words in it and the rules to construct sentences. It also tells us whether a particular sentence is well-formed (as per the grammar) or not. But even if one follows the rules of the english grammar it may lead to some sentences which are not meaningful at all, because of impreciseness and ambiguities involved in the language. In english grammar we use many other higher level constructs like noun-phrase, verb-phrase, article, noun, predicate, verb etc. A typical rule can be defined as < sentence > < noun-phrase > < predicate > meaning that "a sentence can be constructed using a 'noun-phrase' followed by a predicate". Some more rules are as follows: < noun-phrase > < article >< noun > < predicate > < verb > with similar kind of interpretation given above. If we take {a, an, the} to be <article>; cow, bird, boy, Ram, pen to be examples of <noun>; and eats, runs, swims, walks, are associated with <verb>, then we can construct the sentence- a cow runs, the boy eats, an pen walks- using the above rules. Even though all sentences are well-formed, the last one is not meaningful. We observe that we start with the higher level construct <sentence> and then reduce it to <noun-phrase>, <article>, <noun>, <verb> successively, eventually leading to a group of words associated with these constructs. These concepts are generalized in formal language leading to formal grammars. The word 'formal' here refers to the fact that the specified rules for the language are explicitly stated in terms of what strings or symbols can occur. There can be no ambiguity in it. Formal definitions of a Grammar
  • 60.
    A grammar Gis defined as a quadruple. N is a non-empty finite set of non-terminals or variables, is a non-empty finite set of terminal symbols such that , is a special non-terminal (or variable) called the start symbol, and is a finite set of production rules. The binary relation defined by the set of production rules is denoted by , i.e. iff . In other words, P is a finite set of production rules of the form , where and Production rules: The production rules specify how the grammar transforms one string to another. Given a string , we say that the production rule is applicable to this string, since it is possible to use the rule to rewrite the (in ) to obtaining a new string . We say that derives and is denoted as Successive strings are dervied by applying the productions rules of the grammar in any arbitrary order. A particular rule can be used if it is applicable, and it can be applied as many times as described. We write if the string can be derived from the string in zero or more steps; if can be derived from in one or more steps. By applying the production rules in arbitrary order, any given grammar can generate many strings of terminal symbols starting with the special start symbol, S, of the grammar. The set of all such terminal strings is called the language generated (or defined) by the grammar. Formaly, for a given grammar the language generated by G is That is iff .
  • 61.
    If , wemust have for some , , denoted as a derivation sequence of w, The strings are denoted as sentential forms of the derivation. Example : Consider the grammar , where N = {S}, ={a, b} and P is the set of the following production rules { S ab, S aSb} Some terminal strings generated by this grammar together with their derivation is given below. S ab S aSb aabb S aSb aaSbb aaabbb It is easy to prove that the language generated by this grammar is By using the first production, it generates the string ab ( for i =1 ). To generate any other string, it needs to start with the production S aSb and then the non-terminal S in the RHS can be replaced either by ab (in which we get the string aabb) or the same production S aSb can be used one or more times. Every time it adds an 'a' to the left and a 'b' to the right of S, thus giving the sentential form . When the non-terminal is replaced by ab (which is then only possibility for generating a terminal string) we get a terminal string of the form . There is no general rule for finding a grammar for a given language. For many languages we can devise grammars and there are many languages for which we cannot find any grammar. Example: Find a grammar for the language . It is possible to find a grammar for L by modifying the previous grammar since we need to generate an extra b at the end of the string . We can do this by adding a production S Bb where the non-terminal B generates as given in the previous example. Using the above concept we devise the follwoing grammar for L. where, N = { S, B }, P = { S Bb, B ab, B aBb } Parse Trees:
  • 62.
    Construction of aParse tree:
  • 63.
    Yield of aParse tree: Ambiguity in languages and grammars:
  • 65.
    Push down automata: Regularlanguage can be charaterized as the language accepted by finite automata. Similarly, we can characterize the context-free language as the langauge accepted by a class of machines called "Pushdown Automata" (PDA). A pushdown automation is an extension of the NFA. It is observed that FA have limited capability. (in the sense that the class of languages accepted or characterized by them is small). This is due to the "finite memory" (number of states) and "no external memory" involved with them. A PDA is simply an NFA augmented with an "external stack memory". The addition of a stack provides the PDA with a last-in, first-out memory management cpapability. This "Stack" or "pushdown store" can be used to record a potentially unbounded information. It is due to this memory management capability with the help of the stack that a PDA can overcome the memory limitations that prevents a FA to accept many interesting languages like . Although, a PDA can store an unbounded amount of information on the stack, its access to the information on the stack is limited. It can push an element onto the top of the stack and pop off an element from the top of the stack. To read down into the stack the top elements must be popped off and are lost. Due to this limited access to the information on the stack, a PDA still has some limitations and cannot accept some other interesting languages. As shown in figure, a PDA has three components: an input tape with read only head, a finite control and a pushdown store. The input head is read-only and may only move from left to right, one symbol (or cell) at a time. In each step, the PDA pops the top symbol off the stack; based on this symbol, the input symbol it is currently reading, and MODULE-III
  • 66.
    its present state,it can push a sequence of symbols onto the stack, move its read-only head one cell (or symbol) to the right, and enter a new state, as defined by the transition rules of the PDA. PDA are nondeterministic, by default. That is, - transitions are also allowed in which the PDA can pop and push, and change state without reading the next input symbol or moving its read-only head. Besides this, there may be multiple options for possible next moves. Formal Definitions : Formally, a PDA M is a 7-tuple M = where, • is a finite set of states, • is a finite set of input symbols (input alphabets), • is a finite set of stack symbols (stack alphabets), • is a transition function from to subset of • is the start state • , is the initial stack symbol, and • , is the final or accept states. Explanation of the transition function, : If, for any , . This means intitutively that whenever the PDA is in state q reading input symbol a and z on top of the stack, it can nondeterministically for any i, • go to state • pop z off the stack • push onto the stack (where ) (The usual convention is that if , then will be at the top and at the bottom.) • move read head right one cell past the current symbol a. If a = , then means intitutively that whenver the PDA is in state q with z on the top of the stack regardless of the current input symbol, it can nondeterministically for any i, , • go to state • pop z off the stack • push onto the stack, and • leave its read-only head where it is.
