KEMBAR78
A FAULT-TOLERANCE LINGUISTIC STRUCTURE FOR DISTRIBUTED APPLICATIONS | PDF
A FAULT-TOLERANCE LINGUISTIC STRUCTURE
FOR DISTRIBUTED APPLICATIONS
Vincenzo De Florio
Katholieke Universiteit Leuven, ESAT Department, ACCA Division, 3000 Leuven, Belgium.
Abstract: The structures for the expression of fault-tolerance provisions into the application
software are the central topic of this dissertation.
Structuring techniques provide means to control complexity, the latter being a relevant factor
for the introduction of design faults. This fact and the ever increasing complexity of today’s distributed software justify the need for simple, coherent, and effective structures for the expression
of fault-tolerance in the application software. A first contribution of this dissertation is the definition of a base of structural attributes with which application-level fault-tolerance structures can
be qualitatively assessed and compared with each other and with respect to the above mentioned
need. This result is then used to provide an elaborated survey of the state-of-the-art of software
fault-tolerance structures.
The key contribution of this work is a novel structuring technique for the expression of the
fault-tolerance design concerns in the application layer of those distributed software systems
that are characterised by soft real-time requirements and with a number of processing nodes
known at compile-time. The main thesis of this dissertation is that this new structuring technique is capable of exhibiting satisfactory values of the structural attributes in the domain of soft
real-time, distributed and parallel applications. Following this novel approach, beside the conventional programming language addressing the functional design concerns, a special-purpose
linguistic structure (the so-called “recovery language”) is available to address error recovery and
reconfiguration. This recovery language comes into play as soon as an error is detected by an
underlying error detection layer, or when some erroneous condition is signalled by the application processes. Error recovery and reconfiguration are specified as a set of guarded actions, i.e.,
actions that require a pre-condition to be fulfilled in order to be executed. Recovery actions deal
with coarse-grained entities of the application and pre-conditions query the current state of those
entities.
An important added value of this so-called “recovery language approach” is that the executable code is structured so that the portion addressing fault-tolerance is distinct and separated
from the rest of the code. This allows for division of complexity into distinct blocks that can be
tackled independently of each other.
This dissertation also describes a prototype of a compliant architecture that has been developed in the framework of two ESPRIT projects. The approach is illustrated via a few case studies. Some preliminary steps towards an overall analysis and assessment of the novel approach
are contributed by means of reliability models, discrete mathematics, and simulations.
Finally, it is described how the recovery language approach may serve as a harness with
which to trade optimally the complexity of failure mode against number and type of faults being
tolerated. This would provide dynamic adaptation of the application to the variations in the fault
model of the environment.
2
KATHOLIEKE UNIVERSITEIT LEUVEN
FACULTEIT T OEGEPASTE W ETENSCHAPPEN
D EPARTEMENT E LEKTROTECHNIEK – ESAT
O NDERZOEKSEENHEID ACCA
Kardinaal Mercierlaan 94, B-3001 Leuven — Belgi¨
e

A FAULT-TOLERANCE LINGUISTIC
STRUCTURE FOR DISTRIBUTED
APPLICATIONS

Promoter:
Prof. Dr. ir. R. Lauwereins

Dissertation submitted in partial
fulfilment of the requirements
for the degree of “doctor in de
toegepaste wetenschappen”
by
Vincenzo DE FLORIO

October 2000
KATHOLIEKE UNIVERSITEIT LEUVEN
FACULTEIT T OEGEPASTE W ETENSCHAPPEN
D EPARTEMENT E LEKTROTECHNIEK – ESAT
O NDERZOEKSEENHEID ACCA
Kardinaal Mercierlaan 94, B-3001 Leuven — Belgi¨
e

A FAULT-TOLERANCE LINGUISTIC
STRUCTURE FOR DISTRIBUTED
APPLICATIONS

Jury:
Prof. Dr.
Prof. Dr.
Prof. Dr.
Prof. Dr.
Prof. Dr.
Prof. Dr.

Dissertation submitted in partial
fulfilment of the requirements
for the degree of “doctor in de
toegepaste wetenschappen”
by

ir. J. Berlamont, chairman
ir. R. Lauwereins, promoter
ir. Y. Berbers
ir. B. Preneel
ir. G. Deconinck
ir. A. M. Tyrrell (University of York)

Vincenzo DE FLORIO

U.D.C. 681.3*B23
October 2000
Copyright
c Katholieke Universiteit Leuven – Faculteit Toegepaste Wetenschappen – Departement Elektrotechniek ESAT –
Onderzoekseenheid ACCA, Kardinaal Mercierlaan 94, B-3001 Leuven (Belgium)

Alle rechten voorbehouden. Niets uit deze uitgave mag worden vermenigvuldigd, in een bestand opgeslagen en/of
openbaar gemaakt door middel van druk, fotokopie, microfilm, elektronisch, mechanisch of op welke ander wijze
ook, zonder de voorafgaande, schriftelijke toestemming van de onderzoekseenheid.
All rights reserved. No part of this publication may be reproduced, stored in a retrieval system, or transmitted,
in any form and by any means, electronic, mechanical, photocopying, recording, or otherwise, without the prior
written permission from the above-mentioned research unit.
D/2000/7515/37
ISBN 90-5682-266-7
ACKNOWLEDGEMENTS
This work would not have been possible without the contributions of a number of people who
have supported me throughout these years.
I thank very much my promoter, Prof. R. Lauwereins, whose availability, guidance, and
support allowed me to develop my doctoral studies. Many thanks also for his important remarks
on the contents of this thesis.
Many thanks to Prof. Y. Berbers, member of the reading committee, for her profound reading of the manuscript and for her valuable comments and suggestions. Many thanks to Prof. B.
Preneel, member of the reading committee, for his important suggestions, including better formulations and shorter proofs for some of the theorems in Appendix A. I am convinced that the
numerous contributions of the members of the reading committee greatly improved the overall
structure and the contents of this work. Many thanks to Prof. J. Berlamont for being chairman
of the Jury.
I am very grateful to Prof. A. Tyrrell, Head of the Department of Electronics of the University
of York, for the great honor he so kindly conceded me by accepting to come to Leuven and be a
member of the Jury.
Many thanks to Prof. J. Peperstraete, who encouraged and supported me at the beginning of
my doctoral studies.
It has been a sheer pleasure for me to work in collaboration with several other people during
these last four years. I wish to thank the many friends I had the great pleasure to work with
in the ESPRIT projects EFTOS and TIRAN. I would like to thank also the reviewers of those
two projects, whose recommendations, suggestions, and enthusiasm, considerably and positively
influenced their development.
Many thanks are also due to the people from the ESAT Department of the K. U. Leuven and,
in particular, to those from the ACCA Division.
I like to acknowledge the support of Dr. D. Laforenza, who introduced me to the domain of
parallel computing, and whose friendly enthusiastic encouragement and support helped me to
begin this exciting research experience.
My love and gratitude go to my dearest wife Tiziana, to whom I dedicate this work.

Leuven, October 2000

Vincenzo De Florio
List of abbreviations

Abbreviation

Meaning

Section Page

A
ALFT
AMS
AOP
APL
AS
AT
AW
BB
BSL
BSW
BT
COTS
CSP
DB
DIR net
DM
DV
EE
EFTOS

Adaptability
Application-Level Fault-Tolerance
Algorithm of Mutual Suspicion
Aspect-Oriented Programming
ENEL application component
Alarm Scheduler
Alarm Thread
Algorithmic Worker Processes
TIRAN Backbone
TIRAN Basic Services Library
ENEL “basic software” component
TIRAN Basic Tool
Commercial-Off-The-Shelf
Communicating Sequential Processes
TIRAN Database
EFTOS Detection, Isolation and Recovery network
TIRAN Dependable Mechanism
TIRAN Distributed Voting Tool
N -Version Executive
Embedded Fault-Tolerant Supercomputing, ESPRIT
project 21012
ENEL Exchange Memory component
Electro-Magnetic Interference
Fail-Stop Modules
Fault-Tolerant Attribute Grammars
Siemens Gray Level IMage Processing package
Image Dispatcher
Siemens Integrated Mail Processor
Local Control Level
Machine Control
Metaobject Protocol
Multiple-Version software fault-tolerance
N -Modular Redundancy

1.1.2
1.1
5.2.4
3.4
6.3.2
B.1
B.1
6.1.3
4.2.1
4.2.1
6.3.2
4.2.1
4.1.1
3.5
4.2.1
3.1.1
5.1
5.2.3
3.1.2.2
3.1.1

7
1
73
39
113
161
161
102
48
48
113
48
46
41
48
25
66
69
30
24

6.3.2
1.1.2
3.3.1.4
3.3.2.3
6.1.1
6.1.3
6.1
6.3.1
6.1.1
3.2
3.1.2
5.2.3

114
6
35
37
101
102
100
112
101
32
27
69

EM
EMI
FSM
FTAG
GLIMP
ID
IMP
LCL
MC
MOP
MV
NMR
Abbreviation

Meaning

NVP
OCR
OS
PC
PS
PSAS
RB
RD
REL
RINT
RM
RMP
ROI
RW
SA
SC
SV
TIRAN

N -Version Programming
3.1.2.2
Optical Character Recognition module
6.1.1
Operating System
4.1.1
Personal Computer
5.1
Primary substation
6.3.1
Primary substation automation system
6.3.1
Recovery Blocks
3.1.2.1
Region Descriptor
6.1.3
REcovery Language approach
4
Recovery Interpreter
5.3.3.2
Result Manager
6.1.3
Recovery Meta-Program
3.5
Region Of Interest
6.1.1
Redundant Watchdog
6.4.1
Syntactical Adequacy
1.1.2
Separation of the design Concerns
1.1.2
Single-Version software fault-tolerance
3.1.1
TaIlorable fault-toleRANce frameworks for embedded ap- 1.1.3
plications, ESPRIT project 28620
Triple Modular Redundancy
5.3.3.1
Time-Out List Manager
B.3
TIRAN Time-Out Manager
4.2.1
EFTOS vertical integration test application
6.1.5
World-Wide Web
3.1.1

TMR
TOLM
TOM
VITA
WWW

Section Page
29
101
46
65
112
112
27
102
45
94
102
41
101
119
6
6
24
7
92
163
49
104
25
List of the symbols used and of their definitions
Symbol

Definition

A(t)

=

Ass

=
=
=
=
=

b(f )
C
correct x
δi,t
εN
fail(t)
Im
λ
λN
M (t)

MTBF
MTTF
MTTR
µ
µN
νt
ν

nT/mH/pS

=
=
=
=
=
=
=
=
=
=
=
=
=
=
=
=
=
=
=
=
=
=
=
=

Section Page

Availability (probability that a service is operating correctly and is available to perform its functions at time t)
MTTF
MTTF+MTTR
Steady-state availability
Failure behaviours of failure class f
Error recovery coverage
Event “the system provides its service during time interval x”
1 if U (t, i) is true, 0 otherwise
Efficiency
Percentage of slots used during a run

2.1.2.3

14

2.1.2.3

14

2.1.3.1
7.1.1
2.1.2.1

15
123
12

7.2.1.1
7.2.1.1

129
130

2.1.2.1

12

4.1.1
2.1.2.1
7.2.1.1
2.1.2.4

46
12
130
14

2.1.2.2

13

2.1.2.2

13

2.1.2.2

13

2.1.2.2
7.2.1.1
7.2.1.1

13
130
130

7.2.1.1

130

3.1

24

dQ(t)
dt

Failure density function
Set {0, . . . , m − 1} (m > 1)
Failure rate
Length of a run with N + 1 processors
1 − exp−µt (if µ is constant)
Maintainability (probability that a failed system will be
repaired in a time less than or equal to t)
MTTF + MTTR
Mean Time Between Failure
∞
R(t) dt
0
Mean Time To Failure
Mean Time To Repair
Average time required to repair a system
Repair rate
Average slot utilisation
N
i=0 δi,t
Number of slots used during time step t
[ν1 , ν2 , . . . , νλ ]
Utilisation string (number of slots used during each time
step)
n executions, on m hardware channels, of p programs
Avi˘ ienis’ classification of fault-tolerance approaches
z
Symbol

Definition

P

=
=

Q(t)

=
=
=

R
R(t0 , t)
R(t)
R(1) (C, t)
R(M ) (C, t)
Rα (t)
TMR

=
=
=
=
=
=
=
=
=

i Rt j

=

i S tj

=

σ(N )

=
=

T
Tcycle
U (N )
U (t, i)
[x is odd]

=
=
=
=
=
=

Section Page

P1 , . . . , PN
Permutation of the N integers [0, N ] − {i}, N > 0, 0 ≤
i≤N
1 − R(t)
Unreliability
Probability of successful recovery for a component affected by a transient fault
P {correct[t0 , t] | correct[t0 , t0 ]}
Reliability in interval [t0 , t]
R(0, t)
Reliability
(−3C 2 + 6C) × [R(t)(1 − R(t))]2 + R(0) (t)
Reliability of a TMR-and-a-spare system
Reliability of a TMR-and-M -spare system
3 exp−2(1−RT )λt −2 exp−3(1−RT )λt
Reliability of a TMR system exploiting the α-count technique
At time t, processor i is receiving a message from processor j
At time t, processor i is sending a message to processor
j
σ(N ) = (N + 1)λN
Number of slots available within a run of N + 1 processors
Probability that the current fault is a transient one
Cycle time for the ENEL pilot application
Number of used slots in a run of N processors
Predicate “∃ j (i S t j ∨ i Rt j)”
1 when x is odd, 0 otherwise
Failure semantics partial-order relation

7.2.1.1

130

2.1.2.1

12

7.1.2

125

2.1.2.1

12

2.1.2.1

12

7.1.1

124

7.1.1
7.1.2

124
125

7.2.1.1

129

7.2.1.1

129

7.2.1.1

130

7.1.2
6.3.2
A.3.4
7.2.1.1
7.2.1.2
2.1.3.1

125
113
158
129
132
15
Contents
1

2

3

Introduction
1.1 Rationale and Thesis . . . . . . . . . . . . . . . . . . . . . . . . .
1.1.1 The Need for Application-Level Fault-Tolerance . . . . . .
1.1.1.1 A Need for Fault-Tolerance . . . . . . . . . . . .
1.1.1.2 A Need for Software Fault-Tolerance . . . . . . .
1.1.1.3 Software Fault-Tolerance in the Application Layer
1.1.2 Strategies, Problems, and Key Properties . . . . . . . . . .
1.1.3 Thesis of the Dissertation . . . . . . . . . . . . . . . . . . .
1.2 Structure and Contributions . . . . . . . . . . . . . . . . . . . . . .

.
.
.
.
.
.
.
.

.
.
.
.
.
.
.
.

.
.
.
.
.
.
.
.

.
.
.
.
.
.
.
.

.
.
.
.
.
.
.
.

.
.
.
.
.
.
.
.

.
.
.
.
.
.
.
.

1
1
1
1
2
3
5
7
8

The Laprie Model of Dependability
2.1 The Dependability Tree . . . . . . . . . . . . . . . . . . . . . . . . . . . . . .
2.1.1 Attributes of Dependability . . . . . . . . . . . . . . . . . . . . . . . .
2.1.2 Formal Definitions . . . . . . . . . . . . . . . . . . . . . . . . . . . .
2.1.2.1 Reliability . . . . . . . . . . . . . . . . . . . . . . . . . . .
2.1.2.2 Mean Time To Failure, Mean Time To Repair, and Mean Time
Between Failures . . . . . . . . . . . . . . . . . . . . . . .
2.1.2.3 Availability . . . . . . . . . . . . . . . . . . . . . . . . . .
2.1.2.4 Maintainability . . . . . . . . . . . . . . . . . . . . . . . .
2.1.3 Impairments to Dependability . . . . . . . . . . . . . . . . . . . . . .
2.1.3.1 Failures . . . . . . . . . . . . . . . . . . . . . . . . . . . .
2.1.3.2 Errors . . . . . . . . . . . . . . . . . . . . . . . . . . . . .
2.1.3.3 Faults . . . . . . . . . . . . . . . . . . . . . . . . . . . . .
2.1.4 Means for Dependability . . . . . . . . . . . . . . . . . . . . . . . . .
2.1.4.1 Fault-Tolerance . . . . . . . . . . . . . . . . . . . . . . . .
2.2 Fault-Tolerance, Redundancy, and Complexity . . . . . . . . . . . . . . . . . .
2.3 Conclusions . . . . . . . . . . . . . . . . . . . . . . . . . . . . . . . . . . . .

.
.
.
.

11
11
12
12
12

.
.
.
.
.
.
.
.
.
.
.

13
14
14
14
15
17
17
19
19
21
22

Current Approaches for Application-Level Fault-Tolerance
3.1 Single- and Multiple-Version Software Fault-Tolerance .
3.1.1 Single-Version Software Fault-Tolerance . . . .
3.1.2 Multiple-Version Software Fault-Tolerance . . .
3.1.2.1 The Recovery Block Technique . . . .

.
.
.
.

23
23
24
27
27

i

.
.
.
.

.
.
.
.

.
.
.
.

.
.
.
.

.
.
.
.

.
.
.
.

.
.
.
.

.
.
.
.

.
.
.
.

.
.
.
.

.
.
.
.

.
.
.
.
ii

CONTENTS
.
.
.
.
.
.
.
.
.
.
.
.
.
.
.

29
31
33
33
33
34
34
35
36
36
36
37
39
41
42

The Recovery Language Approach
4.1 System, Application and Fault Models . . . . . . . . . . . . . . . . . . . . . .
4.1.1 System Assumptions . . . . . . . . . . . . . . . . . . . . . . . . . . .
4.1.2 Application-specific Assumptions . . . . . . . . . . . . . . . . . . . .
4.1.3 Fault Model . . . . . . . . . . . . . . . . . . . . . . . . . . . . . . . .
4.2 Key Ideas and Technical Foundations . . . . . . . . . . . . . . . . . . . . . .
4.2.1 Adoption of a Fault-Tolerance Toolset . . . . . . . . . . . . . . . . . .
4.2.2 Configuration Support Tool . . . . . . . . . . . . . . . . . . . . . . .
4.2.2.1 Configuration of System and Application Entities . . . . . .
4.2.2.2 Configuration of the Fault-Tolerance Tools in the Toolset . .
4.2.2.3 Configuration of Replicated Tasks . . . . . . . . . . . . . .
4.2.2.4 Configuration for Retry Blocks . . . . . . . . . . . . . . . .
4.2.2.5 Configuration for Multiple-Version Software Fault-Tolerance
4.2.2.6 Example Scenario and Conclusions . . . . . . . . . . . . . .
4.2.3 Recovery Languages . . . . . . . . . . . . . . . . . . . . . . . . . . .
4.2.3.1 Guards . . . . . . . . . . . . . . . . . . . . . . . . . . . . .
4.2.3.2 Actions . . . . . . . . . . . . . . . . . . . . . . . . . . . . .
4.3 Workflow . . . . . . . . . . . . . . . . . . . . . . . . . . . . . . . . . . . . .
4.4 Relation with Other ALFT Approaches and Specific Limitations . . . . . . . .
4.4.1 Limitations of RεL . . . . . . . . . . . . . . . . . . . . . . . . . . . .
4.5 Conclusions . . . . . . . . . . . . . . . . . . . . . . . . . . . . . . . . . . . .

.
.
.
.
.
.
.
.
.
.
.
.
.
.
.
.
.
.
.
.

45
45
45
47
47
47
48
49
49
50
50
52
53
53
54
55
56
57
58
59
60

A Distributed Architecture Based on the Recovery Language Approach
5.1 The ESPRIT Project TIRAN . . . . . . . . . . . . . . . . . . . . . .
5.2 Some Components of the TIRAN Framework . . . . . . . . . . . . .
5.2.1 The TIRAN Basic Tools . . . . . . . . . . . . . . . . . . . .
5.2.2 The TIRAN Basic Services Library . . . . . . . . . . . . . .

.
.
.
.

63
63
67
67
68

3.2
3.3

3.4
3.5
3.6
4

5

3.1.2.2 N-Version Programming . . . . . . . . . . . . .
Metaobject Protocols and Reflection . . . . . . . . . . . . . . . . .
Enhancing or Developing Fault-Tolerance Languages . . . . . . . .
3.3.1 Enhancing Pre-existing Programming Languages . . . . . .
3.3.1.1 The Arjuna Distributed Programming System . .
3.3.1.2 The SINA Extensions . . . . . . . . . . . . . . .
3.3.1.3 Fault-Tolerant Linda Systems . . . . . . . . . . .
3.3.1.4 FT-SR . . . . . . . . . . . . . . . . . . . . . . .
3.3.2 Developing Novel Fault-Tolerance Programming Languages
3.3.2.1 ARGUS . . . . . . . . . . . . . . . . . . . . . .
3.3.2.2 The Correlate Language . . . . . . . . . . . . . .
3.3.2.3 Fault-Tolerance Attribute Grammars . . . . . . .
Aspect-oriented Programming Languages . . . . . . . . . . . . . .
The Recovery Meta-Program . . . . . . . . . . . . . . . . . . . . .
Conclusions . . . . . . . . . . . . . . . . . . . . . . . . . . . . . .

.
.
.
.
.
.
.
.
.
.
.
.
.
.
.

.
.
.
.
.
.
.
.
.
.
.
.
.
.
.

.
.
.
.

.
.
.
.
.
.
.
.
.
.
.
.
.
.
.

.
.
.
.

.
.
.
.
.
.
.
.
.
.
.
.
.
.
.

.
.
.
.

.
.
.
.
.
.
.
.
.
.
.
.
.
.
.

.
.
.
.

.
.
.
.
.
.
.
.
.
.
.
.
.
.
.

.
.
.
.
CONTENTS

iii

5.2.3

5.3

5.4
6

The TIRAN Distributed Voting Tool . . . . . . . . . . . . . . . .
5.2.3.1 Client-Side Protocol . . . . . . . . . . . . . . . . . . .
5.2.3.2 Server-Side Protocol . . . . . . . . . . . . . . . . . . .
5.2.4 The TIRAN Backbone . . . . . . . . . . . . . . . . . . . . . . .
5.2.4.1 The Algorithm of Mutual Suspicion . . . . . . . . . . .
5.2.4.2 The α-Count Fault Identification Mechanism . . . . . .
5.2.5 The TIRAN Time-Out Manager . . . . . . . . . . . . . . . . . .
The A RIEL Configuration and Recovery Language . . . . . . . . . . . .
5.3.1 General Characteristics of ARIEL . . . . . . . . . . . . . . . . .
5.3.2 ARIEL as a Configuration Language . . . . . . . . . . . . . . . .
5.3.2.1 System and Application Parameters . . . . . . . . . . .
5.3.2.2 Backbone Parameters . . . . . . . . . . . . . . . . . .
5.3.2.3 Basic Tools . . . . . . . . . . . . . . . . . . . . . . .
5.3.2.4 Configuring Multiple-Version Software Fault-Tolerance
5.3.3 ARIEL as a Recovery Language . . . . . . . . . . . . . . . . . .
5.3.3.1 Compile-time Support for Error-Recovery . . . . . . .
5.3.3.2 The ARIEL Recovery Interpreter . . . . . . . . . . . .
Conclusions . . . . . . . . . . . . . . . . . . . . . . . . . . . . . . . . .

Using the Recovery Language Approach
6.1 A Case Study: The Siemens Integrated Mail Processor
6.1.1 Automatic Mail Sorting Machines . . . . . . .
6.1.2 Hardware Structure . . . . . . . . . . . . . . .
6.1.3 Software Structure . . . . . . . . . . . . . . .
6.1.4 Design Requirements . . . . . . . . . . . . . .
6.1.5 Results Obtained and Lessons Learned . . . .
6.2 Enhancement of a TIRAN Dependable Mechanism . .
6.2.1 Configuration . . . . . . . . . . . . . . . . . .
6.2.2 Recovery . . . . . . . . . . . . . . . . . . . .
6.2.3 Lessons learned . . . . . . . . . . . . . . . . .
6.3 The Recovery Language Approach at ENEL . . . . . .
6.3.1 General Context and Motivations . . . . . . .
6.3.2 The ENEL Pilot Application . . . . . . . . . .
6.3.3 Dependability Requirements . . . . . . . . . .
6.3.4 Description of the Case Study . . . . . . . . .
6.3.5 Lessons Learned . . . . . . . . . . . . . . . .
6.4 The Redundant Watchdog . . . . . . . . . . . . . . . .
6.4.1 The Strategy and Its Key Components . . . . .
6.4.2 Lessons Learned . . . . . . . . . . . . . . . .
6.5 Conclusions . . . . . . . . . . . . . . . . . . . . . . .

.
.
.
.
.
.
.
.
.
.
.
.
.
.
.
.
.
.
.
.

.
.
.
.
.
.
.
.
.
.
.
.
.
.
.
.
.
.
.
.

.
.
.
.
.
.
.
.
.
.
.
.
.
.
.
.
.
.
.
.

.
.
.
.
.
.
.
.
.
.
.
.
.
.
.
.
.
.
.
.

.
.
.
.
.
.
.
.
.
.
.
.
.
.
.
.
.
.
.
.

.
.
.
.
.
.
.
.
.
.
.
.
.
.
.
.
.
.
.
.

.
.
.
.
.
.
.
.
.
.
.
.
.
.
.
.
.
.
.
.

.
.
.
.
.
.
.
.
.
.
.
.
.
.
.
.
.
.
.
.

.
.
.
.
.
.
.
.
.
.
.
.
.
.
.
.
.
.
.
.

.
.
.
.
.
.
.
.
.
.
.
.
.
.
.
.
.
.
.
.

.
.
.
.
.
.
.
.
.
.
.
.
.
.
.
.
.
.

.
.
.
.
.
.
.
.
.
.
.
.
.
.
.
.
.
.
.
.

.
.
.
.
.
.
.
.
.
.
.
.
.
.
.
.
.
.

.
.
.
.
.
.
.
.
.
.
.
.
.
.
.
.
.
.
.
.

.
.
.
.
.
.
.
.
.
.
.
.
.
.
.
.
.
.

.
.
.
.
.
.
.
.
.
.
.
.
.
.
.
.
.
.
.
.

.
.
.
.
.
.
.
.
.
.
.
.
.
.
.
.
.
.

68
70
70
72
73
75
77
79
79
80
80
83
85
85
88
92
94
97

.
.
.
.
.
.
.
.
.
.
.
.
.
.
.
.
.
.
.
.

99
100
100
102
102
102
104
105
107
108
111
112
112
113
114
115
118
118
118
121
121
iv
7

8

CONTENTS
Analysis and Simulations
7.1 Reliability Analysis . . . . . . . . . . . . . . . . . . . . . . . . .
7.1.1 Using ARIEL to Manage Spares . . . . . . . . . . . . . .
7.1.2 Using the α-count Feature . . . . . . . . . . . . . . . . .
7.2 Performance Analysis . . . . . . . . . . . . . . . . . . . . . . . .
7.2.1 Analysis of the Gossiping Service . . . . . . . . . . . . .
7.2.1.1 Formal Model . . . . . . . . . . . . . . . . . .
7.2.1.2 Discussion . . . . . . . . . . . . . . . . . . . .
7.2.1.3 Conclusions . . . . . . . . . . . . . . . . . . .
7.2.2 Performance of the TIRAN tools . . . . . . . . . . . . . .
7.2.2.1 Performance of the TIRAN BB . . . . . . . . .
7.2.2.2 Performance of the TIRAN TOM . . . . . . . .
7.2.2.3 Performance of the TIRAN Recovery Interpreter
7.2.2.4 Performance of the Distributed Voting Tool . . .
7.3 Coding Effort . . . . . . . . . . . . . . . . . . . . . . . . . . . .
7.4 Conclusions . . . . . . . . . . . . . . . . . . . . . . . . . . . . .
Open Challenges and Conclusions
8.1 Open Challenges and Research Problems . . . . . . . .
8.1.1 A RεL Architecture for High Adaptability . . . .
8.1.2 Extending RεL to Unlimited Distributed Systems
8.1.3 Other Research Paths . . . . . . . . . . . . . . .
8.2 Conclusions . . . . . . . . . . . . . . . . . . . . . . . .
8.2.1 Key Lessons Learned . . . . . . . . . . . . . . .
8.2.2 Contributions . . . . . . . . . . . . . . . . . . .

A Mathematical Details
A.1 Mathematical Details Related to Eq. 7.2
A.2 Mathematical Details Related to Eq. 7.4
A.3 Proofs of Propositions of Sect. 7.2.1 . .
A.3.1 Proof of Proposition 1 . . . . .
A.3.2 Proof of Proposition 2 . . . . .
A.3.3 Proof of Lemma 1 . . . . . . .
A.3.4 Proof of Proposition 3 . . . . .
A.3.5 Proof of Proposition 4 . . . . .
A.3.6 Proof of Proposition 5 . . . . .
A.3.7 Proof of Proposition 6 . . . . .
A.3.8 Proof of Proposition 7 . . . . .

.
.
.
.
.
.
.
.
.
.
.

.
.
.
.
.
.
.
.
.
.
.

.
.
.
.
.
.
.
.
.
.
.

.
.
.
.
.
.
.
.
.
.
.

.
.
.
.
.
.
.
.
.
.
.

.
.
.
.
.
.
.
.
.
.
.

.
.
.
.
.
.
.
.
.
.
.

.
.
.
.
.
.
.
.
.
.
.

.
.
.
.
.
.
.
.
.
.
.

.
.
.
.
.
.
.

.
.
.
.
.
.
.
.
.
.
.

.
.
.
.
.
.
.

.
.
.
.
.
.
.
.
.
.
.

.
.
.
.
.
.
.

.
.
.
.
.
.
.
.
.
.
.

.
.
.
.
.
.
.

.
.
.
.
.
.
.
.
.
.
.

.
.
.
.
.
.
.

.
.
.
.
.
.
.
.
.
.
.

.
.
.
.
.
.
.
.
.
.
.
.
.
.
.

.
.
.
.
.
.
.

.
.
.
.
.
.
.
.
.
.
.

.
.
.
.
.
.
.
.
.
.
.
.
.
.
.

.
.
.
.
.
.
.

.
.
.
.
.
.
.
.
.
.
.

.
.
.
.
.
.
.
.
.
.
.
.
.
.
.

.
.
.
.
.
.
.

.
.
.
.
.
.
.
.
.
.
.

.
.
.
.
.
.
.
.
.
.
.
.
.
.
.

.
.
.
.
.
.
.

.
.
.
.
.
.
.
.
.
.
.

.
.
.
.
.
.
.
.
.
.
.
.
.
.
.

.
.
.
.
.
.
.

.
.
.
.
.
.
.
.
.
.
.

.
.
.
.
.
.
.
.
.
.
.
.
.
.
.

.
.
.
.
.
.
.

.
.
.
.
.
.
.
.
.
.
.

.
.
.
.
.
.
.
.
.
.
.
.
.
.
.

.
.
.
.
.
.
.

.
.
.
.
.
.
.
.
.
.
.

.
.
.
.
.
.
.
.
.
.
.
.
.
.
.

123
123
123
125
126
127
128
131
139
139
139
140
142
142
143
144

.
.
.
.
.
.
.

145
145
145
146
147
148
148
149

.
.
.
.
.
.
.
.
.
.
.

151
151
153
154
154
154
157
158
158
159
159
160

B The TIRAN Time-Out Manager
161
B.1 The Architecture of the TOM System . . . . . . . . . . . . . . . . . . . . . . . 161
B.2 Client-Side Protocol . . . . . . . . . . . . . . . . . . . . . . . . . . . . . . . . . 161
B.3 Server-Side Protocol . . . . . . . . . . . . . . . . . . . . . . . . . . . . . . . . 163
CONTENTS
B.3.1

Insertion . . . . . . . . . . . . . .
B.3.1.1 Insertion on Top . . . . .
B.3.1.2 Insertion in the Middle .
B.3.1.3 Insertion at the End . . .
B.3.2 Deletion . . . . . . . . . . . . . . .
B.3.2.1 Deletion from the Top . .
B.3.2.2 Deletion from the Middle
B.3.2.3 Deletion from the End . .
B.4 Real-Time Support . . . . . . . . . . . . .
B.4.1 Best Case Scenario . . . . . . . . .
B.4.2 Worst Case Scenario . . . . . . . .

v
.
.
.
.
.
.
.
.
.
.
.

.
.
.
.
.
.
.
.
.
.
.

.
.
.
.
.
.
.
.
.
.
.

.
.
.
.
.
.
.
.
.
.
.

.
.
.
.
.
.
.
.
.
.
.

.
.
.
.
.
.
.
.
.
.
.

.
.
.
.
.
.
.
.
.
.
.

.
.
.
.
.
.
.
.
.
.
.

.
.
.
.
.
.
.
.
.
.
.

.
.
.
.
.
.
.
.
.
.
.

.
.
.
.
.
.
.
.
.
.
.

.
.
.
.
.
.
.
.
.
.
.

.
.
.
.
.
.
.
.
.
.
.

.
.
.
.
.
.
.
.
.
.
.

.
.
.
.
.
.
.
.
.
.
.

.
.
.
.
.
.
.
.
.
.
.

.
.
.
.
.
.
.
.
.
.
.

.
.
.
.
.
.
.
.
.
.
.

.
.
.
.
.
.
.
.
.
.
.

.
.
.
.
.
.
.
.
.
.
.

164
164
165
165
165
165
166
166
166
168
169

C The Grammar of ARIEL

171

References

177
vi

CONTENTS
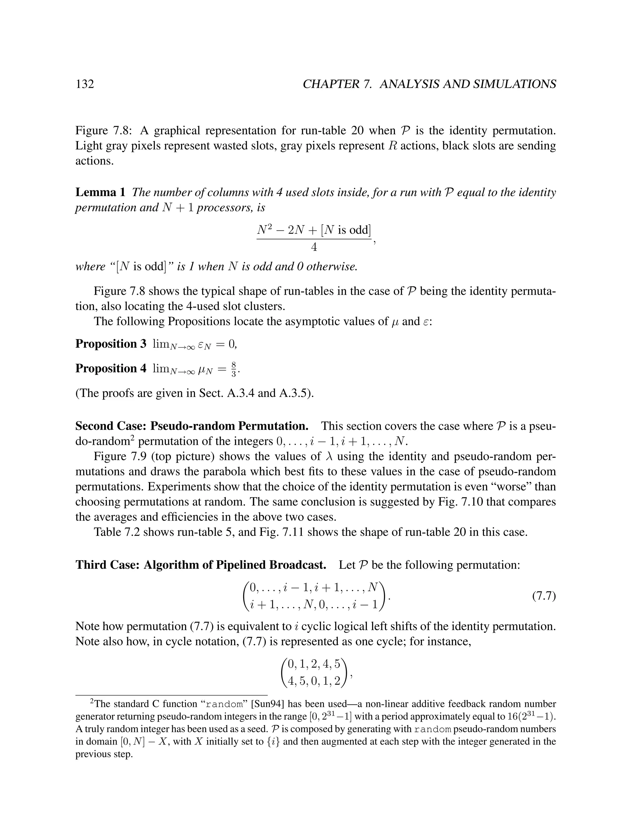
Chapter 1
Introduction
The central topic of this dissertation is the system structure for expressing fault-tolerance provisions in the application layer of a computer program. The lack of a simple and coherent system
structure for software fault-tolerance engineering, capable to offer the designer effective support
towards fulfilling goals such as maintainability, re-usability, and service portability of the faulttolerant software, has been the main motivation for starting this work. It addresses the class
of distributed applications, written in a procedural language, to be executed on distributed or
parallel computers consisting of a set of processing nodes known at compile time.
This chapter presents the scenario of application-level fault-tolerance engineering. A summary of the main contributions and the structure of this work are finally presented.

1.1

Rationale and Thesis

This section first justifies the need of application-level fault-tolerance (ALFT) as a consequence
of the crucial role and of the complexity of modern computing systems and of software in particular. The requirements, impairments, and key properties of ALFT are then introduced. Finally,
the thesis of this dissertation is enunciated.

1.1.1

The Need for Application-Level Fault-Tolerance

1.1.1.1

A Need for Fault-Tolerance

No man conceived tool in human history has ever permeated as many aspects of human life as
the computer has done during the last half a century. An outstanding aspect of this success is
certainly given by the overwhelming increase in its performance, though probably the most important one is the growth in complexity and crucial character of the roles nowadays assigned to
computers—human society more and more expects and relies on good quality of complex services supplied by computers. More and more these services become vital, in the sense that lack of
timely delivery ever more often can have immediate consequences on capitals, the environment,
and even human lives.
1
2

CHAPTER 1. INTRODUCTION

In other words, if in the early days of modern computing it was to some extent acceptable
that outages and wrong results occurred rather often1 , being the main role of computers basically
that of a fast solver of numerical problems, the criticality associated with many tasks nowadays
appointed to computers does require high values for properties such as availability and data
integrity. This happens because the magnitude of consequences associated with a failure has
constantly increased, to the point that now, with computers controlling nuclear plants, airborne
equipment, health care systems and so forth, a computer failure may likely turn into a catastrophe,
in the sense that its associated penalty can be incalculable [HLKC99].
As a consequence, with the growth in complexity and criticality, it has become evident how
important it is to adopt techniques for assessing and enhancing, in a justifiable way, the reliance
to be placed on the services provided by computer systems, together with those techniques aiming at avoiding the risks associated with computer failures, or, at least, at bounding the extent
of their consequences. The work reported herein deals in particular with fault-tolerance, that
is, on how to ensure a service up to fulfilling the system’s function even in the presence of
“faults” [Lap98], namely, events having their origin inside or outside the system boundaries and
possibly introducing unexpected deviations of the system state.
1.1.1.2

A Need for Software Fault-Tolerance

Research in fault-tolerance concentrated for many years on hardware fault-tolerance, i.e., on
devising a number of effective and ingenious hardware structures to cope with faults [Joh89].
For some time this approach was considered as the only one needed in order to reach the requirements of availability and data integrity demanded by nowadays complex computer services.
Probably the first researcher who realized that this was far from being true was B. Randell who in
1975 [Ran75] questioned hardware fault-tolerance as the only approach to pursue—in the cited
paper he states:
“Hardware component failures are only one source of unreliability in computing
systems, decreasing in significance as component reliability improves, while software faults have become increasingly prevalent with the steadily increasing size and
complexity of software systems.”
Indeed most of the complexity supplied by modern computing services lies in their software
rather than in the hardware layer [Lyu98a, Lyu98b, HK95, Wie93, Ran75]. This state of things
could only be reached by exploiting a powerful conceptual tool for managing complexity in a
flexible and effective way, i.e., devising hierarchies of sophisticated abstract machines [Tan90].
This translates in implementing software with high-level computer languages lying on top of
other software strata—the device drivers layers, the basic services kernel, the operating system,
the run-time support of the involved programming languages, and so forth.
1

This excerpt from a report on the ENIAC activity [Wei61] gives an idea of how dependable computers were
in 1947: “power line fluctuations and power failures made continuous operation directly off transformer mains an
impossibility [. . . ] down times were long; error-free running periods were short [. . . ]”. After many considerable
improvements, still “trouble-free operating time remained at about 100 hours a week during the last 6 years of the
ENIAC’s use”, i.e., an availability of about 60%!
1.1. RATIONALE AND THESIS

3

Partitioning the complexity into stacks of software layers allowed the implementor to focus
exclusively on the high-level aspects of their problems, and hence it allowed to manage a larger
and larger degree of complexity. But though made transparent, still this complexity is part of
the overall system being developed. A number of complex algorithms are executed by the hardware at the same time, resulting in the simultaneous progress of many system states—under the
hypothesis that no involved abstract machine nor the actual hardware be affected by faults. Unfortunately, as in real life faults do occur, the corresponding deviations are likely to jeopardise
the system’s function, also propagating from one layer to the other, unless appropriate means are
taken to avoid in the first place, or to remove, or to tolerate these faults. In particular, faults may
also occur in the application layer, that is, in the abstract machine on top of the software hierarchy2 . These faults, possibly having their origin at design time, or during operation, or while
interacting with the environment, are not different in the extent of their consequences from those
faults originating, e.g., in the hardware or the operating system.
An efficacious argument to bring evidence to the above statement is the case of the so-called
“millennium bug”, i.e., the most popular class of design faults that ever showed up in the history
of computing technologies, also known as “the year 2000 problem”, or as “Y2K”: most of the
software still in use today was developed using a standard where dates are coded in a 6-digit
format. According to this standard, two digits were considered as enough to represent the year.
Unfortunately this translates into the impossibility to distinguish, e.g., year 2000 from year 1900,
which was recently recognised as the possible cause of an unpredictably large number of failures
when calculating time elapsed between two calendar dates, as for instance year 1900 was not
a leap year while year 2000 is. The adoption of the above mentioned standard for representing
dates resulted in a hidden, forgotten design fault, never considered nor tested by application
programmers. As society got closer and closer to the year 2000, the unaware presence of this
design fault became a nightmare that seemed to jeopardise many crucial functions of our society
appointed to programs manipulating calendar dates, such us utilities, transportation, health care,
communication, public administration. Luckily the expected many and possibly crucial system
failures due to this one application-level fault [HLKC99] were not so many and not that crucial,
though probably for the first time the whole society became aware of the extent of the relevance
of dependability in software.
These facts and the above reasoning suggest that, the higher the level of abstraction, the
higher the complexity of the algorithms into play and the consequent error proneness of the
involved (real or abstract) machines. As a conclusion, full tolerance of faults and complete fulfilment of the dependability design goals of a complex software application must include means
to avoid, remove, or tolerate faults working at all levels, including the application layer.
1.1.1.3

Software Fault-Tolerance in the Application Layer

The need of software fault-tolerance provisions, located in the application layer, is supported by
studies that showed that the majority of failures experienced by nowadays computer systems are
due to software faults, including those located in the application layer [Lyu98a, Lyu98b, Lap98];
2

In what follows, the application layer is to be intended as the programming and execution context in which a
complete, self-contained program that performs a specific function directly for the user is expressed or is running.
4

CHAPTER 1. INTRODUCTION

for instance, NRC reported that 81% of the total number of outages of US switching systems in
1992 were due to software faults [NRC93]. Moreover, nowadays application software systems
are increasingly networked and distributed. Such systems, e.g., client-server applications, are
often characterised by a loosely coupled architecture whose global structure is in general more
prone to failures3 . Due to the complex and temporal nature of interleaving of messages and
computations in distributed software systems, no amount of verification, validation and testing
can eliminate all faults in an application and give complete confidence in the availability and data
consistency of applications of this kind [HK95]. Under these assumptions, the only alternative
(and effective) means for increasing software reliability is that of incorporating in the application
software provisions of software fault-tolerance [Ran75].
Another argument that justifies the addition of software fault-tolerance means in the application layer is given by the widespread adoption of object orientation. Many object-oriented
applications are indeed built from reusable components the sources of which are unknown to
the application developers. The object abstraction fostered the capability of dealing with higher
levels of complexity in software and at the same time eased and therefore encouraged software
reuse. This has a big, positive impact on development costs though translates the application in
a sort of collection of reused, pre-existing objects made by third parties. The reliability of these
components and therefore their impact on the overall reliability of the user application is often
unknown, to the point that Grey defines as “art” creating reliable applications using off-the-shelf
software components [Gre97]. The case of the Ariane 501 flight is a well-known example that
shows how improper reuse of software may have severe consequences4 [Inq96].
Though probably the most convincing reasoning for not excluding the application layer from
a fault-tolerance strategy is the so-called “end-to-end argument”, a system design principle introduced by Saltzer, Reed and Clark [SRC84]. This principle states that, rather often, functions
such as reliable file transfer, can be completely and correctly implemented only with the knowledge and help of the application standing at the endpoints of the underlying system (for instance,
the communication network).
This does not mean that everything should be done at the application level—fault-tolerance
3

As Leslie Lamport efficaciously synthesised in his quotation, “a distributed system is one in which I cannot get
something done because a machine I’ve never heard of is down”.
4
Within the Ariane 5 programme, it was decided to reuse the long-tested software used in the Ariane 4 programme. Such software had been thoroughly tested and was compliant to Ariane 4 specifications. Unfortunately,
specifications for Ariane 5 were different—in particular, they stated that the launcher had a trajectory characterised
by considerably higher horizontal velocity values. A dormant design fault, related to an overflow while casting a
64-bit floating point value representing horizontal velocity to a 16-bit signed integer was never unravelled simply
because, given the moderate horizontal velocity values of Ariane 4, such an overflow would have never occurred.
Reusing this same software, including the routine affected by this dormant design fault, in both the primary and the
active backup Inertial Reference Systems that were in use in the Ariane 5 flight 501 the morning of 4 June 1996,
triggered almost at the same time the failure of two Inertial Reference Systems. Diagnostic information produced by
that component was then interpreted as correct flight information, making the launcher veer off its flight path, then
initiate a self-destruction procedure, and eventually explode. It is worth mentioning that the faulty routine served an
Ariane 4 specific functionality, that was of no use in Ariane 5. It had been nevertheless included in order to reuse
exactly the same software adopted in the previous programme. Such a software was indeed considered design fault
free. This failure entailed a loss of about 1.9 billion French francs (approximately 0.37 billion Euros) and a delay of
about one year for the Ariane 5 programme [Le 96].
1.1. RATIONALE AND THESIS

5

strategies in the underlying hardware and operating system can have a strong impact on the
system’s performance. However, an extraordinarily reliable communication system, that guarantees that no packet is lost, duplicated, or corrupted, nor delivered to the wrong addressee, does
not reduce the burden of the application program to ensure reliability: for instance, for reliable
file transfer, the application programs that perform the transfer must still supply a file-transferspecific, end-to-end reliability guarantee.
Hence one can conclude that:
Pure hardware-based or operating system-based solutions to fault-tolerance, though
often characterised by a higher degree of transparency, are not fully capable of providing complete end-to-end tolerance to faults in the user application. Furthermore,
relying solely on the hardware and the operating system develops only partially satisfying solutions; requires a large amount of extra resources and costs; and is often
characterised by poor service portability [SRC84, SS92].

1.1.2

Strategies, Problems, and Key Properties

The above conclusions justify the strong need for ALFT; as a consequence of this need, several
approaches to ALFT have been devised during the last three decades (see Chapter 3 for a brief
survey). Such a long research period hints at the complexity of the design problems underlying
ALFT engineering, which include:
1. How to incorporate fault-tolerance in the application layer of a computer program.
2. Which fault-tolerance provisions to support.
3. How to manage the fault-tolerance code.
Problem 1 is also known as the problem of the system structure to software fault-tolerance,
first proposed by B. Randell in 1975 [Ran75]. It states the need of appropriate structuring techniques such that the incorporation of a set of fault-tolerance provisions in the application software
might be performed in a simple, coherent, and well structured way. Indeed, poor solutions to this
problem result in a huge degree of code intrusion: in such cases, the application code that addresses the functional requirements and the application code that addresses the fault-tolerance
requirements are mixed up into one large and complex application software.
• This greatly complicates the task of the developer and requires expertise in both the application domain and in fault-tolerance. Negative repercussions on the development times
and costs are to be expected.
• The maintenance of the resulting code, both for the functional part and for the faulttolerance provisions, is more complex, costly, and error prone.
• Furthermore, the overall complexity of the software product is increased—which is detrimental to its resilience to faults.
6

CHAPTER 1. INTRODUCTION

One can conclude that, with respect to the first problem, an ideal system structure should guarantee an adequate Separation between the functional and the fault-tolerance Concerns (SC).
Moreover, the design choice of which fault-tolerance provisions to support can be conditioned by the adequacy of the syntactical structure at “hosting” the various provisions. The
well-known quotation by B. L. Whorf efficaciously captures this concept:
“Language shapes the way we think, and determines what we can think about”:
Indeed, as explained in Sect. 2.2, a non-optimal answer to Problem 2 may
• require a high degree of redundancy, and
• rapidly consume large amounts of the available redundancy,
which at the same time would increase the costs and reduce the reliability. One can conclude that,
devising a syntactical structure offering straightforward support to a large set of fault-tolerance
provisions, can be an important aspect of an ideal system structure for ALFT. In the following
this property will be called Syntactical Adequacy (SA).
Finally, one can observe that another important aspect of an ALFT architecture is the way
the fault-tolerance code is managed, at compile time as well as at run time. Evidence to this
statement can be brought by observing the following facts:
• A number of important choices pertaining to the adopted fault-tolerance provisions, such
as the parameters of a temporal redundancy scheme, are a consequence of an analysis of
the environment in which the application is to be deployed and is to run5 . In other words,
depending on the target environments, the set of (external) impairments that might affect
the application can vary considerably (see Chapter 2). Now, while it may be in principle
straightforward to port an existing code to an other computer system, porting the service
supplied by that code may require a proper adjustment of the above mentioned choices,
namely the parameters of the adopted provisions. Effective support towards the management of the parametrisation of the fault-tolerance code and, in general, of its maintenance,
could guarantee fault-tolerance software reuse.
• The dynamic (run-time) adaptation of the fault-tolerance code and of its parameters would
allow the application to stand also unexpected changes in the environment, such as an
increase of temperature triggered by a failure of the cooling system. These events may
trigger unexpected faults. Furthermore, the ever increasing diffusion of mobile software
components, coupled with the increasing need for dependability, will require more and
more the capability to guarantee an agreed quality of service even when the environment
changes during the run-time because of mobility.
5

For instance, if an application is to be moved from a domestic environment to another one characterised by
an higher electro-magnetic interference (EMI), it is reasonable to assume that, e.g., the number of replicas of some
protected resource should be increased accordingly.
1.1. RATIONALE AND THESIS

7

Therefore, the off-line as well as on-line (dynamic) management of the fault-tolerance provisions
and of their parameters may be an important requirement for any satisfactory solution of Problem
3. As further motivated in Sect. 2.2, ideally, the fault-tolerance code should adapt itself to
the current environment. Furthermore, any satisfactory management scheme should not overly
increase the complexity of the application—which would be detrimental to dependability. Let us
call this property Adaptability (A).
Let us refer collectively to properties SC, SA and A as to the structural attributes of ALFT.
The various approaches to ALFT surveyed in Chapter 3 provide different system structures
to solve the above mentioned problems. The three structural attributes are used in that chapter in
order to provide a qualitative assessment with respect to various application requirements. The
structural attributes constitute, in a sense, a base with whom to perform this assessment. One of
the major conclusions of that survey is that none of the surveyed approaches is capable to provide the best combination of values of the three structural attributes in every application domain.
For specific domains, such as object-oriented distributed applications, satisfactory solutions have
been devised at least for SC and SA, while only partial solutions exist, for instance, when dealing
with the class of distributed or parallel applications not based on the object model. An example of the applications in this class is given by GLIMP (gray level image processing package),
embedded in the Siemens Integrated Mail Processor, and discussed in Sect. 6.1.
The above matter of facts has been efficaciously captured by Lyu, who calls this situation
“the software bottleneck” of system development [Lyu98b]: in other words, there is evidence of
an urgent need for systematic approaches to assure software reliability within a system [Lyu98b]
while effectively addressing the above problems. In the cited paper, Lyu remarks how “developing the required techniques for software reliability engineering is a major challenge to computer
engineers, software engineers and engineers of related disciplines”.

1.1.3

Thesis of the Dissertation

As in a formal proof the theoretician finds it a useful conceptual tool to separate the special case
from the normal one (following the divide et impera design principle), likewise it is reasonable
to assume that the designer of a fault-tolerant software system could take great advantage from
dividing the non-faulty case from the specification and the management of the strategy to adopt
when faults do occur. The above observation brings us to the thesis of this dissertation:
It is possible to reach satisfactory values for the structural attributes, at least in the
domain of soft real-time, distributed and parallel applications, by means of a faulttolerance linguistic structure that realises a distinct, secondary, programming and
processing context, directly addressable from the application layer.
This statement is proved by describing and assessing a software system developed by the
author of this dissertation in the framework of his participation to the ESPRIT-IV project 21012
“EFTOS” (Embedded Fault-TOlerant Supercomputing) [DDFLV97, EVM+ 98, DVB+ 97] and to
the ESPRIT-IV project 28620 “TIRAN” (TaIlorable fault-toleRANce frameworks for embedded
applications) [BDFD+ 99, BDFD+ 00]. Using this system, the bulk of the strategy to cope with
8

CHAPTER 1. INTRODUCTION

errors needs to be expressed by the user in a “recovery script”, conceptually as well physically
distinct from the functional application layer. Such script is to be written in a so-called “recovery
language”, i.e., a specialised linguistic structure devoted to the management of the fault-tolerance
strategies, which allows to express scenarios of isolation, reconfiguration, and recovery. These
scenarios take place by referencing symbolic representations of the processing nodes, of the
application tasks, and of user-defined groups of tasks.
Basic characteristics of this system are the separation of the functional code from the code
addressing error recovery strategies, both at design time and during the execution of the application. The developer can modify the parameters of the fault-tolerance provisions, or even set
up diverse fault-tolerance strategies with no modifications in the application part, and vice-versa,
which allows to tackle more easily and effectively any of the two fronts. This can result in a better maintainability of the target fault-tolerant application and in support for reaching portability
of the service when moving the application to other unfavourable environments. Dynamic management of the fault-tolerance code can also be attained, thanks to the strict separation between
the functional and the fault-tolerance aspects.

1.2

Structure and Contributions

Section 1.1 provides the elements of ALFT and introduces the concept of structural attributes
of ALFT—an original contribution of the author. The rest of this dissertation is structured as
follows:
Chapter 2 is an introduction to the subject of computer dependability. The aim of this chapter
is to give the reader a concise but formal definition of concepts and key words already
used, informally, in this section. For this sake, the Laprie model of dependability is briefly
presented. In particular, dependability is characterised as a collective property:
• described by a set of sub-properties or basic attributes,
• affected by a set of impairments, and
• improved by the adoption of a number of techniques.
The chapter also states the problem of managing the trade off between the benefits of
adaptable (dynamic) dependable strategies and the additional complexity required by the
adoption of these strategies, which is inherently detrimental to dependability. The formulation of this problem is a contribution of the author.
Chapter 3 reviews six categories of design approaches for software fault-tolerance in the application layer, namely, single-version and multiple-version software fault-tolerance; the
adoption of metaobject protocols; the embedding of fault-tolerance into a high-level programming language (language approach); a structuring technique called aspect-oriented
programming; and an approach called recovery meta-program. Each category is qualitatively assessed, with respect to the structural attributes introduced in Sect. 1.1.2, for various
1.2. STRUCTURE AND CONTRIBUTIONS

9

application domains. Positive and negative aspects of the “evolutionary” approaches with
respect to the “revolutionary” ones are remarked.
Two conjectures are proposed in this chapter. The first one is that the coexistence of two
separate though cooperating layers for the functional and the fault-tolerance aspects may
allow to get the best of both the evolutionary and the revolutionary classes of approaches.
The second conjecture is that a satisfactory solution to the design problem of the management of the fault-tolerance code may translate into an optimal management of the faulttolerance provisions with respect to varying environmental conditions.
Survey, conjectures and ideas in this chapter are original contributions of the author of this
dissertation.
Chapter 4 describes the elements of a novel system structure for ALFT, which has been called
“the recovery language approach”. Main contributions in this chapter are:
• The system, application, and fault models.
• The basic ideas of the novel approach.
• An abstract architecture compliant to the approach.
This chapter also draws a workflow diagram of the approach and reports on the specific
differences between the recovery language approach and the ALFT approaches discussed
in Chapter 3. Finally, the specific limitations of the novel approach are discussed.
The conception of this new approach and the other ideas presented in this chapter are
original contributions of the author of this dissertation.
Chapter 5 presents a prototype implemented in the framework of the ESPRIT projects 21012
“EFTOS” and 28620 “TIRAN”. This software system is one of the main results of the
above mentioned ESPRIT projects, the latter of which is also briefly presented in this
chapter. It also introduces the ARIEL recovery and configuration language and describes its
relations with the architectural entities outlined in Chapter 4 and with the system structures
described in Chapter 3. Once again, the basis for these comparisons are the structural
attributes of ALFT.
The main contributions of the author while taking part in these two projects have been
the concept of recovery and configuration language and the design and development of
this prototypic implementation and of most of of its core components, such as, e.g., the
distributed application serving as a backbone and coordinating the activities of a set of
basic tools for error detection, isolation, and recovery. The work of the author in this
context includes also the design and development of ARIEL. This translated in:
• The choice of a number of fault-tolerance provisions.
• The design and implementation of these provisions.
• The design of a linguistic structure to host the above mechanisms in a coherent and
effective way.
10

CHAPTER 1. INTRODUCTION
• The development of the above structure and its inclusion in the grammar of ARIEL.
• The development of a run-time executive for the execution of ARIEL programs.

Chapter 6 provides an example of how to make use of the recovery language approach in order
to develop or to enhance dependable mechanisms with minimal code intrusion. Four cases
are described: the GLIMP software, embedded into the Siemens integrated mail processor;
the redundant watchdog timer designed at ENEL; an N -version programming executive
developed using ARIEL as both a configuration tool and a recovery language and using the
TIRAN framework. Finally, the current use of the recovery language approach at ENEL is
explained.
The case studies described in this chapter have been co-designed by the author.
Chapter 7 describes a number of results obtained via reliability and performance analysis and
via measurements during simulations. Key properties evaluated in this chapter are reliability (assessed via Markov models), performance (analysed within a formal, discrete time
model), and costs (both development and maintenance costs; the limited code intrusion as
well as the compact size of the related ARIEL script are used as arguments to show the
higher degree of maintainability and service portability offered by the approach).
All the models, analyses, and simulations in this chapter have been devised and carried out
by the author of this dissertation.
Chapter 8 concludes this dissertation. The conjectures drawn in the preceeding chapters are reviewed and justified in the light of the facts discussed throughout the dissertation. A number of possible evolutions and improvements are presented. In particular, a structure for
the adaptable management of the fault-tolerance code is sketched. It is also suggested how,
making use of that structure, dynamic management of libraries of fault-tolerance “applets”
may be used to set up movable components adapting themselves to varying environmental
conditions with no need to recompile the code. A detailed listing of the contributions of
the author concludes this work.
Chapter 2
The Laprie Model of Dependability
This chapter briefly introduces the basic concepts and terminology adopted in this dissertation.
The central topic herein presented is dependability, defined as the trustworthiness of a computer system such that reliance can justifiably be placed on the service it delivers. In this context,
service means the behaviour of that system as perceived by its users;
user means another system, e.g., a human being, or a physical device, or a computer application,
interacting with the former one.
The concept of dependability as described herein was first introduced by J.-C. Laprie [Lap85]
as a contribution to an effort by IFIP Working Group 10.4 (Dependability and Fault-Tolerance)
aiming at the establishment of a standard framework and terminology for discussing reliable and
fault-tolerant systems. The cited paper and other works by Laprie are the main sources for this
survey—in particular [Lap92], later revised as [Lap95] and eventually as [Lap98].

2.1

The Dependability Tree

A precise and complete characterisation of dependability is given
1. by enumerating its basic properties or attributes,
2. by explaining what phenomena constitute potential impairments to it, and
3. by reviewing the scientific disciplines and the techniques that can be adopted as means for
improving dependability.
Attributes, impairments, and means can be globally represented into one picture as a tree, traditionally called the dependability tree [Lap95] (see Fig. 2.1).

Figure 2.1: The dependability tree
11
12

CHAPTER 2. THE LAPRIE MODEL OF DEPENDABILITY

2.1.1

Attributes of Dependability

As already mentioned, dependability is a general concept that embraces a number of different
properties. These properties correspond to different viewpoints from which the user perceives
the quality of the offered service—in other words, for different users there will be in general
different key properties corresponding to a positive assessment for the service:
• the property that addresses the readiness for usage, that has been termed as availability,
• the property that measures the continuity of service delivery, that has been termed reliability,
• the property expressing the reliance on the non-occurrence of events with catastrophic
consequences on the environment, known as safety,
• the property that measures the reliance on the non-occurrence of unauthorised disclosure
of information, i.e., confidentiality,
• the property that measures the reliance on the non-occurrence of improper alterations of
information, that has been called integrity,
• the property that expresses the ability to undergo repairs and upgrades, that has been called
maintainability.
These properties qualify dependability, and therefore are known as its attributes [Lap95]. A
special combination of these attributes has been termed as security and defined as the conjoint
requirement for integrity, availability, and confidentiality.
A more formal definition exists for most of the above properties. Section 2.1.2 formally
defines those attributes and quantities that are more pertaining to the rest of this dissertation,
including availability, reliability, and maintainability.

2.1.2

Formal Definitions

This section defines a number of important measures of the quality of service of a system, including three of the attributes presented in 2.1.1 that are most relevant in what follows.
2.1.2.1

Reliability

Reliability is defined as follows:
R(t0 , t) = P {correct[t0 , t] | correct[t0 , t0 ]},
where “correct x” represents the event “the system provides its service during time interval x”,
and R(t0 , t) is the conditional probability that the system will perform correctly throughout the
interval [t0 , t], given that the system was performing correctly at time t0 [Joh89]. Time t0 is
2.1. THE DEPENDABILITY TREE

13

usually omitted and taken as the current time. The general notation for reliability is therefore
R(t).
The negative counterpart of reliability, unreliability, is defined as Q(t) = 1 − R(t), and
represents the conditional probability that the system will perform incorrectly during the interval
[t0 , t], given that the system was performing correctly at time t0 . Unreliability is also known as
the probability of failure, and quantity
fail(t) =

dQ(t)
dt

is the failure density function.
If the failure rate λ of a system is assumed to be fixed, i.e., if the expected number of failures
per a given period of time can be considered as constant, as it happens in the “useful life period”
of electronic equipment, then it is possible to show [Joh89] that
R(t) = exp−λt .
The above equation is known as the exponential failure law.
2.1.2.2

Mean Time To Failure, Mean Time To Repair, and Mean Time Between Failures

Mean Time to Failure (MTTF) is defined as the expected time that a system will operate before
the occurrence of its first failure. More formally, it is the expected value of the time of failure,
or, from probability theory,
∞

∞

MTTF =

t fail(t) dt =
−∞

0

dQ(t)
dt =
t
dt

∞

R(t) dt.
0

If reliability obeys the exponential failure law with constant failure rate λ, then
∞

exp−λt dt =

MTTF =
0

1
.
λ

Mean Time to Repair (MTTR) is defined as the average time required to repair a system. It
is often specified by means of a repair rate µ, namely the average number of repairs that occur
per time unit. If µ is a constant, MTTR is the inverse of repair rate.
Mean Time Between Failures (MTBF) is the average time between any two consecutive
failures of a system. This is slightly different from MTTF which concerns a system’s very first
failure. The following relation holds:
MTBF = MTTF + MTTR.
As it is usually true that MTTR is a small fraction of MTTF, it is usually allowed to assume that
MTBF ≈ MTTF.
14
2.1.2.3

CHAPTER 2. THE LAPRIE MODEL OF DEPENDABILITY
Availability

Availability is defined as a function of time representing the probability that a service is operating
correctly and is available to perform its functions at the instant of time t [Joh89]. It is usually
represented as function A(t). Availability represents a property at a given point in time, whereas
reliability concerns time intervals. These two properties are not to be mistaken with each other—
a system might exhibit a good degree of availability and yet be rather unreliable, e.g., when
inoperability is pointwise or rather short.
Availability can be approximated as the total time that a system has been capable of supplying its intended service divided by the elapsed time that system has been in operation, i.e., the
percentage of time that the system is available to perform its expected functions. The steady-state
availability can be proven [Joh89] to be
Ass =
2.1.2.4

MTTF
·
MTTF + MTTR

Maintainability

Maintainability is a function of time representing the probability that a failed system will be
repaired in a time less than or equal to t. It can be estimated as
M (t) = 1 − exp−µt ,
µ being the repair rate, assumed to be constant (see Sect. 2.1.2.2).

2.1.3

Impairments to Dependability

Hardware and software systems must conform to certain specifications, i.e., agreed descriptions
of the system response for any initial system state and input, as well as the time interval within
which the response should occur. This includes a description of the functional behaviour of
the system—basically, what the system is supposed to do, or in other words, a description of
its service—and possibly a description of other, non-functional requirements. Some of these
requirements may concern the dependability of the service.
In real life, any system is subject to internal or external events that can affect in different ways
the quality of its service. These events have been partitioned into three classes by their causeeffect relationship: depending on this, an impairment can be classified as a fault, an error, or
a failure. When the delivered service of a system deviates from its specification, the user of
the system experiences a failure. Such failure is due to a deviation from the correct state of the
system, known as an error. That deviation is due to a given cause, for instance related to the
physical state of the system, or to bad system design. This cause is called a fault. A failure of a
system could give rise to an event that is perceived as a fault by the user of that system, bringing
to a concatenation of cause-and-effects events known as the “fundamental chain” [Lap85]:
. . . fault → error → failure → fault → error → failure → . . .
2.1. THE DEPENDABILITY TREE

15

(symbol “→” can be read as “brings to”). Attributes defined in Sect. 2.1.1 can be negatively
affected by faults, errors, and failures. For this reason, failures, errors, and faults have been collectively termed as the “impairments” of dependability. They are characterised in the following
three paragraphs.
2.1.3.1

Failures

System failures occur when the system does not behave as agreed in the system specifications.
This can happen in many different ways [Cri91]:
omission failures occur when an agreed reply to a well defined request is missing. The request
appears to be ignored;
timing failures occur when the service is supplied, though outside the real-time interval agreed
upon in the specifications. This may occur when the service is supplied too soon (early
timing failure), or too late (late timing failure, also known as performance failure);
response failures happen either when the system supplies an incorrect output (in which case
the failure is said to be a value failure), or when the system executes an incorrect state
transition (state transition failure);
crash failure is when a system continuously exhibits omission failures until that system is
restarted. In particular, a pause-crash failure occurs when the system restarts in the state
it had right before its crash, while a halting-crash occurs when the system simply never
restarts. When a restarted system re-initialises itself wiping out the state it had before its
crash, that system is said to have experienced an amnesia crash. It may also be possible
that some part of a system’s state is re-initialised while the rest is restored to its value
before the occurrence of the crash—this is called a partial-amnesia crash.
Defining the above failure classes allows to extend a system’s specification—that is, the set
of its failure-free behaviours—with failure semantics, i.e., with the failure behaviour that system
is likely to exhibit upon failures. This is important when programming strategies for recovery
after failure [Cri91]. For instance, if the service supplied by a communication system may delay
transmitted messages but never lose or corrupt them, then that system is said to have performance failure semantics. If that system can delay and also lose them, then it is said to have
omission/performance failure semantics.
In general, if the failure semantics of a system s allows it to exhibit a behaviour in the union
of two failure classes F and G, then s is said to have F/G failure semantics. In other words, the
“slash” symbol can be read as the union operator among sets. For any given s it is possible to
count the possible failure behaviours in a failure class. Let us call b this function from the set of
failure classes to integers. Then, given failure classes F and G,
b(F/G) = b(F ∪ G) = b(F ) + b(G).
16

CHAPTER 2. THE LAPRIE MODEL OF DEPENDABILITY

Figure 2.2: Failure classes.
Failure semantics can be partially ordered by means of function b: given any two failure
semantics F and G, then F is said to exhibit a weaker (less restrictive) failure semantics than G:
F

G

⇔

b(F ) > b(G).

In particular F/G
F . Therefore, the union of all possible failure classes represents the
weakest failure semantics possible. If system s exhibits such semantics, s is said to have arbitrary failure semantics, i.e., s can exhibit any failure behaviour, without any restriction. By its
definition, arbitrary failure semantics is also weaker than arbitrary value failure semantics. This
latter is also known as Byzantine failure semantics [LSP82].
In the case of stateless systems, pause-crash and halting-crash behaviours are subsets of
omission failure behaviours [Cri91], so omission failure semantics is in this case weaker than
pause-crash and halting-crash failure semantics.
As clearly stated in [Cri91], it is the responsibility of a system designer to ensure that it properly implements a specified failure semantics. For instance, in order to implement a processing
service with crash failure semantics, one can use duplication with comparison: two physically
independent processors executing in parallel the same sequence of instructions and comparing
their results after the execution of each instruction. As soon as a disagreement occurs, the system is shut down [Pow97]. Another possibility is to use self-checking capabilities. Anyway,
given any failure semantics F , it is up to the system designer to decide how to implement it,
also depending on the designer’s other requirements, e.g., those concerning costs and expected
performance. In general, the weaker the failure semantics, the more expansive and complex to
implement it. Moreover, a weak failure semantics imply higher costs in terms of redundancy
exhaustion (see Sect. 2.2) and, often, higher performance penalties. For this reason, the designer
may leave the ultimate choice to the user—for instance, the designer of the Motorola C compiler
for the PowerPC allows the user to choose between two different modes of compilation—the
fastest mode does not guarantee that the state of the system pipeline be restored on return from
interrupts [Sun96]. This translates into behaviours belonging to the partial-amnesia crash semantics. The other mode guarantees the non-occurrence of these behaviours at the price of a lower
performance for the service supplied by that system—programs compiled with this mode run
slower.
Failures can also be characterised according to the classification in Fig. 2.2 [Lap95], corresponding to the different viewpoints of
• failure domain (i.e., whether the failure manifests itself in the time or value domain),
• failure perception (i.e., whether any two users perceive the failure in the same way, in
which case the failure is said to be consistent, or differently, in which the failure is said to
be inconsistent),
• and consequences on the environment. In particular a failure is said to be benign when
consequences are of the same order as the benefits provided by normal system operation,
2.1. THE DEPENDABILITY TREE

17

Figure 2.3: Laprie’s fault classification scheme.
while it is said catastrophic when consequences are incommensurably more relevant than
the benefits of normal operation [Lap95].
Systems that provide a given failure semantics are often said to exhibit a “failure mode”. For
instance, systems having arbitrary failure semantics (in both time and value domains) are called
fail-uncontrolled systems, while those only affected by benign failures are said to be fail-safe
systems; likewise, systems with halt-failure semantics are referred to as fail-halt systems. These
terms are also used to express the behaviour a system should have when dealing with multiple
failures—for instance, a “fail-op, fail-op, fail-safe” system is one such that is able to withstand
two failures and then behaves as a fail-safe system [Rus94] (fail-op stands for “after failure, the
system goes back to operational state”). Finally, it is worth mentioning the fail-time-bounded
failure mode, introduced in [Cuy95], which assumes that all errors are detected within a predefined, bounded period after the fault has occurred.
2.1.3.2

Errors

An error is the manifestation of a fault [Joh89] in terms of a deviation from accuracy or correctness of the system state. An error can be either latent, i.e., when its presence in the system has
not been yet perceived, or detected, otherwise. Error latency is the length of time between the
occurrence of an error and the appearance of the corresponding failure or its detection.
2.1.3.3

Faults

A fault is a defect, or an imperfection, or a lack in a system’s hardware or software component.
It is generically defined as the adjudged or hypothesised cause of an error. Faults can have their
origin within the system boundaries (internal faults) or outside, i.e., in the environment (external
faults). In particular, an internal fault is said to be active when it produces an error, and dormant
(or latent) when it does not. A dormant fault becomes an active fault when it is activated by
the computation process or the environment. Fault latency is defined as either the length of time
between the occurrence of a fault and the appearance of the corresponding error, or the length of
time between the occurrence of a fault and its removal.
Faults can be classified according to five viewpoints [Lap92, Lap95, Lap98]—phenomenological cause, nature, phase of creation or occurrence, situation with respect to system boundaries,
persistence. Not all combinations can give rise to a fault class—this process only defines 17 fault
classes, summarised in Fig. 2.3. These classes have been further partitioned into three “groups”,
known as combined fault classes.
The combined fault classes that are more relevant in the rest of the dissertation are now briefly
characterised:
Physical faults:
18

CHAPTER 2. THE LAPRIE MODEL OF DEPENDABILITY
• Permanent, internal, physical faults. This class concerns those faults that have their
origin within hardware components and are continuously active. A typical example
is given by the fault corresponding to a worn out component.
• Temporary, internal, physical faults (also known as intermittent faults) [BCDGG97].
These are typically internal, physical defects that become active depending on a particular pointwise condition.
• Permanent, external, physical faults. These are faults induced on the system by the
physical environment.
• Temporary, external, physical faults (also known as transient faults) [BCDGG97].
These are faults induced by environmental phenomena, e.g., EMI.

Design faults:
• Intentional, though not malicious, permanent / temporary design faults. These are basically trade-offs introduced at design time. A typical example is insufficient dimensioning (underestimations of the size of a given field in a communication protocol1 ,
and so forth).
• Accidental, permanent, design faults (also called systematic faults, or Bohrbugs):
flawed algorithms that systematically turn into the same errors in the presence of the
same input conditions and initial states—for instance, an unchecked divisor that can
result in a division-by-zero error.
• Accidental, temporary design faults (known as Heisenbugs, for “bugs of Heisenberg”,
after their elusive character): while systematic faults have an evident, deterministic
behaviour, these bugs depend on subtle combinations of the system state and environment.
Interaction faults:
• Temporary, external, operational, human-made, accidental faults. These include operator faults, in which an operator does not correctly perform his or her role in system
operation.
• Temporary, external, operational, human-made, non-malicious faults: “neglect, interaction, or incorrect use problems” [Sib98]. Examples include poorly chosen passwords and bad system parameter setting.
• Temporary, external, operational, human-made, malicious faults. This class includes
the so-called malicious replication faults, i.e., faults that occur when replicated information in a system becomes inconsistent, either because replicates that are supposed
1

A noteworthy example is given by the bad dimensioning of IP addresses. Currently, an IP address consists of
four sections separated by periods. Each section contains an 8-bit value, for a total of 32 bits per address. Normally
this would allow for more than 4 billion possible IP addresses—a rather acceptable value. Unfortunately, due to a
lavish method for assigning IP address space, IP addresses are rapidly running out. A new protocol, IPv6 [HD95],
is going to fix this problem through larger data fields (128-bit addresses) and a more flexible allocation algorithm.
2.1. THE DEPENDABILITY TREE

19

to provide identical results no longer do so, or because the aggregate of the data from
the various replicates is no longer consistent with system specifications.

2.1.4

Means for Dependability

Developing a dependable service, i.e., a service on which reliance can be placed justifiably, calls
for the combined utilisation of a set of methods and techniques globally referred to as the “means
for dependability” [Lap98]:
fault prevention aims at preventing the occurrence or introduction of faults. Techniques in this
category include, e.g., quality assurance and design methodologies;
fault-tolerance groups methods and techniques to set up services capable of fulfilling their function in spite of faults;
fault removal methods try to reduce the number, incidence, and consequences of faults. Fault
removal is composed of three steps: verification, diagnosis and correction. Verification
checks whether the system adheres to certain properties—the verification conditions—
during the design, development, production or operation phase; if it does not, the fault(s)
preventing these conditions to be fulfilled must be diagnosed, and the necessary corrections
(corrective maintenance) must be made;
fault forecasting investigates how to estimate the present number, the future incidence and the
consequences of faults. Fault forecasting is conducted by evaluating the system behaviour
with respect to fault occurrence or activation. Qualitatively, it aims at identifying, classifying and ordering failure modes or at identifying event combinations leading to undesired
effects. Quantitatively, it aims at evaluating (in terms of probabilities) some of the attributes of dependability.
Of the above mentioned methods, fault-tolerance represents the core tool for the techniques
and tools presented in this dissertation. Therefore, it is discussed in more detail in Sect. 2.1.4.1.
2.1.4.1

Fault-Tolerance

Fault-tolerance methods come into play the moment a fault enters the system boundaries. Its core
objective is “preserving the delivery of expected services despite the presence of fault-caused
errors within the system itself” [Avi85]. Fault-tolerance has its roots in hardware systems, where
the assumption of random component failures is substantiated by the physical characteristics of
the adopted devices [Rus94].
According to [AL81], fault-tolerance can be decomposed into two sub-techniques—error
processing and fault treatment.
Error processing aims at removing errors from the computational state (if possible, before failure occurrence). It can be based on the following primitives [Lap95]:
20

CHAPTER 2. THE LAPRIE MODEL OF DEPENDABILITY
Error detection which aims to detect the presence in the system of latent errors before
they are activated. This can be done, e.g., by means of built-in self-tests or by comparison with redundant computations [Rus94].
Error diagnosis i.e., assessing the damages caused by the detected errors or by errors
propagated before detection.
Error recovery i.e., the replacement of an erroneous state by an error-free state. This
replacement takes one of the following forms:
1. Compensation, which means reverting the erroneous state into an error-free one
exploiting information redundancy available in the erroneous state, predisposed,
e.g., through the adoption of error correcting codes [Joh89].
2. Forward recovery, which finds a new state from which the system can operate
(frequently in degraded mode). This method only allows to recover from errors of which the damage can be anticipated2 —therefore, this method is system
dependent [LA90]. The main tool for forward error recovery is exception handling [Cri95].
3. Backward recovery, which substitutes an erroneous state by an error-free state
prior to the error occurrence. As a consequence, the method requires that, at different points in time (known as recovery points), the current state of the system
be saved in some stable storage means. If a system state saved in a recovery
point is error-free, it can be used to restore the system to that state, thus wiping
out the effects of transient faults. For the same reason, this technique allows
also to recover from errors of which the damage cannot or has not been anticipated. The need for backward error recovery tools and techniques stems from
their ability to prevent the occurrence of failures originated by transient faults,
which are many times more frequent than permanent faults [Rus94]. The main
tools for backward error recovery are based on checkpoint-and-rollback [Dec96]
and recovery blocks [Ran75] (see Sect. 3.1.2.1).

Fault treatment aims at preventing faults from being re-activated. It can be based on the following primitives [Lap95]:
Fault diagnosis i.e., identifying the cause(s) of the error(s), in location and nature, i.e.
determining the fault classes to which the faults belong. This is different from error
diagnosis; besides, different faults can lead to the same error.
Fault passivation i.e., preventing the re-activation of the fault. This step is not necessary
if the error recovery step removes the fault, or if the likelihood of re-activation of the
fault is low enough.
2

In general, program specifications are not complete: there exist input states for which the behaviour of the
corresponding program P has been left unspecified. No forward recovery technique can be applied to deal with
errors resulting from executing P on these input states. On the contrary, if a given specification is complete, that is,
if each input state is covered in the set G of all the standard and exceptional specifications for P , and if P is totally
correct, i.e. fully consistent with what prescribed in G, then P is said to be robust [Cri95]. In this case forward
recovery can be used as an effective tool for error recovery.
2.2. FAULT-TOLERANCE, REDUNDANCY, AND COMPLEXITY

21

Reconfiguration updates the structure of the system so that non-failed components fulfil
the system function, possibly at a degraded level, even though some other components have failed.

2.2

Fault-Tolerance, Redundancy, and Complexity

A well-known result by Shannon [SWS93] tells us that, from any unreliable channel, it is possible
to set up a more reliable channel by increasing the degree of information redundancy. This
means that it is possible to trade off reliability and redundancy of a channel. The author of this
dissertation observes that the same can be said for a fault-tolerant system, because fault-tolerance
is in general the result of some strategy effectively exploiting some form of redundancy—time,
information, and/or hardware redundancy [Joh89]. This redundancy has a cost penalty attached,
though. Addressing a weak failure semantics, able to span many failure behaviours, effectively
translates in higher reliability—nevertheless,
1. it requires large amounts of extra resources, and therefore implies a high cost penalty, and
2. it consumes large amounts of extra resources, which translates into the rapid exhaustion
of the extra resources.
For instance, a well-known result by Lamport et al. [LSP82] sets the minimum level of redundancy required for tolerating Byzantine failures to a value that is greater than the one required
for tolerating, e.g., value failures. Using the simplest of the algorithms described in the cited
paper, a 4-modular-redundant (4-MR) system can only withstand any single Byzantine failure,
while the same system may exploit its redundancy to withstand up to three crash faults—though
no other kind of fault [Pow97]. In other words:
After the occurrence of a crash fault, a 4-MR system with strict Byzantine failure semantics has exhausted its redundancy and is no more dependable than a nonredundant system supplying the same service, while the crash failure semantics system is able to survive to the occurrence of that and two other crash faults. On the
other hand, the latter system, subject to just one Byzantine fault, would fail regardless its redundancy.
Therefore, for any given level of redundancy, trading complexity of failure mode against
number and type of faults tolerated may be considered as an important capability for an effective fault-tolerant structure. Dynamic adaptability to different environmental conditions3 may
provide a satisfactory answer to this need, especially when the additional complexity does not
burden (and jeopardise) the application. Ideally, such complexity should be part of a custom
architecture and not of the application. On the contrary, the embedding in the application of
complex failure semantics, covering many failure modes, implicitly promotes complexity, as it
3

The following quote by J. Horning [Hor98] captures very well how relevant may be the role of the environment
with respect to achieving the required quality of service: “What is the most often overlooked risk in software
engineering? That the environment will do something the designer never anticipated”.
22

CHAPTER 2. THE LAPRIE MODEL OF DEPENDABILITY

may require the implementation of many recovery mechanisms. This complexity is detrimental
to the dependability of the system, as it is in itself a significant source of design faults. Furthermore, the isolation of that complexity outside the user application may allow cost-effective
verification, validation and testing. These processes may be unfeasible at application level.
The author of this dissertation conjectures that a satisfactory solution to the design problem of
the management of the fault-tolerance code (presented in Sect. 1.1.2) may translate in an optimal
management of the failure semantics (with respect to the involved penalties). The fault-tolerance
linguistic structure proposed in Chapter 4 and following ones allows to solve the above problems
exploiting its adaptability (A).

2.3

Conclusions

This chapter has introduced the reader to Laprie’s model of dependability describing its attributes, impairments, and means. The central topic of this dissertation, fault-tolerance, has
also been briefly discussed. The complex relation between the management of fault-tolerance, of
redundancy, and of complexity, has been pointed out. In particular, a link has been conjectured
between attribute A and the dynamic ability to trade off the complexity of failure mode against
number and type of faults being tolerated.
Chapter 3
Current Approaches for Application-Level
Fault-Tolerance
One of the conclusions drawn in Chapter 1 is that the system to be made fault-tolerant must
include provisions for fault-tolerance also in the application layer of a computer program. In
that context, the problem of which system structure to use for ALFT has been proposed. This
chapter provides a critical survey of the state-of-the-art on embedding fault-tolerance means in
the application layer.
According to the literature, at least six classes of methods, or approaches, can be used for
embedding fault-tolerance provisions in the application layer of a computer program. This chapter describes these approaches and points out positive and negative aspects of each of them with
respect to the structural attributes defined in Sect. 1.1.2 and to various application domains.
A non-exhaustive list of the systems and projects implementing these approaches is also given.
Conclusions are drawn in Sect. 3.6, where the need for more effective approaches is recognised.
Two of the above mentioned approaches derive from well-established research in software
fault-tolerance—Lyu [Lyu98b, Lyu96, Lyu95] refers to them as single-version and multipleversion software fault-tolerance. They are dealt with in Sect. 3.1. A third approach, described
in Sect. 3.2, is based on metaobject protocols. It is derived from the domain of object-oriented
design and can also be used for embedding services other than those related to fault-tolerance.
A fourth approach translates into developing new custom high-level distributed programming
languages or enhancing pre-existent languages of that kind. It is described in Sect. 3.3. A structuring technique called aspect-oriented programming, is reported in Sect. 3.4. Finally, Sect. 3.5
describes an approach, based on a special recovery task monitoring the execution of the user task.

3.1

Single- and Multiple-Version Software Fault-Tolerance

A key requirement for the development of fault-tolerant systems is the availability of replicated
resources, in hardware or software. A fundamental method employed to attain fault-tolerance is
multiple computation, i.e., N -fold (N ≥ 2) replications in three domains:
time i.e., repetition of computations,
23
24

CHAPTER 3. CURRENT APPROACHES TOWARDS ALFT

space i.e., the adoption of multiple hardware channels (also called “lanes”), and
information i.e., the adoption of multiple versions of software.
Following Avi˘ ienis [Avi85], it is possible to characterise at least some of the approaches towards
z
fault-tolerance by means of a notation resembling the one used to classify queueing systems
models [Kle75]:
nT/mH/pS,
the meaning of which is “n executions, on m hardware channels, of p programs”. The non-faulttolerant system, or 1T/1H/1S, is called simplex in the cited paper.