  • 67.
    State transition diagram: A PDA can also be depicted by a state transition diagram. The labels on the arcs indicate both the input and the stack operation. The transition for and is depicted by Final states are indicated by double circles and the start state is indicated by an arrow to it from nowhere. Configuration or Instantaneous Description (ID) : A configuration or an instantaneous description (ID) of PDA at any moment during its computation is an element of describing the current state, the portion of the input remaining to be read (i.e. under and to the right of the read head), and the current stack contents. Only these three elements can affect the computation from that point on and, hence, are parts of the ID. The start or inital configuartion (or ID) on input is . That is, the PDA always starts in its start state, with its read head pointing to the leftmost input symbol and the stack containing only the start/initial stack symbol, . The "next move relation" one figure describes how the PDA can move from one configuration to another in one step. Formally, iff 'a' may be or an input symbol. Let I, J, K be IDs of a PDA. We define we write I K, if ID I can become K after exactly i moves. The relations and define as follows I K I J if such that I K and K J I J if such that I J.
  • 68.
    That is, isthe reflexive, transitive closure of . We say that I J if the ID J follows from the ID I in zero or more moves. ( Note : subscript M can be dropped when the particular PDA M is understood. ) Language accepted by a PDA M There are two alternative definiton of acceptance as given below. 1. Acceptance by final state : Consider the PDA . Informally, the PDA M is said to accept its input by final state if it enters any final state in zero or more moves after reading its entire input, starting in the start configuration on input . Formally, we define L(M), the language accepted by final state to be { | for some and } 2. Acceptance by empty stack (or Null stack) : The PDA M accepts its input by empty stack if starting in the start configuration on input , it ever empties the stack w/o pushing anything back on after reading the entire input. Formally, we define N(M), the language accepted by empty stack, to be { | for some } Note that the set of final states, F is irrelevant in this case and we usually let the F to be the empty set i.e. F = Q . Example 1 : Here is a PDA that accepts the language . , and consists of the following transitions
  • 69.
    The PDA canalso be described by the adjacent transition diagram. Informally, whenever the PDA M sees an input a in the start state with the start symbol z on the top of the stack it pushes a onto the stack and changes state to . (to remember that it has seen the first 'a'). On state if it sees anymore a, it simply pushes it onto the stack. Note that when M is on state , the symbol on the top of the stack can only be a. On state if it sees the first b with a on the top of the stack, then it needs to start comparison of numbers of a's and b's, since all the a's at the begining of the input have already been pushed onto the stack. It start this process by popping off the a from the top of the stack and enters in state q3 (to remember that the comparison process has begun). On state , it expects only b's in the input (if it sees any more a in the input thus the input will not be in the proper form of anbn). Hence there is no more on input a when it is in state . On state it pops off an a from the top of the stack for every b in the input. When it sees the last b on state q3 (i.e. when the input is exaushted), then the last a from the stack will be popped off and the start symbol z is exposed. This is the only possible case when the input (i.e. on -input ) the PDA M will move to state which is an accept state. we can show the computation of the PDA on a given input using the IDs and next move relations. For example, following are the computation on two input strings. Let the input be aabb. we start with the start configuration and proceed to the subsequent IDs using the transition function defined ( using transition 1 ) ( using transition 2 ) ( using transition 3 )
  • 70.
    ( using transition4 ), ( using transition 5 ) , is final state. Hence , accept. So the string aabb is rightly accepted by M we can show the computation of the PDA on a given input using the IDs and next move relations. For example, following are the computation on two input strings. i) Let the input be aabab. No further move is defined at this point. Hence the PDA gets stuck and the string aabab is not accepted. Example 2 : We give an example of a PDA M that accepts the set of balanced strings of parentheses [] by empty stack. The PDA M is given below. where is defined as Informally, whenever it sees a [, it will push the ] onto the stack. (first two transitions), and whenever it sees a ] and the top of the stack symbol is [, it will pop the symbol [ off the stack. (The third transition). The fourth transition is used when the input is exhausted in order to pop z off the stack ( to empty the stack) and accept. Note that there is only one state and no final state. The following is a sequence of configurations leading to the acceptance of the string [ [ ] [ ] ] [ ]. Equivalence of acceptance by final state and empty stack. It turns out that the two definitions of acceptance of a language by a PDA - accpetance by final state and empty stack- are equivalent in the sense that if a language can be accepted by empty stack by some PDA, it can also be accepted by final state by some other PDA and vice versa. Hence it doesn't matter which one we use, since
  • 71.
    each kind ofmachine can simulate the other.Given any arbitrary PDA M that accpets the language L by final state or empty stack, we can always construct an equivalent PDA M with a single final state that accpets exactly the same language L. The construction process of M' from M and the proof of equivalence of M & M' are given below. There are two cases to be considered. CASE I : PDA M accepts by final state, Let Let qf be a new state not in Q. Consider the PDA where as well as the following transition. contains and . It is easy to show that M and M' are equivalent i.e. L(M) = L( ) Let L(M) . Then for some and Then Thus accepts Conversely, let accepts i.e. L( ), then for inherits all other moves except the last one from M. Hence for some . Thus M accepts . Informally, on any input simulate all the moves of M and enters in its own final state whenever M enters in any one of its final status in F. Thus accepts a string iff M accepts it. CASE II : PDA M accepts by empty stack. We will construct from M in such a way that simulates M and detects when M empties its stack. enters its final state when and only when M empties its stack.Thus will accept a string iff M accepts. Let where and X and contains all the transition of , as well as the following two transitions. and
  • 72.
    Transitions 1 causesto enter the initial configuration of M except that will have its own bottom-of-stack marker X which is below the symbols of M's stack. From this point onward will simulate every move of M since all the transitions of M are also in If M ever empties its stack, then when simulating M will empty its stack except the symbol X at the bottom. At this point, will enter its final state by using transition rule 2, thereby (correctly) accepting the input. We will prove that M and are equivalent. Let M accepts . Then for some . But then ( by transition rule 1) ( Since includes all the moves of M ) ( by transition rule 2 ) Hence, also accepts . Conversely, let accepts . Then for some Every move in the sequence, were taken from M. Hence, M starting with its initial configuration will eventually empty its stack and accept the input i.e. Equivalence of PDA’s and CFG’s: We will now show that pushdown automata and context-free grammars are equivalent in expressive power, that is, the language accepted by PDAs are exactly the context-free languages. To show this, we have to prove each of the following: i) Given any arbitrary CFG G there exists some PDA M that accepts exactly the same language generated by G. ii) Given any arbitrary PDA M there exists a CFG G that generates exactly the same language accpeted by M. (i) CFA to PDA We will first prove that the first part i.e. we want to show to convert a given CFG to an equivalent PDA.
  • 73.
    Let the givenCFG is . Without loss of generality we can assume that G is in Greibach Normal Form i.e. all productions of G are of the form . where and . From the given CFG G we now construct an equivalent PDA M that accepts by empty stack. Note that there is only one state in M. Let , where • q is the only state • is the input alphabet, • N is the stack alphabet , • q is the start state. • S is the start/initial stack symbol, and , the transition relation is defined as follows For each production , . We now want to show that M and G are equivalent i.e. L(G)=N(M). i.e. for any . iff . If , then by definition of L(G), there must be a leftmost derivation starting with S and deriving w. i.e. Again if , then one sysmbol. Therefore we need to show that for any . iff . But we will prove a more general result as given in the following lemma. Replacing A by S (the start symbol) and by gives the required proof. Lemma For any , and , via a leftmost derivative iff . Proof : The proof is by induction on n. Basis : n = 0
  • 74.
    iff i.e. and iff iff InductionStep : First, assume that via a leftmost derivation. Let the last production applied in their derivation is for some and . Then, for some , where and Now by the indirection hypothesis, we get, .............................................................................(1) Again by the construction of M, we get so, from (1), we get since and , we get That is, if , then . Conversely, assume that and let
  • 75.
    be the transitionused in the last move. Then for some , and where and . Now, by the induction hypothesis, we get via a leftmost derivation. Again, by the construction of M, must be a production of G. [ Since ]. Applying the production to the sentential form we get i.e. via a leftmost derivation. Hence the proof. Example : Consider the CFG G in GNF S aAB A a / aA B a / bB The one state PDA M equivalent to G is shown below. For convenience, a production of G and the corresponding transition in M are marked by the same encircled number. (1) S aAB (2) A a (3) A aA (4) B a (5) B bB . We have used the same construction discussed earlier Some Useful Explanations : Consider the moves of M on input aaaba leading to acceptance of the string. Steps
  • 76.
    1. (q, aaaba,s) ( q, aaba, AB ) 2. ( q, aba, AB ) 3. ( q, ba, B ) 4. ( q, a, B ) 5. ( q, , ) Accept by empty stack. Note : encircled numbers here shows the transitions rule applied at every step. Now consider the derivation of the same string under grammar G. Once again, the production used at every step is shown with encircled number. S aAB aaAB aaaB aaabB aaaba Steps 1 2 3 4 5 Observations: • There is an one-to-one correspondence of the sequence of moves of the PDA M and the derivation sequence under the CFG G for the same input string in the sense that - number of steps in both the cases are same and transition rule corresponding to the same production is used at every step (as shown by encircled number). • considering the moves of the PDA and derivation under G together, it is also observed that at every step the input read so far and the stack content together is exactly identical to the corresponding sentential form i.e. <what is Read><stack> = <sentential form> Say, at step 2, Read so far = a stack = AB Sentential form = aAB From this property we claim that iff . If the claim is true, then apply with and we get iff or iff ( by definition ) Thus N(M) = L(G) as desired. Note that we have already proved a more general version of the claim PDA and CFG: We now want to show that for every PDA M that accpets by empty stack, there is a CFG G such that L(G) = N(M) we first see whether the "reverse of the construction" that was used in part (i) can be used here to construct an equivalent CFG from any PDA M. It can be show that this reverse construction works only for single state PDAs.
  • 77.
    • That is,for every one-state PDA M there is CFG G such that L(G) = N(M). For every move of the PDA M we introduce a production in the grammar where N = T and . we can now apply the proof in part (i) in the reverse direction to show that L(G) = N(M). But the reverse construction does not work for PDAs with more than one state. For example, consider the PDA M produced here to accept the langauge Now let us construct CFG using the "reverse" construction. ( Note ). Transitions in M Corresponding Production in G We can drive strings like aabaa which is in the language. But under this grammar we can also derive some strings which are not in the language. e.g and . But Therefore, to complete the proof of part (ii) we need to prove the following claim also. Claim: For every PDA M there is some one-state PDA such that . It is quite possible to prove the above claim. But here we will adopt a different approach. We start with any arbitrary PDA M that accepts by empty stack and directly construct an equivalent CFG G.