3.1.1

Single-Version Software Fault-Tolerance

Single-version software fault-tolerance (SV) is basically the embedding into the user application of a simplex system of error detection or recovery features, e.g., atomic actions [JC85],
checkpoint-and-rollback [Dec96], or exception handling [Cri95]. The adoption of SV in the application layer requires the designer to concentrate in one physical location, namely, the source
code of the application, both the specification of what to do in order to carry on some user computation and the strategy such that faults are tolerated when they occur. As a result, the size of
the problem addressed is increased. A fortiori, this translates into increasing the size of the user
application. This induces loss of transparency, maintainability, and portability while increasing
development times and costs.
A partial solution to this loss in portability and these higher costs is given by the development
of libraries and frameworks created under strict software engineering processes. In the following,
two examples of this approach are presented—the EFTOS library and the SwIFT system. Special
emphasis is reserved in particular to the first system, where the author of this work provided a
number of contributions.
The EFTOS library. EFTOS [DDFLV97, DVB+ 97] (the acronym stands for “embedded,
fault-tolerant supercomputing”) is the name of ESPRIT-IV project 21012. The aims of this
project were to integrate fault-tolerance into embedded distributed high-performance applications in a flexible and effective way. The EFTOS library has been first implemented on a
Parsytec CC system [Par96b], a distributed-memory MIMD supercomputer consisting of processing nodes based on PowerPC 604 microprocessors at 133MHz, dedicated high-speed links,
I/O modules, and routers. As part of the project, this library has been then ported to a Microsoft
Windows NT / Intel PentiumPro platform and to a TEX / DEC Alpha platform [TXT97, DEC97]
in order to fulfil the requirements of the EFTOS application partners. The main characteristics of
the CC system are the adoption of the thread processing model and of the message passing communication model: communicating threads exchange messages through a proprietary message
passing library called EPX [Par96a]. The porting of the EFTOS library was achieved by porting
EPX on the various target platforms and developing suitable adaptation layers.
3.1. SINGLE- AND MULTIPLE-VERSION SOFTWARE FAULT-TOLERANCE

25

Figure 3.1: The structure of the EFTOS library. Light gray has been used for the operating
system and the user application, while dark gray layers pertain EFTOS.
Through the adoption of the EFTOS library, the target embedded parallel application is
plugged into a hierarchical, layered system whose structure and basic components (depicted
in Fig. 3.1) are:
• At the base level, a distributed net of “servers” whose main task is mimicking possibly
missing (with respect to the POSIX standards) operating system functionalities, such as
remote thread creation;
• One level upward (detection tool layer), a set of parametrisable functions managing error
detection, referred to as “Dtools”. These basic components are plugged into the embedded
application to make it more dependable. EFTOS supplies a number of these Dtools, e.g.,
a watchdog timer thread and a trap-handling mechanism, plus an API for incorporating
user-defined EFTOS-compliant tools;
• At the third level (control layer), a distributed application called “DIR net” (its name stands
for “detection, isolation, and recovery network”) is used to coherently combine the Dtools,
to ensure consistent fault-tolerance strategies throughout the system, and to play the role
of a backbone handling information to and from the fault-tolerance elements [DTDF+ 99].
The DIR net can be regarded as a fault-tolerant network of crash-failure detectors, connected to other peripheral error detectors. Each node of the DIR net is “guarded” by an
<I’m Alive> thread that requires the local component to send periodically “heartbeats”
(signs of life). A special component, called RINT, manages error recovery by interpreting
a custom language called RL—the latter being a sort of ancestor of the language described
in this thesis (see Sect. 5.3);
• At the fourth level (application layer), the Dtools and the components of the DIR net are
combined into dependable mechanisms i.e., methods to guarantee fault-tolerant communication [EVM+ 98], tools implementing a virtual Stable Memory [DBC+ 98], a distributed
voting mechanism called “voting farm” [DF97b, DFDL98a, DFDL98c], and so forth;
• The highest level (presentation layer) is given by a hypermedia distributed application
based on standard World-Wide Web (WWW) [BLCGP92] technology, which monitors the
structure and the state of the user application [DFDT+ 98]. This application is based on
a special CGI script [Kim96], called DIR Daemon, which continuously takes its inputs
from the DIR net, translates them in HTML [BLC95], and remotely controls a WWW
browser [Zaw94] so that it renders these HTML data.
The author of this dissertation contributed to this project designing and developing a number
of basic tools, e.g., the distributed voting system, the monitoring tool, the RL language and its
run-time system, that is, the task responsible for the management of error recovery [DFDL98b,
26

CHAPTER 3. CURRENT APPROACHES TOWARDS ALFT

DFDL98c]. Furthermore, he took part in the design and development of the first version of the
DIR net. He also designed and developed a second version of the DIR net [DF98].
The SwIFT System. SwIFT [HKBW96] stands for Software Implemented Fault-Tolerance,
a system including a set of reusable software components (watchd, a general-purpose UNIX
daemon watchdog timer; libft, a library of fault-tolerance methods, including single-version
implementation of recovery blocks and N -version programming (see Sect. 3.1.2); libckp, i.e.,
a user-transparent checkpoint-and-rollback library; a file replication mechanism called REPL;
and addrejuv, a special “reactive” feature of watchd [HKKF95] that allows for software
rejuvenation1 . The system derives from the HATS system [HK95] developed at AT&T. Both
have been successfully used and proved to be efficient and economical means to increase the
level of fault-tolerance in a software system where residual faults are present and their toleration
is less costly than their full elimination [Lyu98b]. A relatively small overhead is introduced in
most cases [HK95].
Conclusions. Two SV systems have been described. One can observe that for pure SV systems
full transparency is not reached, because the user needs anyway to manage the location and interdependency of such tools within one source code. In other words, SV requires the application
developer to be an expert in fault-tolerance as well, because he / she has to integrate in the
application a number of fault-tolerance provisions among those available in a set of ready-made
basic tools, and has the responsibility for doing it in a coherent, effective, and efficient way. As
it has been observed in Sect. 1.1.2, the resulting code is a mixture of functional code and of
custom error-management code that does not always offer an acceptable degree of portability
and maintainability. The functional and non-functional design concerns are not kept apart with
SV, hence one can conclude that (qualitatively) SV exhibits poor separation of concerns (SC).
Moreover, as the fault-tolerance provisions are offered to the user via an interface based on
a general-purpose language like C or C++, very limited syntactical adequacy (SA) can be offered
by SV as a system structure for ALFT.
Furthermore, no support is provided for off-line and on-line configuration of the fault-tolerance provisions, therefore also adaptability (A) can be qualitatively assessed as insufficient.
Note also that, even just in order to reach code portability, one relies on the portability and
availability of the related libraries and products on the target platform, and that in some cases
these libraries are only available in the form of object code.
On the other hand, tools in these libraries and systems give the user the ability to deal with
fault-tolerance “atoms” without having to worry about their actual implementation and with a
good ratio of costs over improvements of the dependability attributes, sometimes introducing
a relatively small overhead. Using these toolsets the designer can re-use existing, long tested,
sophisticated pieces of software without having each time “to re-invent the wheel”. The EFTOS
1

Software rejuvenation [HKKF95] offers tools for periodical and graceful termination of an application with
immediate restart, so that possible erroneous internal states, due to transient faults, be wiped out before they turn
into a failure.
3.1. SINGLE- AND MULTIPLE-VERSION SOFTWARE FAULT-TOLERANCE

27

Figure 3.2: The recovery block model with two alternates. The execution environment is charged
with the management of the recovery cache and the execution support functions (used to restore
the state of the application when the acceptance test is not passed), while the user is responsible
for supplying both alternates and the acceptance test (picture from [Avi95]).
experience with the Siemens GLIMP application, described in Sect. 6.1, brings evidence to this
statement.
Finally, it is important to remark that, in principle, SV poses no restrictions on the class of
applications that may be tackled with it.

3.1.2

Multiple-Version Software Fault-Tolerance

This section describes multiple-version software fault-tolerance (MV), an approach which requires N (N ≥ 2) independently designed versions of software. MV systems are therefore
xT/yH/N S systems. In MV, a same service or functionality is supplied by N pieces of code that
have been designed and developed by different, independent software teams2 . The aim of this
approach is to reduce the effects of design faults due to human mistakes committed at design
time. The most used configurations are N T/1H/N S, i.e., N sequentially applicable alternate
programs using the same hardware channel, and 1T/N H/N S, based on the parallel execution of
the alternate programs on N , possibly diverse, hardware channels.
Two major approaches exist: the first one is known as recovery block [Ran75, RX95], and is
dealt with in Sect. 3.1.2.1. The second approach is the so-called N -version programming [Avi85,
Avi95]. It is described in Sect. 3.1.2.2.
3.1.2.1

The Recovery Block Technique

Recovery Blocks (RB) are usually implemented as N T/1H/N S systems. The technique addresses
residual software design faults. It aims at providing fault-tolerant functional components which
may be nested within a sequential program. Other versions of the approach, implemented as
1T/N H/N S systems, are suited for parallel or distributed programs [SGM85, RX95].
RB is similar to the hardware fault-tolerance scheme known as “stand-by sparing” and described, e.g., in [Joh89]. The scheme is summarised in Fig. 3.2: on entry to a recovery block, the
current state of the system is checkpointed. A primary alternate is executed. When it ends, an
acceptance test checks whether the primary alternate successfully accomplished its objectives.
If not, a backward recovery scheme reverts the system state back to its original value and a secondary alternate takes over the task of the primary alternate. When the secondary alternate ends,
2

This requirement is well explained by Randell [Ran75]: “All fault-tolerance must be based on the provision of
useful redundancy, both for error detection and error recovery. In software the redundancy required is not simple
replication of programs but redundancy of design.” It is noteworthy to remark how, in the infamous Ariane 5 flight
501, two special components were operating in parallel, with identical hardware and software [Inq96]. The failure of
that mission has been attributed—among other causes—to the nearly consecutive failures of these two components,
triggered by the activation of the same design fault, hidden in the same, replicated program (see cited paper).
28

CHAPTER 3. CURRENT APPROACHES TOWARDS ALFT

the acceptance test is executed again. The scheme goes on until either an alternate fulfils its
tasks or all alternates are executed without success. In such a case, an error routine is executed.
Recovery blocks can be nested—in this case the error routine invokes recovery in the enclosing
block [RX95]. An exception triggered within an alternate is managed as a failed acceptance test.
A possible syntax for recovery blocks is as follows:
ensure
by
else by
.
.
else by
else error

acceptance test
primary alternate
alternate 2

alternate N

Note how this syntax does not explicitly show the recovery step that should be carried out
transparently by a run-time executive.
The effectiveness of RB rests to a great extent on the coverage of the error detection mechanisms adopted, the most crucial component of which is the acceptance test. A failure of the
acceptance test is a failure of the whole RB scheme. For this reason, the acceptance test must be
simple, must not introduce huge run-time overheads, must not retain data locally, and so forth. It
must be regarded as the ultimate means for detecting errors, though not the exclusive one. Assertions and run-time checks, possibly supported by underlying layers, need to buttress the scheme
and reduce the probability of an acceptance test failure. Another possible failure condition for
the RB scheme is given by an alternate failing to terminate. This may be detected by a time-out
mechanism that could be added to the RB scheme. This addition obviously further increases the
complexity.
Some systems supporting RB and their assessment. The SwIFT library that has been described in Sect. 3.1.1 (p. 26) implements recovery blocks in the C language as follows:
#include <ftmacros.h>
...
ENSURE(acceptance-test) {
primary alternate;
} ELSEBY {
alternate 2;
} ELSEBY {
alternate 3;
}
...
ENSURE;
Unfortunately this scheme does not cover any of the above mentioned requirements for enhancing the error detection coverage of the acceptance test. This would clearly require a run-time
3.1. SINGLE- AND MULTIPLE-VERSION SOFTWARE FAULT-TOLERANCE

29

Figure 3.3: The N -Version Software model when N = 3. The execution environment is charged
with the management of the decision algorithm and with the execution support functions. The
user is responsible for supplying the N versions. Note how the Decision Algorithm box takes
care also of multiplexing its output onto the three hardware channels—also called “lanes” (picture from [Avi95]).
executive that is not part of this scheme. Other solutions, based on enhancing the grammar of
pre-existing programming languages like Pascal [Shr78] and Coral [ABHM85], have some impact on portability. In both cases, code intrusion is not avoided. This translates in difficulties
when trying to modify or maintain the application program without interfering “much” with the
recovery structure, and vice-versa, when trying to modify or maintain the recovery structure
without interfering “much” with the application program. Hence one can conclude that the RB
is characterised by unsatisfactory values of the structural attribute SC. Furthermore, a system
structure for ALFT based exclusively on the RB scheme does not satisfy attribute SA3 . Finally,
what attribute A is concerned, one can observe that RB is a rigid scheme that does not allow
off-line configuration nor (a fortiori) code adaptability.
On the other hand, the RB scheme has been successfully adopted throughout 25 years in
many different application fields. It has been successfully validated by a number of statistical
experiments and through mathematical modelling [RX95]. Its adoption as the sole fault-tolerance
means, while developing complex applications, resulted in some cases [ABHM85] in a failure
coverage of over 70%, with acceptable overheads in memory space and CPU time.
3.1.2.2 N-Version Programming
N -Version Programming (NVP) systems are built from generic architectures based on redundancy and consensus. Such systems usually belongs to class 1T/N H/N S, less often to class
N T/1H/N S. NVP is defined by its author [Avi85] as “the independent generation of N ≥ 2
functionally equivalent programs from the same initial specification.” These N programs, called
versions, are developed for being executed in parallel. This system constitutes a fault-tolerant
software unit that depends on a generic decision algorithm to determine a consensus or majority
result from the individual outputs of two or more versions of the unit.
Such a scheme (depicted in Fig. 3.3) has been developed under the fundamental conjecture
that independent designs translate in random component failures—i.e., statistical independence.
Such a result would guarantee that correlated failures do not translate in immediate exhaustion of the available redundancy, as it would happen, e.g., using N copies of the same version. Replicating software would also mean replicating any dormant software fault in the source
version—see, e.g., the accidents with the Therac-25 linear accelerator [Lev95] or the Ariane 5
flight 502 [Inq96]. According to Avi˘ ienis, independent generation of the versions significantly
z
reduces the probability of correlated failures. Unfortunately a number of experiments [ECK+ 91]
3

Randell himself states that, given the ever increasing complexity of modern computing, there is still an urgent
need for “richer forms of structuring for error recovery and for design diversity” [RX95].
30

CHAPTER 3. CURRENT APPROACHES TOWARDS ALFT

and theoretical studies [EL85] have shown that this assumption is not always correct.
The main differences between RB and NVP are:
• RB (in its original form) is a sequential scheme whereas NVP allows concurrent execution;
• RB requires the user to provide a fault-free, application-specific, effective acceptance test,
while NVP adopts a generic consensus or majority voting algorithm that can be provided
by the execution environment (EE);
• RB allows different correct outputs from the alternates, while the general-purpose character of the consensus algorithm of NVP calls for a single correct output4 .
The two models collapse when the acceptance test of RB is done as in NVP, i.e., when the
acceptance test is consensus on the basis of the outputs of the different alternates.
Conclusions. As RB, also NVP has been successfully adopted for many years in various application fields, including safety-critical airborne and spaceborne applications. The generic NVP
architecture, based on redundancy and consensus, addresses parallel and distributed applications
written according any programming paradigm. A generic, parametrisable architecture for realtime systems that supports straightforwardly the NVP scheme is GUARDS [PABD+ 99].
It is noteworthy to remark that the EE (also known as N -Version Executive) is a complex
component that needs to manage a number of basic functions, for instance the execution of the
decision algorithm, the assurance of input consistency for all versions, the inter-version communication, the version synchronisation and the enforcement of timing constraints [Avi95]. On
the other hand, this complexity is not part of the application software—the N versions—that
does not need to be aware of the fault-tolerance scheme. An excellent degree of transparency
can be reached, thus guaranteeing a good value for attribute SC. Furthermore, as mentioned in
Sect. 1.1.2, costs and times required by a thorough verification, validation, and testing of this
architectural complexity may be worth pursuing, while charging them to each application component is not.
What attribute SA is concerned, the same considerations provided when describing the RB
scheme holds for NVP: the latter only covers one fault-tolerance scheme as well. One can conclude that NVP reaches unsatisfactory values of SA.
Off-line adaptability to “worse” environments may be reached increasing the value of N —
though this requires developing new versions—a costly activity for both times and costs. Furthermore, the architecture does not allow any dynamic management of the fault-tolerance provisions.
Attribute A can be then assessed as being poorly addressed by NVP.
4

This weakness of NVP can be narrowed, if not solved, adopting the approach used in the so-called “voting
farm” [DFDL98c, DFDL98a, DF97b], a generic voting tool designed by the author of this dissertation in the framework of his participation to the ESPRIT project “EFTOS” (see Sect. 3.1.1 at page 24): such a tool works with opaque
objects that are compared by means of a user-defined function. This function returns an integer value representing
a “distance” between any two objects to be voted. The user may choose between a set of predefined distance functions or may develop an application-specific distance function. Doing the latter, a distance may be endowed with the
ability to assess that bitwise different objects are semantically equivalent. Of course, the user is still responsible for
supplying a bug-free distance function—though is assisted in this simpler task by a number of template functions
supplied with that tool.
3.2. METAOBJECT PROTOCOLS AND REFLECTION

31

Portability is restricted by the portability of the EE and of each of the N versions. Maintainability actions may also be problematic, as they need to be replicated and validated N times—as
well as performed according to the NVP paradigm, so not to impact negatively on statistical independence of failures. These latter considerations apply to RB as well of course. In other words,
the adoption of multiple-version software fault-tolerance provisions always implies a penalty on
maintainability and portability.
Limited NVP support has been developed for “conventional” programming languages such
as C. For instance, libft (see Sect. 3.1.1, p. 26) implements NVP as follows:
#include <ftmacros.h>
...
NVP
VERSION{
block 1;
SENDVOTE(v_pointer, v_size);
}
VERSION{
block 2;
SENDVOTE(v_pointer, v_size);
}
...
ENDVERSION(timeout, v_size);
if (!agreeon(v_pointer)) error_handler();
ENDNVP;
Note that this particular implementation extinguishes the potential transparency that in general characterises NVP, as it requires some non-functional code to be included. This translates in
an unsatisfactory value for attribute SC. Note also that the execution of each block is in this case
carried out sequentially.
It is important to remark how the adoption of NVP as a system structure for ALFT requires a
substantial increase in development and maintenance costs. The author of the scheme claims that
such costs are well payed back by the gain in trustworthiness. This is certainly true when dealing
with systems possibly subjected to catastrophic failures—let us recall once more the case of the
Ariane 5 flight 501 [Inq96]. Nevertheless, the risks related to the chances of rapid exhaustion of
redundancy, due to a burst of correlated failures caused by a single or a few design faults, justifies
and calls for the adoption of other fault-tolerance provisions within and around the NVP unit, in
order to deal with the case of a failed NVP unit.

3.2

Metaobject Protocols and Reflection

Some of the negative aspects pointed out while describing single and multiple version software
approaches can be in some cases weakened, if not solved, by means of a generic structuring technique which allows to reach in some cases an adequate degree of flexibility, transparency, and
32

CHAPTER 3. CURRENT APPROACHES TOWARDS ALFT

separation of design concerns: the adoption of metaobject protocols (MOPs) [KdRB91]. The
idea is to “open” the implementation of the run-time executive of an object-oriented language
like C++ or Java so that the developer can adopt and program different, custom semantics, adjusting the language to the needs of the user and to the requirements of the environment. Using
MOPs, the programmer can modify the behaviour of fundamental features like methods invocation, object creation and destruction, and member access. The transparent management of spatial
and temporal redundancy [TMB80] is a context where MOPs seem particularly adequate.
The key concept behind MOPs is that of computational reflection, or the causal connection
between a system and a meta-level description representing structural and computational aspects
of that system [Mae87]. MOPs offer the metalevel programmer a representation of a system as
a set of metaobjects, i.e., objects that represent and reflect properties of “real” objects, i.e., those
objects that constitute the functional part of the user application. Metaobjects can for instance
represent the structure of a class, or object interaction, or the code of an operation. This mapping
process is called reification [Rob99].
The causality relation of MOPs could also be extended to allow for a dynamical reorganisation of the structure and the operation of a system, e.g., to perform reconfiguration and error
recovery. The basic object-oriented feature of inheritance can be used to enhance the reusability
of the FT mechanisms developed with this approach.
Project FRIENDS. An architecture supporting this approach is the one developed in the framework of project FRIENDS [FP96, FP98]. Name FRIENDS stands for “flexible and reusable
implementation environment for your next dependable system”. This project aims at implementing a number of fault-tolerance provisions (e.g., replication, group-based communication,
synchronisation, voting. . . [VA97]) at meta-level. In FRIENDS a distributed application is a set
of objects interacting via the proxy model, a proxy being a local intermediary between each object and any other (possibly replicated) object. FRIENDS uses the metaobject protocol provided
by Open C++, a C++ preprocessor that provides control over instance creation and deletion, state
access, and invocation of methods.
Other ALFT architectures, exploiting the concept of metaobject protocols within custom
programming languages, are reported in Sect. 3.3.
Conclusions. MOPs are indeed a promising system structure for embedding different nonfunctional concerns in the application-level of a computer program. MOPs work at language
level, providing means to modify the semantics of basic object-oriented language building blocks
like object creation and deletion, calling and termination of class methods, and so forth. This appears to match perfectly to a proper subset of the possible fault-tolerance provisions, especially
those such as transparent object redundancy, which can be straightforwardly managed with the
metaobject approach. When dealing with these fault-tolerance provisions, MOPs provide a perfect separation of the design concerns, i.e., optimal SC. Some other techniques, specifically
those who might be described as “the most coarse-grained ones”, such as distributed recovery
blocks [KW89], appear to be less suited for being efficiently implemented via MOPs. These
techniques work at distributed, i.e., macroscopic, level.
3.3. ENHANCING OR DEVELOPING FAULT-TOLERANCE LANGUAGES

33

The above situation reminds the author of this dissertation of another one, regarding the
“quest” for a novel computational paradigm for parallel processing which would be capable of
dealing effectively with the widest class of problems, like the Von Neumann paradigm does
for sequential processing, though with the highest degree of efficiency and the least amount of
changes in the original (sequential) user code. In that context, the concept of computational
grain came up—some techniques were inherently looking at the problem “with coarse-grained
glasses,” i.e., at macroscopic level, others were considering the problem exclusively at microscopical level. One can conclude that MOPs offer an elegant system structure to embed a set
of non-functional services (including fault-tolerance provisions) in an object-oriented program.
It is still unclear whether this set is general enough to host, efficaciously, many forms of faulttolerance, as is remarked for instance in [RX95, LVL00]. It is therefore difficult to establish a
qualitative assessment of attribute SA for MOPs.
The run-time management of libraries of MOPs may be used to reach satisfactory values for
attribute A. To the knowledge of the author of this dissertation, this feature is not present in any
language supporting MOPs.
As evident, the target application domain is the one of object-oriented applications written
with languages extended with a MOP, such as Open C++.

3.3

Enhancing or Developing Fault-Tolerance Languages

Another approach is given by working at language level enhancing a pre-existing programming
language or developing an ad hoc distributed programming language so that it hosts specific
fault-tolerance provisions. The following two sections cover these topics.

3.3.1

Enhancing Pre-existing Programming Languages

Enhancing a pre-existing programming language means upgrading the grammar of a wide-spread
language such as C or Pascal so that it directly supports features that can be used to enhance the
dependability of its programs, e.g., recovery blocks [Shr78].
In the following, four classes of systems based on this approach are presented: Arjuna, Sina,
Linda, and FT-SR.
3.3.1.1

The Arjuna Distributed Programming System

Arjuna is an object-oriented system for portable distributed programming in C++ [Shr95]. It
can be considered as a clever blending of useful and widespread tools, techniques, and ideas—
as such, it is a good example of the evolutionary approach towards application-level software
fault-tolerance. It exploits remote procedure calls [BN84] and UNIX daemons [HS87]. On each
node of the system an object server connects client objects to objects supplying services. The
object server also takes care of spawning objects when they are not yet running (in this case
they are referred to as “passive objects”). Arjuna also exploits a “naming service”, by means
of which client objects request a service “by name”. This transparency effectively supports
34

CHAPTER 3. CURRENT APPROACHES TOWARDS ALFT

object migration and replication. Arjuna offers the programmer means for dealing with atomic
actions (via the two-phase commit protocol) and persistent objects. Unfortunately, it requires the
programmers to explicitly deal with tools to save and restore the state, to manage locks, and to
declare in their applications instances of the class for managing atomic actions. As its authors
state, in many respects Arjuna asks the programmer to be aware of several complexities—as
such, it is prejudicial to transparency and separation of design concerns. On the other hand, its
good design choices result in an effective, portable environment.
3.3.1.2

The SINA Extensions

The SINA [ADT91] object-oriented language implements the so-called composition filters object model, a modular extension of the object model. In SINA, each object is equipped with
a set of “filters”. Messages sent to any object are trapped by the filters of that object. These
filters possibly manipulate the message before passing it to the object. SINA is a language for
composing such filters—its authors refer to it as a “composition filter language”. It also supports
meta-level programming through the reification of messages. The concept of composition filters
allows to implement several different “behaviours” corresponding to different non-functional
concerns. SINA has been designed for being attached to existing languages: its first implementation, SINA/st, was for Smalltalk. It has been also implemented for C++ [Gla95]—the extended
language has been called C++/CF. A preprocessor is used to translate a C++/CF source into standard C++ code.
3.3.1.3

Fault-Tolerant Linda Systems

The Linda [CG89b, CG89a] approach adopts a special model of communication, known as generative communication [Gel85]. According to this model, communication is still carried out
through messages, though messages are not sent to one or more addressees, and eventually read
by these latter—on the contrary, messages are included in a distributed (virtual) shared memory,
called tuple space, where every Linda process has equal read/write access rights. A tuple space is
some sort of a shared relational database for storing and withdrawing special data objects called
tuples, sent by the Linda processes. Tuples are basically lists of objects identified by their contents, cardinality and type. Two tuples match if they have the same number of objects, if the
objects are pairwise equal for what concerns their types, and if the memory cells associated to
the objects are bitwise equal. A Linda process inserts, reads, and withdraws tuples via blocking
or non-blocking primitives. Reads can be performed supplying a template tuple—a prototype
tuple consisting of constant fields and of fields that can assume any value. A process trying to
access a missing tuple via a blocking primitive enters a wait state that continues until any tuple
matching its template tuple is added to the tuple space. This allows processes to synchronise.
When more than one tuple matches a template, the choice of which actual tuple to address is done
in a non-deterministic way. Concurrent execution of processes is supported through the concept
of “live data structures”: tuples requiring the execution of one or more functions can be evaluated on different processors—in a sense, they become active, or “alive”. Once the evaluation has
finished, a (no more active, or passive) output tuple is entered in the tuple space.
3.3. ENHANCING OR DEVELOPING FT LANGUAGES

35

Parallelism is implicit in Linda—there is no explicit notion of network, number and location of the system processors, though Linda has been successfully employed in many different
hardware architectures and many applicative domains, resulting in a powerful programming tool
that sometimes achieves excellent speedups without affecting portability issues. Unfortunately
the model does not cover the possibility of failures—for instance, the semantics of its primitives
are not well defined in the case of a processor crash, and no fault-tolerance means are part of
the model. Moreover, in its original form, Linda only offers single-op atomicity [BS95], i.e.,
atomic execution for only a single tuple space operation. With single-op atomicity it is not possible to solve problems arising in two common Linda programming paradigms when faults occur:
both the distributed variable and the replicated-worker paradigms can fail [BS95]. As a consequence, a number of possible improvements have been investigated to support fault-tolerant
parallel programming in Linda. Apart from design choices and development issues, many of
them implement stability of the tuple space (via replicated state machines [Sch90] kept consistent
via ordered atomic multicast [BSS91]) [BS95, XL89, PTHR93], while others aim at combining
multiple tuple-space operations into atomic transactions [BS95, AS91, CD92]. Other techniques
have also been used, e.g., tuple space checkpoint-and-rollback [Kam91]. The author of this
dissertation also proposed an augmented Linda model for solving inconsistencies related to failures occurring in a replicated-worker environment and an algorithm for implementing a resilient
replicated worker scheme for message-passing farmer-worker applications. This algorithm can
masking failures affecting a proper subset of the set of workers [DFDL99].
Linda can be described as an extension that can be added to an existing programming language. The greater part of these extensions requires a preprocessor translating the extension
in the host language. This is the case, e.g., for FT-Linda [BS95], PvmLinda [DFMS94], CLinda [Ber89], and MOM [AS91]. A counterexample is, e.g., the POSYBL system [Sch91],
which implements Linda primitives with remote procedure calls, and requires the user to supply
the ancillary information for distinguishing tuples.
3.3.1.4

FT-SR

FT-SR [ST95] is basically an attempt to augment the SR [AO93] distributed programming language with mechanisms to facilitate fault-tolerance. FT-SR is based on the concept of fail-stop
modules (FSM). A FSM is defined as an abstract unit of encapsulation. It consists of a number of
threads that export a number of operations to other FSMs. The execution of operations is atomic.
FSM can be composed so to give rise to complex FSMs. For instance it is possible to replicate
a module n > 1 times and set up a complex FSM that can survive to n − 1 failures. Whenever
a failure exhausts the redundancy of a FSM, be that a simple or complex FSM, a failure notification is automatically sent to a number of other FSMs so to trigger proper recovery actions.
This feature explains the name of FSM: as in fail-stop processors, either the system is correct or
a notification is sent and the system stops its functions. This means that the computing model of
FT-SR guarantees, to some extent, that in the absence of explicit failure notification, commands
can be assumed to have been processed correctly. This greatly simplifies program development
because it masks the occurrence of faults, offers guarantees that no erroneous results are produced, and encourages the design of complex, possibly dynamic failure semantics (see Sect. 2.2)
36

CHAPTER 3. CURRENT APPROACHES TOWARDS ALFT

based on failure notifications. Of course this strategy is fully effective only under the hypothesis
of perfect failure detection coverage—an assumption that sometimes may be found to be false.
Conclusions. It is worth remarking how the approach of designing fault-tolerance enhancements for a pre-existing programming language implies an explicit code intrusion: the extensions
are designed purposely in order to explicitly host a number of fault-tolerance provisions within
the single source code. Being explicit, this code intrusion is such that the fault-tolerance code
be generally easy to locate and distinguish from the functional code of the application. Hence,
attribute SC may be positively assessed for systems belonging to this category.
On the contrary, the problem of hosting an adequate structure for ALFT can be complicated
by the syntax constraints in the hosting language. This may prevent to incorporate a wide set of
fault-tolerance provisions within the same syntactical structure. One can conclude that attribute
SA does not reach satisfactory values—at least in the cases reviewed in this section.
Enhancing a pre-existing language is an evolutionary approach: doing so, portability problems are weakened—especially when the extended grammar is translated into the plain grammar, e.g., via a preprocessor—and can be characterised by good execution efficiency [ABHM85,
ST95].
The approach is generally applicable, though the application must be written (or rewritten)
using the enhanced language. Its adaptability (attribute A) is unsatisfactory, because at run-time
the fault-tolerance code is indistinguishable from the functional code.

3.3.2

Developing Novel Fault-Tolerance Programming Languages

The adoption of a custom-made language especially conceived to write fault-tolerant distributed
software is discussed in the rest of this subsection.
3.3.2.1

ARGUS

Argus [Lis88] is a distributed object-oriented programming language and operating system. Argus was designed to support application programs like banking systems. To capture the objectoriented nature of such programs, it provides a special kind of objects, called guardians, which
perform user-definable actions in response to remote requests. To solve the problems of concurrency and failures, Argus allows computations to run as atomic transactions. Argus’ target
application domain is the one of transaction processing.
3.3.2.2

The Correlate Language

The Correlate object-oriented language [Rob99] adopts the concept of active object, defined as
an object that has control over the synchronisation of incoming requests from other objects. Objects are active in the sense that they do not process immediately their requests—they may decide
to delay a request until it is accepted, i.e., until a given precondition (a guard) is met—for instance, a mailbox object may refuse a new message in its buffer until an entry becomes available
in it. The precondition is a function of the state of the object and the invocation parameters—it
3.3. ENHANCING OR DEVELOPING FT LANGUAGES

37

does not imply interaction with other objects and has no side effects. If a request cannot be
served according to an object’s precondition, it is saved into a buffer until it becomes servable,
or until the object is destroyed. Conditions like an overflow in the request buffer are not dealt
with in [Rob99]. If more than a single request becomes servable by an object, the choice is
made non-deterministically. Correlate uses a communication model called “pattern-based group
communication”—communication goes from an “advertising object” to those objects that declare their “interest” in the advertised subject. This is similar to Linda’s model of generative
communication, introduced in Sect. 3.3.1.3. Objects in Correlate are autonomous, in the sense
that they may not only react to external stimuli but also give rise to autonomous operations motivated by an internal “goal”. When invoking a method, the programmer can choose to block
until the method is fully executed (this is called synchronous interaction), or to execute it “in the
background” (asynchronous interaction). Correlate supports MOPs. It has been effectively used
to offer transparent support for transaction, replication, and checkpoint-and-rollback. The first
implementation of Correlate consists of a translator to plain Java plus an execution environment,
also written in Java.
3.3.2.3

Fault-Tolerance Attribute Grammars

The system models for application-level software fault-tolerance encountered so far all have their
basis in an imperative language. A different research trend exists, which is based on the use of
functional languages. This choice translates in a program structure that allows a straightforward
inclusion of fault-tolerance means, with high degrees of transparency and flexibility. Functional
models that appear particularly interesting as system structures for software fault-tolerance are
those based on the concept of attribute grammars [Paa95]. This paragraph briefly introduces the
model known as FTAG (fault-tolerant attribute grammars) [SKS96], which offers the designer
a large set of fault-tolerance mechanisms. A noteworthy aspect of FTAG is that its authors
explicitly address the problem of providing a syntactical model for the widest possible set of
fault-tolerance provisions and paradigms, developing coherent abstractions of those mechanisms
while maintaining the linguistic integrity of the adopted notation. This means that optimising the
value of attribute SA is one of the design goals of FTAG.
FTAG regards a computation as a collection of pure mathematical functions known as modules. Each module has a set of input values, called inherited attributes, and of output variables,
called synthesised attributes. Modules may refer to other modules. When modules do not refer
any other module, they can be performed immediately. Such modules are called primitive modules. On the other hand, non-primitive modules require other modules to be performed first—as a
consequence, an FTAG program is executed by decomposing a “root” module into its basic submodules and then applying recursively this decomposition process to each of the submodules.
This process goes on until all primitive modules are encountered and executed. The execution
graph is clearly a tree called computation tree. This scheme presents many benefits, e.g., as
the order in which modules are decomposed is exclusively determined by attribute dependencies among submodules, a computation tree can be mapped onto a parallel processing means
straightforwardly.
The linguistic structure of FTAG allows the integration of a number of useful fault-tolerance
38

CHAPTER 3. CURRENT APPROACHES TOWARDS ALFT

features that address the whole range of faults—design, physical, and interaction faults. One of
this features is called redoing. Redoing replaces a portion of the computation tree with a new
computation. This is useful for instance to eliminate the effects of a portion of the computation
tree that has generated an incorrect result, or whose executor has crashed. It can be used to implement easily “retry blocks” and recovery blocks by adding ancillary modules that test whether the
original module behaved consistently with its specification and, if not, give rise to a “redoing”, a
recursive call to the original module.
Another relevant feature of FTAG is its support for replication, a concept that in FTAG translates into a decomposition of a module into N identical submodules implementing the function
to replicate. The scheme is known as replicated decomposition, while involved submodules are
called replicas. Replicas are executed according to the usual rules of decomposition, though
only one of the generated results is used as the output of the original module. Depending on
the chosen fault-tolerance strategy, this output can be, e.g., the first valid output or the output
of a demultiplexing function, e.g., a voter. It is worth remarking that no syntactical changes are
needed, only a subtle extension of the interpretation so to allow the involved submodules to have
the same set of inherited attributes and to generate a collated set of synthesised attributes.
FTAG stores its attributes in a stable object base or in primary memory depending on their
criticality—critical attributes can then be transparently retrieved from the stable object base after
a failure. Object versioning is also used, a concept that facilitates the development of checkpointand-rollback strategies.
FTAG provides a unified linguistic structure that effectively supports the development of
fault-tolerant software. Conscious of the importance of supporting the widest possible set of
fault-tolerance means, its authors report in the cited paper how they are investigating the inclusion
of other fault-tolerance features and trying to synthesise new expressive syntactical structures for
FTAG—thus further improving attribute SA.
Unfortunately, the widespread adoption of this valuable tool is conditioned by the limited
acceptance and spread of the functional programming paradigm outside the academia.

Conclusions. The ad hoc development of a fault-tolerance programming language allows in
some cases to reach optimal values for attribute SA. The explicit, controlled intrusion of faulttolerance code explicitly encourages the adoption of high-level fault-tolerance provisions and
requires dependability-aware design processes, which translates in a positive assessment for
attribute SC. On the contrary, with the same reasoning of Sect. 3.3.1, attribute A can be in
general assessed as unsatisfactory5 .
The target application domain for this approach is restricted by the characteristics of the
hosting language and of its programming model. Obviously this also requires the application to
be (re-)written using the hosting language.
5

In the case of FTAG, though, one could design a run-time interpreter that could dynamically “decide” the
“best” values for the parameters of the fault-tolerance provisions being executed—where “best” refers to the current
environmental conditions. This same idea, which is an original contribution of the author of this dissertation, is
further detailed and discussed in Chapter 8, where an architecture for adaptable ALFT is also sketched.
3.4. ASPECT-ORIENTED PROGRAMMING LANGUAGES

3.4

39

Aspect-oriented Programming Languages

Aspect-oriented programming [KLM+ 97] (AOP) is a programming methodology and a structuring technique that explicitly addresses, at system-wide level, the problem of the best code
structure to express different, possibly conflicting design goals such as high performance, optimal memory usage, and dependability.
Indeed, when coding a non-functional service within an application—for instance a systemwide error handling protocol—using either a procedural or an object-oriented programming language, one is required to decompose the original goal, in this case a certain degree of dependability, into a multiplicity of fragments scattered among a number of procedures or objects. This
happens because those programming languages only provide abstraction and composition mechanisms to cleanly support the functional concerns. In other words, specific non-functional goals,
such as high performance, cannot be easily captured into a single unit of functionality among
those offered by a procedural or object-oriented language, and must be fragmented and intruded
into the available units of functionality. As already observed, this code intrusion is detrimental
to maintainability and portability of both functional and non-functional services (the latter called
“aspects” in AOP terms). These aspects tend to crosscut the system’s class and module structure
rather than staying, well localised, within one of these unit of functionality, e.g., a class. This
increases the complexity of the resulting systems.
The main idea of AOP is to use:
1. A “conventional” language (that is, a procedural, object-oriented, or functional programming language) to code the basic functionality. The resulting program is called component
program. The program’s basic functional units are called components.
2. A so-called aspect-oriented language to implement given aspects by defining specific interconnections (“aspect programs” in AOP lingo) among the components in order to address various systemic concerns.
3. An aspect weaver, that takes as input both the aspect and the component programs and
produces with those (“weaves”) an output program (“tangled code”) that addresses specific
aspects.
The weaver first generates a data flow graph from the component program. In this graph, nodes
represent components, and edges represent data flowing from one component to another. Next,
it executes the aspect programs. These programs edit the graph according to specific goals,
collapsing nodes together and adjusting the corresponding code accordingly. Finally, a code
generator takes the graph resulting from the previous step as its input and translates it into an
actual software package written, e.g., for a procedural language such as C. This package is only
meant to be compiled and produce the ultimate executable code fulfilling a specific aspect like,
e.g., higher dependability.
In a sense, AOP systematically automatises and supports the process to adapt an existing code
so that it fulfils specific aspects. AOP may be defined as a software engineering methodology
supporting those adaptations in such a way that they do not destroy the original design and do
40

CHAPTER 3. CURRENT APPROACHES TOWARDS ALFT

not increase complexity. The original idea of AOP is a clever blending and generalisation of the
ideas that are at the basis, for instance, of optimising compilers, program transformation systems,
MOPs, and of literate programming [Knu84].
AspectJ is an example of aspect-oriented language [Kic00, LVL00]. Developed as a Xerox
PARC project, AspectJ can be defined as an aspect-oriented extension to the Java programming
language. AspectJ provides its users with the concept of a “join points”, i.e., relevant points in
a program’s dynamic call graph. Join points are those that mark the code regions that can be
manipulated by an aspect weaver (see above). In AspectJ, these points can be
• method executions,
• constructor calls,
• constructor executions,
• field accesses, and
• exception handlers.
Another extension to Java is AspectJ’s support of the Design by Contract methodology [Mey97],
where contracts [Hoa69] define a set of pre-conditions, post-conditions, and invariants, that determine how to use and what to expect from a computational entity.
A study has been carried out on the capability of AspectJ as an AOP language supporting
exception detection and handling [LVL00]. It has been shown how AspectJ can be used to
develop so-called “plug-and-play” exception handlers: libraries of exception handlers that can
be plugged into many different applications. This translates into better support for managing
different configurations at compile-time. This addresses one of the aspects of attribute A defined
in Sect. 1.1.2.
Conclusions. AOP is a recent approach to software development. AOP can in principle address
any application domain and can use a procedural, functional or object-oriented programming
language as component language. The isolation and coding of aspects requires extra work and
expertise that may be well payed back by the capability of addressing new aspects while keeping
a single unmodified and general design.
For the time being it is not yet possible to tell whether AOP will spread out as a programming paradigm among academia and industry the way object-oriented programming has done
since the Eighties. The many qualities of AOP are currently being quantitatively assessed, both
with theoretical studies and with practical experience, and results seem encouraging. From the
point of view of the dependability aspect, one can observe that AOP exhibits optimal SC (“by
construction”, in a sense), and that attribute A can be in principle optimised, e.g., by means of
specific run-time weaving. The adequacy at fulfilling attribute SA is indeed debatable also because, to date, no fault-tolerance aspect languages have been devised6 —which may possibly be
an interesting research domain.
6

AspectJ only addresses exception error detection and handling. Remarkably enough, the authors of a recent
3.5. THE RECOVERY META-PROGRAM

41

Figure 3.4: Control flow between the application program and RMP while executing a faulttolerance strategy based on recovery blocks.

3.5

The Recovery Meta-Program

The Recovery Meta-Program (RMP) [ADG+ 90] is a mechanism that alternates the execution of
two cooperating processing contexts. The concept behind its architecture can be captured by
means of the idea of a debugger, or a monitor, which:
• is scheduled when the application is stopped at some breakpoints,
• executes some sort of a program, written in a specific language,
• and finally returns the control to the application context, until the next breakpoint is encountered.
Breakpoints outline portions of code relevant to specific fault-tolerance strategies—for instance,
breakpoints can be used to specify alternate blocks or acceptance tests of recovery blocks (see
Sect. 3.1.2.1)—while programs are implementations of those strategies, e.g., of recovery blocks
or N -version programming. The main benefit of RMP is in the fact that, while breakpoints
require a (minimal) intervention of the functional-concerned programmer, RMP scripts can be
designed and implemented without the intervention and even the awareness of the developer. In
other words, RMP guarantees a good separation of design concerns. As an example, recovery
blocks are implemented, from the point of view of the functionally concerned designer, specifying alternates and acceptance tests, while the execution goes like in Fig. 3.4:
• When the system encounters a breakpoint corresponding to the entrance of a recovery
block, control flows to the RMP, which saves the application program environment and
starts the first alternate.
• The execution of the first alternate goes on until its end, marked by another breakpoint.
The latter returns the control to RMP, this time in order to execute the acceptance test.
• Should the test succeed, the recovery block is exited, otherwise control goes to the second
alternate, and so forth.
In RMP, the language to express the meta-programs is Hoare’s Communicating Sequential
Processes language [Hoa78] (CSP).
study on AspectJ and its support to this field conclude [LVL00] that “whether the properties of AspectJ [documented
in this paper] lead to programs with fewer implementation errors and that can be changed easier, is still an open
research topic that will require serious usability studies as AOP matures”.
42

CHAPTER 3. CURRENT APPROACHES TOWARDS ALFT

Figure 3.5: The data in Table 3.1 are here represented as a stacked area.
Conclusions. In the RMP approach, all the technicalities related to the management of the
fault-tolerance provisions are coded in a separate programming context. Even the language to
code the provisions may be different from the one used to express the functional aspects of the
application. One can conclude that RMP is characterised by optimal SC.
The design choice of using CSP to code the meta-programs influences negatively attribute SA.
Choosing a pre-existent formalism clearly presents many practical advantages, though it means
adopting a fixed, immutable syntactical structure to express the fault-tolerance strategies. The
choice of a pre-existing general-purpose distributed programming language as CSP is therefore
questionable, as it appears to be rather difficult or at least cumbersome to use it to express at least
some of the fault-tolerance provisions. For instance, RMP proves to be an effective linguistic
structure to express strategies such as recovery blocks and N -version programming, where the
main components are coarse grain processes to be arranged into complex fault-tolerance structures. Because of the choice of a pre-existing language like CSP, RMP appears not to be the best
choice for representing provisions such as, e.g., atomic actions [JC85]. This translates in very
limited SA.
Our conjecture is that the coexistence of two separate layers for the functional and the nonfunctional aspects could have been better exploited to reach the best of the two approaches:
using a widespread programming language such as, e.g., C, for expressing the functional aspect,
while devising a custom language for dealing with non-functional requirements, e.g., a language
especially designed to express error recovery strategies. This design choice has been taken in the
approach described in this dissertation.
Satisfactory values for attribute A cannot be reached in the only implementation available of
RMP [ADG+ 90], because no dynamic management of the executable code has been foreseen.
The RMP approach appears to be characterised by a large overhead due to frequent context
switching between the main application and the RMP [RX95]. Run-time requirements may be
jeopardised by these large overheads, especially when it is difficult to establish time bounds for
their extent. No other restrictions appear to be posed by RMP on the target application domain.

3.6

Conclusions

Six approaches to ALFT have been described and critically reviewed, qualitatively, with respect
to the structural attributes SC, SA, and A. Table 3.1 and Fig. 3.5 summarise this survey providing
a comparison of the six approaches. This chapter has also remarked the positive and negative
issues of the evolutionary solution—using a pre-existing language—with respect to a “revolutionary” approach—based on devising a custom made, ad hoc language. It has been conjectured
how, using an approach based on two languages, one covering the functional concerns and the
other covering the fault-tolerance concerns, it may be possible to address, within one efficacious
linguistic structure, the widest set of fault-tolerance provisions, reaching optimal values for SA
and SC.
3.6. CONCLUSIONS

43

Approach
SV
MV (RB)
MV (NVP)
MOP
EL
DL
AOP
RMP

SC

SA

A

1
1
4
5
3
3
5
5

2
1
1
3
1
5
3
2

1
1
1
3
1
1
4
1

Table 3.1: A quantitative interpretation of the qualitative assessments proposed in Chapter 3. The
mapping between adjectives and numbers is as follows: “poor” and “unsatisfactory” map to 1,
“very limited” is 2, “medium” and “positive” are 3, “good” is 4, and “optimal” is 5. MV has been
differentiated into RB and NVP. EL stands for the approach in Sect. 3.3.1, DL is the approach in
Sect. 3.3.2.
44

CHAPTER 3. CURRENT APPROACHES TOWARDS ALFT
Chapter 4
The Recovery Language Approach
This chapter introduces a novel approach towards software engineering of dependable systems
that has been called the “recovery language approach” (RεL). The elements of RεL are introduced in general terms, coupling each concept to the technical foundations buttressing it. The
chapter casts the basis of a general approach in abstract terms, while a particular instance of the
herein presented concepts is described in Chapter 5 as a prototypic distributed architecture supporting a fault-tolerance linguistic structure for ALFT. System, application and fault models are
drawn. The approach is also reviewed with respect to the structural attributes (SC, SA and A) and
to the approaches presented in Chapter 3. All the concepts presented in this chapter are original
ideas of the author of this dissertation.
The structure of this chapter is as follows:
• Models are introduced in Sect. 4.1.
• Key ideas, concepts, and technical foundations are described in Sect. 4.2.
• Section 4.3 shows the workflow corresponding to using RεL.
• Section 4.4 points out the specific differences between RεL and other system structures for
ALFT.
• Sect. 4.5 closes this chapter summarising the positive values of the structural attributes SA,
ε
SC , and A for R L.

4.1

System, Application and Fault Models

This section introduces the system and application models that will be assumed in the rest of this
dissertation.

4.1.1

System Assumptions

In the following, the target system is assumed to be a distributed or parallel system. Basic
components are nodes, tasks, and the network.
45
46

CHAPTER 4. THE RECOVERY LANGUAGE APPROACH
• A node can be, e.g., a workstation in a networked cluster or a processor in a MIMD parallel
computer.
• Tasks are independent threads of execution running on the nodes.
• The network system allows tasks on different nodes to communicate with each other.

Nodes can be commercial-off-the-shelf (COTS) hardware components with no special provisions for hardware fault-tolerance. It is not mandatory to have memory management units and
secondary storage devices.
A general-purpose operating system (OS) is required on each node. No special purpose,
distributed, or fault-tolerant OS is required.
The number N of nodes is assumed to be known ahead of the run-time. Nodes are addressable
by the integers in {0, . . . , N −1}. For any integer m > 0 let us call the set of integers {0, . . . , m−
1} as Im . Let us furthermore refer to the node addressed by integer i as ni , i ∈ IN .
Tasks are pre-defined at compile-time: in particular for each i ∈ IN , it is known that node ni
is to run ti tasks, up to a given node-specific limit. No special constraints are posed on the task
scheduling policy.
On each node, say node i, tasks are identified by user-defined unique local labels—integers
greater than or equal to zero. Let us call Ini the set of labels for tasks to be run on node ni ,
i ∈ IN . The task with local label j on node i will be also referred to as ni [j].
The system obeys the timed asynchronous distributed system model [CF99]:
• Tasks communicate through the network via a datagram service with omission/performance failure semantics (see Sect. 2.1.3.1). Low level software in the nodes and the network implements this service.
• Services are timed: specifications prescribe not only the outputs and state transitions that
should occur in response to inputs, but also the time intervals within which a client task
can expect these outputs and transitions to occur.
• Tasks (including those related to the OS and the network) have crash/performance failure
semantics.
• Tasks have access to a node-local hardware clock. If more than one node is present, clocks
on different nodes have a bounded drift rate.
• A “time-out” service is available at application-level: tasks can schedule the execution of
events so that they occur at a given future point in time, as measured by their local clock.
In particular, this model allows a straightforward modelling of system partitioning—as a consequence of sufficiently many omission or performance communication failures, correct nodes
may be temporarily disconnected from the rest of the system during so-called periods of instability [CF99]. Moreover it is assumed that, at reset, tasks or nodes restart from a well-defined,
initial state—partial-amnesia crashes (defined in Sect. 2.1.3.1) are not considered.
4.2. KEY IDEAS AND TECHNICAL FOUNDATIONS

47

A message passing library is assumed to be available, built on the datagram service. Such
library offers asynchronous, non-blocking multicast primitives.
As clearly explained in [CF99], the above hypotheses match well to nowadays distributed
systems based on networked workstations—as such, they represent a general model with no
practical restriction.

4.1.2

Application-specific Assumptions

The following assumptions characterise the user application:
• (When N > 1 nodes are available): the target application is distributed on the system
nodes.
• It is written or is to be written in a procedural language such as, e.g., C.
• Inter-process communication takes place by means of the functions in the above mentioned
message passing library. Higher-level communication services, if available, must be using
the message passing library as well.
The reason behind the third assumption is that, forcing communication through a single virtual
provision, namely the functions for sending and for receiving messages, allows a straightforward
implementation of provisions for task isolation. This concept is explained in more detail in
Sect. 5.3.3.

4.1.3

Fault Model

As suggested in the conclusion of Sect. 1.1.1.2, any effective design including dependability
goals requires provisions, located at all levels, to avoid, remove, or tolerate faults. Hence, as an
application-level structure, RεL is complementary to other approaches addressing fault-tolerance
at system level, i.e., hardware-level and OS-level fault-tolerance. In particular, a system-level
architecture such as GUARDS [PABD+ 99], that is based on redundancy and hardware and OS
provisions for systematic management of consensus, appears to be particularly appropriate for
being coupled with RεL which offers application-level provisions for NVP and replication (see
later on).
The main classes of faults addressed by RεL are those of accidental, permanent or temporary
design faults, and temporary, external, physical faults. Both value and timing failures are considered. The architecture addresses one fault at a time: the system is ready to deal with new faults
only after having recovered from the present one.

4.2

Key Ideas and Technical Foundations

Key concepts of RεL’s design are:
• Adopting a fault-tolerance toolset.
48

CHAPTER 4. THE RECOVERY LANGUAGE APPROACH
• Separating the configuration of the toolset from the specification of the functional service.
• Separating the system structure for the specification of the functional service from that for
error recovery and reconfiguration.

These concepts and their technical foundations are illustrated in the rest of this section.

4.2.1

Adoption of a Fault-Tolerance Toolset

A requirement of RεL is the availability of a fault-tolerance toolset, to be interpreted herein as
the conjoint adoption of:
• A set of fault-tolerance tools addressing error detection, localisation, containment and recovery, such as the ones in SwIFT [HKBW96] or EFTOS [DDFLV97, DVB+ 97]. Faulttolerance services provided by the toolset include, e.g., watchdog timers and voting. These
are called basic tools (BT) hereafter.
• A “basic services library” (BSL) is assumed to be present, providing functions for:
– intra-node and remote communication;
– task management;
– access to the local clock;
– application-level assertions;
– functions to reboot or shut down a node.
This library is required to be available in source code so that it can be instrumented, e.g.,
with code to forward information to some collector (described below) transparently. Information may include, for instance, the notification of a successful task creation or any
failure of this kind. If supported, MOPs may also be used to implement the library and
its instrumentation. It is also suggested that the functions for sending messages work with
opaque objects that reference either single tasks or groups of tasks. In the first case, the
function would perform a plain “send”, while in the second case it would perform a multicast. This would increase the degree of transparency.
• A distributed component serving as a sort of backbone controlling and monitoring the
toolset and the user application. Let us call this application “the backbone” (BB). It is
assumed that the BB has a component on each node of the system and that, through some
software (and, possibly, hardware) fault-tolerance provisions, it can tolerate crash failures of up to all but one node or component. An application such as the EFTOS DIR
net [DTDF+ 99] may be used for this.
Notifications from the BSL and from the BTs are assumed to be collected and maintained
by the BB into a data structure called “the database” (DB). The DB therefore holds data
related to the current structure and state of the system, of the user application, and of the
4.2. KEY IDEAS AND TECHNICAL FOUNDATIONS

49

BB. A special section of the DB is devoted to keeping track of error notifications, such
as, for instance, “divide-by-zero exception caught while executing task 11” sent by a trap
handling tool. If possible, error detection support at hardware or kernel level may be also
instrumented in order to provide the BB with similar notifications. The DB is assumed
to be stored in a reliable storage device, e.g., a stable storage device, or replicated and
protected against corruption or other unwanted modifications.
• Following the hypothesis of the timed asynchronous distributed system model [CF99], a
time-out management system is also assumed to be available. This allows an application
to define time-outs, namely, to schedule an event to be generated a given amount of “clock
ticks” in the future [CS95]. Let us call this component the “time-out manager” (TOM).
A prototype of a RεL-compliant toolset has been developed within the ESPRIT project
“TIRAN”. Section 5.2 describes its main components.

4.2.2

Configuration Support Tool

The second key component of RεL is a tool to support fault-tolerance configuration, defined
herein as the deployment of customised instances of fault-tolerance tools and strategies. RεL
envisages a translator to help the user configure the toolset and his / her application. The
translator has to support a custom configuration language especially conceived to facilitate
configuration and therefore to reduce the probability of fault-tolerance design faults—the main
cause of failure for fault-tolerant software systems [Lap98, Lyu98b].
As an output, the translator could issue, e.g., C or C++ header files defining configured
objects and symbolic constants to refer easily to the configured objects. Recompilation of the
target application is therefore required after each execution of the translator.
Configuration can group a number of activities, including:
• configuration of system and application entities,
• configuration of the basic tools,
• configuration of replicated tasks,
• configuration for retry blocks,
• configuration for multiple-version software fault-tolerance,
The above configuration activities are now briefly described.
4.2.2.1

Configuration of System and Application Entities

One of the tasks of a configuration language is to declare the key entities of the system and to
define a global naming scheme in order to refer to them. Key entities are nodes, tasks, and groups
of tasks.
50

CHAPTER 4. THE RECOVERY LANGUAGE APPROACH

For each node ni , 0 ≤ i < N and for each task ni [j], 0 ≤ j < Ini , a unique, global-scope
identifier must be defined by the user. Let us call this identifier the task’s unique-id. This can be
done by editing a configuration script with rules of the form
taskt ≡ ni [j],

(4.1)

which assigns unique-id t to ni [j], that is, task number j on node i. Similarly one could define
groups of task with rules of the form
groupg ≡ {u},

(4.2)

where u is a list of comma-separated integers representing unique-ids. Such rule defines then a
group named g and made of the tasks corresponding to the mentioned unique-ids. The translator
would then turn a configuration script containing rules of these kinds into a header file to be
compiled with the target application and, if necessary, in configuration files expected by the
toolset.
4.2.2.2

Configuration of the Fault-Tolerance Tools in the Toolset

Specific instances of the tools in the toolset can be statically configured by means of the translator. For instance, in the case of a watchdog timer, configuration can specify:
• The unique-id of the watching task as well as that of the watched task.
• The initial expected frequency of “heartbeats” to be sent from the watched task to the
watchdog.
• The actions to be taken when an expected heartbeat is not received in time,
and so forth. Ideally, the output of the translator should be a configuration file for the BSL to
associate transparently the creation of the configured instance of the watchdog to the creation of
the watched task. Doing like this, the only non-functional code to be intruded in the watched
task can be the function call corresponding to sending the heartbeat to the watchdog. A generic
“HEARTBEAT” method, with no arguments, can be used. This can be a symbolic name properly
defined in a header file written by the translator and automatically included when compiling
the user application. Even when instrumenting is not possible, the watched task can start the
watchdog by means of a symbolic name properly defined in the above mentioned header file.
These kind of translations can be applied to most of the tools of a library such as SwIFT or
EFTOS (see Sect. 3.1.1). Note how the minimal or absent code intrusion provides an optimal SC.
The adoption of a custom, ad hoc language for the expression of the configuration concerns can
be used to reach high values for SA and compile-time A.
4.2.2.3

Configuration of Replicated Tasks

The translator and the BSL may be used to implement replicated tasks, i.e., multiple instances
of the same task that perform like a more dependable entity. The goal of the translator is to
4.2. KEY IDEAS AND TECHNICAL FOUNDATIONS

51

mask this choice and any other fault-tolerance technicalities, including, in this specific case,
replication. This can be obtained, e.g., by solving separately the following sub-problems, both at
syntactical and at semantical level:
1. replication and forwarding of the input value,
2. execution support of a fault-tolerance strategy,
3. output management.
Problem 1 can be solved by defining a group-of-tasks object that, once passed to the BSL
function for sending messages, triggers a multicast of the same message to the whole group, as
suggested in Sect. 4.2.2.1.
Problem 2 can be solved in various ways—for instance, through a temporal redundancy
scheme, executing the involved tasks one after the other, on the same node, or via spatial redundancy, executing tasks in parallel. Increased dependability may be obtained via a number of
software techniques, implementing schemes such as active replication or primary-backup replication [GS97]. As noticed in the cited paper, each scheme has both positive and negative aspects
and requires solving specific problems. All these problems are low-level design issues that can
be made transparent to the user of an RεL system. Other choices and options, e.g., which type
and degree of replication and which redundancy scheme to adopt, that would result in nonfunctional code intrusion, can be also made transparent to the user by means of the translator
(see Sect. 4.2.2.5), hence increasing configurability.
Problem 3, depending on the adopted scheme, can be as simple as sending a message (when
in primary-backups mode) or could require special processing. For instance, in the case of active
replication, two sub-problems would call for specific treatment:
3.1. Routing the outputs produced by the base tasks.
3.2. De-multiplexing, i.e., production of a unique output value from the values routed in subproblem 3.1.
Sub-problem 3.1 can be solved, e.g., by a proper combination of pipelining and redirection, two
basic programming tools that originated in UNIX environments. Other approaches may be used
when the OS does not support the above tools. De-multiplexing, i.e., solution of sub-problem
3.2, can be for instance the result of a voting procedure performed among the outputs produced
by the base tasks. Also in this case, the availability of a translator and an appropriate syntax rule
could guarantee an almost complete separation of design concerns.
The configuration of a replicated task requires the specification of:
• The unique-id of a task globally representing a set of replicas.
• The unique-ids of the replicas.
• The replication method and its parameters.
• The actions to be taken when an output is produced by the replicated task.
52

CHAPTER 4. THE RECOVERY LANGUAGE APPROACH
• The actions to be taken when an error occurs.

In the case of replicated tasks, the translator is also responsible for the set up of a proper
run-time executive. The latter would then be responsible, at run-time, for the orchestration of
the services required by the replicated tasks—task management, distributed voting, and so forth.
Proper calls to the BSL and to instances of the basic tools may be used for this. A voting tool such
as the EFTOS voting farm [DFDL98a, DFDL98c] appear to be a natural choice, as it addresses
many of the required issues.
It is worth noting how, also in this case, full transparency is reached: a client of a replicated
task would have no way to tell whether its server be simple or replicated—possibly apart from
some performance penalty and a higher quality of service. This translates into optimal SC. The
same applies to SA and A for the reasons mentioned in Sect. 4.2.2.2.
4.2.2.4

Configuration for Retry Blocks

Transparent support for redoing (see Sect. 3.3.2.3), another important fault-tolerance provisions,
can be provided via “retry blocks”. Again, a proper run-time executive is to be produced by the
translator. The problems to be solved at this level include
1. reversibility of a failed task and
2. input replication.
The first problem can be solved by implementing some “recovery cache” (as in the RB technique; see Sect. 3.1.2.2), that is, a mechanism to checkpoint the state of the calling task before
entering the retry block and to roll it back to its original value, in case the acceptance test fails.
This may be done transparently or with the intervention of the user. In the latter case, one restricts the size of the recovery cache and reduces the corresponding overheads, at the same time
increasing the code intrusion.
The second problem could be solved via an “input cache”, i.e., a mechanism that:
• Intercepts the original input message.
• Stores the original message into some stable means.
• And forwards the saved original message to each new retry instance.
Transparent adoption of an input cache can also be realized, e.g., by means of pipelining and
redirection (when the OS supports these).
The configuration of a retry block requires the specification of:
• The unique-id of a task to be retried in case of errors.
• An acceptance test, in the form of the name of a function returning a Boolean value or of
a task that, upon termination, returns a Boolean value1 .
1

For instance, via the exit function call from the C standard libraries.
4.2. KEY IDEAS AND TECHNICAL FOUNDATIONS

53

• A threshold r representing the maximum number of retries.
• The actions to be taken when the base task fails for r times in a row.
4.2.2.5

Configuration for Multiple-Version Software Fault-Tolerance

Compile-time support towards multiple-version software fault-tolerance can be provided by the
translator through a syntax and techniques similar to those described for task replication.
The configuration of a provision for MV requires the specification of:
• The unique-id of a task representing the provision.
• The unique-id’s of the tasks running the versions.
• A set of thresholds representing time-outs on the execution of the version tasks2 .
• The name of the user-specified function to be executed by each version task.
• A method to de-multiplex the multiple outputs produced by the versions into a single
output value.
• Possible arguments to the de-multiplexing method.
• The unique-id of a task to be notified each time an execution cycle is successfully completed.
• The unique-id of a task to be notified each time an execution cycle fails.
Support towards consensus recovery blocks [SGM85] may be provided in a similar way.
Acceptance tests should be specified as described in Sect. 4.2.2.4.
4.2.2.6

Example Scenario and Conclusions

A possible compile-time and run-time scenario is now described for the case of the configuration
of multiple-version software fault-tolerance. This is done in order to provide the reader with a
more concrete view of the kind of support supplied by a configuration language.
It is assumed that the OS supports pipelining and stream redirection. It is also assumed that,
by agreement, the user tasks that are going to be used as NVP versions forward a single output
value onto the standard output stream. Finally, user tasks are assumed to be side effect-free.
Once fed with a configuration script, the translator writes a number of source files for the
tasks corresponding to the employed versions. Each of these source files, set up from some
template file, specify how to:
• Set up a configured instance of a distributed voting tool (for instance, the EFTOS voting
farm).
2

Note how, according to the hypothesis of adherence to the timed-asynchronous distributed system model, such
thresholds are known because all services are timed.
54

CHAPTER 4. THE RECOVERY LANGUAGE APPROACH
• Redirect standard output streams.
• Execute one of the version tasks.

During the execution, when a client needs to access a service supplied by the provisions, it
simply sends a request message to the corresponding task. The client does not need to know that
the latter is actually an “NVP task”, that is, a group. Through the BSL, this sending turns into a
multicast to the version tasks. These tasks, which in the meanwhile have transparently set up a
distributing voting tool,
• get their input,
• compute some user-specified function,
• produce an output,
• and (by the above agreement) write that output into their standard output stream.
This output, which was already redirected through a piped stream to the template task, is fed into
the voting system. The latter eventually produces an output that, in case of success, is sent to
some output task with the notification of successful completion of a processing cycle.
Note that the client task of such an “NVP task” is completely unaware of the context in
which it is running, with full transparency and separation of design concern. One can conclude
that the adoption of a configuration strategy like the one just sketched can lead to an optimal SC.
The variety of fault-tolerance provisions that can be supported by configuration and the adoption
of a linguistic environment separated from the functional application layer can be exploited by
programming language designers in order to attain optimal values for SA and A as well.

4.2.3

Recovery Languages

Two of the three key concepts of RεL have been described, namely the adoption of a faulttolerance toolset and that of a configuration language. This section now introduces the third
component of RεL. This component supports two application layers, namely:
• the traditional user application layer, i.e., the one devoted to the fulfilment of the functional
requirements and to the specification of an intended user service, supported by the run-time
modules of conventional programming languages such as, e.g., C; and
• an ancillary application layer, specifically devoted to error processing and fault identification, to be switched in either asynchronously, when errors are detected in the system,
or when the user synchronously signals particular run-time conditions, such as a failed
assertion, or when the control flow runs into user-defined breakpoints.
Let us call service language the language constituting the front layer and recovery language the
one related to error processing.
4.2. KEY IDEAS AND TECHNICAL FOUNDATIONS

55

Note how a recovery language can be specified in a separate script. The latter can then be
translated into pseudo-code to be interpreted at run-time, or, e.g., into plain C to be compiled
with the user application. In the first case, the functional code and the recovery code are fully
separated, also at run-time, which can be exploited to reach optimal A as explained in Chapter 8.
The second case eliminates the overhead of interpreting the pseudo-code. The same translator
used for fault-tolerance configuration may be used to generate the pseudo-code or the C source
code.
The general strategy is as follows:
• During the lifetime of the application, in the absence of errors, the front layer controls
the progress of the service supply while the BB collects and maintains in the DB the data
concerning the state of each component of the application, the state of each node of the
system, the state and progress of public and private resources, and so forth.
• As soon as an error is detected by a BT, such as a watchdog timer, the latter transparently
forwards a notification of this event to the BB, which awakes the ancillary layer by enabling
a module to interpret or execute the recovery code. Let us call this module RINT, for
recovery interpreter.
A possible syntactical structure for the recovery language is that of a list of guarded actions,
i.e., statements in the form
g : a,
where g is a guard, i.e., a Boolean expression on the contents of the DB, and a is one or more
actions (to be specified further on). Hence, adequate paradigms for the recovery language could
be that of procedural or logic programming languages. The following two paragraphs describe
guards and actions in more detail.
4.2.3.1

Guards

Guards represent conditions that require recovery. As just said, they are Boolean expressions
made of basic queries called atoms. Possible atoms may express conditions such as:
• task t has been detected as faulty;
• task t has been detected as faulty by error detection tool d;
• for m times in a row, task t has been detected as faulty;
• a time-out concerning task t has expired;
• an N -version task has signalled that no full consensus has been reached, or in more detail:
– for m times in a row, the same version, say task t , has been found in minority with
respect to the other versions;
– for m times in a row, version t did not produce any output within its deadline;
56

CHAPTER 4. THE RECOVERY LANGUAGE APPROACH
– and so forth.
• node n is down, or, in more detail:
– node n has crashed;
– node n is unreachable;
– no sign of life from node n in the last s seconds, as measured by the local clock;
– and so forth.
• task t could not be restarted;
• some of the tasks in group g are faulty.

and so forth. Most of the atoms in a Boolean clause will require a DB query or proper actions
on DB fields—for instance, conditions like “task t is affected by a transient fault” require the
adoption, within the DB, of a thresholding statistical technique such as α-count [PABD+ 99,
BCDGG97], which is capable of distinguishing between transient and permanent/intermittent
faults. In particular, α-count (described in Sect. 5.2.4.2) can be straightforwardly “wired” into
the DB management system within the BB, because that mechanism is based on adjusting some
counters according to the contents in a stream of error messages forwarded by a set of error
detectors.
4.2.3.2

Actions

Actions are local or remote commands to be executed when their guard is evaluated as true. Actions can specify, for instance, recovery or reconfiguration services. A special case of action can
be also another guarded action—this allows to have nested guarded actions that can be represented as a tree. The execution of an inner guard is, again, its evaluation. When a parent guard
is evaluated as false, all its actions are skipped, including its child guards.
Actions can include, for instance:
• switching tasks in and out of a fault-tolerance structure such as, e.g., an “NVP task” (see
Sect. 4.2.2.6);
• synchronising groups of tasks;
• isolating3 groups of tasks;
• instructions to roll the execution of a task or a group of tasks back to a previously saved
checkpoint,
3

“Virtual” isolation of a task can be obtained, when the task obeys the third assumption of Sect. 4.1.2, “disactivating” the corresponding BSL communication descriptors.
4.3. WORKFLOW

57

Figure 4.1: A workflow diagram for RεL. Labels refer to usage steps and are described in
Sect. 4.3.
and so forth. Actions have a system-wide scope and are executed on any processing node of
the system where a non-faulty component of the BB is running. They may include commands
to send control signals to specific components of the BB or to user tasks. Basic tools such as a
distributed voting tool like the EFTOS voting farm [DFDL98c, DFDL98a] can be instructed so
that they respond to that signal supplying transparent support towards graceful degradation, task
switching, and task migration, as described for instance in [DFDL98c]. Furthermore, the ability
to distinguish between transient and permanent/intermittent faults can be exploited, in order to
avoid unnecessary reconfigurations or other costly or redundancy-consuming actions, attaching
different strategies to these two cases.

4.3

Workflow

This section describes the workflow corresponding to the adoption of the RεL approach.
Figure 4.1 summarises the workflow. The following basic steps have been foreseen:
• In the first steps (labels 1 and 2 in the cited figure), the designer describes the key application and system entities, such as tasks, groups of tasks, and nodes. The main tool for this
phase is the configuration language.
• Next (step 3), the designer configures the basic tools and the fault-tolerance provisions he
/ she has decided to use. The configuration language is used for this. The output of steps
1–3 is the configuration code.
• Next (step 4), the designer defines what conditions need to be caught, and what actions
should follow each caught condition. The resulting list is coded as a number of guarded
action via a recovery language.
• The configuration code and the recovery code are then converted via the translator into
a set of C header files, C fragments, and system-specific configuration files (steps 5 and
6). These files represent: configured instances of the basic tools, of the system and of the
application; initialisation files for the communication management functions; user preferences for the backbone; and the recovery pseudo-code.
• On steps 7–9, the application source code and the configured BT instances are compiled in
order to produce the executable code of the application.
• Next, the backbone is compiled on steps 10–12.
• Finally, on step 13, the communication management services of the BSL are configured in
order to allow the proper management of multicasting and other communication services.
58

CHAPTER 4. THE RECOVERY LANGUAGE APPROACH

4.4

Relation with Other ALFT Approaches and Specific Limitations

This section draws a qualitative comparison between RεL and the system structures for ALFT
described in Chapter 3. The structural attributes SC, SA and A are the key properties being
assessed and compared. Finally, the specific limitations of RεL are summarised.
First, one can observe that the concept of recovery languages shows some similarities with
respect to the recovery meta-program approach (RMP, defined in Sect. 3.5) and to aspect-oriented
programming languages (AOP, see Sect. 3.4). A recovery language is indeed a language to
express application-level error recovery concerns, as it is for the RMP language and as it can be
for custom aspect languages. Nevertheless, a number of differences can be pointed out:
• RMP is invoked synchronously, under the control of the user, who is responsible for
placing specific “breakpoints” in his/her application. Control is transferred to the metaprogram as soon as a breakpoint is encountered. On the contrary, using the RεL, a recovery
language executor (RINT) is awoken, asynchronously, each time a new error is entered in
the DB, or synchronously, when the user signals some condition. Less code intrusion is
required by RεL, which thus reaches better SC.
• Furthermore, a recovery language is incorporated in a wider RεL scheme that includes an
off-line configuration tool—the translator, by means of which the user can specify in a
separate programming environment issues such as, for instance, replication.
• The adoption of a special grammar for the recovery language allows the fault-tolerance
designer to experiment with the system structure for software fault-tolerance in order to
increase the ability of the language at expressing a wide variety of fault-tolerance provisions in an adequate way. This allows, e.g., to set up a refinement process that can be used
to adjust incrementally the syntax of a recovery language. On the contrary, RMP opted for
a pre-existing, standard language (CSP). One can conclude that RεL may be better than
RMP with respect to attribute SA.
• To date, RMP is only available on a prototypic system [ADG+ 90]. On the other hand, a
RεL prototypic architecture has been developed on a number of hardware platforms (see
Sect. 5.1).
Furthermore, with respect to AOP, one can first observe that:
• Both approaches reach optimal separation of the design concerns (attribute SC).
• Very limited research has been conducted so far on the design of fault-tolerance aspect
languages—as far as the author of this dissertation could find in the literature—and on
the adequacy of AOP as a syntactical structure to host efficaciously a set of fault-tolerance
provisions. The many fault-tolerance provisions supported by the configuration language
and a proper syntax for the recovery language can guarantee adequate degrees of SA for
the RεL.
4.4. RELATION WITH OTHER ALFT APPROACHES AND SPECIFIC LIMITATIONS

59

• Designing the aspect programs, and in particular those related to fault-tolerance, may be
more complex than writing a set of guarded actions as required by RεL. The same may be
true when considering verification issues: the logic structure of guarded actions may allow
the automatic translation of a recovery language program into the form of a set of logic
clauses with whom a verification tool may be fed.
• The separation between the executable code addressing fault-tolerance and the one addressing the functional objectives can be exploited to reach optimal A with RεL (see Chapter 8). A similar result can be reached also with AOP by executing the weaving process
at run-time. Note how this calls for the interpretation of the whole resulting “tangled”
program, and leads to some performance penalty that only regards error recovery in RεL.
Secondly, it is worth observing how some of the ALFT approaches, such as SV, MV, and
MOPs, are not complementary with respect to RεL; on the contrary, as it has been shown for the
configuration language, most of the SV and MV provisions can be supported and hosted by RεL.
Furthermore, the adoption within a RεL-based architecture of fault-tolerance provisions based on
MOPs would result in a straightforward improvement of RεL which would further increase its
degrees of SA and SC. One can conclude that, using RεL, the user can take advantage of a wider
set of provisions, and can express error recovery strategies into one coherent syntactical structure,
where “coarse-grained” techniques such as NVP are used next to “fine-grained” techniques, such
as those based on transparent object redundancy. This way the user is set free to choose the
provisions which match better with the problems to be addressed.
Finally, one can note that the language-based approaches differ considerably from RεL. Despite their many positive characteristics, their very axioms—using a custom syntax for both the
functional and the fault-tolerance concerns—may restrict significantly their usability. The lack
of standards is further detrimental to their diffusion. On the contrary, the choice to support a standard language for the functional aspects and an ad-hoc syntactical structure for the fault-tolerance
aspects allows to reach optimal SA with no impact on the usability.

4.4.1

Limitations of RεL

As it is remarked in Chapter 6, a complete and detailed evaluation of any ALFT approach requires
strong usability studies in order to assess its effectiveness as a structuring technique for hosting
the fault-tolerance aspects into the application-layer of a computer program [LVL00, RX95]. In
this context, relevant properties other than the structural attributes SC, SA and A play an important
role. Among them, the performance penalties in terms of time and memory size may be crucial in
order to determine whether a RεL architecture may be hosted, for instance, on a given streamlined
embedded system.
At the moment, some steps have been conducted towards a process of overall evaluation (see
Chapter 6 and Chapter 7). Promising results have been observed for the single prototypic RεL
architecture that is available to date (see Chapter 5), though no complete assessment of RεL is
available yet, mainly because of its novelty.
Even from the so far limited experience, a few facts can be observed, which can be used to
clarify the usability domain of RεL:
60

CHAPTER 4. THE RECOVERY LANGUAGE APPROACH
• The RεL does imply a performance and memory overhead. A rough idea of the magnitude of these figures can come from the penalties of a prototypic RεL system reported in
Sect. 6.1.5.
• The system is assumed to be “static”, in the sense that it must be known completely at
compile-time. This means that, to date, the system cannot grow dynamically beyond the
boundaries that have been set at compile-time. This assumption may match well with
some parallel or distributed embedded system but does not allow the adoption of unlimited
distributed systems, such as Internet-based wide-area metacomputing systems [Buy99].
• Specific support for checkpoint-and-rollback has been designed but not implemented in
the current prototypic architecture described in next chapter. This means that the current
implementation of RεL requires external support to checkpoint-and-rollback. Coupling the
current structure of RεL with the system described in [Dec96] is a straightforward way to
solve this limitation.
• The current implementation of RεL supports spare task management and a fault-identification mechanism. The adoption of these features does impact on the real-time behaviour
of the system. This may turn into the unsuitability to fulfilling hard real-time constraints.
• The crash/performance failure semantics assumption may require specific support.

It is worth remarking how some of these limitations pertain to specific implementation aspects, and that the overheads measured so far derive from a prototypic, non-optimised implementation.

4.5

Conclusions

A novel approach to ALFT has been described. The approach provides its users with a single linguistic structure to express application-level error recovery concerns and to configure a number
of fault-tolerance provisions outside the functional application layer. The latter can be provided
by any procedural language.
The RεL approach addresses dependability goals for distributed or parallel applications written in any procedural language. Its target hardware platforms include distributed and parallel
computers consisting of a set of processing nodes known at compile time. Within this application and system domain, the novel approach can be qualitatively assessed as reaching optimal
values of the structural attributes. In particular, with respect to the ALFT approaches reviewed
in Chapter 3:
• Error recovery is expressed in a separate programming context.
• The executable code is separable—that is, at run-time, the portion of the executable code
devoted to the fault-tolerance aspects is clearly distinct from the functional code.
4.5. CONCLUSIONS

61
Approach
SV
MV (RB)
MV (NVP)
MOP
EL
DL
AOP
RMP
RεL

SC

SA

A

1
1
4
5
3
3
5
5
5

2
1
1
3
1
5
3
2
5

1
1
1
3
1
1
4
1
5

Table 4.1: Comparison between RεL and the approaches proposed in Chapter 3 and summarised
in Table 3.1.
Figure 4.2: The data in Table 4.1 are here represented as a stacked area.
• A large number of well-known fault-tolerance strategies are supported in a straightforward
way.
• The RεL addresses a wide class of applications: that of distributed applications, with nonstrict real-time requirements, written in a procedural language, to be executed on distributed or parallel computers consisting of a set of processing nodes known at compile
time.
• It reaches both the benefits of the evolutionary approaches, which base themselves on standards, and those of “revolutionary” approaches, exploiting ad-hoc, non-standard solutions.
• It can host other provisions and approaches.
• As shown in Sect. 6.1, in same cases RεL can be adopted with minimal programming effort
and minimal adaptation of a pre-existing, non fault-tolerant application.
Table 4.1 and Fig. 4.2 extend respectively Table 3.1 and Fig. 3.5 with the value of the structural attributes for RεL. Next chapter describes a prototype architecture based on the RεL
approach.
62

CHAPTER 4. THE RECOVERY LANGUAGE APPROACH
Chapter 5
A Distributed Architecture Based on the
Recovery Language Approach
This chapter describes a prototypic architecture based on RεL that has been designed in the
context of the European ESPRIT project TIRAN.
The structure of the chapter is as follows: first, project TIRAN is described in Sect. 5.1. The
main components of the TIRAN architecture are covered in Sect. 5.2. Section 5.3 describes the
TIRAN configuration and recovery language. Section 5.4 closes the chapter and draws a few
conclusions.
Throughout the chapter, the contributions of the author of this dissertation are pointed out.

5.1

The ESPRIT Project TIRAN

TIRAN is the name of the European ESPRIT project 28620. Its name stands for “tailorable faulttolerance frameworks for embedded applications” [BDFD+ 99]. The main objective of TIRAN is
to develop a software framework1 that provides fault-tolerant capabilities to automation systems.
Application-level support to fault-tolerance is provided by means of a RεL architecture, which is
described in the rest of this chapter. To date, version 2 of the framework has been issued and the
final version is due by the end of the project (October 2000). The framework provides a library
of software fault-tolerance provisions that are parametric and support an easy configuration process. Using the framework, application developers are allowed to select, configure and integrate
provisions for fault masking, error detection, isolation and recovery among those offered by the
library. Goal of the project is to provide a tool that significantly reduces the development times
and costs of a new dependable system. The target market segment concerns non-safety-critical2
distributed real-time embedded systems [BDFD+ 00].
1

To be intended herein as a set of software libraries, distributed components, and formal techniques.
Safety-critical systems, i.e., computer, electronic or electromechanical systems whose failure may cause injury
or death to human beings, such as an aircraft or nuclear power station control system [FOL00], are not covered
within TIRAN. This allows the crash failure semantics assumption (see Sect. 4.1.2) to be satisfied with less strict
coverage, which translates into lower development costs for the framework.
2

63
64

CHAPTER 5. A DISTRIBUTED ARCHITECTURE BASED ON RεL

TIRAN explicitly adopts formal techniques to support requirement specification and predictive evaluation. This, together with the intensive testing on pilot applications, is exploited in
order to:
• Guarantee the correctness of the framework.
• Quantify the fulfilment of real-time, dependability and cost requirements.
• Provide guidelines to the configuration process of the users.
The project partners are:
• The ACCA Division of the ESAT Department of the University of Leuven.
• The Computer Science department of the University of Turin (UniTo, Italy).
• The Belgian company Eonic Systems (supplier of high performance, application-specific
light-weight RTOS for DSP processors and embedded ASIC cores).
• The Italian company TXT Ingegneria Informatica (provider of systems and services in
many fields of real-time automation).
• CESI, a research centre of ENEL (the main electricity supplier in Italy, the third largest
world-wide).
• Siemens (the leading German company in the field of electrical engineering and electronics, one of the largest world-wide).
The partners are globally referred to as “the consortium”.
Within the consortium, ACCA provided expertise in fault-tolerance design and developed the
εL infrastructure; Siemens and CESI provided two industrial pilot applications; UniTo develR
oped specific Petri net models for the validation and the verification of the framework and to
facilitate the user in the process of validating its overall application design; Eonic Systems provided expertise in hard real-time systems design and developed some of the TIRAN BTs; TXT
managed the design of the TIRAN case studies, co-designed and developed the TIRAN BSL and
most of the TIRAN BTs. Furthermore, TXT, Siemens, and Eonic Systems ported the original
BSL, developed for Windows NT, to a number of hardware and operating system combinations—
which are described in what follows. The project management was carried out by CESI, which
also authored a fault-tolerance software methodology [DB00] spanning the whole software lifecycle, from requirement specification up to product development.
Most of this framework has been designed for being platform independent. A single version
of the framework has been written in the C programming language making use of a BSL designed
by the consortium and initially developed by TXT for the development platform (Windows NT).
Within TIRAN, a number of target platforms and systems compliant to the model sketched in
Sect. 4.1 have been selected. Porting TIRAN to these platforms is mainly obtained through the
porting of the BSL. The project’s target platforms include:
5.1. THE ESPRIT PROJECT TIRAN

65

• A set of Mosaic0203 boards running the Virtuoso microkernel [Sys98, Mos98].
• A set of VME boards based on PowerPC processors and running the VxWorks operating
system [Win99].
• A set of DEC Alpha boards running the TEX kernel.
• Clusters of Windows-CE personal computers (PCs).
The final version of the TIRAN framework, to run on all the above systems, is demonstrated in
November 2000 at the final TIRAN review meeting and at the TIRAN workshop [Thi00].
Some elements of the framework are also available on Parsytec CC and Parsytec Xplorer systems based on the PowerPC processor and the EPX kernels [Par96a, Par96b] and on a proprietary
hardware board based on the DEC Alpha chip and running the TEX kernel [DEC97, TXT97].
The project results, driven by industrial users’ requirements and market demand, will be
integrated into the Virtuoso RTOS at Eonic Systems and are being tested and adopted by ENEL
and SIEMENS within their application fields.
The main components of the TIRAN framework are:
1. The TIRAN toolset, the components of which are discussed in Sect. 5.2.
2. The TIRAN configuration and recovery language ARIEL, described in Sect. 5.3. In particular:
• Its translator is dealt with in Sect. 5.3.3.1.
• The run-time executive of ARIEL, which is sketched in Sect. 5.3.3.2.
TIRAN builds on top of the ESPRIT project EFTOS that has been described in Sect. 3.1.1.
In particular, the author of this dissertation has conceived, designed and developed a number of
components while taking part in these two projects within the ACCA Division. They include:
• The TIRAN BB, including its fault-tolerance distributed algorithm AMS [DFDL00a] (see
Sect. 5.2.4.1) and the DB management system.
• The ARIEL configuration and recovery language [DFDL98b, DDFB01].
• The ARIEL translator, art.
• The RINT module.
• The TOM module [DFDL00b].
3

Mosaic020 boards have been developed in the framework of the ESPRIT project Dipsap II [Dip97] by
DASA/DSS and Eonic Systems. They are based on the Analog Devices ADSP-21020 DSP and the SMCS communication chip. The SMCS chip—co-designed by the ACCA Division —complies with the IEEE 1355 standard [IEE95]
and has hardware support for detecting transmission and connection errors and for higher level system protocols such
as reset-at-runtime.
66

CHAPTER 5. A DISTRIBUTED ARCHITECTURE BASED ON RεL

Figure 5.1: A representation of the TIRAN elements. The central, whiter layers constitute the
TIRAN framework. This same structure is replicated on each processing node of the system.
• The MON module, that is, a monitoring tool based on WWW technology [DFDT+ 98].
He also wrote and adapted the EFTOS voting farm [DFDL98c] in order to function as a distributed voting system in the TIRAN framework.
Figure 5.1 draws the TIRAN architecture and positions its main components into it. Two
types of edges are used in the picture:
• The thinner, directed edge represents relation “<Sends>”: if such an edge goes from entity
a to entity b then it means that a sends a data message to b or requests a service provided
by b through a control message or a method invocation.
• The thicker edge is only used between the RINT and ARIEL entities and means that the former implements the latter through the process of interpreting the r-codes (see Sect. 5.3.3.2).
The central, whiter layers represent the TIRAN framework. In particular:
• The level 0 hosts the TIRAN BSL, which gives system-independent access to the services
provided by the underlying run-time system (see Sect. 4.2.1). The user application, the
BTs, the BB, the TOM, and the dependable mechanisms (DMs, see Sect. 5.2.3), all make
use of the BSL, e.g., to create tasks or to send messages through a mailbox.
• Level 1 services are provided by the BTs for error detection and fault masking (level 1.1)
and by those for error isolation, recovery and reconfiguration (level 1.2). Both services are
supplied by node-local provisions. Section 5.2.1 describes in more detail the BTs. The
edge from BT to BB represents the sending of error detection or diagnostic messages. The
edge from BB to BT represents control messages, such as, for instance, a request to modify
a parameter of a watchdog, or a request to reboot the local node (see Fig. 5.7).
• Level 2 hosts the TIRAN BB, including the TOM component, the DB management functions, and the recovery interpreter, RINT. In Fig. 5.1, the thicker edge connecting RINT
to ARIEL means that RINT actually implements (executes) the ARIEL programs. Note the
control and data messages that flow from BB to TOM, DB, and RINT. RINT also sends
control messages to the isolation and recovery BTs. Data messages flow also from BB to
the monitoring tool.
• Dependable mechanisms, i.e., high-level, distributed fault-tolerance tools exploiting the
services of the BB and of the BTs, are located at level 3. These tools include the distributed
voting tool, the distributed synchronisation tool, the stable memory tool, and the distributed
memory tool, described in Sect. 5.2.3. DMs receive notifications from RINT in order to
execute reconfigurations such as introducing a spare task to take over the role of a failed
task (see Table 5.4).
5.2. SOME COMPONENTS OF THE TIRAN FRAMEWORK

67

Figure 5.2: The main components of the RεL architecture developed in TIRAN are located within
the workflow diagram of Fig. 4.1. A so-called “SocketServer” has been also depicted, i.e., a BSL
component managing message transmission and dispatching.
The layers around the TIRAN framework in Fig. 5.1 represent (from the layer at the bottom and
proceeding clockwise):
• The run-time system.
• A provision to inject software faults at all levels of the framework and in the run-time
system.
• The monitoring tool, for hypermedia rendering of the current state of the system within a
WWW browser windows.
• The functional application layer and the recovery language application layer (the latter is
represented as the box labelled ARIEL).
Figure 5.2 locates the key elements of the TIRAN architecture within the workflow diagram
in Fig. 4.1.
The following sections describe these components in detail.