  • 78.
    PDA to CFG Wewant to construct a CFG G to simulate any arbitrary PDA M with one or more states. Without loss of generality we can assume that the PDA M accepts by empty stack. The idea is to use nonterminal of the form <PAq> whenever PDA M in state P with A on top of the stack goes to state . That is, for example, for a given transition of the PDA corresponding production in the grammar as shown below, And, we would like to show, in general, that iff the PDA M, when started from state P with A on the top of the stack will finish processing , arrive at state q and remove A from the stack. we are now ready to give the construction of an equivalent CFG G from a given PDA M. we need to introduce two kinds of producitons in the grammar as given below. The reason for introduction of the first kind of production will be justified at a later point. Introduction of the second type of production has been justified in the above discussion. Let be a PDA. We construct from M a equivalent CFG Where • N is the set of nonterminals of the form <PAq> for and and P contains the follwoing two kind of production 1. 2. If , then for every choice of the sequence , , . Include the follwoing production If n = 0, then the production is .For the whole exercise to be meaningful we want means there is a sequence of transitions ( for PDA M ), starting in state q, ending in , during which the PDA M consumes the input string and removes A from the stack (and, of course, all other symbols pushed onto stack in A's place, and so on.) That is we want to claim that iff If this claim is true, then let to get iff for some . But for all we have as production in G. Therefore,
  • 79.
    iff i.e. iffPDA M accepts w by empty stack or L(G) = N(M) Now, to show that the above construction of CFG G from any PDA M works, we need to prove the proposed claim. Note: At this point, the justification for introduction of the first type of production (of the form ) in the CFG G, is quite clear. This helps use deriving a string from the start symbol of the grammar. Proof : Of the claim iff for some , and The proof is by induction on the number of steps in a derivation of G (which of course is equal to the number of moves taken by M). Let the number of steps taken is n. The proof consists of two parts: ' if ' part and ' only if ' part. First, consider the ' if ' part If then . Basis is n =1 Then . In this case, it is clear that . Hence, by construction is a production of G. Then Inductive Hypothesis : Inductive Step : For n >1, let w = ax for some and consider the first move of the PDA M which uses the general transition = . Now M must remove from stack while consuming x in the remaining n-1 moves. Let , where is the prefix of x that M has consumed when first appears at top of the stack. Then there must exist a sequence of states in M (as per construction) (with ), such that
  • 80.
    [ This stepimplies ] [ This step implies ] ... = [ Note: Each step takes less than or equal to n -1 moves because the total number of moves required assumed to be n-1.] That is, in general , . So, applying inductive hypothesis we get , . But corresponding to the original move in M we have added the following production in G. We can show the computation of the PDA on a given input using the IDs and next move relations. For example, following are the computation on two input strings. i) Let the input be aabb. we start with the start configuration and proceed to the subsequent IDs using the transition function defined ( using transition 1 ) , ( using transition 2 ) ( using transition 3 ), ( using transition 4 ) ( using transition 5 ) , is final state. Hence, accept. So the string aabb is rightly accepted by M. we can show the computation of the PDA on a given input using the IDs and next move relations. For example, following are the computation on two input strings. i) Let the input be aabab.
  • 81.
    No further moveis defined at this point. Hence the PDA gets stuck and the string aabab is not accepted. The following is a sequence of configurations leading to the acceptance of the string [ [ ] [ ] ] [ ]. Equivalence of acceptance by final state and empty stack. It turns out that the two definitions of acceptance of a language by a PDA - accpetance by final state and empty stack- are equivalent in the sense that if a language can be accepted by empty stack by some PDA, it can also be accepted by final state by some other PDA and vice versa. Hence it doesn't matter which one we use, since each kind of machine can simulate the other.Given any arbitrary PDA M that accpets the language L by final state or empty stack, we can always construct an equivalent PDA M with a single final state that accpets exactly the same language L. The construction process of M' from M and the proof of equivalence of M & M' are given below There are two cases to be considered. CASE 1 : PDA M accepts by final state, Let . Let be a new state not in Q. Consider the PDA where as well as the following transition. contains and . It is easy to show that M and are equivalent i.e. . Let . Then for some and Then . Thus accepts .
  • 82.
    Conversely, let acceptsi.e. , then for some . inherits all other moves except the last one from M. Hence for some . Thus M accepts . Informally, on any input simulate all the moves of M and enters in its own final state whenever M enters in any one of its final status in F. Thus accepts a string iff M accepts it. CASE 2 : PDA M accepts by empty stack. we will construct from M in such a way that simulates M and detects when M empties its stack. enters its final state when and only when M empties its stack.Thus will accept a string iff M accepts. Let where and and contains all the transition of , as well as the following two transitions. and Transitions 1 causes to enter the initial configuration of M except that will have its own bottom-of-stack marker X which is below the symbols of M's stack. From this point onward M' will simulate every move of M since all the transitions of M are also in . If M ever empties its stack, then when simulating M will empty its stack except the symbol X at the bottom. At this point , will enter its final state by using transition rule 2, thereby (correctly) accepting the input. we will prove that M and are equivalent. Let M accepts . Then for some . But then, ( by transition rule 1 ) ( since include all the moves of M )
  • 83.
    ( by transitionrule 2 ) Hence, also accepts .Conversely, let accepts . Then for some Q . Every move in the sequence were taken from M. Hence, M starting with its initial configuration will eventually empty its stack and accept the input i.e. . Deterministic PDA: Regular Languages and DPDA’s The DPDA’s accepts a class of languages that is in between the regular languages and CFL’s.
  • 84.
    Deterministic Pushdown Automata(DPDA) and Deterministic Context-free Languages (DCFLs) Pushdown automata that we have already defined and discussed are nondeterministic by default, that is , there may be two or more moves involving the same combinations of state, input symbol, and top of the stock, and again, for some state and top of the stock the machine may either read and input symbol or make an - transition (without consuming any input). In deterministic PDA , there is never a choice of move in any situation. This is handled by preventing the above mentioned two cases as described in the definition below. Defnition : Let be a PDA . Then M is deterministic if and only if both the following conditions are satisfied. 1. has at most one element for any and (this condition prevents multiple choice f any combination of ) 2. If and for every (This condition prevents the possibility of a choice between a move with or without an input symbol).
  • 85.
    Empty Production Removal Theproductions of context-free grammars can be coerced into a variety of forms without affecting the expressive power of the grammars. If the empty string does not belong to a language, then there is a way to eliminate the productions of the form A→ λ from the grammar. If the empty string belongs to a language, then we can eliminate λ from all productions save for the single production S → λ. In this case we can also eliminate any occurrences of S from the right-hand side of productions. Procedure to find CFG with out empty Productions
  • 86.
  • 87.
    NORMAL FORMS Two kindsof normal forms viz., Chomsky Normal Form and Greibach Normal Form (GNF) are considered here. Chomsky Normal Form (CNF) Any context-free language L without any λ-production is generated by a grammar is which productions are of the form A → BC or A→ a, where A, B ∈VN , and a ∈ V Τ. Procedure to find Equivalent Grammar in CNF (i) Eliminate the unit productions, and λ-productions if any, (ii) Eliminate the terminals on the right hand side of length two or more. (iii) Restrict the number of variables on the right hand side of productions to two. Proof: For Step (i): Apply the following theorem: “Every context free language can be generated by a grammar with no useless symbols and no unit productions”. At the end of this step the RHS of any production has a single terminal or two or more symbols. Let us assume the equivalent resulting grammar as G = (VN ,VT ,P ,S ). For Step (ii): Consider any production of the form
  • 88.
    Example Obtain a grammarin Chomsky Normal Form (CNF) equivalent to the grammar G with productions P given Solution
  • 90.
    Pumping Lemma forCFG A “Pumping Lemma” is a theorem used to show that, if certain strings belong to a language, then certain other strings must also belong to the language. Let us discuss a Pumping Lemma for CFL. We will show that , if L is a context-free language, then strings of L that are at least ‘m’ symbols long can be “pumped” to produce additional strings in L. The value of ‘m’ depends on the particular language. Let L be an infinite context-free language. Then there is some positive integer ‘m’ such that, if S is a string of L of Length at least ‘m’, then (i) S = uvwxy (for some u, v, w, x, y) (ii) | vwx| ≤ m (iii) | vx| ≥1 (iv) uv iwx i y∈L. for all non-negative values of i. It should be understood that (i) If S is sufficiently long string, then there are two substrings, v and x, somewhere in S. There is stuff (u) before v, stuff (w) between v and x, and stuff (y), after x. (ii) The stuff between v and x won’t be too long, because | vwx | can’t be larger than m. (iii) Substrings v and x won’t both be empty, though either one could be. (iv) If we duplicate substring v, some number (i) of times, and duplicate x the same number of times, the resultant string will also be in L. Definitions A variable is useful if it occurs in the derivation of some string. This requires that (a) the variable occurs in some sentential form (you can get to the variable if you start from S), and (b) a string of terminals can be derived from the sentential form (the variable is not a “dead end”). A variable is “recursive” if it can generate a string containing itself. For example, variable A is recursive if Proof of Pumping Lemma (a) Suppose we have a CFL given by L. Then there is some context-free Grammar G that generates L. Suppose (i) L is infinite, hence there is no proper upper bound on the length of strings belonging to L. (ii) L does not contain l. (iii) G has no productions or l-productions.
  • 91.
    There are onlya finite number of variables in a grammar and the productions for each variable have finite lengths. The only way that a grammar can generate arbitrarily long strings is if one or more variables is both useful and recursive. Suppose no variable is recursive. Since the start symbol is non recursive, it must be defined only in terms of terminals and other variables. Then since those variables are non recursive, they have to be defined in terms of terminals and still other variables and so on. After a while we run out of “other variables” while the generated string is still finite. Therefore there is an upper bond on the length of the string which can be generated from the start symbol. This contradicts our statement that the language is finite. Hence, our assumption that no variable is recursive must be incorrect. (b) Let us consider a string X belonging to L. If X is sufficiently long, then the derivation of X must have involved recursive use of some variable A. Since A was used in the derivation, the derivation should have started as
  • 92.
  • 93.
    Hence our originalassumption, that L is context free should be false. Hence the language L is not con text-free. Example Check whether the language given by L = {a mbmcn : m ≤ n ≤ 2m} is a CFL or not. Solution Closure properties of CFL – Substitution
  • 95.
  • 96.
  • 98.
    Turing machine: Informal Definition: Weconsider here a basic model of TM which is deterministic and have one-tape. There are many variations, all are equally powerfull. The basic model of TM has a finite set of states, a semi-infinite tape that has a leftmost cell but is infinite to the right and a tape head that can move left and right over the tape, reading and writing symbols. For any input w with |w|=n, initially it is written on the n leftmost (continguous) tape cells. The infinitely many cells to the right of the input all contain a blank symbol, B whcih is a special tape symbol that is not an input symbol. The machine starts in its start state with its head scanning the leftmost symbol of the input w. De- pending upon the symbol scanned by the tape head and the current state the machine makes a move which consists of the following: • writes a new symbol on that tape cell, • moves its head one cell either to the left or to the right and • (possibly) enters a new state. The action it takes in each step is determined by a transition functions. The machine continues computing (i.e. making moves) until • it decides to "accept" its input by entering a special state called accept or final state or • halts without accepting i.e. rejecting the input when there is no move defined. On some inputs the TM many keep on computing forever without ever accepting or rejecting the input, in which case it is said to "loop" on that input Formal Definition : Formally, a deterministic turing machine (DTM) is a 7-tuple , where • Q is a finite nonempty set of states. • is a finite non-empty set of tape symbols, callled the tape alphabet of M. • is a finite non-empty set of input symbols, called the input alphabet of M. • is the transition function of M, MODULE-IVVV
  • 99.