5.2

Some Components of the TIRAN Framework

This section describes some key components of the TIRAN framework, namely:
• The TIRAN toolset, i.e., the BTs, the BSL, the BB, and the TOM service.
• A level-3 mechanism, i.e., an application-level provision for distributed voting.

5.2.1

The TIRAN Basic Tools

The TIRAN BTs represent a layer of node-local services for error detection, fault masking, error
recovery, and isolation. The TIRAN BTs include:
1. A watchdog timer.
2. A node-local voting system.
3. An input replicator, to be used with the voting system.
4. An output collector, to be used with the voting system.
5. A tool responsible for node shutdowns.
CHAPTER 5. A DISTRIBUTED ARCHITECTURE BASED ON RεL

68

6. A tool responsible for node reboots.
7. A tool responsible for isolating a task.
Some of the BTs (such as the level 1.1 BTs with numbers 1–4) are application-level software
tools, others (for instance, the level-1.2 BTs number 5–7) provide hooks to lower-level services.
Most of these tools have been designed and developed by Eonic Systems and have been especially conceived in order to meet hard real-time requirements. A deeper description of some
of these tools can be found in [DBC+ 98, DTDF+ 99]. As a side effect of using these tools,
the TIRAN BB (see Sect. 5.2.4) is transparently notified of a number of events related to faulttolerance.
Notifications generally describe the state of a given component and have the form of a 4-tuple
of integers
(c, t, u, p),
where c identifies a specific condition, t is a label that specifies the type of BT, u is the uniqueid of either a task, or a group of tasks, or a node, and p is a possibly empty list of optional
arguments. Within TIRAN, function RaiseEvent is used to forward notifications. Function
RaiseEvent has the following prototype:
int RaiseEvent(int condition, int actor, TIRAN TASK ID uniqueId,
int nargs, ...).

5.2.2

The TIRAN Basic Services Library

The TIRAN BSL offers specific services including communication, task creation and management, access to the local hardware clock, management of semaphores, and so forth. This BSL
supports multicasting: messages are sent to so-called “logicals,” i.e., groups of tasks. It has
been purposely designed by TXT and the TIRAN Consortium and developed by TXT, Siemens
and Eonic Systems for the target platforms and operating systems. Specific adaptation layers
may be designed for mapping existing communication libraries, such as MPI/RT [KSR98] or
PVM [GBD+ 94, DFM92], to the TIRAN BSL.
As a side effect of using some of the BSL functions, the TIRAN BB (see Sect. 5.2.4) can be
transparently notified of events such as a successful spawning of a task, or the failure state of a
communication primitive. BSL notifications are similar to BT notifications—4-tuples of integers
(c, t, u, p),
where c and p are as in Sect. 5.2.1, while in this context t is a label that specifies the class of BSL
services and u is the unique-id of the task that experienced condition c.
A full description of the TIRAN BSL can be found in [CSV+ 99].

5.2.3

The TIRAN Distributed Voting Tool

As already mentioned, the TIRAN DMs are distributed, high-level fault-tolerance provisions that
can be used to facilitate the development of dependable services. The TIRAN DMs include:
5.2. SOME COMPONENTS OF THE TIRAN FRAMEWORK

69

Figure 5.3: A restoring organ [Joh89], i.e., a N-modular redundant system with N voters, when
N = 3. Note that a de-multiplexer is required to produce the single final output.
Figure 5.4: Structure of the TIRAN DV for N = 3.
• A tool to enhance data integrity by means of a stabilising procedure (data is only allowed to
pass through the system boundaries when it is confirmed a user-defined number of times).
This is known as Stable Memory Tool and is described in [DBC+ 98, DFDLG01].
• A Distributed Synchronisation Tool, i.e., a software tool for synchronising a set of tasks.
A description of this tool can be found in [CSV+ 99].
• A so-called Distributed Memory Tool, that creates and manages distributed replicas of
memory cells.
• A “Redundant Watchdog”, i.e., a distributed system exploiting multiple instances of the
watchdog BT in order to enhance various dependability properties (see Sect. 6.4).
• The TIRAN distributed voting tool (DV), an adaptation of the EFTOS voting farm, designed and developed by the author of this dissertation.
This section describes one of the above tools, namely the DV.
The TIRAN DV is a RεL-compliant software component that can be used to implement
restoring organs i.e., N -modular redundancy systems (NMR) with N -replicated voters [Joh89]
(see Fig. 5.3). The basic goals of the tools include fault transparency but also replication transparency, a high degree of flexibility and ease-of-use, and good performance. Restoring organs
allow to overcome the shortcoming of having one voter, the failure of which leads to the failure
of the whole system even when each and every other module is still running correctly. From
the point of view of software engineering, such systems though are characterised by two major
drawbacks:
• Each module in the NMR must be aware of and responsible for interacting with the whole
set of voters;
• The complexity of these interactions, which is a function that increases quadratically with
N (the cardinality of the set of voters), burdens each module in the NMR.
To overcome these drawbacks, DV adopts a different scheme, as described in Fig. 5.4: in this
new scheme, each module only has to interact with, and be aware of one voter, regardless of the
value of N. Moreover, the complexity of such a task is fully shifted to the voter.
The key component of the DV architecture is indeed the voter (see Fig. 5.5), defined as a local
software module connected to one user module and to a set of peer-levels connected with each
other. The attribute “local” means that both user module and voter run on the same processing
node. As a consequence, the user module has no other interlocutor than its voter, whose tasks
70

CHAPTER 5. A DISTRIBUTED ARCHITECTURE BASED ON RεL

Figure 5.5: A user module and its voter. The latter is the only voter the user module needs to be
aware of: control and data messages only flow between these two ends. This has been designed
in order to minimise the burden of the user module and to keep it free to continue undisturbed as
much as possible.
Figure 5.6: The “local” input value has to be broadcast to N − 1 fellows, and N − 1 “remote”
input values have to be collected from each of the fellows. The voting algorithm takes place as
soon as a complete set of values is available.
are completely transparent to the user module. It is therefore possible to model the whole system
as a simple client-server application: on each user module the same client protocol applies while
the same server protocol is executed on every instance of the voter. The following paragraphs
briefly describe these two protocols.
5.2.3.1

Client-Side Protocol

Table 5.1 gives an example of the client-side protocol, i.e., the sequence of actions that need to
be executed in each user module in order to make proper use of the DV. Six “methods” have
been set up in order to declare, define, describe, activate, control, and query the DV. In particular,
describing an instance of DV stands for creating a static map of the allocation of its components;
activating an instance means spawning the local voter (this is described in next paragraph); controlling an instance means requesting its service by means of control and data messages (this
includes starting a voting session); finally, an instance of DV can also be queried about its state,
the current voted value, and so forth.
As already mentioned, the above steps have to be carried out in the same way on each user
module: this coherency is transparently supported by the TIRAN configuration language (see
Sect. 5.3).
This protocol is available to the user as a class-like collection of functions dealing with
opaque objects referenced through pointers.
5.2.3.2

Server-Side Protocol

The local voter process executes the server-side of DV. After the set up of the static description
of the local instance (Table 5.1, line 3) in the form of an ordered list of process identifiers (integers greater than 0), the server-side of the application is launched by the user by means of the
TIRAN VotingRun function. This turns the static representation of the DV instance into an
“alive” (running) object, the voter process.
Each voter then connects to its user module via a pipeline and to the rest of the farm via
sockets. From then on, in the absence of faults, it reacts to the arrival of the user messages as a
finite-state automaton: in particular, the arrival of input messages triggers a number of broadcasts
among the voters—as shown in Fig. 5.6.
5.2. SOME COMPONENTS OF THE TIRAN FRAMEWORK
1
2

3
4

5
6

7

8
9

71

int main(void) {
/* declarations */
TIRAN Voting t *dv;
int objcmp(const void*, const void*);
/* definition */
dv ← TIRAN VotingOpen(objcmp);
/* description */
∀i ∈ {1, . . . , N } :
TIRAN VotingDescribe(dv, taski , versioni , identi );
/* activation */
TIRAN VotingRun(dv);
/* control */
TIRAN VotingOption(dv,
TIRAN Voting input(obj, sizeof(VFobj t)),
TIRAN Voting output(link),
TIRAN Voting algorithm (VFA WEIGHTED AVERAGE),
TIRAN Voting timeout (TIMEOUT),
TIRAN Voting scaling factor(1.0) );
/* query */
do { MsgWait(); } while (TIRAN Voting error ≡ DV NONE
∧ TIRAN VotingGet(dv) = DV DONE);
/* deactivation */
TIRAN VotingClose(dv);
}

Table 5.1: An example of usage of the TIRAN DV. A static description of a DV instance is
completed in lines 2–4. In particular, each call of TIRAN VotingDescribe describes an
input module, specifying its task identifier, its version number (if the tool is used within an NVP
scheme), and a Boolean flag that must be true only for the current input module. At line 5 the
instance is activated. After this step, the system can be controlled by sending messages, e.g., to
select a voting algorithm or to set a timeout (line 6). The state of the system can be queried by
reading incoming state information (line 7). Finally, the system can be deactivated as in line 8.
Besides the input value, which represents a request for voting, the user module may send its
voter a number of other requests. In particular, the user can choose to adopt a voting algorithm
from the following ones:
• Formalised majority voter technique,
• Generalised median voter technique,
• Formalised plurality voter technique,
• Weighted averaging technique,
CHAPTER 5. A DISTRIBUTED ARCHITECTURE BASED ON RεL

72
• Consensus.

The first four items are the voting techniques that have been generalised in [LCE89] to “arbitrary
N-version systems with arbitrary output types using a metric space framework”. To use these
algorithms, a metric function can be supplied by the user when he or she “opens” the DV instance
(Table 5.1, step 3). Other requests include the setting of some algorithmic parameters and the
removal of the voting farm (function TIRAN VotingClose).
The voters’ replies to the incoming requests are straightforward. In particular, a DV DONE
message is sent to the user module when a voting session has been performed (see line 7 in
Table 5.1).
Note how a function like TIRAN VotingGet simply sets the caller in a waiting state from
which it exits either on a message arrival or on the expiration of a time-out.
The author of this dissertation designed and developed DV and also performed a theoretical study on the performance of the core algorithm of the TIRAN DV. This algorithm realizes
the process such that every voter communicates its own input value to all the other voters and
receives the input value owned by all the other voters. The study is reported in Sect. 7.2.1 and
in [DFDL00c].

5.2.4

The TIRAN Backbone

The TIRAN BB is the core component of the fault-tolerance distributed architecture described
in this dissertation. The main objectives of the TIRAN BB include:
1. Gathering and maintaining error detection information produced by TIRAN BTs and BSL.
2. Using this information at error recovery time.
In particular, as described in Sect. 5.2.1, the TIRAN BTs related to error detection and fault masking forward their deductions to the BB. The BB maintains these data in the TIRAN DB, replicated
on multiple nodes of the system. Incoming data are also fed into an α-count [PABD+ 99] filter
(see Sect. 5.2.4.2). This mechanism allows to identify statistically the nature of faults—whether
a given fault is transient or whether it is permanent or intermittent. A set of private functions
to query the current state of the DB is available within the BB. Other private functions request
remote services such as, for instance, rebooting node n2 or starting task number 3 on node n1 .
When the underlying architecture is built around a host computer controlling a number of
target boards by means of a custom OS, the latter may execute remote commands on the boards.
On the contrary, when the OS is general-purpose and node-local, remote services can be executed
on any node of the system by sending command messages from one component to the other of the
BB—for instance, a “reboot” message may be sent from the component of the BB on node 0 to
the component on node 2. On receipt, the latter may execute the reboot command by forwarding
a local request to a basic tool addressing error isolation or recovery, e.g., a tool managing the
reboot service. Figure 5.7 represents this scheme. The above remote services can be the basis
for more complex, system-wide recovery and reconfiguration actions.
The TIRAN BB consists of two core components. In the absence of system partitioning,
within the system there is exactly one manager, holding the main copy of the DB and with
5.2. SOME COMPONENTS OF THE TIRAN FRAMEWORK

73

Figure 5.7: On each processing node exactly one component of the BB is located. This component is the intermediary of the BB on that node. In particular, it gathers information from error
detection and fault containment BTs (grey circles) and forwards requests to error containment
and recovery BTs (light grey circles). These latter execute recovery actions and possibly, at test
time, fault injection requests.
recovery management responsibilities. On other nodes, BB components called assistants deal
with DB replicas, forward local deductions to the manager and can take over the role of the
manager should the latter or its node fail.
A key point in the effectiveness of this approach is guaranteeing that the BB itself tolerates
internal and external faults. A custom distributed algorithm has been devised by the author of
this dissertation in order to tolerate crash failures triggered by faults affecting at most all but
one of the components of the BB or at most all but one of the nodes of the system. The same
algorithm also tolerates system partitioning during the “periods of instability” (see the timedasynchronous distributed system model [CF99]). This procedure, described in [DFDL00a], is
one of the contributions of the author of this dissertation to the state-of-the-art of fault-tolerance
distributed algorithms. It has been called the “algorithm of mutual suspicion” (AMS) since each
component of the BB continuously questions the correctness of all the other valid components.
It is briefly described in the following section.
5.2.4.1

The Algorithm of Mutual Suspicion

The AMS is built on a twofold error detection strategy:
• On a local basis, on each node of the system, a special watchdog called “<I’m Alive>
Task” (IAT) guards the local component of the BB. This component has to reset periodically an “<I’m Alive> flag”, which is checked and set by the IAT. A faulty or slowed
down component can be detected at the end of each period if the flag is found to be still
set.
• On a remote basis, each assistant expects a MIA (“Manager Is Alive”) message from the
manager at most every pm seconds, while the manager expects a TAIA (“This Assistant Is
Alive”) at most every pa seconds.
In the normal, non-faulty case, the IAT and the guarded BB component would simply keep
on setting and clearing the <I’m Alive> flag, while the manager and its assistants would keep on
receiving and sending MIA’s and TAIA’s (possibly piggybacking them, i.e., together with data
related to the DB).
When a crash failure affects, e.g., a guarded BB component, this results in a violation of both
the local and the remote strategy. Locally, this is detected by the guarding IAT, which reacts
to this by broadcasting a TEIF (“This Entity Is Faulty”) to the rest of the BB. Remotely, this
appears as a lack of a MIA or TAIA message from the crashed component, and within a period
of pi seconds, the arrival of a TEIF message from the remote IAT.
74

CHAPTER 5. A DISTRIBUTED ARCHITECTURE BASED ON RεL

Figure 5.8: A representation of the conjoint action of the IAT and of the BB component on the
<I’m Alive> flag.
Figure 5.9: A state diagram of the algorithm of the manager.
When a crash failure affects, e.g., the node where a BB component was running, this is
detected (remotely) by a lack of a MIA or TAIA message for pm (resp. pa ) seconds, and by a
further lack of a TEIF message after another pi seconds.
This scheme allows to detect a crash failure of a node and of a component of the BB. Figures 5.8, 5.9, and 5.10 supply a graphical representation of this algorithm.
Each component of the backbone and the IAT need to perform a set of periodical tasks, like
clearing or setting the <I’m Alive> flag, or other tasks logically to follow the expiration of time
periods pm , pa or pi . These tasks are carried out by means of lists of time-outs, and managed by
the TIRAN TOM, described in next section.
One of the partners in the consortium (UniTo) has developed a model of the AMS using
stochastic Petri Nets [CSV+ 99]. Simulations of their model revealed the absence of deadlocks.
Testing has been also performed via fault injection. Figures 5.11–5.14 show a scenario in which
a fault is injected on node 0 of a system consisting of four nodes. A Netscape World-Wide
Web browser is remotely controlled by the MON component (a non-parsing-header CGI application [Kim96, DF96b] conceived and developed by the author of this dissertation) in order to
render dynamically the shape and state of the system [DFDT+ 98]. Node 0 hosts the manager of
the BB and, as a result of the fault injection, the role of manager is appointed to backup node 1,
formerly running as a BB assistant. No node recovery is performed in this case, therefore node
0 is soon detected to be inactive and removed from the backbone.
It is worth remarking how AMS is compliant to the timed asynchronous distributed system
model described in Sect. 4.1.1. In particular, it tolerates system partitioning, during which correct
nodes are temporarily disconnected from the rest of the system. When such an event occurs,
for instance because of transient faults affecting the communication subsystem, the BB splits
up into separate blocks, in each of which a manager is elected according to a prefixed scheme
(currently, the node with the highest label is elected as manager). Blocks are then automatically
merged back into one coherent system when the erroneous conditions that brought the system to
system partitioning disappear. As a special case of this feature, a crashed node that is restarted is
automatically accepted back into the BB.
The above mentioned features have been successfully demonstrated at a review meeting of
project TIRAN. In that occasion, faults were injected by removing temporarily the Ethernet cable
connecting two PCs. The backbone reacted to this event partitioning itself into two blocks. In the
block hosting the manager, the event was followed by graceful degradation. In the block hosting
no manager, a manager was elected. Reconnecting the network cable, the two blocks merged

Figure 5.10: A state diagram of the algorithm of the assistant.
5.2. SOME COMPONENTS OF THE TIRAN FRAMEWORK

75

Figure 5.11: A fault is injected on node 0 of a system of four nodes. The Node hosts the manager
of the BB. The user selects the fault to be injected and connects to a Netscape browser remotely
controlled by the MON application.
Figure 5.12: The browser acts as a renderer of the shape and state of the system. The textual
window reports the current state of the list of time-outs used by the TOM component on node 0.
back with one of the manager being demoted to the role of assistant. The reviewers assessed this
demonstration and the others which were shown in that occasion as impressing [Mor00].
5.2.4.2

The α-Count Fault Identification Mechanism

It is well known that reconfiguration is a costly activity, in the sense that it always results in
redundancy consumption. This translates in a possibly graceful, though actual degradation of the
quality of service of a system. This may have drastic consequences, especially in systems where
service degradations are static and irreversible. For instance, in satellites and space probes, rapid
exhaustion of redundancy may severely affect the duration of the useful mission hours and hence
reliability [Inq96]. Two important issues towards solving the problem just stated are:
1. Understanding the nature of faults, and in particular identifying faults as permanent (and
thus actually requiring reconfiguration) with respect to transient ones.
2. Tolerating transient faults with less redundancy consuming techniques, possibly not based
on reconfiguration.
Issue 1 means that the adopted fault-tolerance mechanism is required not only to locate a component subject to an error, but also to assess the nature of the originating fault. This implies
processing additional information and unfortunately translates also in a larger delay in fault diagnosis. Despite this larger delay, in same cases the benefits of techniques based on the above
issues may be greater than its penalties in performance and latency [BCDGG97].
A number of techniques have been devised to assess the character of faults—some of them
are based on tracking the occurrences and the frequency of faults and adopting thresholds of the
kind “a device is diagnosed as affected by a permanent fault when four failures occurs within
24 hours”. This and other similar heuristics are described in [LS90]. A novel fault identification mechanism, called α-count, has been described in [PABD+ 99] and recently generalised
in [BCDGG00]. α-count is also based on thresholds. The basic idea is that each system component to be assessed is to be “guarded” by an error detection device. This device should forward
its deductions, in the form of a binary digit, to a device called α-count filter. For each incoming
judgement, the filter would then perform the α-count technique and issue an assessment about
the nature of the fault leading to the detected error.

Figure 5.13: The crash of node 0 has been detected and a new manager has been elected.
CHAPTER 5. A DISTRIBUTED ARCHITECTURE BASED ON RεL

76

Figure 5.14: On election, the manager expects node 0 to be back in operation. In this case this
is not true (that node has been shut down), so node 0 is detected as inactive and labelled as
“KILLED”.
6
threshold
5
4
(L)
α1 3

2
1
0
0

2

4

6

8

10

12

14

L

(L)

Figure 5.15: The picture shows how an α-count filter, α1 , is updated when it receives 14 error
detection notifications (0 ≤ L ≤ 13) from the BB. Notifications are in this case randomlychosen. Note that, on the last notification (L = 13), a threshold (in this case, 5.5) is reached and
the corresponding fault is assessed as permanent or intermittent.
More formally, given n “guarded” components ui , 0 ≤ i < n, the authors of the strategy call
the L-th judgement on ui . Judgement 0 means success (ui is “healthy”), 1 means failure (ui
is faulty). A score vector, αi , 0 ≤ i < n, is initially set to zero and updated, for each judgement
L > 1, as follows:

(L)
Ji

(L−1)

(L)
αi

(L)

=

(L)

αi
K
if Ji = 0
(L−1)
(L)
αi
+ 1 if Ji = 1,

(5.1)

being 0 ≤ K ≤ 1. When αi becomes greater than a certain threshold αT , ui is diagnosed as
affected by a permanent or intermittent fault. This event may be signalled to a reconfigurator
or another fault passivation mechanism. The authors of α-count show that their mechanism is
asymptotically able to identify all components affected by permanent or intermittent faults—if
the threshold αT is set to any finite positive integer A, and if the component is indeed affected
(L)
by a permanent or intermittent fault, they prove that αi will eventually become greater than or
equal to A [BCDGG97]. The authors also prove that similar results can be reached with some
variants of formula (5.1). Figure 5.15 shows how that counter evolves when random-valued
notifications (either positive or negative assessments) are sent to the BB.
5.2. SOME COMPONENTS OF THE TIRAN FRAMEWORK

77

Figure 5.16: An assistant running on a node of a cluster of PCs. The upper window hosts the
assistant, the lower one its SocketServer (see Fig. 5.2). In the former one, note how the α-counter
detects that task 2 is affected by a permanent-or-intermittent fault.
It is worth noting how the mechanism described above requires an approach slightly similar
to the one of the RεL toolset: in both cases, a stream of detection data has to flow from a periphery
of detection tools to a collector. This collector is the α-count filter in the one case and the TIRAN
BB and its DB in the other one. This makes it straightforward adopting α-count in TIRAN: the
filter can simply be fed with data coming from the detection BTs just before this data in inserted
into the DB. The added value of this approach is that it is possible to set up a function that returns
the current estimation of the nature of a fault (see Sect. 5.3.3). Clearly, a requirement of this
technique is that each detection tool not only forward notifications of erroneous activity, but also
confirmations of normal behaviour. This may have negative consequences on the performance
of the approach, as it may result in many communication requests. In the prototype version
developed by the author, each notification from any detection tool to the backbone is tagged
with an integer label starting at 0 and incremented by 1 at each new deduction. This way, only
negative assessments can be sent—in fact, if, for instance, the backbone receives from the same
detection tool two consecutive negative assessments labelled respectively, e.g., 24 and 28, then
this implicitly means that there have been three positive assessments in between, and the αcounter can be updated accordingly—though possibly with some delay. This strategy has been
conceived by the author of this dissertation.
Figure 5.16 shows the α-counter in action—a task has reached its threshold and has been
declared as affected by a permanent-or-intermittent fault.
The design choice to support α-count within the strategy of the TIRAN BB was taken by the
author of this dissertation.

5.2.5

The TIRAN Time-Out Manager

As already mentioned, the main assumption of RεL is the adoption of the timed asynchronous distributed system model [CF99], a recently developed promising model for solving problems such
as dynamic membership [CS95] in distributed systems. The availability of a class of functions for
managing time-outs is a fundamental requirement for that model. The TIRAN TOM [DFDL00b]
fulfils this need—it is basically a mechanism for managing lists of time-outs, defined as objects
that postpone a function call for a certain number of local clock units. Time-outs are ordered by
clock-units-to-expiration, and time-out lists are managed in such a way that only the head of the
list needs to be checked for expiration. When the specified amount of time elapses for the head
of the list, its function—let us call it “alarm”—is executed and the object is either thrown out
of the list or renewed (in this second case, a time-out is said to be “cyclic”). A special thread
monitors and manages one or more of such lists, checking for the expiration of the entries in the
time-out list.
Within the strategy of the TIRAN BB, a TOM task is available on each node of the system,
CHAPTER 5. A DISTRIBUTED ARCHITECTURE BASED ON RεL

78

Figure 5.17: How the alarm manager works: in 1., a 330ms alarm called X is inserted in the list.
In 2., after 100ms, X has been reduced to 230ms and a 400ms alarm, called Y, is inserted (its
value is 170, i.e., 400-230). Another 70ms have passed in 3., so X has been reduced to 160ms.
At that point, a 510ms alarm, Z is inserted–it goes at the third position. In 4., after 160ms, alarm
X occurs–Y becomes then the top of the list; its decrement starts. In 5. another 20ms have passed
and Y is at 150ms–at that point a 230ms alarm, called W is inserted. Its position is in between Y
and Z, therefore the latter is adjusted. In 6., after 150ms, Y expires and W goes on top.
spawned at initialisation time by the local BB component. TOM is used in this context to translate
time-related clauses, such as, “pa seconds have elapsed”, into message arrivals. In other words,
each TOM instance of the BB may be represented as a function
a:C→M
such that, for any time-related clause c ∈ C:
a(c) = message “clause c has elapsed” ∈ M.
This homomorphism is useful because it allows to deal with the entire set of possible events—
both messages and time-related events—as the arrival of one set of messages. Hence, one
multiple-selection statement such as the C language switch can be used, which translates into a
simpler and more straightforward implementation for error detection protocols such as the AMS.
TOM uses a well-known algorithm for managing its time-outs [Tan96]. Once the first timeout is entered, TOM creates a linked-list of time-outs and polls the top of the list. For each new
time-out to be inserted, a proper position in the list is found and the list is modified accordingly,
as described in Fig. 5.17. If the top entry expires, a user-defined alarm function is invoked. This
is a general mechanism that allows to associate any event with the expiring of a time-out. In
the case of the backbone, the TOM component on node k sends a message to BB component
on the same node—the same result may also be achieved by sending that component a UNIX
signal [HS87]. Special time-outs are defined as “cyclic”, i.e., they are automatically renewed at
each new expiration, after invoking their alarm function. A special function renews a time-out,
i.e., it deletes and re-enters that entry. It is also possible to temporarily suspend4 a time-out and
re-enable it afterwards.
TOM exploits multiple alarm execution threads in order to reduce the congestion that is due
to concurrent execution of alarms and the consequent run-time violations. A description of this
strategy can be found in [DFDL00b] and in Appendix B.
The design and the implementation of TOM and of the above mentioned strategy are an
original contribution of the author of this dissertation.
4

A time-out is said to be suspended when, on expiration, no alarm is executed. The corresponding entry stays in
the time-out list and obeys its rules—in particular, if the time-out was cyclic, on expiration the entry is renewed.
5.3. THE ARIEL CONFIGURATION AND RECOVERY LANGUAGE

5.3

79

The A RIEL Configuration and Recovery Language
ARIEL My master through his art foresees the danger
That you, his friend, are in; and sends me forth—
For else his project dies—to keep them living.

(Shakespeare, The Tempest, Act II, Scene I)
Within TIRAN, a single syntactical structure—provided by the ARIEL language [DFDL01,
DDFB01]—has been devised by the author of this dissertation as both a configuration and a
recovery language. This chapter describes this language and its compile-time and run-time tools.
The structure of the section is as follows:
• The general characteristics of ARIEL are described in Sect. 5.3.1.
•

ARIEL

as a configuration language is introduced in Sect. 5.3.2.

• Section 5.3.3 is on ARIEL as a recovery language.
bears its name after the character with the same name of Shakespeare’s last
Comedy, The Tempest. In fact, in the Tempest, spirit Ariel is a magic creature, the
invisible assistant of Prospero, the Duke of Milano. While Prospero plays his role in
the foreground of the Comedy—orchestrating a strategy to regain possession of his
dukedom, which had been usurped by Prospero’s brother Antonio—Ariel faithfully
serves Prospero performing his magic in the background, exploiting his powers to
execute Prospero’s commands when his “Master through his art foresees the danger” (see above quote). In a sense, the role of the ARIEL language is somewhat
similar to the one of Prospero’s ally. Its run-time support is given by the agent that
is sent forth when the BB, through its nervous terminals—the error detection basic tools—senses a potentially dangerous condition. The author of this dissertation
thinks that the name Ariel captures this similarity. This is also the reason that led the
author of this dissertation to the choice of “RεL” as an abbreviation for “Recovery
Language”: indeed, the spelling of that word is “[a:*]-[i:]-[el]”.
ARIEL

5.3.1

General Characteristics of ARIEL

is a declarative language with a syntax somewhat similar to that of the UNIX shells. One
instruction per line is allowed. Comments are like in the C shell (“#” starts a comment which
ends at next new line or at end-of-file). Names are not case-sensitive. ARIEL deals with five basic
types: “nodes”, “tasks”, “logicals”, integers, and real numbers. A node is a uniquely identifiable
processing node of the system, e.g., a processor of a MIMD supercomputer. A task is a uniquely
identifiable process or thread in the system. A logical is a uniquely identifiable collection of
tasks, possibly running on different nodes. Nodes, tasks, and logicals are generically called
entities. Entities are uniquely identified via non-negative integers; for instance, NODE3 or N3
refer to processing node currently configured as number 3.
ARIEL
CHAPTER 5. A DISTRIBUTED ARCHITECTURE BASED ON RεL

80

Integer symbolic constants can be “imported” from C language header files through the statement INCLUDE. For instance, if the C language header file "vf.h" contains a define statement
such as:
#define PROC NUM 4,
then it is possible to use that symbolic constant wherever an integer is expected in the language. To de-reference a symbolic constant imported via INCLUDEs a “brace-operator” has
been defined—for instance, under the above assumptions the following valid ARIEL statement:
NPROCS = {PROC_NUM}
(described later on) is equivalent to
NPROCS = 4.
An ARIEL script basically consists of two parts:
• A part dedicated to configuration. This is described in Sect. 5.3.2.
• A part containing the guarded actions which constitute the user-defined error recovery
strategy. They are described in Sect. 5.3.3.

5.3.2

ARIEL

as a Configuration Language

Special linguistic support has been designed by the author of this dissertation while taking part in
the TIRAN project. Aim of this linguistic support is to facilitate the configuration of the instances
of the framework elements, of the system and application parameters, and of the fault-tolerance
provisions. Let us call these elements a framework instance.
Once the user has configured a framework instance with ARIEL, the TIRAN ARIEL translator
“art” must be used to translate these high level specifications into the actual C language calls
that set up configured tasks such as, for instance, user-configured watchdogs. The output of the
translator is a set of C files that need to be compiled with the user application.
A subset of the fault-tolerance provisions described in Chapter 4 are supported by the version of ARIEL described in this dissertation. The rest of this section describes the process of
configuring a framework instance with ARIEL.
5.3.2.1

System and Application Parameters

The ARIEL configuration language can be used to define and configure the target system and
application entities, e.g., nodes, tasks, and group of tasks. The rules defined in Sect. 4.2.2.1 are
coded as follows:
• Rule (4.1), as for instance in
task3 ≡ n0 [8],
is coded as
5.3. THE ARIEL CONFIGURATION AND RECOVERY LANGUAGE

81

TASK 3 = "TMR.EXE" IS NODE 0, TASKID 8.
In other words, the above statement declares that task 8, local to node 0, is to be globally
referred to as “task 3”. String “TMR.EXE” may also be used to refer symbolically5 to
task3 . More complex rules are possible—for instance,
TASK [1,3] = "Triple" IS NODE 0, TASKID [6,8]
is equivalent to
TASK 1 = "Triple1" IS NODE 0, TASKID 6,
TASK 2 = "Triple2" IS NODE 0, TASKID 7,
TASK 3 = "Triple3" IS NODE 0, TASKID 8.
• Rule (4.2), as in
group10 ≡ {5, 6, 7},
is coded as
LOGICAL 10 = "TMR" IS TASK 5, TASK 6, TASK 7 END LOGICAL.
(String “TMR” may also be used to refer symbolically to group10 ). The example defines a
logical to be globally referred to as “logical 10”, symbolically known as TMR, and corresponding to the three tasks whose unique-id are 5, 6, and 7.
Let us assume the following lines have been written in a file called “test.ariel”:
TASK 5 = "TMR_LEADER" IS NODE 0, TASKID 8
TASK 6 = "TMR2" IS NODE 1, TASKID 8
TASK 7 = "TMR3" IS NODE 2, TASKID 8
LOGICAL 10 = "TMR" IS
TASK 5, TASK 6, TASK 7

END LOGICAL

File test.ariel can be translated by executing art as follows:
bash-2.02$ art -i test.ariel
Ariel translator, v2.0g 03-Aug-2000, (c) K.U.Leuven 1999, 2000.
Parsing file test.ariel...
...done (4 lines in 0.01 CPU secs, or 400 lines per CPU sec.)
Output written in file .rcode.
Logicals written in file LogicalTable.csv.
Tasks written in file TaskTable.csv.
Alpha-count parameters written in file alphacount.h.
5

An associative array (see, for instance, [DF96a]) may then be used to de-references an entity through its symbolic name.
CHAPTER 5. A DISTRIBUTED ARCHITECTURE BASED ON RεL

82

The bold typefaced string is the command line. What follows is the output printed to the user
screen. The italics-highlighted strings are the names of two configuration files that are written by
art on successful execution. These two files declare tasks and logicals in the format expected
by the BSL and by other ancillary components (e.g., on the version for Windows NT, these tables
are also used by a “SocketServer6 ”).
The user can also define a number of other parameters of the TIRAN world like, for instance:
• N , i.e., the total number of processing nodes in the system.
• ti , i.e., the number of tasks running on node ni .
• Task-specific parameters of the α-count fault identification mechanism supported by the
TIRAN BB.
As an example, the following lines declare a system consisting of two nodes, each of which has
to host 10 user tasks, and define the α-count parameters of task 5:
NPROCS = 2
NUMTASKS 1 = 10
NUMTASKS 2 = 10
ALPHA-COUNT 2 IS

threshold = 3.0, factor = 0.4 END ALPHA-COUNT.

The output produced by the art translator is given in this case by a number of header files:
bash-2.02$ art -i test.ariel -s
Ariel translator, v2.0g 03-Aug-2000, (c) K.U.Leuven 1999, 2000.
Parsing file test.ariel...
...done (8 lines in 0.01 CPU secs, or 800 lines per CPU sec.)
Output written in file .rcode.
Logicals written in file LogicalTable.csv.
Tasks written in file TaskTable.csv.
static version
Preloaded r-codes written in file trl.h.
Time-outs written in file timeouts.h.
Identifiers written in file identifiers.h.
Alpha-count parameters written in file alphacount.h.

Again, the command has been given in bold typeface and relevant lines have been highlighted
using the italics typeface. The “-s” option, for “static”, requests the writing of a number of header
files. The produced header files contain definitions like the following one, from file “timeouts.h”:
6

In TIRAN lingo, a SocketServer is a task run on each node of the system, which is used by the TIRAN BSL
for managing off node communication (via UDP sockets) and for local dispatching of remote messages. This is a
well-known technical solution which is used, e.g., in PVM, where a single component, pvmd (PVM daemon), is
launched on each node of a PVM cluster to manage global tasks [GBD+ 94].
5.3. THE ARIEL CONFIGURATION AND RECOVERY LANGUAGE
/* Number of available nodes
*/
#define MAX_PROCS

83

2

These are the first few lines of the output file ”alphacount.h”:
/********************************************************************
*
*
Header file alphacount.h
*
*
*
*
* This file contains the parameters of the alphacount filter
*
(factor and threshold)
*
*
* Written by art (v2.0g 03-Aug-2000) on Wed Aug 16 15:46:40 2000 *
* (c) Katholieke Universiteit Leuven / ESAT / ACCA - 2000.
*
*
*
*******************************************************************/
#ifndef
#define

__ALPHA_COUNT__
__ALPHA_COUNT__

#include "DB.h"
alphacount_t alphas[] = {
{ 0.000000,
{ 0.000000,
{ 0.400000,
{ 0.000000,

0.000000,
0.000000,
3.000000,
0.000000,

0
0
1
0

},
},
},
},

/*
/*
/*
/*

entry
entry
entry
entry

0
1
2
3

*/
*/
*/
*/

(Note how, at entry 2, the threshold and factor of the α-count related to task 2 have been
entered in an array. The latter will then be used by the TIRAN backbone when updating the
α-count filters—see Sect. 5.2.4.2).
5.3.2.2

Backbone Parameters

ARIEL can be used to configure the BB. In particular, the initial role of each BB component must
be specified through the DEFINE statement. For instance, the following two lines configure a
system consisting of four nodes and place the BB manager on node 0 and three assistants on the
other nodes:

DEFINE 0 = MANAGER
DEFINE 1-3 = ASSISTANTS
A number of backbone-specific parameters can also be specified via the ARIEL configuration
language. These parameters include, for instance, the frequency of setting and checking the
<I’m Alive> flag of the backbone. Values are specified in microseconds. A complete example
can be seen in Table 5.2. Again, the art translator changes the above specifications into the
appropriate C language settings as expected by the TIRAN BB.
CHAPTER 5. A DISTRIBUTED ARCHITECTURE BASED ON RεL

84

1
2

# Specification of a strategy in the recovery language Ariel
# Include files
INCLUDE "phases.h"
INCLUDE "vf.h"

3
4
5

# Definitions
#
After keyword ’DEFINE’, the user can specify
#
an integer, an interval, or a list, followed by
#
the equal sign and a backbone role, that may be
#
ASSISTANT(s) or MANAGER
NPROCS = 4
Define 0 = MANAGER
Define 1-3 = ASSISTANTS

6
7

# Time-out values for the BB and the <I’m Alive> mechanism
MIA SEND TIMEOUT = 800000 # Manager Is Alive -- manager side
TAIA RECV TIMEOUT = 1500000 # This Assistant Is Alive -- manager side

8
9

MIA RECV TIMEOUT = 1500000 # Manager Is Alive -- backup side
TAIA SEND TIMEOUT = 1000000 # This Assistant Is Alive -- backup side

10 TEIF TIMEOUT = 1800000 # After this time a suspected node is assumed
# to have crashed.
11 I’M ALIVE CLEAR TIMEOUT = 900000 # <I’m Alive> timeout -- clear IA flag
12 I’M ALIVE SET TIMEOUT = 1400000 # <I’m Alive> timeout -- set IA flag

13
14
15
16

# Number
NUMTASKS
NUMTASKS
NUMTASKS
NUMTASKS

17
18
19
20

TASK
TASK
TASK
TASK

of tasks
0 = 11 # node 0 is to be loaded with 11 tasks
1 = 10
2 = 10
3 = 10

[0,10] IS NODE 0, TASKID [0,10]
[11,20] IS NODE 1, TASKID [1,10]
[21,30] IS NODE 2, TASKID [1,10]
[31,40] IS NODE 3, TASKID [1,10]

21 LOGICAL 1 IS TASK 1, TASK 2, TASK 3 END LOGICAL

Table 5.2: An excerpt from an ARIEL script: configuration part. Line numbers have been added
for the sake of clarity.
5.3. THE ARIEL CONFIGURATION AND RECOVERY LANGUAGE
5.3.2.3

85

Basic Tools

ARIEL can be used to configure statically the TIRAN tools. The current prototypic version can
configure only one tool, the TIRAN watchdog. The following syntax is recognised by art to
configure it:

WATCHDOG 10 WATCHES TASK 14
HEARTBEATS EVERY 100 MS
ON ERROR WARN TASK 18
END WATCHDOG.

The output in this case is a C file that corresponds to a configured instance of a watchdog.
The application developer needs only to send heartbeats to that instance, which can be done as
follows:
HEARTBEAT 10.

5.3.2.4

Configuring Multiple-Version Software Fault-Tolerance

As described in Sect. 4.2.2.5, it is possible to design a syntax to support the configuration of the
software fault-tolerance provisions described in Sect. 3.1.2. This section describes the solution
provided by ARIEL in order to support N -version programming [Avi85], and a possible syntax
to support consensus recovery blocks [SGM85].
N -version programming. The following is an example that shows how it is possible to define
an “N -version task” with ARIEL:
#include "my_nvp.h"
N-VERSION LOGICAL {NVP_LOGICAL}
VERSION 1 IS TASK{VERSION1} TIMEOUT {VERSION_TIMEOUT}
VERSION 2 IS TASK{VERSION2} TIMEOUT {VERSION_TIMEOUT}
VERSION 3 IS TASK{VERSION3} TIMEOUT {VERSION_TIMEOUT}
METRIC "nvp_comp"
ON SUCCESS TASK{NVP_OUTPUT}
ON ERROR
TASK{NVP_ERROR} {NVP_LOGICAL}
VOTING ALGORITHM IS MAJORITY
END N-VERSION

The art translator, once fed with the above lines, produces three source files for tasks the
unique-id of which is {VERSION1}, {VERSION2} and {VERSION3}. These source files
consist of code that
• sets up the TIRAN distributed voting tool (described in Sect. 5.2.3) using metric function
int nvp_comp(const void*, const void*), setting the voting algorithm to
majority voting, and so forth;
CHAPTER 5. A DISTRIBUTED ARCHITECTURE BASED ON RεL

86

• redirects standard output streams;
• executes a user task, e.g., task {VERSION3}.
By agreement, each user task (i.e., each version) has to write its output onto the standard output
stream.
During run-time, when the user needs to access a service supplied by an NVP logical, it
simply sends a message to entity {NVP_LOGICAL}. This translates into a multicast to tasks
{VERSION1}, {VERSION2} and {VERSION3}. These tasks, which in the meanwhile have
transparently set up a distributing voting tool,
• get their input,
• compute a generic function,
• produce an output
• and (by the above stated agreement) they write the output onto their standard output stream.
This, which had been already redirected through a piped stream to the template task, is fed into
the voting system. This latter eventually produces an output that goes to task {NVP_OUTPUT}.
A time-out can also be set up so to produce an error notification when no output is sent by a
version within a certain deadline.
Table 5.3 shows one of the three files produced by the ARIEL translator when it parses the
script of Sect. 5.3.2.4. Note how this file basically configures an instance of the TIRAN DV tool
described in Sect. 5.2.3. Note also how all technicalities concerning:
• the API of the tool,
• input replication,
• the adopted voting strategy,
• output communication,
and so forth are fully made transparent to the designer, who needs only be concerned with the
functional service. This allows the fault-tolerance designer to modify all the above mentioned
technicalities with no repercussions on the tasks of the application designer, and even to deploy
different strategies depending on the particular target platform. This can be exploited in order to
pursue performance design goals.
Consensus recovery blocks. Support towards consensus recovery block may be provided in a
similar way, e.g., as follows:
5.3. THE ARIEL CONFIGURATION AND RECOVERY LANGUAGE
#include "TIRAN.h"
/∗ Task 101 of NVersion Task 20
Version 1 / 3
∗
/
int TIRAN task 101(void) {
TIRAN Voting ∗dv; size t size;
double task20 cmp(const void∗, const void∗);
dv = TIRAN VotingOpen(task20 cmp);
if (dv == NULL) {
RaiseEvent(TIRAN ERROR VOTING CANTOPEN,TIRAN DV,101,0);
TIRAN exit(TIRAN ERROR VOTING CANTOPEN);
}
/∗ voting task description: which tasks and which versions ∗
/
/∗ constitute the n-version task ∗
/
TIRAN VotingDescribe(dv, 101, 1, 1);
TIRAN VotingDescribe(dv, 102, 2, 0);
TIRAN VotingDescribe(dv, 103, 3, 0);
TIRAN VotingRun(dv);
/∗ output should be sent to task 40 ∗
/
TIRAN VotingOutput(dv, 40);
TIRAN VotingOption(dv, TIRAN VOTING IS MAJORITY);
/∗ redirect stdout into a pipe input stream ∗
/
TIRAN pipework();
/∗ execute the version ∗
/
task 101();
size = read(0, buff, MAX BUFF);
if (size > 0) {
/∗ forward the input buffer to the local voter of this version ∗
/
TIRAN VotingInput(dv, buff, size);
} else {
/∗ signal there’s no input ∗
/
TIRAN VotingInput(dv, NULL, 0);
RaiseEvent(TIRAN ERROR VOTING NOINPUT,TIRAN DV,101,0);
TIRAN NotifyTask(60, TIRAN ERROR VOTING NOINPUT);
}
}
/∗ EOF file TIRAN task 101.c ∗
/
Table 5.3: Translation of the N-Version Task defined in
Sect. 5.3.2.4.

87
CHAPTER 5. A DISTRIBUTED ARCHITECTURE BASED ON RεL

88

#include "my_crb.h"
CONSENSUS RECOVERY BLOCK LOGICAL {CRB_LOGICAL}
VARIANT 1 IS TASK{VARIANT1} TIMEOUT {VARIANT_TIMEOUT}
ACCEPTANCE TEST TASK{ACCEPT1}
VARIANT 2 IS TASK{VARIANT2} TIMEOUT {VARIANT_TIMEOUT}
ACCEPTANCE TEST TASK{ACCEPT2}
VARIANT 3 IS TASK{VARIANT3} TIMEOUT {VARIANT_TIMEOUT}
ACCEPTANCE TEST TASK{ACCEPT3}
METRIC "crb_comp"
ON SUCCESS TASK{CRB_OUTPUT}
ON ERROR
TASK{CRB_ERROR} {CRB_LOGICAL}
VOTING ALGORITHM IS MAJORITY
END CRB

This is syntactically similar to the previous example, but the user is asked to supply tasks for
the execution of acceptance tests. Other possibilities might also be considered, e.g., supplying a
function name corresponding to the acceptance test, in order to avoid the overhead of spawning
a task for that purpose.

5.3.3

ARIEL

as a Recovery Language

The same linguistic structure that realises the TIRAN configuration language is used also to host
the structure in which the user defines his / her error recovery strategies. Recovery strategies are
collections of sections with the following syntax7 :
section :

if elif else fi ;

if

:

IF ’[’ guard ’]’ THEN actions ;

elif

:
|

else

ELIF ’[’ guard ’]’
THEN actions elif ;

ELSE actions ;

:

fi

:
|

FI ;

where non-terminals guard and actions are the syntactical terms defined respectively in
Sect. 4.2.3.1 and Sect. 4.2.3.2.
7

Here and in the following, context-free grammars are used in order to describe syntax rules. The syntax used
for describing those rules is that of the yacc [Joh75] parser generator—so, for instance, symbol “|” supplies an
alternative definition of a non-terminal symbol. Terminal symbols like GT are in capital letters. They are considered
as intuitive and their definition (in this case, string “>”) in general will not be supplied.
5.3. THE ARIEL CONFIGURATION AND RECOVERY LANGUAGE

89

A RIEL’s guards. An excerpt of the context-free grammar rules for guards follows:
status

:FAULTY | RUNNING | REBOOTED | STARTED | ISOLATED
| RESTARTED | TRANSIENT ;

entity

:GROUP | NODE | TASK ;

expr

:status entity
| ’(’ expr ’)’
| expr AND expr
| expr OR expr
| NOT expr
| ERRN ’(’ entity ’)’ comp NUMBER
| PHASE ’(’ entity ’)’ comp NUMBER ;

comp

:EQ | NEQ | GT | GE | LT | LE ;

The following conditions and values have been foreseen:
Faulty. This is true when an error notification related to a processing node, a group of tasks, or
a single task, can be found in the TIRAN DB.
Running. True when the corresponding entity is active and no error has been detected that regards it.
Rebooted (only applicable to nodes). This means that a node has been rebooted at least once
during the run-time of the application.
Started (not applicable to nodes). This checks whether a waiting task or group of task has been
started.
Isolated. This clause is true when its argument has been isolated from the rest of the application
through a deliberate action.
Phase (only applicable to tasks). It returns the current value of an attribute set by any task via the
public function RaiseEvent. This value is forwarded to the BB to represent its current
“phase” or state (e.g., an identifier referring to its current algorithmic step, or the outcome
of a test or of an assertion). For instance, a voting task could inform the BB that it has
completed a given algorithmic step by setting a given integer value after each step (this
approach is transparently adopted in the EFTOS voting tool and is described in more detail
in [DFDL98c]). Recovery block tests can take advantage of this facility to switch back
and try an alternate task when a primary one sets a “failure” phase or when a guarding
watchdog expires because a watched task sent it no signs of life. This condition returns an
integer symbol that can be compared via C-like arithmetic operators.
Restarted (not applicable to nodes). This returns the number of times a given task or group has
been restarted. It implies started.
CHAPTER 5. A DISTRIBUTED ARCHITECTURE BASED ON RεL

90

Transient is true when an entity has been detected as faulty and the current assessment of the
α-count fault identification mechanism (see Sect. 5.2.4.2) is “transient”. It implies faulty.
Furthermore, it is possible to query the number of errors that have been detected and pertain
to a given entity. Complex guards can be built via the standard logic connectives and parentheses.
As an example, the following guard:
FAULTY TASK{MASTER} AND ERRN(TASK{MASTER}) > 10 AND
RESTARTED TASK{MASTER}.
checks whether the three conditions:
• the task, the unique-id of which is the value of the symbolic constant MASTER, has been
detected as faulty;
• more than 10 errors have been associated to that task;
• that task has been restarted,
are all true.
A RIEL’s actions. “Actions” can be attached to the THEN or ELSE parts of a section. In the
current implementation of the language, these actions allow to start, isolate, restart, terminate a
task or a group of tasks, to isolate or reboot a node, to invoke a local function. Moreover, it is
possible to multicast messages to groups of tasks and to purge events from the DB.
An excerpt of the context-free grammar for A RIEL’s actions follows:
actions

action

:
|

actions action ;

:
|
|

section
recovery action ;

recovery action
: STOP entity
| ISOLATE entity
| START entity
| REBOOT entity
| RESTART entity
| ENABLE entity
| SEND NUMBER TASK
| SEND NUMBER GROUP
| WARN entity ( condition )
| REMOVE PHASE entity FROM ERRORLIST
| REMOVE ANY entity FROM ERRORLIST ;
5.3. THE ARIEL CONFIGURATION AND RECOVERY LANGUAGE
|
|
condition :

91

CALL NUMBER
CALL NUMBER ’(’ list ’)’
ERR NUMBER entity ;

As suggested in Sect. 4.2.3.2, a special case of action is a section, i.e., another guarded action.
This allows to specify hierarchies (trees) of sections such that, during the run-time evaluation of
the recovery strategies, a branch is only visited when its parent clause has been evaluated as true.
In the current, prototypic implementation, the following actions have been foreseen:
Stop terminates a task or a group of tasks, or initiates the shutdown procedure of a node8 .
Isolate prevents an entity to communicate with the rest of the system9 .
Reboot reboots a node (via the TIRAN Reboot Node BT).
Start spawns (or, in static environments, awakes) a task or a group.
Restart is reverting a task or group of tasks to their initial state or, if no other means are available, stopping that entity and spawning a clone of it.
Enable awakes a task or group, or boots a node.
Send multicasts (or sends) signals to groups of tasks (or single tasks).
Warn informs a task or group of tasks that an error regarding an entity has been detected. Action
“WARN x” is equivalent to action “SEND {WARN} x”
Remove purges records from the section of the DB collecting the errors or the phases of a given
entity.
Custom actions and conditions may be easily added to the grammar of ARIEL10 .
When actions are specified, it is possible to use meta-characters to refer implicitly to a subset
of the entities involved in the query. For instance, when the first atom specifies a group of tasks,
8

These services are obtained via specific function calls to the level-1.2 BTs (see the edge from RINT to those BTs
in Fig. 5.1). Such BTs, in turn, can either execute, through the BSL, a kernel-level function for stopping processes—
if available—or send a termination signal to the involved processes. The actual choice is taken transparently, and
RINT only calls one or more times either a TIRAN Stop Task or a TIRAN Stop Node function.
9
This service is obtained as described in the previous footnote. Depending on the characteristics of the adopted
platform, isolation can be reached either through support at the communication driver or kernel level, or as follows:
when a task opens a connection, a reference to a given object describing the connection is returned to both the
user code and the local component of the BB. Action ISOLATE simply substitutes this object with another one,
the methods of which prevent that task to communicate. This explains the third application-specific assumption of
Sect. 4.1.2.
10
For instance, condition “DEADLOCKED” and action “CALL” (see Appendix C) were added to test the inclusion
in ARIEL, respectively, of a provision for checking whether two tasks are in a deadlock (see [EVM+ 98] for a
description of this provision) and of a hook to the function call invocation method. These two provisions were easily
included in the grammar of ARIEL.
CHAPTER 5. A DISTRIBUTED ARCHITECTURE BASED ON RεL

92

IF [ FAULTY (GROUP{My Group}) AND NOT TRANSIENT (GROUP{My Group}) ]
THEN
STOP TASK@
SEND {DEGRADE} TASK∼
FI

Table 5.4: This section queries the state of group {My Group} and, if any of its tasks have been
detected as affected by a permanent or intermittent fault, it stops those tasks and sends a control message to those considered as being correct so that they reconfigure themselves gracefully
degrading their overall service.
STOP TASK@1 means “terminate those tasks, belonging to the group mentioned in the first
atom of the guard, that fulfil that condition”, while WARN TASK∼2 means “warn those tasks,
belonging to the group mentioned in the second atom of the guard, that do not fulfil the second
condition”. If one does not specify any number, as in STOP TASK@, then the involved group
of tasks is the one that fulfils the whole clause. Table 5.4 shows an example of usage of this
feature. Metacharacter “star” (*) can be used to refer to any task, group, or processing node in
the system. Actions like STOP TASK* or STOP GROUP* are trapped by the translator and are
not allowed. Metacharacter “dollar” ($) can be used to refer in a section to an entity mentioned
in an atom. For instance, STOP GROUP$2 means “stop the group mentioned in the second atom
of the clause”.
The whole context-free grammar of ARIEL is provided in Appendix C.
5.3.3.1

Compile-time Support for Error-Recovery

Once fed with a recovery script, the art translator produces a binary pseudo-code, called the
r-code. In the current version, this r-code is written in a binary file and in a C header file as a
statically defined C array, as in Table 5.5. As can be seen in that table, the r-code is made of a set
of “triplets” of integers, given by an opcode and two operands. These are called “r-codes”.
This header file needs to be compiled with the application. Run-time error recovery is carried
out by the RINT module, which basically is an r-code interpreter. This module and its recovery
algorithm are described in the following section. The rest of this section describes how to translate an ARIEL script into the r-code. Within this section and the following one the simple script
of Table 5.6 will be used as an example.
The following scenario is assumed: a triple modular redundancy (TMR) system consisting of
three voting tasks, identified by integers {VOTER1}, {VOTER2}, and {VOTER3} is operating.
A fourth task, identified as T{SPARE}, is available and waiting. It is ready to take over one
of the voting tasks should the latter fail. The failed voter signals its state to the backbone by
entering phase HAS_FAILED through some self-diagnostic module (e.g., assertions or controlflow monitoring). The spare is enabled when it receives a {WAKEUP} message and it requires
the identity of the voter it has to take over. Finally, it is assumed that once a voter receives a
control message with the identity of the spare, it has to initiate a reconfiguration of the TMR
5.3. THE ARIEL CONFIGURATION AND RECOVERY LANGUAGE

93

/*************************************************************
*
*
* Header file trl.h
*
*
*
ariel *
* Hardwired set of r-codes for Ariel file
Fri Aug 18 2000 *
* Written by art (v2.0g 03-Aug-2000) on
(c) Katholieke Universiteit Leuven 1999, 2000.
*
*
*
*
*************************************************************/
#ifndef _T_R_L__H_
#define _T_R_L__H_
#include "rcode.h"
#define RCODE_CARD 15 /* total number of r-codes */
rcode_t rcodes[] = {
/*line#*/
/* opcode */
/*0*/
{ R_INC_NEST,
/*1*/
{ R_STRPHASE,
/*2*/
{ R_COMPARE,
/*3*/
{ R_FALSE,
/*4*/
{ R_STOP,
/*5*/
{ R_PUSH,
/*6*/
{ R_SEND,
/*7*/
{ R_PUSH,
/*8*/
{ R_SEND,
/*9*/
{ R_PUSH,
/*10*/
{ R_SEND,
/*11*/
{ R_PUSH,
/*12*/
{ R_SEND,
/*13*/
{ R_DEC_NEST,
/*14*/
{ R_OANEW,
/*15*/
{ R_STOP,
};

/* operand 1 */
-1,
0,
1,
10,
18,
18,
18,
0,
18,
3,
18,
3,
18,
-1,
1,
-1,

/* operand 2 */
-1 },
-1 },
9999 },
-1 },
0 },
-1 },
3 },
-1 },
3 },
-1 },
1 },
-1 },
2 },
-1 },
-1 },
-1 },

Table 5.5: The beginning of header file trl.h, produced by art specifying option “-s”. Array
rcodes is statically initialised with the r-code translation of the recovery strategy in the ARIEL
script.
such that the failed voter is switched out of and the spare is switched in the system.
Table 5.6 shows a recovery section that specifies what to do when task {VOTER1} fails. The
user needs to supply a section like the one in lines 8–12 for each voting task. Another, more
concise method based on defining a group of tasks (as in line 23 of Table 5.2) is discussed in
Sect. 7.2.2.4.
CHAPTER 5. A DISTRIBUTED ARCHITECTURE BASED ON RεL

94
1

INCLUDE "my definitions.h"

2
3
4
5

TASK
TASK
TASK
TASK

6
7
8

IF [ PHASE (T{VOTER1}) == {HAS FAILED} ]
THEN
STOP T{VOTER1}

{VOTER1} IS NODE {NODE1}, TASKID {VOTER1}
{VOTER2} IS NODE {NODE2}, TASKID {VOTER2}
{VOTER3} IS NODE {NODE3}, TASKID {VOTER3}
{SPARE} IS NODE {NODE4}, TASKID {SPARE}

9
10

SEND {WAKEUP} T{SPARE}
SEND {VOTER1} T{SPARE}

11
12
13 FI

SEND {SPARE} T{VOTER2}
SEND {SPARE} T{VOTER3}

Table 5.6: Another excerpt from a recovery script: after the declarative part, a number of “sections” like the one portrayed in here can be supplied by the user.
Once the specification has been completed, the user can translate it, by means of the art
program, into a pseudo-code whose basic blocks are the r-codes (see Table 5.7). A textual representation of the r-codes is also produced (see Table 5.8).
Other than syntax errors, art catches a number of semantical inconsistencies which are
reported to the user—as an example, a non-sense request, such as asking the phase of a node,
gives rise to the following response:
bash-2.02$ art -i .ariel -s
Ariel translator, v2.0f 25-Jul-2000, (c) K.U.Leuven 1999, 2000.
Parsing file .ariel...
Line 76: semantical error: Can only use PHASE with tasks
if-then-else: ok
...done (85 lines.)
1 error detected --- output rejected.

5.3.3.2

The ARIEL Recovery Interpreter

This section briefly describes the ARIEL recovery interpreter, RINT. Basically RINT is a virtual
machine executing r-codes. Its algorithm is straightforward: each time a new error or burst of
errors is detected,
• it executes the r-codes one triplet at a time;
• if the current r-code requires accessing the DB, a query is executed and the state of the
entities mentioned in the arguments of the r-code is checked;
5.3. THE ARIEL CONFIGURATION AND RECOVERY LANGUAGE

95

bash-2.02$ art -i ariel -v -s
Ariel translator, v2.0g 03-Aug-2000, (c) K.U.Leuven 1999, 2000.
Parsing file ariel...
[ Including file ‘my_definitions.h’ ...9 associations stored. ]
substituting {VOTER1} with 0
substituting {NODE1} with 1
substituting {VOTER2} with 1
substituting {NODE2} with 2
substituting {VOTER3} with 2
substituting {NODE3} with 3
substituting {SPARE} with 3
substituting {NODE4} with 4
substituting T{VOTER1} with T0
substituting {HAS_FAILED} with 9999
substituting {WAKEUP} with 18
substituting T{SPARE} with T3
substituting T{VOTER2} with T1
substituting T{VOTER3} with T2
if-then-else: ok
...done (17 lines in 0.02 CPU secs, or 850.000 lines per CPU sec.)
Output written in file .rcode.
Tasks written in file TaskTable.csv.
Preloaded r-codes written in file trl.h.
Time-outs written in file timeouts.h.
Identifiers written in file identifiers.h.

Table 5.7: The art program translates the section mentioned in Table 5.6 into r-codes. The “-i”
option is used to specify the input filename, “-v” sets the verbose mode, while “-s” allows to
create three header files containing, among other things, an array of pre-loaded r-codes (see
Table 5.5).
• if the current r-codes requires executing actions, a request for execution is sent to the BB.
RINT plays an important role within the RεL architecture—its main objective is establishing
and managing a causal connection between the entities of the A RIEL language (identifiers of
nodes, tasks, and groups of tasks) and the corresponding components of the system and of the
target application. This causal connection is supported by the BB and its DB. In particular, each
atom regarding one or more entities is translated at run-time into one or more DB queries. Under
the hypothesis that the DB reflects—with a small delay—the actual state of the system, the truth
value of the clauses on the entities of the language will have a large probability to tally with
the truth value of the assertions on the corresponding components of the system. Furthermore,
by means of RINT, symbolic actions on the entities are translated into actual commands on the
components. These commands are then managed by the BB as described in Fig. 5.7.
96

CHAPTER 5. A DISTRIBUTED ARCHITECTURE BASED ON RεL

Art translated Ariel strategy file: .... ariel
into rcode object file : ............... .rcode
line
rcode
opn1
opn2
---------------------------------------------00000
SET_ROLE
0
Manager
00001
SET_ROLE
1
Assistant
00002
SET_ROLE
2
Assistant
00003
SET_ROLE
3
Assistant
00004
IF
00005
STORE_PHASE...
Thread
0
00006
...COMPARE
==
9999
00007
FALSE
10
00008
STOP
Thread
0
00009
PUSH...
18
00010
...SEND
Thread
3
00011
PUSH...
0
00012
...SEND
Thread
3
00013
PUSH...
3
00014
...SEND
Thread
1
00015
PUSH...
3
00016
...SEND
Thread
2
00017
FI
00018
ANEW_OA_OBJECTS
1
00019
STOP

Table 5.8: A textual representation of the r-code produced when translating the recovery section
in Table 5.6.
The RINT task is available and disabled on each BB assistant while it is enabled on the BB
manager. Only one execution process is allowed. RINT has the architecture of a stack-based
machine—a run-time stack is used during the evaluation of clauses. In a future release of RINT,
the run-time stack shall also be used as a means for communicating information between actions.
For any r-code being executed, a message will be broadcast to the non-faulty assistants. Next rcode will only be executed when all the non-faulty assistants acknowledge the receipt of this
message and update their stack accordingly. This allows to maintain a consistent copy of the
current status of the run-time stack on each assistant. Should the manager fail while executing
recovery, the new manager would then be able to continue recovery seamlessly, starting from the
last r-code executed by the previous manager.

Chameleon. It is worth noting how some of the assumptions as well as some of the architectural solutions adopted in the TIRAN prototype and in its EFTOS predecessor have been recently
adopted in a system called Chameleon [KIBW99]. This system uses a set of basic tools (called
5.4. CONCLUSIONS

97

armors) and a distributed component, hierarchically structured into managers and non-managers.
These architectural solutions were adopted independently. No configuration nor any linguistic
support to error recovery is currently part of Chameleon.

5.4

Conclusions

The feasibility of an architecture supporting the recovery language approach for dependablesoftware engineering has been proved by describing the TIRAN framework, and in particular the
TIRAN backbone and the configuration and recovery language ARIEL. This language and its runtime system provide the user with a fault-tolerance linguistic structure that appears to the user as
a sort of second application-layer especially conceived and devoted to address the error recovery
concerns. The strategies and the algorithms of the TIRAN framework have been also described.
Next chapters complement this one by focusing on the effectiveness of this architecture.
98

CHAPTER 5. A DISTRIBUTED ARCHITECTURE BASED ON RεL
Chapter 6
Using the Recovery Language Approach
This chapter focuses on some examples of practical use of the RεL architecture described in
Chapter 5. Next chapter complements this one by focusing on the assessment of some of the
elements of that architecture.
As a matter of facts, an exhaustive analysis and assessment of an ALFT approach is a research
activity that requires both serious usability studies as the approach matures and the analysis of
many diverse real-life case studies—as it has been observed by the authors of the AOL approach
what concerns the systems based on their approach [LVL00]. Hence, a complete and detailed
evaluation for a large and complex architecture such as the TIRAN one, in its current prototypic
state, is out of the scope of this dissertation. The case studies described in this chapter, as well
as the architectural components evaluated in the next one, provide the reader with an idea of the
class of applications that RεL may tackle well and of the reasons behind these results, and as
such it may be considered as a first effort towards a complete characterisation and evaluation of
the RεL approach. Further experimentation will also be carried out in the framework of a new
ESPRIT project that is currently being evaluated for acceptance and financing1 .
A first case study is given by one of the pilot applications of the EFTOS project: the GLIMP
software, embedded into the Siemens Integrated Mail Processor. It is described in Sect. 6.1, and
focuses on the SC attribute and on performance issues.
Section 6.2 describes how RεL may be used to further improve the dependability of the
class of applications that adopt NVP as their main fault-tolerance provision. It is shown how it
is possible to exploit RεL in order to enhance the TIRAN distributed voting tool described in
Sect. 5.2.3 and attain both location transparency and replication transparency.
Section 6.3 reports on the current use that is being made of ARIEL in an industrial application
at ENEL in the framework of the TIRAN project.
Section 6.4 shows how RεL can be used to enhance the capabilities of the TIRAN basic
1

A proposal for a project called DepAuDE has recently passed the first steps towards official acceptance and
financing. DepAuDE stands for “Dependability for embedded Automation systems in Dynamic Environments with
intra-site and inter-site distribution aspects”. Aim of the project is to develop an architecture and methodology to
ensure dependability for non-safety critical, distributed, embedded automation systems with both IP (inter-site) and
dedicated (intra-site) connections. Dynamic behaviour of the systems is also required to accommodate for remote
diagnosis, maintenance or upgrades.

99
100

CHAPTER 6. USING THE RECOVERY LANGUAGE APPROACH

Figure 6.1: The IMP system.
tools in a straightforward way. In particular, a strategy is described, devised at CESI and ENEL,
which exploits the availability of a number of processing nodes in order to obtain high-safety or
high-availability watchdogs from multiple instances of the simple, node-local TIRAN watchdog.
Section 6.5 concludes the chapter summarising the positive aspects of RεL in the reported
case studies.

6.1

A Case Study: The Siemens Integrated Mail Processor

A first case study deals with an application in the industrial automation domain: an automatic
mail sorting system developed by Siemens, the Integrated Mail Processor (IMP) [Ele00], is described. Figure 6.1 draws a typical configuration of the IMP. Such system may be defined as an
integrated system for automated letter sorting designed to operate at country-level—according
to Siemens, “the latest innovation in the automation of letter sorting”, combining the processing
steps of several individual machines, from pre-processing, to reading and encoding, and up to
sorting. Conceived and developed in close cooperation with one of the largest European postal
services, the IMP is designed to avoid any manual handling and to ensure that no machinable
mail is rejected under normal operating conditions.
This section:
• First introduces the class of problems addressed by IMP (in Sect. 6.1.1).
• Then, in Sect. 6.1.2 and 6.1.3, it describes the hardware and software structures of a version
of IMP, based on the Parsytec CC system, which has been subject of investigation during
project EFTOS.
• Next, Sect. 6.1.4 describes the main design requirements of IMP related to both real-time
and dependability.
• Section 6.1.5 finally describes how the RεL approach was used in this case study and what
results were obtained.
The main reference for this section is [BGB+ 96]. In particular, all figures related to realtime, throughput, and dependability requirements for the described application are from the cited
document.

6.1.1

Automatic Mail Sorting Machines

Automatic Mail Sorting machines are used by many postal services all over the world to optimise
the delivery of letters, flats, and packets. Typically, they must be able to transport and sort up
to 36000 letters per hour. The main components of an automatic mail sorting machine are the
6.1. A CASE STUDY: THE SIEMENS INTEGRATED MAIL PROCESSOR

101

Figure 6.2: General Structure of Automatic Letter Sorting.
Figure 6.3: Schematic Data Flow of Image Processing.
transport machine, the scanner, the address reader (or OCR, i.e., Optical Character Recognition
module), and the mechanical sorter. Today OCRs are able to recognise more than 90% of machine printed addresses with error rates less than 1%. The general structure of a typical sorting
automation is illustrated in Figure 6.2.
The OCR has to extract the address information from the mail piece image. A strong requirement for the OCR is that the address information must arrive at the sorter within the time
interval given by the mail transport between scanner and sorter, otherwise the mail piece would
be rejected. The required performance calls for a solution based on high-performance computing
technology. The actual hardware structure adopting this technology is described in 6.1.2.
Two main parts can be distinguished in the OCR software: a control module and the algorithmic modules.
• The control module is responsible for the correct collaboration of all algorithmic modules.
Part of its task is to detect anomalous behaviour and take appropriate actions in such a case.
As an example of this, it supervises the deadlines imposed by the rate at which letters are
provided given by the physical transport characteristics of the system. In case of breaking
of deadlines, corrective actions are required.
• The algorithmic modules are responsible for the recognition task. They are purely dataflow driven and are not affected by modifications of the control software (and vice-versa).
During the EFTOS project, a specific functional part of the recognition module has been
subject to investigation—the GLIMP (Gray Level IMage Processing) package. The purpose of
GLIMP is to analyse the images of the scanned letters according to their various regions of
interest (ROIs). From the mail sorting point of view, the most important ROI is clearly the
address, however other ROIs located on the envelope of a letter are very important to the postal
services (for example, for purposes of revenue protection and fraud detection, it is required to
find and classify the stamp or the meter mark of the letter). Other labels indicate registered mail
or foreign mail. The task of this ROI-analysis sub-system is performed in parallel in order to
meet the real-time constraints of the sorting system.
The global data flow can be described by the scheme of Fig. 6.3. The raw image of the
scanner is fed into two image paths, one processing the image towards binarisation, the other one
providing the ROI-analysis of the image, that execute in parallel. The results of this analysis is
then used to extract the relevant parts of the image from the binarised image. Only these parts are
further transmitted to the character recognition system. The second output of the ROI-analysis
is the classification result, e.g. the value of a recognised stamp, or the presence and position
of certain labels. These results are transmitted to the machine control (MC) in order to initiate
special processing of the respective mail piece in the sorting system.
102

CHAPTER 6. USING THE RECOVERY LANGUAGE APPROACH

Figure 6.4: Hardware Architecture of Image Processing Sub-System.
Figure 6.5: Software Process Graph.

6.1.2

Hardware Structure

The ROI-analysis of the mail piece images is performed in the original scanned grey level image.
It is realised on a hardware platform physically separated from the recognition system. The
implementation addressed in EFTOS and reported herein is based on the Parsytec CC system. As
mentioned before, the CC is a MIMD supercomputer based on the 133-MHz PowerPC processor.
This system hosts two types of nodes—the so-called I/O nodes, that communicate with external
devices via a PCI bus, and the so-called compute nodes, purely devoted to processing. Both
nodes communicate with each other via HS-links (high-speed links). The interfaces between the
CC and the rest of the system is realised by PCI plug-in boards and via an Ethernet connection.
A simple representation of the hardware architecture can be seen in Fig. 6.4.
The images generated in the scanner are stored in an appropriate number of image buffers.
The PCI bus interface of the I/O-node allows the images to be read into the system. Further distribution of parts of the images towards the compute node is realised via the HS-link connections.
The compute nodes execute the algorithms for image processing and classification of the region
of interest. The results of the analysis are passed on to the recognition system across the second I/O node and its PCI interface. The overall machine control interacts with the ROI-analysis
system via an Ethernet connection.

6.1.3

Software Structure

The overall software structure is completely data driven. An initial process, the Image Dispatcher
(ID), receives parts of the images (regions) from the image buffer on request. Along with the
image data comes a Region Descriptor (RD) indicating the type of the region. Both information
is then distributed to a farm of algorithmic worker processes (AW) doing the image processing
and classification algorithms. The distribution is controlled by the ID process according to some
appropriate load balancing heuristics. The results of the AWs are collected in a Result Manager
(RM) process. Once all relevant results belonging to a mail piece are available at the RM, it
forwards them to the MC (machine control) and releases the images at the ID. The process graph
of the software is depicted in Fig. 6.5.

6.1.4

Design Requirements

The overall performance characteristics of the mail sorting system vary according to the different
customer requirements. The peak throughput requirements that had to be met at the time were
in the order of 40000 mail pieces per hour. This means that the machine had to process about 11
mail pieces each second on the average. However, the mechanical transport of the mail pieces
6.1. A CASE STUDY: THE SIEMENS INTEGRATED MAIL PROCESSOR

103

through the sorting machine is setting the upper limit for throughput. Transport speeds of several
metres per second were achieved; higher speeds increase the probability of damaging the mail
pieces.
Beside the requirements for throughput, further boundary conditions influence the real-time
behaviour of the system. In on-line mail sorting systems, the mail pieces are continuously moving through the system from the feeder to the final sorter bin2 . This means that each processing
stage has to produce its results within some given amount of time. For example, the address
recognition result needs to be available before the mail piece physically arrives at the sorter entry. The time each processing stage needs requires for an expensive mechanical storage line. The
total latency of a mail piece in the complete sorting system is in the order of 10–20 seconds. For
the ROI-analysis module investigated in EFTOS, i.e., GLIMP, the allowed latency time is in the
order of one second.
Dependability requirement for such a system include:
• minimising the failures of the system;
• confining the effects of errors through graceful degradation, avoiding as much as possible
total system failures and allowing operability at reduced throughput.
• In the event of total system failures due to unforeseen situations, i.e., a power failure, the
recovery times must be kept to a minimum.
In GLIMP, the algorithms of the image analysis are implemented as distributed software processes communicating with each other and with the rest of the system. The input to GLIMP
is originating from a piece of hardware (image buffer, filled by the scanner, triggered by the
mechanical letter movement) with strict real-time requirements, while the output is sent down a
TCP/IP Ethernet connection, which is not real-time. The most frequent problems with the realisation of the ROI-analysis are caused by unstable behaviour of the software processes. Dealing
with real-life images means processing of unknown data with unpredictable properties. As mentioned in Sect. 1.1.1.3, given the amount of software complexity and the requirement of reduced
development cycle times of nowadays’ software, the incremental process of software testing is
an activity that can never be comprehensive at justifiable costs. Hence, data induced malfunctioning of the software may cause a software process to hang up3 . One possible consequence of
this is that a real-time deadline is missed. However, another consequence could be that a second
process waiting for communication with this faulty process also gets stuck. In this way, the error
condition can propagate through the whole system. Another effect of a data induced error may
be the corruption of memory on the processor by writing outside of the processes address space.
In this way other processes running on the same processor might be also corrupted by the faulting
process. The occurrence of data induced software errors cannot be completely avoided. In the
operational environment of the mail sorting, it is acceptable to lose the processing of one mail
piece, but it is not acceptable that one faulty mail piece causes subsequent faults resulting in the
loss of more mail pieces. Hence, it is important to detect errors as they occur, to confine them in
a limited area, and to recover from the error as quick as possible.
2
3

Or to a so-called “unsorted bin”, in case of occasional failures of the classification algorithms.
The GLIMP workers have performance/crash failure semantics.
104

6.1.5

CHAPTER 6. USING THE RECOVERY LANGUAGE APPROACH

Results Obtained and Lessons Learned

The author of this dissertation and two colleagues of the ACCA Division had the possibility
to work with the actual GLIMP libraries and to embed it into the so-called EFTOS Vertical
Integration Test Application (VITA) —a farmer worker application developed by the colleagues
of the National Technical University of Athens and used within EFTOS in order to exercise
and test different demonstrations. This test application played the role of the control module,
while the actual GLIMP libraries were used for the algorithmic modules. The VITA/GLIMP
application was successfully demonstrated at one of the EFTOS review meetings.
The enhanced version was simply the combination of GLIMP with the VITA, which in turn
used a watchdog process, the prototypic backbone component developed in EFTOS and a few
other ancillary codes. The watchdog informed the backbone of errors concerning the GLIMP
processes. On receipt of such messages, the backbone automatically stopped and restarted the
watched processes. In case of node crashes affecting both watched tasks and watchdogs, it was
the backbone that detected such event by means of a variant of the AMS algorithm described in
Sect. 5.2.4.14 . The performance overhead for the overall system with respect to the unmodified
Siemens application was of about 15%. The increase of the binary size was of approximately
500 kilobytes. This quantity includes the codes of: the backbone, the watchdog, the VITA, and
an ancillary code for communication management.
The code intrusion in the VITA was limited to the code to configure and manage the watchdog
(no configuration language was available in EFTOS). Error recovery produced no code intrusion,
because a simple recovery action had been hardwired in the EFTOS backbone, hence outside
the user application (the VITA). No amount of code was intruded in the GLIMP libraries, which
were only available in the form of object code. Fast reboot and task restart were obtained through
specific kernel-level provisions made available by Parsytec on their CC system. From the point
of view of the structural attributes defined in Sect. 1.1.2, one can conclude that it was possible to
obtain an optimal degree of SC and SA.
Obtained results [Tea98] have been encouraging: the resulting application, run on a 2-node
system, was able to tolerate process failures and node crash failures triggered by software fault
injection, but also to revert to full throughput mode at the end of error recovery. Another version of the VITA, mimicking the original OCR control module but exploiting no fault-tolerance
provisions, halved the system throughput when a first fault was injected, and stopped the system
functions on the second injection.
Indeed, GLIMP provides us with an example of a class of applications that well exploit the
current properties of our first RεL prototype—the class of
• parallel or distributed industrial automation applications,
• with real-time requirements such that violations of the agreed deterministic timing behaviour are acceptable at error recovery time,
• written in a procedural language such as C,
4

As explained in Sect. 5.2.4.1, the AMS allows to detect a node crash as a lack of a TEIF message within a
known deadline.
6.2. ENHANCEMENT OF A TIRAN DEPENDABLE MECHANISM

105

• structured as a farmer-worker application,
• with a stateless worker process.
The case study reported so far taught us that, at least for this class, it is possible to make effective
use of RεL in order to increase both service throughput and dependability with minimal effort
in terms of development costs and time. In particular, RεL can be qualitatively assessed as
reaching very good values for properties such as SC and SA. On the contrary, with respect to the
structural attributes, all the ALFT structures reviewed in Sect. 3 either do not address this class
of applications or they would require a complete rewriting of the application in order to obtain
similar results. This happens also because GLIMP is an example of those applications that may
be called company asset codes—longly-run, longly-tested, large applications typically written in
a procedural (non-object-oriented) standard language. These hypotheses forbid the adoption of
approaches such as MV, AOP, MOP, and the adoption of ad-hoc programming languages. The
lack of systems supporting RMP forbids its use as well.

6.2

Enhancement of a TIRAN Dependable Mechanism

As observed by the designers of GUARDS [PABD+ 99], many embedded systems may benefit
from an hardware architecture based on redundancy and consensus in order to fulfil their dependability requirements. As pointed out in Sect. 1.1.1.3, such a hardware architecture needs to
be coupled with some application-level strategy or mechanism in order to guarantee end-to-end
tolerance of faults5 . The software architecture described in this dissertation may support in many
ways the class of applications eligible for being embedded in a GUARDS system instance. The
main tool for this is the TIRAN DV (described in Sect. 5.2.3). This section describes how it is
possible to further increase the dependability of the TIRAN DV by using ARIEL as both a configuration and a recovery language and making use of the TIRAN framework. An assessment of
these enhancements is reported in Sect. 7.1.
The system realises a sophisticated N -version programming executive that implements the
software equivalent of an NMR system. Because of this assumption, the user is required to
supply four versions of the same software, designed and developed according to the N -version
approach [Avi85]. This requirement can be avoided if it is possible to assume safely that no
design faults resulting in correlate failures affect the software.
To simplify the case study it is assumed that the service provided by any of the versions or
instances is stateless. When this is not the case, the management of the spare would also call
for a forward recovery mechanism—e.g., the spare would need to acquire the current state of
one of the non-faulty tasks. Furthermore, when using pipelines of N-version tasks under strict
real-time requirements, further techniques (currently not part of the prototype presented in this
work) would be required in order to restore the state of the spare with no repercussion on the
real-time goals (see [BDGG+ 98] for an example of these techniques).
5

This way, also software design faults would be addressed.
106

CHAPTER 6. USING THE RECOVERY LANGUAGE APPROACH

The enhanced TIRAN DV described in what follows is representative of the class of applications that are best eligible for being addressed via an ALFT structure such as NVP. This section
describes how RεL provides to those applications two additional features, namely, support of
spares and support of fault-specific reconfiguration, which are not part of plain NVP systems.
A system of four nodes is assumed. Nodes are identified by the symbolic constants NODE1,
. . ., NODE4, defined in the header file nodes.h. Header file my_definitions.h contains
a number of user definitions, including the unique-id of each version task (VERSION1, . . .,
VERSION4) and the local identifier of each version task (in this case, on each node the same
identifier is used, namely VERSION). In the same file also the time-outs of each version are
defined (TIMEOUT_VERSION1, . . ., TIMEOUT_VERSION4).
Let us consider the following ARIEL script:
INCLUDE "nodes.h"
INCLUDE "my definitions.h"
TASK
TASK
TASK
TASK

{VERSION1}
{VERSION2}
{VERSION3}
{VERSION4}

IS
IS
IS
IS

NODE
NODE
NODE
NODE

{NODE1},
{NODE2},
{NODE3},
{NODE4},

TASKID
TASKID
TASKID
TASKID

{VERSION}
{VERSION}
{VERSION}
{VERSION}

N-VERSION TASK {TMR PLUS ONE SPARE}
VERSION 1 IS TASK {VERSION1} TIMEOUT {TIMEOUT VERSION1}ms
VERSION 2 IS TASK {VERSION2} TIMEOUT {TIMEOUT VERSION2}ms
VERSION 3 IS TASK {VERSION3} TIMEOUT {TIMEOUT VERSION3}ms
VERSION 4 IS SPARE TASK {VERSION4} TIMEOUT {TIMEOUT VERSION4}ms
VOTING ALGORITHM IS MAJORITY
METRIC "tmr cmp"
ON SUCCESS TASK 20
ON ERROR TASK 30
END N-VERSION
IF [ PHASE (T{VERSION1}) == {HAS FAILED} || FAULTY T{VERSION1} ]
THEN
STOP T{VERSION1}
SEND {WAKEUP} T{VERSION4}
SEND {VERSION1} T{VERSION4}
SEND {VERSION4} T{VERSION2}
SEND {VERSION4} T{VERSION3}
FI
IF [ PHASE (T{VERSION2}) == {HAS FAILED} || FAULTY T{VERSION2} ]
6.2. ENHANCEMENT OF A TIRAN DEPENDABLE MECHANISM

107

THEN
STOP T{VERSION2}
SEND {WAKEUP} T{VERSION4}
SEND {VERSION2} T{VERSION4}
SEND {VERSION4} T{VERSION1}
SEND {VERSION4} T{VERSION3}
FI
IF [ PHASE (T{VERSION3}) == {HAS FAILED} || FAULTY T{VERSION3} ]
THEN
STOP T{VERSION3}
SEND {WAKEUP} T{VERSION4}
SEND {VERSION3} T{VERSION4}
SEND {VERSION4} T{VERSION2}
SEND {VERSION4} T{VERSION1}
FI
The above script consists of two parts—one for managing the configuration of tasks and
tools, the other for describing a recovery strategy. The following two subsections describe the
two parts.

6.2.1

Configuration

The configuration section of the script just shown defines four tasks, each running on a different
node of the system. This decision has been taken to reduce the probability of a common source
for multiple failures, in case of a crash of a node. It is worth noting that this design decision—the
physical location of the tasks—is made outside the application code and can be changed with no
repercussion on it, thus allowing location transparency and high SC.
Three of the four tasks are then configured as versions of a TIRAN DV (see Sect. 5.2.3).
The fourth task (VERSION4) is configured as a spare. This means that, when task TMR PLUS
ONE SPARE is launched, the first three tasks arrange themselves as components of a TIRAN
DV, with each task assisted by a local voter as described in the aforementioned section. On the
contrary, the fourth task is blocked waiting for the arrival of a special “wakeup” signal.
Feeding the ARIEL translator with the configuration script as described in Sect. 5.3.3.1, a
number of source codes are produced, including:
• The basic user tasks of a TIRAN DV consisting of three modules, an example of which
can be seen in Table 5.3.
• The spare user task, initially waiting for the arrival of a wakeup message.
108

CHAPTER 6. USING THE RECOVERY LANGUAGE APPROACH

• Task TMR PLUS ONE SPARE. This task is in charge of the:
1. Transparent set up of the TIRAN DV via the TIRAN CreateTask function of the
TIRAN BSL.
2. Management of the replication of the input value.
3. Declaration and insertion in the TIRAN TOM of the set of time-outs that represent
an upper limit to the duration of the base tasks. This upper limit is set by the user and
known by one of the hypotheses of the timed-asynchronous distributed system model
defined on p. 46 (all services are timed).
4. De-multiplexing and delivering the output value.
In the absence of faults, task TMR PLUS ONE SPARE would appear to the user as yet another
version providing the same service supplied by tasks VERSION1,. . . ,VERSION4. The only
difference would be in terms of a higher reliability (see Eq. 7.1) and a larger execution time,
mainly due to the voting overhead (see Sect. 7.2.2.4).
Location transparency in this case is supported by ARIEL, while replication transparency
is supported by the TIRAN DV. The degree of code intrusion in the application source code
is reduced to the one instruction to spawn task TMR PLUS ONE SPARE. No support for the
automatic generation of makefiles is provided in the current version of the ARIEL translator, so
the user needs to properly instruct the compilation of the source files written by the translator.

6.2.2

Recovery

The recovery section of the ARIEL script on p. 106 defines a recovery strategy for task TMR PLUS
ONE SPARE. When any error is detected in the system and forwarded to the backbone, the backbone replies to this stimulus as follows:
1. It stores the error notification in its local copy of the DB.
2. It updates the α-count variable related to the entity found in error.
3. If the notification is local, i.e., related to a local task, then the local component of the BB
forwards the notification to the other components.
4. If the local BB entity plays the role of coordinator, it initiates error recovery by sending a
“wakeup” message to the recovery interpreter.
This latter orderly reads and executes the r-codes. Table 6.1 shows a trace of the execution
of some of the r-codes produced when translating a simplified version of the ARIEL script on
p. 106. As already mentioned, RINT implements a virtual machine with a stack architecture.
Line 5 starts the scanning of a guard. Line 6 stores on RINT’s run-time stack the current value
of the phase of task 0 (the value of symbolic constant VERSION1). Line 7 compares the top of
the run-time stack with integer HAS FAILED. The result, 0 (false) is stored on top of the stack.
Line 8 checks the top of the stack for being 0. The condition is fulfilled, so a jump is made to line
6.2. ENHANCEMENT OF A TIRAN DEPENDABLE MECHANISM
5
6
7
8
18
19
20
21
22
23
24
25
26
27
28
29
30
31
32
33
34
35
36
37
38
48
49

109

IF statement.
STORE-PHASE: stored phase of task 0, i.e., 0.
COMPARING(9999 vs. 0): Storing 0.
Conditional GOTO, fulfilled, 18.
FI statement.
OA-RENEW.
IF statement.
STORE-PHASE: stored phase of task 1, i.e., 9999.
COMPARING(9999 vs. 9999): Storing 1.
Conditional GOTO, unfulfilled, 24.
KILLING TASK 1.
PUSH(10).
SEND MSG 10 to TASK 3.
PUSH(1).
SEND MSG 1 to TASK 3.
PUSH(3).
SEND MSG 3 to TASK 2.
PUSH(3).
SEND MSG 3 to TASK 0.
FI statement.
OA-RENEW.
IF statement.
STORE-PHASE: stored phase of task 2, i.e., 0.
COMPARING(9999 vs. 0): Storing 0.
Conditional GOTO, fulfilled, 48.
FI statement.
OA-RENEW.

Table 6.1: Trace of execution of the r-codes corresponding to the recovery section of the ARIEL
script on p. 106. Number 9999 is the value of constant HAS FAILED.
18 of the r-code list. That line corresponds to the end of the current IF statement—the guard has
been found as false, therefore the corresponding recovery actions have been skipped. Then, on
line 19, some internal variables are reset. Line 20 starts the evaluation of the clause of the second
IF of the recovery script. The scenario is similar to the one just described, though (on line 22)
the phase of task 1 (that is, VERSION2) is found to be equal to HAS FAILED. The following
conditional jump is therefore skipped, and a stream of recovery actions is then executed: task
VERSION2 is terminated on line 24, then value 10 (WAKEUP) is sent to task VERSION4 by
means of r-code SEND (which sends a task the top of the run-time stack), and so forth, until line
33, which closes the current IF. A third guard is then evaluated and found as false. Clearing some
internal structures closes the execution of RINT, which again “goes to sleep” waiting for a new
“wakeup” message to arrive.
110

CHAPTER 6. USING THE RECOVERY LANGUAGE APPROACH

Figure 6.6: A global view of the state and shape of the target application, as rendered by a
monitoring CGI script. In this case a four processing node system is used. Node 0 hosts the main
component of the backbone. The circular icons are hypermedia links (see Fig. 5). The small icon
on the bottom right links to the execution trace of the A RIEL interpreter.

Figure 6.7: A view to the events tracked while monitoring processing node 0. This view can
be obtained by selecting the top circular icon of Fig. 6.6. Events are ordered decreasingly with
respect to their conclusion time. Times are expressed in seconds and measured through the local
clock. Going from bottom to top: on line 15 process 2 is detected as faulty. On 16, that process
is terminated. On 17, a new process (a spare voter) is awaken. On 18 and 20, respectively voter
0 and 1 acknowledge the reconfiguration. This allows to retry a global consensus that succeeds
(see lines 21, 23, and 24). Finally all voters acknowledge their termination.
Figure 6.6, 6.7, and 6.8 show three different views to a TMR-and-one-spare system at work,
as displayed by the TIRAN monitoring tool in a Netscape client [DFDT+ 98]. The first picture
renders the current state and shape of the overall target application. Figure 6.7 summarises the
framework-level events related to processing node 0. In particular, a value domain failure is injected on the voter on node 2. This triggers the execution of a recovery script which reconfigures
the TMR isolating the voter on node 2 and switching in the spare voter on node 3. The execution
trace of the r-codes in this script is displayed in Fig. 6.8.
It is worth noting how, modifying the base recovery strategy of the ARIEL script on p. 106
does not require any modification in the application source code—not even recompiling the code,
in case the r-codes are read from an external means (e.g., from a file). The two design concerns—
that of the fault-tolerance software engineer and that of the application software engineer—are
kept apart, with no repercussions on the maintainability of the service overall. To prove this, let
us consider the ARIEL excerpt in Table 6.2. Such a strategy is again based on a TMR plus one
spare, though now, before switching off the faulty version and in the spare, the current value of
the α-count filter related to the current version is compared with a threshold supplied by the user
in the configuration section. If the value is below the threshold, it is not possible to assess that
the fault affecting {VERSION1} is permanent or intermittent. In this case, the faulty task is
restarted rather than substituted. In other words, another chance is given to that version, while
its “black list” (its α-counter) is updated. As mentioned in Sect. 5.2.4.2, research studies have
shown that, whatever the threshold, the α-count is bound to exceed it when the fault is permanent

Figure 6.8: As soon as an error is detected—in this case, a voter has been found in minority—
RINT starts executing the r-codes. This picture is the execution trace of the r-codes in Table 5.5
and in Table 5.8. Numbers refer to the code lines in those tables. Note how, at line 37, the
state information of task 2 is found to be equal to “9999” (HAS FAILED). As a consequence, a
number of actions are executed in lines 39–47. In particular, task 2 is terminated at line 39.
6.2. ENHANCEMENT OF A TIRAN DEPENDABLE MECHANISM

111

ALPHACOUNT {VERSION1} IS threshold = 3.0, factor = 0.4 END
IF [ PHASE (T{VERSION1}) == {HAS FAILED} || FAULTY T{VERSION1} ]
THEN
IF [ TRANSIENT T{VERSION1} ]
THEN
RESTART T{VERSION1}
SEND {VERSION1} T{VERSION2}
SEND {VERSION1} T{VERSION3}
ELSE
STOP T{VERSION1}
SEND {WAKEUP} T{VERSION4}
SEND {VERSION1} T{VERSION4}
SEND {VERSION4} T{VERSION2}
SEND {VERSION4} T{VERSION3}
FI
FI
Table 6.2: An ARIEL script for a TMR-plus-one-spare system that exploits the α-count technique
to avoid unnecessary reconfigurations.
or intermittent. In the latter case, therefore, sooner or later the second strategy is to be executed,
permanently removing the faulty version. It is worth noting how the adoption of such a scheme,
which is no longer purely based on masking the occurrence of a fault, in general implies an
execution overhead that may violate the expected real-time behaviour—during error-recovery.
Further support towards graceful degradation when spares are exhausted could also be foreseen.

6.2.3

Lessons learned

Enhancing the TIRAN DV allowed to include two special services (spare support and faultidentification) into those offered by NVP systems. For those applications that best match with
the MV ALFT approach, and with NVP in particular, those services allow to further increase
the dependability without being detrimental to SC—i.e., without intruding code. Eligible applications include coarse-grained, distributed or parallel applications, i.e., those addressed by RεL.
Furthermore, safety-critical parallel or distributed airborne and spaceborne applications appear
to be well addressed by those services. It must be remarked, though, that the safety-critical character of these applications calls for specific framework-level and system-level support, such as
the one provided by the GUARDS architecture [PABD+ 99], a generic, parametrisable hardware
and OS architecture for real-time systems, which straightforwardly supports the NVP scheme.
112

6.3

CHAPTER 6. USING THE RECOVERY LANGUAGE APPROACH

The Recovery Language Approach at ENEL

This section reports on the use that is being made of the TIRAN framework and, in particular,
of the ARIEL language, at ENEL in the framework of their collaboration with the research centre
CESI, a member of the TIRAN consortium. The main reference for this section is [BDPC00].
At the time of writing, no complete prototype of an ARIEL strategy has been coded at ENEL
yet, though its overall design has been completed. The level of detail of this design is such that the
configuration and the recovery actions to be adopted have been determined. The corresponding
scripts will be written at ENEL and demonstrated at the final review meeting of the TIRAN
project.
The rest of this section is structured as follows:
• The general context of the case study and its motivations are introduced in Sect. 6.3.1.
• Next, the application grounding the case study is described in Sect. 6.3.2.
• Section 6.3.3 briefly summarises the dependability requirements of the ENEL pilot application.
• The TIRAN case study is then drawn in Sect. 6.3.4.
• Finally, Sect. 6.3.5 summarises the lessons learned from the reported experience.

6.3.1

General Context and Motivations

As mentioned before, ENEL is the main electricity supplier in Italy. ENEL produces, transports,
and distributes electricity all over the country. These processes are nowadays largely automated,
and huge investments are currently being made at ENEL in order to update the automation systems designed to support these processes.
The ENEL energy distribution system is a meshed network connecting high-voltage lines to
the final users. Its nodes of interconnection are:
• Primary substations (PS), connected to high-voltage lines, transform and distribute energy
to secondary substations and to medium-voltage customers. The PS consist of a set of
electrical component (switches, insulators, transformers, capacitors and so forth) and of an
automation system.
• Secondary substations, which transform and distribute energy to low-voltage customers.
As part of this major activity, ENEL is currently renewing their park of so-called primary substation automation systems (PSAS) which serve 2000 PS. Plans are to renew 30–50 PS per year.
Another goal at ENEL is to reduce the dependency to dedicated hardware systems, at the same
time guaranteeing the current degree of dependability and efficiency and reducing maintenance
costs.
The PSAS architecture is controlled by an automation application, consisting of a so-called
“local control level” (LCL) and a number of peripheral units distributed on the plant. Among
6.3. THE RECOVERY LANGUAGE APPROACH AT ENEL

113

Figure 6.9: The demonstrator layered architecture.
its functions, the LCL performs local control, supervision of the peripheral units, switching in of
protection provisions, and interfacing to remote control systems and to local and remote operators.

6.3.2

The ENEL Pilot Application

The case study described in the rest of this section originates in the framework of the above
internal activities of ENEL. It is a pilot application from the domain of energy distribution automation systems, embedded in their PSAS. The automation application behaves as a cyclic state
machine:
• it reads sampled input from the field (i.e., the plant);
• on the basis of this input and of the current state, it produces the next state and provides a
new output to the field (that is, it acts as a Moore automaton, see [AH75]).
This state machine is in fact composed by many cooperating automata. The state transitions of
these automata are synchronised and lead to a state transition of the whole state machine. The
cycle time (Tcycle ) for the state machine to complete its execution, namely, the time between two
subsequent input reads, is a key parameter that depends on the plant constraints and characterises
the automation application.
The TIRAN pilot application derives from the just sketched automation application and provides a subset of the functions of the LCL module, namely those related to the protection and the
management of the PS and of the plant.
The software architecture for the ENEL pilot application is illustrated in Fig. 6.9. It includes
the following modules:
• An application code (APL) that executes control functions.
• The so-called “basic software” (BSW), replicated on the available nodes and responsible
for
– providing the application code with input values and states,
– receiving the new output value from the APL, and
– invoking fault-tolerance provisions.
• The TIRAN framework, which provides fault-tolerance functionality.
• The TEX/VxWorks kernels, which provides low-level support for distributed communication and other basic services [TXT97, Win99].
114

CHAPTER 6. USING THE RECOVERY LANGUAGE APPROACH

Figure 6.10: Scheme of execution of the BSW and the APL. Only one of them is in the run state
at any time t. The ticker line represents the time spent in the run state. Action “get” is executed
by the BSW to receive data from the field and stable states from SM. “Write” and “read” act on
the EM. “Compute” is carried out by the APL and is the elaboration of the new state and outputs.
The BSW executes action “store” to write these values into SM. The rectangle represents the
duration of a system cycle (Tcycle ).
Both APL and BSW are distributed applications whose module run on each node of the system. On each node, the APL and the BSW communicate exclusively through a shared memory
bank called the “exchange memory” (EM)6 . The overall system evolves by executing alternatively the BSW and the APL as depicted in Fig. 6.10.
The basic cycle of the APL is as follows:
• At the beginning of the current cycle, the inputs from the field and the current state of the
automata are read from the EM.
• During the current cycle a new state and set of outputs are computed.
• At the end of the current cycle, the computed new state and outputs are stored into the EM.
The basic cycle of the BSW is as follows:
• At the beginning of the current cycle, the BSW receives input from the field, timer values
from the local clock, and stable states from a stable memory module (SM), and writes all
these data into the EM. Furthermore, the BSW activates a set of provisions among those
of the TIRAN fault-tolerance framework, including SM.
• It then waits until the end of the current cycle.
• At the end of the cycle the BSW reads output and new states from the EM and stores them
into the SM.
• The new cycle is then initiated.

6.3.3

Dependability Requirements

A number of dependability requirements characterise the TIRAN pilot application [BCDF+ 99],
focusing in particular on availability, integrity and safety. They include:
1. Any first fault affecting either the electric network or the fault-tolerance system must be
tolerated.
6

The EM is virtually structured as a single bank for the whole application; physically, it is partitioned and
distributed over the available nodes according to the the strategy of partitioning and allocation of the application.
On the start of each new cycle, the blocks of the EM are synchronised and updated by the BSW modules.
6.3. THE RECOVERY LANGUAGE APPROACH AT ENEL

115

Figure 6.11: The target system for BSW2.
2. In case of a second fault, the plant must be left in a safe state preserving human operators
and electric components, and must prevent wrong output.
3. The automation system must guarantee EMI compatibility compliance [Uni95].
4. It must tolerate transient faults affecting the system behaviour.

6.3.4

Description of the Case Study

The software component that constitutes the subject of the case study proposed by ENEL is the
BSW. The main reason for this choice lies in the fact that that component is the one managing
the fault-tolerance aspects of the overall automation application.
Two fault-tolerance strategies have been envisaged at ENEL. The first strategy derives from
early ENEL automation systems that performed hardware-based fault-tolerance. In these systems, the entire automation system evolved cyclically according to a fixed time duration, at the
end of which an external signal forced a cold restart. This was done for containing the effects of
faults within one cycle. The duration of the cycle, Tcycle , is a parameter related to the real-time
requirements of the system. The usage of the periodic restart signal translated in an effective
strategy, validated by several years of profitable utilisation, though it implies hard constraints for
the underlying hardware and OS. In particular, these constraints forbid the adoption of COTS
components and translate into huge performance penalties. Further information on this strategy
can be found in [DBC+ 98]. This strategy still focuses on the periodic restart signal as the main
fault-tolerance provision. Furthermore, it does not focus on ARIEL, so it will not be described in
what follows. Because of the above mentioned constraints, ENEL is currently trying to eliminate
this dependency by defining a second strategy addressing industrial PC hardware and COTS
OS. The rest of this paragraph describes this new strategy, called “BSW2”, which is centred on
ARIEL .
Figure 6.11 describes the target system for BSW2, based on industrial PC/VxWorks. In this
case no external synchronisation and no periodic restart is adopted. Key points with BSW2 are
the following ones:
• Detection and isolation of faulty nodes or software components.
• Reconfiguration.
• Substituting the systematic, predetermined periodic restart with an occasional reset of the
isolated node, triggered by the detection of errors.
• Re-integration of the recovered nodes and application components.
In this context, ARIEL and the TIRAN backbone play the following roles:
116

CHAPTER 6. USING THE RECOVERY LANGUAGE APPROACH

Figure 6.12: Initial configuration of the APL in a system of 3 nodes (strategy BSW2).
• Initial configurations of tasks, logicals (groups) and nodes are specified in ARIEL.
• Error detection is managed via custom diagnostic functions developed at ENEL and with
instances of the TIRAN watchdog or of the “redundant watchdog” component described
in Sect. 6.4. Both tools execute the RaiseEvent function to notify the backbone of their
deductions.
• A RIEL is in charge for the specification and the management of the complete reconfiguration strategy. Error recovery is managed exploiting linguistic support towards:
– Low-level support to node isolation.
– Application reconfiguration.
– Propagation of the alarm to the operator.
BSW2 exploits the BB services and ARIEL to accomplish error detection and consequent reconfiguration of BSW and APL layers.
It is assumed that the target system consists of N > 1 nodes. The APL is present on each
of the N nodes with N replicas. On node n ∈ [1, N ], these replicas are collectively denoted
as group PartAPLn . Only one of the N replicas available on node n is activated. NodeAPLn
denotes the APL task, belonging to PartAPLn , that is active on node n. Also the BSW is present
on each of the N nodes, but no replication scheme is adopted. NodeBSWn represents the BSW
component located on node n.
The following two paragraphs detail the current state of design for the strategies of configuration and error recovery developed at ENEL for the TIRAN pilot application.
Configuration. Figure 6.12 shows the initial configuration of the APL in a system with three
nodes. The APL is partitioned in three blocks, of which only one is active per node (the one
depicted as a filled circle).
Table 6.3 gives the mapping between portion identifiers and the corresponding TIRAN global
and local task identifiers. This configuration step is performed in ARIEL as it has been described
in Sect. 5.3.2.1. ARIEL is also used to define the following three logicals:
Logicals
PartAPL1
PartAPL2
PartAPL3

Unique-id list
0,3,6
1,4,7
2,5,8.

Tasks are addressed by the above logicals—the actual identity of the active task within each
partition is kept transparent.
6.3. THE RECOVERY LANGUAGE APPROACH AT ENEL
Blocks
NodeAPL1
NodeAPL2
NodeAPL3
NodeBSW1
NodeBSW2
NodeBSW3

Unique-id
0
4
8
9
10
11

117

local task-id, node-id
(t0 , n1 )
(t1 , n2 )
(t2 , n3 )
(t3 , n1 )
(t3 , n2 )
(t3 , n3 )

Table 6.3: Map of blocks to unique-ids and local task identifiers on each node.

Reconfiguration. To date, no complete ARIEL scripts have been written yet by ENEL for their
reconfiguration strategy. Nonetheless, some key design elements for that strategy have been
chosen and are reported herein:
• Each nodeBSW entity will communicate with the BB by means of function RaiseEvent.
Messages will hold the current algorithmic phase the application is currently in.
• Some of these event notifications will only be informational and just update the database
of the BB without triggering any recovery action. Other notifications will trigger the execution of the recovery actions.
• Recovery actions written in ARIEL, translated into r-codes and statically linked to the application, will use the information in the BB’s DB to accomplish recovery by means of the
ARIEL constructs such as ERRN and PHASE.
• The N replicas of the APL represent a group consisting of an active component plus N − 1
inactive spares. Switching off the current active component and electing a new spare as
new active component will then be achieved through simple recovery actions composed in
terms of ARIEL’s directives, such as STOP, START, or RESTART, on tasks, logicals and
nodes of the system.
• A TIRAN watchdog or the redundant watchdog will notify the BB when a NodeBSW has
not correctly computed the task pertaining to the current cycle. The time of expiration of
the adopted watchdog will be equal to the duration of the system cycle: the expiration of
the watchdog cycle will be interpreted as the fact that something on some node has caused
the cycle to terminate incorrectly. In such a case, the watchdog will signal the event to
the backbone via a specific call of function RaiseEvent. This notification will trigger
recovery. The recovery will operate as a function of the algorithmic phase the distributed
application is in in order to accomplish an appropriate reconfiguration.
The exploitation of the α-count feature (see Sect. 5.2.4.2) in order “to distinguish between
the various natures of the faults [...] and to take different levels of recovery” is currently under
consideration at ENEL [BDPC00]. Actions would be reconfiguration for graceful degradation in
case of permanent or intermittent faults, and task restart in case of transient faults.
118

6.3.5

CHAPTER 6. USING THE RECOVERY LANGUAGE APPROACH

Lessons Learned

Preliminary lessons learned from the above reported experience include the fact that RεL can
be effectively used for composing fault-tolerance strategies for energy distribution automation
systems. The RεL support towards coarse-grained error recovery strategies appear to match well
with the requirements of the applications to run on those systems. Similar result may be obtained
with an approach such as AOP, though this would require the adoption of custom languages and
the design of appropriate aspect programs. Other ALFT approaches do not appear to be eligible
in this case: MOPs, for instance, may not provide enough support to the cross-cutting issues of
coarse-grained ALFT [LVL00].

6.4

The Redundant Watchdog

This section describes how it is possible to compose dependable mechanisms addressing specific
needs by means of the RεL architecture devised in TIRAN. The case reported in the rest of this
section originated by a requirement of ENEL. In present day’s fault-tolerance systems at ENEL,
a hardware watchdog timer is available and integrated in several of their automation applications.
Such device is a custom (non-COTS) hardware component that is capable of guaranteeing both
high availability and high integrity. This allows its use in contexts where safety is the main
concern. As mentioned in Sect. 6.3, ENEL has started an internal plan that aims at renewing
and enlarging their park of automation systems, also with the goal of improving their efficiency
and quality of service. Within this plan, ENEL is investigating the possibility to substitute this
hardware device with a software component, exploiting the redundancy of COTS parallel or
distributed architectures, in such a way as to guarantee acceptable levels of safety and availability
for their applications. While taking part in TIRAN, CESI posed the above problems to the
consortium and also proposed a solution based on the RεL approach. This solution is currently
being tested at ENEL and will be the basis of a demonstration at the TIRAN final review meeting
and at the TIRAN Workshop. It is briefly described in the rest of this section.

6.4.1

The Strategy and Its Key Components

The strategy proposed by ENEL exploits the following components:
• The BSL, and specifically its function TIRAN Send, which multicasts a message to a
logical, i.e., a group of tasks.
• The configuration support provided by ARIEL.
• The TIRAN BB and its DB.
• The recovery language ARIEL.
• The watchdog BT, i.e., a node-local software component in level 1.1 of the TIRAN architecture (see Fig. 5.1).
6.4. THE REDUNDANT WATCHDOG

119

The latter, which executes on a single processing node, can not guarantee the required degree of
availability when used as a substitute of the ENEL hardware watchdog. This notwithstanding, the
adoption of the above components allowed to compose—rather than program—a new prototypic
DM, the so-called Redundant Watchdog (RW). This composition is made in terms of the above
elements of the TIRAN framework, with ARIEL playing the role of coordinator.
In order to introduce the strategy, the following scenario is assumed:
• A distributed system is available, consisting of three nodes, identified as N1 , N2 and N3 .
• On each node of this system, a number of application tasks and an instance of the TIRAN
watchdog are running.
The design goal to be reached is enhancing the dependability of this basic scheme by means of a
technique that does not overly increase, at the same time, the complexity of the overall software
tool.
The adopted strategy is now explained—each step has been tagged with a label describing
the main RεL feature being exploited.
Configuration: Define and configure the three watchdogs by means of the provisions described
in Sect. 5.3.2.3. In particular,
• Assign them the unique-ids W1 , W2 , and W3 .
• Specify that, on a missed deadline, a notification is to be sent to the TIRAN BB.
• Deploy the watchdogs on different nodes.
Configuration: Define logical L, consisting of tasks W1 , W2 , and W3 .
Recovery: Define in ARIEL an “AND-strategy”, that triggers an alarm when each and every
watchdog notifies the BB, an “OR-strategy”, in which the alarm is executed when any
of the three watchdog expires, and a “2-out-of-3 strategy”, in which a majority of the
watchdogs needs to notify the BB in order to trigger the alarm. In the current prototype,
the alarm is a notification to the task the unique-id of which is A.
The configuration step is coded as in Table 6.4. Table 6.5 lists the recovery actions corresponding
to the AND-strategy.
When a watched task sends “watchdog L” its heartbeats, the BSL relays these messages to
the three watchdogs on the three nodes. In absence of faults, the three watchdogs7 process these
message in the same way—each of them in particular resets the internal timer corresponding to
the client task that sent the heartbeat. When a heartbeat is missing, the three watchdogs expire
and send a notification to the BB, one at the time. The reply of the BB to these notifications
is the same: RINT is awoken and the r-codes are interpreted. The difference between the three
strategies is then straightforward:
7

In this case study, three instances of the same software component have been used. Clearly this does not protect
the system from design faults in the watchdog component itself. Using NVP when developing the watchdogs may
possibly guarantee statistical independence between failures.
120

CHAPTER 6. USING THE RECOVERY LANGUAGE APPROACH
INCLUDE "watchdogs.h"
TASK {W1} IS
TASK {W2} IS
TASK {W3} IS

NODE {N1}, TASKID {W1}
NODE {N2}, TASKID {W2}
NODE {N3}, TASKID {W3}

WATCHDOG {W1}
HEARTBEATS EVERY {HEARTBEAT} MS
ON ERROR WARN BACKBONE
END WATCHDOG
WATCHDOG {W2}
HEARTBEATS EVERY {HEARTBEAT} MS
ON ERROR WARN BACKBONE
END WATCHDOG
WATCHDOG {W3}
HEARTBEATS EVERY {HEARTBEAT} MS
ON ERROR WARN BACKBONE
END WATCHDOG
LOGICAL {L} IS

TASK {W1}, TASK {W2}, TASK {W3}

END LOGICAL

Table 6.4: Configuration of the Redundant Watchdog.
IF [ PHASE (TASK{W1}) == {EXPIRE} AND
PHASE (TASK{W2}) == {EXPIRE} AND
PHASE (TASK{W3}) == {EXPIRE} ]
THEN
SEND {ALARM} TASK{A}
REMOVE PHASE LOGICAL {L} FROM ERRORLIST
FI

Table 6.5: The AND-strategy of the Redundant Watchdog. Action REMOVE resets the phase
corresponding to the tasks of logical L.
• The OR-strategy triggers the alarm as soon as any of the watchdog expires. This tolerates
the case in which up to two watchdogs have crashed, or are faulty, or are unreachable. This
intuitively reduces the probability that a missing heartbeat goes undetected, hence can
be regarded as a “safety-first” strategy. At the same time, the probability of “false alarms”
(mistakingly triggered alarms) is increased. Such alarms possibly lead to temporary pauses
of the overall system service, and may imply costs.
• The AND-strategy, on the other hand, requires that all the watchdogs reach consensus
6.5. CONCLUSIONS

121

before triggering the system alarm. It decreases the probability of false alarms but at the
same time decreases the error detection coverage of the watchdog BT. It may be regarded
as an “availability-first” strategy.
• Strategy 2-out-of-3 requires that a majority of watchdogs expire before the system alarm
is executed. Intuitively, this corresponds to a trade-off between the two above strategies.
More sophisticated strategies, corresponding to other design requirements, may also be composed. Other schemes, such as meta-watchdogs (watchdogs watching other watchdogs) can
also be straightforwardly set up.

6.4.2

Lessons Learned

The reported experience demonstrates how RεL allows to fast-prototype complex strategies by
composing a set of building blocks together out of those available in the TIRAN framework,
and by building system-wide, recovery-time coordination strategies with ARIEL. This allows to
set up sophisticated fault-tolerance systems while keeping the management of their complexity
outside the user application. The compact size of the ARIEL configuration scripts is one of the
argument that can be used as evidence to this claim. Transparency of replication and transparency
of location are also reached in this case. No similar support is provided by the ALFT approaches
reviewed in Chapter 3.

6.5

Conclusions

This chapter has shown how RεL can be used in order to
1. augment a dependable mechanism (the TIRAN distributed voting tool) adding new features to it—in this case, the management of spares and support to fault-specific recovery
strategies—as well as to
2. compose and orchestrate new dependable mechanisms using the TIRAN basic tools as
building blocks.
The chapter also reported a case study from postal automation and the current state of an experimentation in energy distribution automation. In particular, in the postal automation case study,
the application gained the ability to withstand crash failures of nodes and tasks with minimal
intrusion in the code (actually, no code intrusion in the GLIMP code and limited error detection
code intrusion in the farmer application). In that case, the increase in throughput and dependability was reached with a reduced cost and time penalty, despite the architecture being used was
a prototypic one.
122

CHAPTER 6. USING THE RECOVERY LANGUAGE APPROACH
Chapter 7
Analysis and Simulations
This chapter describes a number of results pertaining to the RεL architecture described in Chapter 5. These results have been obtained via reliability and performance analysis and through
measurements resulting from simulations. Three basic properties are estimated: reliability, performance, and coding efforts (influencing both development and maintenance costs). Reliability
Markov models have been used to estimate reliability (see Sect. 7.1). Simulations and discrete
mathematics have been used in Sect. 7.2 to estimate the performance. Section 7.3 reports on the
coding efforts related to fault-tolerance software development and maintenance. All the models,
analyses, and simulations in this chapter have been devised, solved, and carried out by the author
of this dissertation.

7.1

Reliability Analysis

As mentioned in Sect. 6.2, a number of applications are structured in such a way as to be straightforwardly embedded in a fault-tolerance architecture based on redundancy and consensus. Applications belonging to this class are, for instance, parallel airborne and spaceborne applications.
The TIRAN DV provides application-level support to these applications. This section analyses
the effect on reliability of the enhancements to the TIRAN DV described in Sect. 6.2, that is,
management of spares, dealt with in Sect. 7.1.1, and fault-specific recovery strategies supported
by the α-count feature, analysed in Sect. 7.1.2.

7.1.1

Using ARIEL to Manage Spares

This section analyses the influence of one of the features offered by ARIEL—its ability to manage
spare modules in N -modular redundant systems—that has been introduced in Sect. 5.3.3.1 and
Sect. 6.2.
Reliability can be greatly improved by this technique. Let us first consider the following
equation:
R(0) (t) = 3R(t)2 − 2R(t)3 ,
(7.1)
123
124

CHAPTER 7. ANALYSIS AND SIMULATIONS

Figure 7.1: Markov reliability model for a TMR-and-1-spare system. λ is the failure rate, C is
the error recovery coverage factor. A “fail safe” state is reached when the system is no more
able to correctly perform its function, though the problem has been safely detected and handled
properly. In ‘Fail unsafe,’ on the contrary, the system is incorrect, though the problem has not
been handled or detected. Every other state is labeled with three digits, d1 d2 d3 , such that d1 is
the number of non-faulty modules in the TMR system, d2 is the number of non-faulty spares (in
this case, 0 or 1), and d3 is the number of undetected, faulty modules. The initial state, 310, has
been highlighted. This model is solved by Eq. (7.2).
Figure 7.2: Graphs of Eq. (7.1) and (7.2) as functions of C and of R. Note how the graph of (7.2)
is strictly above the other.
i.e., the equation expressing the reliability of a TMR system with no spares, R(t) being the
reliability of a single, non-replicated (simplex) component. Equation (7.1) can be derived for
instance via Markovian reliability modelling under the assumption of independence between the
occurrence of faults [Joh89].
With the same technique and under the same hypothesis it is possible to show that, even in
the case of non-perfect error detection coverage, this equation can be considerably improved by
adding one spare. This is the equation resulting from the Markov model in Fig. 7.1, expressed as
a function of error recovery coverage (C, defined as the probability associated with the process of
identifying the failed module out of those available and being able to switch in the spare [Joh89])
and time (t):
R(1) (C, t) = (−3C 2 + 6C) × [R(t)(1 − R(t))]2 + R(0) (t).

(7.2)

Appendix A gives some mathematical details on Eq. (7.2).
Adding more spares obviously implies further improving reliability. In general, for any N ≥
3, it is possible to consider a class of monotonically increasing reliability functions,
R(M ) (C, t)

M >0

,

(7.3)

corresponding to systems adopting N + M replicas. Depending on both cost and reliability
requirements, the user can choose the most-suited values for M and N .
Note how quantity (7.2) is always greater than quantity (7.1) as R(0) (t) and (−3C 2 + 6C)
are always positive for 0 < C ≤ 1. Figure 7.2 compares Eq. (7.1) and (7.2) in the general case
while Fig. 7.3 covers the case of perfect coverage. In the latter case, the reliability of a single,
non-redundant (simplex) system is also portrayed. Note furthermore how the crosspoint between
the three-and-one-spare system and the non-redundant system is considerably lower than the
crosspoint between the latter and the TMR system—R(t) ≈ 0.2324 vs. R(t) = 0.5.
The reliability of the system can therefore be increased from the one of a pure NMR system
to that of N-and-M-spare systems (see Fig. 7.2 and Fig. 7.3).
7.1. RELIABILITY ANALYSIS

125

1

0.8

0.6
Reliability
0.4

0.2

TMR-and-1-spare
TMR
non-redundant system

0
0

0.2

0.4
0.6
Simplex Reliability

0.8

1

Figure 7.3: Graphs of Eq. (7.1) and (7.2) when C = 1 (perfect error detection coverage). The
reliability of a single, non-redundant system is also portrayed.

7.1.2

Using the α-count Feature

As it has been already mentioned in Sect. 6.2.2, the TRANSIENT clause of ARIEL, exploiting the
α-count fault identification mechanism introduced in Sect. 5.2.4.2, can be adopted for attaching
different recovery or reconfiguration strategies to the detection of a permanent or intermittent
fault, in general requiring reconfiguration and redundancy exhaustion, and to the detection of
a transient fault, that could be tolerated with a recovery technique such as resetting the faulty
component. This section describes a simple Markov reliability model of a TMR system discriminating between these two cases. Figure 7.4 shows the model. T is the probability that the current
fault is a transient one and R is the probability of successful recovery for a component affected
by a transient fault. To simplify the model, recovery is assumed to be instantaneous. The system
degrades only when permanent faults occur. Solving the model brings to the following equation:
Rα (t) = 3 exp−2(1−RT )λt −2 exp−3(1−RT )λt .
TMR

(7.4)

Eq. 7.4 can be written as
Rα (t) = 3R(t)2(1−RT ) − 2R(t)3(1−RT ) ,
TMR

(7.5)

with R(t) the reliability of the simplex system. Note how, in a sense, the introduction of the αcount technique results in a modification of the exponents of Eq. 7.1 by a factor equal to 1 − RT .
In general, the resulting system shows a reliability that is larger than the one of a TMR
system. Figure 7.5 compares these reliabilities. As it is evident from that image, the crosspoint
between the reliability graphs of the simplex and that of the TMR system extended with the
126

CHAPTER 7. ANALYSIS AND SIMULATIONS

Figure 7.4: The Markov reliability model of a TMR system that gracefully degrade in the presence of a permanent or intermittent fault and “cleans up” (that is, rejuvenates) the components
affected by transient faults.
1

0.8

0.6
Reliability
0.4

0.2

simplex
tmr
tmr + α-count

0
0

0.2

0.4
0.6
Simplex Reliability

0.8

1

Figure 7.5: Reliability of a simplex system, of a TMR system, and of a modified TMR system
exploiting the α-count fault identification technique. In this case T is 50% and R = 0.6.
α-count technique is in general lower. Its exact value is given by the function
crosspoint(R, T ) = 0.51/(1−RT )
that is drawn in Fig. 7.6.
Appendix A.2 provides the mathematical details leading to Eq. (7.4).

7.2

Performance Analysis

In this section a number of measurements are reported concerning the performance of different
subsystems of the RεL prototype developed within TIRAN. Most of these measurements relate to

Figure 7.6: The crosspoint between the graph of the reliability of the simplex system and that of
Rα
TMR as a function of R and T .
7.2. PERFORMANCE ANALYSIS

127

the development platform version, a Pentium-133 PC running Windows/NT, and to a preliminary
version developed on a Parsytec Xplorer, a parallel system based on PowerPC-66 and running
EPX, and on a Parsytec CC, also running EPX on PowerPC-133 nodes.
The results of these simulations provide the reader with an idea on the order of magnitude of
the duration of some algorithms, though they are clearly dependent on “external” variables such
as
• the processor architecture and technology (clock speed, bus width, memory ports, cache
subsystem, and so forth),
• the network architecture and technology (topology, organisation, diameter, number of
available independent channels, etc.),
• the characteristics of the underlying operating system (task scheduling policy, virtual memory organisation, etc.)
• the number and type of nodes constituting the system,
as well as on “internal” variables such as
• the algorithms (especially their complexity and scalability),
• the performance of the adopted network protocols (for instance, choosing UDP as a transport protocol implies an overhead that differs from that of TCP),
• other design choices affecting the organisation of data structures (dynamic memory allocation vs. static, pre-allocated objects, etc.)
The aim of this section is therefore not only to provide the reader with an idea of the performance
of a RεL-based tool on a particular system or set of systems—which basically means describing
a few points in a wide, complex space. It also analyses one of the core internal variables (a base
service used in the TIRAN backbone and in one of the dependable mechanisms of the TIRAN
library), and solves it in such a way as to identify which external variables would be optimal
in order to reach good performance. Section 7.2.1 reports on this analysis [DFDL00c], while
Sect. 7.2.2 reports a set of quantitative measurements related to the performance of some of the
elements of the RεL-prototype developed in TIRAN—namely, the backbone (in Sect. 7.2.2.1),
the recovery interpreter (in Sect. 7.2.2.3) and the distributed voting tool (in Sect. 7.2.2.4). Other
studies are also reported in [EVM+ 98].

7.2.1

Analysis of the Gossiping Service

A number of distributed applications, such as those based on distributed consensus [LSP82] or
those based on the concept of restoring organs (N -modular redundancy systems with N -replicated voters), require a base service called gossiping [HMS72, HHL88]. Gossiping is also a core
algorithm for the distributed voting tool (DV) described in Sect. 5.2.3 and for the TIRAN backbone (BB) described in Sect. 5.2.4. As such, and because of its repercussions on the performance
128

CHAPTER 7. ANALYSIS AND SIMULATIONS

of the RεL architecture described in Sect. 5, the TIRAN gossiping algorithm is analysed in the
rest of this section. This algorithm and its analysis are original contributions of the author of this
dissertation.
Informally speaking, gossiping is a communication scheme such that every member of a set
has to communicate a private value to all the other members. Gossiping is clearly an expensive
service, as it requires a large amount of communication. A gossiping service is used in the DV
as a mechanism for allowing the voters to exchange their input values such that each of them
can vote on the whole input set. The same service is used in the BB as a means to forward
each local event notification allowing each component to keep a consistent copy of the system
database. In general, implementations of this service can have a great impact on the throughput
of its client applications and perform very differently depending on the number of members in the
set. Indeed, their basic need—that is, keeping a coherent global view of the event taking place
in the distributed system—implies a performance penalty that is mainly due to the gossiping
algorithm itself, together with the physical constraints of the communication line and on the
number of available independent channels. The analysis carried out in the following shows that,
under the hypotheses of discrete time, of constant time for performing a send or receive,
and of a crossbar communication system, and depending on an algorithmic parameter, gossiping
can use from O(N 2 ) to O(N ) time, with N + 1 communicating members. Three cases are
briefly investigated. The last and best-performing case, whose activity follows the execution
pattern of pipelined hardware processors, is shown to exhibit an efficiency constant with respect
to N . This translates in unlimited scalability of the corresponding gossiping service. When
performing multiple consecutive gossiping sessions, (as in restoring organs or in the TIRAN
BB), the throughput of the system can reach the value of t/2, t being the time for sending one
value from one member to another. This means that a full gossiping is completed every two basic
communication steps.
All results presented in what follows of this section are original contributions of the author
of this dissertation [DFDL00c]. For the sake of readability, proofs of propositions have been
presented in Appendix A.3.
7.2.1.1

Formal Model

The analysis is carried out under the following hypotheses: N + 1 processors are interconnected
via some communication means that allows them to communicate with each other by means of
full-duplex point-to-point communication lines. Communication is synchronous and blocking.
Processors are uniquely identified by integer labels in {0, . . . , N }. The processors own some
local data they need to share (for instance, to execute a voting algorithm or to update the TIRAN
DB). In order to share their local data, each processor needs to broadcast its own data to all the
others via multiple sending operations, and to receive the N data items owned by the others.
A discrete time model is assumed—events occur at discrete time steps, one event at a time per
processor. This is a special class of the general family of problems of information dissemination
known as gossiping [HHL88]1 .
1

It is worth mentioning that a relevant difference with respect to the basic Gossip Problem [HHL88] is that, in
the case presented herein, on each communication run, members are only allowed to broadcast their own local data,
7.2. PERFORMANCE ANALYSIS

129

Let us assume that the time to send and receive a message is constant. This amount of time
be called “time step”. On a given time step t, processor i may be:
1. sending a message to processor j, j = i; using relation S t this is represented as relation
i S t j;
2. receiving a message from processor j, j = i; using relation Rt this is represented as i Rt j;
3. blocked, waiting for messages to be received from any processor; where both the identities
of the processors and t can be omitted without ambiguity, the symbol “−” will be used to
represent this case;
4. blocked, waiting for a message to be sent, i.e., for another processor to enter the receiving
state; under the same assumptions of case 3, the symbol “ ” will be used.
The above cases are referred to as “the actions” of time step t.
A slot is a temporal “window” one time step long, related to a processor. On each given time
step there are N + 1 available slots within the system. Within that time step, a processor may
use that slot (if it sends or receives a message during that slot), or it may waste it (if it is in one
of the remaining two cases). In other words, processor i is said to use slot t if and only if
U (t, i) = {∃ j (i S t j ∨ i Rt j)}
is true; on the contrary, processor i is said to waste slot t if and only if ¬U (t, i). The following
notation,
1 if U (t, i) is true,
δi,t =
0 otherwise,
will be used to count used slots.
Let us define four state templates for a finite state automaton to be described later on:
WR state. A processor is in state WRj if it is waiting for the arrival of a message from processor
j. Where the subscript is not important it will be omitted. Once there, a processor stays in
state WR for zero (if it can start receiving immediately) or more time steps, corresponding
to the same number of actions “wait for a message to come”.
S state. A processor is in state Sj when it is sending a message to processor j. Note that, by
the above assumptions and definitions, this transition lasts exactly one time step. For each
transition to state S there corresponds exactly one “send” action.
WS state. A processor that is about to send a message to processor j is said to be in state WSj .
In the following, the subscript will be omitted when this does not result in ambiguities. The
permanence of a processor in state WS implies zero (if the processor can send immediately)
or more occurrences in a row of the “wait for sending” action.
while, in general [HMS72], they “pass on to each other as much [information] they know at the time”, including
data received from the other members in previous communication runs.
130

CHAPTER 7. ANALYSIS AND SIMULATIONS

Figure 7.7: The state diagram of the FSA run by processor i. The first row consists of i pairs
(WR, R). (For i = 0 this row is missing). (P1 , . . . , PN ) represents a permutation of the N
integers [0, N ] − {i}. The last row contains N − i pairs (WR, R).
R state. A processor that is receiving a message from processor j is said to be in state Rj . By
the above definitions, this state transition also lasts one time step.
For any i ∈ [0, N ], let P1 , . . . , PN represent a permutation of the N integers [0, N ] − {i}.
Then the above state templates can be used to compose N + 1 linear finite state automata (FSA)
with a structure like the one in Fig. 7.7, which shows the state diagram of the FSA to be executed
by processor i. The first row represents the condition that has to be reached before processor i is
allowed to begin its broadcast: a series of i pairs (WR, R).
Once processor i has successfully received i messages, it gains the right to broadcast, which
it does according to the rule expressed in the second row of Fig. 7.7: it orderly sends its message
to its fellows, the j-th message being sent to processor Pj .
The third row of Fig. 7.7 represents the receipt of the remaining N − i messages, coded as
N − i pairs like those in the first row.
Proposition 1 For any permutation P, the distributed algorithm described by the state diagram
of Fig. 7.7 solves the above mentioned gossiping problem without deadlocks.
(The proof is given in Sect. A.3.1).
Let us call:
Run the collection of slots needed to fully execute the above algorithm on a given system, plus
the value of the corresponding actions.
Average slot utilisation The number of slots that have been used in the average within a run. It
represents the average degree of parallelism exploited in the system. It will be indicated as
µN , or simply as µ. It varies between 0 and N + 1.
Efficiency the percentage of used slots over the total number of slots available during a run. εN ,
or simply ε, will be used to represent efficiency.
Length the number of time steps in a run. It represents a measure of the time needed by the
distributed algorithm to complete. λN , or simply λ, will be used for lengths.
The number of slots available within a run of N + 1 processors be denoted as σ(N ) = (N +
1)λN .
The number of used slots i.e., the number of slots that have been used during time step t, be
denoted as
N

νt =

δi,t .
i=0
7.2. PERFORMANCE ANALYSIS

131

id step

↓→
0
1
2
3
4
ν

→

1

2

3

4

5

6

7

8

9

10

11

12

13

14

15

16

17

18

S1 S2 S3 S4 R 1 − R 2 − − − R 3 − − − R 4 − − −
R0
S0 S2 S3 S4 R 2 − − R 3 − − − R 4 − −
− R 0 − − − R 1 S0 S1 S3 S4 − R 3 − − − R 4 −
− − R 0 − − − R 1 − − R 2 S0 S1 S2 S4 − − − R 4
− − − R 0 − − − R 1 − − R 2 − − R 3 S0 S1 S2 S3
2 2 2 2 2 2 4 2 2 2 4 2 2 2 2 2 2 2

Table 7.1: A run (N = 4), with P equal to the identity permutation. The step row represents
time steps. Id’s identify processors. ν is the utilisation string (as defined on p. 130). In this case
µ, or the average utilisation is 2.22 slots out of 5, with an efficiency ε = 44.44% and a length
λ = 18. Note that, if the slot is used, then entry (i, t) = Rj in this matrix represents relation
i Rt j.
The utilisation string is the λ-tuple ν = [ν1 , ν2 , . . . , νλ ], representing the number of used slots
for each time step, respectively.
7.2.1.2

Discussion

In the following, three cases of P are introduced and discussed. It is shown how varying the
structure of P may develop very different values for µ, ε, and λ. This fact, coupled with the
physical constraints of the communication line and with the number of available independent
channels, determines the overall performance of this algorithm and of the services based on it.
First Case: Identity Permutation. As a first case, let P be equal to the identity permutation:
0, . . . , i − 1, i + 1, . . . , N
,
0, . . . , i − 1, i + 1, . . . , N

(7.6)

i.e., in cycle notation [Knu73], (0) . . . (i − 1)(i + 1) . . . (N ). Note that in this case only singleton
cycles are present.
Using the identity permutation means that, once processor i gains the right to broadcast, it
will first send its message to processor 0 (possibly having to wait for processor 0 to become
available to receive that message), then it will do the same with processor 1, and so forth up
to N , obviously skipping itself. This is represented in Table 7.1 for N = 4. Let us call this a
run-table. Let us also call “run-table x” a run-table of a system with N = x.
It is possible to characterise precisely the duration of the algorithm that adopts this permutation:
Proposition 2 For N > 0, λN = 3 N 2 + 5 N +
4
4
(The proof is given in Sect. A.3.2).

1
2

N/2 .
132

CHAPTER 7. ANALYSIS AND SIMULATIONS

Figure 7.8: A graphical representation for run-table 20 when P is the identity permutation.
Light gray pixels represent wasted slots, gray pixels represent R actions, black slots are sending
actions.
Lemma 1 The number of columns with 4 used slots inside, for a run with P equal to the identity
permutation and N + 1 processors, is
N 2 − 2N + [N is odd]
,
4
where “[N is odd]” is 1 when N is odd and 0 otherwise.
Figure 7.8 shows the typical shape of run-tables in the case of P being the identity permutation, also locating the 4-used slot clusters.
The following Propositions locate the asymptotic values of µ and ε:
Proposition 3 limN →∞ εN = 0,
8
Proposition 4 limN →∞ µN = 3 .

(The proofs are given in Sect. A.3.4 and A.3.5).
Second Case: Pseudo-random Permutation. This section covers the case where P is a pseudo-random2 permutation of the integers 0, . . . , i − 1, i + 1, . . . , N .
Figure 7.9 (top picture) shows the values of λ using the identity and pseudo-random permutations and draws the parabola which best fits to these values in the case of pseudo-random
permutations. Experiments show that the choice of the identity permutation is even “worse” than
choosing permutations at random. The same conclusion is suggested by Fig. 7.10 that compares
the averages and efficiencies in the above two cases.
Table 7.2 shows run-table 5, and Fig. 7.11 shows the shape of run-table 20 in this case.
Third Case: Algorithm of Pipelined Broadcast. Let P be the following permutation:
0, . . . , i − 1, i + 1, . . . , N
.
i + 1, . . . , N, 0, . . . , i − 1

(7.7)

Note how permutation (7.7) is equivalent to i cyclic logical left shifts of the identity permutation.
Note also how, in cycle notation, (7.7) is represented as one cycle; for instance,
0, 1, 2, 4, 5
,
4, 5, 0, 1, 2
2

The standard C function “random” [Sun94] has been used—a non-linear additive feedback random number
generator returning pseudo-random integers in the range [0, 231 −1] with a period approximately equal to 16(231 −1).
A truly random integer has been used as a seed. P is composed by generating with random pseudo-random numbers
in domain [0, N ] − X, with X initially set to {i} and then augmented at each step with the integer generated in the
previous step.
7.2. PERFORMANCE ANALYSIS

133

20000
18000
16000
14000
12000

λ 10000
8000
6000
4000
2000
0
20

40

60

80

100

120

140

160

120

140

160

N
3.2
3
2.8

µ

2.6
2.4
2.2
2
20

40

60

80

100

N

Figure 7.9: Top picture: comparison between lengths when P is the identity permutation (dotted
parabola) and when it is pseudo-random (piecewise line), 1 ≤ N ≤ 160. The lowest curve
(λ = 0.71N 2 − 3.88N + 88.91) is the parabola best fitting to the piecewise line—which suggests
a quadratic execution time as in the case of the identity permutation. Bottom picture: comparison
between values of µ when P is the identity permutation (dotted curve) and when P is pseudorandom (piecewise line), 1 ≤ N ≤ 160. For each run N and for each processor i ∈ [0, N ]
with run N , i generates a pseudo-random permutation in [0, N ] − {i} and uses it to structure its
broadcast. Note how the piecewise line is strictly over the curve. Note also how µ tends to a
value slightly larger than 2.6 for the identity permutation, as claimed in Prop. 4.
134

CHAPTER 7. ANALYSIS AND SIMULATIONS
id step

↓→
0
1
2
3
4
5
ν

→

1

2

3

4

5

6

7

8

9

10

11

12

13

14

15

16

17

18

19

20

21

22

23

24

S5 S1 S3 S2 S4 R 1 − − − − R 2 − − − R 3 − − − − R 4 R 5 − − −
− R 0 S5
S0 S3 S2 S4 R 2 − − − R 3 − − − − R 4 R 5 − − − −
− − − R 0 − − − R 1 S5 S1 S0 S3 S4 − − R 3 − − − − − R 4 R 5 −
− − R 0 − − − R 1 − − − − R 2 S5 S1 S0 S2 S4 − − − R 4 R 5 − −
− − − − R 0 − − − R 1 − − − R 2 − − − R 3 S5 S1 S0 S3 S2 − R 5
R 0 − R 1 − − − − − R 2 − − − R 3 − − − − R 4 S1 S0 S3 S2 S4
2 2 4 2 2 2 2 2 4 2 2 2 4 2 2 2 2 2 2 4 4 4 2 2

Table 7.2: Run-table 5 when P is chosen pseudo-randomly. µ is 2.5 slots out of 6, which implies
an efficiency of 41.67%.
100
90
80
70
60
50
40
30
20
10
0
20

40

60

80

100

120

140

160

N

Figure 7.10: Comparison between values of ε in the case of the pseudo-random permutation
(piecewise line) and that of the identity permutation (dotted curve), 1 ≤ N ≤ 160. Also in this
graph the former is strictly over the latter, though they get closer to each other and to zero as N
increases, as proven for the identity permutation in Prop. 3.
that is, (7.7) for N = 5 and i = 3, is equivalent to cycle (0, 4, 1, 5, 2).
A value of P equal to (7.7) means that, once processor i has gained the right to broadcast, it
will first send its message to processor i + 1 (possibly having to wait for it to become available
to receive that message), then it will do the same with processor i + 2, and so forth up to N , then
wrapping around and going from processor 0 to processor i − 1. This is represented in Table 7.3
for N = 9.
Figures quite similar to Table 7.3 can be found in many classical works on pipelined micro-
7.2. PERFORMANCE ANALYSIS

135

Figure 7.11: A graphical representation for run-table 20 when P is a pseudo-random permutation.
id step

↓ →
0
1
2
3
4
5
6
7
8
9
ν

→

1

2

3

4

5

6

7

8

9

10

11

12

13

14

15

16

17

18

19

20

21

22

23

24

25

26

27

S1 S2 S3 S4 S5 S6 S7 S8 S9 − R 1 R 2 R 3 R 4 R 5 R 6 R 7 R 8 R 9 − − − − − − − −
R 0 S2 S3 S4 S5 S6 S7 S8 S9 S0 − R 2 R 3 R 4 R 5 R 6 R 7 R 8 R 9 − − − − − − −
− R 0 R 1 S3 S4 S5 S6 S7 S8 S9 S0 S1 − R 3 R 4 R 5 R 6 R 7 R 8 R 9 − − − − − −
− − R 0 R 1 R 2 S4 S5 S6 S7 S8 S9 S0 S1 S2 − R 4 R 5 R 6 R 7 R 8 R 9 − − − − −
− − − R 0 R 1 R 2 R 3 S5 S6 S7 S8 S9 S0 S1 S2 S3 − R 5 R 6 R 7 R 8 R 9 − − − −
− − − − R 0 R 1 R 2 R 3 R 4 S6 S7 S8 S9 S0 S1 S2 S3 S4 − R 6 R 7 R 8 R 9 − − −
− − − − − R 0 R 1 R 2 R 3 R 4 R 5 S7 S8 S9 S0 S1 S2 S3 S4 S5 − R 7 R 8 R 9 − −
− − − − − − R 0 R 1 R 2 R 3 R 4 R 5 R 6 S8 S9 S0 S1 S2 S3 S4 S5 S6 − R 8 R 9 −
− − − − − − − R 0 R 1 R 2 R 3 R 4 R 5 R 6 R 7 S9 S0 S1 S2 S3 S4 S5 S6 S7 − R 9
− − − − − − − − R 0 R 1 R 2 R 3 R 4 R 5 R 6 R 7 R 8 S0 S1 S2 S3 S4 S5 S6 S7 S8
2 2 4 4 6 6 8 8 10 8 10 8 10 8 10 8 10 8 10 8 8 6 6 4 4 2 2

Table 7.3: Run-table of a run for N = 9 using permutation of permutation (7.7). In this case
µ, or the average utilisation is 6.67 slots out of 10, with an efficiency ε = 66.67% and a length
λ = 27. Note that ν is in this case a palindrome.
processors (see e.g. [PH96]). For this and other similarities, the algorithm using permutation
(7.7) has been called algorithm of “pipelined broadcast”.
Indeed using this permutation leads to better performance. In particular, after a start-up phase
(after filling the pipeline), sustained performance is close to the maximum—a number of unused
slots (pipeline bubbles) still exist, even in the sustained region, but here µ reaches value N + 1
half of the times (if N is odd). In the region of decay, starting from time step 19, every new time
step a processor fully completes its task. Similar remarks apply to Table 7.4; this is the typical
shape of a run-table for N even. This time the state within the sustained region is more steady,
though the maximum number of used slots never reaches the number of slots in the system.
136

CHAPTER 7. ANALYSIS AND SIMULATIONS

id step

↓ →
0
1
2
3
4
5
6
7
8
ν

→

1

2

3

4

5

6

7

8

9

10

11

12

13

14

15

16

17

18

19

20

21

22

23

24

S1 S2 S3 S4 S5 S6 S7 S8 − R 1 R 2 R 3 R 4 R 5 R 6 R 7 R 8 − − − − − − −
R 0 S2 S3 S4 S5 S6 S7 S8 S0 − R 2 R 3 R 4 R 5 R 6 R 7 R 8 − − − − − −
− R 0 R 1 S3 S4 S5 S6 S7 S8 S0 S1 − R 3 R 4 R 5 R 6 R 7 R 8 − − − − −
− − R 0 R 1 R 2 S4 S5 S6 S7 S8 S0 S1 S2 − R 4 R 5 R 6 R 7 R 8 − − − −
− − − R 0 R 1 R 2 R 3 S5 S6 S7 S8 S0 S1 S2 S3 − R 5 R 6 R 7 R 8 − − −
− − − − R 0 R 1 R 2 R 3 R 4 S6 S7 S8 S0 S1 S2 S3 S4 − R 6 R 7 R 8 − −
− − − − − R 0 R 1 R 2 R 3 R 4 R 5 S7 S8 S0 S1 S2 S3 S4 S5 − R 7 R 8 −
− − − − − − R 0 R 1 R 2 R 3 R 4 R 5 R 6 S8 S0 S1 S2 S3 S4 S5 S6 − R 8
− − − − − − − R 0 R 1 R 2 R 3 R 4 R 5 R 6 R 7 S0 S1 S2 S3 S4 S5 S6 S7
2 2 4 4 6 6 8 8 8 8 8 8 8 8 8 8 8 8 6 6 4 4 2 2

Table 7.4: Run-table of a run for N = 8 using permutation (7.7). µ is equal to 6 slots out of 9,
with an efficiency ε = 66.67% and a length λ = 24. Note how ν is a palindrome.

20000
18000
16000
14000
12000

λ 10000
8000
6000
4000
2000
0
50

100

150

200

250

300

350

400

450

500

N

Figure 7.12: Comparison between run lengths resulting from the identity permutation (dotted
parabola) and those from permutation (7.7). The former are shown for 1 ≤ N ≤ 160, the latter
for 1 ≤ N ≤ 500.
7.2. PERFORMANCE ANALYSIS

137

8
7
6
5

µ 4
3
2
1
0
1

2

3

4

5

6

7

8

9

10

N

Figure 7.13: Comparison between values of µ derived from the identity permutation (dotted
parabola) and those from permutation (7.7) for 1 ≤ N ≤ 10.
138

CHAPTER 7. ANALYSIS AND SIMULATIONS
100
90
80
70
60
50
40
30
20
10
0
20

40

60

80

100

120

140

160

N

Figure 7.14: Comparison of efficiencies when P is the identity permutation and in the case of
permutation (7.7), for 1 ≤ N ≤ 160.
Figure 7.15: A graphical representation for run-table 30 when P is permutation (7.7).
It is possible to show that the distributed algorithm described in Fig. 7.7, with P as in (7.7),
can be computed in linear time:
Proposition 5 ∀N : λN = 3N.
(The proof is given in Sect. A.3.6).
The efficiency of the algorithm of pipelined broadcast does not depend on N :
Proposition 6 ∀N > 0 : εN = 2/3.
2
Proposition 7 µN = 3 (N + 1).

(The proofs are given in Sect. A.3.7 and A.3.8).
Table 7.5 shows how a run-table looks like when multiple broadcasting sessions take place
one after the other. As a result, the central area corresponding to the best observable performance
is prolonged. In that area, ε can be counted to be equal to N/(N + 1) and the throughput, or
the number of gossiping sessions per time step, has been found to be equal to t/2, t being the
duration of a time step. In other words, within that area a gossiping session is fully completed
every two time steps on the average.
7.2. PERFORMANCE ANALYSIS

0
1
2
3
4

139

1
2
3
4
5
6
7
8
9
10 11 12 13 14 15 16 17 18 19 . . .
S1 S2 S3 S4 − R 1 R 2 R 3 R 4 S1 S2 S3 S4 − R 1 R 2 R 3 R 4 . . .
S1 S2 S3 S4 − R 1 R 2 R 3 R 4 − − −
R0 S2 S3 S4 S0 − R2 R3 R4 R0 S2 S3 S4 S0 − R2 R3 . . . R4 R0 S2 S3 S4 S0 − R2 R3 R4 − −
− R0 R1 S3 S4 S0 S1 − R3 R4 R0 R1 S3 S4 S0 S1 − . . . R3 R4 R0 R1 S3 S4 S0 S1 − R3 R4 −
− − R0 R1 R2 S4 S0 S1 S2 − R4 R0 R1 R2 S4 S0 S1 . . . S2 − R4 R0 R1 R2 S4 S0 S1 S2 − R4
− − − R0 R1 R2 R3 S0 S1 S2 S3 − R0 R1 R2 R3 S0 . . . S1 S2 S3 − R0 R1 R2 R3 S0 S1 S2 S3
2 2 4 4 4 4 4 4 4 4 4 4 4 4 4 4 4 4 4 ... 4 4 4 4 4 4 4 4 4 4 4 2 2

Table 7.5: The algorithm is modified so that multiple gossiping sessions take place. As a consequence, the central, best performing area is prolonged. Therein ε is equal to N/(N + 1). Note
how, within that area, there are consecutive “zones” of ten columns each, within which five gossiping sessions reach their conclusion. For instance, such a zone is the region between columns 7
and 16: therein, at entries (4, 7), (0, 9), (1, 10), (2, 11), and (3, 12), a processor gets the last value
of a broadcast and can perform some work on a full set of values. This brings to a throughput of
t/2, where t is the duration of a slot.
7.2.1.3

Conclusions

A formal model has been introduced for the sake of characterising the performance of a key
sub-service of two TIRAN components, the distributed voting tool and the backbone, namely
gossiping. Within this model, a set of parameters has been located such that gossiping can
be characterised by unlimited scalability and high-throughput—in case of full-duplex, point-topoint communication. This result could be used, for instance, to devise special-purpose hardware
architectures that best support these application components.

7.2.2

Performance of the TIRAN tools

In the rest of this section, the results obtained from some simulations with the RεL prototypes
described in Chapter 5 are reported.
7.2.2.1

Performance of the TIRAN BB

The performance of the backbone, as mentioned in Sect. 7.2.1, highly depends on its base gossiping service, already analysed in the cited section. It is worth reporting now on the performance
of the BB when faults occur. How much time is in general required for the BB to assess that an
assistant is faulty and to isolate it? This question is clearly very system-dependent, especially
with respect to the communication network. Indeed, the algorithm of mutual suspicion (see
Sect. 5.2.4.1) is based on the values of the deadlines of a number of time-outs—namely, the MIA
(manager is alive), TAIA (this assistant is alive), and TEIF (this entity is faulty) time-outs. Let
us consider the case of a crashed node hosting the coordinator. The error detection latency is in
this case a contribution of the time required to detect that a MIA message is missing (equal to the
deadline of a MIA time-out) plus the time required to detect that a TEIF message is missing, plus
some delay due to communication and execution overheads. Figure 7.16 collects the durations
140

CHAPTER 7. ANALYSIS AND SIMULATIONS

of the intervals between the starting time in which the node of the manager becomes suspected
by an assistant and that in which that node is assumed to have crashed and election of a new
manager is started.
Performance highly depends on the communication network—the faster the network is, and
the larger its throughput, the shorter can the deadlines of the above mentioned time-outs be
without congesting the network. Clearly the choice of which deadlines to adopt is an important
one:
• Too short deadlines may congest the network and bring many periods of instability. These
periods are characterised by system partitioning, in which correct nodes are disconnected
from the rest of the system for the entire duration of the period (see the hypotheses of
the timed asynchronous distributed system model on p. 46). This calls for further overhead for managing the following partition merging (see Sect. 5.2.4.2). Clearly this activity
could be represented as a dynamic system, and studied as it has been done for instance
in [DF95]. Further reducing the deadlines would exacerbate the instability and result in
chaotic behaviours.
• On the other hand, too long deadlines translate in less messages, which asks less resources
to the communication network, though also imply a larger error detection latency, and
consequently a larger delay for the initiation of recovery.
In general, a proper trade-off between communication overhead and detection latency is required.
Both for the prototype realized on a Parsytec Xplorer and for that running on Windows NT the
same values are being used:
• A deadline of 1 second for the time-outs for sending a MIA or TAIA message.
• A deadline of 2 seconds for the time-outs corresponding to declaring a missing MIA or
TAIA message, thus initiating a so-called “suspicion period”.
• A deadline of 0.9 second for declaring a missing TEIF message and thus initiating the
graceful degradation of the backbone.
Results are shown in Fig. 7.16 for a version running on two Windows NT nodes.
7.2.2.2

Performance of the TIRAN TOM

Another key point in the TIRAN strategy and its overall performance is given by its time-out
manager TOM (described in Sect. 5.2.5). Indeed, the TIRAN implementation of the core algorithm of the backbone, the AMS (see Sect. 5.2.4.1), is based on the services provided by TOM,
which translate time-related events into delivery of messages: for instance, when cyclic time-out
IAT_SET_TIMEOUT elapses, an alarm is called, which sends the local component of the backbone message IAT_SET. When the backbone gets this message, it sets the local “<I’m Alive>”
flag to state that it is active.
Clearly this scheme works under the assumption that the delay between the expiration of a
time-out and the delivery of the associated alarm is negligible. This may not always be the case,
7.2. PERFORMANCE ANALYSIS

141

1.15

3
1.1
1.05

3 3

time
1
0.95

3
3 3
3 3

33
3
3
3 3 3
3
0.9 3 3
3
0

5

10

3

3

3 3
3
33
3
3 3
3
3
3 3 33 3 3 3 333
3
3
3
33
3

15

20

25
run

30

35

40

45

50

Figure 7.16: Time to detect that an assistant is faulty and to remove it from the TIRAN BB.
Times are expressed in seconds. 47 runs are reported. The deadline of the TEIF time-out is 0.9
second in this case. Communication and execution overheads bring to a maximum of about 1.2
seconds. Values are related to a backbone running on two Windows NT workstations connected
via a 10Mbps Ethernet and both based on a Pentium processor at 133MHz.

of course, especially because the duration of the alarm (the time required for TOM to execute the
alarm function, and thus for sending the message) may be relevant. This time has been found to
be indeed negligible for the TIRAN prototypes, mainly because the function to send an alarm is
non-blocking and terminates after copying its argument (a buffer of 20 bytes) into the outgoing
mailbox buffer—an operation lasting approximately 50µs on a DEC Alpha board using the TEX
nanokernel [TXT97].
The author of this dissertation has performed an analysis on the effects of congestion to the
execution of alarms competing for the same set of resources—for instance, the communication
subsystem [DFDL00b]. A novel architecture for TOM has been proposed in the cited paper and
realized by the author. This system exploits multiple alarm execution threads in order to reduce
the congestion due to concurrent alarm execution and the consequent run-time violations. This
new TOM is not being used in TIRAN because of the characteristics of the TIRAN alarms and of
its non-blocking communication functions–the additional complexity would provide no benefit
in this case. Appendix B describes the new mechanism and reports on some experiments that
show in which case the adoption of multiple alarm execution threads may provide control over
alarm execution congestion.
142

CHAPTER 7. ANALYSIS AND SIMULATIONS
10
adaptation times
mean
standard deviation

9

3

8

ms

73333333333333333333333333333333333
333333333333333333333333333333333
333333333333333333333333333333333
6
5
4

3333333333333333333333333333333333
333333333333333333333333333333333
333333333333333333333333333333333

3
0

20

40

60
run

80

100

120

Figure 7.17: Recovery times. X values represent consecutive runs of the application, Y values
are times for RINT to interpret the r-codes in Fig. 6.8 on a Parsytec PowerXplorer multicomputer.
7.2.2.3

Performance of the TIRAN Recovery Interpreter

In order to estimate the time required for error recovery, including the overhead of the RINT
recovery interpreter, the application described in Sect. 6.2.2 has been run for 120 times in a
row, injecting a value fault on one of the versions (version 2). The system replied executing
the recovery script described in Sect. 6.2, which switched version 2 off and version 4 in, thus
restoring an errorless TMR. Figure 6.6 and 6.7 display images taken in a similar experiment.
Figure 6.8 shows the actual list of r-codes executed by RINT. Figure 7.17 displays the time
required for executing them. These times include the additional overhead for writing the elapsed
time of each run into a file. Times, in milliseconds, are related to the prototype running on the
Parsytec Xplorer (based on PowerPC 601 processors with a clock frequency of 66MHz).
7.2.2.4

Performance of the Distributed Voting Tool

This section focuses on estimating the voting delay of the TIRAN distributed voting tool via
some experiments. Overheads are expressed in terms of system resources (threads, memory
occupation and so forth).
Time and Resources Overheads of the Distributed Voting Tool. All measurements have
been performed running a restoring organ consisting of N processing nodes, N = 1, . . . , 4. The
executable file has been obtained on a Parsytec CC system with the “ancc” C compiler using
the “-O” optimisation flag. During the experiments, the CC system was fully dedicated to the
execution of that application.
7.3. CODING EFFORT

143

The application has been executed in four runs, each of which has been repeated fifty times,
increasing the number of voters from 1 to 4, one voter per node. Wall-clock times have been
collected. Averages and standard deviations are shown in Table 7.6.
number of nodes
1
2
3
4

average
0.0615
0.1684
0.2224
0.3502

standard deviation
0.0006
0.0022
0.0035
0.0144

Table 7.6: Time overhead of the voting farm for one to four node systems (one voter per node).
The unit is milliseconds.
The system requires N threads to be spawned, and N mailboxes are needed for the communication between each user module and its local voter. The network of voters calls for another
N × (N − 1)/2 mailboxes.

7.3

Coding Effort

Coding efforts can be measured by the amount of fault-tolerance code intruded in the user application. When few coding effort is required by an ALFT structure, then the SA and SC characterising that structure may be assessed as satisfactory. As it has been shown in Chapter 6, with RεL
typically the sole code intrusion is given by the deployment of a set of error detection provisions,
a limited amount of calls to the RaiseEvent function, and possibly by application-specific
replies to messages from the RINT module, aiming, for instance at executing functions to roll
back to a previously checkpointed state. In the case described in Sect. 6.1 the code intrusion is
limited to the deployment of a watchdog. In the case of Sect. 6.2, code intrusion is absent, and
the user is only requested to supply the base versions of the functional service. Configuration
and recovery are supplied as an ARIEL script, hence they do not intrude in the functional code.
A few lines need to be added to the application “makefile” so to instruct the compilation of the
ancillary source codes produced by the ARIEL translator. Also in the ENEL demonstrator being
developed at ENEL and described in Sect. 6.3, code intrusion is expected to be limited to a few
RaiseEvent’s in their diagnostic functions (see on p. 116) and in a function call to a configured
instance of the TIRAN watchdog—this configuration being carried out in ARIEL. This translates
in low development costs related to the dependability design goals. Also what maintainability is
concerned, the use of ARIEL as a configuration language allows to modify even the API to the
TIRAN functions with no effect on the application code. In the redundant watchdog described
in Sect. 6.4, the diverse strategies are coded outside the functional application layer, and the tool
results from a compositional process supported by the configuration language. Hence, also in
this case the coding effort is very limited.
144

7.4

CHAPTER 7. ANALYSIS AND SIMULATIONS

Conclusions

This aim of this chapter has been the evaluation of some key properties of RεL—namely, reliability, performance and coding efforts. The effect of spares and fault-specific strategies on
reliability has been observed. An analysis of the performance of some key algorithmic components revealed their range of complexity and hinted at possible improvements. Other analyses
and simulations have been reported, concerning the performance of some key architectural components of the TIRAN prototype—its backbone, the time-out manager, the recovery interpreter,
and a basic tool. Finally, a few considerations on coding efforts related to RεL and their effect
on development and maintenance costs have been drawn.
Chapter 8
Open Challenges and Conclusions
This chapter concludes the dissertation and draws a few elements for further research. In particular, a number of open challenges are described in Sect. 8.1 while an overall conclusion with a
summary of the contributions of the author is drawn in Sect. 8.2.

8.1

Open Challenges and Research Problems

This section casts the basis for further investigations on the fault-tolerance linguistic structure
provided by RεL.
First, a straightforward extension for high adaptability (structural attribute A) is described
in Sect. 8.1.1. Next, an open challenging research path is stated in Sect. 8.1.2: extending RεL
to unlimited distributed systems, such as Internet-based wide-area metacomputing systems or
electronic-commerce applications. Section 8.1.3 briefly mentions a few other open research
paths.

8.1.1

A RεL Architecture for High Adaptability

As already mentioned, in ARIEL the fault-tolerance part of a computer program is separated from
the functional part, to the point that one could change the former with no impact on the latter—
not even recompiling the application code. This happens because, while the target application
code is a “plain” code, compiled with a conventional programming language such as, e.g., C or
C++, the fault-tolerance code is available in the form of a binary pseudo-code to be interpreted at
run-time by the r-code virtual machine. This property allows to create an infrastructure such that
this fault-tolerance code is not statically read from a file or from a data segment in the running
application—as it happens in the TIRAN prototype—but dynamically negotiated, at run-time,
from an external r-code broker, i.e., a server specific of the given environment. This strategy,
depicted in Fig. 8.1, would translate into the following properties:
• Moving a code to a new environment simply means that that code receives “recovery applets” from a different r-code broker.
145
146

CHAPTER 8. OPEN CHALLENGES AND CONCLUSIONS

Figure 8.1: The process of negotiating the r-codes: on the left, the user application runs together
with the backbone and the recovery interpreter. The actual set of r-codes to be interpreted (called
“recovery applet”) is requested from an external component, called the r-code broker. This
scheme partitions the complexity into three separate blocks—functional (service) complexity,
related to the functional aspects and dealt with in the application code; fault-tolerance complexity, i.e., the complexity pertaining to the management of the fault-tolerance provisions, which
is dealt with in the RεL system and in the r-codes; and environment complexity, defined as the
complexity required to cope in an optimal way with the varying environmental conditions, which
is charged to the r-code broker.
• Updating the recovery strategies of a set of client codes only requires updating a library of
recovery applets managed by the local r-code broker.
• Dynamic management of the applets in this r-code broker allows the whole set of clients to
adapt dynamically to a changing environment. This allows transparent, immediate adaptation to a new environment or to new environmental conditions, in order to guarantee the
degree of quality of service agreed in the service specifications despite any changes in the
environment.
• The burden of facing a changing environment (called “environment complexity” in Fig. 8.1)
is not charged to each application component. On the contrary, this complexity is shifted
to a single specialised external component, the r-code broker.
It is worth remarking how, in such an architecture, the complexity required to manage the
fault-tolerance provisions, as well as the one required to adjust the fault-tolerance provisions to
the current environmental conditions, are no more exclusively in the application. As drawn in
Fig. 8.1, this complexity can be decomposed into its three components and tackled in different contexts—possibly by different teams of experts, possibly at different times. According to
the divide et impera design principle, this may turn into an effective scheme for controlling the
complexity in a fault-tolerance distributed application. Note also how, in the above mentioned
scheme, the only general-purpose task is purely the service. Indeed, the system for the management of the fault-tolerance provisions and the r-code broker are special-purpose tasks, and as
such they are more eligible for being cost-effectively optimised with respect to both performance
and dependability. The maturity of hardware-based and OS-based fault-tolerance, with respect
to the complex scenario of application-level fault-tolerance described in this dissertation, may be
used as an argument to bring evidence to the above statement.

8.1.2

Extending RεL to Unlimited Distributed Systems

Another challenging research path would be to devise a RεL approach suited for the adoption in unlimited distributed systems, such as Internet-based wide-area metacomputing applications [Buy99] or WAP-based [WAP00] electronic-commerce applications. The peculiar characteristics of RεL, and especially its optimal adaptability, may prove to match well with the
8.1. OPEN CHALLENGES AND RESEARCH PROBLEMS

147

requirements of these classes of applications. The rest of this paragraph deals with the latter
class.
Nowadays WAP-based [WAP00] electronic-commerce applications allow to perform commercial transactions through hand-held devices. Clearly, the novel possibilities opened by this
new scenario inevitably let in new problems to be investigated and solved. For instance, client
applications written for being embedded into those hand-held devices, as well as the applications
remotely serving those clients, must be designed in such a way as to cope with the typical scenarios those applications may run into. Indeed, the mobility of these clients inplies error-proneness
and communication autonomy [VT00], that is, devices are not always reachable through the network and they are often disconnected. In other words, the environment in which the clients
execute may be unpredictably subjected to sudden, drastic changes, which could in turn result,
for instance, in temporary disconnections. The RεL approach described in this dissertation could
be extended as described in Sect. 8.1.1 so to bring adaptable fault-tolerance into this context.
Fine-tuning the degree of redundancy to the current conditions of the channel allows to minimise
the cost and time overheads. A RεL architecture may provide this solution without introducing
large amounts of complexity into the applications. Minimising costs and information redundancy
matches well with the characteristics of nowadays’ hand-held electronic-business devices, i.e.,
scarce and and expensive limited bandwidth [VT00].

8.1.3

Other Research Paths

Other future research paths should concern the conception of resilient strategies for the error
recovery process managed by RINT—an important requisite for developing an effective architecture compliant to RεL. Furthermore, the dynamic behaviour of systems such as the TIRAN
backbone or the time-out management system may be worth investigating. Typical questions to
be investigated would be, what happens to a dynamic system that models the activity of the backbone when one varies the deadlines of its time-outs? What external behaviour shows up when
shrinking those deadlines and hence increasing the frequency of the periods of instability? Similar investigations were carried out, e.g., in [DF95], by the author of this dissertation. Another path
would be that of investigating on the capability of RεL as a system structure for the expression of
aspects such as security. Other investigation may concern the automatic translation of a recovery
language program into a set of logic clauses with whom to fed some verification tool. Furthermore, experimenting structures other than RεL’s guarded actions may further increase the syntactical adequacy. Another important research path should concern the extension of the approach
towards hard real-time. The integration of the application-level fault-tolerance architecture of
ARIEL with a system-level fault-tolerance architecture such as the one of GUARDS [PABD+ 99],
which also addresses hard real-time, could provide an adequate end-to-end architecture addressing both dependability and real-time at all levels.
148

8.2

CHAPTER 8. OPEN CHALLENGES AND CONCLUSIONS

Conclusions

The thesis of this dissertation (“it is possible to catch up satisfactory values for the structural attributes, at least in the domain of soft real-time, distributed and parallel applications, by means
of a fault-tolerance linguistic structure that realises a distinct, secondary, programming and processing context, directly addressable from the application layer”) has been justified and validated
throughout this text by means of a number of arguments.
These arguments are recalled in Sect. 8.2.1, which discusses the key lessons learned. Finally,
Sect. 8.2.2 summarises the main contributions of this work.

8.2.1

Key Lessons Learned

One of the lessons learned while doing this work has been that an effective structure for application fault-tolerance can take the form of a couple
(application services, fault-tolerance services),
with limited dependencies between its two components. Such a separation allows to have independent design, development and maintenance processes for both the application and the faulttolerance services. This turns into optimal values of the structural attribute separation of design
concerns (SC).
Moreover, the RεL model allows the use of
• a widespread language such as C for the functional aspects, and
• an ad hoc linguistic structure for the fault-tolerance aspects,
thus reaching both the benefits of the evolutionary approaches (better portability, compliancy
to well-accepted and known standards, . . . ) and those of the revolutionary ones (less syntactical
constraints, more elegance and efficiency, explicitness of the fault-tolerance design requirements,
possibility to extend or add new features freely, therefore enhancing expressiveness and allowing
to reach optimal values of syntactical adequacy (SA).
One can conclude that the RεL approach and the linguistic structure of the configuration and
recovery language ARIEL allow to prove the truth of conjecture “the coexistence of two separate
though cooperating layers for the functional and the fault-tolerance aspects allows to reach both
the benefits inherent to the evolutionary approaches and those of the revolutionary solutions”
(see on p. 42) as well as of conjecture “it can be possible to address, within one efficacious
linguistic structure, a wide set of fault-tolerance provisions” (see on p. 42).
Another important lesson learned has been that in ARIEL, the separation of concerns is
such that even the corresponding executable codes are separable1 . This fact can be exploited
as suggested in Sect. 8.1.1 in order to design a distributed architecture in which the dynamic
1

When one considers an entire executable image as one code word, the corresponding code is said to be separable [Joh89, p. 84] with respect to the fault-tolerance and the functional aspects.
8.2. CONCLUSIONS

149

management of r-code applets both provides high adaptability (A) with respect to current environmental conditions and at the same time does not charge the application with the burden
of managing large amounts of non-functional complexity. This happens because complexity is
partitioned into three distinct and separated components. This brings evidence to our conjecture
(on p. 22) that argued that a satisfactory solution to the design problem of the management of the
fault-tolerance code can translate into an optimal management of the fault-tolerance provisions
with respect to varying environmental conditions.