    • is theinitial or start state. • is the blank symbol • is the set of final state. So, given the current state and tape symbol being read, the transition function describes the next state, symbol to be written on the tape, and the direction in which to move the tape head ( L and R denote left and right, respectively ). Transition function : • The heart of the TM is the transition function, because it tells us how the machine gets one step to the next. • when the machine is in a certain state q Q and the head is currently scanning the tape symbol , and if , then the machine 1. replaces the symbol X by Y on the tape 2. goes to state p, and 3. the tape head moves one cell ( i.e. one tape symbol ) to the left ( or right ) if D is L ( or R ). The ID (instantaneous description) of a TM capture what is going out at any moment i.e. it contains all the information to exactly capture the "current state of the computations". It contains the following: • The current state, q • The position of the tape head, • The constants of the tape up to the rightmost nonblank symbol or the symbol to the left of the head, whichever is rightmost. Note that, although there is no limit on how far right the head may move and write nonblank symbols on the tape, at any finite time, the TM has visited only a finite prefix of the infinite tape. An ID (or configuration) of a TM M is denoted by where and • is the tape contents to the left of the head • q is the current state. • is the tape contents at or to the right of the tape head That is, the tape head is currently scanning the leftmost tape symbol of . ( Note that if , then the tape head is scanning a blank symbol) If is the start state and w is the input to a TM M then the starting or initial configuration of M is onviously denoted by
  • 100.
    Moves of TuringMachines To indicate one move we use the symbol . Similarly, zero, one, or more moves will be represented by . A move of a TM M is defined as follows. Let be an ID of M where , and . Let there exists a transition of M. Then we write meaning that ID yields • Alternatively , if is a transition of M, then we write which means that the ID yields • In other words, when two IDs are related by the relation , we say that the first one yields the second ( or the second is the result of the first) by one move. • If IDj results from IDi by zero, one or more (finite) moves then we write ( If the TM M is understand, then the subscript M can be dropped from or ) Special Boundary Cases • Let be an ID and be an transition of M. Then . That is, the head is not allowed to fall off the left end of the tape. • Let be an ID and then figure (Note that is equivalent to ) • Let be an ID and then figure • Let be an ID and then figure The language accepted by a TM , denoted as L(M) is L(M) = { w | and figure for some p F and } In other words the TM M accepts a string that cause M to enter a final or accepting state when started in its initial ID (i.e. ). That is a TM M accepts the string if a sequence of IDs, exists such that • is the initial or starting ID of M • ;
  • 101.
    • The representationof IDk contains an accepting state. The set of strings that M accepts is the language of M, denoted L(M), as defined above More about configuration and acceptance • An ID of M is called an accepting (or final) ID if • An ID is called a blocking (or halting) ID if is undefined i.e. the TM has no move at this point. • is called reactable from if • is the initial (or starting) ID if is the input to the TM and is the initial (or start) state of M. On any input string either • M halts on w if there exists a blocking (configuration) ID, such that There are two cases to be considered • M accepts w if I is an accepting ID. The set of all accepted by M is denoted as L(M) as already defined • M rejects w if is a blocking configuration. Denote by reject (M), the set of all rejected by M. or • M loops on w if it does not halt on w. Let loop(M) be the set of all on which M loops for. It is quite clear that That is, we assume that a TM M halts • When it enters an accepting or • When it enters a blocking i.e. when there is no next move. However, on some input string, , , it is possible that the TM M loops for ever i.e. it never halts
  • 102.
    The Halting Problem Theinput to a Turing machine is a string. Turing machines themselves can be written as strings. Since these strings can be used as input to other Turing machines. A “Universal Turing machine” is one whose input consists of a description M of some arbitrary Turing machine, and some input w to which machine M is to be applied, we write this combined input as M + w. This produces the same output that would be produced by M. This is written as Universal Turing Machine (M + w) = M (w). As a Turing machine can be represented as a string, it is fully possible to supply a Turing machine as input to itself, for example M (M). This is not even a particularly bizarre thing to do for example, suppose you have written a C pretty printer in C, then used the Pretty printer on itself. Another common usage is Bootstrapping—where some convenient languages used to write a minimal compiler for some new language L, then used this minimal compiler for L to write a new, improved compiler for language L. Each time a new feature is added to language L, you can recompile and use this new feature in the next version of the compiler. Turing machines sometimes halt, and sometimes they enter an infinite loop. A Turing machine might halt for one input string, but go into an infinite loop when given some other string. The halting problem asks: “It is possible to tell, in general, whether a given machine will halt for some given input?” If it is possible, then there is an effective procedure to look at a Turing machine and its input and determine whether the machine will halt with that input. If there is an effective procedure, then we can build a Turing machine to implement it. Suppose we have a Turing machine “WillHalt” which, given an input string M + w, will halt and accept the string if Turing machine M halts on input w and will halt and reject the string if Turing machine M does not halt on input w. When viewed as a Boolean function, “WillHalt (M, w)” halts and returns “TRUE” in the first case, and (halts and) returns “FALSE” in the second. Theorem Turing Machine “WillHalt (M, w)” does not exist. Proof: This theorem is proved by contradiction. Suppose we could build a machine “WillHalt”. Then we can certainly build a second machine, “LoopIfHalts”, that will go into an infinite loop if and only if “WillHalt” accepts its input: Function LoopIfHalts (M, w): if WillHalt (M, w) then while true do { } else return false; We will also define a machine “LoopIfHaltOnItSelf” that, for any given input M, representing a Turing machine, will determine what will happen if M is applied to itself, and loops if M will halt in this case. Function LoopIfHaltsOnItself (M): return LoopIfHalts (M, M): Finally, we ask what happens if we try: Func tion Impos sible: return LoopIfHaltsOnItself (LoopIfHaltsOnItself): This machine, when applied to itself, goes into an infinite loop if and only if it halts when applied to itself. This is impossible. Hence the theorem is proved.