8.2.2

Contributions

This dissertation provides a number of original contributions to the state-of-the-art of the structures to express fault-tolerance in the application layer of a computer system. These contributions
are now briefly recalled.
The first contribution has been the definition in Chapter 1 of the structural attributes, a sort
of base of variables with which application-level fault-tolerance structures can be qualitatively
assessed and compared with each other and with respect to above mentioned need.
Chapter 2 provides a summary of the Laprie’s model of dependability. The relation between the management of the fault-tolerance code, the efficient management of redundancy, and
complexity control, has been also introduced.
Chapter 3 is an in-depth survey of state-of-the-art of fault-tolerance structure. A qualitative
assessment is supplied for each class with respect to the structural attributes defined in Chapter
1. Two conjectures have been drawn on the characteristics of an optimal class. In particular,
the coexistence of two separate layers for the functional and the non-functional aspects has been
isolated as a key factor for a linguistic structure for fault-tolerance.
Chapter 4 introduces a novel linguistic structure for the fault-tolerance of distributed applications—the recovery language approach. System, application and fault models are proposed. A
workflow diagram is supplied. The overall design of the approach is given and an investigation
of possible technical foundations is carried out. Other contributions include an analysis of the
specific differences between the new structure and the ALFT approaches reviewed in Chapter 3,
and an analysis of the specific limitations of the recovery language approach.
Chapter 5 describes the prototype system compliant to the recovery language approach that
has been developed in project TIRAN. Contributions of the author include: the definition of
the TIRAN architecture; the concept of recovery and configuration language; the design of the
configuration and recovery language ARIEL; the design of a recovery pseudo-code (the r-code);
the design and development of the ARIEL-to-r-code translator; the design and development of
the ARIEL run-time executive; the design and development of the TIRAN backbone, including
its database; the conception of the algorithm of mutual suspicion; the design and development of
the distributed voting tool; the design and development of the TIRAN time-out manager; and the
design decision to adopt the α-count fault-identification mechanism.
Chapter 6 provides several case studies. In particular, the GLIMP software and the ENEL
redundant watchdog have been co-authored by the author, while the enhancements to the TIRAN
distributed voting tool (adding spares to an N -version programming executive, or using recov-
150

CHAPTER 8. OPEN CHALLENGES AND CONCLUSIONS

ery strategies that exploit the identification of the nature of each fault) have been designed and
implemented by the author.
Chapter 7 focuses on the assessment of the recovery language approach. A number of
results have been obtained via reliability and performance analysis and via measurements obtained through simulations. Key properties being assessed are reliability, performance, and coding efforts—the latter affecting both development and maintenance costs. It is shown that the
approach and algorithms described in this work may reach, under certain circumstances, high
performance and throughput, unlimited scalability, high reliability, and very limited usage costs.
Main contributions of the author in this chapter include: the definition of a class of gossiping
algorithms as a base service of the distributed voting tool; the conception of a formal model for
those algorithms and their analysis; the algorithm of pipelined broadcast and related theorems;
the Markovian reliability models for the analysis of the effect of spares and of α-count in the
distributed voting tool; the design and development of the system for congestion control in the
time-out manager; and the analysis of this system.
Chapter 8 then casts the elements for future research proposing possible evolutions and
improvements, including an architecture for the adaptable management of the fault-tolerance
code.
As an overall conclusion, this dissertation has addressed the lack of a structuring technique
capable to offer its users a satisfactory solution to the demands of dependable-software engineering. While a generally applicable solution does not exist, a particular one has been found,
analysed, and discussed, for the domain of soft real-time, distributed and parallel applications. In
this domain, the solution and its prototype exhibit satisfactory values of the structural attributes.
Experimental results suggest that systems based on the novel solution are able to fulfil dependability and performance design goals.
Appendix A
Mathematical Details
A.1

Mathematical Details Related to Eq. 7.2

The basic steps leading to Eq. 7.2, i.e.,

R(1) (C, t) = (−3C 2 + 6C) × [R(t)(1 − R(t))]2 + R(0) (t),

are described in what follows.
The Markov reliability model of Fig. 7.1 brings to the following set of equations:






















p310 (t + ∆t)
p300 (t + ∆t)
p200 (t + ∆t)
pFS (t + ∆t)
p211 (t + ∆t)
p301 (t + ∆t)
 p201 (t + ∆t)






 p202 (t + ∆t)







 pFU (t + ∆t)




p310 (t)(1 − 4λ∆t)
p300 (t)(1 − 3λ∆t) + p310 (t)4λ∆tC
p200 (t)(1 − 2λ∆t) + p300 (t)3λ∆t
pFS (t) + p200 (t)2λ∆t
p211 (t)(1 − 3λ∆t) + p310 (t)3λ∆t(1 − C)
p301 (t)(1 − 3λ∆t) + p310 (t)λ∆t(1 − C)
p201 (t)(1 − 2λ∆t) + p301 (t)3λ∆tC+
p211 (t)3λ∆tC
= p202 (t)(1 − 2λ∆t) + p301 (t)3λ∆t(1 − C)+
p211 (t)λ∆t(1 − C)
= pFU (t) + p201 (t)2λ∆t+
p211 (t)2λ∆t(1 − C) + p202 (t)2λ∆t.
=
=
=
=
=
=
=

The above equations can be written as follows:
151
152

APPENDIX A. MATHEMATICAL DETAILS

































dp310 (t+∆t)
dt
dp300 (t+∆t)
dt
dp200 (t+∆t)
dt
dp FS (t+∆t)
dt
dp211 (t+∆t)
dt
dp301 (t+∆t)
dt
dp201 (t+∆t)
dt
dp202 (t+∆t)
dt
dp FU (t+∆t)
dt

−4λp310 (t)
−3λp300 (t) + 4λCp310
−2λp200 (t) + 3λp300 (t)
2λp200 (t)
−3λp211 (t) + 3λ(1 − C)p310 (t)
−3λp301 (t) + λ(1 − C)p310 (t)
−2λp201 (t) + 3λCp301 (t) + 3λCp211 (t)
−2λp202 (t) + λ(1 − C)p211 (t) + 3λ(1 − C)p301 (t)
2λp202 (t) + 2λp201 (t) + 2λ(1 − C)p211 (t).

=
=
=
=
=
=
=
=
=

For any state s, let us now call Ls = L(ps (t)), where L is the Laplace transform. Furthermore,
as (310) is the initial state, it is reasonable to assume that p310 (0) = 1 and ∀s = (310) : ps (0) =
0. Then taking the limit of the above equations as ∆t goes to zero and taking the Laplace
transform brings to


























L310
L300
L200
LFS
L211
L301
L201
L202

1
= s+4λ
4C
4C
= s+3λ − s+4λ
12C
6C
6C
= s+4λ − s+3λ + s+2λ
3C
8C
6C
= C − s+4λ + s+3λ − s+2λ
s
= 3(1−C) − (3(1−C)
s+3λ
s+4λ
1−C
1−C
= s+3λ − s+4λ
1
2
1
= 6C(1 − C)( s+4λ − s+3λ + s+2λ )
1
2
1
= 3(1 − C)2 ( s+4λ − s+3λ + s+2λ ).

Inverting the Laplace transform, the following probabilities can be found:

 p310 (t)


 p300 (t)



 p200 (t)

p211 (t)

 p301 (t)



 p201 (t)



p202 (t)

=
=
=
=
=
=
=

exp−4λt
4C exp−3λt −4C exp−4λt
6C exp−4λt −12C exp−3λt +6C exp−2λt
3(1 − C) exp−3λt −3(1 − C) exp−4λt
(1 − C) exp−3λt −(1 − C) exp−4λt
6C(1 − C)(exp−4λt −2 exp−3λt + exp−2λt )
3(1 − C)2 (exp−4λt −2 exp−3λt + exp−2λt )

(only useful states have been computed).
Let us denote with R the reliability of the basic component of the system, i.e., exp−λt , and
RTMR as the reliability of the TMR system based on the same component. The reliability of the
three and one spare system, R(1) (C, t), is given by the sum of the above probabilities:
A.2. MATHEMATICAL DETAILS RELATED TO EQ. 7.4

153

R(1) (C, t) = R4 (−3C 2 + 6C) + R3 (6c2 − 12C − 2) + R2 (−3C 2 + 6C + 3)
= (−3C 2 + 6C)(R(1 − R))2 + (3R2 − 2R3 )
= (−3C 2 + 6C)(R(1 − R))2 + RTMR ,
which proves Eq. (7.2).

A.2

Mathematical Details Related to Eq. 7.4

This section describes the basic steps leading to Eq. 7.4:
Rα (t) = 3 exp−2(1−RT )λt −2 exp−3(1−RT )λt .
TMR
The Markov reliability model of Fig. 7.4 leads to the following set of equations:

 p3 (t + ∆t) = p3 (t)[1 − 3λ∆t(1 − RT )]
p2 (t + ∆t) = p2 (t)[1 − 2λ∆t(1 − RT )] + p3 (t)[3λ∆t(1 − RT )]

pF (t + ∆t) = pF (t) + p2 (t)[2λ∆t(1 − RT )].
The above equations can be written as follows:

 dp3 (t+∆t) = −3λ(1 − RT )p3 (t)

dt
dp2 (t+∆t)
= −2λp2 (t)(1 − RT ) + 3λp3 (t)(1 − RT )
dt
 dpF (t+∆t)

= 2λp2 (t)(1 − RT ).
dt
For any state s, let us now again call Ls = L(ps (t)), where L is the Laplace transform.
Furthermore, as (3) is the initial state, it is assumed that p3 (0) = 1 and ∀s = (3) : ps (0) = 0.
Then taking the limit of the above equations as ∆t goes to zero and taking the Laplace transform
brings to

1
 L3 = s+3λ(1−RT )

3
3
L2 = s+2λ(1−RT ) − s+3λ(1−RT )

2
3
 LF = 1 −
− s+2λ(1−RT ) .
s
s+3λ(1−RT )
Inverting the Laplace transform, the following probabilities can be found:

 p3 (t) = exp−3(1−RT )λt
p (t) = 3 exp−2(1−RT )λt −3 exp−3(1−RT )λt
 2
pF (t) = 1 + 2 exp−3(1−RT )λt −3 exp−2(1−RT )λt .
Let us denote as Rα
TMR the reliability of a TMR system exploiting the α-count mechanism.
α
Indeed RTMR = p3 (t) + p2 (t) is Eq. (7.4).
154

APPENDIX A. MATHEMATICAL DETAILS

A.3

Proofs of Propositions of Sect. 7.2.1

A.3.1

Proof of Proposition 1
For any permutation P, the distributed algorithm described by the state
diagram of Fig. 7.7 solves the gossiping problem of Sect. 7.2.1 without deadlocks.

PROOF 1 The algorithm trivially implements gossiping through N broadcast sessions, i.e., N
sequences of N − 1 sends and N − 1 corresponding receipts. The state diagram of Fig. 7.7
is a linear sequence of 4N + 2 states—hence, the corresponding algorithm has no selective or
recurrence statements. It is now shown how no “send-send” deadlock situations are possible,
i.e., no two processors pi and pj can be found such that, at the same time, pi is in state WSj and
pj is in state WSi .
Let us first observe how, by construction, for all i ∈ [0, N ], if processor pi has acquired j
input values, then, for all k ≤ j, processor pk has already passed through states WSi and Si
(shown the second row of Fig. 7.7).
If, ab absurdo, ∃i, j such that processor pj is in state WSi and processor pi is in state WSj
(i.e., the system is in deadlock), then either i < j or the other way around. If i < j then
pj has already passed through states WSi and Si , which contradicts the hypothesis. The same
contradiction is reached if j < i. 2

A.3.2

Proof of Proposition 2
λN = 3 N 2 + 5 N +
4
4

1
2

N/2 .

PROOF 2 (by induction). The property holds for N = 1. Let us consider run-table N + 1.
Let us strip off its last row; then wipe out the (N + 1)/2 − 1 leftmost columns which contain
the element SN +1 . Let us also cut out the whole right part of the table starting at the column
containing the last occurrence of SN +1 . Finally, let us rename all the remaining SN +1 ’s as “−”.
Our first goal is showing that what remains is run-table N . To this end, let us first point out
how the only actions that affect the content of other cells in a run-table are the S actions. Their
range of action is given by their subscript: an SN +1 for instance only affects an entry in row
N + 1.
Now let us consider what happens when processor i − 1 sends its message to processor i
and the latter gains the right to broadcast as well: at this point, processor i starts sending to
processors in the range {0, . . . , i − 2} i.e., those “above”; as soon as it tries to reach processor
i − 1, in the case the latter has not finished its own broadcast, i enters state WS and blocks.
This means that:
1. processors “below” processor i will not be allowed to start their broadcast, and
2. for processor i and those “above”, µ, or the degree of parallelism, is always equal to 2 or
4—no other value is possible. This is shown for instance in Table 7.1, row “ν ”.
A.3. PROOFS OF PROPOSITIONS OF SECT. 7.2.1

155

Figure A.1: Processor i − 1 blocks processor i only if 2i − 1 < N . A transmission i.e., two used
slots, is represented by an arrow. In dotted arrows the sender is processor i−1, for normal arrows
it is processor i. Note the cluster of i − 1 columns with two concurrent transmissions (adding up
to 4 used slots) in each of them.
id step

↓→
0
1
2
3
4
5
6
7
ν

→

1

2

3

4

5

6

7

8

9

10

11

12

13

14

15

16

17

18

19

20

21

22

23

24

S1 S2 S3 S4 S5 S6 S7 R 1 − R 2 − − − − − − R 3 − − − − − R 4 −
R0
S0 S2 S3 S4 S5 S6 S7 R 2 − − R 3 − − − − − R 4
− R 0 − − − − − − R 1 S0
S1 S3 S4 S5 S6 S7 R 3 − − −
− − R 0 − − − − − − R 1 − − − − − R 2 S0 S1
S2 S4 S5 S6
− − − R 0 − − − − − − R 1 − − − − − R 2 − − − − R 3 S0 S1
− − − − R0 − − − − − − R1 − − − − − R2 − − − − R3 −
− − − − − R0 − − − − − − R1 − − − − − R2 − − − − R3
− − − − − − R0 − − − − − − R1 − − − − − R2 − − − −
2 2 2 2 2 2 2 2 2 4 2 2 2 2 2 2 4 4 2 2 2 2 4 4

id step

↓→
0
1
2
3
4
5
6
7
ν

→

25

26

27

28

29

30

31

32

33

34

35

36

37

38

39

40

41

42

43

44

45

46

47

− − − R5 − − − − − R6 − − − − − − R7 − − − − − −
− − − − R5 − − − − − R6 − − − − − − R7 − − − − −
R4 − − − − R5 − − − − − R6 − − − − − − R7 − − − −
S7 R 4 − − − − R 5 − − − − − R 6 − − − − − − R 7 − − −
S2 S3 S5 S6 S7 − − R 5 − − − − − R 6 − − − − − − R 7 − −
− − R 4 S0 S1 S2 S3 S4 S6 S7 − − − − R 6 − − − − − − R 7 −
− − − R 4 − − − − R 5 S0 S1 S2 S3 S4 S5 S7 − − − − − − R 7
R 3 − − − R 4 − − − − R 5 − − − − − R 6 S0 S1 S2 S3 S4 S5 S6
4 2 2 4 4 2 2 2 2 4 2 2 2 2 2 2 2 2 2 2 2 2 2

Table A.1: Run-table 7 for P equal to the identity permutation. Average utilisation is 2.38 slots
out of 8, or an efficiency of 29.79%.
As depicted in Fig. A.1, processor i gets blocked only if it tries to send to processor i − 1
+1
while the latter is still broadcasting, which happens when i < N 2 . This condition is true for
+1
any processor j ∈ {0, . . . , N 2 −1}. Note how a “cluster” appears, consisting of j−1 columns
with 4 used slots inside (Table A.1 can be used to verify the above when N is 7). Removing the
+1
+1
first N 2 occurrences of SN +1 (from row 0 to row N 2 − 1) therefore simply shortens of one
time step the stay of each processor in their current waiting states. All the remaining columns
containing that element cannot be removed—these occurrences simply vanish by substituting
them with a “−” action.
Finally, the removal of the last occurrence of SN +1 from the series of sending actions which
constitute the broadcast of processor N allows the removal of the whole right sub-table starting
at that point. The obtained table contains all and only the actions of run N ; the coherence of
156

APPENDIX A. MATHEMATICAL DETAILS

these actions is not affected; and all broadcast sessions are managed according to the rule of the
identity permutation. In other words, this is run-table N .
Now let us consider σ(N + 1): according to the above argument, this is equal to:
1. the number of slots available in an N -run i.e., σ(N ) = (N + 1)λN ,
2. plus N + 1 slots from each of the columns that experience a delay i.e.,
(N + 1)/2 · (N + 1),
3. plus the slots in the right sub-matrix, not counting the last row i.e.,
(N + 1)(N + 2),
4. plus an additional row.
In other words, σ(N + 1) can be expressed as the sum of the above first three items multiplied
by a factor equal to N +2 . This can be written as an equation as
N +1
k+1
k+2
(k + 1) + (k + 1)(k + 2)
.
2
k+1

σ(k + 1) = σ(k) +

(A.1)

By the definition of σ (see on p. 130), this leads to the following recursive relation:
k+1
+ k + 2.
2
Furthermore, the following is true by the induction hypothesis:
(k + 1) = (k) +

3
5
1
λN = (N ) = N 2 + N + N/2 .
4
4
2

(A.2)

(A.3)

Our goal is to show that Eq. (A.2) and Eq. (A.3) together imply that (N + 1) = λN +1 , the
latter being
3
5
1 N +1
(N + 1)2 + (N + 1) +
4
4
2
2

λN +1 =
1
Let us call quantity 2
Let us consider now

N
2

+

N +1
2

(N + 1) =

as ∆.

(N ) +

N +1
+N +2
2

3
= λN + N + 2
2
3 2 5
=
N + N +∆+N +2
4
4
3
6
3 9
=
(N + 1)2 − N − + N + 2 + ∆
4
4
4 4
3
5
N
=
(N + 1)2 + (N + 1) −
+ ∆.
4
4
2

(A.4)
A.3. PROOFS OF PROPOSITIONS OF SECT. 7.2.1

157

The thesis is proved by showing that
1 N +1
N
=∆− .
2
2
2

(A.5)

Indeed, Eq. (A.5) can be written as
1 N +1
2
2
N +1
2

1 N
N +1
N
+
−
2 2
2
2
N
N +1
=
+2
−N
2
2
N
N +1
+
.
N =
2
2
=

(A.6)

The truth of Eq. (A.6) proves our claim.

A.3.3

Proof of Lemma 1

The number of columns with 4 used slots inside, for a run with P equal to the identity permutation and N + 1 processors, is
N 2 − 2N + [N is odd]
.
4
PROOF 3 Figure A.1 shows also how, for any processor 1 ≤ i ≤ (N + 1)/2 , there exists
only one cluster of i − 1 columns such that each column contains exactly 4 used slots. Moreover
Fig. A.2 shows that, for any processor (N + 1)/2 + 1 ≤ i ≤ N , there exists only one cluster
of N − i columns with that same property.

Figure A.2: For any processor i > (N + 1)/2 , there exists only one cluster of N − i columns
with 4 used slots inside.
Let us call u4 this number and count such columns:
(N +1)/2

N

(i − 1) +

u4 =
i=1

(N − i).

(A.7)

i= (N +1)/2 +1

Two well-known algebraic transformations on sums (see e.g., in [GK86, PjB85]) bring to
(N +1)/2 −1

u4 =

N − (N +1)/2 −1

(N −

j+
j=0

j=0

N +1
− 1 − j).
2

(A.8)
158

APPENDIX A. MATHEMATICAL DETAILS

Note that, with m = N − (N + 1)/2 − 1, the second sum can be written as
which is equal to m(m+1) . Hence,
2
N +1
2

+1
+1
− 1)( N 2 ) (N − N 2 − 1)(N −
u4 =
+
2
2
1 2
N +1 2
N +1
=
(N + 2(
) − 2N
− N)
2
2
2
N 2 − 2N + [N is odd]
=
,
4
where “[N is odd]” is 1 when N is odd and 0 otherwise. 2

(

A.3.4

N +1
2

m
j=0 (m − j),

)

(A.9)

Proof of Proposition 3
limN →∞ εN = 0.

PROOF 4 Let us call U (N ) the number of used slots in a run of N processors. As a consequence
of Lemma 1, the number of used slots in a run is
N 2 − 2N + [N is odd]
+ 2λN
4
N 2 − 2N + [N is odd]
3
5
1
+ 2( N 2 + N + N/2 ).
=
2
4
4
2
The definition of σ (see on p. 130) implies that
U (N ) = 2

εN =

U (N )
.
(N + 1)λN

(A.10)

(A.11)

Clearly deg[U (N )] = 2, while from Prop. 2 one knows that deg[(N + 1) · λN ] = 3. As a
consequence, εN tends to zero as N tends to infinity. 2

A.3.5

Proof of Proposition 4
8
limN →∞ µN = 3 .

PROOF 5 From
µN =

U (N )
,
λN

(A.12)

one can derive that
2

µN

2 N + 2 3 N 2 + . . . some 1st degree elements
4
4
=
3 2
N + . . . some 1st degree elements
4
2N 2 + . . . some 1st degree elements
,
= 3 2
N + . . . some 1st degree elements
4

8
which tends to 3 , or 2.6, when N goes to infinity. 2

(A.13)
A.3. PROOFS OF PROPOSITIONS OF SECT. 7.2.1

A.3.6

159

Proof of Proposition 5
λN = 3N.

PROOF 6 Let us consider run-table N + 1. Let us strip off its last row; then remove each
occurrence of SN +1 , shifting each row left over one position. Remove also each occurrence of
RN +1 . Finally, remove the last column, now empty because of the previous rules.
Our first goal is showing that what remains is run-table N . To this end, let us remind the
reader that each occurrence of an SN +1 action only affects row N + 1, which has been cut out.
Furthermore, each occurrence of RN +1 comes from an S action in row N + 1. Finally, due to the
structure of the permutation, the last action in row N +1 has to be an SN —as a consequence, row
N shall contain an RN +1 , and the remaining rows shall contain the action “−”. Removing the
RN +1 allows to remove the last column as well, with no coherency violation and no redundant
steps. This proves our first claim.
With a reasoning similar to the one followed for Prop. 2 it is possible to show that
σ(N + 1) = σ(N ) + 3(N + 1)

N +2
.
N +1

(A.14)

that is, by Definition 7.2.1.1,
λ(N + 1) = λ(N ) + 3.

(A.15)

Recursive relation (A.15) represents the first (or forward) difference of λ(N ) (see for instance
[PW79]). The solution of the above is λ(N ) = 3N . 2

A.3.7

Proof of Proposition 6
∀N > 0 : εN = 2/3.

PROOF 7 Again, let U (N ) be the number of used slots in a run of N processors. From Prop. 5,
run-table N differs from run-table N + 1 only for N + 1 “S” actions, N + 1 “R” actions, and
the last row consisting of another N + 1 pairs of useful actions plus some non-useful actions.
Then
U (N + 1) = U (N ) + 4(N + 1).
(A.16)
Via, e.g., the method of trial solutions for constant coefficient difference equations introduced
in [PW79, p. 16], it is possible to get to U (N ) = 2N (N + 1), which clearly satisfies recursive
relation (A.16) being 2N (N + 1) + 4(N + 1) = 2(N + 1)(N + 2).
Hence
U (N )
2N (N + 1)
2
εN =
=
= .
(A.17)
σ(N )
λN (N + 1)
3
2
160

A.3.8

APPENDIX A. MATHEMATICAL DETAILS

Proof of Proposition 7
2
∀N > 0 : µN = (N + 1).
3

PROOF 8 The proof follows immediately from
µN = U (N )/λN = 2N (N + 1)/(3N ).
2
Appendix B
The TIRAN Time-Out Manager
This chapter describes the architecture, the application programmer’s interface (i.e., the clientside view), as well as the server-side protocol of an enhanced version of the TIRAN TOM.
TOM can be regarded as a client-server application such that the client issues requests according
to a well-defined protocol, while a server thread fulfils these requests: registering, updating,
modifying, purging entries of the time-out list, and executing the corresponding alarms. This
server side is totally transparent to the user module (the client).

B.1

The Architecture of the TOM System

Figure B.1 shows TOM’s architecture. In
(1) the client process sends requests to the time-out list manager via the API to be described
in Sect. B.2; in
(2) the time-out list manager accordingly updates the time-out list with the server-side protocol
to be described in Sect. B.3;
(3) each time a time-out reaches its deadline, a request for execution of the corresponding alarm
is sent to a task called alarm scheduler (AS);
(4) the latter allocates an alarm request to the first available thread out of those in a circular list
of alarm threads (AT ’s), possibly waiting until such a thread becomes available.
The availability of AS and AT ’s can have positive consequences on fulfilling real-time requirements. These aspects are dealt with in Sect. B.4.

B.2

Client-Side Protocol

The TOM class appears to the user as a couple of new types and some function calls. The first of
these types comes into action the moment the user starts using the time-out management service.
161
162

APPENDIX B. THE TIRAN TIME-OUT MANAGER

Figure B.1: Architecture of the time-out management system.
Specifically, to declare a time-out manager, the user needs to define a pointer to a TOM object.
This is more or less like defining a FILE pointer in standard C: TOM *tom.
Within the standard C class “FILE”, the function fopen attaches an object to that pointer
and opens a connection with the file system; likewise, the function tom init defines a time-out
manager object, and sets up a connection with TOM’s server-side:
int alarm(TOM *); tom = tom init( alarm );
(the function alarm is the default function to be called when a time-out expires. A class-specific
variable stores this function pointer. This default value can be changed afterwards by setting
another, object-specific, variable). Function tom init is node-specific; that is, the first time it
is called on a node, a custom thread is spawned on that node. That thread is the actual time-out
manager, that is, TOM’s server-side.
At this point the user is allowed to define time-outs. This is done via type timeout t and
function tom declare; an example follows:
timeout t t;
tom declare(&t,TOM CYCLIC, TOM SET ENABLE, TID, DEADLINE).
In the above, time-out t is defined as:
• a cyclic time-out (renewed on expiration; as opposed to TOM NON CYCLIC, i.e., purged
on expiration),
• enabled (only enabled time-outs “fire”, i.e., call their alarm on expiration; an alarm is
disabled with TOM SET DISABLE),
• with a deadline of DEADLINE clock ticks before expiration.
Furthermore, time-out t is identified by the integer TID.
Once defined, a time-out can be submitted to the time-out manager for insertion in its running
list of time-outs—this will be explained in more detail in Sect. B.3. From the user viewpoint,
this is managed by calling the function tom insert.
After successful insertion (to be tested via the return value of tom insert), and in case no
further control is specified, an enabled time-out will trigger the call of the default alarm function
after the specified deadline. This behaviour would be cyclic if the original time-out is defined
as such. Further control is still possible though. For instance, a time-out can be temporarily
suspended while in the time-out list via function tom disable and (re)-enabled via function
tom enable.
Furthermore, via similar functions, the user is allowed to specify a function other than the
default one to be called upon expiration of the deadline (function tom set action), as well
as to specify new deadline values (function tom set deadline). TOM also allows to delete a
B.3. SERVER-SIDE PROTOCOL

1.

163

/* declarations */
TOM *tom; timeout t t1, t2;
int my alarm(TOM*), another alarm(TOM*);
/* definitions */
tom ← tom init(my alarm);
tom declare(&t1, TOM NON CYCLIC, TOM SET ENABLE,
TIMEOUT1, DEADLINE1);
tom declare(&t2, TOM CYCLIC, TOM SET DISABLE,
TIMEOUT2, DEADLINE2);
tom set action(&t2, another alarm);
/* insertion */
tom insert(tom, &t1),
tom insert(tom, &t2);
/* control */
tom enable(tom, &t2);
tom set deadline(&t2, NEW DEADLINE2);
tom renew(tom, &t2);
tom delete(tom, &t1);
/* deactivation */
tom close(tom);

2.

3.

4.

5.

Table B.1: An example of usage of the TOM class.
time-out from the list (tom delete) as well as to renew a time-out—which means removing a
time-out and inserting it with the original values set again (tom renew). Function tom close
terminates the time-out management service also performing garbage collection. Table B.1 summarises the above client-side protocol with an example.

B.3

Server-Side Protocol

The server-side protocol is run by a component called time-out list manager (TOLM). TOLM
basically checks every TOM CYCLE whether
• there are any incoming requests for manipulating the time-out list; if so, it deals with those
requests;
• there are time-outs whose deadlines are reached. If so, it manages the execution of the
corresponding alarm.
This section describes the server-side protocol of TOLM, i.e., the way TOLM manages the list
of time-outs.
164

APPENDIX B. THE TIRAN TIME-OUT MANAGER

Each time-out t is characterised by its deadline, namely t.deadline, a positive integer
representing the number of clock ticks that must separate the time of insertion or renewal from
the scheduled time of alarm. Functions tom declare and tom set deadline set this field.
Each time-out t holds also a field, t.running, initially set to t.deadline.
Each time-out list object, say tom, hosts a variable representing the origin of the time axis.
This variable, tom.starting time, is related in particular to the time-out at the top of the
time-out list—the idea is that the top of the list is the only entry whose running field needs to
be compared with current time in order to verify the occurrence of the time-out-expired event.
For the time-outs behind the top one, that field represents relative values, i.e., distances from
expiration time of the closest, preceding time-out. In other words, the overall time-out list management aims at isolating a “closest to expiration” time-out, or head time-out, that is the one and
only time-out to be tracked for expiration, and at preserving the coherence of a list of “relative
time-outs”.
Let us call TimeNow the system function returning the current value of the clock register. In
an ordered, coherent time-out list, residual time for the head time-out t, is given by
t.running − (TimeNow − tom.starting time),

(B.1)

that is, residual time minus time already passed by. Let us call quantity (B.1) as r1 , or head
residual. For time-out n, n > 1, that is for the time-out located n − 1 entries “after” the top
block, let us define
n

rn = r1 +

ti .running

(B.2)

i=2

as the n-th residual, or residual time for time-out at entry n. If there are m entries in the time-out
list, let us define rj = 0 for any j > m.
It is now possible to formally define the fundamental operations on a time-out list: insertion
and deletion of an entry.

B.3.1

Insertion

There are three possible insertions, namely on top, in the middle, and at the end of the list.
B.3.1.1

Insertion on Top

In this case a new time-out object, say t, has to be inserted on top, such that t.deadline < r1 ,
that is, the deadline of which is less than the head residual. Let us call u the current top of the
list. Then the following operations need to be carried out:

 t.running

← t.deadline + TimeNow−
tom.starting time

u.running ← r1 − t.deadline.
B.3. SERVER-SIDE PROTOCOL

165

Note that the first operation is needed in order to verify relation
t.running − (TimeNow − tom.starting time)
= t.deadline,
while the second operation aims at turning the absolute value kept in the running field of the
“old” head of the list into a value relative to the one stored in the corresponding field of the “new”
top of the list.
B.3.1.2

Insertion in the Middle

In this case a time-out t such that, for some j,
rj ≤ t.deadline < rj+1 ,
is to be inserted. Let us call u time-out j + 1. (Note that both t and u exist by hypothesis). Then
the following operations need to be carried out:
t.running ← t.deadline − rj
u.running ← u.running − t.running.
Note how, both in the case of insertion on top and in that of insertion in the middle of the list,
the time interval [0, rm ] has not changed its length. It has, however, been further subdivided, and
is now to be referred to as [0, rm+1 ].
B.3.1.3

Insertion at the End

Let us suppose the time-out list consists of m > 0 items, and that a time-out t has to be inserted,
with t.deadline ≥ rm . In this case the item is simply appended and initialised so that
t.running ← t.deadline − rm .
Note how insertion at the end of the list is the only way to prolong the range of action from a
certain [0, rm ] to a larger period [0, rm+1 ].

B.3.2

Deletion

The other basic management operation on the time-out list is deletion. Three types of deletions
can be found: deletion from the top, from the middle, and from the end of the list.
B.3.2.1

Deletion from the Top

A singleton list is a trivial case. Let us suppose there are at least two items in the list. Let us call
t the top of the list and u the next element, the one that will be promoted to top of the list. From
166

APPENDIX B. THE TIRAN TIME-OUT MANAGER

its definition it is known that
r2 = u.running + r1
= u.running + t.running −
(TimeNow − tom.starting time).

(B.3)

By (B.1), the bracketed quantity is elapsed time, so the amount of absolute time units that
separate current time from the expiration time is given by u.running + t.running. In order
to “behead” the list t needs to be updated as follows:
u.running ← u.running + t.running.
B.3.2.2

Deletion from the Middle

Let us suppose that there are two consecutive time-outs in the list, t followed by u, such that t
is not the top of the list. Again, before actually removing t from the list, the following step is
required:
u.running ← u.running + t.running.
B.3.2.3

Deletion from the End

Deletion from the end means deleting an entry which is not referenced by any further item in
the list. Physical deletion can be performed with no need for any updating. Only the interval of
action is shortened.
The variable tom.starting time is never touched when deleting from or inserting entries into a time-out list, except when inserting the first element, when it is set to the current value
returned by TimeNow.

B.4

Real-Time Support

What has been reported so far applies in the ideal situation such that
• all management operations occur instantaneously, that is, inducing no real-time delay,
• time-out detection delay is negligible,
• other threads/processes running on the same processing node have negligible influence on
the performance of the manager,
• alarm execution delay is negligible.
This is in general far from being true. Management tasks do impose a non-negligible overhead, time-out checks occur once every TOM CYCLE clock ticks (one may reduce this value,
though this is detrimental to performance, because this increases the frequency of checking,
B.4. REAL-TIME SUPPORT

167

which implies more context switches and more CPU cycles assigned to TOM), overloading the
process with threads results in a smaller time slice per thread, and, last but not least, the alarm
function is a big source of non-determinism due to the fact that it is defined by the user. In
our experience, for instance, the alarm function is often related to some communication task—
typically the alarm triggers the transfer of a message, possibly across the network. Frequently
this happens through synchronous links and results in blocking the sender until the receiver is
ready to receive and the transfer has been made.
In conclusion, there is a non negligible delay between the time at which r1 becomes zero and
the time that event is managed; such delay can be expressed as
(TimeNow − tom.starting time) − t.running.
This quantity must be immediately propagated to those entries who follow the top of the list.
This is done by determining the integer j ≥ 1 such that
rj < 0

∧

rj+1 ≥ 0,

(B.4)

where this time r1 can also be negative. The time-out management thread needs therefore first to
check whether r1 is less than zero; if so, it must calculate index j such that (B.4) is verified; and
finally command the execution of all the corresponding alarm functions.
Finally, if the list is not empty, that thread must adjust the corresponding running field as
follows: let t be time-out j + 1; then
t.running ← t.running + rj .
Clearly the above mechanism only works well if there is a way to keep under control the
congestion that is due to alarm execution. The rest of this section describes a mechanism with
this aim.
Alarm execution is managed via the mechanism shown in Fig. B.1, points (3) and (4), i.e.,
through the AS, which gathers all alarm execution requests and forwards them to the next entry
of a circular list of threads. As already said, alarms often imply communications, therefore using
a list of concurrent threads might in principle result in better performance, should the underlying
system offer means for managing I/O in parallel. In general, if the alarms do not compete “too
much” for the same resources at the same times, this scheme should allow a better exploitation
of the available resources as well as a higher probability of controlling alarm congestion. The
present section deals with the estimation of the capability of this mechanism to control alarm
congestion under different levels of congestion and in two opposite cases of alarm interference,
i.e., no competition and full competition.
In order to estimate the average run-time delay imposed by TOM, the following experiment
has been performed: 1000 non-cyclic time-outs have been generated pseudo-randomly with a
deadline uniformly distributed in time interval ]0, T ]. Each time a time-out triggered an alarm,
the difference between expected and real-time of execution of the alarm has been computed. Let
us call δ this value. TOM’s period, i.e., TOM CYCLE was set to 50000 clock ticks, 1 clock tick
being 1µs on the target machines. The experiment was performed on a single node of a Parsytec
168

APPENDIX B. THE TIRAN TIME-OUT MANAGER

Figure B.2: 1000 time-outs are uniformly generated in ]0, 100]s. The duration of the alarms is
in this case ≈ 50µs. Only one alarm thread is adopted in this case. The maximum value is
52787 “clock ticks”, minimum is 157 (1 tick=1µs). The average is 26892.74, standard deviation
is 14376.89 ticks; 20 of the 1000 time-outs exceeded TOM CYCLE.
PowerXplorer, using a PowerPC 601 at 66MHz, and has been repeated on a Parsytec CC system,
with a PowerPC 604 at 133MHz. More or less the same results have been observed on both
machines (the clock frequency only influences alarm list management times, which is a small
percentage of the processing time).
In order to measure the alarm congestion capability of TOM, the experiment has been repeated configuring TOM with no threads in the circular list of AT ’s (alarm execution managed
by TOLM) and later adding more and more threads in that list. Let us call τ the number of
threads in the list.
Furthermore, the following overheads have been artificially imposed on the alarm functions:
nearly no overhead (just that of calling a function and copying a 20-byte message—this is the
typical delay used in most of our applications, lasting approximately 50µs on a DEC Alpha board
using the TEX nanokernel [TXT97],—10ms, 100ms, and so on. This overhead has been imposed
either by loading the alarms with some purely computation-oriented tasks, so that they compete
for the same resource (in this case, the one CPU in the system), or by executing a function
(TimeWait) that puts the calling thread in the wait state for the specified amount of time—this
way alarms do not compete at all with each other.
Figure B.2 summarises the results of the first experiment. The experiments show that minimal (effective) overhead is imposed on the alarms of 1000 time-outs, the deadline of which is
generated pseudo-randomly in ]0, 100s]. TOLM directly executes alarms in this case (τ = 0).

B.4.1

Best Case Scenario

Another experiment aimed at evaluating what happens when δ is increased while keeping τ equal
to zero and there is no competition among the alarms. The results have been also summarised in
Table B.2 which reports the number of items that resulted in a real-time violation (alarm delay
greater than TOM CYCLE clock ticks) as well as other statistics. Particularly meaningful is the
largest violation, which, in the case of a delay of 20ms, was equal to 124535 clock ticks, or 2.49
times TOM CYCLE.
In particular, when the duration of the alarm became larger than TOM CYCLE (the checking
quantum of the time-out list manager), an ever increasing violation of real-time requirements due
to alarm execution congestion has been observed.
It has been experimentally found that the presence of the AS and of the circular list of threads
has a great consequence on alarm congestion control: Table B.3 for instance summarises the
results of increasing τ from 0 to 5 when δ is set to 20µs. In particular when τ is equal to
2, the number of “run-time violations”, i.e., the number of time-outs for which the true time
of execution of the alarm minus the expected time of execution of the alarm is greater than
B.4. REAL-TIME SUPPORT
delay
≈ 50µs
1ms
5ms
10ms
20ms

169
population
20
34
77
132
238

average
50967.10
51282.32
53077.68
57605.80
65639.74

stdev
762.07
975.85
2774.48
6917.56
14571.78

max
52782
53263
64328
88183
124535

Table B.2: The table reports on experiments aiming at measuring alarm execution congestion.
The first column represents the duration of each alarm. 50µs is approximately the average time
required by the alarm() function used in the TIRAN BB: a context switch time plus the time to
store a 20-byte message into the input mailbox of the receiver process (measurements pertaining
the TEX operating system [DEC97]). Values of the average, standard deviation and maximum
are in clock ticks (microseconds).
τ
0
1
2
3
4
5

µ
35962.85
30200.69
27556.86
27286.77
27493.73
27422.84

σ
22683.49
18447.08
14471.61
14370
14058.12
14079.80

γ
264
108
46
45
47
46

max
130993
108991
63659
53934
53372
54077

µ
65483.29
64676.18
52228.13
51280.73
51526.17
51357.2

σ
14160.47
15647.9
2926.68
1014.65
921.99
1079.07

Table B.3: A run with δ = 20ms and 0 ≤ τ ≤ 5. µ and σ are resp. the average and std. deviation
of the 1000 outcomes. γ is the number of time-outs for which real time of alarm minus expected
time of alarm was > TOM CYCLE (50000 clock ticks). µ and σ are resp. the average and
std. deviation of the γ time-outs. “max” represents the largest outcome, i.e., the worst run-time
violation.
TOM CYCLE, drops from 264 to 46 items, while with τ = 3 the worst case violation was equal
to 53934 clock ticks, or just 1.07868 times TOM CYCLE—a violation of something less than 8%.
Table B.4 shows a similar behaviour when δ is larger than TOM CYCLE.

B.4.2

Worst Case Scenario

The worst case is when all AT ’s compete for the same set of resources at the same time. An easy
way to accomplish this has been to let each alarm function perform a pure integer computation
task so that each thread competes with all the others for the single CPU of our systems. Given
a fixed δ = 20ms, τ has been increased and the corresponding real-time violations have been
measured. The results have been summarised in Table B.5. Adding threads did not produce
any useful result in this case. Note how, adopting a parallel system, one could automatically
and transparently schedule the parallel execution of alarms on the available processors to further
enhance the ability of TOM to fight alarm execution congestion.
170

APPENDIX B. THE TIRAN TIME-OUT MANAGER
τ
0
1
2
3
4
5

µ
3692158.86
33674.46
28177.01
27621.63
27435.40
27475.84

σ
2966039.23
27688.17
16801.97
14276.78
14087.22
14107.32

γ
974
140
54
45
44
44

max
12277216
264882
146684
100260
53712
53992

µ
3790057.80
83244.94
66737.87
52871.73
51375.93
51443.95

σ
2943375.88
38052.06
20705.76
7358.90
1001.36
1008.77

Table B.4: A run with δ = 100ms and 0 ≤ τ ≤ 5.
τ
0
1
2

µ
35251.93
35533.45
35735.19

σ
21667.08
21584.35
21606.70

γ
226
248
250

max
126931
127403
125910

µ
66223.70
64377.88
64681.21

σ
13713.40
13803.45
13305.83

Table B.5: A run with δ = 20ms and 0 ≤ τ ≤ 2. This time AT ’s do compete for a unique
system resource, so adding threads does not improve the behaviour.

Figure B.3: Real-time minus expected time of execution of the alarm when the alarms last 1ms
(upper left picture), 5ms (upper right picture), 10ms (lower, left picture), and 20ms (lower, right
picture). 1000 pseudo-random time-outs with deadlines uniformly distributed in ]0, 100s], τ = 0.
In each picture, the central straight line represents the average (y = a), while the others are
y = a ± d, d being the standard deviation.

Figure B.4: The experiment is repeated with alarms lasting respectively 60ms, 80ms, 90ms, and
100ms. Run-time violation grows without bounds.

Figure B.5: For δ=10ms, τ is varied from 0 to 3.

Figure B.6: The pictures show how it is possible to control alarm execution congestion, even in
the scenario of the last picture of Fig. B.4 (δ = 100µs), by increasing the number of AT ’s. From
left to right and up to down, picture represents the cases of τ equal to 0, . . . , 5.
Appendix C
The Grammar of ARIEL
The grammar of the ARIEL language is provided in this chapter in the form of an abridged source
file witten with the yacc [Joh75] parser generator. The C code that implements the semantics of
ARIEL has been omitted for the sake of readability. For the same reason, the terminal symbols
and their definitions, in the form of a lex [LMB92] lexical analyser, have not been included.
rlstats:
| rlstats rlstat
| error ’n’
;
rlstat:
’n’
| definition ’n’
| default_action ’n’
| number_of_nodes ’n’
| section ’n’
| include ’n’
| timeouts ’n’
| definitions ’n’
| identifiers ’n’
| alphacounts ’n’
| aliases ’n’
| logicals ’n’
| watchdog ’n’
| nversiontask ’n’
| injection ’n’
;
aliases

KEYW_TASK ’[’ NUMBER ’,’ NUMBER ’]’ KEYW_IS KEYW_MBOX
’[’ NUMBER ’,’ NUMBER ’]’ ’,’ KEYW_ALIAS
’[’ NUMBER ’,’ NUMBER ’]’
171
172

APPENDIX C. THE GRAMMAR OF ARIEL
|

KEYW_TASK NUMBER KEYW_IS KEYW_MBOX NUMBER ’,’
KEYW_ALIAS NUMBER

;
tasklist:
|
|
|
;

KEYW_TASK NUMBER tasklist
’,’ KEYW_TASK NUMBER tasklist
’,’ NUMBER tasklist

logicals: KEYW_LOGICAL NUMBER ’=’ STRING
KEYW_IS tasklist KEYW_ENDLOGICAL
;
nversiontask: nversion_start nversion_args nversion_end
;
nversion_start: NVERSION KEYW_TASK NUMBER ’n’
;
nversion_args:
| nv_version
| nv_voting
| nv_metric
| nv_on_error
| nv_on_success
;
spare:
|
;

nversion_args
nversion_args
nversion_args
nversion_args
nversion_args

KEYW_SPARE

nv_version: KEYW_VERSION NUMBER KEYW_IS spare
KEYW_TASK NUMBER ’n’
|
KEYW_VERSION NUMBER KEYW_IS spare
KEYW_TASK NUMBER
TIMEOUT NUMBER seconds ’n’
;

nv_voting: VOTING ALGORITHM KEYW_IS MAJORITY ’n’
;
173
nv_metric: METRIC STRING ’n’
;
nv_on_error: ON ERROR KEYW_TASK NUMBER ’n’
;
nv_on_success: ON SUCCESS KEYW_TASK NUMBER ’n’
;
nversion_end: KEYW_ENDNVERSION ’n’
;

watchdog: watchdog_start watchdog_args watchdog_end
;
watchdog_args:
| on_error watchdog_args
| heartbeats watchdog_args
| w_alphacount watchdog_args
;
watchdog_start: WATCHDOG KEYW_TASK NUMBER WATCHES
KEYW_TASK NUMBER ’n’
|
WATCHDOG KEYW_TASK NUMBER ’n’
;
w_alphacount:

ALPHACOUNT KEYW_IS THRESHOLD ’=’ REAL
’,’ FACTOR ’=’ REAL KEYW_ENDALPHA ’n’

;
seconds : MILLISEC | MICROSEC
;
heartbeats: HEARTBEATS EVERY NUMBER seconds ’n’
;
on_error:
|
|
|
;

ON
ON
ON
ON

ERROR
ERROR
ERROR
ERROR

WARN KEYW_TASK NUMBER ’n’
WARN BACKBONE ’n’
REBOOT ’n’
RESTART ’n’
174

APPENDIX C. THE GRAMMAR OF ARIEL

watchdog_end: KEYW_ENDWATCHDOG ’n’
;
alphacounts:

ALPHACOUNT NUMBER KEYW_IS THRESHOLD ’=’ REAL
’,’ FACTOR ’=’ REAL KEYW_ENDALPHA

;
identifiers:

KEYW_TASK NUMBER ’=’ STRING KEYW_IS
KEYW_NODE NUMBER ’,’ KEYW_TASKID NUMBER

|
KEYW_TASK ’[’ NUMBER ’,’ NUMBER ’]’ ’=’ STRING
KEYW_IS KEYW_NODE NUMBER ’,’ KEYW_TASKID
’[’ NUMBER ’,’ NUMBER ’]’
;
definitions:
;
timeouts:
|
|
|
|
|
|
|
|
|
;

NUMTASKS NUMBER ’=’ NUMBER

MIA_TIMEOUT ’=’ NUMBER
TAIA_TIMEOUT ’=’ NUMBER
ALIVE_TIMEOUT ’=’ NUMBER
MIA_TIMEOUT_B ’=’ NUMBER
TAIA_TIMEOUT_B ’=’ NUMBER
ALIVE_TIMEOUT_B ’=’ NUMBER
TEIF_TIMEOUT ’=’ NUMBER
REQUEST_DB_TIMEOUT ’=’ NUMBER
REPLY_DB_TIMEOUT ’=’ NUMBER
MID_TIMEOUT ’=’ NUMBER

fault:
;

BFAULT | MFAULT

what:
;

NODE | COMPONENT

ticks:
| TICKS
;
injection:
;

INJECT fault ON what NUMBER AFTER NUMBER ticks
175

definition: DEF list ’=’ ROLE
|
DEF interval ’=’ ROLE
;
list:
|
;

NUMBER
list ’,’ NUMBER

interval: NUMBER ’-’ NUMBER
;
number_of_nodes: NPROCS ’=’ NUMBER
;
separator:
;
those
;
expr:
|
|
|
|
|
|
|
|
|
;

:

’n’

|

’;’

AT | TILDE

status entity
status those
’(’ expr ’)’
expr AND expr
expr OR expr
NOT expr
ERRN
’(’ entity ’)’ compare
ERRT
’(’ entity ’)’ compare
PHASE
’(’ entity ’)’ compare
DEADLOCKED entity entity

compare:
;

EQ | NEQ | GT | GE | LT | LE

include:
;

INCLUDE STRING

section:
;

if elif else fi

if:

IF ’[’ expr

’]’

separator

NUMBER
NUMBER
NUMBER
176

APPENDIX C. THE GRAMMAR OF ARIEL
THEN separator actions
;

elif:
|
ELIF ’[’ expr ’]’
separator
THEN separator actions
elif
;
else:
|
ELSE
separator actions
;
fi:

FI
;

status: FAULTY | RUNNING | REBOOTED | STARTED |
ISOLATED | RESTARTED | TRANSIENT | REINTEGRATED
;
entity:
;

GID |NID |TID

actions:
| actions action
;
action: ’n’
|
section
separator
|
recovery_action
separator
;
recovery_action: STOP
entity
| STOP those
| ERR NUMBER entity WARN entity
| ERR NUMBER entity WARN entity ’(’ list ’)’
| ERR NUMBER entity WARN those
| ERR NUMBER entity WARN those ’(’ list ’)’
| recovery_action AND WARN entity
| recovery_action AND WARN entity ’(’ list ’)’
177
|
|
|
|
|
|
|
|
|
|
|
|
|
|
|
|
|
|
|
|
|
;

recovery_action AND WARN those
recovery_action AND WARN those ’(’ list ’)’
RESTART TID
RESTART GID
RESTART NID
RESTART those
START
TID
START
GID
START
NID
START those
REMOVE PHASE entity FROM ERRORLIST
REMOVE ANY entity FROM ERRORLIST
SEND NUMBER TID
SEND FAULTY TID
ENABLE TID
ENABLE GID
ENABLE NID
ENABLE those
CALL NUMBER
CALL NUMBER ’(’ list ’)’
PAUSE NUMBER
178

APPENDIX C. THE GRAMMAR OF ARIEL
Bibliography
[ABHM85] T. Anderson, P.A. Barrett, D.N. Halliwell, and M.R. Moulding. Software fault
tolerance: an evaluation. IEEE Trans. on Software Engineering, 11(2):1502–1510,
1985.
[ADG+ 90]

Massimo Ancona, Gabriella Dodero, Vittoria Giannuzzi, Andrea Clematis, and
Eduardo B. Fernandez. A system architecture for fault tolerance in concurrent
software. IEEE Computer, 23(10):23–32, October 1990.

[ADT91]

Mehmet Aksit, J.W. Dijkstra, and A. Tripathi. Atomic delegation: Object-oriented
transactions. IEEE Software, 8(2):84–92, 1991.

[AH75]

Igor Aleksander and F. Keith Hanna. Automata Theory: an Engineering Approach.
Crane and Russak, New York, 1975.

[AL81]

T. Anderson and P.A. Lee. Fault Tolerance—Principles and Practice. PrenticeHall, 1981.

[AO93]

G. R. Andrews and L. L. Olsson. The SR Programming Language: Concurrency
in Practice. Benjamin/Cummings, 1993.

[AS91]

Brian G. Anderson and Dennis Shasha. Persistent Linda: Linda + transactions +
query processing. In J.P. Banˆ tre and D. Le M´ tayer, editors, Research Directions
a
e
in High-Level Parallel Programming Languages, number 574 in Lecture Notes in
Computer Science, pages 93–109. Springer, 1991.

[Avi85]

Algirdas Avi˘ ienis. The N -version approach to fault-tolerant software. IEEE
z
Trans. Software Eng., 11:1491–1501, December 1985.

[Avi95]

Algirdas Avi˘ ienis. The methodology of N -version programming. In Michael Lyu,
z
editor, Software Fault Tolerance, chapter 2, pages 23–46. John Wiley & Sons, New
York, 1995.

[BCDF+ 99] Oliver Botti, Flavio Cassinari, Vincenzo De Florio, Geert Deconinck, Susanna Donatelli, Axel Klein, Erwin Turner, and Eric Verhulst. D1.1 – Requirement Specification, October 1999. TIRAN Deliverable.
179
180

BIBLIOGRAPHY

[BCDGG97] Andrea Bondavalli, S. Chiaradonna, F. Di Giandomenico, and F. Grandoni. Discriminating fault rate and persistency to improve fault treatment. In Proc. of the
27th Int. Symposium on Fault-Tolerant Computing (FTCS-27), pages 354–362,
Munich, Germany, June 1997. IEEE Comp. Soc. Press.
[BCDGG00] Andrea Bondavalli, Silvano Chiaradonna, Felicita Di Giandomenico, and Fabrizio
Grandoni. Threshold-based mechanisms to discriminate transient from intermittent
faults. IEEE Trans. on Computers, 49(3):230–245, March 2000.
[BDFD+ 99] Oliver Botti, Vincenzo De Florio, Geert Deconinck, Susanna Donatelli, Andrea
Bobbio, Axel Klein, H. Kufner, Rudy Lauwereins, E. Thurner, and E. Verhulst.
TIRAN: Flexible and portable fault tolerance solutions for cost effective dependable applications. In P. Amestoy, editor, Proc. of the 5th Euro-Par Conference,
Lecture Notes in Computer Science, volume 1685, pages 1166–1170, Toulouse,
France, August/September 1999. Springer-Verlag, Berlin.
[BDFD+ 00] Oliver Botti, Vincenzo De Florio, Geert Deconinck, Rudy Lauwereins, Flavio
Cassinari, Susanna Donatelli, Andrea Bobbio, Axel Klein, H. Kufner, E. Thurner,
and E. Verhulst. The TIRAN approach to reusing software implemented fault tolerance. In Proc. of the 8th Euromicro Workshop on Parallel and Distributed Processing (Euro-PDP’00), pages 325–332, Rhodos, Greece, January 2000. IEEE Comp.
Soc. Press.
[BDGG+ 98] Andrea Bondavalli, Felicita Di Giandomenico, F. Grandoni, David Powell, and
Christophe Rab´ jac. State restoration in a COTS-based N-modular architecture. In
e
Proc. of the First Int. Symp. on Object-Oriented Real-Time Distributed Computing
(ISORC’98), pages 174–183, Kyoto, Japan, April 1998. IEEE Comp. Soc. Press.
[BDPC00]

Oliver Botti, Massimiliano De Pierro, and L. Capra. D4.1 – ENEL Platform and
Application Specification, April 2000. TIRAN Deliverable.

[Ber89]

Donald Berndt. C-Linda Reference Manual. Scientific Computing Associates,
1989.

[BGB+ 96]

K¨ rgen Beer, Stephan Graeber, Oliver Botti, Geert Deconinck, Dora Varvarigou,
u
Norbert vom Schemm, and Stefano Genolini. D1.1 – Requirement Analysis Document, July 1996. EFTOS Deliverable.

[BLC95]

Tim J. Berners-Lee and D. Connolly. Hypertext markup language — 2.0. Technical
Report Request for Comments n. 1866, Network Working Group, Nov. 1995.

[BLCGP92] Tim J. Berners-Lee, R. Cailliau, J.-F. Groff, and B. Pollermann. World-wide web:
the information universe. Electronic Networking: Research, Applications and Policy, 2(1):52–58, 1992.
BIBLIOGRAPHY

181

[BN84]

A. D. Birrell and B. J. Nelson. Implementing remote procedure calls. ACM Trans.
Computer Systems, 2:39–59, 1984.

[BS95]

David E. Bakken and Richard D. Schlichting. Supporting fault-tolerant parallel programming in Linda. IEEE Trans. on Parallel and Distributed Systems,
6(3):287–302, March 1995.

[BSS91]

K. Birman, A. Schiper, and P. Stephenson. Lightweight causal and atomic group
multicast. ACM Transactions on Computer Systems, 9(3), August 1991.

[Buy99]

Rajkumar Buyya. High Performance Cluster Computing: Architectures and Systems, volume 1. Prentice Hall, 1999.

[CD92]

Scott Cannon and David Dunn. A high-level model for the development of faulttolerant parallel and distributed systems. Technical Report A0192, Department of
Computer Science, Utah State University, August 1992.

[CF99]

Flaviu Cristian and Christof Fetzer. The timed asynchronous distributed system
model. IEEE Trans. on Parallel and Distributed Systems, 10(6):642–657, June
1999.

[CG89a]

Nicholas Carriero and David Gelernter. How to write parallel programs: a guide
to the perplexed. ACM Comp. Surveys, 21:323–357, 1989.

[CG89b]

Nicholas Carriero and David Gelernter. Linda in context. Comm. ACM, 32(4):444–
458, 1989.

[Cri91]

Flaviu Cristian. Understanding fault-tolerant distributed systems. Communications
of the ACM, 34(2):56–78, February 1991.

[Cri95]

Flaviu Cristian. Exception handling. In M. Lyu, editor, Software Fault Tolerance,
pages 81–107. Wiley, 1995.

[CS95]

Flaviu Cristian and Frank Schmuck. Agreeing on processor group membership in
asynchronous distributed systems. Technical Report CSE95-428, UCSD, 1995.

[CSV+ 99]

Sergio Calella, Alessandro Sanchini, Francesca Vezzoli, Oliver Botti, Vincenzo
De Florio, Geert Deconinck, and Bero Brekalo. D2.2 – FT Framework Design
Document, Oct. 1999. TIRAN Deliverable.

[Cuy95]

Rudi Cuyvers. User-Adaptable Fault Tolerance for Message Passing Multiprocessors. PhD thesis, Dept. of Electrical Engineering, Katholieke Universiteit Leuven,
May 1995.

[DB00]

Giovanna Dondossola and Oliver Botti. Fault tolerance specification: proposal of
a method combining semi-formal and formal approaches. In Proc. of the International Conference on Fundamental Approaches to Software Engineering (FASE
182

BIBLIOGRAPHY
2000), held in the framework of the European Joint Conferences on Theory and
Practice of Software (ETAPS2000), Lecture Notes in Computer Science, volume
1783, pages 82–96, Berlin, Germany, March 2000. Springer-Verlag, Berlin.

[DBC+ 98]

Geert Deconinck, Oliver Botti, Flavio Cassinari, Vincenzo De Florio, and Rudy
Lauwereins. Stable memory in substation automation: a case study. In Proc. of
the 28th Int. Symposium on Fault-Tolerant Computing (FTCS-28), pages 452–457,
Munich, Germany, June 1998. IEEE Comp. Soc. Press.

[DDFB01]

Geert Deconinck, Vincenzo De Florio, and Oliver Cristiano Botti. Separating
recovery strategies from application functionality: Experiences with a framework approach. In Proc. of the IEEE Reliability and Maintainability Symposium
(RAMS2001). IEEE Comp. Soc. Press, 2001. Accepted for publication.

[DDFLB99] Geert Deconinck, Vincenzo De Florio, Rudy Lauwereins, and Ronnie Belmans.
A software library, a control backbone and user-specified recovery strategies to
enhance the dependability of embedded systems. In Proc. of the 25th Euromicro Conference (Euromicro ’99), Workshop on Dependable Computing Systems,
volume 2, pages 98–104, Milan, Italy, September 1999. IEEE Comp. Soc. Press.
[DDFLV97] Geert Deconinck, Vincenzo De Florio, Rudy Lauwereins, and Theodora Varvarigou. EFTOS: a software framework for more dependable embedded HPC applications. In Proc. of the 3rd Int. Euro-Par Conference, Lecture Notes in Computer
Science, volume 1300, pages 1363–1368. Springer, Berlin, 1997.
[Dec96]

Geert Deconinck. User-triggered Checkpointing and Rollback in Massively Parallel Systems. PhD thesis, Dept. of Electrical Engineering, Katholieke Universiteit
Leuven, December 1996.

[DEC97]

DEC. CS Q66E Alpha Q-Bus CPU module: User’s Manual. Digital Equipment
Corp., 1997.

[DF95]

Vincenzo De Florio. The HeartQuake dynamic system. Complex Systems, 9(2):91–
114, April 1995.

[DF96a]

Vincenzo De Florio. Array associativi, linguaggio C e programmazione CGI.
DEV., (27), February 1996. In Italian.

[DF96b]

Vincenzo De Florio. Programmazione CGI nel World-Wide Web. DEV., (26),
January 1996. In Italian.

[DF97a]

Vincenzo De Florio.
The EFTOS recovery language.
Technical Report
ESAT/ACCA/1997/4, Katholieke Universiteit Leuven, December 1997.

[DF97b]

Vincenzo De Florio. The voting farm — a distributed class for software voting. Technical Report ESAT/ACCA/1997/3, Katholieke Universiteit Leuven, June
1997.
BIBLIOGRAPHY

183

[DF98]

Vincenzo De Florio. The DIR net: A distributed system for detection, isolation,
and recovery. Technical Report ESAT/ACCA/1998/1, Katholieke Universiteit Leuven, October 1998.

[DFDL97]

Vincenzo De Florio, Geert Deconinck, and Rudy Lauwereins. An application-level
dependable technique for farmer-worker parallel programs. In Proc. of the HighPerformance Computing and Networking Int. Conf. and Exhib. (HPCN Europe
1997), Lecture Notes in Computer Science, volume 1225, pages 644–653. Springer,
Berlin, 1997.

[DFDL98a] Vincenzo De Florio, Geert Deconinck, and Rudy Lauwereins. The EFTOS voting
farm: a software tool for fault masking in message passing parallel environments.
In Proc. of the 24th Euromicro Conference (Euromicro ’98), Workshop on Dependable Computing Systems, pages 379–386, V¨ ster˚ s, Sweden, August 1998. IEEE
a a
Comp. Soc. Press.
[DFDL98b] Vincenzo De Florio, Geert Deconinck, and Rudy Lauwereins. Recovery languages: an effective structure for software fault tolerance. In FastAbstract Proceedings of the Ninth International Symposium on Software Reliability Engineering (ISSRE’98), pages 39–40, Paderborn, Germany, November 1998. Available at
URL http://www.chillarege.com/issre/fastabstracts/98411.html.
[DFDL98c] Vincenzo De Florio, Geert Deconinck, and Rudy Lauwereins. Software tool combining fault masking with user-defined recovery strategies. IEE Proceedings –
Software, 145(6):203–211, December 1998. Special Issue on Dependable Computing Systems. IEE in association with the British Computer Society.
[DFDL98d] Vincenzo De Florio, Geert Deconinck, and Rudy Lauwereins. A time-out management system for real-time distributed applications. IEEE Trans. on Computers,
1998. Submitted for publication.
[DFDL99]

Vincenzo De Florio, Geert Deconinck, and Rudy Lauwereins. An applicationlevel dependable technique for farmer-worker parallel programs. Informatica,
23(2):275–281, May 1999. A first version of this paper appeared as [DFDL97].

[DFDL00a] Vincenzo De Florio, Geert Deconinck, and Rudy Lauwereins. An algorithm for
tolerating crash failures in distributed systems. In Proc. of the 7th Annual IEEE
International Conference and Workshop on the Engineering of Computer Based
Systems (ECBS), pages 9–17, Edinburgh, Scotland, April 2000. IEEE Comp. Soc.
Press.
[DFDL00b] Vincenzo De Florio, Geert Deconinck, and Rudy Lauwereins. Application-level
time-out support for real-time systems. In Proc. of the 6th IFAC Workshop on
Algorithms and Architectures for Real-Time Control (AARTC’2000), pages 31–36,
Palma de Mallorca, Spain, May 2000.
184

BIBLIOGRAPHY

[DFDL00c] Vincenzo De Florio, Geert Deconinck, and Rudy Lauwereins. A novel distributed
algorithm for high-throughput and scalable gossiping. In Proc. of the 8th International Conference on High Performance Computing and Networking Europe
(HPCN Europe 2000), Lecture Notes in Computer Science, volume 1823, pages
313–322, Amsterdam, The Nederlands, May 2000. Springer-Verlag, Berlin.
[DFDL01]

Vincenzo De Florio, Geert Deconinck, and Rudy Lauwereins. The recovery language approach for software-implemented fault tolerance. In Proc. of the 9th Euromicro Workshop on Parallel and Distributed Processing (Euro-PDP’01), Mantova, Italy, February 2001. IEEE Comp. Soc. Press.

[DFDLG01] Vincenzo De Florio, Geert Deconinck, Rudy Lauwereins, and Stephan Graeber.
Design and implementation of a data stabilizing software tool. In Proc. of the
9th Euromicro Workshop on Parallel and Distributed Processing (Euro-PDP’01),
Mantova, Italy, February 2001. IEEE Comp. Soc. Press.
[DFDT+ 98] Vincenzo De Florio, Geert Deconinck, Mario Truyens, Wim Rosseel, and Rudy
Lauwereins. A hypermedia distributed application for monitoring and faultinjection in embedded fault-tolerant parallel programs. In Proc. of the 6th Euromicro Workshop on Parallel and Distributed Processing (Euro-PDP’98), pages
349–355, Madrid, Spain, January 1998. IEEE Comp. Soc. Press.
[DFM92]

Vincenzo De Florio and Francesco Paolo Murgolo. PVM — a tool for heterogeneous cooperative computing: An experimentation. Technical Report 8/32, Consiglio Nazionale delle Ricerche, September 1992. Progetto finalizzato “Sistemi
Informatici e Calcolo Parallelo”.

[DFMS94]

Vincenzo De Florio, Francesco Paolo Murgolo, and Vincenzo Spinelli. PvmLinda:
Integration of two different computation paradigms. In Proc. of the First Euromicro
Conference on Massively Parallel Computing Systems (MPCS’94), pages 488–496,
Ischia, Italy, May 1994. IEEE Comp. Soc. Press.

[Dip97]

Dipsap2
project
description,
1997.
http://cordis.lu/esprit/src/omi08068.htm.

Available

at

URL

[DTDF+ 99] Geert Deconinck, Mario Truyens, Vincenzo De Florio, Wim Rosseel, Rudy Lauwereins, and Ronnie Belmans. A framework backbone for software fault tolerance in
embedded parallel applications. In Proc. of the 7th Euromicro Workshop on Parallel and Distributed Processing (Euro-PDP’99), pages 189–195, Funchal, Portugal,
February 1999. IEEE Comp. Soc. Press.
[DVB+ 97]

Geert Deconinck, Theodora Varvarigou, Oliver Botti, Vincenzo De Florio, Antonios Kontizas, Mario Truyens, Wim Rosseel, Rudy Lauwereins, Flavio Cassinari,
Stephan Graeber, and Uwe Knaak. (Reusable software solutions for more faulttolerant) Industrial embedded HPC applications. Supercomputer, XIII(69):23–44,
1997.
BIBLIOGRAPHY

185

[ECK+ 91]

Dave E. Eckhardt, Alper K. Caglayan, John C. Knight, Larry D. Lee, David F.
McAllister, Mladen A. Vouk, and John P. J. Kelly. An experimental evaluation
of software redundancy as a strategy for improving reliability. IEEE Trans. on
Software Engineering, 17(7):692–702, July 1991.

[EL85]

Dave E. Eckhardt and Larry D. Lee. A theoretical basis for the analysis of multiversion software subject to coincident errors. IEEE Trans. on Software Engineering,
11(12):1511–1517, December 1985.

[Ele00]

Siemens ElectroCom.
The ultimate degree of postal automation
— to fully integrate all functions in a single system, 2000.
URL
http://www.electrocom.de/3 0 pro/gb/3 3 2.htm.

[EVM+ 98]

Giorgos Efthivoulidis, Evangelos A. Verentziotis, Apostolos N. Meliones,
Theodora A. Varvarigou, Antonios Kontizas, Geert Deconinck, and Vincenzo
De Florio. Fault tolerant communication in embedded supercomputing. IEEE
Micro, 18(5):42–52, Sept.-Oct. 1998. Special issue on Fault Tolerance.

[FOL00]

The free on-line dictionary of computing,
http://www.foldoc.org.

[FP96]

Jean-Charles Fabre and Tanguy P´ rennou. F RIENDS: A flexible architecture for
e
implementing fault tolerant and secure applications. In Proc. of the 2nd European
Dependable Computing Conference (EDCC-2), Taormina, Italy, October 1996.

[FP98]

Jean-Charles Fabre and Tanguy P´ rennou. A metaobject architecture for faulte
tolerant distributed systems: The FRIENDS approach. IEEE Transactions on
Computers, 47(1):78–95, January 1998.

[GBD+ 94]

Al Geist, Adam Beguelin, Jack Dongarra, Weicheng Jiang, Robert Manchek, and
Vaidy Sunderam. PVM: A Users’ Guide and Tutorial for Networked Parallel Computing. MIT Press, 1994.

[Gel85]

David Gelernter. Generative communication in Linda. ACM Trans. on Prog. Languages and Systems, 7(1), January 1985.

[GK86]

Daniel H. Green and Donald Erving Knuth. Mathematics for the Analysis of Algorithms. Birkhauser, Boston, MA, 2nd edition, 1986.

[Gla95]

Maurice H. J. Glandrup. Extending C++ using the concepts of composition filters.
Master’s thesis, Dept. of Computer Science, University of Twente, NL, 1995.

[Gre97]

Paul A. Green. The art of creating reliable software-based systems using off-theshelf software components. In Proc. of the 16th Symposium on Reliable Distributed
Systems (SRDS’97), Durham, NC, October 1997.

2000.

Hosted at URL
186

BIBLIOGRAPHY

[GS97]

Rachid Guerraoui and Andr´ Schiper. Software-based replication for fault tolere
ance. IEEE Computer, 30(4):68–74, April 1997.

[HD95]

Robert M. Hinden and Stephen E. Deering. RFC 1884 - IP version 6 addressing
architecture. Technical Report RFC 1884, Network Working Group, December
1995. Available at URL http://ds.internic.net/rfc/rfc1884.txt.

[HHL88]

S.M. Hedetniemi, S.T. Hedetniemi, and A.L. Leistman. A survey of gossiping and
broadcasting in communication networks. Networks, 18:419–435, 1988.

[HK95]

Yennun Huang and Chandra M.R. Kintala. Software fault tolerance in the application layer. In Michael Lyu, editor, Software Fault Tolerance, chapter 10, pages
231–248. John Wiley & Sons, New York, 1995.

[HKBW96] Yennun Huang, Chandra M.R. Kintala, L. Bernstein, and Y.M. Wang. Components
for software fault tolerance and rejuvenation. AT&T Technical Journal, pages 29–
37, March/April 1996.
[HKKF95]

Yennun Huang, Chandra Kintala, N. Kolettis, and N. D. Fulton. Software rejuvenation: Analysis, module and applications. In Proc. of the 25th International
Symposium on Fault-Tolerant Computing (FTCS-25), June 1995.

[HLKC99]

Christian K. Hansen, Kenneth P. LaSala, Samuel Keene, and Anthony Coppola.
The status of reliability engineering technology 1999 — a report to the IEEE Reliability Society. Reliability Society Newsletter, 45(1):10–14, January 1999.

[HMS72]

A. Hajnal, E. C. Milner, and E. Szemeredi. A cure to the telephone disease. Canadian Math Bullettin, 15:447–450, 1972.

[Hoa69]

C. A. R. Hoare. An axiomatic basis for computer programming. Comm. ACM,
12(10):576–580, October 1969.

[Hoa78]

C. A. R. Hoare. Communicating sequential processes. Comm. ACM, 21:667–677,
1978.

[Hor98]

James J. Horning. ACM Fellow Profile — James Jay (Jim) Horning. ACM Software
Engineering Notes, 23(4), July 1998.

[HS87]

K. Haviland and B. Salama. UNIX System Programming. Addison-Wesley, Reading MA, 1987.

[IEE95]

IEEE. IEEE standard for Heterogeneous InterConnect (HIC) (Low-cost, lowlatency scalable serial interconnect for parallel system construction). Technical
Report 1355-1995 (ISO/IEC 14575), IEEE, 1995.

[Inq96]

Inquiry Board Report. ARIANE 5 – flight 501 failure, July 1996. Available at
URL http://www.esrin.esa.it/htdocs/tidc/Press/Press96/ariane5rep.html.
BIBLIOGRAPHY

187

[JC85]

Pankaj Jalote and Roy H. Campbell. Atomic actions in concurrent systems. In
Proceedings of the 5th International Conference on Distributed Computing Systems (ICDCS 1985), Denver, Colorado, May 1985. IEEE Computer Society Press.
ISBN 0-8186-0617-7.

[Joh75]

Stephen C. Johnson. Yacc: Yet another compiler compiler. Technical Report 32,
Bell Laboratories, Murray Hill, New Jersey, 1975.

[Joh89]

Brian W. Johnson. Design and Analysis of Fault-Tolerant Digital Systems.
Addison-Wesley, New York, 1989.

[Kam91]

Srikanth Kambhatla. Replication issues for a distributed and highly available Linda
tuple space. Master’s thesis, Dept. of Computer Science, Oregon Graduate Institute, 1991.

[KdRB91]

Gregor Kiczales, Jim des Rivi` res, and Daniel G. Bobrow. The Art of the Metaobe
ject Protocol. The MIT Press, Cambridge, MA, 1991.

[KIBW99]

Zbigniew T. Kalbarczyk, Ravishankar K. Iyer, Saurabh Bagchi, and Keith Whisnant. Chameleon: A software infrastructure for adaptive fault tolerance. IEEE
Trans. on Parallel and Distributed Systems, 10(6):560–579, June 1999.

[Kic00]

Gregor Kiczales.
AspectJTM : aspect-oriented programming using JavaTM
technology.
In Proc. of the Sun’s 2000 Worldwide Java Developer
Conference (JavaOne), San Francisco, California, June 2000.
Slides
available at URL http://aspectj.org/servlets/AJSite?channel= documentation&subChannel=papersAndSlides.

[Kim96]

E.E. Kim. CGI Developer’s Guide. SAMS.NET, 1996.

[Kle75]

Leonard Kleinrock. Queueing Systems. John Wiley & Sons, 1975. 2 volumes.

[KLM+ 97]

Gregor Kiczales, John Lamping, Anurag Mendhekar, Chris Maeda, Cristina
Videira Lopes, Jean-Marc Loingtier, and John Irwin. Aspect-oriented programming. In Proc. of the European Conference on Object-Oriented Programming
(ECOOP), Lecture Notes in Computer Science, volume 1241, Finland, June 1997.
Springer, Berlin.

[Knu73]

Donald Erving Knuth. The Art of Computer Programming, Volume 1 (Fundamental Algorithms). Addison-Wesley, Reading MA, 2nd edition, 1973.

[Knu84]

Donald Erving Knuth. Literate programming. The Comp. Jour., 27:97–111, 1984.

[KSR98]

Arkady Kanevsky, Anthony Skjellum, and Anna Rounbehler. MPI/RT — an
emerging standard for high-performance real-time systems. In Proc. of the 31st
Hawaii International Conference on System Sciences (HICSS’98). IEEE Comp.
Soc. Press, January 1998.
188

BIBLIOGRAPHY

[KW89]

K.H. Kim and H.O. Welch. Distributed execution of recovery blocks: an approach
for uniform treatment of hardware and software faults in real-time applications.
IEEE Trans. on Computers, 38(5):626–636, 1989.

[LA90]

P.A. Lee and T. Anderson. Fault Tolerance—Principles and Practice, volume 3 of
Dependable Computing and Fault Tolerant Systems. Springer-Verlag, 1990.

[Lap85]

Jean-Claude Laprie. Dependable computing and fault tolerance: Concepts and
terminology. In Proc. of the 15th Int. Symposium on Fault-Tolerant Computing
(FTCS-15), pages 2–11, Ann Arbor, Mich., June 1985. IEEE Comp. Soc. Press.

[Lap92]

Jean-Claude Laprie. Dependability: Basic Concepts and Terminology in English,
French, German, Italian and Japanese, volume 5 of Dependable Computing and
Fault Tolerance. Springer Verlag, Wien, 1992.

[Lap95]

Jean-Claude Laprie. Dependability—its attributes, impairments and means. In
B. Randell, J.-C. Laprie, H. Kopetz, and B. Littlewood, editors, Predictably
Dependable Computing Systems, ESPRIT Basic Research Series, pages 3–18.
Springer Verlag, Berlin, 1995.

[Lap98]

Jean-Claude Laprie. Dependability of computer systems: from concepts to limits.
In Proc. of the IFIP International Workshop on Dependable Computing and Its
Applications (DCIA98), Johannesburg, South Africa, 1998.

[LCE89]

Paul R. Lorczak, Alper K. Caglayan, and Dave E. Eckhardt. A theoretical investigation of generalized voters for redundant systems. In Proc. of the 19th Int.
Symposium on Fault-Tolerant Computing (FTCS-19), pages 444–451, Chicago, IL,
June 1989.

[Le 96]

G´ rard Le Lann. The Ariane 5 flight 501 failure – a case study in system engineere
ing for computing systems. Technical Report 3079, INRIA, December 1996.

[Lev95]

Nancy G. Leveson. Safeware: Systems Safety and Computers. Addison-Wesley,
1995.

[Lis88]

Barbara Liskov. Distributed programming in Argus. Communications of the ACM,
31(3):300–312, March 1988.

[LMB92]

J. Levine, T. Mason, and D. Brown. Lex & yacc. O‘Reilly & Associates, 2nd
edition, 1992.

[LS90]

T.-T. Y. Lin and D. P. Siewiorek. Error log analysis: Statistical modeling and
heuristic trend analysis. IEEE Trans. on Reliability, 39:419–432, 1990.

[LSP82]

Leslie Lamport, R. Shostak, and M. Pease. The Byzantine generals problem. ACM
Trans. on Programming Languages and Systems, 4(3):384–401, July 1982.
BIBLIOGRAPHY

189

[LVL00]

Martin Lippert and Cristina Videira Lopes. A study on exception detection and
handling using aspect-oriented programming. In Proc. of the 22nd International
Conference on Software Engineering (ICSE’2000), Limmerick, Ireland, June 2000.

[Lyu95]

Michael Lyu. Software Fault Tolerance. John Wiley & Sons, New York, 1995.

[Lyu96]

Michael Lyu, editor. Handbook of Software Reliability Engineering. IEEE Computer Society Press and McGraw-Hill, 1996.

[Lyu98a]

Michael R. Lyu. Design, testing, and evaluation techniques for software reliability
engineering. In Proc. of the 24th Euromicro Conf. on Engineering Systems and
Software for the Next Decade (Euromicro’98), Workshop on Dependable Computing Systems, pages xxxix–xlvi, V¨ ster˚ s, Sweden, August 1998. IEEE Comp. Soc.
a a
Press. (Keynote speech).

[Lyu98b]

Michael R. Lyu. Reliability-oriented software engineering: Design, testing and
evaluation techniques. IEE Proceedings – Software, 145(6):191–197, December
1998. Special Issue on Dependable Computing Systems.

[Mae87]

P. Maes. Concepts and experiments in computational reflection. In Proc. of the
Conference on Object-Oriented Programming Systems, Languages, and Applications (OOPSLA-87), pages 147–155, Orlando, FL, 1987.

[Mey97]

B. Meyer. Fault-Tolerant Computer Systems Design. Prentice-Hall, New Jersey,
1997.

[Mor00]

Benny Graff Mortensen. Esprit project TIRAN (28620) third review report. Technical report, European Commission, May 2000.

[Mos98]

Mosaic020
data
sheet,
1998.
http://www.omimo.be/companies/dasa 004.htm.

[NRC93]

NRC. Switch focus team report. Technical report, National Reliability Council,
June 1993.

[Paa95]

Jukka Paakki. Attribute grammar paradigms: A high-level methodology in language implementation. ACM Computing Surveys, 27(2), June 1995.

Available

at

URL

[PABD+ 99] David Powell, Jean Arlat, Ljerka Beus-Dukic, Andrea Bondavalli, Paolo Coppola, Alessandro Fantechi, Eric Jenn, Christophe Rab´ jac, and Andy Wellings.
e
GUARDS: A generic upgradable architecture for real-time dependable systems.
IEEE Trans. on Parallel and Distributed Systems, 10(6):580–599, June 1999.
[Par96a]

Parsytec. Embedded Parix Programmer’s Guide. Parsytec CC Series Hardware
Documentation. Parsytec GmbH, Aachen, Germany, 1996.
190

BIBLIOGRAPHY

[Par96b]

Parsytec. Parsytec CC Series — Cognitive Computing. Parsytec GmbH, Aachen,
Germany, 1996.

[PH96]

David A. Patterson and John L. Hennessy. Computer Architecture—A Quantitative
Approach. Morgan Kaufmann, S. Francisco, CA, 2nd edition, 1996.

[PjB85]

Paul W. Purdon jr. and Cynthia A. Brown. The Analysis of Algorithms. Holt
Rinehart and Winston, New York, 1985.

[Pow97]

David Powell. Preliminary definition of the GUARDS architecture. Technical
Report 96277, LAAS-CNRS, January 1997.

[PTHR93]

Lewis I. Patterson, Richard S. Turner, Robert M. Hyatt, and Kevin D. Reilly. Construction of a fault-tolerant distributed tuple-space. In Proc. of the 1993 Symposium
on Applied Computing. ACM/SIGAPP, February 1993.

[PW79]

E. S. Page and L. B. Wilson. An Introduction to Computational Combinatorics.
Cambridge University Press, Cambridge, 1979.

[Ran75]

Brian Randell. System structure for software fault tolerance. IEEE Trans. Software
Eng., 1:220–232, June 1975.

[RDFD+ 98] Wim Rosseel, Vincenzo De Florio, Geert Deconinck, Mario Truyens, and Rudy
Lauwereins. Novel atomic action protocol for parallel systems with communication faults. In Proc. of the 16th IASTED International Conference on Applied
Informatics, pages 344–347, Garmisch-Partenkirchen, Germany, February 1998.
IASTED/ACTA Press.
[Rob99]

Bert Robben. Language Technology and Metalevel Architectures for Distributed
Objects. PhD thesis, Dept. of Computer Science, Katholieke Universiteit Leuven,
May 1999.

[Rus94]

John Rushby. Critical systems properties: Survey and taxonomy. Reliability Engineering and System Safety, 43(2):189–219, 1994.

[RX95]

Brian Randell and Jie Xu. The evolution of the recovery block concept. In Michael
Lyu, editor, Software Fault Tolerance, chapter 1, pages 1–21. John Wiley & Sons,
New York, 1995.

[Sch90]

Fred Schneider. Implementing fault-tolerant services using the state machine approach. ACM Comp. Surveys, 22(4):299–319, 1990.

[Sch91]

G. Schoinas. Issues on the implementation of POSYBL: A free Linda implementation for Unix networks. Technical report, Department of Computer Science,
University of Crete, 1991.
BIBLIOGRAPHY

191

[SGM85]

R.K. Scott, J.W. Gault, and D.F. McAllister. The consensus recovery block. In
Proc. of the Total System Reliability Symposium, pages 74–85, 1985.

[Shr78]

S.K. Shrivastava. Sequential Pascal with recovery blocks. Software — Practice
and Experience, 8:177–185, 1978.

[Shr95]

S.K. Shrivastava. Lessons learned from building and using the Arjuna distributed
programming system. In Theory and Practice in Distributed Systems, Lecture
Notes in Computer Science, volume 938, July 1995.

[Sib98]

Edgar H. Sibley. Computer security, fault tolerance, and software assurance: From
needs to solutions. In Proc. of the Workshops on Computer Security, Fault Tolerance, and Software Assurance: From Needs to Solutions, York, UK, July 1998.

[SKS96]

Masato Suzuki, Takuya Katayama, and Richard D. Schlichting. FTAG: A functional and attribute based model for writing fault-tolerant software. Technical Report TR 96-6, Department of Computer Science, The University of Arizona, May
1996.

[SRC84]

J. H. Saltzer, D. P. Reed, and D. D. Clark. End-to-end arguments in system design.
ACM Trans. on Computer Systems, 2(4):277–288, 1984.

[SS92]

D. P. Siewiorek and R. S. Swarz. Reliable Computer Systems Design and Implementation. Digital Press, 1992.

[ST95]

Richard D. Schlichting and Vicraj T. Thomas. Programming language support
for writing fault-tolerant distributed software. IEEE Transactions on Computers,
44(2):203–212, February 1995. Special Issue on Fault-Tolerant Computing.

[Sun94]

Sun. SunOS 5.5.1 Man Pages. Sun Microsystems, 1994.

[Sun96]

Sun. UNIX Man Page—C for the AIX Compiler. Sun Microsystems, 1996.

[SWS93]

Claude Elwood Shannon, A. D. Winer, and Neil J. A. Sloane. Claude Elwood
Shannon : Collected Papers. Amazon, 1993.

[Sys98]

Eonic Systems. Virtuoso v.4 reference manual, 1998.

[Tan90]

Andrew S. Tanenbaum. Structured Computer Organization. Prentice-Hall, 3rd
edition, 1990.

[Tan96]

Andrew S. Tanenbaum. Computer Networks. Prentice-Hall, London, 3rd edition,
1996.

[Tea98]

EFTOS K.U.Leuven Team. D2.8 – Reference Guide and Cookbook for Full Functionality Set, June 1998. EFTOS Deliverable.

[Thi00]

Hans Thielemans. TIRAN workshop. Eonic News, page 11, April 2000.
192

BIBLIOGRAPHY

[TMB80]

David J. Taylor, David E. Morgan, and James P. Black. Redundancy in data structures: Improving software fault tolerance. IEEE Trans. on Software Engineering,
6(6):585–594, November 1980.

[TXT97]

TXT. TEX User Manual. TXT Ingegneria Informatica, Milano, Italy, 1997.

[Uni95]

Unipede. Automation and control apparatus for generating stations and substations – electromagnetic compatibility – immunity requirements. Technical Report
UNIPEDE Norm (SPEC) 13, UNIPEDE, January 1995.

[VA97]

Tanja Van Achteren. Object georienteerde afleiding van metaobjecten voor
foutbestendigheid in de friends omgeving. Master’s thesis, Dept. of Electrical Engineering, Katholieke Universiteit Leuven, 1997. In Flemish.

[VT00]

Jari Veijalainen and Aphrodite Tsalgatidou. Electronic commerce transactions in a
mobile computing environment. In Proc. of the 2000 International Conference on
Information Society in the 21st Century: Emerging Technologies and New Challenges (IS2000), Aizu-Wakamatsu, Fukushima, Japan, November 2000.

[WAP00]

World-wide web WAP forum, 2000. Hosted at URL http://www.wapforum.com.

[Wei61]

Martin H. Weik. The ENIAC story. ORDNANCE — The Journal of the
American Ordnance Association, January-February 1961. Available at URL
http://ftp.arl.mil/∼mike/ comphist/eniac-story.html.

[Wie93]

L.R. Wiener. Digital Woes. Why We Should Not Depend on Software. AddisonWesley, 1993.

[Win99]

WindRiver.
VxWorks data sheet, 1999.
http://www.wrs.com/products/html/vxwks52.html.

[XL89]

A. Xu and Barbara Liskov. A design for a fault-tolerant, distributed implementation of Linda. In Proc. of the 19th Int. IEEE Symposium on Fault-Tolerant Computing (FTCS-19), pages 199–206. IEEE, June 1989.

[Zaw94]

Jamie Zawinski.
Remote control of UNIX Netscape.
Technical report, Netscape Communications Corp., December 1994. Available at URL
http://home.netscape.com/newsref/std/x-remote.html.

Available

at

URL

A FAULT-TOLERANCE LINGUISTIC STRUCTURE FOR DISTRIBUTED APPLICATIONS

  • 1.
    A FAULT-TOLERANCE LINGUISTICSTRUCTURE FOR DISTRIBUTED APPLICATIONS Vincenzo De Florio Katholieke Universiteit Leuven, ESAT Department, ACCA Division, 3000 Leuven, Belgium. Abstract: The structures for the expression of fault-tolerance provisions into the application software are the central topic of this dissertation. Structuring techniques provide means to control complexity, the latter being a relevant factor for the introduction of design faults. This fact and the ever increasing complexity of today’s distributed software justify the need for simple, coherent, and effective structures for the expression of fault-tolerance in the application software. A first contribution of this dissertation is the definition of a base of structural attributes with which application-level fault-tolerance structures can be qualitatively assessed and compared with each other and with respect to the above mentioned need. This result is then used to provide an elaborated survey of the state-of-the-art of software fault-tolerance structures. The key contribution of this work is a novel structuring technique for the expression of the fault-tolerance design concerns in the application layer of those distributed software systems that are characterised by soft real-time requirements and with a number of processing nodes known at compile-time. The main thesis of this dissertation is that this new structuring technique is capable of exhibiting satisfactory values of the structural attributes in the domain of soft real-time, distributed and parallel applications. Following this novel approach, beside the conventional programming language addressing the functional design concerns, a special-purpose linguistic structure (the so-called “recovery language”) is available to address error recovery and reconfiguration. This recovery language comes into play as soon as an error is detected by an underlying error detection layer, or when some erroneous condition is signalled by the application processes. Error recovery and reconfiguration are specified as a set of guarded actions, i.e., actions that require a pre-condition to be fulfilled in order to be executed. Recovery actions deal with coarse-grained entities of the application and pre-conditions query the current state of those entities. An important added value of this so-called “recovery language approach” is that the executable code is structured so that the portion addressing fault-tolerance is distinct and separated from the rest of the code. This allows for division of complexity into distinct blocks that can be tackled independently of each other. This dissertation also describes a prototype of a compliant architecture that has been developed in the framework of two ESPRIT projects. The approach is illustrated via a few case studies. Some preliminary steps towards an overall analysis and assessment of the novel approach are contributed by means of reliability models, discrete mathematics, and simulations. Finally, it is described how the recovery language approach may serve as a harness with which to trade optimally the complexity of failure mode against number and type of faults being tolerated. This would provide dynamic adaptation of the application to the variations in the fault model of the environment.
  • 2.
  • 3.
    KATHOLIEKE UNIVERSITEIT LEUVEN FACULTEITT OEGEPASTE W ETENSCHAPPEN D EPARTEMENT E LEKTROTECHNIEK – ESAT O NDERZOEKSEENHEID ACCA Kardinaal Mercierlaan 94, B-3001 Leuven — Belgi¨ e A FAULT-TOLERANCE LINGUISTIC STRUCTURE FOR DISTRIBUTED APPLICATIONS Promoter: Prof. Dr. ir. R. Lauwereins Dissertation submitted in partial fulfilment of the requirements for the degree of “doctor in de toegepaste wetenschappen” by Vincenzo DE FLORIO October 2000
  • 5.
    KATHOLIEKE UNIVERSITEIT LEUVEN FACULTEITT OEGEPASTE W ETENSCHAPPEN D EPARTEMENT E LEKTROTECHNIEK – ESAT O NDERZOEKSEENHEID ACCA Kardinaal Mercierlaan 94, B-3001 Leuven — Belgi¨ e A FAULT-TOLERANCE LINGUISTIC STRUCTURE FOR DISTRIBUTED APPLICATIONS Jury: Prof. Dr. Prof. Dr. Prof. Dr. Prof. Dr. Prof. Dr. Prof. Dr. Dissertation submitted in partial fulfilment of the requirements for the degree of “doctor in de toegepaste wetenschappen” by ir. J. Berlamont, chairman ir. R. Lauwereins, promoter ir. Y. Berbers ir. B. Preneel ir. G. Deconinck ir. A. M. Tyrrell (University of York) Vincenzo DE FLORIO U.D.C. 681.3*B23 October 2000
  • 6.
    Copyright c Katholieke UniversiteitLeuven – Faculteit Toegepaste Wetenschappen – Departement Elektrotechniek ESAT – Onderzoekseenheid ACCA, Kardinaal Mercierlaan 94, B-3001 Leuven (Belgium) Alle rechten voorbehouden. Niets uit deze uitgave mag worden vermenigvuldigd, in een bestand opgeslagen en/of openbaar gemaakt door middel van druk, fotokopie, microfilm, elektronisch, mechanisch of op welke ander wijze ook, zonder de voorafgaande, schriftelijke toestemming van de onderzoekseenheid. All rights reserved. No part of this publication may be reproduced, stored in a retrieval system, or transmitted, in any form and by any means, electronic, mechanical, photocopying, recording, or otherwise, without the prior written permission from the above-mentioned research unit. D/2000/7515/37 ISBN 90-5682-266-7
  • 7.
    ACKNOWLEDGEMENTS This work wouldnot have been possible without the contributions of a number of people who have supported me throughout these years. I thank very much my promoter, Prof. R. Lauwereins, whose availability, guidance, and support allowed me to develop my doctoral studies. Many thanks also for his important remarks on the contents of this thesis. Many thanks to Prof. Y. Berbers, member of the reading committee, for her profound reading of the manuscript and for her valuable comments and suggestions. Many thanks to Prof. B. Preneel, member of the reading committee, for his important suggestions, including better formulations and shorter proofs for some of the theorems in Appendix A. I am convinced that the numerous contributions of the members of the reading committee greatly improved the overall structure and the contents of this work. Many thanks to Prof. J. Berlamont for being chairman of the Jury. I am very grateful to Prof. A. Tyrrell, Head of the Department of Electronics of the University of York, for the great honor he so kindly conceded me by accepting to come to Leuven and be a member of the Jury. Many thanks to Prof. J. Peperstraete, who encouraged and supported me at the beginning of my doctoral studies. It has been a sheer pleasure for me to work in collaboration with several other people during these last four years. I wish to thank the many friends I had the great pleasure to work with in the ESPRIT projects EFTOS and TIRAN. I would like to thank also the reviewers of those two projects, whose recommendations, suggestions, and enthusiasm, considerably and positively influenced their development. Many thanks are also due to the people from the ESAT Department of the K. U. Leuven and, in particular, to those from the ACCA Division. I like to acknowledge the support of Dr. D. Laforenza, who introduced me to the domain of parallel computing, and whose friendly enthusiastic encouragement and support helped me to begin this exciting research experience. My love and gratitude go to my dearest wife Tiziana, to whom I dedicate this work. Leuven, October 2000 Vincenzo De Florio
  • 8.
    List of abbreviations Abbreviation Meaning SectionPage A ALFT AMS AOP APL AS AT AW BB BSL BSW BT COTS CSP DB DIR net DM DV EE EFTOS Adaptability Application-Level Fault-Tolerance Algorithm of Mutual Suspicion Aspect-Oriented Programming ENEL application component Alarm Scheduler Alarm Thread Algorithmic Worker Processes TIRAN Backbone TIRAN Basic Services Library ENEL “basic software” component TIRAN Basic Tool Commercial-Off-The-Shelf Communicating Sequential Processes TIRAN Database EFTOS Detection, Isolation and Recovery network TIRAN Dependable Mechanism TIRAN Distributed Voting Tool N -Version Executive Embedded Fault-Tolerant Supercomputing, ESPRIT project 21012 ENEL Exchange Memory component Electro-Magnetic Interference Fail-Stop Modules Fault-Tolerant Attribute Grammars Siemens Gray Level IMage Processing package Image Dispatcher Siemens Integrated Mail Processor Local Control Level Machine Control Metaobject Protocol Multiple-Version software fault-tolerance N -Modular Redundancy 1.1.2 1.1 5.2.4 3.4 6.3.2 B.1 B.1 6.1.3 4.2.1 4.2.1 6.3.2 4.2.1 4.1.1 3.5 4.2.1 3.1.1 5.1 5.2.3 3.1.2.2 3.1.1 7 1 73 39 113 161 161 102 48 48 113 48 46 41 48 25 66 69 30 24 6.3.2 1.1.2 3.3.1.4 3.3.2.3 6.1.1 6.1.3 6.1 6.3.1 6.1.1 3.2 3.1.2 5.2.3 114 6 35 37 101 102 100 112 101 32 27 69 EM EMI FSM FTAG GLIMP ID IMP LCL MC MOP MV NMR
  • 9.
    Abbreviation Meaning NVP OCR OS PC PS PSAS RB RD REL RINT RM RMP ROI RW SA SC SV TIRAN N -Version Programming 3.1.2.2 OpticalCharacter Recognition module 6.1.1 Operating System 4.1.1 Personal Computer 5.1 Primary substation 6.3.1 Primary substation automation system 6.3.1 Recovery Blocks 3.1.2.1 Region Descriptor 6.1.3 REcovery Language approach 4 Recovery Interpreter 5.3.3.2 Result Manager 6.1.3 Recovery Meta-Program 3.5 Region Of Interest 6.1.1 Redundant Watchdog 6.4.1 Syntactical Adequacy 1.1.2 Separation of the design Concerns 1.1.2 Single-Version software fault-tolerance 3.1.1 TaIlorable fault-toleRANce frameworks for embedded ap- 1.1.3 plications, ESPRIT project 28620 Triple Modular Redundancy 5.3.3.1 Time-Out List Manager B.3 TIRAN Time-Out Manager 4.2.1 EFTOS vertical integration test application 6.1.5 World-Wide Web 3.1.1 TMR TOLM TOM VITA WWW Section Page 29 101 46 65 112 112 27 102 45 94 102 41 101 119 6 6 24 7 92 163 49 104 25
  • 10.
    List of thesymbols used and of their definitions Symbol Definition A(t) = Ass = = = = = b(f ) C correct x δi,t εN fail(t) Im λ λN M (t) MTBF MTTF MTTR µ µN νt ν nT/mH/pS = = = = = = = = = = = = = = = = = = = = = = = = Section Page Availability (probability that a service is operating correctly and is available to perform its functions at time t) MTTF MTTF+MTTR Steady-state availability Failure behaviours of failure class f Error recovery coverage Event “the system provides its service during time interval x” 1 if U (t, i) is true, 0 otherwise Efficiency Percentage of slots used during a run 2.1.2.3 14 2.1.2.3 14 2.1.3.1 7.1.1 2.1.2.1 15 123 12 7.2.1.1 7.2.1.1 129 130 2.1.2.1 12 4.1.1 2.1.2.1 7.2.1.1 2.1.2.4 46 12 130 14 2.1.2.2 13 2.1.2.2 13 2.1.2.2 13 2.1.2.2 7.2.1.1 7.2.1.1 13 130 130 7.2.1.1 130 3.1 24 dQ(t) dt Failure density function Set {0, . . . , m − 1} (m > 1) Failure rate Length of a run with N + 1 processors 1 − exp−µt (if µ is constant) Maintainability (probability that a failed system will be repaired in a time less than or equal to t) MTTF + MTTR Mean Time Between Failure ∞ R(t) dt 0 Mean Time To Failure Mean Time To Repair Average time required to repair a system Repair rate Average slot utilisation N i=0 δi,t Number of slots used during time step t [ν1 , ν2 , . . . , νλ ] Utilisation string (number of slots used during each time step) n executions, on m hardware channels, of p programs Avi˘ ienis’ classification of fault-tolerance approaches z
  • 11.
    Symbol Definition P = = Q(t) = = = R R(t0 , t) R(t) R(1)(C, t) R(M ) (C, t) Rα (t) TMR = = = = = = = = = i Rt j = i S tj = σ(N ) = = T Tcycle U (N ) U (t, i) [x is odd] = = = = = = Section Page P1 , . . . , PN Permutation of the N integers [0, N ] − {i}, N > 0, 0 ≤ i≤N 1 − R(t) Unreliability Probability of successful recovery for a component affected by a transient fault P {correct[t0 , t] | correct[t0 , t0 ]} Reliability in interval [t0 , t] R(0, t) Reliability (−3C 2 + 6C) × [R(t)(1 − R(t))]2 + R(0) (t) Reliability of a TMR-and-a-spare system Reliability of a TMR-and-M -spare system 3 exp−2(1−RT )λt −2 exp−3(1−RT )λt Reliability of a TMR system exploiting the α-count technique At time t, processor i is receiving a message from processor j At time t, processor i is sending a message to processor j σ(N ) = (N + 1)λN Number of slots available within a run of N + 1 processors Probability that the current fault is a transient one Cycle time for the ENEL pilot application Number of used slots in a run of N processors Predicate “∃ j (i S t j ∨ i Rt j)” 1 when x is odd, 0 otherwise Failure semantics partial-order relation 7.2.1.1 130 2.1.2.1 12 7.1.2 125 2.1.2.1 12 2.1.2.1 12 7.1.1 124 7.1.1 7.1.2 124 125 7.2.1.1 129 7.2.1.1 129 7.2.1.1 130 7.1.2 6.3.2 A.3.4 7.2.1.1 7.2.1.2 2.1.3.1 125 113 158 129 132 15
  • 12.
    Contents 1 2 3 Introduction 1.1 Rationale andThesis . . . . . . . . . . . . . . . . . . . . . . . . . 1.1.1 The Need for Application-Level Fault-Tolerance . . . . . . 1.1.1.1 A Need for Fault-Tolerance . . . . . . . . . . . . 1.1.1.2 A Need for Software Fault-Tolerance . . . . . . . 1.1.1.3 Software Fault-Tolerance in the Application Layer 1.1.2 Strategies, Problems, and Key Properties . . . . . . . . . . 1.1.3 Thesis of the Dissertation . . . . . . . . . . . . . . . . . . . 1.2 Structure and Contributions . . . . . . . . . . . . . . . . . . . . . . . . . . . . . . . . . . . . . . . . . . . . . . . . . . . . . . . . . . . . . . . . . . . . . . . . . . . . . . 1 1 1 1 2 3 5 7 8 The Laprie Model of Dependability 2.1 The Dependability Tree . . . . . . . . . . . . . . . . . . . . . . . . . . . . . . 2.1.1 Attributes of Dependability . . . . . . . . . . . . . . . . . . . . . . . . 2.1.2 Formal Definitions . . . . . . . . . . . . . . . . . . . . . . . . . . . . 2.1.2.1 Reliability . . . . . . . . . . . . . . . . . . . . . . . . . . . 2.1.2.2 Mean Time To Failure, Mean Time To Repair, and Mean Time Between Failures . . . . . . . . . . . . . . . . . . . . . . . 2.1.2.3 Availability . . . . . . . . . . . . . . . . . . . . . . . . . . 2.1.2.4 Maintainability . . . . . . . . . . . . . . . . . . . . . . . . 2.1.3 Impairments to Dependability . . . . . . . . . . . . . . . . . . . . . . 2.1.3.1 Failures . . . . . . . . . . . . . . . . . . . . . . . . . . . . 2.1.3.2 Errors . . . . . . . . . . . . . . . . . . . . . . . . . . . . . 2.1.3.3 Faults . . . . . . . . . . . . . . . . . . . . . . . . . . . . . 2.1.4 Means for Dependability . . . . . . . . . . . . . . . . . . . . . . . . . 2.1.4.1 Fault-Tolerance . . . . . . . . . . . . . . . . . . . . . . . . 2.2 Fault-Tolerance, Redundancy, and Complexity . . . . . . . . . . . . . . . . . . 2.3 Conclusions . . . . . . . . . . . . . . . . . . . . . . . . . . . . . . . . . . . . . . . . 11 11 12 12 12 . . . . . . . . . . . 13 14 14 14 15 17 17 19 19 21 22 Current Approaches for Application-Level Fault-Tolerance 3.1 Single- and Multiple-Version Software Fault-Tolerance . 3.1.1 Single-Version Software Fault-Tolerance . . . . 3.1.2 Multiple-Version Software Fault-Tolerance . . . 3.1.2.1 The Recovery Block Technique . . . . . . . . 23 23 24 27 27 i . . . . . . . . . . . . . . . . . . . . . . . . . . . . . . . . . . . . . . . . . . . . . . . .
  • 13.
    ii CONTENTS . . . . . . . . . . . . . . . 29 31 33 33 33 34 34 35 36 36 36 37 39 41 42 The Recovery LanguageApproach 4.1 System, Application and Fault Models . . . . . . . . . . . . . . . . . . . . . . 4.1.1 System Assumptions . . . . . . . . . . . . . . . . . . . . . . . . . . . 4.1.2 Application-specific Assumptions . . . . . . . . . . . . . . . . . . . . 4.1.3 Fault Model . . . . . . . . . . . . . . . . . . . . . . . . . . . . . . . . 4.2 Key Ideas and Technical Foundations . . . . . . . . . . . . . . . . . . . . . . 4.2.1 Adoption of a Fault-Tolerance Toolset . . . . . . . . . . . . . . . . . . 4.2.2 Configuration Support Tool . . . . . . . . . . . . . . . . . . . . . . . 4.2.2.1 Configuration of System and Application Entities . . . . . . 4.2.2.2 Configuration of the Fault-Tolerance Tools in the Toolset . . 4.2.2.3 Configuration of Replicated Tasks . . . . . . . . . . . . . . 4.2.2.4 Configuration for Retry Blocks . . . . . . . . . . . . . . . . 4.2.2.5 Configuration for Multiple-Version Software Fault-Tolerance 4.2.2.6 Example Scenario and Conclusions . . . . . . . . . . . . . . 4.2.3 Recovery Languages . . . . . . . . . . . . . . . . . . . . . . . . . . . 4.2.3.1 Guards . . . . . . . . . . . . . . . . . . . . . . . . . . . . . 4.2.3.2 Actions . . . . . . . . . . . . . . . . . . . . . . . . . . . . . 4.3 Workflow . . . . . . . . . . . . . . . . . . . . . . . . . . . . . . . . . . . . . 4.4 Relation with Other ALFT Approaches and Specific Limitations . . . . . . . . 4.4.1 Limitations of RεL . . . . . . . . . . . . . . . . . . . . . . . . . . . . 4.5 Conclusions . . . . . . . . . . . . . . . . . . . . . . . . . . . . . . . . . . . . . . . . . . . . . . . . . . . . . . . . 45 45 45 47 47 47 48 49 49 50 50 52 53 53 54 55 56 57 58 59 60 A Distributed Architecture Based on the Recovery Language Approach 5.1 The ESPRIT Project TIRAN . . . . . . . . . . . . . . . . . . . . . . 5.2 Some Components of the TIRAN Framework . . . . . . . . . . . . . 5.2.1 The TIRAN Basic Tools . . . . . . . . . . . . . . . . . . . . 5.2.2 The TIRAN Basic Services Library . . . . . . . . . . . . . . . . . . 63 63 67 67 68 3.2 3.3 3.4 3.5 3.6 4 5 3.1.2.2 N-Version Programming . . . . . . . . . . . . . Metaobject Protocols and Reflection . . . . . . . . . . . . . . . . . Enhancing or Developing Fault-Tolerance Languages . . . . . . . . 3.3.1 Enhancing Pre-existing Programming Languages . . . . . . 3.3.1.1 The Arjuna Distributed Programming System . . 3.3.1.2 The SINA Extensions . . . . . . . . . . . . . . . 3.3.1.3 Fault-Tolerant Linda Systems . . . . . . . . . . . 3.3.1.4 FT-SR . . . . . . . . . . . . . . . . . . . . . . . 3.3.2 Developing Novel Fault-Tolerance Programming Languages 3.3.2.1 ARGUS . . . . . . . . . . . . . . . . . . . . . . 3.3.2.2 The Correlate Language . . . . . . . . . . . . . . 3.3.2.3 Fault-Tolerance Attribute Grammars . . . . . . . Aspect-oriented Programming Languages . . . . . . . . . . . . . . The Recovery Meta-Program . . . . . . . . . . . . . . . . . . . . . Conclusions . . . . . . . . . . . . . . . . . . . . . . . . . . . . . . . . . . . . . . . . . . . . . . . . . . . . . . . . . . . . . . . . . . . . . . . . . . . . . . . . . . . . . . . . . . . . . . . . . . . . . . . . . . . . . . . . . . . . . . . . . . . . . . . . . . . . . . . . . . . .
  • 14.
    CONTENTS iii 5.2.3 5.3 5.4 6 The TIRAN DistributedVoting Tool . . . . . . . . . . . . . . . . 5.2.3.1 Client-Side Protocol . . . . . . . . . . . . . . . . . . . 5.2.3.2 Server-Side Protocol . . . . . . . . . . . . . . . . . . . 5.2.4 The TIRAN Backbone . . . . . . . . . . . . . . . . . . . . . . . 5.2.4.1 The Algorithm of Mutual Suspicion . . . . . . . . . . . 5.2.4.2 The α-Count Fault Identification Mechanism . . . . . . 5.2.5 The TIRAN Time-Out Manager . . . . . . . . . . . . . . . . . . The A RIEL Configuration and Recovery Language . . . . . . . . . . . . 5.3.1 General Characteristics of ARIEL . . . . . . . . . . . . . . . . . 5.3.2 ARIEL as a Configuration Language . . . . . . . . . . . . . . . . 5.3.2.1 System and Application Parameters . . . . . . . . . . . 5.3.2.2 Backbone Parameters . . . . . . . . . . . . . . . . . . 5.3.2.3 Basic Tools . . . . . . . . . . . . . . . . . . . . . . . 5.3.2.4 Configuring Multiple-Version Software Fault-Tolerance 5.3.3 ARIEL as a Recovery Language . . . . . . . . . . . . . . . . . . 5.3.3.1 Compile-time Support for Error-Recovery . . . . . . . 5.3.3.2 The ARIEL Recovery Interpreter . . . . . . . . . . . . Conclusions . . . . . . . . . . . . . . . . . . . . . . . . . . . . . . . . . Using the Recovery Language Approach 6.1 A Case Study: The Siemens Integrated Mail Processor 6.1.1 Automatic Mail Sorting Machines . . . . . . . 6.1.2 Hardware Structure . . . . . . . . . . . . . . . 6.1.3 Software Structure . . . . . . . . . . . . . . . 6.1.4 Design Requirements . . . . . . . . . . . . . . 6.1.5 Results Obtained and Lessons Learned . . . . 6.2 Enhancement of a TIRAN Dependable Mechanism . . 6.2.1 Configuration . . . . . . . . . . . . . . . . . . 6.2.2 Recovery . . . . . . . . . . . . . . . . . . . . 6.2.3 Lessons learned . . . . . . . . . . . . . . . . . 6.3 The Recovery Language Approach at ENEL . . . . . . 6.3.1 General Context and Motivations . . . . . . . 6.3.2 The ENEL Pilot Application . . . . . . . . . . 6.3.3 Dependability Requirements . . . . . . . . . . 6.3.4 Description of the Case Study . . . . . . . . . 6.3.5 Lessons Learned . . . . . . . . . . . . . . . . 6.4 The Redundant Watchdog . . . . . . . . . . . . . . . . 6.4.1 The Strategy and Its Key Components . . . . . 6.4.2 Lessons Learned . . . . . . . . . . . . . . . . 6.5 Conclusions . . . . . . . . . . . . . . . . . . . . . . . . . . . . . . . . . . . . . . . . . . . . . . . . . . . . . . . . . . . . . . . . . . . . . . . . . . . . . . . . . . . . . . . . . . . . . . . . . . . . . . . . . . . . . . . . . . . . . . . . . . . . . . . . . . . . . . . . . . . . . . . . . . . . . . . . . . . . . . . . . . . . . . . . . . . . . . . . . . . . . . . . . . . . . . . . . . . . . . . . . . . . . . . . . . . . . . . . . . . . . . . . . . . . . . . . . . . . . . . . . . . . . . . . . . . . . . . . . . . . . . . . . . . . . . . . . . . . . . . . . . . . . . . . . . . . . . . . . . . . . . . . . . . . . . . . . . . . . . . . . . . . . . . . . . . . . . . . . . . . . . . . . . . . . . . . . . . 68 70 70 72 73 75 77 79 79 80 80 83 85 85 88 92 94 97 . . . . . . . . . . . . . . . . . . . . 99 100 100 102 102 102 104 105 107 108 111 112 112 113 114 115 118 118 118 121 121
  • 15.
    iv 7 8 CONTENTS Analysis and Simulations 7.1Reliability Analysis . . . . . . . . . . . . . . . . . . . . . . . . . 7.1.1 Using ARIEL to Manage Spares . . . . . . . . . . . . . . 7.1.2 Using the α-count Feature . . . . . . . . . . . . . . . . . 7.2 Performance Analysis . . . . . . . . . . . . . . . . . . . . . . . . 7.2.1 Analysis of the Gossiping Service . . . . . . . . . . . . . 7.2.1.1 Formal Model . . . . . . . . . . . . . . . . . . 7.2.1.2 Discussion . . . . . . . . . . . . . . . . . . . . 7.2.1.3 Conclusions . . . . . . . . . . . . . . . . . . . 7.2.2 Performance of the TIRAN tools . . . . . . . . . . . . . . 7.2.2.1 Performance of the TIRAN BB . . . . . . . . . 7.2.2.2 Performance of the TIRAN TOM . . . . . . . . 7.2.2.3 Performance of the TIRAN Recovery Interpreter 7.2.2.4 Performance of the Distributed Voting Tool . . . 7.3 Coding Effort . . . . . . . . . . . . . . . . . . . . . . . . . . . . 7.4 Conclusions . . . . . . . . . . . . . . . . . . . . . . . . . . . . . Open Challenges and Conclusions 8.1 Open Challenges and Research Problems . . . . . . . . 8.1.1 A RεL Architecture for High Adaptability . . . . 8.1.2 Extending RεL to Unlimited Distributed Systems 8.1.3 Other Research Paths . . . . . . . . . . . . . . . 8.2 Conclusions . . . . . . . . . . . . . . . . . . . . . . . . 8.2.1 Key Lessons Learned . . . . . . . . . . . . . . . 8.2.2 Contributions . . . . . . . . . . . . . . . . . . . A Mathematical Details A.1 Mathematical Details Related to Eq. 7.2 A.2 Mathematical Details Related to Eq. 7.4 A.3 Proofs of Propositions of Sect. 7.2.1 . . A.3.1 Proof of Proposition 1 . . . . . A.3.2 Proof of Proposition 2 . . . . . A.3.3 Proof of Lemma 1 . . . . . . . A.3.4 Proof of Proposition 3 . . . . . A.3.5 Proof of Proposition 4 . . . . . A.3.6 Proof of Proposition 5 . . . . . A.3.7 Proof of Proposition 6 . . . . . A.3.8 Proof of Proposition 7 . . . . . . . . . . . . . . . . . . . . . . . . . . . . . . . . . . . . . . . . . . . . . . . . . . . . . . . . . . . . . . . . . . . . . . . . . . . . . . . . . . . . . . . . . . . . . . . . . . . . . . . . . . . . . . . . . . . . . . . . . . . . . . . . . . . . . . . . . . . . . . . . . . . . . . . . . . . . . . . . . . . . . . . . . . . . . . . . . . . . . . . . . . . . . . . . . . . . . . . . . . . . . . . . . . . . . . . . . . . . . . . . . . . . . . . . . . . . . . . . . . . . . . . . . . . . . . . . . . . . . . . . . . . . . . . . . . . . . . . . . . . . . . . . . . . . . . . . . . . . . . . . . . . . . . . . . . . . . . . . . . . . . . . . . . . . . . . . . . . . . . . . . . . . . . . . . . . . . . . . . . . . . . . . . . . . . . . . . . . . . . . . . . . . . . . . . . . . . . . . . . . . . . . . . . . . . . . . . . . . . . . . . . . . . . . . . . . . . . . . 123 123 123 125 126 127 128 131 139 139 139 140 142 142 143 144 . . . . . . . 145 145 145 146 147 148 148 149 . . . . . . . . . . . 151 151 153 154 154 154 157 158 158 159 159 160 B The TIRAN Time-Out Manager 161 B.1 The Architecture of the TOM System . . . . . . . . . . . . . . . . . . . . . . . 161 B.2 Client-Side Protocol . . . . . . . . . . . . . . . . . . . . . . . . . . . . . . . . . 161 B.3 Server-Side Protocol . . . . . . . . . . . . . . . . . . . . . . . . . . . . . . . . 163
  • 16.
    CONTENTS B.3.1 Insertion . .. . . . . . . . . . . . B.3.1.1 Insertion on Top . . . . . B.3.1.2 Insertion in the Middle . B.3.1.3 Insertion at the End . . . B.3.2 Deletion . . . . . . . . . . . . . . . B.3.2.1 Deletion from the Top . . B.3.2.2 Deletion from the Middle B.3.2.3 Deletion from the End . . B.4 Real-Time Support . . . . . . . . . . . . . B.4.1 Best Case Scenario . . . . . . . . . B.4.2 Worst Case Scenario . . . . . . . . v . . . . . . . . . . . . . . . . . . . . . . . . . . . . . . . . . . . . . . . . . . . . . . . . . . . . . . . . . . . . . . . . . . . . . . . . . . . . . . . . . . . . . . . . . . . . . . . . . . . . . . . . . . . . . . . . . . . . . . . . . . . . . . . . . . . . . . . . . . . . . . . . . . . . . . . . . . . . . . . . . . . . . . . . . . . . . . . . . . . . . . . . . . . . . . . . . . . . . . . . . . . . . . . . . . . . . . . . . . . . 164 164 165 165 165 165 166 166 166 168 169 C The Grammar of ARIEL 171 References 177
  • 17.
  • 18.
    Chapter 1 Introduction The centraltopic of this dissertation is the system structure for expressing fault-tolerance provisions in the application layer of a computer program. The lack of a simple and coherent system structure for software fault-tolerance engineering, capable to offer the designer effective support towards fulfilling goals such as maintainability, re-usability, and service portability of the faulttolerant software, has been the main motivation for starting this work. It addresses the class of distributed applications, written in a procedural language, to be executed on distributed or parallel computers consisting of a set of processing nodes known at compile time. This chapter presents the scenario of application-level fault-tolerance engineering. A summary of the main contributions and the structure of this work are finally presented. 1.1 Rationale and Thesis This section first justifies the need of application-level fault-tolerance (ALFT) as a consequence of the crucial role and of the complexity of modern computing systems and of software in particular. The requirements, impairments, and key properties of ALFT are then introduced. Finally, the thesis of this dissertation is enunciated. 1.1.1 The Need for Application-Level Fault-Tolerance 1.1.1.1 A Need for Fault-Tolerance No man conceived tool in human history has ever permeated as many aspects of human life as the computer has done during the last half a century. An outstanding aspect of this success is certainly given by the overwhelming increase in its performance, though probably the most important one is the growth in complexity and crucial character of the roles nowadays assigned to computers—human society more and more expects and relies on good quality of complex services supplied by computers. More and more these services become vital, in the sense that lack of timely delivery ever more often can have immediate consequences on capitals, the environment, and even human lives. 1
  • 19.
    2 CHAPTER 1. INTRODUCTION Inother words, if in the early days of modern computing it was to some extent acceptable that outages and wrong results occurred rather often1 , being the main role of computers basically that of a fast solver of numerical problems, the criticality associated with many tasks nowadays appointed to computers does require high values for properties such as availability and data integrity. This happens because the magnitude of consequences associated with a failure has constantly increased, to the point that now, with computers controlling nuclear plants, airborne equipment, health care systems and so forth, a computer failure may likely turn into a catastrophe, in the sense that its associated penalty can be incalculable [HLKC99]. As a consequence, with the growth in complexity and criticality, it has become evident how important it is to adopt techniques for assessing and enhancing, in a justifiable way, the reliance to be placed on the services provided by computer systems, together with those techniques aiming at avoiding the risks associated with computer failures, or, at least, at bounding the extent of their consequences. The work reported herein deals in particular with fault-tolerance, that is, on how to ensure a service up to fulfilling the system’s function even in the presence of “faults” [Lap98], namely, events having their origin inside or outside the system boundaries and possibly introducing unexpected deviations of the system state. 1.1.1.2 A Need for Software Fault-Tolerance Research in fault-tolerance concentrated for many years on hardware fault-tolerance, i.e., on devising a number of effective and ingenious hardware structures to cope with faults [Joh89]. For some time this approach was considered as the only one needed in order to reach the requirements of availability and data integrity demanded by nowadays complex computer services. Probably the first researcher who realized that this was far from being true was B. Randell who in 1975 [Ran75] questioned hardware fault-tolerance as the only approach to pursue—in the cited paper he states: “Hardware component failures are only one source of unreliability in computing systems, decreasing in significance as component reliability improves, while software faults have become increasingly prevalent with the steadily increasing size and complexity of software systems.” Indeed most of the complexity supplied by modern computing services lies in their software rather than in the hardware layer [Lyu98a, Lyu98b, HK95, Wie93, Ran75]. This state of things could only be reached by exploiting a powerful conceptual tool for managing complexity in a flexible and effective way, i.e., devising hierarchies of sophisticated abstract machines [Tan90]. This translates in implementing software with high-level computer languages lying on top of other software strata—the device drivers layers, the basic services kernel, the operating system, the run-time support of the involved programming languages, and so forth. 1 This excerpt from a report on the ENIAC activity [Wei61] gives an idea of how dependable computers were in 1947: “power line fluctuations and power failures made continuous operation directly off transformer mains an impossibility [. . . ] down times were long; error-free running periods were short [. . . ]”. After many considerable improvements, still “trouble-free operating time remained at about 100 hours a week during the last 6 years of the ENIAC’s use”, i.e., an availability of about 60%!
  • 20.
    1.1. RATIONALE ANDTHESIS 3 Partitioning the complexity into stacks of software layers allowed the implementor to focus exclusively on the high-level aspects of their problems, and hence it allowed to manage a larger and larger degree of complexity. But though made transparent, still this complexity is part of the overall system being developed. A number of complex algorithms are executed by the hardware at the same time, resulting in the simultaneous progress of many system states—under the hypothesis that no involved abstract machine nor the actual hardware be affected by faults. Unfortunately, as in real life faults do occur, the corresponding deviations are likely to jeopardise the system’s function, also propagating from one layer to the other, unless appropriate means are taken to avoid in the first place, or to remove, or to tolerate these faults. In particular, faults may also occur in the application layer, that is, in the abstract machine on top of the software hierarchy2 . These faults, possibly having their origin at design time, or during operation, or while interacting with the environment, are not different in the extent of their consequences from those faults originating, e.g., in the hardware or the operating system. An efficacious argument to bring evidence to the above statement is the case of the so-called “millennium bug”, i.e., the most popular class of design faults that ever showed up in the history of computing technologies, also known as “the year 2000 problem”, or as “Y2K”: most of the software still in use today was developed using a standard where dates are coded in a 6-digit format. According to this standard, two digits were considered as enough to represent the year. Unfortunately this translates into the impossibility to distinguish, e.g., year 2000 from year 1900, which was recently recognised as the possible cause of an unpredictably large number of failures when calculating time elapsed between two calendar dates, as for instance year 1900 was not a leap year while year 2000 is. The adoption of the above mentioned standard for representing dates resulted in a hidden, forgotten design fault, never considered nor tested by application programmers. As society got closer and closer to the year 2000, the unaware presence of this design fault became a nightmare that seemed to jeopardise many crucial functions of our society appointed to programs manipulating calendar dates, such us utilities, transportation, health care, communication, public administration. Luckily the expected many and possibly crucial system failures due to this one application-level fault [HLKC99] were not so many and not that crucial, though probably for the first time the whole society became aware of the extent of the relevance of dependability in software. These facts and the above reasoning suggest that, the higher the level of abstraction, the higher the complexity of the algorithms into play and the consequent error proneness of the involved (real or abstract) machines. As a conclusion, full tolerance of faults and complete fulfilment of the dependability design goals of a complex software application must include means to avoid, remove, or tolerate faults working at all levels, including the application layer. 1.1.1.3 Software Fault-Tolerance in the Application Layer The need of software fault-tolerance provisions, located in the application layer, is supported by studies that showed that the majority of failures experienced by nowadays computer systems are due to software faults, including those located in the application layer [Lyu98a, Lyu98b, Lap98]; 2 In what follows, the application layer is to be intended as the programming and execution context in which a complete, self-contained program that performs a specific function directly for the user is expressed or is running.
  • 21.
    4 CHAPTER 1. INTRODUCTION forinstance, NRC reported that 81% of the total number of outages of US switching systems in 1992 were due to software faults [NRC93]. Moreover, nowadays application software systems are increasingly networked and distributed. Such systems, e.g., client-server applications, are often characterised by a loosely coupled architecture whose global structure is in general more prone to failures3 . Due to the complex and temporal nature of interleaving of messages and computations in distributed software systems, no amount of verification, validation and testing can eliminate all faults in an application and give complete confidence in the availability and data consistency of applications of this kind [HK95]. Under these assumptions, the only alternative (and effective) means for increasing software reliability is that of incorporating in the application software provisions of software fault-tolerance [Ran75]. Another argument that justifies the addition of software fault-tolerance means in the application layer is given by the widespread adoption of object orientation. Many object-oriented applications are indeed built from reusable components the sources of which are unknown to the application developers. The object abstraction fostered the capability of dealing with higher levels of complexity in software and at the same time eased and therefore encouraged software reuse. This has a big, positive impact on development costs though translates the application in a sort of collection of reused, pre-existing objects made by third parties. The reliability of these components and therefore their impact on the overall reliability of the user application is often unknown, to the point that Grey defines as “art” creating reliable applications using off-the-shelf software components [Gre97]. The case of the Ariane 501 flight is a well-known example that shows how improper reuse of software may have severe consequences4 [Inq96]. Though probably the most convincing reasoning for not excluding the application layer from a fault-tolerance strategy is the so-called “end-to-end argument”, a system design principle introduced by Saltzer, Reed and Clark [SRC84]. This principle states that, rather often, functions such as reliable file transfer, can be completely and correctly implemented only with the knowledge and help of the application standing at the endpoints of the underlying system (for instance, the communication network). This does not mean that everything should be done at the application level—fault-tolerance 3 As Leslie Lamport efficaciously synthesised in his quotation, “a distributed system is one in which I cannot get something done because a machine I’ve never heard of is down”. 4 Within the Ariane 5 programme, it was decided to reuse the long-tested software used in the Ariane 4 programme. Such software had been thoroughly tested and was compliant to Ariane 4 specifications. Unfortunately, specifications for Ariane 5 were different—in particular, they stated that the launcher had a trajectory characterised by considerably higher horizontal velocity values. A dormant design fault, related to an overflow while casting a 64-bit floating point value representing horizontal velocity to a 16-bit signed integer was never unravelled simply because, given the moderate horizontal velocity values of Ariane 4, such an overflow would have never occurred. Reusing this same software, including the routine affected by this dormant design fault, in both the primary and the active backup Inertial Reference Systems that were in use in the Ariane 5 flight 501 the morning of 4 June 1996, triggered almost at the same time the failure of two Inertial Reference Systems. Diagnostic information produced by that component was then interpreted as correct flight information, making the launcher veer off its flight path, then initiate a self-destruction procedure, and eventually explode. It is worth mentioning that the faulty routine served an Ariane 4 specific functionality, that was of no use in Ariane 5. It had been nevertheless included in order to reuse exactly the same software adopted in the previous programme. Such a software was indeed considered design fault free. This failure entailed a loss of about 1.9 billion French francs (approximately 0.37 billion Euros) and a delay of about one year for the Ariane 5 programme [Le 96].
  • 22.
    1.1. RATIONALE ANDTHESIS 5 strategies in the underlying hardware and operating system can have a strong impact on the system’s performance. However, an extraordinarily reliable communication system, that guarantees that no packet is lost, duplicated, or corrupted, nor delivered to the wrong addressee, does not reduce the burden of the application program to ensure reliability: for instance, for reliable file transfer, the application programs that perform the transfer must still supply a file-transferspecific, end-to-end reliability guarantee. Hence one can conclude that: Pure hardware-based or operating system-based solutions to fault-tolerance, though often characterised by a higher degree of transparency, are not fully capable of providing complete end-to-end tolerance to faults in the user application. Furthermore, relying solely on the hardware and the operating system develops only partially satisfying solutions; requires a large amount of extra resources and costs; and is often characterised by poor service portability [SRC84, SS92]. 1.1.2 Strategies, Problems, and Key Properties The above conclusions justify the strong need for ALFT; as a consequence of this need, several approaches to ALFT have been devised during the last three decades (see Chapter 3 for a brief survey). Such a long research period hints at the complexity of the design problems underlying ALFT engineering, which include: 1. How to incorporate fault-tolerance in the application layer of a computer program. 2. Which fault-tolerance provisions to support. 3. How to manage the fault-tolerance code. Problem 1 is also known as the problem of the system structure to software fault-tolerance, first proposed by B. Randell in 1975 [Ran75]. It states the need of appropriate structuring techniques such that the incorporation of a set of fault-tolerance provisions in the application software might be performed in a simple, coherent, and well structured way. Indeed, poor solutions to this problem result in a huge degree of code intrusion: in such cases, the application code that addresses the functional requirements and the application code that addresses the fault-tolerance requirements are mixed up into one large and complex application software. • This greatly complicates the task of the developer and requires expertise in both the application domain and in fault-tolerance. Negative repercussions on the development times and costs are to be expected. • The maintenance of the resulting code, both for the functional part and for the faulttolerance provisions, is more complex, costly, and error prone. • Furthermore, the overall complexity of the software product is increased—which is detrimental to its resilience to faults.
  • 23.
    6 CHAPTER 1. INTRODUCTION Onecan conclude that, with respect to the first problem, an ideal system structure should guarantee an adequate Separation between the functional and the fault-tolerance Concerns (SC). Moreover, the design choice of which fault-tolerance provisions to support can be conditioned by the adequacy of the syntactical structure at “hosting” the various provisions. The well-known quotation by B. L. Whorf efficaciously captures this concept: “Language shapes the way we think, and determines what we can think about”: Indeed, as explained in Sect. 2.2, a non-optimal answer to Problem 2 may • require a high degree of redundancy, and • rapidly consume large amounts of the available redundancy, which at the same time would increase the costs and reduce the reliability. One can conclude that, devising a syntactical structure offering straightforward support to a large set of fault-tolerance provisions, can be an important aspect of an ideal system structure for ALFT. In the following this property will be called Syntactical Adequacy (SA). Finally, one can observe that another important aspect of an ALFT architecture is the way the fault-tolerance code is managed, at compile time as well as at run time. Evidence to this statement can be brought by observing the following facts: • A number of important choices pertaining to the adopted fault-tolerance provisions, such as the parameters of a temporal redundancy scheme, are a consequence of an analysis of the environment in which the application is to be deployed and is to run5 . In other words, depending on the target environments, the set of (external) impairments that might affect the application can vary considerably (see Chapter 2). Now, while it may be in principle straightforward to port an existing code to an other computer system, porting the service supplied by that code may require a proper adjustment of the above mentioned choices, namely the parameters of the adopted provisions. Effective support towards the management of the parametrisation of the fault-tolerance code and, in general, of its maintenance, could guarantee fault-tolerance software reuse. • The dynamic (run-time) adaptation of the fault-tolerance code and of its parameters would allow the application to stand also unexpected changes in the environment, such as an increase of temperature triggered by a failure of the cooling system. These events may trigger unexpected faults. Furthermore, the ever increasing diffusion of mobile software components, coupled with the increasing need for dependability, will require more and more the capability to guarantee an agreed quality of service even when the environment changes during the run-time because of mobility. 5 For instance, if an application is to be moved from a domestic environment to another one characterised by an higher electro-magnetic interference (EMI), it is reasonable to assume that, e.g., the number of replicas of some protected resource should be increased accordingly.
  • 24.
    1.1. RATIONALE ANDTHESIS 7 Therefore, the off-line as well as on-line (dynamic) management of the fault-tolerance provisions and of their parameters may be an important requirement for any satisfactory solution of Problem 3. As further motivated in Sect. 2.2, ideally, the fault-tolerance code should adapt itself to the current environment. Furthermore, any satisfactory management scheme should not overly increase the complexity of the application—which would be detrimental to dependability. Let us call this property Adaptability (A). Let us refer collectively to properties SC, SA and A as to the structural attributes of ALFT. The various approaches to ALFT surveyed in Chapter 3 provide different system structures to solve the above mentioned problems. The three structural attributes are used in that chapter in order to provide a qualitative assessment with respect to various application requirements. The structural attributes constitute, in a sense, a base with whom to perform this assessment. One of the major conclusions of that survey is that none of the surveyed approaches is capable to provide the best combination of values of the three structural attributes in every application domain. For specific domains, such as object-oriented distributed applications, satisfactory solutions have been devised at least for SC and SA, while only partial solutions exist, for instance, when dealing with the class of distributed or parallel applications not based on the object model. An example of the applications in this class is given by GLIMP (gray level image processing package), embedded in the Siemens Integrated Mail Processor, and discussed in Sect. 6.1. The above matter of facts has been efficaciously captured by Lyu, who calls this situation “the software bottleneck” of system development [Lyu98b]: in other words, there is evidence of an urgent need for systematic approaches to assure software reliability within a system [Lyu98b] while effectively addressing the above problems. In the cited paper, Lyu remarks how “developing the required techniques for software reliability engineering is a major challenge to computer engineers, software engineers and engineers of related disciplines”. 1.1.3 Thesis of the Dissertation As in a formal proof the theoretician finds it a useful conceptual tool to separate the special case from the normal one (following the divide et impera design principle), likewise it is reasonable to assume that the designer of a fault-tolerant software system could take great advantage from dividing the non-faulty case from the specification and the management of the strategy to adopt when faults do occur. The above observation brings us to the thesis of this dissertation: It is possible to reach satisfactory values for the structural attributes, at least in the domain of soft real-time, distributed and parallel applications, by means of a faulttolerance linguistic structure that realises a distinct, secondary, programming and processing context, directly addressable from the application layer. This statement is proved by describing and assessing a software system developed by the author of this dissertation in the framework of his participation to the ESPRIT-IV project 21012 “EFTOS” (Embedded Fault-TOlerant Supercomputing) [DDFLV97, EVM+ 98, DVB+ 97] and to the ESPRIT-IV project 28620 “TIRAN” (TaIlorable fault-toleRANce frameworks for embedded applications) [BDFD+ 99, BDFD+ 00]. Using this system, the bulk of the strategy to cope with
  • 25.
    8 CHAPTER 1. INTRODUCTION errorsneeds to be expressed by the user in a “recovery script”, conceptually as well physically distinct from the functional application layer. Such script is to be written in a so-called “recovery language”, i.e., a specialised linguistic structure devoted to the management of the fault-tolerance strategies, which allows to express scenarios of isolation, reconfiguration, and recovery. These scenarios take place by referencing symbolic representations of the processing nodes, of the application tasks, and of user-defined groups of tasks. Basic characteristics of this system are the separation of the functional code from the code addressing error recovery strategies, both at design time and during the execution of the application. The developer can modify the parameters of the fault-tolerance provisions, or even set up diverse fault-tolerance strategies with no modifications in the application part, and vice-versa, which allows to tackle more easily and effectively any of the two fronts. This can result in a better maintainability of the target fault-tolerant application and in support for reaching portability of the service when moving the application to other unfavourable environments. Dynamic management of the fault-tolerance code can also be attained, thanks to the strict separation between the functional and the fault-tolerance aspects. 1.2 Structure and Contributions Section 1.1 provides the elements of ALFT and introduces the concept of structural attributes of ALFT—an original contribution of the author. The rest of this dissertation is structured as follows: Chapter 2 is an introduction to the subject of computer dependability. The aim of this chapter is to give the reader a concise but formal definition of concepts and key words already used, informally, in this section. For this sake, the Laprie model of dependability is briefly presented. In particular, dependability is characterised as a collective property: • described by a set of sub-properties or basic attributes, • affected by a set of impairments, and • improved by the adoption of a number of techniques. The chapter also states the problem of managing the trade off between the benefits of adaptable (dynamic) dependable strategies and the additional complexity required by the adoption of these strategies, which is inherently detrimental to dependability. The formulation of this problem is a contribution of the author. Chapter 3 reviews six categories of design approaches for software fault-tolerance in the application layer, namely, single-version and multiple-version software fault-tolerance; the adoption of metaobject protocols; the embedding of fault-tolerance into a high-level programming language (language approach); a structuring technique called aspect-oriented programming; and an approach called recovery meta-program. Each category is qualitatively assessed, with respect to the structural attributes introduced in Sect. 1.1.2, for various
  • 26.
    1.2. STRUCTURE ANDCONTRIBUTIONS 9 application domains. Positive and negative aspects of the “evolutionary” approaches with respect to the “revolutionary” ones are remarked. Two conjectures are proposed in this chapter. The first one is that the coexistence of two separate though cooperating layers for the functional and the fault-tolerance aspects may allow to get the best of both the evolutionary and the revolutionary classes of approaches. The second conjecture is that a satisfactory solution to the design problem of the management of the fault-tolerance code may translate into an optimal management of the faulttolerance provisions with respect to varying environmental conditions. Survey, conjectures and ideas in this chapter are original contributions of the author of this dissertation. Chapter 4 describes the elements of a novel system structure for ALFT, which has been called “the recovery language approach”. Main contributions in this chapter are: • The system, application, and fault models. • The basic ideas of the novel approach. • An abstract architecture compliant to the approach. This chapter also draws a workflow diagram of the approach and reports on the specific differences between the recovery language approach and the ALFT approaches discussed in Chapter 3. Finally, the specific limitations of the novel approach are discussed. The conception of this new approach and the other ideas presented in this chapter are original contributions of the author of this dissertation. Chapter 5 presents a prototype implemented in the framework of the ESPRIT projects 21012 “EFTOS” and 28620 “TIRAN”. This software system is one of the main results of the above mentioned ESPRIT projects, the latter of which is also briefly presented in this chapter. It also introduces the ARIEL recovery and configuration language and describes its relations with the architectural entities outlined in Chapter 4 and with the system structures described in Chapter 3. Once again, the basis for these comparisons are the structural attributes of ALFT. The main contributions of the author while taking part in these two projects have been the concept of recovery and configuration language and the design and development of this prototypic implementation and of most of of its core components, such as, e.g., the distributed application serving as a backbone and coordinating the activities of a set of basic tools for error detection, isolation, and recovery. The work of the author in this context includes also the design and development of ARIEL. This translated in: • The choice of a number of fault-tolerance provisions. • The design and implementation of these provisions. • The design of a linguistic structure to host the above mechanisms in a coherent and effective way.
  • 27.
    10 CHAPTER 1. INTRODUCTION •The development of the above structure and its inclusion in the grammar of ARIEL. • The development of a run-time executive for the execution of ARIEL programs. Chapter 6 provides an example of how to make use of the recovery language approach in order to develop or to enhance dependable mechanisms with minimal code intrusion. Four cases are described: the GLIMP software, embedded into the Siemens integrated mail processor; the redundant watchdog timer designed at ENEL; an N -version programming executive developed using ARIEL as both a configuration tool and a recovery language and using the TIRAN framework. Finally, the current use of the recovery language approach at ENEL is explained. The case studies described in this chapter have been co-designed by the author. Chapter 7 describes a number of results obtained via reliability and performance analysis and via measurements during simulations. Key properties evaluated in this chapter are reliability (assessed via Markov models), performance (analysed within a formal, discrete time model), and costs (both development and maintenance costs; the limited code intrusion as well as the compact size of the related ARIEL script are used as arguments to show the higher degree of maintainability and service portability offered by the approach). All the models, analyses, and simulations in this chapter have been devised and carried out by the author of this dissertation. Chapter 8 concludes this dissertation. The conjectures drawn in the preceeding chapters are reviewed and justified in the light of the facts discussed throughout the dissertation. A number of possible evolutions and improvements are presented. In particular, a structure for the adaptable management of the fault-tolerance code is sketched. It is also suggested how, making use of that structure, dynamic management of libraries of fault-tolerance “applets” may be used to set up movable components adapting themselves to varying environmental conditions with no need to recompile the code. A detailed listing of the contributions of the author concludes this work.
  • 28.
    Chapter 2 The LaprieModel of Dependability This chapter briefly introduces the basic concepts and terminology adopted in this dissertation. The central topic herein presented is dependability, defined as the trustworthiness of a computer system such that reliance can justifiably be placed on the service it delivers. In this context, service means the behaviour of that system as perceived by its users; user means another system, e.g., a human being, or a physical device, or a computer application, interacting with the former one. The concept of dependability as described herein was first introduced by J.-C. Laprie [Lap85] as a contribution to an effort by IFIP Working Group 10.4 (Dependability and Fault-Tolerance) aiming at the establishment of a standard framework and terminology for discussing reliable and fault-tolerant systems. The cited paper and other works by Laprie are the main sources for this survey—in particular [Lap92], later revised as [Lap95] and eventually as [Lap98]. 2.1 The Dependability Tree A precise and complete characterisation of dependability is given 1. by enumerating its basic properties or attributes, 2. by explaining what phenomena constitute potential impairments to it, and 3. by reviewing the scientific disciplines and the techniques that can be adopted as means for improving dependability. Attributes, impairments, and means can be globally represented into one picture as a tree, traditionally called the dependability tree [Lap95] (see Fig. 2.1). Figure 2.1: The dependability tree 11
  • 29.
    12 CHAPTER 2. THELAPRIE MODEL OF DEPENDABILITY 2.1.1 Attributes of Dependability As already mentioned, dependability is a general concept that embraces a number of different properties. These properties correspond to different viewpoints from which the user perceives the quality of the offered service—in other words, for different users there will be in general different key properties corresponding to a positive assessment for the service: • the property that addresses the readiness for usage, that has been termed as availability, • the property that measures the continuity of service delivery, that has been termed reliability, • the property expressing the reliance on the non-occurrence of events with catastrophic consequences on the environment, known as safety, • the property that measures the reliance on the non-occurrence of unauthorised disclosure of information, i.e., confidentiality, • the property that measures the reliance on the non-occurrence of improper alterations of information, that has been called integrity, • the property that expresses the ability to undergo repairs and upgrades, that has been called maintainability. These properties qualify dependability, and therefore are known as its attributes [Lap95]. A special combination of these attributes has been termed as security and defined as the conjoint requirement for integrity, availability, and confidentiality. A more formal definition exists for most of the above properties. Section 2.1.2 formally defines those attributes and quantities that are more pertaining to the rest of this dissertation, including availability, reliability, and maintainability. 2.1.2 Formal Definitions This section defines a number of important measures of the quality of service of a system, including three of the attributes presented in 2.1.1 that are most relevant in what follows. 2.1.2.1 Reliability Reliability is defined as follows: R(t0 , t) = P {correct[t0 , t] | correct[t0 , t0 ]}, where “correct x” represents the event “the system provides its service during time interval x”, and R(t0 , t) is the conditional probability that the system will perform correctly throughout the interval [t0 , t], given that the system was performing correctly at time t0 [Joh89]. Time t0 is
  • 30.
    2.1. THE DEPENDABILITYTREE 13 usually omitted and taken as the current time. The general notation for reliability is therefore R(t). The negative counterpart of reliability, unreliability, is defined as Q(t) = 1 − R(t), and represents the conditional probability that the system will perform incorrectly during the interval [t0 , t], given that the system was performing correctly at time t0 . Unreliability is also known as the probability of failure, and quantity fail(t) = dQ(t) dt is the failure density function. If the failure rate λ of a system is assumed to be fixed, i.e., if the expected number of failures per a given period of time can be considered as constant, as it happens in the “useful life period” of electronic equipment, then it is possible to show [Joh89] that R(t) = exp−λt . The above equation is known as the exponential failure law. 2.1.2.2 Mean Time To Failure, Mean Time To Repair, and Mean Time Between Failures Mean Time to Failure (MTTF) is defined as the expected time that a system will operate before the occurrence of its first failure. More formally, it is the expected value of the time of failure, or, from probability theory, ∞ ∞ MTTF = t fail(t) dt = −∞ 0 dQ(t) dt = t dt ∞ R(t) dt. 0 If reliability obeys the exponential failure law with constant failure rate λ, then ∞ exp−λt dt = MTTF = 0 1 . λ Mean Time to Repair (MTTR) is defined as the average time required to repair a system. It is often specified by means of a repair rate µ, namely the average number of repairs that occur per time unit. If µ is a constant, MTTR is the inverse of repair rate. Mean Time Between Failures (MTBF) is the average time between any two consecutive failures of a system. This is slightly different from MTTF which concerns a system’s very first failure. The following relation holds: MTBF = MTTF + MTTR. As it is usually true that MTTR is a small fraction of MTTF, it is usually allowed to assume that MTBF ≈ MTTF.
  • 31.
    14 2.1.2.3 CHAPTER 2. THELAPRIE MODEL OF DEPENDABILITY Availability Availability is defined as a function of time representing the probability that a service is operating correctly and is available to perform its functions at the instant of time t [Joh89]. It is usually represented as function A(t). Availability represents a property at a given point in time, whereas reliability concerns time intervals. These two properties are not to be mistaken with each other— a system might exhibit a good degree of availability and yet be rather unreliable, e.g., when inoperability is pointwise or rather short. Availability can be approximated as the total time that a system has been capable of supplying its intended service divided by the elapsed time that system has been in operation, i.e., the percentage of time that the system is available to perform its expected functions. The steady-state availability can be proven [Joh89] to be Ass = 2.1.2.4 MTTF · MTTF + MTTR Maintainability Maintainability is a function of time representing the probability that a failed system will be repaired in a time less than or equal to t. It can be estimated as M (t) = 1 − exp−µt , µ being the repair rate, assumed to be constant (see Sect. 2.1.2.2). 2.1.3 Impairments to Dependability Hardware and software systems must conform to certain specifications, i.e., agreed descriptions of the system response for any initial system state and input, as well as the time interval within which the response should occur. This includes a description of the functional behaviour of the system—basically, what the system is supposed to do, or in other words, a description of its service—and possibly a description of other, non-functional requirements. Some of these requirements may concern the dependability of the service. In real life, any system is subject to internal or external events that can affect in different ways the quality of its service. These events have been partitioned into three classes by their causeeffect relationship: depending on this, an impairment can be classified as a fault, an error, or a failure. When the delivered service of a system deviates from its specification, the user of the system experiences a failure. Such failure is due to a deviation from the correct state of the system, known as an error. That deviation is due to a given cause, for instance related to the physical state of the system, or to bad system design. This cause is called a fault. A failure of a system could give rise to an event that is perceived as a fault by the user of that system, bringing to a concatenation of cause-and-effects events known as the “fundamental chain” [Lap85]: . . . fault → error → failure → fault → error → failure → . . .
  • 32.
    2.1. THE DEPENDABILITYTREE 15 (symbol “→” can be read as “brings to”). Attributes defined in Sect. 2.1.1 can be negatively affected by faults, errors, and failures. For this reason, failures, errors, and faults have been collectively termed as the “impairments” of dependability. They are characterised in the following three paragraphs. 2.1.3.1 Failures System failures occur when the system does not behave as agreed in the system specifications. This can happen in many different ways [Cri91]: omission failures occur when an agreed reply to a well defined request is missing. The request appears to be ignored; timing failures occur when the service is supplied, though outside the real-time interval agreed upon in the specifications. This may occur when the service is supplied too soon (early timing failure), or too late (late timing failure, also known as performance failure); response failures happen either when the system supplies an incorrect output (in which case the failure is said to be a value failure), or when the system executes an incorrect state transition (state transition failure); crash failure is when a system continuously exhibits omission failures until that system is restarted. In particular, a pause-crash failure occurs when the system restarts in the state it had right before its crash, while a halting-crash occurs when the system simply never restarts. When a restarted system re-initialises itself wiping out the state it had before its crash, that system is said to have experienced an amnesia crash. It may also be possible that some part of a system’s state is re-initialised while the rest is restored to its value before the occurrence of the crash—this is called a partial-amnesia crash. Defining the above failure classes allows to extend a system’s specification—that is, the set of its failure-free behaviours—with failure semantics, i.e., with the failure behaviour that system is likely to exhibit upon failures. This is important when programming strategies for recovery after failure [Cri91]. For instance, if the service supplied by a communication system may delay transmitted messages but never lose or corrupt them, then that system is said to have performance failure semantics. If that system can delay and also lose them, then it is said to have omission/performance failure semantics. In general, if the failure semantics of a system s allows it to exhibit a behaviour in the union of two failure classes F and G, then s is said to have F/G failure semantics. In other words, the “slash” symbol can be read as the union operator among sets. For any given s it is possible to count the possible failure behaviours in a failure class. Let us call b this function from the set of failure classes to integers. Then, given failure classes F and G, b(F/G) = b(F ∪ G) = b(F ) + b(G).
  • 33.
    16 CHAPTER 2. THELAPRIE MODEL OF DEPENDABILITY Figure 2.2: Failure classes. Failure semantics can be partially ordered by means of function b: given any two failure semantics F and G, then F is said to exhibit a weaker (less restrictive) failure semantics than G: F G ⇔ b(F ) > b(G). In particular F/G F . Therefore, the union of all possible failure classes represents the weakest failure semantics possible. If system s exhibits such semantics, s is said to have arbitrary failure semantics, i.e., s can exhibit any failure behaviour, without any restriction. By its definition, arbitrary failure semantics is also weaker than arbitrary value failure semantics. This latter is also known as Byzantine failure semantics [LSP82]. In the case of stateless systems, pause-crash and halting-crash behaviours are subsets of omission failure behaviours [Cri91], so omission failure semantics is in this case weaker than pause-crash and halting-crash failure semantics. As clearly stated in [Cri91], it is the responsibility of a system designer to ensure that it properly implements a specified failure semantics. For instance, in order to implement a processing service with crash failure semantics, one can use duplication with comparison: two physically independent processors executing in parallel the same sequence of instructions and comparing their results after the execution of each instruction. As soon as a disagreement occurs, the system is shut down [Pow97]. Another possibility is to use self-checking capabilities. Anyway, given any failure semantics F , it is up to the system designer to decide how to implement it, also depending on the designer’s other requirements, e.g., those concerning costs and expected performance. In general, the weaker the failure semantics, the more expansive and complex to implement it. Moreover, a weak failure semantics imply higher costs in terms of redundancy exhaustion (see Sect. 2.2) and, often, higher performance penalties. For this reason, the designer may leave the ultimate choice to the user—for instance, the designer of the Motorola C compiler for the PowerPC allows the user to choose between two different modes of compilation—the fastest mode does not guarantee that the state of the system pipeline be restored on return from interrupts [Sun96]. This translates into behaviours belonging to the partial-amnesia crash semantics. The other mode guarantees the non-occurrence of these behaviours at the price of a lower performance for the service supplied by that system—programs compiled with this mode run slower. Failures can also be characterised according to the classification in Fig. 2.2 [Lap95], corresponding to the different viewpoints of • failure domain (i.e., whether the failure manifests itself in the time or value domain), • failure perception (i.e., whether any two users perceive the failure in the same way, in which case the failure is said to be consistent, or differently, in which the failure is said to be inconsistent), • and consequences on the environment. In particular a failure is said to be benign when consequences are of the same order as the benefits provided by normal system operation,
  • 34.
    2.1. THE DEPENDABILITYTREE 17 Figure 2.3: Laprie’s fault classification scheme. while it is said catastrophic when consequences are incommensurably more relevant than the benefits of normal operation [Lap95]. Systems that provide a given failure semantics are often said to exhibit a “failure mode”. For instance, systems having arbitrary failure semantics (in both time and value domains) are called fail-uncontrolled systems, while those only affected by benign failures are said to be fail-safe systems; likewise, systems with halt-failure semantics are referred to as fail-halt systems. These terms are also used to express the behaviour a system should have when dealing with multiple failures—for instance, a “fail-op, fail-op, fail-safe” system is one such that is able to withstand two failures and then behaves as a fail-safe system [Rus94] (fail-op stands for “after failure, the system goes back to operational state”). Finally, it is worth mentioning the fail-time-bounded failure mode, introduced in [Cuy95], which assumes that all errors are detected within a predefined, bounded period after the fault has occurred. 2.1.3.2 Errors An error is the manifestation of a fault [Joh89] in terms of a deviation from accuracy or correctness of the system state. An error can be either latent, i.e., when its presence in the system has not been yet perceived, or detected, otherwise. Error latency is the length of time between the occurrence of an error and the appearance of the corresponding failure or its detection. 2.1.3.3 Faults A fault is a defect, or an imperfection, or a lack in a system’s hardware or software component. It is generically defined as the adjudged or hypothesised cause of an error. Faults can have their origin within the system boundaries (internal faults) or outside, i.e., in the environment (external faults). In particular, an internal fault is said to be active when it produces an error, and dormant (or latent) when it does not. A dormant fault becomes an active fault when it is activated by the computation process or the environment. Fault latency is defined as either the length of time between the occurrence of a fault and the appearance of the corresponding error, or the length of time between the occurrence of a fault and its removal. Faults can be classified according to five viewpoints [Lap92, Lap95, Lap98]—phenomenological cause, nature, phase of creation or occurrence, situation with respect to system boundaries, persistence. Not all combinations can give rise to a fault class—this process only defines 17 fault classes, summarised in Fig. 2.3. These classes have been further partitioned into three “groups”, known as combined fault classes. The combined fault classes that are more relevant in the rest of the dissertation are now briefly characterised: Physical faults:
  • 35.
    18 CHAPTER 2. THELAPRIE MODEL OF DEPENDABILITY • Permanent, internal, physical faults. This class concerns those faults that have their origin within hardware components and are continuously active. A typical example is given by the fault corresponding to a worn out component. • Temporary, internal, physical faults (also known as intermittent faults) [BCDGG97]. These are typically internal, physical defects that become active depending on a particular pointwise condition. • Permanent, external, physical faults. These are faults induced on the system by the physical environment. • Temporary, external, physical faults (also known as transient faults) [BCDGG97]. These are faults induced by environmental phenomena, e.g., EMI. Design faults: • Intentional, though not malicious, permanent / temporary design faults. These are basically trade-offs introduced at design time. A typical example is insufficient dimensioning (underestimations of the size of a given field in a communication protocol1 , and so forth). • Accidental, permanent, design faults (also called systematic faults, or Bohrbugs): flawed algorithms that systematically turn into the same errors in the presence of the same input conditions and initial states—for instance, an unchecked divisor that can result in a division-by-zero error. • Accidental, temporary design faults (known as Heisenbugs, for “bugs of Heisenberg”, after their elusive character): while systematic faults have an evident, deterministic behaviour, these bugs depend on subtle combinations of the system state and environment. Interaction faults: • Temporary, external, operational, human-made, accidental faults. These include operator faults, in which an operator does not correctly perform his or her role in system operation. • Temporary, external, operational, human-made, non-malicious faults: “neglect, interaction, or incorrect use problems” [Sib98]. Examples include poorly chosen passwords and bad system parameter setting. • Temporary, external, operational, human-made, malicious faults. This class includes the so-called malicious replication faults, i.e., faults that occur when replicated information in a system becomes inconsistent, either because replicates that are supposed 1 A noteworthy example is given by the bad dimensioning of IP addresses. Currently, an IP address consists of four sections separated by periods. Each section contains an 8-bit value, for a total of 32 bits per address. Normally this would allow for more than 4 billion possible IP addresses—a rather acceptable value. Unfortunately, due to a lavish method for assigning IP address space, IP addresses are rapidly running out. A new protocol, IPv6 [HD95], is going to fix this problem through larger data fields (128-bit addresses) and a more flexible allocation algorithm.
  • 36.
    2.1. THE DEPENDABILITYTREE 19 to provide identical results no longer do so, or because the aggregate of the data from the various replicates is no longer consistent with system specifications. 2.1.4 Means for Dependability Developing a dependable service, i.e., a service on which reliance can be placed justifiably, calls for the combined utilisation of a set of methods and techniques globally referred to as the “means for dependability” [Lap98]: fault prevention aims at preventing the occurrence or introduction of faults. Techniques in this category include, e.g., quality assurance and design methodologies; fault-tolerance groups methods and techniques to set up services capable of fulfilling their function in spite of faults; fault removal methods try to reduce the number, incidence, and consequences of faults. Fault removal is composed of three steps: verification, diagnosis and correction. Verification checks whether the system adheres to certain properties—the verification conditions— during the design, development, production or operation phase; if it does not, the fault(s) preventing these conditions to be fulfilled must be diagnosed, and the necessary corrections (corrective maintenance) must be made; fault forecasting investigates how to estimate the present number, the future incidence and the consequences of faults. Fault forecasting is conducted by evaluating the system behaviour with respect to fault occurrence or activation. Qualitatively, it aims at identifying, classifying and ordering failure modes or at identifying event combinations leading to undesired effects. Quantitatively, it aims at evaluating (in terms of probabilities) some of the attributes of dependability. Of the above mentioned methods, fault-tolerance represents the core tool for the techniques and tools presented in this dissertation. Therefore, it is discussed in more detail in Sect. 2.1.4.1. 2.1.4.1 Fault-Tolerance Fault-tolerance methods come into play the moment a fault enters the system boundaries. Its core objective is “preserving the delivery of expected services despite the presence of fault-caused errors within the system itself” [Avi85]. Fault-tolerance has its roots in hardware systems, where the assumption of random component failures is substantiated by the physical characteristics of the adopted devices [Rus94]. According to [AL81], fault-tolerance can be decomposed into two sub-techniques—error processing and fault treatment. Error processing aims at removing errors from the computational state (if possible, before failure occurrence). It can be based on the following primitives [Lap95]:
  • 37.
    20 CHAPTER 2. THELAPRIE MODEL OF DEPENDABILITY Error detection which aims to detect the presence in the system of latent errors before they are activated. This can be done, e.g., by means of built-in self-tests or by comparison with redundant computations [Rus94]. Error diagnosis i.e., assessing the damages caused by the detected errors or by errors propagated before detection. Error recovery i.e., the replacement of an erroneous state by an error-free state. This replacement takes one of the following forms: 1. Compensation, which means reverting the erroneous state into an error-free one exploiting information redundancy available in the erroneous state, predisposed, e.g., through the adoption of error correcting codes [Joh89]. 2. Forward recovery, which finds a new state from which the system can operate (frequently in degraded mode). This method only allows to recover from errors of which the damage can be anticipated2 —therefore, this method is system dependent [LA90]. The main tool for forward error recovery is exception handling [Cri95]. 3. Backward recovery, which substitutes an erroneous state by an error-free state prior to the error occurrence. As a consequence, the method requires that, at different points in time (known as recovery points), the current state of the system be saved in some stable storage means. If a system state saved in a recovery point is error-free, it can be used to restore the system to that state, thus wiping out the effects of transient faults. For the same reason, this technique allows also to recover from errors of which the damage cannot or has not been anticipated. The need for backward error recovery tools and techniques stems from their ability to prevent the occurrence of failures originated by transient faults, which are many times more frequent than permanent faults [Rus94]. The main tools for backward error recovery are based on checkpoint-and-rollback [Dec96] and recovery blocks [Ran75] (see Sect. 3.1.2.1). Fault treatment aims at preventing faults from being re-activated. It can be based on the following primitives [Lap95]: Fault diagnosis i.e., identifying the cause(s) of the error(s), in location and nature, i.e. determining the fault classes to which the faults belong. This is different from error diagnosis; besides, different faults can lead to the same error. Fault passivation i.e., preventing the re-activation of the fault. This step is not necessary if the error recovery step removes the fault, or if the likelihood of re-activation of the fault is low enough. 2 In general, program specifications are not complete: there exist input states for which the behaviour of the corresponding program P has been left unspecified. No forward recovery technique can be applied to deal with errors resulting from executing P on these input states. On the contrary, if a given specification is complete, that is, if each input state is covered in the set G of all the standard and exceptional specifications for P , and if P is totally correct, i.e. fully consistent with what prescribed in G, then P is said to be robust [Cri95]. In this case forward recovery can be used as an effective tool for error recovery.
  • 38.
    2.2. FAULT-TOLERANCE, REDUNDANCY,AND COMPLEXITY 21 Reconfiguration updates the structure of the system so that non-failed components fulfil the system function, possibly at a degraded level, even though some other components have failed. 2.2 Fault-Tolerance, Redundancy, and Complexity A well-known result by Shannon [SWS93] tells us that, from any unreliable channel, it is possible to set up a more reliable channel by increasing the degree of information redundancy. This means that it is possible to trade off reliability and redundancy of a channel. The author of this dissertation observes that the same can be said for a fault-tolerant system, because fault-tolerance is in general the result of some strategy effectively exploiting some form of redundancy—time, information, and/or hardware redundancy [Joh89]. This redundancy has a cost penalty attached, though. Addressing a weak failure semantics, able to span many failure behaviours, effectively translates in higher reliability—nevertheless, 1. it requires large amounts of extra resources, and therefore implies a high cost penalty, and 2. it consumes large amounts of extra resources, which translates into the rapid exhaustion of the extra resources. For instance, a well-known result by Lamport et al. [LSP82] sets the minimum level of redundancy required for tolerating Byzantine failures to a value that is greater than the one required for tolerating, e.g., value failures. Using the simplest of the algorithms described in the cited paper, a 4-modular-redundant (4-MR) system can only withstand any single Byzantine failure, while the same system may exploit its redundancy to withstand up to three crash faults—though no other kind of fault [Pow97]. In other words: After the occurrence of a crash fault, a 4-MR system with strict Byzantine failure semantics has exhausted its redundancy and is no more dependable than a nonredundant system supplying the same service, while the crash failure semantics system is able to survive to the occurrence of that and two other crash faults. On the other hand, the latter system, subject to just one Byzantine fault, would fail regardless its redundancy. Therefore, for any given level of redundancy, trading complexity of failure mode against number and type of faults tolerated may be considered as an important capability for an effective fault-tolerant structure. Dynamic adaptability to different environmental conditions3 may provide a satisfactory answer to this need, especially when the additional complexity does not burden (and jeopardise) the application. Ideally, such complexity should be part of a custom architecture and not of the application. On the contrary, the embedding in the application of complex failure semantics, covering many failure modes, implicitly promotes complexity, as it 3 The following quote by J. Horning [Hor98] captures very well how relevant may be the role of the environment with respect to achieving the required quality of service: “What is the most often overlooked risk in software engineering? That the environment will do something the designer never anticipated”.
  • 39.
    22 CHAPTER 2. THELAPRIE MODEL OF DEPENDABILITY may require the implementation of many recovery mechanisms. This complexity is detrimental to the dependability of the system, as it is in itself a significant source of design faults. Furthermore, the isolation of that complexity outside the user application may allow cost-effective verification, validation and testing. These processes may be unfeasible at application level. The author of this dissertation conjectures that a satisfactory solution to the design problem of the management of the fault-tolerance code (presented in Sect. 1.1.2) may translate in an optimal management of the failure semantics (with respect to the involved penalties). The fault-tolerance linguistic structure proposed in Chapter 4 and following ones allows to solve the above problems exploiting its adaptability (A). 2.3 Conclusions This chapter has introduced the reader to Laprie’s model of dependability describing its attributes, impairments, and means. The central topic of this dissertation, fault-tolerance, has also been briefly discussed. The complex relation between the management of fault-tolerance, of redundancy, and of complexity, has been pointed out. In particular, a link has been conjectured between attribute A and the dynamic ability to trade off the complexity of failure mode against number and type of faults being tolerated.
  • 40.
    Chapter 3 Current Approachesfor Application-Level Fault-Tolerance One of the conclusions drawn in Chapter 1 is that the system to be made fault-tolerant must include provisions for fault-tolerance also in the application layer of a computer program. In that context, the problem of which system structure to use for ALFT has been proposed. This chapter provides a critical survey of the state-of-the-art on embedding fault-tolerance means in the application layer. According to the literature, at least six classes of methods, or approaches, can be used for embedding fault-tolerance provisions in the application layer of a computer program. This chapter describes these approaches and points out positive and negative aspects of each of them with respect to the structural attributes defined in Sect. 1.1.2 and to various application domains. A non-exhaustive list of the systems and projects implementing these approaches is also given. Conclusions are drawn in Sect. 3.6, where the need for more effective approaches is recognised. Two of the above mentioned approaches derive from well-established research in software fault-tolerance—Lyu [Lyu98b, Lyu96, Lyu95] refers to them as single-version and multipleversion software fault-tolerance. They are dealt with in Sect. 3.1. A third approach, described in Sect. 3.2, is based on metaobject protocols. It is derived from the domain of object-oriented design and can also be used for embedding services other than those related to fault-tolerance. A fourth approach translates into developing new custom high-level distributed programming languages or enhancing pre-existent languages of that kind. It is described in Sect. 3.3. A structuring technique called aspect-oriented programming, is reported in Sect. 3.4. Finally, Sect. 3.5 describes an approach, based on a special recovery task monitoring the execution of the user task. 3.1 Single- and Multiple-Version Software Fault-Tolerance A key requirement for the development of fault-tolerant systems is the availability of replicated resources, in hardware or software. A fundamental method employed to attain fault-tolerance is multiple computation, i.e., N -fold (N ≥ 2) replications in three domains: time i.e., repetition of computations, 23
  • 41.
    24 CHAPTER 3. CURRENTAPPROACHES TOWARDS ALFT space i.e., the adoption of multiple hardware channels (also called “lanes”), and information i.e., the adoption of multiple versions of software. Following Avi˘ ienis [Avi85], it is possible to characterise at least some of the approaches towards z fault-tolerance by means of a notation resembling the one used to classify queueing systems models [Kle75]: nT/mH/pS, the meaning of which is “n executions, on m hardware channels, of p programs”. The non-faulttolerant system, or 1T/1H/1S, is called simplex in the cited paper. 3.1.1 Single-Version Software Fault-Tolerance Single-version software fault-tolerance (SV) is basically the embedding into the user application of a simplex system of error detection or recovery features, e.g., atomic actions [JC85], checkpoint-and-rollback [Dec96], or exception handling [Cri95]. The adoption of SV in the application layer requires the designer to concentrate in one physical location, namely, the source code of the application, both the specification of what to do in order to carry on some user computation and the strategy such that faults are tolerated when they occur. As a result, the size of the problem addressed is increased. A fortiori, this translates into increasing the size of the user application. This induces loss of transparency, maintainability, and portability while increasing development times and costs. A partial solution to this loss in portability and these higher costs is given by the development of libraries and frameworks created under strict software engineering processes. In the following, two examples of this approach are presented—the EFTOS library and the SwIFT system. Special emphasis is reserved in particular to the first system, where the author of this work provided a number of contributions. The EFTOS library. EFTOS [DDFLV97, DVB+ 97] (the acronym stands for “embedded, fault-tolerant supercomputing”) is the name of ESPRIT-IV project 21012. The aims of this project were to integrate fault-tolerance into embedded distributed high-performance applications in a flexible and effective way. The EFTOS library has been first implemented on a Parsytec CC system [Par96b], a distributed-memory MIMD supercomputer consisting of processing nodes based on PowerPC 604 microprocessors at 133MHz, dedicated high-speed links, I/O modules, and routers. As part of the project, this library has been then ported to a Microsoft Windows NT / Intel PentiumPro platform and to a TEX / DEC Alpha platform [TXT97, DEC97] in order to fulfil the requirements of the EFTOS application partners. The main characteristics of the CC system are the adoption of the thread processing model and of the message passing communication model: communicating threads exchange messages through a proprietary message passing library called EPX [Par96a]. The porting of the EFTOS library was achieved by porting EPX on the various target platforms and developing suitable adaptation layers.
  • 42.
    3.1. SINGLE- ANDMULTIPLE-VERSION SOFTWARE FAULT-TOLERANCE 25 Figure 3.1: The structure of the EFTOS library. Light gray has been used for the operating system and the user application, while dark gray layers pertain EFTOS. Through the adoption of the EFTOS library, the target embedded parallel application is plugged into a hierarchical, layered system whose structure and basic components (depicted in Fig. 3.1) are: • At the base level, a distributed net of “servers” whose main task is mimicking possibly missing (with respect to the POSIX standards) operating system functionalities, such as remote thread creation; • One level upward (detection tool layer), a set of parametrisable functions managing error detection, referred to as “Dtools”. These basic components are plugged into the embedded application to make it more dependable. EFTOS supplies a number of these Dtools, e.g., a watchdog timer thread and a trap-handling mechanism, plus an API for incorporating user-defined EFTOS-compliant tools; • At the third level (control layer), a distributed application called “DIR net” (its name stands for “detection, isolation, and recovery network”) is used to coherently combine the Dtools, to ensure consistent fault-tolerance strategies throughout the system, and to play the role of a backbone handling information to and from the fault-tolerance elements [DTDF+ 99]. The DIR net can be regarded as a fault-tolerant network of crash-failure detectors, connected to other peripheral error detectors. Each node of the DIR net is “guarded” by an <I’m Alive> thread that requires the local component to send periodically “heartbeats” (signs of life). A special component, called RINT, manages error recovery by interpreting a custom language called RL—the latter being a sort of ancestor of the language described in this thesis (see Sect. 5.3); • At the fourth level (application layer), the Dtools and the components of the DIR net are combined into dependable mechanisms i.e., methods to guarantee fault-tolerant communication [EVM+ 98], tools implementing a virtual Stable Memory [DBC+ 98], a distributed voting mechanism called “voting farm” [DF97b, DFDL98a, DFDL98c], and so forth; • The highest level (presentation layer) is given by a hypermedia distributed application based on standard World-Wide Web (WWW) [BLCGP92] technology, which monitors the structure and the state of the user application [DFDT+ 98]. This application is based on a special CGI script [Kim96], called DIR Daemon, which continuously takes its inputs from the DIR net, translates them in HTML [BLC95], and remotely controls a WWW browser [Zaw94] so that it renders these HTML data. The author of this dissertation contributed to this project designing and developing a number of basic tools, e.g., the distributed voting system, the monitoring tool, the RL language and its run-time system, that is, the task responsible for the management of error recovery [DFDL98b,
  • 43.
    26 CHAPTER 3. CURRENTAPPROACHES TOWARDS ALFT DFDL98c]. Furthermore, he took part in the design and development of the first version of the DIR net. He also designed and developed a second version of the DIR net [DF98]. The SwIFT System. SwIFT [HKBW96] stands for Software Implemented Fault-Tolerance, a system including a set of reusable software components (watchd, a general-purpose UNIX daemon watchdog timer; libft, a library of fault-tolerance methods, including single-version implementation of recovery blocks and N -version programming (see Sect. 3.1.2); libckp, i.e., a user-transparent checkpoint-and-rollback library; a file replication mechanism called REPL; and addrejuv, a special “reactive” feature of watchd [HKKF95] that allows for software rejuvenation1 . The system derives from the HATS system [HK95] developed at AT&T. Both have been successfully used and proved to be efficient and economical means to increase the level of fault-tolerance in a software system where residual faults are present and their toleration is less costly than their full elimination [Lyu98b]. A relatively small overhead is introduced in most cases [HK95]. Conclusions. Two SV systems have been described. One can observe that for pure SV systems full transparency is not reached, because the user needs anyway to manage the location and interdependency of such tools within one source code. In other words, SV requires the application developer to be an expert in fault-tolerance as well, because he / she has to integrate in the application a number of fault-tolerance provisions among those available in a set of ready-made basic tools, and has the responsibility for doing it in a coherent, effective, and efficient way. As it has been observed in Sect. 1.1.2, the resulting code is a mixture of functional code and of custom error-management code that does not always offer an acceptable degree of portability and maintainability. The functional and non-functional design concerns are not kept apart with SV, hence one can conclude that (qualitatively) SV exhibits poor separation of concerns (SC). Moreover, as the fault-tolerance provisions are offered to the user via an interface based on a general-purpose language like C or C++, very limited syntactical adequacy (SA) can be offered by SV as a system structure for ALFT. Furthermore, no support is provided for off-line and on-line configuration of the fault-tolerance provisions, therefore also adaptability (A) can be qualitatively assessed as insufficient. Note also that, even just in order to reach code portability, one relies on the portability and availability of the related libraries and products on the target platform, and that in some cases these libraries are only available in the form of object code. On the other hand, tools in these libraries and systems give the user the ability to deal with fault-tolerance “atoms” without having to worry about their actual implementation and with a good ratio of costs over improvements of the dependability attributes, sometimes introducing a relatively small overhead. Using these toolsets the designer can re-use existing, long tested, sophisticated pieces of software without having each time “to re-invent the wheel”. The EFTOS 1 Software rejuvenation [HKKF95] offers tools for periodical and graceful termination of an application with immediate restart, so that possible erroneous internal states, due to transient faults, be wiped out before they turn into a failure.
  • 44.
    3.1. SINGLE- ANDMULTIPLE-VERSION SOFTWARE FAULT-TOLERANCE 27 Figure 3.2: The recovery block model with two alternates. The execution environment is charged with the management of the recovery cache and the execution support functions (used to restore the state of the application when the acceptance test is not passed), while the user is responsible for supplying both alternates and the acceptance test (picture from [Avi95]). experience with the Siemens GLIMP application, described in Sect. 6.1, brings evidence to this statement. Finally, it is important to remark that, in principle, SV poses no restrictions on the class of applications that may be tackled with it. 3.1.2 Multiple-Version Software Fault-Tolerance This section describes multiple-version software fault-tolerance (MV), an approach which requires N (N ≥ 2) independently designed versions of software. MV systems are therefore xT/yH/N S systems. In MV, a same service or functionality is supplied by N pieces of code that have been designed and developed by different, independent software teams2 . The aim of this approach is to reduce the effects of design faults due to human mistakes committed at design time. The most used configurations are N T/1H/N S, i.e., N sequentially applicable alternate programs using the same hardware channel, and 1T/N H/N S, based on the parallel execution of the alternate programs on N , possibly diverse, hardware channels. Two major approaches exist: the first one is known as recovery block [Ran75, RX95], and is dealt with in Sect. 3.1.2.1. The second approach is the so-called N -version programming [Avi85, Avi95]. It is described in Sect. 3.1.2.2. 3.1.2.1 The Recovery Block Technique Recovery Blocks (RB) are usually implemented as N T/1H/N S systems. The technique addresses residual software design faults. It aims at providing fault-tolerant functional components which may be nested within a sequential program. Other versions of the approach, implemented as 1T/N H/N S systems, are suited for parallel or distributed programs [SGM85, RX95]. RB is similar to the hardware fault-tolerance scheme known as “stand-by sparing” and described, e.g., in [Joh89]. The scheme is summarised in Fig. 3.2: on entry to a recovery block, the current state of the system is checkpointed. A primary alternate is executed. When it ends, an acceptance test checks whether the primary alternate successfully accomplished its objectives. If not, a backward recovery scheme reverts the system state back to its original value and a secondary alternate takes over the task of the primary alternate. When the secondary alternate ends, 2 This requirement is well explained by Randell [Ran75]: “All fault-tolerance must be based on the provision of useful redundancy, both for error detection and error recovery. In software the redundancy required is not simple replication of programs but redundancy of design.” It is noteworthy to remark how, in the infamous Ariane 5 flight 501, two special components were operating in parallel, with identical hardware and software [Inq96]. The failure of that mission has been attributed—among other causes—to the nearly consecutive failures of these two components, triggered by the activation of the same design fault, hidden in the same, replicated program (see cited paper).
  • 45.