  • 103.
    Implications of HaltingProblem Programming The Theorem of “Halting Problem” does not say that we can never determine whether or not a given program halts on a given input. Most of the times, for practical reasons, we could eliminate infinite loops from programs. Sometimes a “meta-program” is used to check another program for potential infinite loops, and get this meta-program to work most of the time. The theorem says that we cannot ever write such a meta-program and have it work all of the time. This result is also used to demonstrate that certain other programs are also impossible. The basic outline is as follows: (i) If we could solve a problem X, we could solve the Halting problem (ii) We cannot solve the Halting Problem (iii) Therefore, we cannot solve problem X A Turing machine can be "programmed," in much the same manner as a computer is programmed. When one specifies the function which we usually call δ for a Tm, he is really writing a program for the Tm. 1. Storage in finite Control The finite control can be used to hold a finite amount of information. To do so, the state is written as a pair of elements, one exercising control and the other storing a symbol. It should be emphasized that this arrangement is for conceptual purposes only. No modification in the definition of the Turing machine has been made. Example Consider the Turing machine Solution
  • 104.
    2. Multiple Tracks Wecan imagine that the tape of the Turing machine is divided into k tracks, for any finite k. This arrangement is shown in Fig., with k = 3. What is actually done is that the symbols on the tape are considered as k-tuples. One component for each track. Example The tape in Fig. can be imagined to be that of a Turing machine which takes a binary input greater than 2, written on the first track, and determines if it is a prime. The input is surrounded by ¢ and $ on the first track. Thus, the allowable input symbols are [¢, B, B], [0, B, B ], [1, B, B ], and [$, B, B]. These symbols can be identified with ¢, 0, 1, and $, respectively, when viewed as input symbols. The blank
  • 105.
    symbol can berepresented by [B, B, B ] To test if its input is a prime, the Tm first writes the number two in binary on the second track and copies the first track onto the third track. Then, the second track is subtracted, as many times as possible, from the third track, effectively dividing the third track by the second and leaving the remainder. If the remainder is zero, the number on the first track is not a prime. If the remainder is nonzero, increase the number on the second track by one. If now the second track equals the first, the number on the first track is a prime, because it cannot be divided by any number between one and itself. If the second is less than the first, the whole operation is repeated for the new number on the second track. In Fig., the Tm is testing to determine if 47 is a prime. The Tm is dividing by 5; already 5 has been subtracted twice, so 37 appears on the third track. 3. Subroutines
  • 106.
    UNDECIDABILITYYY Design a Turingmachine to add two given integers. Solution: Some unsolvable Problems are as follows: (i) Does a given Turing machine M halts on all input? (ii) Does Turing machine M halt for any input? (iii) Is the language L(M) finite? (iv) Does L(M) contain a string of length k, for some given k? (v) Do two Turing machines M1 and M2 accept the same language? It is very obvious that if there is no algorithm that decides, for an arbitrary given Turing machine M and input string w, whether or not M accepts w. These problems for which no algorithms exist are called “UNDECIDABLE” or “UNSOLVABLE”. Code for Turing Machine:
  • 108.
    Diagonalization language: This tablerepresents language acceptable by Turing machine
  • 109.
    Proof that Ldis not recursively enumerable: Recursive Languages:
  • 111.
  • 112.
    Undecidability of UniversalLanguage: Problem -Reduction : If P1 reduced to P2, Then P2 is at least as hard as P1. Theorem: If P1 reduces to P2 then, • If P1 is undecidable the so is P2. • If P1 is Non-RE then so is P2.
  • 113.
    Post's Correspondence Problem(PCP) A post correspondence system consists of a finite set of ordered pairs where for some alphabet . Any sequence of numbers is called a solution to a Post Correspondence System. The Post's Correspondence Problem is the problem of determining whether a Post Correspondence system has a solutions. Example 1 : Consider the post correspondence system The list 1,2,1,3 is a solution to it. Because i xi yi 1 2 3 (A post correspondence system is also denoted as an instance of the PCP) Example 2 : The following PCP instance has no solution i xi yi 1 2 This can be proved as follows. cannot be chosen at the start, since than the LHS and RHS would differ in the first symbol ( in LHS and in RHS). So, we must start with . The next pair must be so that the 3 rd symbol in the RHS becomes identical to that of the LHS, which is a . After this step, LHS and RHS are not matching. If is selected next, then would be mismatched in the 7 th symbol
  • 114.
    ( in LHSand in RHS). If is selected, instead, there will not be any choice to match the both side in the next step. Example3 : The list 1,3,2,3 is a solution to the following PCP instance. i xi yi 1 1 101 2 10 00 3 011 11 The following properties can easily be proved. Proposition The Post Correspondence System has solutions if and only if Corollary : PCP over one-letter alphabet is decidable. Proposition Any PCP instance over an alphabet with is equivalent to a PCP instance over an alphabet with Proof : Let Consider We can now encode every as any PCP instance over will now have only two symbols, 0 and 1 and, hence, is equivalent to a PCP instance over Theorem : PCP is undecidable. That is, there is no algorithm that determines whether an arbitrary Post Correspondence System has a solution. Proof: The halting problem of turning machine can be reduced to PCP to show the undecidability of PCP. Since halting problem of TM is undecidable (already proved), This reduction shows that PCP is also undecidable. The proof is little bit lengthy and left as an exercise. Some undecidable problem in context-free languages We can use the undecidability of PCP to show that many problem concerning the context-free languages are undecidable. To prove this we reduce the PCP to each of these problem. The following discussion makes it clear how PCP can be used to serve this purpose.
  • 115.
    Let be aPost Correspondence System over the alphabet . We construct two CFG's Gx and Gy from the ordered pairs x,y respectively as follows. and where and it is clear that the grammar generates the strings that can appear in the LHS of a sequence while solving the PCP followed by a sequence of numbers. The sequence of number at the end records the sequence of strings from the PCP instance (in reverse order) that generates the string. Similarly, generates the strings that can be obtained from the RHS of a sequence and the corresponding sequence of numbers (in reverse order). Now, if the Post Correspondence System has a solution, then there must be a sequence According to the construction of and In this case
  • 116.
    Hence , andimplying Conversely, let Hence, w must be in the form w1w2 where and w2 in a sequence (since, only that kind of strings can be generated by each of and ). Now, the string is a solution to the Post Correspondence System. It is interesting to note that we have here reduced PCP to the language of pairs of CFG,s whose intersection is nonempty. The following result is a direct conclusion of the above. Theorem : Given any two CFG's G1 and G2 the question "Is " is undecidable. Proof: Assume for contradiction that there exists an algorithm A to decide this question. This would imply that PCP is decidable as shown below. For any Post Correspondence System, P construct grammars and by using the constructions elaborated already. We can now use the algorithm A to decide whether and Thus, PCP is decidable, a contradiction. So, such an algorithm does not exist. If and are CFG's constructed from any arbitrary Post Correspondence System, than it is not difficult to show that and are also context-free, even though the class of context-free languages are not closed under complementation. and their complements can be used in various ways to show that many other questions related to CFL's are undecidable. We prove here some of those. Theorem : Foe any two arbitrary CFG's the following questions are undecidable i. Is ii. Is
  • 117.
    iii. Is Proof : i.If then, Hence, it suffice to show that the question “Is " is undecidable. Since, and are CFl's and CFL's are closed under union, is also context- free. By DeMorgan's theorem, If there is an algorithm to decide whether we can use it to decide whether or not. But this problem has already been proved to be undecidable. Hence there is no such algorithm to decide or not. ii. Let P be any arbitrary Post correspondence system and and are CFg's constructed from the pairs of strings. must be a CFL and let G1generates L1. That is, by De Morgan's theorem, as shown already, any string, represents a solution to the PCP. Hence, contains all but those strings representing the solution to the PCP. Let for same CFG G2. It is now obvious that if and only if the PCP has no solutions, which is already proved to be undecidable. Hence, the question “Is ?" is undecidable. iii.
  • 118.
    Let be aCFG generating the language and G2 be a CFG generating where and are CFG.s constructed from same arbitrary instance of PCP. iff i.e. iff the PCP instance has no solutions as discussed in part (ii). Hence the proof. Theorem : It is undecidable whether an arbitrary CFG is ambiguous. Proof : Consider an arbitrary instance of PCP and construct the CFG's and from the ordered pairs of strings. We construct a new grammar G from and as follows. where is same as that of and . This constructions gives a reduction of PCP to the -------- of whether a CFG is ambiguous, thus leading to the undecidability of the given problem. That is, we will now show that the PCP has a solution if and only if G is ambiguous. (where G is constructed from an arbitrary instance of PCP). Only if Assume that is a solution sequence to this instance of PCP. Consider the following two derivation in .
  • 119.
    But , is asolution to the PCP. Hence the same string of terminals has two derivations. Both these derivations are, clearly, leftmost. Hence G is ambiguous. If It is important to note that any string of terminals cannot have more than one derivation in and Because, every terminal string which are derivable under these grammars ends with a sequence of integers This sequence uniquely determines which productions must be used at every step of the derivation. Hence, if a terminal string, , has two leftmost derivations, then one of them must begin with the step. then continues with derivations under In both derivations the resulting string must end with a sequence for same The reverse of this sequence must be a solution to the PCP, because the string that precede in one case is and in the other case. Since the string derived in both cases are identical, the sequence must be a solution to the PCP. Hence the proof
  • 120.
    Class p-problem solvablein polynomial time: Non deterministic polynomial time: A nondeterministic TM that never makes more than p(n) moves in any sequence of choices for some polynomial p is said to be non polynomial time NTM. • NP is the set of languags that are accepted by polynomial time NTM’s • Many problems are in NP but appear not to be in p. • One of the great mathematical questions of our age: is there anything in NP that is not in p? NP-complete problems: If We cannot resolve the “p=np question, we can at least demonstrate that certain problems in NP are the hardest , in the sense that if any one of them were in P , then P=NP. • These are called NP-complete. • Intellectual leverage: Each NP-complete problem’s apparent difficulty reinforces the belief that they are all hard. Methods for proving NP-Complete problems: • Polynomial time reduction (PTR): Take time that is some polynomial in the input size to convert instances of one problem to instances of another. • If P1 PTR to P2 and P2 is in P1 the so is P1. • Start by showing every problem in NP has a PTR to Satisfiability of Boolean formula. • Then, more problems can be proven NP complete by showing that SAT PTRs to them directly or indirectly.