    28 CHAPTER 3. CURRENTAPPROACHES TOWARDS ALFT the acceptance test is executed again. The scheme goes on until either an alternate fulfils its tasks or all alternates are executed without success. In such a case, an error routine is executed. Recovery blocks can be nested—in this case the error routine invokes recovery in the enclosing block [RX95]. An exception triggered within an alternate is managed as a failed acceptance test. A possible syntax for recovery blocks is as follows: ensure by else by . . else by else error acceptance test primary alternate alternate 2 alternate N Note how this syntax does not explicitly show the recovery step that should be carried out transparently by a run-time executive. The effectiveness of RB rests to a great extent on the coverage of the error detection mechanisms adopted, the most crucial component of which is the acceptance test. A failure of the acceptance test is a failure of the whole RB scheme. For this reason, the acceptance test must be simple, must not introduce huge run-time overheads, must not retain data locally, and so forth. It must be regarded as the ultimate means for detecting errors, though not the exclusive one. Assertions and run-time checks, possibly supported by underlying layers, need to buttress the scheme and reduce the probability of an acceptance test failure. Another possible failure condition for the RB scheme is given by an alternate failing to terminate. This may be detected by a time-out mechanism that could be added to the RB scheme. This addition obviously further increases the complexity. Some systems supporting RB and their assessment. The SwIFT library that has been described in Sect. 3.1.1 (p. 26) implements recovery blocks in the C language as follows: #include <ftmacros.h> ... ENSURE(acceptance-test) { primary alternate; } ELSEBY { alternate 2; } ELSEBY { alternate 3; } ... ENSURE; Unfortunately this scheme does not cover any of the above mentioned requirements for enhancing the error detection coverage of the acceptance test. This would clearly require a run-time
  • 46.
    3.1. SINGLE- ANDMULTIPLE-VERSION SOFTWARE FAULT-TOLERANCE 29 Figure 3.3: The N -Version Software model when N = 3. The execution environment is charged with the management of the decision algorithm and with the execution support functions. The user is responsible for supplying the N versions. Note how the Decision Algorithm box takes care also of multiplexing its output onto the three hardware channels—also called “lanes” (picture from [Avi95]). executive that is not part of this scheme. Other solutions, based on enhancing the grammar of pre-existing programming languages like Pascal [Shr78] and Coral [ABHM85], have some impact on portability. In both cases, code intrusion is not avoided. This translates in difficulties when trying to modify or maintain the application program without interfering “much” with the recovery structure, and vice-versa, when trying to modify or maintain the recovery structure without interfering “much” with the application program. Hence one can conclude that the RB is characterised by unsatisfactory values of the structural attribute SC. Furthermore, a system structure for ALFT based exclusively on the RB scheme does not satisfy attribute SA3 . Finally, what attribute A is concerned, one can observe that RB is a rigid scheme that does not allow off-line configuration nor (a fortiori) code adaptability. On the other hand, the RB scheme has been successfully adopted throughout 25 years in many different application fields. It has been successfully validated by a number of statistical experiments and through mathematical modelling [RX95]. Its adoption as the sole fault-tolerance means, while developing complex applications, resulted in some cases [ABHM85] in a failure coverage of over 70%, with acceptable overheads in memory space and CPU time. 3.1.2.2 N-Version Programming N -Version Programming (NVP) systems are built from generic architectures based on redundancy and consensus. Such systems usually belongs to class 1T/N H/N S, less often to class N T/1H/N S. NVP is defined by its author [Avi85] as “the independent generation of N ≥ 2 functionally equivalent programs from the same initial specification.” These N programs, called versions, are developed for being executed in parallel. This system constitutes a fault-tolerant software unit that depends on a generic decision algorithm to determine a consensus or majority result from the individual outputs of two or more versions of the unit. Such a scheme (depicted in Fig. 3.3) has been developed under the fundamental conjecture that independent designs translate in random component failures—i.e., statistical independence. Such a result would guarantee that correlated failures do not translate in immediate exhaustion of the available redundancy, as it would happen, e.g., using N copies of the same version. Replicating software would also mean replicating any dormant software fault in the source version—see, e.g., the accidents with the Therac-25 linear accelerator [Lev95] or the Ariane 5 flight 502 [Inq96]. According to Avi˘ ienis, independent generation of the versions significantly z reduces the probability of correlated failures. Unfortunately a number of experiments [ECK+ 91] 3 Randell himself states that, given the ever increasing complexity of modern computing, there is still an urgent need for “richer forms of structuring for error recovery and for design diversity” [RX95].
  • 47.
    30 CHAPTER 3. CURRENTAPPROACHES TOWARDS ALFT and theoretical studies [EL85] have shown that this assumption is not always correct. The main differences between RB and NVP are: • RB (in its original form) is a sequential scheme whereas NVP allows concurrent execution; • RB requires the user to provide a fault-free, application-specific, effective acceptance test, while NVP adopts a generic consensus or majority voting algorithm that can be provided by the execution environment (EE); • RB allows different correct outputs from the alternates, while the general-purpose character of the consensus algorithm of NVP calls for a single correct output4 . The two models collapse when the acceptance test of RB is done as in NVP, i.e., when the acceptance test is consensus on the basis of the outputs of the different alternates. Conclusions. As RB, also NVP has been successfully adopted for many years in various application fields, including safety-critical airborne and spaceborne applications. The generic NVP architecture, based on redundancy and consensus, addresses parallel and distributed applications written according any programming paradigm. A generic, parametrisable architecture for realtime systems that supports straightforwardly the NVP scheme is GUARDS [PABD+ 99]. It is noteworthy to remark that the EE (also known as N -Version Executive) is a complex component that needs to manage a number of basic functions, for instance the execution of the decision algorithm, the assurance of input consistency for all versions, the inter-version communication, the version synchronisation and the enforcement of timing constraints [Avi95]. On the other hand, this complexity is not part of the application software—the N versions—that does not need to be aware of the fault-tolerance scheme. An excellent degree of transparency can be reached, thus guaranteeing a good value for attribute SC. Furthermore, as mentioned in Sect. 1.1.2, costs and times required by a thorough verification, validation, and testing of this architectural complexity may be worth pursuing, while charging them to each application component is not. What attribute SA is concerned, the same considerations provided when describing the RB scheme holds for NVP: the latter only covers one fault-tolerance scheme as well. One can conclude that NVP reaches unsatisfactory values of SA. Off-line adaptability to “worse” environments may be reached increasing the value of N — though this requires developing new versions—a costly activity for both times and costs. Furthermore, the architecture does not allow any dynamic management of the fault-tolerance provisions. Attribute A can be then assessed as being poorly addressed by NVP. 4 This weakness of NVP can be narrowed, if not solved, adopting the approach used in the so-called “voting farm” [DFDL98c, DFDL98a, DF97b], a generic voting tool designed by the author of this dissertation in the framework of his participation to the ESPRIT project “EFTOS” (see Sect. 3.1.1 at page 24): such a tool works with opaque objects that are compared by means of a user-defined function. This function returns an integer value representing a “distance” between any two objects to be voted. The user may choose between a set of predefined distance functions or may develop an application-specific distance function. Doing the latter, a distance may be endowed with the ability to assess that bitwise different objects are semantically equivalent. Of course, the user is still responsible for supplying a bug-free distance function—though is assisted in this simpler task by a number of template functions supplied with that tool.
  • 48.
    3.2. METAOBJECT PROTOCOLSAND REFLECTION 31 Portability is restricted by the portability of the EE and of each of the N versions. Maintainability actions may also be problematic, as they need to be replicated and validated N times—as well as performed according to the NVP paradigm, so not to impact negatively on statistical independence of failures. These latter considerations apply to RB as well of course. In other words, the adoption of multiple-version software fault-tolerance provisions always implies a penalty on maintainability and portability. Limited NVP support has been developed for “conventional” programming languages such as C. For instance, libft (see Sect. 3.1.1, p. 26) implements NVP as follows: #include <ftmacros.h> ... NVP VERSION{ block 1; SENDVOTE(v_pointer, v_size); } VERSION{ block 2; SENDVOTE(v_pointer, v_size); } ... ENDVERSION(timeout, v_size); if (!agreeon(v_pointer)) error_handler(); ENDNVP; Note that this particular implementation extinguishes the potential transparency that in general characterises NVP, as it requires some non-functional code to be included. This translates in an unsatisfactory value for attribute SC. Note also that the execution of each block is in this case carried out sequentially. It is important to remark how the adoption of NVP as a system structure for ALFT requires a substantial increase in development and maintenance costs. The author of the scheme claims that such costs are well payed back by the gain in trustworthiness. This is certainly true when dealing with systems possibly subjected to catastrophic failures—let us recall once more the case of the Ariane 5 flight 501 [Inq96]. Nevertheless, the risks related to the chances of rapid exhaustion of redundancy, due to a burst of correlated failures caused by a single or a few design faults, justifies and calls for the adoption of other fault-tolerance provisions within and around the NVP unit, in order to deal with the case of a failed NVP unit. 3.2 Metaobject Protocols and Reflection Some of the negative aspects pointed out while describing single and multiple version software approaches can be in some cases weakened, if not solved, by means of a generic structuring technique which allows to reach in some cases an adequate degree of flexibility, transparency, and
  • 49.
    32 CHAPTER 3. CURRENTAPPROACHES TOWARDS ALFT separation of design concerns: the adoption of metaobject protocols (MOPs) [KdRB91]. The idea is to “open” the implementation of the run-time executive of an object-oriented language like C++ or Java so that the developer can adopt and program different, custom semantics, adjusting the language to the needs of the user and to the requirements of the environment. Using MOPs, the programmer can modify the behaviour of fundamental features like methods invocation, object creation and destruction, and member access. The transparent management of spatial and temporal redundancy [TMB80] is a context where MOPs seem particularly adequate. The key concept behind MOPs is that of computational reflection, or the causal connection between a system and a meta-level description representing structural and computational aspects of that system [Mae87]. MOPs offer the metalevel programmer a representation of a system as a set of metaobjects, i.e., objects that represent and reflect properties of “real” objects, i.e., those objects that constitute the functional part of the user application. Metaobjects can for instance represent the structure of a class, or object interaction, or the code of an operation. This mapping process is called reification [Rob99]. The causality relation of MOPs could also be extended to allow for a dynamical reorganisation of the structure and the operation of a system, e.g., to perform reconfiguration and error recovery. The basic object-oriented feature of inheritance can be used to enhance the reusability of the FT mechanisms developed with this approach. Project FRIENDS. An architecture supporting this approach is the one developed in the framework of project FRIENDS [FP96, FP98]. Name FRIENDS stands for “flexible and reusable implementation environment for your next dependable system”. This project aims at implementing a number of fault-tolerance provisions (e.g., replication, group-based communication, synchronisation, voting. . . [VA97]) at meta-level. In FRIENDS a distributed application is a set of objects interacting via the proxy model, a proxy being a local intermediary between each object and any other (possibly replicated) object. FRIENDS uses the metaobject protocol provided by Open C++, a C++ preprocessor that provides control over instance creation and deletion, state access, and invocation of methods. Other ALFT architectures, exploiting the concept of metaobject protocols within custom programming languages, are reported in Sect. 3.3. Conclusions. MOPs are indeed a promising system structure for embedding different nonfunctional concerns in the application-level of a computer program. MOPs work at language level, providing means to modify the semantics of basic object-oriented language building blocks like object creation and deletion, calling and termination of class methods, and so forth. This appears to match perfectly to a proper subset of the possible fault-tolerance provisions, especially those such as transparent object redundancy, which can be straightforwardly managed with the metaobject approach. When dealing with these fault-tolerance provisions, MOPs provide a perfect separation of the design concerns, i.e., optimal SC. Some other techniques, specifically those who might be described as “the most coarse-grained ones”, such as distributed recovery blocks [KW89], appear to be less suited for being efficiently implemented via MOPs. These techniques work at distributed, i.e., macroscopic, level.
  • 50.
    3.3. ENHANCING ORDEVELOPING FAULT-TOLERANCE LANGUAGES 33 The above situation reminds the author of this dissertation of another one, regarding the “quest” for a novel computational paradigm for parallel processing which would be capable of dealing effectively with the widest class of problems, like the Von Neumann paradigm does for sequential processing, though with the highest degree of efficiency and the least amount of changes in the original (sequential) user code. In that context, the concept of computational grain came up—some techniques were inherently looking at the problem “with coarse-grained glasses,” i.e., at macroscopic level, others were considering the problem exclusively at microscopical level. One can conclude that MOPs offer an elegant system structure to embed a set of non-functional services (including fault-tolerance provisions) in an object-oriented program. It is still unclear whether this set is general enough to host, efficaciously, many forms of faulttolerance, as is remarked for instance in [RX95, LVL00]. It is therefore difficult to establish a qualitative assessment of attribute SA for MOPs. The run-time management of libraries of MOPs may be used to reach satisfactory values for attribute A. To the knowledge of the author of this dissertation, this feature is not present in any language supporting MOPs. As evident, the target application domain is the one of object-oriented applications written with languages extended with a MOP, such as Open C++. 3.3 Enhancing or Developing Fault-Tolerance Languages Another approach is given by working at language level enhancing a pre-existing programming language or developing an ad hoc distributed programming language so that it hosts specific fault-tolerance provisions. The following two sections cover these topics. 3.3.1 Enhancing Pre-existing Programming Languages Enhancing a pre-existing programming language means upgrading the grammar of a wide-spread language such as C or Pascal so that it directly supports features that can be used to enhance the dependability of its programs, e.g., recovery blocks [Shr78]. In the following, four classes of systems based on this approach are presented: Arjuna, Sina, Linda, and FT-SR. 3.3.1.1 The Arjuna Distributed Programming System Arjuna is an object-oriented system for portable distributed programming in C++ [Shr95]. It can be considered as a clever blending of useful and widespread tools, techniques, and ideas— as such, it is a good example of the evolutionary approach towards application-level software fault-tolerance. It exploits remote procedure calls [BN84] and UNIX daemons [HS87]. On each node of the system an object server connects client objects to objects supplying services. The object server also takes care of spawning objects when they are not yet running (in this case they are referred to as “passive objects”). Arjuna also exploits a “naming service”, by means of which client objects request a service “by name”. This transparency effectively supports
  • 51.
    34 CHAPTER 3. CURRENTAPPROACHES TOWARDS ALFT object migration and replication. Arjuna offers the programmer means for dealing with atomic actions (via the two-phase commit protocol) and persistent objects. Unfortunately, it requires the programmers to explicitly deal with tools to save and restore the state, to manage locks, and to declare in their applications instances of the class for managing atomic actions. As its authors state, in many respects Arjuna asks the programmer to be aware of several complexities—as such, it is prejudicial to transparency and separation of design concerns. On the other hand, its good design choices result in an effective, portable environment. 3.3.1.2 The SINA Extensions The SINA [ADT91] object-oriented language implements the so-called composition filters object model, a modular extension of the object model. In SINA, each object is equipped with a set of “filters”. Messages sent to any object are trapped by the filters of that object. These filters possibly manipulate the message before passing it to the object. SINA is a language for composing such filters—its authors refer to it as a “composition filter language”. It also supports meta-level programming through the reification of messages. The concept of composition filters allows to implement several different “behaviours” corresponding to different non-functional concerns. SINA has been designed for being attached to existing languages: its first implementation, SINA/st, was for Smalltalk. It has been also implemented for C++ [Gla95]—the extended language has been called C++/CF. A preprocessor is used to translate a C++/CF source into standard C++ code. 3.3.1.3 Fault-Tolerant Linda Systems The Linda [CG89b, CG89a] approach adopts a special model of communication, known as generative communication [Gel85]. According to this model, communication is still carried out through messages, though messages are not sent to one or more addressees, and eventually read by these latter—on the contrary, messages are included in a distributed (virtual) shared memory, called tuple space, where every Linda process has equal read/write access rights. A tuple space is some sort of a shared relational database for storing and withdrawing special data objects called tuples, sent by the Linda processes. Tuples are basically lists of objects identified by their contents, cardinality and type. Two tuples match if they have the same number of objects, if the objects are pairwise equal for what concerns their types, and if the memory cells associated to the objects are bitwise equal. A Linda process inserts, reads, and withdraws tuples via blocking or non-blocking primitives. Reads can be performed supplying a template tuple—a prototype tuple consisting of constant fields and of fields that can assume any value. A process trying to access a missing tuple via a blocking primitive enters a wait state that continues until any tuple matching its template tuple is added to the tuple space. This allows processes to synchronise. When more than one tuple matches a template, the choice of which actual tuple to address is done in a non-deterministic way. Concurrent execution of processes is supported through the concept of “live data structures”: tuples requiring the execution of one or more functions can be evaluated on different processors—in a sense, they become active, or “alive”. Once the evaluation has finished, a (no more active, or passive) output tuple is entered in the tuple space.
  • 52.
    3.3. ENHANCING ORDEVELOPING FT LANGUAGES 35 Parallelism is implicit in Linda—there is no explicit notion of network, number and location of the system processors, though Linda has been successfully employed in many different hardware architectures and many applicative domains, resulting in a powerful programming tool that sometimes achieves excellent speedups without affecting portability issues. Unfortunately the model does not cover the possibility of failures—for instance, the semantics of its primitives are not well defined in the case of a processor crash, and no fault-tolerance means are part of the model. Moreover, in its original form, Linda only offers single-op atomicity [BS95], i.e., atomic execution for only a single tuple space operation. With single-op atomicity it is not possible to solve problems arising in two common Linda programming paradigms when faults occur: both the distributed variable and the replicated-worker paradigms can fail [BS95]. As a consequence, a number of possible improvements have been investigated to support fault-tolerant parallel programming in Linda. Apart from design choices and development issues, many of them implement stability of the tuple space (via replicated state machines [Sch90] kept consistent via ordered atomic multicast [BSS91]) [BS95, XL89, PTHR93], while others aim at combining multiple tuple-space operations into atomic transactions [BS95, AS91, CD92]. Other techniques have also been used, e.g., tuple space checkpoint-and-rollback [Kam91]. The author of this dissertation also proposed an augmented Linda model for solving inconsistencies related to failures occurring in a replicated-worker environment and an algorithm for implementing a resilient replicated worker scheme for message-passing farmer-worker applications. This algorithm can masking failures affecting a proper subset of the set of workers [DFDL99]. Linda can be described as an extension that can be added to an existing programming language. The greater part of these extensions requires a preprocessor translating the extension in the host language. This is the case, e.g., for FT-Linda [BS95], PvmLinda [DFMS94], CLinda [Ber89], and MOM [AS91]. A counterexample is, e.g., the POSYBL system [Sch91], which implements Linda primitives with remote procedure calls, and requires the user to supply the ancillary information for distinguishing tuples. 3.3.1.4 FT-SR FT-SR [ST95] is basically an attempt to augment the SR [AO93] distributed programming language with mechanisms to facilitate fault-tolerance. FT-SR is based on the concept of fail-stop modules (FSM). A FSM is defined as an abstract unit of encapsulation. It consists of a number of threads that export a number of operations to other FSMs. The execution of operations is atomic. FSM can be composed so to give rise to complex FSMs. For instance it is possible to replicate a module n > 1 times and set up a complex FSM that can survive to n − 1 failures. Whenever a failure exhausts the redundancy of a FSM, be that a simple or complex FSM, a failure notification is automatically sent to a number of other FSMs so to trigger proper recovery actions. This feature explains the name of FSM: as in fail-stop processors, either the system is correct or a notification is sent and the system stops its functions. This means that the computing model of FT-SR guarantees, to some extent, that in the absence of explicit failure notification, commands can be assumed to have been processed correctly. This greatly simplifies program development because it masks the occurrence of faults, offers guarantees that no erroneous results are produced, and encourages the design of complex, possibly dynamic failure semantics (see Sect. 2.2)
  • 53.
    36 CHAPTER 3. CURRENTAPPROACHES TOWARDS ALFT based on failure notifications. Of course this strategy is fully effective only under the hypothesis of perfect failure detection coverage—an assumption that sometimes may be found to be false. Conclusions. It is worth remarking how the approach of designing fault-tolerance enhancements for a pre-existing programming language implies an explicit code intrusion: the extensions are designed purposely in order to explicitly host a number of fault-tolerance provisions within the single source code. Being explicit, this code intrusion is such that the fault-tolerance code be generally easy to locate and distinguish from the functional code of the application. Hence, attribute SC may be positively assessed for systems belonging to this category. On the contrary, the problem of hosting an adequate structure for ALFT can be complicated by the syntax constraints in the hosting language. This may prevent to incorporate a wide set of fault-tolerance provisions within the same syntactical structure. One can conclude that attribute SA does not reach satisfactory values—at least in the cases reviewed in this section. Enhancing a pre-existing language is an evolutionary approach: doing so, portability problems are weakened—especially when the extended grammar is translated into the plain grammar, e.g., via a preprocessor—and can be characterised by good execution efficiency [ABHM85, ST95]. The approach is generally applicable, though the application must be written (or rewritten) using the enhanced language. Its adaptability (attribute A) is unsatisfactory, because at run-time the fault-tolerance code is indistinguishable from the functional code. 3.3.2 Developing Novel Fault-Tolerance Programming Languages The adoption of a custom-made language especially conceived to write fault-tolerant distributed software is discussed in the rest of this subsection. 3.3.2.1 ARGUS Argus [Lis88] is a distributed object-oriented programming language and operating system. Argus was designed to support application programs like banking systems. To capture the objectoriented nature of such programs, it provides a special kind of objects, called guardians, which perform user-definable actions in response to remote requests. To solve the problems of concurrency and failures, Argus allows computations to run as atomic transactions. Argus’ target application domain is the one of transaction processing. 3.3.2.2 The Correlate Language The Correlate object-oriented language [Rob99] adopts the concept of active object, defined as an object that has control over the synchronisation of incoming requests from other objects. Objects are active in the sense that they do not process immediately their requests—they may decide to delay a request until it is accepted, i.e., until a given precondition (a guard) is met—for instance, a mailbox object may refuse a new message in its buffer until an entry becomes available in it. The precondition is a function of the state of the object and the invocation parameters—it
  • 54.
    3.3. ENHANCING ORDEVELOPING FT LANGUAGES 37 does not imply interaction with other objects and has no side effects. If a request cannot be served according to an object’s precondition, it is saved into a buffer until it becomes servable, or until the object is destroyed. Conditions like an overflow in the request buffer are not dealt with in [Rob99]. If more than a single request becomes servable by an object, the choice is made non-deterministically. Correlate uses a communication model called “pattern-based group communication”—communication goes from an “advertising object” to those objects that declare their “interest” in the advertised subject. This is similar to Linda’s model of generative communication, introduced in Sect. 3.3.1.3. Objects in Correlate are autonomous, in the sense that they may not only react to external stimuli but also give rise to autonomous operations motivated by an internal “goal”. When invoking a method, the programmer can choose to block until the method is fully executed (this is called synchronous interaction), or to execute it “in the background” (asynchronous interaction). Correlate supports MOPs. It has been effectively used to offer transparent support for transaction, replication, and checkpoint-and-rollback. The first implementation of Correlate consists of a translator to plain Java plus an execution environment, also written in Java. 3.3.2.3 Fault-Tolerance Attribute Grammars The system models for application-level software fault-tolerance encountered so far all have their basis in an imperative language. A different research trend exists, which is based on the use of functional languages. This choice translates in a program structure that allows a straightforward inclusion of fault-tolerance means, with high degrees of transparency and flexibility. Functional models that appear particularly interesting as system structures for software fault-tolerance are those based on the concept of attribute grammars [Paa95]. This paragraph briefly introduces the model known as FTAG (fault-tolerant attribute grammars) [SKS96], which offers the designer a large set of fault-tolerance mechanisms. A noteworthy aspect of FTAG is that its authors explicitly address the problem of providing a syntactical model for the widest possible set of fault-tolerance provisions and paradigms, developing coherent abstractions of those mechanisms while maintaining the linguistic integrity of the adopted notation. This means that optimising the value of attribute SA is one of the design goals of FTAG. FTAG regards a computation as a collection of pure mathematical functions known as modules. Each module has a set of input values, called inherited attributes, and of output variables, called synthesised attributes. Modules may refer to other modules. When modules do not refer any other module, they can be performed immediately. Such modules are called primitive modules. On the other hand, non-primitive modules require other modules to be performed first—as a consequence, an FTAG program is executed by decomposing a “root” module into its basic submodules and then applying recursively this decomposition process to each of the submodules. This process goes on until all primitive modules are encountered and executed. The execution graph is clearly a tree called computation tree. This scheme presents many benefits, e.g., as the order in which modules are decomposed is exclusively determined by attribute dependencies among submodules, a computation tree can be mapped onto a parallel processing means straightforwardly. The linguistic structure of FTAG allows the integration of a number of useful fault-tolerance
  • 55.
    38 CHAPTER 3. CURRENTAPPROACHES TOWARDS ALFT features that address the whole range of faults—design, physical, and interaction faults. One of this features is called redoing. Redoing replaces a portion of the computation tree with a new computation. This is useful for instance to eliminate the effects of a portion of the computation tree that has generated an incorrect result, or whose executor has crashed. It can be used to implement easily “retry blocks” and recovery blocks by adding ancillary modules that test whether the original module behaved consistently with its specification and, if not, give rise to a “redoing”, a recursive call to the original module. Another relevant feature of FTAG is its support for replication, a concept that in FTAG translates into a decomposition of a module into N identical submodules implementing the function to replicate. The scheme is known as replicated decomposition, while involved submodules are called replicas. Replicas are executed according to the usual rules of decomposition, though only one of the generated results is used as the output of the original module. Depending on the chosen fault-tolerance strategy, this output can be, e.g., the first valid output or the output of a demultiplexing function, e.g., a voter. It is worth remarking that no syntactical changes are needed, only a subtle extension of the interpretation so to allow the involved submodules to have the same set of inherited attributes and to generate a collated set of synthesised attributes. FTAG stores its attributes in a stable object base or in primary memory depending on their criticality—critical attributes can then be transparently retrieved from the stable object base after a failure. Object versioning is also used, a concept that facilitates the development of checkpointand-rollback strategies. FTAG provides a unified linguistic structure that effectively supports the development of fault-tolerant software. Conscious of the importance of supporting the widest possible set of fault-tolerance means, its authors report in the cited paper how they are investigating the inclusion of other fault-tolerance features and trying to synthesise new expressive syntactical structures for FTAG—thus further improving attribute SA. Unfortunately, the widespread adoption of this valuable tool is conditioned by the limited acceptance and spread of the functional programming paradigm outside the academia. Conclusions. The ad hoc development of a fault-tolerance programming language allows in some cases to reach optimal values for attribute SA. The explicit, controlled intrusion of faulttolerance code explicitly encourages the adoption of high-level fault-tolerance provisions and requires dependability-aware design processes, which translates in a positive assessment for attribute SC. On the contrary, with the same reasoning of Sect. 3.3.1, attribute A can be in general assessed as unsatisfactory5 . The target application domain for this approach is restricted by the characteristics of the hosting language and of its programming model. Obviously this also requires the application to be (re-)written using the hosting language. 5 In the case of FTAG, though, one could design a run-time interpreter that could dynamically “decide” the “best” values for the parameters of the fault-tolerance provisions being executed—where “best” refers to the current environmental conditions. This same idea, which is an original contribution of the author of this dissertation, is further detailed and discussed in Chapter 8, where an architecture for adaptable ALFT is also sketched.
  • 56.
    3.4. ASPECT-ORIENTED PROGRAMMINGLANGUAGES 3.4 39 Aspect-oriented Programming Languages Aspect-oriented programming [KLM+ 97] (AOP) is a programming methodology and a structuring technique that explicitly addresses, at system-wide level, the problem of the best code structure to express different, possibly conflicting design goals such as high performance, optimal memory usage, and dependability. Indeed, when coding a non-functional service within an application—for instance a systemwide error handling protocol—using either a procedural or an object-oriented programming language, one is required to decompose the original goal, in this case a certain degree of dependability, into a multiplicity of fragments scattered among a number of procedures or objects. This happens because those programming languages only provide abstraction and composition mechanisms to cleanly support the functional concerns. In other words, specific non-functional goals, such as high performance, cannot be easily captured into a single unit of functionality among those offered by a procedural or object-oriented language, and must be fragmented and intruded into the available units of functionality. As already observed, this code intrusion is detrimental to maintainability and portability of both functional and non-functional services (the latter called “aspects” in AOP terms). These aspects tend to crosscut the system’s class and module structure rather than staying, well localised, within one of these unit of functionality, e.g., a class. This increases the complexity of the resulting systems. The main idea of AOP is to use: 1. A “conventional” language (that is, a procedural, object-oriented, or functional programming language) to code the basic functionality. The resulting program is called component program. The program’s basic functional units are called components. 2. A so-called aspect-oriented language to implement given aspects by defining specific interconnections (“aspect programs” in AOP lingo) among the components in order to address various systemic concerns. 3. An aspect weaver, that takes as input both the aspect and the component programs and produces with those (“weaves”) an output program (“tangled code”) that addresses specific aspects. The weaver first generates a data flow graph from the component program. In this graph, nodes represent components, and edges represent data flowing from one component to another. Next, it executes the aspect programs. These programs edit the graph according to specific goals, collapsing nodes together and adjusting the corresponding code accordingly. Finally, a code generator takes the graph resulting from the previous step as its input and translates it into an actual software package written, e.g., for a procedural language such as C. This package is only meant to be compiled and produce the ultimate executable code fulfilling a specific aspect like, e.g., higher dependability. In a sense, AOP systematically automatises and supports the process to adapt an existing code so that it fulfils specific aspects. AOP may be defined as a software engineering methodology supporting those adaptations in such a way that they do not destroy the original design and do
  • 57.
    40 CHAPTER 3. CURRENTAPPROACHES TOWARDS ALFT not increase complexity. The original idea of AOP is a clever blending and generalisation of the ideas that are at the basis, for instance, of optimising compilers, program transformation systems, MOPs, and of literate programming [Knu84]. AspectJ is an example of aspect-oriented language [Kic00, LVL00]. Developed as a Xerox PARC project, AspectJ can be defined as an aspect-oriented extension to the Java programming language. AspectJ provides its users with the concept of a “join points”, i.e., relevant points in a program’s dynamic call graph. Join points are those that mark the code regions that can be manipulated by an aspect weaver (see above). In AspectJ, these points can be • method executions, • constructor calls, • constructor executions, • field accesses, and • exception handlers. Another extension to Java is AspectJ’s support of the Design by Contract methodology [Mey97], where contracts [Hoa69] define a set of pre-conditions, post-conditions, and invariants, that determine how to use and what to expect from a computational entity. A study has been carried out on the capability of AspectJ as an AOP language supporting exception detection and handling [LVL00]. It has been shown how AspectJ can be used to develop so-called “plug-and-play” exception handlers: libraries of exception handlers that can be plugged into many different applications. This translates into better support for managing different configurations at compile-time. This addresses one of the aspects of attribute A defined in Sect. 1.1.2. Conclusions. AOP is a recent approach to software development. AOP can in principle address any application domain and can use a procedural, functional or object-oriented programming language as component language. The isolation and coding of aspects requires extra work and expertise that may be well payed back by the capability of addressing new aspects while keeping a single unmodified and general design. For the time being it is not yet possible to tell whether AOP will spread out as a programming paradigm among academia and industry the way object-oriented programming has done since the Eighties. The many qualities of AOP are currently being quantitatively assessed, both with theoretical studies and with practical experience, and results seem encouraging. From the point of view of the dependability aspect, one can observe that AOP exhibits optimal SC (“by construction”, in a sense), and that attribute A can be in principle optimised, e.g., by means of specific run-time weaving. The adequacy at fulfilling attribute SA is indeed debatable also because, to date, no fault-tolerance aspect languages have been devised6 —which may possibly be an interesting research domain. 6 AspectJ only addresses exception error detection and handling. Remarkably enough, the authors of a recent
  • 58.
    3.5. THE RECOVERYMETA-PROGRAM 41 Figure 3.4: Control flow between the application program and RMP while executing a faulttolerance strategy based on recovery blocks. 3.5 The Recovery Meta-Program The Recovery Meta-Program (RMP) [ADG+ 90] is a mechanism that alternates the execution of two cooperating processing contexts. The concept behind its architecture can be captured by means of the idea of a debugger, or a monitor, which: • is scheduled when the application is stopped at some breakpoints, • executes some sort of a program, written in a specific language, • and finally returns the control to the application context, until the next breakpoint is encountered. Breakpoints outline portions of code relevant to specific fault-tolerance strategies—for instance, breakpoints can be used to specify alternate blocks or acceptance tests of recovery blocks (see Sect. 3.1.2.1)—while programs are implementations of those strategies, e.g., of recovery blocks or N -version programming. The main benefit of RMP is in the fact that, while breakpoints require a (minimal) intervention of the functional-concerned programmer, RMP scripts can be designed and implemented without the intervention and even the awareness of the developer. In other words, RMP guarantees a good separation of design concerns. As an example, recovery blocks are implemented, from the point of view of the functionally concerned designer, specifying alternates and acceptance tests, while the execution goes like in Fig. 3.4: • When the system encounters a breakpoint corresponding to the entrance of a recovery block, control flows to the RMP, which saves the application program environment and starts the first alternate. • The execution of the first alternate goes on until its end, marked by another breakpoint. The latter returns the control to RMP, this time in order to execute the acceptance test. • Should the test succeed, the recovery block is exited, otherwise control goes to the second alternate, and so forth. In RMP, the language to express the meta-programs is Hoare’s Communicating Sequential Processes language [Hoa78] (CSP). study on AspectJ and its support to this field conclude [LVL00] that “whether the properties of AspectJ [documented in this paper] lead to programs with fewer implementation errors and that can be changed easier, is still an open research topic that will require serious usability studies as AOP matures”.
  • 59.
    42 CHAPTER 3. CURRENTAPPROACHES TOWARDS ALFT Figure 3.5: The data in Table 3.1 are here represented as a stacked area. Conclusions. In the RMP approach, all the technicalities related to the management of the fault-tolerance provisions are coded in a separate programming context. Even the language to code the provisions may be different from the one used to express the functional aspects of the application. One can conclude that RMP is characterised by optimal SC. The design choice of using CSP to code the meta-programs influences negatively attribute SA. Choosing a pre-existent formalism clearly presents many practical advantages, though it means adopting a fixed, immutable syntactical structure to express the fault-tolerance strategies. The choice of a pre-existing general-purpose distributed programming language as CSP is therefore questionable, as it appears to be rather difficult or at least cumbersome to use it to express at least some of the fault-tolerance provisions. For instance, RMP proves to be an effective linguistic structure to express strategies such as recovery blocks and N -version programming, where the main components are coarse grain processes to be arranged into complex fault-tolerance structures. Because of the choice of a pre-existing language like CSP, RMP appears not to be the best choice for representing provisions such as, e.g., atomic actions [JC85]. This translates in very limited SA. Our conjecture is that the coexistence of two separate layers for the functional and the nonfunctional aspects could have been better exploited to reach the best of the two approaches: using a widespread programming language such as, e.g., C, for expressing the functional aspect, while devising a custom language for dealing with non-functional requirements, e.g., a language especially designed to express error recovery strategies. This design choice has been taken in the approach described in this dissertation. Satisfactory values for attribute A cannot be reached in the only implementation available of RMP [ADG+ 90], because no dynamic management of the executable code has been foreseen. The RMP approach appears to be characterised by a large overhead due to frequent context switching between the main application and the RMP [RX95]. Run-time requirements may be jeopardised by these large overheads, especially when it is difficult to establish time bounds for their extent. No other restrictions appear to be posed by RMP on the target application domain. 3.6 Conclusions Six approaches to ALFT have been described and critically reviewed, qualitatively, with respect to the structural attributes SC, SA, and A. Table 3.1 and Fig. 3.5 summarise this survey providing a comparison of the six approaches. This chapter has also remarked the positive and negative issues of the evolutionary solution—using a pre-existing language—with respect to a “revolutionary” approach—based on devising a custom made, ad hoc language. It has been conjectured how, using an approach based on two languages, one covering the functional concerns and the other covering the fault-tolerance concerns, it may be possible to address, within one efficacious linguistic structure, the widest set of fault-tolerance provisions, reaching optimal values for SA and SC.
  • 60.
    3.6. CONCLUSIONS 43 Approach SV MV (RB) MV(NVP) MOP EL DL AOP RMP SC SA A 1 1 4 5 3 3 5 5 2 1 1 3 1 5 3 2 1 1 1 3 1 1 4 1 Table 3.1: A quantitative interpretation of the qualitative assessments proposed in Chapter 3. The mapping between adjectives and numbers is as follows: “poor” and “unsatisfactory” map to 1, “very limited” is 2, “medium” and “positive” are 3, “good” is 4, and “optimal” is 5. MV has been differentiated into RB and NVP. EL stands for the approach in Sect. 3.3.1, DL is the approach in Sect. 3.3.2.
  • 61.
    44 CHAPTER 3. CURRENTAPPROACHES TOWARDS ALFT
  • 62.
    Chapter 4 The RecoveryLanguage Approach This chapter introduces a novel approach towards software engineering of dependable systems that has been called the “recovery language approach” (RεL). The elements of RεL are introduced in general terms, coupling each concept to the technical foundations buttressing it. The chapter casts the basis of a general approach in abstract terms, while a particular instance of the herein presented concepts is described in Chapter 5 as a prototypic distributed architecture supporting a fault-tolerance linguistic structure for ALFT. System, application and fault models are drawn. The approach is also reviewed with respect to the structural attributes (SC, SA and A) and to the approaches presented in Chapter 3. All the concepts presented in this chapter are original ideas of the author of this dissertation. The structure of this chapter is as follows: • Models are introduced in Sect. 4.1. • Key ideas, concepts, and technical foundations are described in Sect. 4.2. • Section 4.3 shows the workflow corresponding to using RεL. • Section 4.4 points out the specific differences between RεL and other system structures for ALFT. • Sect. 4.5 closes this chapter summarising the positive values of the structural attributes SA, ε SC , and A for R L. 4.1 System, Application and Fault Models This section introduces the system and application models that will be assumed in the rest of this dissertation. 4.1.1 System Assumptions In the following, the target system is assumed to be a distributed or parallel system. Basic components are nodes, tasks, and the network. 45
  • 63.
    46 CHAPTER 4. THERECOVERY LANGUAGE APPROACH • A node can be, e.g., a workstation in a networked cluster or a processor in a MIMD parallel computer. • Tasks are independent threads of execution running on the nodes. • The network system allows tasks on different nodes to communicate with each other. Nodes can be commercial-off-the-shelf (COTS) hardware components with no special provisions for hardware fault-tolerance. It is not mandatory to have memory management units and secondary storage devices. A general-purpose operating system (OS) is required on each node. No special purpose, distributed, or fault-tolerant OS is required. The number N of nodes is assumed to be known ahead of the run-time. Nodes are addressable by the integers in {0, . . . , N −1}. For any integer m > 0 let us call the set of integers {0, . . . , m− 1} as Im . Let us furthermore refer to the node addressed by integer i as ni , i ∈ IN . Tasks are pre-defined at compile-time: in particular for each i ∈ IN , it is known that node ni is to run ti tasks, up to a given node-specific limit. No special constraints are posed on the task scheduling policy. On each node, say node i, tasks are identified by user-defined unique local labels—integers greater than or equal to zero. Let us call Ini the set of labels for tasks to be run on node ni , i ∈ IN . The task with local label j on node i will be also referred to as ni [j]. The system obeys the timed asynchronous distributed system model [CF99]: • Tasks communicate through the network via a datagram service with omission/performance failure semantics (see Sect. 2.1.3.1). Low level software in the nodes and the network implements this service. • Services are timed: specifications prescribe not only the outputs and state transitions that should occur in response to inputs, but also the time intervals within which a client task can expect these outputs and transitions to occur. • Tasks (including those related to the OS and the network) have crash/performance failure semantics. • Tasks have access to a node-local hardware clock. If more than one node is present, clocks on different nodes have a bounded drift rate. • A “time-out” service is available at application-level: tasks can schedule the execution of events so that they occur at a given future point in time, as measured by their local clock. In particular, this model allows a straightforward modelling of system partitioning—as a consequence of sufficiently many omission or performance communication failures, correct nodes may be temporarily disconnected from the rest of the system during so-called periods of instability [CF99]. Moreover it is assumed that, at reset, tasks or nodes restart from a well-defined, initial state—partial-amnesia crashes (defined in Sect. 2.1.3.1) are not considered.
  • 64.
    4.2. KEY IDEASAND TECHNICAL FOUNDATIONS 47 A message passing library is assumed to be available, built on the datagram service. Such library offers asynchronous, non-blocking multicast primitives. As clearly explained in [CF99], the above hypotheses match well to nowadays distributed systems based on networked workstations—as such, they represent a general model with no practical restriction. 4.1.2 Application-specific Assumptions The following assumptions characterise the user application: • (When N > 1 nodes are available): the target application is distributed on the system nodes. • It is written or is to be written in a procedural language such as, e.g., C. • Inter-process communication takes place by means of the functions in the above mentioned message passing library. Higher-level communication services, if available, must be using the message passing library as well. The reason behind the third assumption is that, forcing communication through a single virtual provision, namely the functions for sending and for receiving messages, allows a straightforward implementation of provisions for task isolation. This concept is explained in more detail in Sect. 5.3.3. 4.1.3 Fault Model As suggested in the conclusion of Sect. 1.1.1.2, any effective design including dependability goals requires provisions, located at all levels, to avoid, remove, or tolerate faults. Hence, as an application-level structure, RεL is complementary to other approaches addressing fault-tolerance at system level, i.e., hardware-level and OS-level fault-tolerance. In particular, a system-level architecture such as GUARDS [PABD+ 99], that is based on redundancy and hardware and OS provisions for systematic management of consensus, appears to be particularly appropriate for being coupled with RεL which offers application-level provisions for NVP and replication (see later on). The main classes of faults addressed by RεL are those of accidental, permanent or temporary design faults, and temporary, external, physical faults. Both value and timing failures are considered. The architecture addresses one fault at a time: the system is ready to deal with new faults only after having recovered from the present one. 4.2 Key Ideas and Technical Foundations Key concepts of RεL’s design are: • Adopting a fault-tolerance toolset.
  • 65.
    48 CHAPTER 4. THERECOVERY LANGUAGE APPROACH • Separating the configuration of the toolset from the specification of the functional service. • Separating the system structure for the specification of the functional service from that for error recovery and reconfiguration. These concepts and their technical foundations are illustrated in the rest of this section. 4.2.1 Adoption of a Fault-Tolerance Toolset A requirement of RεL is the availability of a fault-tolerance toolset, to be interpreted herein as the conjoint adoption of: • A set of fault-tolerance tools addressing error detection, localisation, containment and recovery, such as the ones in SwIFT [HKBW96] or EFTOS [DDFLV97, DVB+ 97]. Faulttolerance services provided by the toolset include, e.g., watchdog timers and voting. These are called basic tools (BT) hereafter. • A “basic services library” (BSL) is assumed to be present, providing functions for: – intra-node and remote communication; – task management; – access to the local clock; – application-level assertions; – functions to reboot or shut down a node. This library is required to be available in source code so that it can be instrumented, e.g., with code to forward information to some collector (described below) transparently. Information may include, for instance, the notification of a successful task creation or any failure of this kind. If supported, MOPs may also be used to implement the library and its instrumentation. It is also suggested that the functions for sending messages work with opaque objects that reference either single tasks or groups of tasks. In the first case, the function would perform a plain “send”, while in the second case it would perform a multicast. This would increase the degree of transparency. • A distributed component serving as a sort of backbone controlling and monitoring the toolset and the user application. Let us call this application “the backbone” (BB). It is assumed that the BB has a component on each node of the system and that, through some software (and, possibly, hardware) fault-tolerance provisions, it can tolerate crash failures of up to all but one node or component. An application such as the EFTOS DIR net [DTDF+ 99] may be used for this. Notifications from the BSL and from the BTs are assumed to be collected and maintained by the BB into a data structure called “the database” (DB). The DB therefore holds data related to the current structure and state of the system, of the user application, and of the
  • 66.
    4.2. KEY IDEASAND TECHNICAL FOUNDATIONS 49 BB. A special section of the DB is devoted to keeping track of error notifications, such as, for instance, “divide-by-zero exception caught while executing task 11” sent by a trap handling tool. If possible, error detection support at hardware or kernel level may be also instrumented in order to provide the BB with similar notifications. The DB is assumed to be stored in a reliable storage device, e.g., a stable storage device, or replicated and protected against corruption or other unwanted modifications. • Following the hypothesis of the timed asynchronous distributed system model [CF99], a time-out management system is also assumed to be available. This allows an application to define time-outs, namely, to schedule an event to be generated a given amount of “clock ticks” in the future [CS95]. Let us call this component the “time-out manager” (TOM). A prototype of a RεL-compliant toolset has been developed within the ESPRIT project “TIRAN”. Section 5.2 describes its main components. 4.2.2 Configuration Support Tool The second key component of RεL is a tool to support fault-tolerance configuration, defined herein as the deployment of customised instances of fault-tolerance tools and strategies. RεL envisages a translator to help the user configure the toolset and his / her application. The translator has to support a custom configuration language especially conceived to facilitate configuration and therefore to reduce the probability of fault-tolerance design faults—the main cause of failure for fault-tolerant software systems [Lap98, Lyu98b]. As an output, the translator could issue, e.g., C or C++ header files defining configured objects and symbolic constants to refer easily to the configured objects. Recompilation of the target application is therefore required after each execution of the translator. Configuration can group a number of activities, including: • configuration of system and application entities, • configuration of the basic tools, • configuration of replicated tasks, • configuration for retry blocks, • configuration for multiple-version software fault-tolerance, The above configuration activities are now briefly described. 4.2.2.1 Configuration of System and Application Entities One of the tasks of a configuration language is to declare the key entities of the system and to define a global naming scheme in order to refer to them. Key entities are nodes, tasks, and groups of tasks.
  • 67.
    50 CHAPTER 4. THERECOVERY LANGUAGE APPROACH For each node ni , 0 ≤ i < N and for each task ni [j], 0 ≤ j < Ini , a unique, global-scope identifier must be defined by the user. Let us call this identifier the task’s unique-id. This can be done by editing a configuration script with rules of the form taskt ≡ ni [j], (4.1) which assigns unique-id t to ni [j], that is, task number j on node i. Similarly one could define groups of task with rules of the form groupg ≡ {u}, (4.2) where u is a list of comma-separated integers representing unique-ids. Such rule defines then a group named g and made of the tasks corresponding to the mentioned unique-ids. The translator would then turn a configuration script containing rules of these kinds into a header file to be compiled with the target application and, if necessary, in configuration files expected by the toolset. 4.2.2.2 Configuration of the Fault-Tolerance Tools in the Toolset Specific instances of the tools in the toolset can be statically configured by means of the translator. For instance, in the case of a watchdog timer, configuration can specify: • The unique-id of the watching task as well as that of the watched task. • The initial expected frequency of “heartbeats” to be sent from the watched task to the watchdog. • The actions to be taken when an expected heartbeat is not received in time, and so forth. Ideally, the output of the translator should be a configuration file for the BSL to associate transparently the creation of the configured instance of the watchdog to the creation of the watched task. Doing like this, the only non-functional code to be intruded in the watched task can be the function call corresponding to sending the heartbeat to the watchdog. A generic “HEARTBEAT” method, with no arguments, can be used. This can be a symbolic name properly defined in a header file written by the translator and automatically included when compiling the user application. Even when instrumenting is not possible, the watched task can start the watchdog by means of a symbolic name properly defined in the above mentioned header file. These kind of translations can be applied to most of the tools of a library such as SwIFT or EFTOS (see Sect. 3.1.1). Note how the minimal or absent code intrusion provides an optimal SC. The adoption of a custom, ad hoc language for the expression of the configuration concerns can be used to reach high values for SA and compile-time A. 4.2.2.3 Configuration of Replicated Tasks The translator and the BSL may be used to implement replicated tasks, i.e., multiple instances of the same task that perform like a more dependable entity. The goal of the translator is to
  • 68.
    4.2. KEY IDEASAND TECHNICAL FOUNDATIONS 51 mask this choice and any other fault-tolerance technicalities, including, in this specific case, replication. This can be obtained, e.g., by solving separately the following sub-problems, both at syntactical and at semantical level: 1. replication and forwarding of the input value, 2. execution support of a fault-tolerance strategy, 3. output management. Problem 1 can be solved by defining a group-of-tasks object that, once passed to the BSL function for sending messages, triggers a multicast of the same message to the whole group, as suggested in Sect. 4.2.2.1. Problem 2 can be solved in various ways—for instance, through a temporal redundancy scheme, executing the involved tasks one after the other, on the same node, or via spatial redundancy, executing tasks in parallel. Increased dependability may be obtained via a number of software techniques, implementing schemes such as active replication or primary-backup replication [GS97]. As noticed in the cited paper, each scheme has both positive and negative aspects and requires solving specific problems. All these problems are low-level design issues that can be made transparent to the user of an RεL system. Other choices and options, e.g., which type and degree of replication and which redundancy scheme to adopt, that would result in nonfunctional code intrusion, can be also made transparent to the user by means of the translator (see Sect. 4.2.2.5), hence increasing configurability. Problem 3, depending on the adopted scheme, can be as simple as sending a message (when in primary-backups mode) or could require special processing. For instance, in the case of active replication, two sub-problems would call for specific treatment: 3.1. Routing the outputs produced by the base tasks. 3.2. De-multiplexing, i.e., production of a unique output value from the values routed in subproblem 3.1. Sub-problem 3.1 can be solved, e.g., by a proper combination of pipelining and redirection, two basic programming tools that originated in UNIX environments. Other approaches may be used when the OS does not support the above tools. De-multiplexing, i.e., solution of sub-problem 3.2, can be for instance the result of a voting procedure performed among the outputs produced by the base tasks. Also in this case, the availability of a translator and an appropriate syntax rule could guarantee an almost complete separation of design concerns. The configuration of a replicated task requires the specification of: • The unique-id of a task globally representing a set of replicas. • The unique-ids of the replicas. • The replication method and its parameters. • The actions to be taken when an output is produced by the replicated task.
  • 69.
    52 CHAPTER 4. THERECOVERY LANGUAGE APPROACH • The actions to be taken when an error occurs. In the case of replicated tasks, the translator is also responsible for the set up of a proper run-time executive. The latter would then be responsible, at run-time, for the orchestration of the services required by the replicated tasks—task management, distributed voting, and so forth. Proper calls to the BSL and to instances of the basic tools may be used for this. A voting tool such as the EFTOS voting farm [DFDL98a, DFDL98c] appear to be a natural choice, as it addresses many of the required issues. It is worth noting how, also in this case, full transparency is reached: a client of a replicated task would have no way to tell whether its server be simple or replicated—possibly apart from some performance penalty and a higher quality of service. This translates into optimal SC. The same applies to SA and A for the reasons mentioned in Sect. 4.2.2.2. 4.2.2.4 Configuration for Retry Blocks Transparent support for redoing (see Sect. 3.3.2.3), another important fault-tolerance provisions, can be provided via “retry blocks”. Again, a proper run-time executive is to be produced by the translator. The problems to be solved at this level include 1. reversibility of a failed task and 2. input replication. The first problem can be solved by implementing some “recovery cache” (as in the RB technique; see Sect. 3.1.2.2), that is, a mechanism to checkpoint the state of the calling task before entering the retry block and to roll it back to its original value, in case the acceptance test fails. This may be done transparently or with the intervention of the user. In the latter case, one restricts the size of the recovery cache and reduces the corresponding overheads, at the same time increasing the code intrusion. The second problem could be solved via an “input cache”, i.e., a mechanism that: • Intercepts the original input message. • Stores the original message into some stable means. • And forwards the saved original message to each new retry instance. Transparent adoption of an input cache can also be realized, e.g., by means of pipelining and redirection (when the OS supports these). The configuration of a retry block requires the specification of: • The unique-id of a task to be retried in case of errors. • An acceptance test, in the form of the name of a function returning a Boolean value or of a task that, upon termination, returns a Boolean value1 . 1 For instance, via the exit function call from the C standard libraries.
  • 70.
    4.2. KEY IDEASAND TECHNICAL FOUNDATIONS 53 • A threshold r representing the maximum number of retries. • The actions to be taken when the base task fails for r times in a row. 4.2.2.5 Configuration for Multiple-Version Software Fault-Tolerance Compile-time support towards multiple-version software fault-tolerance can be provided by the translator through a syntax and techniques similar to those described for task replication. The configuration of a provision for MV requires the specification of: • The unique-id of a task representing the provision. • The unique-id’s of the tasks running the versions. • A set of thresholds representing time-outs on the execution of the version tasks2 . • The name of the user-specified function to be executed by each version task. • A method to de-multiplex the multiple outputs produced by the versions into a single output value. • Possible arguments to the de-multiplexing method. • The unique-id of a task to be notified each time an execution cycle is successfully completed. • The unique-id of a task to be notified each time an execution cycle fails. Support towards consensus recovery blocks [SGM85] may be provided in a similar way. Acceptance tests should be specified as described in Sect. 4.2.2.4. 4.2.2.6 Example Scenario and Conclusions A possible compile-time and run-time scenario is now described for the case of the configuration of multiple-version software fault-tolerance. This is done in order to provide the reader with a more concrete view of the kind of support supplied by a configuration language. It is assumed that the OS supports pipelining and stream redirection. It is also assumed that, by agreement, the user tasks that are going to be used as NVP versions forward a single output value onto the standard output stream. Finally, user tasks are assumed to be side effect-free. Once fed with a configuration script, the translator writes a number of source files for the tasks corresponding to the employed versions. Each of these source files, set up from some template file, specify how to: • Set up a configured instance of a distributed voting tool (for instance, the EFTOS voting farm). 2 Note how, according to the hypothesis of adherence to the timed-asynchronous distributed system model, such thresholds are known because all services are timed.
  • 71.
    54 CHAPTER 4. THERECOVERY LANGUAGE APPROACH • Redirect standard output streams. • Execute one of the version tasks. During the execution, when a client needs to access a service supplied by the provisions, it simply sends a request message to the corresponding task. The client does not need to know that the latter is actually an “NVP task”, that is, a group. Through the BSL, this sending turns into a multicast to the version tasks. These tasks, which in the meanwhile have transparently set up a distributing voting tool, • get their input, • compute some user-specified function, • produce an output, • and (by the above agreement) write that output into their standard output stream. This output, which was already redirected through a piped stream to the template task, is fed into the voting system. The latter eventually produces an output that, in case of success, is sent to some output task with the notification of successful completion of a processing cycle. Note that the client task of such an “NVP task” is completely unaware of the context in which it is running, with full transparency and separation of design concern. One can conclude that the adoption of a configuration strategy like the one just sketched can lead to an optimal SC. The variety of fault-tolerance provisions that can be supported by configuration and the adoption of a linguistic environment separated from the functional application layer can be exploited by programming language designers in order to attain optimal values for SA and A as well. 4.2.3 Recovery Languages Two of the three key concepts of RεL have been described, namely the adoption of a faulttolerance toolset and that of a configuration language. This section now introduces the third component of RεL. This component supports two application layers, namely: • the traditional user application layer, i.e., the one devoted to the fulfilment of the functional requirements and to the specification of an intended user service, supported by the run-time modules of conventional programming languages such as, e.g., C; and • an ancillary application layer, specifically devoted to error processing and fault identification, to be switched in either asynchronously, when errors are detected in the system, or when the user synchronously signals particular run-time conditions, such as a failed assertion, or when the control flow runs into user-defined breakpoints. Let us call service language the language constituting the front layer and recovery language the one related to error processing.
  • 72.
    4.2. KEY IDEASAND TECHNICAL FOUNDATIONS 55 Note how a recovery language can be specified in a separate script. The latter can then be translated into pseudo-code to be interpreted at run-time, or, e.g., into plain C to be compiled with the user application. In the first case, the functional code and the recovery code are fully separated, also at run-time, which can be exploited to reach optimal A as explained in Chapter 8. The second case eliminates the overhead of interpreting the pseudo-code. The same translator used for fault-tolerance configuration may be used to generate the pseudo-code or the C source code. The general strategy is as follows: • During the lifetime of the application, in the absence of errors, the front layer controls the progress of the service supply while the BB collects and maintains in the DB the data concerning the state of each component of the application, the state of each node of the system, the state and progress of public and private resources, and so forth. • As soon as an error is detected by a BT, such as a watchdog timer, the latter transparently forwards a notification of this event to the BB, which awakes the ancillary layer by enabling a module to interpret or execute the recovery code. Let us call this module RINT, for recovery interpreter. A possible syntactical structure for the recovery language is that of a list of guarded actions, i.e., statements in the form g : a, where g is a guard, i.e., a Boolean expression on the contents of the DB, and a is one or more actions (to be specified further on). Hence, adequate paradigms for the recovery language could be that of procedural or logic programming languages. The following two paragraphs describe guards and actions in more detail. 4.2.3.1 Guards Guards represent conditions that require recovery. As just said, they are Boolean expressions made of basic queries called atoms. Possible atoms may express conditions such as: • task t has been detected as faulty; • task t has been detected as faulty by error detection tool d; • for m times in a row, task t has been detected as faulty; • a time-out concerning task t has expired; • an N -version task has signalled that no full consensus has been reached, or in more detail: – for m times in a row, the same version, say task t , has been found in minority with respect to the other versions; – for m times in a row, version t did not produce any output within its deadline;
  • 73.
    56 CHAPTER 4. THERECOVERY LANGUAGE APPROACH – and so forth. • node n is down, or, in more detail: – node n has crashed; – node n is unreachable; – no sign of life from node n in the last s seconds, as measured by the local clock; – and so forth. • task t could not be restarted; • some of the tasks in group g are faulty. and so forth. Most of the atoms in a Boolean clause will require a DB query or proper actions on DB fields—for instance, conditions like “task t is affected by a transient fault” require the adoption, within the DB, of a thresholding statistical technique such as α-count [PABD+ 99, BCDGG97], which is capable of distinguishing between transient and permanent/intermittent faults. In particular, α-count (described in Sect. 5.2.4.2) can be straightforwardly “wired” into the DB management system within the BB, because that mechanism is based on adjusting some counters according to the contents in a stream of error messages forwarded by a set of error detectors. 4.2.3.2 Actions Actions are local or remote commands to be executed when their guard is evaluated as true. Actions can specify, for instance, recovery or reconfiguration services. A special case of action can be also another guarded action—this allows to have nested guarded actions that can be represented as a tree. The execution of an inner guard is, again, its evaluation. When a parent guard is evaluated as false, all its actions are skipped, including its child guards. Actions can include, for instance: • switching tasks in and out of a fault-tolerance structure such as, e.g., an “NVP task” (see Sect. 4.2.2.6); • synchronising groups of tasks; • isolating3 groups of tasks; • instructions to roll the execution of a task or a group of tasks back to a previously saved checkpoint, 3 “Virtual” isolation of a task can be obtained, when the task obeys the third assumption of Sect. 4.1.2, “disactivating” the corresponding BSL communication descriptors.
  • 74.
    4.3. WORKFLOW 57 Figure 4.1:A workflow diagram for RεL. Labels refer to usage steps and are described in Sect. 4.3. and so forth. Actions have a system-wide scope and are executed on any processing node of the system where a non-faulty component of the BB is running. They may include commands to send control signals to specific components of the BB or to user tasks. Basic tools such as a distributed voting tool like the EFTOS voting farm [DFDL98c, DFDL98a] can be instructed so that they respond to that signal supplying transparent support towards graceful degradation, task switching, and task migration, as described for instance in [DFDL98c]. Furthermore, the ability to distinguish between transient and permanent/intermittent faults can be exploited, in order to avoid unnecessary reconfigurations or other costly or redundancy-consuming actions, attaching different strategies to these two cases. 4.3 Workflow This section describes the workflow corresponding to the adoption of the RεL approach. Figure 4.1 summarises the workflow. The following basic steps have been foreseen: • In the first steps (labels 1 and 2 in the cited figure), the designer describes the key application and system entities, such as tasks, groups of tasks, and nodes. The main tool for this phase is the configuration language. • Next (step 3), the designer configures the basic tools and the fault-tolerance provisions he / she has decided to use. The configuration language is used for this. The output of steps 1–3 is the configuration code. • Next (step 4), the designer defines what conditions need to be caught, and what actions should follow each caught condition. The resulting list is coded as a number of guarded action via a recovery language. • The configuration code and the recovery code are then converted via the translator into a set of C header files, C fragments, and system-specific configuration files (steps 5 and 6). These files represent: configured instances of the basic tools, of the system and of the application; initialisation files for the communication management functions; user preferences for the backbone; and the recovery pseudo-code. • On steps 7–9, the application source code and the configured BT instances are compiled in order to produce the executable code of the application. • Next, the backbone is compiled on steps 10–12. • Finally, on step 13, the communication management services of the BSL are configured in order to allow the proper management of multicasting and other communication services.
  • 75.
    58 CHAPTER 4. THERECOVERY LANGUAGE APPROACH 4.4 Relation with Other ALFT Approaches and Specific Limitations This section draws a qualitative comparison between RεL and the system structures for ALFT described in Chapter 3. The structural attributes SC, SA and A are the key properties being assessed and compared. Finally, the specific limitations of RεL are summarised. First, one can observe that the concept of recovery languages shows some similarities with respect to the recovery meta-program approach (RMP, defined in Sect. 3.5) and to aspect-oriented programming languages (AOP, see Sect. 3.4). A recovery language is indeed a language to express application-level error recovery concerns, as it is for the RMP language and as it can be for custom aspect languages. Nevertheless, a number of differences can be pointed out: • RMP is invoked synchronously, under the control of the user, who is responsible for placing specific “breakpoints” in his/her application. Control is transferred to the metaprogram as soon as a breakpoint is encountered. On the contrary, using the RεL, a recovery language executor (RINT) is awoken, asynchronously, each time a new error is entered in the DB, or synchronously, when the user signals some condition. Less code intrusion is required by RεL, which thus reaches better SC. • Furthermore, a recovery language is incorporated in a wider RεL scheme that includes an off-line configuration tool—the translator, by means of which the user can specify in a separate programming environment issues such as, for instance, replication. • The adoption of a special grammar for the recovery language allows the fault-tolerance designer to experiment with the system structure for software fault-tolerance in order to increase the ability of the language at expressing a wide variety of fault-tolerance provisions in an adequate way. This allows, e.g., to set up a refinement process that can be used to adjust incrementally the syntax of a recovery language. On the contrary, RMP opted for a pre-existing, standard language (CSP). One can conclude that RεL may be better than RMP with respect to attribute SA. • To date, RMP is only available on a prototypic system [ADG+ 90]. On the other hand, a RεL prototypic architecture has been developed on a number of hardware platforms (see Sect. 5.1). Furthermore, with respect to AOP, one can first observe that: • Both approaches reach optimal separation of the design concerns (attribute SC). • Very limited research has been conducted so far on the design of fault-tolerance aspect languages—as far as the author of this dissertation could find in the literature—and on the adequacy of AOP as a syntactical structure to host efficaciously a set of fault-tolerance provisions. The many fault-tolerance provisions supported by the configuration language and a proper syntax for the recovery language can guarantee adequate degrees of SA for the RεL.
  • 76.
    4.4. RELATION WITHOTHER ALFT APPROACHES AND SPECIFIC LIMITATIONS 59 • Designing the aspect programs, and in particular those related to fault-tolerance, may be more complex than writing a set of guarded actions as required by RεL. The same may be true when considering verification issues: the logic structure of guarded actions may allow the automatic translation of a recovery language program into the form of a set of logic clauses with whom a verification tool may be fed. • The separation between the executable code addressing fault-tolerance and the one addressing the functional objectives can be exploited to reach optimal A with RεL (see Chapter 8). A similar result can be reached also with AOP by executing the weaving process at run-time. Note how this calls for the interpretation of the whole resulting “tangled” program, and leads to some performance penalty that only regards error recovery in RεL. Secondly, it is worth observing how some of the ALFT approaches, such as SV, MV, and MOPs, are not complementary with respect to RεL; on the contrary, as it has been shown for the configuration language, most of the SV and MV provisions can be supported and hosted by RεL. Furthermore, the adoption within a RεL-based architecture of fault-tolerance provisions based on MOPs would result in a straightforward improvement of RεL which would further increase its degrees of SA and SC. One can conclude that, using RεL, the user can take advantage of a wider set of provisions, and can express error recovery strategies into one coherent syntactical structure, where “coarse-grained” techniques such as NVP are used next to “fine-grained” techniques, such as those based on transparent object redundancy. This way the user is set free to choose the provisions which match better with the problems to be addressed. Finally, one can note that the language-based approaches differ considerably from RεL. Despite their many positive characteristics, their very axioms—using a custom syntax for both the functional and the fault-tolerance concerns—may restrict significantly their usability. The lack of standards is further detrimental to their diffusion. On the contrary, the choice to support a standard language for the functional aspects and an ad-hoc syntactical structure for the fault-tolerance aspects allows to reach optimal SA with no impact on the usability. 4.4.1 Limitations of RεL As it is remarked in Chapter 6, a complete and detailed evaluation of any ALFT approach requires strong usability studies in order to assess its effectiveness as a structuring technique for hosting the fault-tolerance aspects into the application-layer of a computer program [LVL00, RX95]. In this context, relevant properties other than the structural attributes SC, SA and A play an important role. Among them, the performance penalties in terms of time and memory size may be crucial in order to determine whether a RεL architecture may be hosted, for instance, on a given streamlined embedded system. At the moment, some steps have been conducted towards a process of overall evaluation (see Chapter 6 and Chapter 7). Promising results have been observed for the single prototypic RεL architecture that is available to date (see Chapter 5), though no complete assessment of RεL is available yet, mainly because of its novelty. Even from the so far limited experience, a few facts can be observed, which can be used to clarify the usability domain of RεL:
  • 77.
    60 CHAPTER 4. THERECOVERY LANGUAGE APPROACH • The RεL does imply a performance and memory overhead. A rough idea of the magnitude of these figures can come from the penalties of a prototypic RεL system reported in Sect. 6.1.5. • The system is assumed to be “static”, in the sense that it must be known completely at compile-time. This means that, to date, the system cannot grow dynamically beyond the boundaries that have been set at compile-time. This assumption may match well with some parallel or distributed embedded system but does not allow the adoption of unlimited distributed systems, such as Internet-based wide-area metacomputing systems [Buy99]. • Specific support for checkpoint-and-rollback has been designed but not implemented in the current prototypic architecture described in next chapter. This means that the current implementation of RεL requires external support to checkpoint-and-rollback. Coupling the current structure of RεL with the system described in [Dec96] is a straightforward way to solve this limitation. • The current implementation of RεL supports spare task management and a fault-identification mechanism. The adoption of these features does impact on the real-time behaviour of the system. This may turn into the unsuitability to fulfilling hard real-time constraints. • The crash/performance failure semantics assumption may require specific support. It is worth remarking how some of these limitations pertain to specific implementation aspects, and that the overheads measured so far derive from a prototypic, non-optimised implementation. 4.5 Conclusions A novel approach to ALFT has been described. The approach provides its users with a single linguistic structure to express application-level error recovery concerns and to configure a number of fault-tolerance provisions outside the functional application layer. The latter can be provided by any procedural language. The RεL approach addresses dependability goals for distributed or parallel applications written in any procedural language. Its target hardware platforms include distributed and parallel computers consisting of a set of processing nodes known at compile time. Within this application and system domain, the novel approach can be qualitatively assessed as reaching optimal values of the structural attributes. In particular, with respect to the ALFT approaches reviewed in Chapter 3: • Error recovery is expressed in a separate programming context. • The executable code is separable—that is, at run-time, the portion of the executable code devoted to the fault-tolerance aspects is clearly distinct from the functional code.
  • 78.
    4.5. CONCLUSIONS 61 Approach SV MV (RB) MV(NVP) MOP EL DL AOP RMP RεL SC SA A 1 1 4 5 3 3 5 5 5 2 1 1 3 1 5 3 2 5 1 1 1 3 1 1 4 1 5 Table 4.1: Comparison between RεL and the approaches proposed in Chapter 3 and summarised in Table 3.1. Figure 4.2: The data in Table 4.1 are here represented as a stacked area. • A large number of well-known fault-tolerance strategies are supported in a straightforward way. • The RεL addresses a wide class of applications: that of distributed applications, with nonstrict real-time requirements, written in a procedural language, to be executed on distributed or parallel computers consisting of a set of processing nodes known at compile time. • It reaches both the benefits of the evolutionary approaches, which base themselves on standards, and those of “revolutionary” approaches, exploiting ad-hoc, non-standard solutions. • It can host other provisions and approaches. • As shown in Sect. 6.1, in same cases RεL can be adopted with minimal programming effort and minimal adaptation of a pre-existing, non fault-tolerant application. Table 4.1 and Fig. 4.2 extend respectively Table 3.1 and Fig. 3.5 with the value of the structural attributes for RεL. Next chapter describes a prototype architecture based on the RεL approach.
  • 79.
    62 CHAPTER 4. THERECOVERY LANGUAGE APPROACH
  • 80.
    Chapter 5 A DistributedArchitecture Based on the Recovery Language Approach This chapter describes a prototypic architecture based on RεL that has been designed in the context of the European ESPRIT project TIRAN. The structure of the chapter is as follows: first, project TIRAN is described in Sect. 5.1. The main components of the TIRAN architecture are covered in Sect. 5.2. Section 5.3 describes the TIRAN configuration and recovery language. Section 5.4 closes the chapter and draws a few conclusions. Throughout the chapter, the contributions of the author of this dissertation are pointed out. 5.1 The ESPRIT Project TIRAN TIRAN is the name of the European ESPRIT project 28620. Its name stands for “tailorable faulttolerance frameworks for embedded applications” [BDFD+ 99]. The main objective of TIRAN is to develop a software framework1 that provides fault-tolerant capabilities to automation systems. Application-level support to fault-tolerance is provided by means of a RεL architecture, which is described in the rest of this chapter. To date, version 2 of the framework has been issued and the final version is due by the end of the project (October 2000). The framework provides a library of software fault-tolerance provisions that are parametric and support an easy configuration process. Using the framework, application developers are allowed to select, configure and integrate provisions for fault masking, error detection, isolation and recovery among those offered by the library. Goal of the project is to provide a tool that significantly reduces the development times and costs of a new dependable system. The target market segment concerns non-safety-critical2 distributed real-time embedded systems [BDFD+ 00]. 1 To be intended herein as a set of software libraries, distributed components, and formal techniques. Safety-critical systems, i.e., computer, electronic or electromechanical systems whose failure may cause injury or death to human beings, such as an aircraft or nuclear power station control system [FOL00], are not covered within TIRAN. This allows the crash failure semantics assumption (see Sect. 4.1.2) to be satisfied with less strict coverage, which translates into lower development costs for the framework. 2 63
  • 81.
    64 CHAPTER 5. ADISTRIBUTED ARCHITECTURE BASED ON RεL TIRAN explicitly adopts formal techniques to support requirement specification and predictive evaluation. This, together with the intensive testing on pilot applications, is exploited in order to: • Guarantee the correctness of the framework. • Quantify the fulfilment of real-time, dependability and cost requirements. • Provide guidelines to the configuration process of the users. The project partners are: • The ACCA Division of the ESAT Department of the University of Leuven. • The Computer Science department of the University of Turin (UniTo, Italy). • The Belgian company Eonic Systems (supplier of high performance, application-specific light-weight RTOS for DSP processors and embedded ASIC cores). • The Italian company TXT Ingegneria Informatica (provider of systems and services in many fields of real-time automation). • CESI, a research centre of ENEL (the main electricity supplier in Italy, the third largest world-wide). • Siemens (the leading German company in the field of electrical engineering and electronics, one of the largest world-wide). The partners are globally referred to as “the consortium”. Within the consortium, ACCA provided expertise in fault-tolerance design and developed the εL infrastructure; Siemens and CESI provided two industrial pilot applications; UniTo develR oped specific Petri net models for the validation and the verification of the framework and to facilitate the user in the process of validating its overall application design; Eonic Systems provided expertise in hard real-time systems design and developed some of the TIRAN BTs; TXT managed the design of the TIRAN case studies, co-designed and developed the TIRAN BSL and most of the TIRAN BTs. Furthermore, TXT, Siemens, and Eonic Systems ported the original BSL, developed for Windows NT, to a number of hardware and operating system combinations— which are described in what follows. The project management was carried out by CESI, which also authored a fault-tolerance software methodology [DB00] spanning the whole software lifecycle, from requirement specification up to product development. Most of this framework has been designed for being platform independent. A single version of the framework has been written in the C programming language making use of a BSL designed by the consortium and initially developed by TXT for the development platform (Windows NT). Within TIRAN, a number of target platforms and systems compliant to the model sketched in Sect. 4.1 have been selected. Porting TIRAN to these platforms is mainly obtained through the porting of the BSL. The project’s target platforms include:
  • 82.
    5.1. THE ESPRITPROJECT TIRAN 65 • A set of Mosaic0203 boards running the Virtuoso microkernel [Sys98, Mos98]. • A set of VME boards based on PowerPC processors and running the VxWorks operating system [Win99]. • A set of DEC Alpha boards running the TEX kernel. • Clusters of Windows-CE personal computers (PCs). The final version of the TIRAN framework, to run on all the above systems, is demonstrated in November 2000 at the final TIRAN review meeting and at the TIRAN workshop [Thi00]. Some elements of the framework are also available on Parsytec CC and Parsytec Xplorer systems based on the PowerPC processor and the EPX kernels [Par96a, Par96b] and on a proprietary hardware board based on the DEC Alpha chip and running the TEX kernel [DEC97, TXT97]. The project results, driven by industrial users’ requirements and market demand, will be integrated into the Virtuoso RTOS at Eonic Systems and are being tested and adopted by ENEL and SIEMENS within their application fields. The main components of the TIRAN framework are: 1. The TIRAN toolset, the components of which are discussed in Sect. 5.2. 2. The TIRAN configuration and recovery language ARIEL, described in Sect. 5.3. In particular: • Its translator is dealt with in Sect. 5.3.3.1. • The run-time executive of ARIEL, which is sketched in Sect. 5.3.3.2. TIRAN builds on top of the ESPRIT project EFTOS that has been described in Sect. 3.1.1. In particular, the author of this dissertation has conceived, designed and developed a number of components while taking part in these two projects within the ACCA Division. They include: • The TIRAN BB, including its fault-tolerance distributed algorithm AMS [DFDL00a] (see Sect. 5.2.4.1) and the DB management system. • The ARIEL configuration and recovery language [DFDL98b, DDFB01]. • The ARIEL translator, art. • The RINT module. • The TOM module [DFDL00b]. 3 Mosaic020 boards have been developed in the framework of the ESPRIT project Dipsap II [Dip97] by DASA/DSS and Eonic Systems. They are based on the Analog Devices ADSP-21020 DSP and the SMCS communication chip. The SMCS chip—co-designed by the ACCA Division —complies with the IEEE 1355 standard [IEE95] and has hardware support for detecting transmission and connection errors and for higher level system protocols such as reset-at-runtime.
  • 83.
    66 CHAPTER 5. ADISTRIBUTED ARCHITECTURE BASED ON RεL Figure 5.1: A representation of the TIRAN elements. The central, whiter layers constitute the TIRAN framework. This same structure is replicated on each processing node of the system. • The MON module, that is, a monitoring tool based on WWW technology [DFDT+ 98]. He also wrote and adapted the EFTOS voting farm [DFDL98c] in order to function as a distributed voting system in the TIRAN framework. Figure 5.1 draws the TIRAN architecture and positions its main components into it. Two types of edges are used in the picture: • The thinner, directed edge represents relation “<Sends>”: if such an edge goes from entity a to entity b then it means that a sends a data message to b or requests a service provided by b through a control message or a method invocation. • The thicker edge is only used between the RINT and ARIEL entities and means that the former implements the latter through the process of interpreting the r-codes (see Sect. 5.3.3.2). The central, whiter layers represent the TIRAN framework. In particular: • The level 0 hosts the TIRAN BSL, which gives system-independent access to the services provided by the underlying run-time system (see Sect. 4.2.1). The user application, the BTs, the BB, the TOM, and the dependable mechanisms (DMs, see Sect. 5.2.3), all make use of the BSL, e.g., to create tasks or to send messages through a mailbox. • Level 1 services are provided by the BTs for error detection and fault masking (level 1.1) and by those for error isolation, recovery and reconfiguration (level 1.2). Both services are supplied by node-local provisions. Section 5.2.1 describes in more detail the BTs. The edge from BT to BB represents the sending of error detection or diagnostic messages. The edge from BB to BT represents control messages, such as, for instance, a request to modify a parameter of a watchdog, or a request to reboot the local node (see Fig. 5.7). • Level 2 hosts the TIRAN BB, including the TOM component, the DB management functions, and the recovery interpreter, RINT. In Fig. 5.1, the thicker edge connecting RINT to ARIEL means that RINT actually implements (executes) the ARIEL programs. Note the control and data messages that flow from BB to TOM, DB, and RINT. RINT also sends control messages to the isolation and recovery BTs. Data messages flow also from BB to the monitoring tool. • Dependable mechanisms, i.e., high-level, distributed fault-tolerance tools exploiting the services of the BB and of the BTs, are located at level 3. These tools include the distributed voting tool, the distributed synchronisation tool, the stable memory tool, and the distributed memory tool, described in Sect. 5.2.3. DMs receive notifications from RINT in order to execute reconfigurations such as introducing a spare task to take over the role of a failed task (see Table 5.4).
  • 84.
    5.2. SOME COMPONENTSOF THE TIRAN FRAMEWORK 67 Figure 5.2: The main components of the RεL architecture developed in TIRAN are located within the workflow diagram of Fig. 4.1. A so-called “SocketServer” has been also depicted, i.e., a BSL component managing message transmission and dispatching. The layers around the TIRAN framework in Fig. 5.1 represent (from the layer at the bottom and proceeding clockwise): • The run-time system. • A provision to inject software faults at all levels of the framework and in the run-time system. • The monitoring tool, for hypermedia rendering of the current state of the system within a WWW browser windows. • The functional application layer and the recovery language application layer (the latter is represented as the box labelled ARIEL). Figure 5.2 locates the key elements of the TIRAN architecture within the workflow diagram in Fig. 4.1. The following sections describe these components in detail. 5.2 Some Components of the TIRAN Framework This section describes some key components of the TIRAN framework, namely: • The TIRAN toolset, i.e., the BTs, the BSL, the BB, and the TOM service. • A level-3 mechanism, i.e., an application-level provision for distributed voting. 5.2.1 The TIRAN Basic Tools The TIRAN BTs represent a layer of node-local services for error detection, fault masking, error recovery, and isolation. The TIRAN BTs include: 1. A watchdog timer. 2. A node-local voting system. 3. An input replicator, to be used with the voting system. 4. An output collector, to be used with the voting system. 5. A tool responsible for node shutdowns.
  • 85.
    CHAPTER 5. ADISTRIBUTED ARCHITECTURE BASED ON RεL 68 6. A tool responsible for node reboots. 7. A tool responsible for isolating a task. Some of the BTs (such as the level 1.1 BTs with numbers 1–4) are application-level software tools, others (for instance, the level-1.2 BTs number 5–7) provide hooks to lower-level services. Most of these tools have been designed and developed by Eonic Systems and have been especially conceived in order to meet hard real-time requirements. A deeper description of some of these tools can be found in [DBC+ 98, DTDF+ 99]. As a side effect of using these tools, the TIRAN BB (see Sect. 5.2.4) is transparently notified of a number of events related to faulttolerance. Notifications generally describe the state of a given component and have the form of a 4-tuple of integers (c, t, u, p), where c identifies a specific condition, t is a label that specifies the type of BT, u is the uniqueid of either a task, or a group of tasks, or a node, and p is a possibly empty list of optional arguments. Within TIRAN, function RaiseEvent is used to forward notifications. Function RaiseEvent has the following prototype: int RaiseEvent(int condition, int actor, TIRAN TASK ID uniqueId, int nargs, ...). 5.2.2 The TIRAN Basic Services Library The TIRAN BSL offers specific services including communication, task creation and management, access to the local hardware clock, management of semaphores, and so forth. This BSL supports multicasting: messages are sent to so-called “logicals,” i.e., groups of tasks. It has been purposely designed by TXT and the TIRAN Consortium and developed by TXT, Siemens and Eonic Systems for the target platforms and operating systems. Specific adaptation layers may be designed for mapping existing communication libraries, such as MPI/RT [KSR98] or PVM [GBD+ 94, DFM92], to the TIRAN BSL. As a side effect of using some of the BSL functions, the TIRAN BB (see Sect. 5.2.4) can be transparently notified of events such as a successful spawning of a task, or the failure state of a communication primitive. BSL notifications are similar to BT notifications—4-tuples of integers (c, t, u, p), where c and p are as in Sect. 5.2.1, while in this context t is a label that specifies the class of BSL services and u is the unique-id of the task that experienced condition c. A full description of the TIRAN BSL can be found in [CSV+ 99]. 5.2.3 The TIRAN Distributed Voting Tool As already mentioned, the TIRAN DMs are distributed, high-level fault-tolerance provisions that can be used to facilitate the development of dependable services. The TIRAN DMs include:
  • 86.
    5.2. SOME COMPONENTSOF THE TIRAN FRAMEWORK 69 Figure 5.3: A restoring organ [Joh89], i.e., a N-modular redundant system with N voters, when N = 3. Note that a de-multiplexer is required to produce the single final output. Figure 5.4: Structure of the TIRAN DV for N = 3. • A tool to enhance data integrity by means of a stabilising procedure (data is only allowed to pass through the system boundaries when it is confirmed a user-defined number of times). This is known as Stable Memory Tool and is described in [DBC+ 98, DFDLG01]. • A Distributed Synchronisation Tool, i.e., a software tool for synchronising a set of tasks. A description of this tool can be found in [CSV+ 99]. • A so-called Distributed Memory Tool, that creates and manages distributed replicas of memory cells. • A “Redundant Watchdog”, i.e., a distributed system exploiting multiple instances of the watchdog BT in order to enhance various dependability properties (see Sect. 6.4). • The TIRAN distributed voting tool (DV), an adaptation of the EFTOS voting farm, designed and developed by the author of this dissertation. This section describes one of the above tools, namely the DV. The TIRAN DV is a RεL-compliant software component that can be used to implement restoring organs i.e., N -modular redundancy systems (NMR) with N -replicated voters [Joh89] (see Fig. 5.3). The basic goals of the tools include fault transparency but also replication transparency, a high degree of flexibility and ease-of-use, and good performance. Restoring organs allow to overcome the shortcoming of having one voter, the failure of which leads to the failure of the whole system even when each and every other module is still running correctly. From the point of view of software engineering, such systems though are characterised by two major drawbacks: • Each module in the NMR must be aware of and responsible for interacting with the whole set of voters; • The complexity of these interactions, which is a function that increases quadratically with N (the cardinality of the set of voters), burdens each module in the NMR. To overcome these drawbacks, DV adopts a different scheme, as described in Fig. 5.4: in this new scheme, each module only has to interact with, and be aware of one voter, regardless of the value of N. Moreover, the complexity of such a task is fully shifted to the voter. The key component of the DV architecture is indeed the voter (see Fig. 5.5), defined as a local software module connected to one user module and to a set of peer-levels connected with each other. The attribute “local” means that both user module and voter run on the same processing node. As a consequence, the user module has no other interlocutor than its voter, whose tasks
  • 87.
    70 CHAPTER 5. ADISTRIBUTED ARCHITECTURE BASED ON RεL Figure 5.5: A user module and its voter. The latter is the only voter the user module needs to be aware of: control and data messages only flow between these two ends. This has been designed in order to minimise the burden of the user module and to keep it free to continue undisturbed as much as possible. Figure 5.6: The “local” input value has to be broadcast to N − 1 fellows, and N − 1 “remote” input values have to be collected from each of the fellows. The voting algorithm takes place as soon as a complete set of values is available. are completely transparent to the user module. It is therefore possible to model the whole system as a simple client-server application: on each user module the same client protocol applies while the same server protocol is executed on every instance of the voter. The following paragraphs briefly describe these two protocols. 5.2.3.1 Client-Side Protocol Table 5.1 gives an example of the client-side protocol, i.e., the sequence of actions that need to be executed in each user module in order to make proper use of the DV. Six “methods” have been set up in order to declare, define, describe, activate, control, and query the DV. In particular, describing an instance of DV stands for creating a static map of the allocation of its components; activating an instance means spawning the local voter (this is described in next paragraph); controlling an instance means requesting its service by means of control and data messages (this includes starting a voting session); finally, an instance of DV can also be queried about its state, the current voted value, and so forth. As already mentioned, the above steps have to be carried out in the same way on each user module: this coherency is transparently supported by the TIRAN configuration language (see Sect. 5.3). This protocol is available to the user as a class-like collection of functions dealing with opaque objects referenced through pointers. 5.2.3.2 Server-Side Protocol The local voter process executes the server-side of DV. After the set up of the static description of the local instance (Table 5.1, line 3) in the form of an ordered list of process identifiers (integers greater than 0), the server-side of the application is launched by the user by means of the TIRAN VotingRun function. This turns the static representation of the DV instance into an “alive” (running) object, the voter process. Each voter then connects to its user module via a pipeline and to the rest of the farm via sockets. From then on, in the absence of faults, it reacts to the arrival of the user messages as a finite-state automaton: in particular, the arrival of input messages triggers a number of broadcasts among the voters—as shown in Fig. 5.6.
  • 88.
    5.2. SOME COMPONENTSOF THE TIRAN FRAMEWORK 1 2 3 4 5 6 7 8 9 71 int main(void) { /* declarations */ TIRAN Voting t *dv; int objcmp(const void*, const void*); /* definition */ dv ← TIRAN VotingOpen(objcmp); /* description */ ∀i ∈ {1, . . . , N } : TIRAN VotingDescribe(dv, taski , versioni , identi ); /* activation */ TIRAN VotingRun(dv); /* control */ TIRAN VotingOption(dv, TIRAN Voting input(obj, sizeof(VFobj t)), TIRAN Voting output(link), TIRAN Voting algorithm (VFA WEIGHTED AVERAGE), TIRAN Voting timeout (TIMEOUT), TIRAN Voting scaling factor(1.0) ); /* query */ do { MsgWait(); } while (TIRAN Voting error ≡ DV NONE ∧ TIRAN VotingGet(dv) = DV DONE); /* deactivation */ TIRAN VotingClose(dv); } Table 5.1: An example of usage of the TIRAN DV. A static description of a DV instance is completed in lines 2–4. In particular, each call of TIRAN VotingDescribe describes an input module, specifying its task identifier, its version number (if the tool is used within an NVP scheme), and a Boolean flag that must be true only for the current input module. At line 5 the instance is activated. After this step, the system can be controlled by sending messages, e.g., to select a voting algorithm or to set a timeout (line 6). The state of the system can be queried by reading incoming state information (line 7). Finally, the system can be deactivated as in line 8. Besides the input value, which represents a request for voting, the user module may send its voter a number of other requests. In particular, the user can choose to adopt a voting algorithm from the following ones: • Formalised majority voter technique, • Generalised median voter technique, • Formalised plurality voter technique, • Weighted averaging technique,
  • 89.
    CHAPTER 5. ADISTRIBUTED ARCHITECTURE BASED ON RεL 72 • Consensus. The first four items are the voting techniques that have been generalised in [LCE89] to “arbitrary N-version systems with arbitrary output types using a metric space framework”. To use these algorithms, a metric function can be supplied by the user when he or she “opens” the DV instance (Table 5.1, step 3). Other requests include the setting of some algorithmic parameters and the removal of the voting farm (function TIRAN VotingClose). The voters’ replies to the incoming requests are straightforward. In particular, a DV DONE message is sent to the user module when a voting session has been performed (see line 7 in Table 5.1). Note how a function like TIRAN VotingGet simply sets the caller in a waiting state from which it exits either on a message arrival or on the expiration of a time-out. The author of this dissertation designed and developed DV and also performed a theoretical study on the performance of the core algorithm of the TIRAN DV. This algorithm realizes the process such that every voter communicates its own input value to all the other voters and receives the input value owned by all the other voters. The study is reported in Sect. 7.2.1 and in [DFDL00c]. 5.2.4 The TIRAN Backbone The TIRAN BB is the core component of the fault-tolerance distributed architecture described in this dissertation. The main objectives of the TIRAN BB include: 1. Gathering and maintaining error detection information produced by TIRAN BTs and BSL. 2. Using this information at error recovery time. In particular, as described in Sect. 5.2.1, the TIRAN BTs related to error detection and fault masking forward their deductions to the BB. The BB maintains these data in the TIRAN DB, replicated on multiple nodes of the system. Incoming data are also fed into an α-count [PABD+ 99] filter (see Sect. 5.2.4.2). This mechanism allows to identify statistically the nature of faults—whether a given fault is transient or whether it is permanent or intermittent. A set of private functions to query the current state of the DB is available within the BB. Other private functions request remote services such as, for instance, rebooting node n2 or starting task number 3 on node n1 . When the underlying architecture is built around a host computer controlling a number of target boards by means of a custom OS, the latter may execute remote commands on the boards. On the contrary, when the OS is general-purpose and node-local, remote services can be executed on any node of the system by sending command messages from one component to the other of the BB—for instance, a “reboot” message may be sent from the component of the BB on node 0 to the component on node 2. On receipt, the latter may execute the reboot command by forwarding a local request to a basic tool addressing error isolation or recovery, e.g., a tool managing the reboot service. Figure 5.7 represents this scheme. The above remote services can be the basis for more complex, system-wide recovery and reconfiguration actions. The TIRAN BB consists of two core components. In the absence of system partitioning, within the system there is exactly one manager, holding the main copy of the DB and with
  • 90.
    5.2. SOME COMPONENTSOF THE TIRAN FRAMEWORK 73 Figure 5.7: On each processing node exactly one component of the BB is located. This component is the intermediary of the BB on that node. In particular, it gathers information from error detection and fault containment BTs (grey circles) and forwards requests to error containment and recovery BTs (light grey circles). These latter execute recovery actions and possibly, at test time, fault injection requests. recovery management responsibilities. On other nodes, BB components called assistants deal with DB replicas, forward local deductions to the manager and can take over the role of the manager should the latter or its node fail. A key point in the effectiveness of this approach is guaranteeing that the BB itself tolerates internal and external faults. A custom distributed algorithm has been devised by the author of this dissertation in order to tolerate crash failures triggered by faults affecting at most all but one of the components of the BB or at most all but one of the nodes of the system. The same algorithm also tolerates system partitioning during the “periods of instability” (see the timedasynchronous distributed system model [CF99]). This procedure, described in [DFDL00a], is one of the contributions of the author of this dissertation to the state-of-the-art of fault-tolerance distributed algorithms. It has been called the “algorithm of mutual suspicion” (AMS) since each component of the BB continuously questions the correctness of all the other valid components. It is briefly described in the following section. 5.2.4.1 The Algorithm of Mutual Suspicion The AMS is built on a twofold error detection strategy: • On a local basis, on each node of the system, a special watchdog called “<I’m Alive> Task” (IAT) guards the local component of the BB. This component has to reset periodically an “<I’m Alive> flag”, which is checked and set by the IAT. A faulty or slowed down component can be detected at the end of each period if the flag is found to be still set. • On a remote basis, each assistant expects a MIA (“Manager Is Alive”) message from the manager at most every pm seconds, while the manager expects a TAIA (“This Assistant Is Alive”) at most every pa seconds. In the normal, non-faulty case, the IAT and the guarded BB component would simply keep on setting and clearing the <I’m Alive> flag, while the manager and its assistants would keep on receiving and sending MIA’s and TAIA’s (possibly piggybacking them, i.e., together with data related to the DB). When a crash failure affects, e.g., a guarded BB component, this results in a violation of both the local and the remote strategy. Locally, this is detected by the guarding IAT, which reacts to this by broadcasting a TEIF (“This Entity Is Faulty”) to the rest of the BB. Remotely, this appears as a lack of a MIA or TAIA message from the crashed component, and within a period of pi seconds, the arrival of a TEIF message from the remote IAT.
  • 91.
    74 CHAPTER 5. ADISTRIBUTED ARCHITECTURE BASED ON RεL Figure 5.8: A representation of the conjoint action of the IAT and of the BB component on the <I’m Alive> flag. Figure 5.9: A state diagram of the algorithm of the manager. When a crash failure affects, e.g., the node where a BB component was running, this is detected (remotely) by a lack of a MIA or TAIA message for pm (resp. pa ) seconds, and by a further lack of a TEIF message after another pi seconds. This scheme allows to detect a crash failure of a node and of a component of the BB. Figures 5.8, 5.9, and 5.10 supply a graphical representation of this algorithm. Each component of the backbone and the IAT need to perform a set of periodical tasks, like clearing or setting the <I’m Alive> flag, or other tasks logically to follow the expiration of time periods pm , pa or pi . These tasks are carried out by means of lists of time-outs, and managed by the TIRAN TOM, described in next section. One of the partners in the consortium (UniTo) has developed a model of the AMS using stochastic Petri Nets [CSV+ 99]. Simulations of their model revealed the absence of deadlocks. Testing has been also performed via fault injection. Figures 5.11–5.14 show a scenario in which a fault is injected on node 0 of a system consisting of four nodes. A Netscape World-Wide Web browser is remotely controlled by the MON component (a non-parsing-header CGI application [Kim96, DF96b] conceived and developed by the author of this dissertation) in order to render dynamically the shape and state of the system [DFDT+ 98]. Node 0 hosts the manager of the BB and, as a result of the fault injection, the role of manager is appointed to backup node 1, formerly running as a BB assistant. No node recovery is performed in this case, therefore node 0 is soon detected to be inactive and removed from the backbone. It is worth remarking how AMS is compliant to the timed asynchronous distributed system model described in Sect. 4.1.1. In particular, it tolerates system partitioning, during which correct nodes are temporarily disconnected from the rest of the system. When such an event occurs, for instance because of transient faults affecting the communication subsystem, the BB splits up into separate blocks, in each of which a manager is elected according to a prefixed scheme (currently, the node with the highest label is elected as manager). Blocks are then automatically merged back into one coherent system when the erroneous conditions that brought the system to system partitioning disappear. As a special case of this feature, a crashed node that is restarted is automatically accepted back into the BB. The above mentioned features have been successfully demonstrated at a review meeting of project TIRAN. In that occasion, faults were injected by removing temporarily the Ethernet cable connecting two PCs. The backbone reacted to this event partitioning itself into two blocks. In the block hosting the manager, the event was followed by graceful degradation. In the block hosting no manager, a manager was elected. Reconnecting the network cable, the two blocks merged Figure 5.10: A state diagram of the algorithm of the assistant.
  • 92.
    5.2. SOME COMPONENTSOF THE TIRAN FRAMEWORK 75 Figure 5.11: A fault is injected on node 0 of a system of four nodes. The Node hosts the manager of the BB. The user selects the fault to be injected and connects to a Netscape browser remotely controlled by the MON application. Figure 5.12: The browser acts as a renderer of the shape and state of the system. The textual window reports the current state of the list of time-outs used by the TOM component on node 0. back with one of the manager being demoted to the role of assistant. The reviewers assessed this demonstration and the others which were shown in that occasion as impressing [Mor00]. 5.2.4.2 The α-Count Fault Identification Mechanism It is well known that reconfiguration is a costly activity, in the sense that it always results in redundancy consumption. This translates in a possibly graceful, though actual degradation of the quality of service of a system. This may have drastic consequences, especially in systems where service degradations are static and irreversible. For instance, in satellites and space probes, rapid exhaustion of redundancy may severely affect the duration of the useful mission hours and hence reliability [Inq96]. Two important issues towards solving the problem just stated are: 1. Understanding the nature of faults, and in particular identifying faults as permanent (and thus actually requiring reconfiguration) with respect to transient ones. 2. Tolerating transient faults with less redundancy consuming techniques, possibly not based on reconfiguration. Issue 1 means that the adopted fault-tolerance mechanism is required not only to locate a component subject to an error, but also to assess the nature of the originating fault. This implies processing additional information and unfortunately translates also in a larger delay in fault diagnosis. Despite this larger delay, in same cases the benefits of techniques based on the above issues may be greater than its penalties in performance and latency [BCDGG97]. A number of techniques have been devised to assess the character of faults—some of them are based on tracking the occurrences and the frequency of faults and adopting thresholds of the kind “a device is diagnosed as affected by a permanent fault when four failures occurs within 24 hours”. This and other similar heuristics are described in [LS90]. A novel fault identification mechanism, called α-count, has been described in [PABD+ 99] and recently generalised in [BCDGG00]. α-count is also based on thresholds. The basic idea is that each system component to be assessed is to be “guarded” by an error detection device. This device should forward its deductions, in the form of a binary digit, to a device called α-count filter. For each incoming judgement, the filter would then perform the α-count technique and issue an assessment about the nature of the fault leading to the detected error. Figure 5.13: The crash of node 0 has been detected and a new manager has been elected.
  • 93.
    CHAPTER 5. ADISTRIBUTED ARCHITECTURE BASED ON RεL 76 Figure 5.14: On election, the manager expects node 0 to be back in operation. In this case this is not true (that node has been shut down), so node 0 is detected as inactive and labelled as “KILLED”. 6 threshold 5 4 (L) α1 3 2 1 0 0 2 4 6 8 10 12 14 L (L) Figure 5.15: The picture shows how an α-count filter, α1 , is updated when it receives 14 error detection notifications (0 ≤ L ≤ 13) from the BB. Notifications are in this case randomlychosen. Note that, on the last notification (L = 13), a threshold (in this case, 5.5) is reached and the corresponding fault is assessed as permanent or intermittent. More formally, given n “guarded” components ui , 0 ≤ i < n, the authors of the strategy call the L-th judgement on ui . Judgement 0 means success (ui is “healthy”), 1 means failure (ui is faulty). A score vector, αi , 0 ≤ i < n, is initially set to zero and updated, for each judgement L > 1, as follows: (L) Ji (L−1) (L) αi (L) = (L) αi K if Ji = 0 (L−1) (L) αi + 1 if Ji = 1, (5.1) being 0 ≤ K ≤ 1. When αi becomes greater than a certain threshold αT , ui is diagnosed as affected by a permanent or intermittent fault. This event may be signalled to a reconfigurator or another fault passivation mechanism. The authors of α-count show that their mechanism is asymptotically able to identify all components affected by permanent or intermittent faults—if the threshold αT is set to any finite positive integer A, and if the component is indeed affected (L) by a permanent or intermittent fault, they prove that αi will eventually become greater than or equal to A [BCDGG97]. The authors also prove that similar results can be reached with some variants of formula (5.1). Figure 5.15 shows how that counter evolves when random-valued notifications (either positive or negative assessments) are sent to the BB.
  • 94.
    5.2. SOME COMPONENTSOF THE TIRAN FRAMEWORK 77 Figure 5.16: An assistant running on a node of a cluster of PCs. The upper window hosts the assistant, the lower one its SocketServer (see Fig. 5.2). In the former one, note how the α-counter detects that task 2 is affected by a permanent-or-intermittent fault. It is worth noting how the mechanism described above requires an approach slightly similar to the one of the RεL toolset: in both cases, a stream of detection data has to flow from a periphery of detection tools to a collector. This collector is the α-count filter in the one case and the TIRAN BB and its DB in the other one. This makes it straightforward adopting α-count in TIRAN: the filter can simply be fed with data coming from the detection BTs just before this data in inserted into the DB. The added value of this approach is that it is possible to set up a function that returns the current estimation of the nature of a fault (see Sect. 5.3.3). Clearly, a requirement of this technique is that each detection tool not only forward notifications of erroneous activity, but also confirmations of normal behaviour. This may have negative consequences on the performance of the approach, as it may result in many communication requests. In the prototype version developed by the author, each notification from any detection tool to the backbone is tagged with an integer label starting at 0 and incremented by 1 at each new deduction. This way, only negative assessments can be sent—in fact, if, for instance, the backbone receives from the same detection tool two consecutive negative assessments labelled respectively, e.g., 24 and 28, then this implicitly means that there have been three positive assessments in between, and the αcounter can be updated accordingly—though possibly with some delay. This strategy has been conceived by the author of this dissertation. Figure 5.16 shows the α-counter in action—a task has reached its threshold and has been declared as affected by a permanent-or-intermittent fault. The design choice to support α-count within the strategy of the TIRAN BB was taken by the author of this dissertation. 5.2.5 The TIRAN Time-Out Manager As already mentioned, the main assumption of RεL is the adoption of the timed asynchronous distributed system model [CF99], a recently developed promising model for solving problems such as dynamic membership [CS95] in distributed systems. The availability of a class of functions for managing time-outs is a fundamental requirement for that model. The TIRAN TOM [DFDL00b] fulfils this need—it is basically a mechanism for managing lists of time-outs, defined as objects that postpone a function call for a certain number of local clock units. Time-outs are ordered by clock-units-to-expiration, and time-out lists are managed in such a way that only the head of the list needs to be checked for expiration. When the specified amount of time elapses for the head of the list, its function—let us call it “alarm”—is executed and the object is either thrown out of the list or renewed (in this second case, a time-out is said to be “cyclic”). A special thread monitors and manages one or more of such lists, checking for the expiration of the entries in the time-out list. Within the strategy of the TIRAN BB, a TOM task is available on each node of the system,
  • 95.
    CHAPTER 5. ADISTRIBUTED ARCHITECTURE BASED ON RεL 78 Figure 5.17: How the alarm manager works: in 1., a 330ms alarm called X is inserted in the list. In 2., after 100ms, X has been reduced to 230ms and a 400ms alarm, called Y, is inserted (its value is 170, i.e., 400-230). Another 70ms have passed in 3., so X has been reduced to 160ms. At that point, a 510ms alarm, Z is inserted–it goes at the third position. In 4., after 160ms, alarm X occurs–Y becomes then the top of the list; its decrement starts. In 5. another 20ms have passed and Y is at 150ms–at that point a 230ms alarm, called W is inserted. Its position is in between Y and Z, therefore the latter is adjusted. In 6., after 150ms, Y expires and W goes on top. spawned at initialisation time by the local BB component. TOM is used in this context to translate time-related clauses, such as, “pa seconds have elapsed”, into message arrivals. In other words, each TOM instance of the BB may be represented as a function a:C→M such that, for any time-related clause c ∈ C: a(c) = message “clause c has elapsed” ∈ M. This homomorphism is useful because it allows to deal with the entire set of possible events— both messages and time-related events—as the arrival of one set of messages. Hence, one multiple-selection statement such as the C language switch can be used, which translates into a simpler and more straightforward implementation for error detection protocols such as the AMS. TOM uses a well-known algorithm for managing its time-outs [Tan96]. Once the first timeout is entered, TOM creates a linked-list of time-outs and polls the top of the list. For each new time-out to be inserted, a proper position in the list is found and the list is modified accordingly, as described in Fig. 5.17. If the top entry expires, a user-defined alarm function is invoked. This is a general mechanism that allows to associate any event with the expiring of a time-out. In the case of the backbone, the TOM component on node k sends a message to BB component on the same node—the same result may also be achieved by sending that component a UNIX signal [HS87]. Special time-outs are defined as “cyclic”, i.e., they are automatically renewed at each new expiration, after invoking their alarm function. A special function renews a time-out, i.e., it deletes and re-enters that entry. It is also possible to temporarily suspend4 a time-out and re-enable it afterwards. TOM exploits multiple alarm execution threads in order to reduce the congestion that is due to concurrent execution of alarms and the consequent run-time violations. A description of this strategy can be found in [DFDL00b] and in Appendix B. The design and the implementation of TOM and of the above mentioned strategy are an original contribution of the author of this dissertation. 4 A time-out is said to be suspended when, on expiration, no alarm is executed. The corresponding entry stays in the time-out list and obeys its rules—in particular, if the time-out was cyclic, on expiration the entry is renewed.
  • 96.
    5.3. THE ARIELCONFIGURATION AND RECOVERY LANGUAGE 5.3 79 The A RIEL Configuration and Recovery Language ARIEL My master through his art foresees the danger That you, his friend, are in; and sends me forth— For else his project dies—to keep them living. (Shakespeare, The Tempest, Act II, Scene I) Within TIRAN, a single syntactical structure—provided by the ARIEL language [DFDL01, DDFB01]—has been devised by the author of this dissertation as both a configuration and a recovery language. This chapter describes this language and its compile-time and run-time tools. The structure of the section is as follows: • The general characteristics of ARIEL are described in Sect. 5.3.1. • ARIEL as a configuration language is introduced in Sect. 5.3.2. • Section 5.3.3 is on ARIEL as a recovery language. bears its name after the character with the same name of Shakespeare’s last Comedy, The Tempest. In fact, in the Tempest, spirit Ariel is a magic creature, the invisible assistant of Prospero, the Duke of Milano. While Prospero plays his role in the foreground of the Comedy—orchestrating a strategy to regain possession of his dukedom, which had been usurped by Prospero’s brother Antonio—Ariel faithfully serves Prospero performing his magic in the background, exploiting his powers to execute Prospero’s commands when his “Master through his art foresees the danger” (see above quote). In a sense, the role of the ARIEL language is somewhat similar to the one of Prospero’s ally. Its run-time support is given by the agent that is sent forth when the BB, through its nervous terminals—the error detection basic tools—senses a potentially dangerous condition. The author of this dissertation thinks that the name Ariel captures this similarity. This is also the reason that led the author of this dissertation to the choice of “RεL” as an abbreviation for “Recovery Language”: indeed, the spelling of that word is “[a:*]-[i:]-[el]”. ARIEL 5.3.1 General Characteristics of ARIEL is a declarative language with a syntax somewhat similar to that of the UNIX shells. One instruction per line is allowed. Comments are like in the C shell (“#” starts a comment which ends at next new line or at end-of-file). Names are not case-sensitive. ARIEL deals with five basic types: “nodes”, “tasks”, “logicals”, integers, and real numbers. A node is a uniquely identifiable processing node of the system, e.g., a processor of a MIMD supercomputer. A task is a uniquely identifiable process or thread in the system. A logical is a uniquely identifiable collection of tasks, possibly running on different nodes. Nodes, tasks, and logicals are generically called entities. Entities are uniquely identified via non-negative integers; for instance, NODE3 or N3 refer to processing node currently configured as number 3. ARIEL
  • 97.
    CHAPTER 5. ADISTRIBUTED ARCHITECTURE BASED ON RεL 80 Integer symbolic constants can be “imported” from C language header files through the statement INCLUDE. For instance, if the C language header file "vf.h" contains a define statement such as: #define PROC NUM 4, then it is possible to use that symbolic constant wherever an integer is expected in the language. To de-reference a symbolic constant imported via INCLUDEs a “brace-operator” has been defined—for instance, under the above assumptions the following valid ARIEL statement: NPROCS = {PROC_NUM} (described later on) is equivalent to NPROCS = 4. An ARIEL script basically consists of two parts: • A part dedicated to configuration. This is described in Sect. 5.3.2. • A part containing the guarded actions which constitute the user-defined error recovery strategy. They are described in Sect. 5.3.3. 5.3.2 ARIEL as a Configuration Language Special linguistic support has been designed by the author of this dissertation while taking part in the TIRAN project. Aim of this linguistic support is to facilitate the configuration of the instances of the framework elements, of the system and application parameters, and of the fault-tolerance provisions. Let us call these elements a framework instance. Once the user has configured a framework instance with ARIEL, the TIRAN ARIEL translator “art” must be used to translate these high level specifications into the actual C language calls that set up configured tasks such as, for instance, user-configured watchdogs. The output of the translator is a set of C files that need to be compiled with the user application. A subset of the fault-tolerance provisions described in Chapter 4 are supported by the version of ARIEL described in this dissertation. The rest of this section describes the process of configuring a framework instance with ARIEL. 5.3.2.1 System and Application Parameters The ARIEL configuration language can be used to define and configure the target system and application entities, e.g., nodes, tasks, and group of tasks. The rules defined in Sect. 4.2.2.1 are coded as follows: • Rule (4.1), as for instance in task3 ≡ n0 [8], is coded as
  • 98.
    5.3. THE ARIELCONFIGURATION AND RECOVERY LANGUAGE 81 TASK 3 = "TMR.EXE" IS NODE 0, TASKID 8. In other words, the above statement declares that task 8, local to node 0, is to be globally referred to as “task 3”. String “TMR.EXE” may also be used to refer symbolically5 to task3 . More complex rules are possible—for instance, TASK [1,3] = "Triple" IS NODE 0, TASKID [6,8] is equivalent to TASK 1 = "Triple1" IS NODE 0, TASKID 6, TASK 2 = "Triple2" IS NODE 0, TASKID 7, TASK 3 = "Triple3" IS NODE 0, TASKID 8. • Rule (4.2), as in group10 ≡ {5, 6, 7}, is coded as LOGICAL 10 = "TMR" IS TASK 5, TASK 6, TASK 7 END LOGICAL. (String “TMR” may also be used to refer symbolically to group10 ). The example defines a logical to be globally referred to as “logical 10”, symbolically known as TMR, and corresponding to the three tasks whose unique-id are 5, 6, and 7. Let us assume the following lines have been written in a file called “test.ariel”: TASK 5 = "TMR_LEADER" IS NODE 0, TASKID 8 TASK 6 = "TMR2" IS NODE 1, TASKID 8 TASK 7 = "TMR3" IS NODE 2, TASKID 8 LOGICAL 10 = "TMR" IS TASK 5, TASK 6, TASK 7 END LOGICAL File test.ariel can be translated by executing art as follows: bash-2.02$ art -i test.ariel Ariel translator, v2.0g 03-Aug-2000, (c) K.U.Leuven 1999, 2000. Parsing file test.ariel... ...done (4 lines in 0.01 CPU secs, or 400 lines per CPU sec.) Output written in file .rcode. Logicals written in file LogicalTable.csv. Tasks written in file TaskTable.csv. Alpha-count parameters written in file alphacount.h. 5 An associative array (see, for instance, [DF96a]) may then be used to de-references an entity through its symbolic name.
  • 99.
    CHAPTER 5. ADISTRIBUTED ARCHITECTURE BASED ON RεL 82 The bold typefaced string is the command line. What follows is the output printed to the user screen. The italics-highlighted strings are the names of two configuration files that are written by art on successful execution. These two files declare tasks and logicals in the format expected by the BSL and by other ancillary components (e.g., on the version for Windows NT, these tables are also used by a “SocketServer6 ”). The user can also define a number of other parameters of the TIRAN world like, for instance: • N , i.e., the total number of processing nodes in the system. • ti , i.e., the number of tasks running on node ni . • Task-specific parameters of the α-count fault identification mechanism supported by the TIRAN BB. As an example, the following lines declare a system consisting of two nodes, each of which has to host 10 user tasks, and define the α-count parameters of task 5: NPROCS = 2 NUMTASKS 1 = 10 NUMTASKS 2 = 10 ALPHA-COUNT 2 IS threshold = 3.0, factor = 0.4 END ALPHA-COUNT. The output produced by the art translator is given in this case by a number of header files: bash-2.02$ art -i test.ariel -s Ariel translator, v2.0g 03-Aug-2000, (c) K.U.Leuven 1999, 2000. Parsing file test.ariel... ...done (8 lines in 0.01 CPU secs, or 800 lines per CPU sec.) Output written in file .rcode. Logicals written in file LogicalTable.csv. Tasks written in file TaskTable.csv. static version Preloaded r-codes written in file trl.h. Time-outs written in file timeouts.h. Identifiers written in file identifiers.h. Alpha-count parameters written in file alphacount.h. Again, the command has been given in bold typeface and relevant lines have been highlighted using the italics typeface. The “-s” option, for “static”, requests the writing of a number of header files. The produced header files contain definitions like the following one, from file “timeouts.h”: 6 In TIRAN lingo, a SocketServer is a task run on each node of the system, which is used by the TIRAN BSL for managing off node communication (via UDP sockets) and for local dispatching of remote messages. This is a well-known technical solution which is used, e.g., in PVM, where a single component, pvmd (PVM daemon), is launched on each node of a PVM cluster to manage global tasks [GBD+ 94].
  • 100.
    5.3. THE ARIELCONFIGURATION AND RECOVERY LANGUAGE /* Number of available nodes */ #define MAX_PROCS 83 2 These are the first few lines of the output file ”alphacount.h”: /******************************************************************** * * Header file alphacount.h * * * * * This file contains the parameters of the alphacount filter * (factor and threshold) * * * Written by art (v2.0g 03-Aug-2000) on Wed Aug 16 15:46:40 2000 * * (c) Katholieke Universiteit Leuven / ESAT / ACCA - 2000. * * * *******************************************************************/ #ifndef #define __ALPHA_COUNT__ __ALPHA_COUNT__ #include "DB.h" alphacount_t alphas[] = { { 0.000000, { 0.000000, { 0.400000, { 0.000000, 0.000000, 0.000000, 3.000000, 0.000000, 0 0 1 0 }, }, }, }, /* /* /* /* entry entry entry entry 0 1 2 3 */ */ */ */ (Note how, at entry 2, the threshold and factor of the α-count related to task 2 have been entered in an array. The latter will then be used by the TIRAN backbone when updating the α-count filters—see Sect. 5.2.4.2). 5.3.2.2 Backbone Parameters ARIEL can be used to configure the BB. In particular, the initial role of each BB component must be specified through the DEFINE statement. For instance, the following two lines configure a system consisting of four nodes and place the BB manager on node 0 and three assistants on the other nodes: DEFINE 0 = MANAGER DEFINE 1-3 = ASSISTANTS A number of backbone-specific parameters can also be specified via the ARIEL configuration language. These parameters include, for instance, the frequency of setting and checking the <I’m Alive> flag of the backbone. Values are specified in microseconds. A complete example can be seen in Table 5.2. Again, the art translator changes the above specifications into the appropriate C language settings as expected by the TIRAN BB.
  • 101.
    CHAPTER 5. ADISTRIBUTED ARCHITECTURE BASED ON RεL 84 1 2 # Specification of a strategy in the recovery language Ariel # Include files INCLUDE "phases.h" INCLUDE "vf.h" 3 4 5 # Definitions # After keyword ’DEFINE’, the user can specify # an integer, an interval, or a list, followed by # the equal sign and a backbone role, that may be # ASSISTANT(s) or MANAGER NPROCS = 4 Define 0 = MANAGER Define 1-3 = ASSISTANTS 6 7 # Time-out values for the BB and the <I’m Alive> mechanism MIA SEND TIMEOUT = 800000 # Manager Is Alive -- manager side TAIA RECV TIMEOUT = 1500000 # This Assistant Is Alive -- manager side 8 9 MIA RECV TIMEOUT = 1500000 # Manager Is Alive -- backup side TAIA SEND TIMEOUT = 1000000 # This Assistant Is Alive -- backup side 10 TEIF TIMEOUT = 1800000 # After this time a suspected node is assumed # to have crashed. 11 I’M ALIVE CLEAR TIMEOUT = 900000 # <I’m Alive> timeout -- clear IA flag 12 I’M ALIVE SET TIMEOUT = 1400000 # <I’m Alive> timeout -- set IA flag 13 14 15 16 # Number NUMTASKS NUMTASKS NUMTASKS NUMTASKS 17 18 19 20 TASK TASK TASK TASK of tasks 0 = 11 # node 0 is to be loaded with 11 tasks 1 = 10 2 = 10 3 = 10 [0,10] IS NODE 0, TASKID [0,10] [11,20] IS NODE 1, TASKID [1,10] [21,30] IS NODE 2, TASKID [1,10] [31,40] IS NODE 3, TASKID [1,10] 21 LOGICAL 1 IS TASK 1, TASK 2, TASK 3 END LOGICAL Table 5.2: An excerpt from an ARIEL script: configuration part. Line numbers have been added for the sake of clarity.
  • 102.
    5.3. THE ARIELCONFIGURATION AND RECOVERY LANGUAGE 5.3.2.3 85 Basic Tools ARIEL can be used to configure statically the TIRAN tools. The current prototypic version can configure only one tool, the TIRAN watchdog. The following syntax is recognised by art to configure it: WATCHDOG 10 WATCHES TASK 14 HEARTBEATS EVERY 100 MS ON ERROR WARN TASK 18 END WATCHDOG. The output in this case is a C file that corresponds to a configured instance of a watchdog. The application developer needs only to send heartbeats to that instance, which can be done as follows: HEARTBEAT 10. 5.3.2.4 Configuring Multiple-Version Software Fault-Tolerance As described in Sect. 4.2.2.5, it is possible to design a syntax to support the configuration of the software fault-tolerance provisions described in Sect. 3.1.2. This section describes the solution provided by ARIEL in order to support N -version programming [Avi85], and a possible syntax to support consensus recovery blocks [SGM85]. N -version programming. The following is an example that shows how it is possible to define an “N -version task” with ARIEL: #include "my_nvp.h" N-VERSION LOGICAL {NVP_LOGICAL} VERSION 1 IS TASK{VERSION1} TIMEOUT {VERSION_TIMEOUT} VERSION 2 IS TASK{VERSION2} TIMEOUT {VERSION_TIMEOUT} VERSION 3 IS TASK{VERSION3} TIMEOUT {VERSION_TIMEOUT} METRIC "nvp_comp" ON SUCCESS TASK{NVP_OUTPUT} ON ERROR TASK{NVP_ERROR} {NVP_LOGICAL} VOTING ALGORITHM IS MAJORITY END N-VERSION The art translator, once fed with the above lines, produces three source files for tasks the unique-id of which is {VERSION1}, {VERSION2} and {VERSION3}. These source files consist of code that • sets up the TIRAN distributed voting tool (described in Sect. 5.2.3) using metric function int nvp_comp(const void*, const void*), setting the voting algorithm to majority voting, and so forth;
  • 103.
    CHAPTER 5. ADISTRIBUTED ARCHITECTURE BASED ON RεL 86 • redirects standard output streams; • executes a user task, e.g., task {VERSION3}. By agreement, each user task (i.e., each version) has to write its output onto the standard output stream. During run-time, when the user needs to access a service supplied by an NVP logical, it simply sends a message to entity {NVP_LOGICAL}. This translates into a multicast to tasks {VERSION1}, {VERSION2} and {VERSION3}. These tasks, which in the meanwhile have transparently set up a distributing voting tool, • get their input, • compute a generic function, • produce an output • and (by the above stated agreement) they write the output onto their standard output stream. This, which had been already redirected through a piped stream to the template task, is fed into the voting system. This latter eventually produces an output that goes to task {NVP_OUTPUT}. A time-out can also be set up so to produce an error notification when no output is sent by a version within a certain deadline. Table 5.3 shows one of the three files produced by the ARIEL translator when it parses the script of Sect. 5.3.2.4. Note how this file basically configures an instance of the TIRAN DV tool described in Sect. 5.2.3. Note also how all technicalities concerning: • the API of the tool, • input replication, • the adopted voting strategy, • output communication, and so forth are fully made transparent to the designer, who needs only be concerned with the functional service. This allows the fault-tolerance designer to modify all the above mentioned technicalities with no repercussions on the tasks of the application designer, and even to deploy different strategies depending on the particular target platform. This can be exploited in order to pursue performance design goals. Consensus recovery blocks. Support towards consensus recovery block may be provided in a similar way, e.g., as follows:
  • 104.
    5.3. THE ARIELCONFIGURATION AND RECOVERY LANGUAGE #include "TIRAN.h" /∗ Task 101 of NVersion Task 20 Version 1 / 3 ∗ / int TIRAN task 101(void) { TIRAN Voting ∗dv; size t size; double task20 cmp(const void∗, const void∗); dv = TIRAN VotingOpen(task20 cmp); if (dv == NULL) { RaiseEvent(TIRAN ERROR VOTING CANTOPEN,TIRAN DV,101,0); TIRAN exit(TIRAN ERROR VOTING CANTOPEN); } /∗ voting task description: which tasks and which versions ∗ / /∗ constitute the n-version task ∗ / TIRAN VotingDescribe(dv, 101, 1, 1); TIRAN VotingDescribe(dv, 102, 2, 0); TIRAN VotingDescribe(dv, 103, 3, 0); TIRAN VotingRun(dv); /∗ output should be sent to task 40 ∗ / TIRAN VotingOutput(dv, 40); TIRAN VotingOption(dv, TIRAN VOTING IS MAJORITY); /∗ redirect stdout into a pipe input stream ∗ / TIRAN pipework(); /∗ execute the version ∗ / task 101(); size = read(0, buff, MAX BUFF); if (size > 0) { /∗ forward the input buffer to the local voter of this version ∗ / TIRAN VotingInput(dv, buff, size); } else { /∗ signal there’s no input ∗ / TIRAN VotingInput(dv, NULL, 0); RaiseEvent(TIRAN ERROR VOTING NOINPUT,TIRAN DV,101,0); TIRAN NotifyTask(60, TIRAN ERROR VOTING NOINPUT); } } /∗ EOF file TIRAN task 101.c ∗ / Table 5.3: Translation of the N-Version Task defined in Sect. 5.3.2.4. 87
  • 105.
    CHAPTER 5. ADISTRIBUTED ARCHITECTURE BASED ON RεL 88 #include "my_crb.h" CONSENSUS RECOVERY BLOCK LOGICAL {CRB_LOGICAL} VARIANT 1 IS TASK{VARIANT1} TIMEOUT {VARIANT_TIMEOUT} ACCEPTANCE TEST TASK{ACCEPT1} VARIANT 2 IS TASK{VARIANT2} TIMEOUT {VARIANT_TIMEOUT} ACCEPTANCE TEST TASK{ACCEPT2} VARIANT 3 IS TASK{VARIANT3} TIMEOUT {VARIANT_TIMEOUT} ACCEPTANCE TEST TASK{ACCEPT3} METRIC "crb_comp" ON SUCCESS TASK{CRB_OUTPUT} ON ERROR TASK{CRB_ERROR} {CRB_LOGICAL} VOTING ALGORITHM IS MAJORITY END CRB This is syntactically similar to the previous example, but the user is asked to supply tasks for the execution of acceptance tests. Other possibilities might also be considered, e.g., supplying a function name corresponding to the acceptance test, in order to avoid the overhead of spawning a task for that purpose. 5.3.3 ARIEL as a Recovery Language The same linguistic structure that realises the TIRAN configuration language is used also to host the structure in which the user defines his / her error recovery strategies. Recovery strategies are collections of sections with the following syntax7 : section : if elif else fi ; if : IF ’[’ guard ’]’ THEN actions ; elif : | else ELIF ’[’ guard ’]’ THEN actions elif ; ELSE actions ; : fi : | FI ; where non-terminals guard and actions are the syntactical terms defined respectively in Sect. 4.2.3.1 and Sect. 4.2.3.2. 7 Here and in the following, context-free grammars are used in order to describe syntax rules. The syntax used for describing those rules is that of the yacc [Joh75] parser generator—so, for instance, symbol “|” supplies an alternative definition of a non-terminal symbol. Terminal symbols like GT are in capital letters. They are considered as intuitive and their definition (in this case, string “>”) in general will not be supplied.
  • 106.
    5.3. THE ARIELCONFIGURATION AND RECOVERY LANGUAGE 89 A RIEL’s guards. An excerpt of the context-free grammar rules for guards follows: status :FAULTY | RUNNING | REBOOTED | STARTED | ISOLATED | RESTARTED | TRANSIENT ; entity :GROUP | NODE | TASK ; expr :status entity | ’(’ expr ’)’ | expr AND expr | expr OR expr | NOT expr | ERRN ’(’ entity ’)’ comp NUMBER | PHASE ’(’ entity ’)’ comp NUMBER ; comp :EQ | NEQ | GT | GE | LT | LE ; The following conditions and values have been foreseen: Faulty. This is true when an error notification related to a processing node, a group of tasks, or a single task, can be found in the TIRAN DB. Running. True when the corresponding entity is active and no error has been detected that regards it. Rebooted (only applicable to nodes). This means that a node has been rebooted at least once during the run-time of the application. Started (not applicable to nodes). This checks whether a waiting task or group of task has been started. Isolated. This clause is true when its argument has been isolated from the rest of the application through a deliberate action. Phase (only applicable to tasks). It returns the current value of an attribute set by any task via the public function RaiseEvent. This value is forwarded to the BB to represent its current “phase” or state (e.g., an identifier referring to its current algorithmic step, or the outcome of a test or of an assertion). For instance, a voting task could inform the BB that it has completed a given algorithmic step by setting a given integer value after each step (this approach is transparently adopted in the EFTOS voting tool and is described in more detail in [DFDL98c]). Recovery block tests can take advantage of this facility to switch back and try an alternate task when a primary one sets a “failure” phase or when a guarding watchdog expires because a watched task sent it no signs of life. This condition returns an integer symbol that can be compared via C-like arithmetic operators. Restarted (not applicable to nodes). This returns the number of times a given task or group has been restarted. It implies started.
  • 107.
    CHAPTER 5. ADISTRIBUTED ARCHITECTURE BASED ON RεL 90 Transient is true when an entity has been detected as faulty and the current assessment of the α-count fault identification mechanism (see Sect. 5.2.4.2) is “transient”. It implies faulty. Furthermore, it is possible to query the number of errors that have been detected and pertain to a given entity. Complex guards can be built via the standard logic connectives and parentheses. As an example, the following guard: FAULTY TASK{MASTER} AND ERRN(TASK{MASTER}) > 10 AND RESTARTED TASK{MASTER}. checks whether the three conditions: • the task, the unique-id of which is the value of the symbolic constant MASTER, has been detected as faulty; • more than 10 errors have been associated to that task; • that task has been restarted, are all true. A RIEL’s actions. “Actions” can be attached to the THEN or ELSE parts of a section. In the current implementation of the language, these actions allow to start, isolate, restart, terminate a task or a group of tasks, to isolate or reboot a node, to invoke a local function. Moreover, it is possible to multicast messages to groups of tasks and to purge events from the DB. An excerpt of the context-free grammar for A RIEL’s actions follows: actions action : | actions action ; : | | section recovery action ; recovery action : STOP entity | ISOLATE entity | START entity | REBOOT entity | RESTART entity | ENABLE entity | SEND NUMBER TASK | SEND NUMBER GROUP | WARN entity ( condition ) | REMOVE PHASE entity FROM ERRORLIST | REMOVE ANY entity FROM ERRORLIST ;
  • 108.
    5.3. THE ARIELCONFIGURATION AND RECOVERY LANGUAGE | | condition : 91 CALL NUMBER CALL NUMBER ’(’ list ’)’ ERR NUMBER entity ; As suggested in Sect. 4.2.3.2, a special case of action is a section, i.e., another guarded action. This allows to specify hierarchies (trees) of sections such that, during the run-time evaluation of the recovery strategies, a branch is only visited when its parent clause has been evaluated as true. In the current, prototypic implementation, the following actions have been foreseen: Stop terminates a task or a group of tasks, or initiates the shutdown procedure of a node8 . Isolate prevents an entity to communicate with the rest of the system9 . Reboot reboots a node (via the TIRAN Reboot Node BT). Start spawns (or, in static environments, awakes) a task or a group. Restart is reverting a task or group of tasks to their initial state or, if no other means are available, stopping that entity and spawning a clone of it. Enable awakes a task or group, or boots a node. Send multicasts (or sends) signals to groups of tasks (or single tasks). Warn informs a task or group of tasks that an error regarding an entity has been detected. Action “WARN x” is equivalent to action “SEND {WARN} x” Remove purges records from the section of the DB collecting the errors or the phases of a given entity. Custom actions and conditions may be easily added to the grammar of ARIEL10 . When actions are specified, it is possible to use meta-characters to refer implicitly to a subset of the entities involved in the query. For instance, when the first atom specifies a group of tasks, 8 These services are obtained via specific function calls to the level-1.2 BTs (see the edge from RINT to those BTs in Fig. 5.1). Such BTs, in turn, can either execute, through the BSL, a kernel-level function for stopping processes— if available—or send a termination signal to the involved processes. The actual choice is taken transparently, and RINT only calls one or more times either a TIRAN Stop Task or a TIRAN Stop Node function. 9 This service is obtained as described in the previous footnote. Depending on the characteristics of the adopted platform, isolation can be reached either through support at the communication driver or kernel level, or as follows: when a task opens a connection, a reference to a given object describing the connection is returned to both the user code and the local component of the BB. Action ISOLATE simply substitutes this object with another one, the methods of which prevent that task to communicate. This explains the third application-specific assumption of Sect. 4.1.2. 10 For instance, condition “DEADLOCKED” and action “CALL” (see Appendix C) were added to test the inclusion in ARIEL, respectively, of a provision for checking whether two tasks are in a deadlock (see [EVM+ 98] for a description of this provision) and of a hook to the function call invocation method. These two provisions were easily included in the grammar of ARIEL.
  • 109.
    CHAPTER 5. ADISTRIBUTED ARCHITECTURE BASED ON RεL 92 IF [ FAULTY (GROUP{My Group}) AND NOT TRANSIENT (GROUP{My Group}) ] THEN STOP TASK@ SEND {DEGRADE} TASK∼ FI Table 5.4: This section queries the state of group {My Group} and, if any of its tasks have been detected as affected by a permanent or intermittent fault, it stops those tasks and sends a control message to those considered as being correct so that they reconfigure themselves gracefully degrading their overall service. STOP TASK@1 means “terminate those tasks, belonging to the group mentioned in the first atom of the guard, that fulfil that condition”, while WARN TASK∼2 means “warn those tasks, belonging to the group mentioned in the second atom of the guard, that do not fulfil the second condition”. If one does not specify any number, as in STOP TASK@, then the involved group of tasks is the one that fulfils the whole clause. Table 5.4 shows an example of usage of this feature. Metacharacter “star” (*) can be used to refer to any task, group, or processing node in the system. Actions like STOP TASK* or STOP GROUP* are trapped by the translator and are not allowed. Metacharacter “dollar” ($) can be used to refer in a section to an entity mentioned in an atom. For instance, STOP GROUP$2 means “stop the group mentioned in the second atom of the clause”. The whole context-free grammar of ARIEL is provided in Appendix C. 5.3.3.1 Compile-time Support for Error-Recovery Once fed with a recovery script, the art translator produces a binary pseudo-code, called the r-code. In the current version, this r-code is written in a binary file and in a C header file as a statically defined C array, as in Table 5.5. As can be seen in that table, the r-code is made of a set of “triplets” of integers, given by an opcode and two operands. These are called “r-codes”. This header file needs to be compiled with the application. Run-time error recovery is carried out by the RINT module, which basically is an r-code interpreter. This module and its recovery algorithm are described in the following section. The rest of this section describes how to translate an ARIEL script into the r-code. Within this section and the following one the simple script of Table 5.6 will be used as an example. The following scenario is assumed: a triple modular redundancy (TMR) system consisting of three voting tasks, identified by integers {VOTER1}, {VOTER2}, and {VOTER3} is operating. A fourth task, identified as T{SPARE}, is available and waiting. It is ready to take over one of the voting tasks should the latter fail. The failed voter signals its state to the backbone by entering phase HAS_FAILED through some self-diagnostic module (e.g., assertions or controlflow monitoring). The spare is enabled when it receives a {WAKEUP} message and it requires the identity of the voter it has to take over. Finally, it is assumed that once a voter receives a control message with the identity of the spare, it has to initiate a reconfiguration of the TMR
  • 110.
    5.3. THE ARIELCONFIGURATION AND RECOVERY LANGUAGE 93 /************************************************************* * * * Header file trl.h * * * ariel * * Hardwired set of r-codes for Ariel file Fri Aug 18 2000 * * Written by art (v2.0g 03-Aug-2000) on (c) Katholieke Universiteit Leuven 1999, 2000. * * * * *************************************************************/ #ifndef _T_R_L__H_ #define _T_R_L__H_ #include "rcode.h" #define RCODE_CARD 15 /* total number of r-codes */ rcode_t rcodes[] = { /*line#*/ /* opcode */ /*0*/ { R_INC_NEST, /*1*/ { R_STRPHASE, /*2*/ { R_COMPARE, /*3*/ { R_FALSE, /*4*/ { R_STOP, /*5*/ { R_PUSH, /*6*/ { R_SEND, /*7*/ { R_PUSH, /*8*/ { R_SEND, /*9*/ { R_PUSH, /*10*/ { R_SEND, /*11*/ { R_PUSH, /*12*/ { R_SEND, /*13*/ { R_DEC_NEST, /*14*/ { R_OANEW, /*15*/ { R_STOP, }; /* operand 1 */ -1, 0, 1, 10, 18, 18, 18, 0, 18, 3, 18, 3, 18, -1, 1, -1, /* operand 2 */ -1 }, -1 }, 9999 }, -1 }, 0 }, -1 }, 3 }, -1 }, 3 }, -1 }, 1 }, -1 }, 2 }, -1 }, -1 }, -1 }, Table 5.5: The beginning of header file trl.h, produced by art specifying option “-s”. Array rcodes is statically initialised with the r-code translation of the recovery strategy in the ARIEL script. such that the failed voter is switched out of and the spare is switched in the system. Table 5.6 shows a recovery section that specifies what to do when task {VOTER1} fails. The user needs to supply a section like the one in lines 8–12 for each voting task. Another, more concise method based on defining a group of tasks (as in line 23 of Table 5.2) is discussed in Sect. 7.2.2.4.
  • 111.
    CHAPTER 5. ADISTRIBUTED ARCHITECTURE BASED ON RεL 94 1 INCLUDE "my definitions.h" 2 3 4 5 TASK TASK TASK TASK 6 7 8 IF [ PHASE (T{VOTER1}) == {HAS FAILED} ] THEN STOP T{VOTER1} {VOTER1} IS NODE {NODE1}, TASKID {VOTER1} {VOTER2} IS NODE {NODE2}, TASKID {VOTER2} {VOTER3} IS NODE {NODE3}, TASKID {VOTER3} {SPARE} IS NODE {NODE4}, TASKID {SPARE} 9 10 SEND {WAKEUP} T{SPARE} SEND {VOTER1} T{SPARE} 11 12 13 FI SEND {SPARE} T{VOTER2} SEND {SPARE} T{VOTER3} Table 5.6: Another excerpt from a recovery script: after the declarative part, a number of “sections” like the one portrayed in here can be supplied by the user. Once the specification has been completed, the user can translate it, by means of the art program, into a pseudo-code whose basic blocks are the r-codes (see Table 5.7). A textual representation of the r-codes is also produced (see Table 5.8). Other than syntax errors, art catches a number of semantical inconsistencies which are reported to the user—as an example, a non-sense request, such as asking the phase of a node, gives rise to the following response: bash-2.02$ art -i .ariel -s Ariel translator, v2.0f 25-Jul-2000, (c) K.U.Leuven 1999, 2000. Parsing file .ariel... Line 76: semantical error: Can only use PHASE with tasks if-then-else: ok ...done (85 lines.) 1 error detected --- output rejected. 5.3.3.2 The ARIEL Recovery Interpreter This section briefly describes the ARIEL recovery interpreter, RINT. Basically RINT is a virtual machine executing r-codes. Its algorithm is straightforward: each time a new error or burst of errors is detected, • it executes the r-codes one triplet at a time; • if the current r-code requires accessing the DB, a query is executed and the state of the entities mentioned in the arguments of the r-code is checked;
  • 112.
    5.3. THE ARIELCONFIGURATION AND RECOVERY LANGUAGE 95 bash-2.02$ art -i ariel -v -s Ariel translator, v2.0g 03-Aug-2000, (c) K.U.Leuven 1999, 2000. Parsing file ariel... [ Including file ‘my_definitions.h’ ...9 associations stored. ] substituting {VOTER1} with 0 substituting {NODE1} with 1 substituting {VOTER2} with 1 substituting {NODE2} with 2 substituting {VOTER3} with 2 substituting {NODE3} with 3 substituting {SPARE} with 3 substituting {NODE4} with 4 substituting T{VOTER1} with T0 substituting {HAS_FAILED} with 9999 substituting {WAKEUP} with 18 substituting T{SPARE} with T3 substituting T{VOTER2} with T1 substituting T{VOTER3} with T2 if-then-else: ok ...done (17 lines in 0.02 CPU secs, or 850.000 lines per CPU sec.) Output written in file .rcode. Tasks written in file TaskTable.csv. Preloaded r-codes written in file trl.h. Time-outs written in file timeouts.h. Identifiers written in file identifiers.h. Table 5.7: The art program translates the section mentioned in Table 5.6 into r-codes. The “-i” option is used to specify the input filename, “-v” sets the verbose mode, while “-s” allows to create three header files containing, among other things, an array of pre-loaded r-codes (see Table 5.5). • if the current r-codes requires executing actions, a request for execution is sent to the BB. RINT plays an important role within the RεL architecture—its main objective is establishing and managing a causal connection between the entities of the A RIEL language (identifiers of nodes, tasks, and groups of tasks) and the corresponding components of the system and of the target application. This causal connection is supported by the BB and its DB. In particular, each atom regarding one or more entities is translated at run-time into one or more DB queries. Under the hypothesis that the DB reflects—with a small delay—the actual state of the system, the truth value of the clauses on the entities of the language will have a large probability to tally with the truth value of the assertions on the corresponding components of the system. Furthermore, by means of RINT, symbolic actions on the entities are translated into actual commands on the components. These commands are then managed by the BB as described in Fig. 5.7.
  • 113.
    96 CHAPTER 5. ADISTRIBUTED ARCHITECTURE BASED ON RεL Art translated Ariel strategy file: .... ariel into rcode object file : ............... .rcode line rcode opn1 opn2 ---------------------------------------------00000 SET_ROLE 0 Manager 00001 SET_ROLE 1 Assistant 00002 SET_ROLE 2 Assistant 00003 SET_ROLE 3 Assistant 00004 IF 00005 STORE_PHASE... Thread 0 00006 ...COMPARE == 9999 00007 FALSE 10 00008 STOP Thread 0 00009 PUSH... 18 00010 ...SEND Thread 3 00011 PUSH... 0 00012 ...SEND Thread 3 00013 PUSH... 3 00014 ...SEND Thread 1 00015 PUSH... 3 00016 ...SEND Thread 2 00017 FI 00018 ANEW_OA_OBJECTS 1 00019 STOP Table 5.8: A textual representation of the r-code produced when translating the recovery section in Table 5.6. The RINT task is available and disabled on each BB assistant while it is enabled on the BB manager. Only one execution process is allowed. RINT has the architecture of a stack-based machine—a run-time stack is used during the evaluation of clauses. In a future release of RINT, the run-time stack shall also be used as a means for communicating information between actions. For any r-code being executed, a message will be broadcast to the non-faulty assistants. Next rcode will only be executed when all the non-faulty assistants acknowledge the receipt of this message and update their stack accordingly. This allows to maintain a consistent copy of the current status of the run-time stack on each assistant. Should the manager fail while executing recovery, the new manager would then be able to continue recovery seamlessly, starting from the last r-code executed by the previous manager. Chameleon. It is worth noting how some of the assumptions as well as some of the architectural solutions adopted in the TIRAN prototype and in its EFTOS predecessor have been recently adopted in a system called Chameleon [KIBW99]. This system uses a set of basic tools (called
  • 114.
    5.4. CONCLUSIONS 97 armors) anda distributed component, hierarchically structured into managers and non-managers. These architectural solutions were adopted independently. No configuration nor any linguistic support to error recovery is currently part of Chameleon. 5.4 Conclusions The feasibility of an architecture supporting the recovery language approach for dependablesoftware engineering has been proved by describing the TIRAN framework, and in particular the TIRAN backbone and the configuration and recovery language ARIEL. This language and its runtime system provide the user with a fault-tolerance linguistic structure that appears to the user as a sort of second application-layer especially conceived and devoted to address the error recovery concerns. The strategies and the algorithms of the TIRAN framework have been also described. Next chapters complement this one by focusing on the effectiveness of this architecture.
  • 115.
    98 CHAPTER 5. ADISTRIBUTED ARCHITECTURE BASED ON RεL
  • 116.
    Chapter 6 Using theRecovery Language Approach This chapter focuses on some examples of practical use of the RεL architecture described in Chapter 5. Next chapter complements this one by focusing on the assessment of some of the elements of that architecture. As a matter of facts, an exhaustive analysis and assessment of an ALFT approach is a research activity that requires both serious usability studies as the approach matures and the analysis of many diverse real-life case studies—as it has been observed by the authors of the AOL approach what concerns the systems based on their approach [LVL00]. Hence, a complete and detailed evaluation for a large and complex architecture such as the TIRAN one, in its current prototypic state, is out of the scope of this dissertation. The case studies described in this chapter, as well as the architectural components evaluated in the next one, provide the reader with an idea of the class of applications that RεL may tackle well and of the reasons behind these results, and as such it may be considered as a first effort towards a complete characterisation and evaluation of the RεL approach. Further experimentation will also be carried out in the framework of a new ESPRIT project that is currently being evaluated for acceptance and financing1 . A first case study is given by one of the pilot applications of the EFTOS project: the GLIMP software, embedded into the Siemens Integrated Mail Processor. It is described in Sect. 6.1, and focuses on the SC attribute and on performance issues. Section 6.2 describes how RεL may be used to further improve the dependability of the class of applications that adopt NVP as their main fault-tolerance provision. It is shown how it is possible to exploit RεL in order to enhance the TIRAN distributed voting tool described in Sect. 5.2.3 and attain both location transparency and replication transparency. Section 6.3 reports on the current use that is being made of ARIEL in an industrial application at ENEL in the framework of the TIRAN project. Section 6.4 shows how RεL can be used to enhance the capabilities of the TIRAN basic 1 A proposal for a project called DepAuDE has recently passed the first steps towards official acceptance and financing. DepAuDE stands for “Dependability for embedded Automation systems in Dynamic Environments with intra-site and inter-site distribution aspects”. Aim of the project is to develop an architecture and methodology to ensure dependability for non-safety critical, distributed, embedded automation systems with both IP (inter-site) and dedicated (intra-site) connections. Dynamic behaviour of the systems is also required to accommodate for remote diagnosis, maintenance or upgrades. 99
  • 117.
    100 CHAPTER 6. USINGTHE RECOVERY LANGUAGE APPROACH Figure 6.1: The IMP system. tools in a straightforward way. In particular, a strategy is described, devised at CESI and ENEL, which exploits the availability of a number of processing nodes in order to obtain high-safety or high-availability watchdogs from multiple instances of the simple, node-local TIRAN watchdog. Section 6.5 concludes the chapter summarising the positive aspects of RεL in the reported case studies. 6.1 A Case Study: The Siemens Integrated Mail Processor A first case study deals with an application in the industrial automation domain: an automatic mail sorting system developed by Siemens, the Integrated Mail Processor (IMP) [Ele00], is described. Figure 6.1 draws a typical configuration of the IMP. Such system may be defined as an integrated system for automated letter sorting designed to operate at country-level—according to Siemens, “the latest innovation in the automation of letter sorting”, combining the processing steps of several individual machines, from pre-processing, to reading and encoding, and up to sorting. Conceived and developed in close cooperation with one of the largest European postal services, the IMP is designed to avoid any manual handling and to ensure that no machinable mail is rejected under normal operating conditions. This section: • First introduces the class of problems addressed by IMP (in Sect. 6.1.1). • Then, in Sect. 6.1.2 and 6.1.3, it describes the hardware and software structures of a version of IMP, based on the Parsytec CC system, which has been subject of investigation during project EFTOS. • Next, Sect. 6.1.4 describes the main design requirements of IMP related to both real-time and dependability. • Section 6.1.5 finally describes how the RεL approach was used in this case study and what results were obtained. The main reference for this section is [BGB+ 96]. In particular, all figures related to realtime, throughput, and dependability requirements for the described application are from the cited document. 6.1.1 Automatic Mail Sorting Machines Automatic Mail Sorting machines are used by many postal services all over the world to optimise the delivery of letters, flats, and packets. Typically, they must be able to transport and sort up to 36000 letters per hour. The main components of an automatic mail sorting machine are the
  • 118.
    6.1. A CASESTUDY: THE SIEMENS INTEGRATED MAIL PROCESSOR 101 Figure 6.2: General Structure of Automatic Letter Sorting. Figure 6.3: Schematic Data Flow of Image Processing. transport machine, the scanner, the address reader (or OCR, i.e., Optical Character Recognition module), and the mechanical sorter. Today OCRs are able to recognise more than 90% of machine printed addresses with error rates less than 1%. The general structure of a typical sorting automation is illustrated in Figure 6.2. The OCR has to extract the address information from the mail piece image. A strong requirement for the OCR is that the address information must arrive at the sorter within the time interval given by the mail transport between scanner and sorter, otherwise the mail piece would be rejected. The required performance calls for a solution based on high-performance computing technology. The actual hardware structure adopting this technology is described in 6.1.2. Two main parts can be distinguished in the OCR software: a control module and the algorithmic modules. • The control module is responsible for the correct collaboration of all algorithmic modules. Part of its task is to detect anomalous behaviour and take appropriate actions in such a case. As an example of this, it supervises the deadlines imposed by the rate at which letters are provided given by the physical transport characteristics of the system. In case of breaking of deadlines, corrective actions are required. • The algorithmic modules are responsible for the recognition task. They are purely dataflow driven and are not affected by modifications of the control software (and vice-versa). During the EFTOS project, a specific functional part of the recognition module has been subject to investigation—the GLIMP (Gray Level IMage Processing) package. The purpose of GLIMP is to analyse the images of the scanned letters according to their various regions of interest (ROIs). From the mail sorting point of view, the most important ROI is clearly the address, however other ROIs located on the envelope of a letter are very important to the postal services (for example, for purposes of revenue protection and fraud detection, it is required to find and classify the stamp or the meter mark of the letter). Other labels indicate registered mail or foreign mail. The task of this ROI-analysis sub-system is performed in parallel in order to meet the real-time constraints of the sorting system. The global data flow can be described by the scheme of Fig. 6.3. The raw image of the scanner is fed into two image paths, one processing the image towards binarisation, the other one providing the ROI-analysis of the image, that execute in parallel. The results of this analysis is then used to extract the relevant parts of the image from the binarised image. Only these parts are further transmitted to the character recognition system. The second output of the ROI-analysis is the classification result, e.g. the value of a recognised stamp, or the presence and position of certain labels. These results are transmitted to the machine control (MC) in order to initiate special processing of the respective mail piece in the sorting system.
  • 119.
    102 CHAPTER 6. USINGTHE RECOVERY LANGUAGE APPROACH Figure 6.4: Hardware Architecture of Image Processing Sub-System. Figure 6.5: Software Process Graph. 6.1.2 Hardware Structure The ROI-analysis of the mail piece images is performed in the original scanned grey level image. It is realised on a hardware platform physically separated from the recognition system. The implementation addressed in EFTOS and reported herein is based on the Parsytec CC system. As mentioned before, the CC is a MIMD supercomputer based on the 133-MHz PowerPC processor. This system hosts two types of nodes—the so-called I/O nodes, that communicate with external devices via a PCI bus, and the so-called compute nodes, purely devoted to processing. Both nodes communicate with each other via HS-links (high-speed links). The interfaces between the CC and the rest of the system is realised by PCI plug-in boards and via an Ethernet connection. A simple representation of the hardware architecture can be seen in Fig. 6.4. The images generated in the scanner are stored in an appropriate number of image buffers. The PCI bus interface of the I/O-node allows the images to be read into the system. Further distribution of parts of the images towards the compute node is realised via the HS-link connections. The compute nodes execute the algorithms for image processing and classification of the region of interest. The results of the analysis are passed on to the recognition system across the second I/O node and its PCI interface. The overall machine control interacts with the ROI-analysis system via an Ethernet connection. 6.1.3 Software Structure The overall software structure is completely data driven. An initial process, the Image Dispatcher (ID), receives parts of the images (regions) from the image buffer on request. Along with the image data comes a Region Descriptor (RD) indicating the type of the region. Both information is then distributed to a farm of algorithmic worker processes (AW) doing the image processing and classification algorithms. The distribution is controlled by the ID process according to some appropriate load balancing heuristics. The results of the AWs are collected in a Result Manager (RM) process. Once all relevant results belonging to a mail piece are available at the RM, it forwards them to the MC (machine control) and releases the images at the ID. The process graph of the software is depicted in Fig. 6.5. 6.1.4 Design Requirements The overall performance characteristics of the mail sorting system vary according to the different customer requirements. The peak throughput requirements that had to be met at the time were in the order of 40000 mail pieces per hour. This means that the machine had to process about 11 mail pieces each second on the average. However, the mechanical transport of the mail pieces
  • 120.
    6.1. A CASESTUDY: THE SIEMENS INTEGRATED MAIL PROCESSOR 103 through the sorting machine is setting the upper limit for throughput. Transport speeds of several metres per second were achieved; higher speeds increase the probability of damaging the mail pieces. Beside the requirements for throughput, further boundary conditions influence the real-time behaviour of the system. In on-line mail sorting systems, the mail pieces are continuously moving through the system from the feeder to the final sorter bin2 . This means that each processing stage has to produce its results within some given amount of time. For example, the address recognition result needs to be available before the mail piece physically arrives at the sorter entry. The time each processing stage needs requires for an expensive mechanical storage line. The total latency of a mail piece in the complete sorting system is in the order of 10–20 seconds. For the ROI-analysis module investigated in EFTOS, i.e., GLIMP, the allowed latency time is in the order of one second. Dependability requirement for such a system include: • minimising the failures of the system; • confining the effects of errors through graceful degradation, avoiding as much as possible total system failures and allowing operability at reduced throughput. • In the event of total system failures due to unforeseen situations, i.e., a power failure, the recovery times must be kept to a minimum. In GLIMP, the algorithms of the image analysis are implemented as distributed software processes communicating with each other and with the rest of the system. The input to GLIMP is originating from a piece of hardware (image buffer, filled by the scanner, triggered by the mechanical letter movement) with strict real-time requirements, while the output is sent down a TCP/IP Ethernet connection, which is not real-time. The most frequent problems with the realisation of the ROI-analysis are caused by unstable behaviour of the software processes. Dealing with real-life images means processing of unknown data with unpredictable properties. As mentioned in Sect. 1.1.1.3, given the amount of software complexity and the requirement of reduced development cycle times of nowadays’ software, the incremental process of software testing is an activity that can never be comprehensive at justifiable costs. Hence, data induced malfunctioning of the software may cause a software process to hang up3 . One possible consequence of this is that a real-time deadline is missed. However, another consequence could be that a second process waiting for communication with this faulty process also gets stuck. In this way, the error condition can propagate through the whole system. Another effect of a data induced error may be the corruption of memory on the processor by writing outside of the processes address space. In this way other processes running on the same processor might be also corrupted by the faulting process. The occurrence of data induced software errors cannot be completely avoided. In the operational environment of the mail sorting, it is acceptable to lose the processing of one mail piece, but it is not acceptable that one faulty mail piece causes subsequent faults resulting in the loss of more mail pieces. Hence, it is important to detect errors as they occur, to confine them in a limited area, and to recover from the error as quick as possible. 2 3 Or to a so-called “unsorted bin”, in case of occasional failures of the classification algorithms. The GLIMP workers have performance/crash failure semantics.
  • 121.
    104 6.1.5 CHAPTER 6. USINGTHE RECOVERY LANGUAGE APPROACH Results Obtained and Lessons Learned The author of this dissertation and two colleagues of the ACCA Division had the possibility to work with the actual GLIMP libraries and to embed it into the so-called EFTOS Vertical Integration Test Application (VITA) —a farmer worker application developed by the colleagues of the National Technical University of Athens and used within EFTOS in order to exercise and test different demonstrations. This test application played the role of the control module, while the actual GLIMP libraries were used for the algorithmic modules. The VITA/GLIMP application was successfully demonstrated at one of the EFTOS review meetings. The enhanced version was simply the combination of GLIMP with the VITA, which in turn used a watchdog process, the prototypic backbone component developed in EFTOS and a few other ancillary codes. The watchdog informed the backbone of errors concerning the GLIMP processes. On receipt of such messages, the backbone automatically stopped and restarted the watched processes. In case of node crashes affecting both watched tasks and watchdogs, it was the backbone that detected such event by means of a variant of the AMS algorithm described in Sect. 5.2.4.14 . The performance overhead for the overall system with respect to the unmodified Siemens application was of about 15%. The increase of the binary size was of approximately 500 kilobytes. This quantity includes the codes of: the backbone, the watchdog, the VITA, and an ancillary code for communication management. The code intrusion in the VITA was limited to the code to configure and manage the watchdog (no configuration language was available in EFTOS). Error recovery produced no code intrusion, because a simple recovery action had been hardwired in the EFTOS backbone, hence outside the user application (the VITA). No amount of code was intruded in the GLIMP libraries, which were only available in the form of object code. Fast reboot and task restart were obtained through specific kernel-level provisions made available by Parsytec on their CC system. From the point of view of the structural attributes defined in Sect. 1.1.2, one can conclude that it was possible to obtain an optimal degree of SC and SA. Obtained results [Tea98] have been encouraging: the resulting application, run on a 2-node system, was able to tolerate process failures and node crash failures triggered by software fault injection, but also to revert to full throughput mode at the end of error recovery. Another version of the VITA, mimicking the original OCR control module but exploiting no fault-tolerance provisions, halved the system throughput when a first fault was injected, and stopped the system functions on the second injection. Indeed, GLIMP provides us with an example of a class of applications that well exploit the current properties of our first RεL prototype—the class of • parallel or distributed industrial automation applications, • with real-time requirements such that violations of the agreed deterministic timing behaviour are acceptable at error recovery time, • written in a procedural language such as C, 4 As explained in Sect. 5.2.4.1, the AMS allows to detect a node crash as a lack of a TEIF message within a known deadline.
  • 122.
    6.2. ENHANCEMENT OFA TIRAN DEPENDABLE MECHANISM 105 • structured as a farmer-worker application, • with a stateless worker process. The case study reported so far taught us that, at least for this class, it is possible to make effective use of RεL in order to increase both service throughput and dependability with minimal effort in terms of development costs and time. In particular, RεL can be qualitatively assessed as reaching very good values for properties such as SC and SA. On the contrary, with respect to the structural attributes, all the ALFT structures reviewed in Sect. 3 either do not address this class of applications or they would require a complete rewriting of the application in order to obtain similar results. This happens also because GLIMP is an example of those applications that may be called company asset codes—longly-run, longly-tested, large applications typically written in a procedural (non-object-oriented) standard language. These hypotheses forbid the adoption of approaches such as MV, AOP, MOP, and the adoption of ad-hoc programming languages. The lack of systems supporting RMP forbids its use as well. 6.2 Enhancement of a TIRAN Dependable Mechanism As observed by the designers of GUARDS [PABD+ 99], many embedded systems may benefit from an hardware architecture based on redundancy and consensus in order to fulfil their dependability requirements. As pointed out in Sect. 1.1.1.3, such a hardware architecture needs to be coupled with some application-level strategy or mechanism in order to guarantee end-to-end tolerance of faults5 . The software architecture described in this dissertation may support in many ways the class of applications eligible for being embedded in a GUARDS system instance. The main tool for this is the TIRAN DV (described in Sect. 5.2.3). This section describes how it is possible to further increase the dependability of the TIRAN DV by using ARIEL as both a configuration and a recovery language and making use of the TIRAN framework. An assessment of these enhancements is reported in Sect. 7.1. The system realises a sophisticated N -version programming executive that implements the software equivalent of an NMR system. Because of this assumption, the user is required to supply four versions of the same software, designed and developed according to the N -version approach [Avi85]. This requirement can be avoided if it is possible to assume safely that no design faults resulting in correlate failures affect the software. To simplify the case study it is assumed that the service provided by any of the versions or instances is stateless. When this is not the case, the management of the spare would also call for a forward recovery mechanism—e.g., the spare would need to acquire the current state of one of the non-faulty tasks. Furthermore, when using pipelines of N-version tasks under strict real-time requirements, further techniques (currently not part of the prototype presented in this work) would be required in order to restore the state of the spare with no repercussion on the real-time goals (see [BDGG+ 98] for an example of these techniques). 5 This way, also software design faults would be addressed.
  • 123.
    106 CHAPTER 6. USINGTHE RECOVERY LANGUAGE APPROACH The enhanced TIRAN DV described in what follows is representative of the class of applications that are best eligible for being addressed via an ALFT structure such as NVP. This section describes how RεL provides to those applications two additional features, namely, support of spares and support of fault-specific reconfiguration, which are not part of plain NVP systems. A system of four nodes is assumed. Nodes are identified by the symbolic constants NODE1, . . ., NODE4, defined in the header file nodes.h. Header file my_definitions.h contains a number of user definitions, including the unique-id of each version task (VERSION1, . . ., VERSION4) and the local identifier of each version task (in this case, on each node the same identifier is used, namely VERSION). In the same file also the time-outs of each version are defined (TIMEOUT_VERSION1, . . ., TIMEOUT_VERSION4). Let us consider the following ARIEL script: INCLUDE "nodes.h" INCLUDE "my definitions.h" TASK TASK TASK TASK {VERSION1} {VERSION2} {VERSION3} {VERSION4} IS IS IS IS NODE NODE NODE NODE {NODE1}, {NODE2}, {NODE3}, {NODE4}, TASKID TASKID TASKID TASKID {VERSION} {VERSION} {VERSION} {VERSION} N-VERSION TASK {TMR PLUS ONE SPARE} VERSION 1 IS TASK {VERSION1} TIMEOUT {TIMEOUT VERSION1}ms VERSION 2 IS TASK {VERSION2} TIMEOUT {TIMEOUT VERSION2}ms VERSION 3 IS TASK {VERSION3} TIMEOUT {TIMEOUT VERSION3}ms VERSION 4 IS SPARE TASK {VERSION4} TIMEOUT {TIMEOUT VERSION4}ms VOTING ALGORITHM IS MAJORITY METRIC "tmr cmp" ON SUCCESS TASK 20 ON ERROR TASK 30 END N-VERSION IF [ PHASE (T{VERSION1}) == {HAS FAILED} || FAULTY T{VERSION1} ] THEN STOP T{VERSION1} SEND {WAKEUP} T{VERSION4} SEND {VERSION1} T{VERSION4} SEND {VERSION4} T{VERSION2} SEND {VERSION4} T{VERSION3} FI IF [ PHASE (T{VERSION2}) == {HAS FAILED} || FAULTY T{VERSION2} ]
  • 124.
    6.2. ENHANCEMENT OFA TIRAN DEPENDABLE MECHANISM 107 THEN STOP T{VERSION2} SEND {WAKEUP} T{VERSION4} SEND {VERSION2} T{VERSION4} SEND {VERSION4} T{VERSION1} SEND {VERSION4} T{VERSION3} FI IF [ PHASE (T{VERSION3}) == {HAS FAILED} || FAULTY T{VERSION3} ] THEN STOP T{VERSION3} SEND {WAKEUP} T{VERSION4} SEND {VERSION3} T{VERSION4} SEND {VERSION4} T{VERSION2} SEND {VERSION4} T{VERSION1} FI The above script consists of two parts—one for managing the configuration of tasks and tools, the other for describing a recovery strategy. The following two subsections describe the two parts. 6.2.1 Configuration The configuration section of the script just shown defines four tasks, each running on a different node of the system. This decision has been taken to reduce the probability of a common source for multiple failures, in case of a crash of a node. It is worth noting that this design decision—the physical location of the tasks—is made outside the application code and can be changed with no repercussion on it, thus allowing location transparency and high SC. Three of the four tasks are then configured as versions of a TIRAN DV (see Sect. 5.2.3). The fourth task (VERSION4) is configured as a spare. This means that, when task TMR PLUS ONE SPARE is launched, the first three tasks arrange themselves as components of a TIRAN DV, with each task assisted by a local voter as described in the aforementioned section. On the contrary, the fourth task is blocked waiting for the arrival of a special “wakeup” signal. Feeding the ARIEL translator with the configuration script as described in Sect. 5.3.3.1, a number of source codes are produced, including: • The basic user tasks of a TIRAN DV consisting of three modules, an example of which can be seen in Table 5.3. • The spare user task, initially waiting for the arrival of a wakeup message.
  • 125.
    108 CHAPTER 6. USINGTHE RECOVERY LANGUAGE APPROACH • Task TMR PLUS ONE SPARE. This task is in charge of the: 1. Transparent set up of the TIRAN DV via the TIRAN CreateTask function of the TIRAN BSL. 2. Management of the replication of the input value. 3. Declaration and insertion in the TIRAN TOM of the set of time-outs that represent an upper limit to the duration of the base tasks. This upper limit is set by the user and known by one of the hypotheses of the timed-asynchronous distributed system model defined on p. 46 (all services are timed). 4. De-multiplexing and delivering the output value. In the absence of faults, task TMR PLUS ONE SPARE would appear to the user as yet another version providing the same service supplied by tasks VERSION1,. . . ,VERSION4. The only difference would be in terms of a higher reliability (see Eq. 7.1) and a larger execution time, mainly due to the voting overhead (see Sect. 7.2.2.4). Location transparency in this case is supported by ARIEL, while replication transparency is supported by the TIRAN DV. The degree of code intrusion in the application source code is reduced to the one instruction to spawn task TMR PLUS ONE SPARE. No support for the automatic generation of makefiles is provided in the current version of the ARIEL translator, so the user needs to properly instruct the compilation of the source files written by the translator. 6.2.2 Recovery The recovery section of the ARIEL script on p. 106 defines a recovery strategy for task TMR PLUS ONE SPARE. When any error is detected in the system and forwarded to the backbone, the backbone replies to this stimulus as follows: 1. It stores the error notification in its local copy of the DB. 2. It updates the α-count variable related to the entity found in error. 3. If the notification is local, i.e., related to a local task, then the local component of the BB forwards the notification to the other components. 4. If the local BB entity plays the role of coordinator, it initiates error recovery by sending a “wakeup” message to the recovery interpreter. This latter orderly reads and executes the r-codes. Table 6.1 shows a trace of the execution of some of the r-codes produced when translating a simplified version of the ARIEL script on p. 106. As already mentioned, RINT implements a virtual machine with a stack architecture. Line 5 starts the scanning of a guard. Line 6 stores on RINT’s run-time stack the current value of the phase of task 0 (the value of symbolic constant VERSION1). Line 7 compares the top of the run-time stack with integer HAS FAILED. The result, 0 (false) is stored on top of the stack. Line 8 checks the top of the stack for being 0. The condition is fulfilled, so a jump is made to line
  • 126.
    6.2. ENHANCEMENT OFA TIRAN DEPENDABLE MECHANISM 5 6 7 8 18 19 20 21 22 23 24 25 26 27 28 29 30 31 32 33 34 35 36 37 38 48 49 109 IF statement. STORE-PHASE: stored phase of task 0, i.e., 0. COMPARING(9999 vs. 0): Storing 0. Conditional GOTO, fulfilled, 18. FI statement. OA-RENEW. IF statement. STORE-PHASE: stored phase of task 1, i.e., 9999. COMPARING(9999 vs. 9999): Storing 1. Conditional GOTO, unfulfilled, 24. KILLING TASK 1. PUSH(10). SEND MSG 10 to TASK 3. PUSH(1). SEND MSG 1 to TASK 3. PUSH(3). SEND MSG 3 to TASK 2. PUSH(3). SEND MSG 3 to TASK 0. FI statement. OA-RENEW. IF statement. STORE-PHASE: stored phase of task 2, i.e., 0. COMPARING(9999 vs. 0): Storing 0. Conditional GOTO, fulfilled, 48. FI statement. OA-RENEW. Table 6.1: Trace of execution of the r-codes corresponding to the recovery section of the ARIEL script on p. 106. Number 9999 is the value of constant HAS FAILED. 18 of the r-code list. That line corresponds to the end of the current IF statement—the guard has been found as false, therefore the corresponding recovery actions have been skipped. Then, on line 19, some internal variables are reset. Line 20 starts the evaluation of the clause of the second IF of the recovery script. The scenario is similar to the one just described, though (on line 22) the phase of task 1 (that is, VERSION2) is found to be equal to HAS FAILED. The following conditional jump is therefore skipped, and a stream of recovery actions is then executed: task VERSION2 is terminated on line 24, then value 10 (WAKEUP) is sent to task VERSION4 by means of r-code SEND (which sends a task the top of the run-time stack), and so forth, until line 33, which closes the current IF. A third guard is then evaluated and found as false. Clearing some internal structures closes the execution of RINT, which again “goes to sleep” waiting for a new “wakeup” message to arrive.
  • 127.
    110 CHAPTER 6. USINGTHE RECOVERY LANGUAGE APPROACH Figure 6.6: A global view of the state and shape of the target application, as rendered by a monitoring CGI script. In this case a four processing node system is used. Node 0 hosts the main component of the backbone. The circular icons are hypermedia links (see Fig. 5). The small icon on the bottom right links to the execution trace of the A RIEL interpreter. Figure 6.7: A view to the events tracked while monitoring processing node 0. This view can be obtained by selecting the top circular icon of Fig. 6.6. Events are ordered decreasingly with respect to their conclusion time. Times are expressed in seconds and measured through the local clock. Going from bottom to top: on line 15 process 2 is detected as faulty. On 16, that process is terminated. On 17, a new process (a spare voter) is awaken. On 18 and 20, respectively voter 0 and 1 acknowledge the reconfiguration. This allows to retry a global consensus that succeeds (see lines 21, 23, and 24). Finally all voters acknowledge their termination. Figure 6.6, 6.7, and 6.8 show three different views to a TMR-and-one-spare system at work, as displayed by the TIRAN monitoring tool in a Netscape client [DFDT+ 98]. The first picture renders the current state and shape of the overall target application. Figure 6.7 summarises the framework-level events related to processing node 0. In particular, a value domain failure is injected on the voter on node 2. This triggers the execution of a recovery script which reconfigures the TMR isolating the voter on node 2 and switching in the spare voter on node 3. The execution trace of the r-codes in this script is displayed in Fig. 6.8. It is worth noting how, modifying the base recovery strategy of the ARIEL script on p. 106 does not require any modification in the application source code—not even recompiling the code, in case the r-codes are read from an external means (e.g., from a file). The two design concerns— that of the fault-tolerance software engineer and that of the application software engineer—are kept apart, with no repercussions on the maintainability of the service overall. To prove this, let us consider the ARIEL excerpt in Table 6.2. Such a strategy is again based on a TMR plus one spare, though now, before switching off the faulty version and in the spare, the current value of the α-count filter related to the current version is compared with a threshold supplied by the user in the configuration section. If the value is below the threshold, it is not possible to assess that the fault affecting {VERSION1} is permanent or intermittent. In this case, the faulty task is restarted rather than substituted. In other words, another chance is given to that version, while its “black list” (its α-counter) is updated. As mentioned in Sect. 5.2.4.2, research studies have shown that, whatever the threshold, the α-count is bound to exceed it when the fault is permanent Figure 6.8: As soon as an error is detected—in this case, a voter has been found in minority— RINT starts executing the r-codes. This picture is the execution trace of the r-codes in Table 5.5 and in Table 5.8. Numbers refer to the code lines in those tables. Note how, at line 37, the state information of task 2 is found to be equal to “9999” (HAS FAILED). As a consequence, a number of actions are executed in lines 39–47. In particular, task 2 is terminated at line 39.
  • 128.
    6.2. ENHANCEMENT OFA TIRAN DEPENDABLE MECHANISM 111 ALPHACOUNT {VERSION1} IS threshold = 3.0, factor = 0.4 END IF [ PHASE (T{VERSION1}) == {HAS FAILED} || FAULTY T{VERSION1} ] THEN IF [ TRANSIENT T{VERSION1} ] THEN RESTART T{VERSION1} SEND {VERSION1} T{VERSION2} SEND {VERSION1} T{VERSION3} ELSE STOP T{VERSION1} SEND {WAKEUP} T{VERSION4} SEND {VERSION1} T{VERSION4} SEND {VERSION4} T{VERSION2} SEND {VERSION4} T{VERSION3} FI FI Table 6.2: An ARIEL script for a TMR-plus-one-spare system that exploits the α-count technique to avoid unnecessary reconfigurations. or intermittent. In the latter case, therefore, sooner or later the second strategy is to be executed, permanently removing the faulty version. It is worth noting how the adoption of such a scheme, which is no longer purely based on masking the occurrence of a fault, in general implies an execution overhead that may violate the expected real-time behaviour—during error-recovery. Further support towards graceful degradation when spares are exhausted could also be foreseen. 6.2.3 Lessons learned Enhancing the TIRAN DV allowed to include two special services (spare support and faultidentification) into those offered by NVP systems. For those applications that best match with the MV ALFT approach, and with NVP in particular, those services allow to further increase the dependability without being detrimental to SC—i.e., without intruding code. Eligible applications include coarse-grained, distributed or parallel applications, i.e., those addressed by RεL. Furthermore, safety-critical parallel or distributed airborne and spaceborne applications appear to be well addressed by those services. It must be remarked, though, that the safety-critical character of these applications calls for specific framework-level and system-level support, such as the one provided by the GUARDS architecture [PABD+ 99], a generic, parametrisable hardware and OS architecture for real-time systems, which straightforwardly supports the NVP scheme.
  • 129.
    112 6.3 CHAPTER 6. USINGTHE RECOVERY LANGUAGE APPROACH The Recovery Language Approach at ENEL This section reports on the use that is being made of the TIRAN framework and, in particular, of the ARIEL language, at ENEL in the framework of their collaboration with the research centre CESI, a member of the TIRAN consortium. The main reference for this section is [BDPC00]. At the time of writing, no complete prototype of an ARIEL strategy has been coded at ENEL yet, though its overall design has been completed. The level of detail of this design is such that the configuration and the recovery actions to be adopted have been determined. The corresponding scripts will be written at ENEL and demonstrated at the final review meeting of the TIRAN project. The rest of this section is structured as follows: • The general context of the case study and its motivations are introduced in Sect. 6.3.1. • Next, the application grounding the case study is described in Sect. 6.3.2. • Section 6.3.3 briefly summarises the dependability requirements of the ENEL pilot application. • The TIRAN case study is then drawn in Sect. 6.3.4. • Finally, Sect. 6.3.5 summarises the lessons learned from the reported experience. 6.3.1 General Context and Motivations As mentioned before, ENEL is the main electricity supplier in Italy. ENEL produces, transports, and distributes electricity all over the country. These processes are nowadays largely automated, and huge investments are currently being made at ENEL in order to update the automation systems designed to support these processes. The ENEL energy distribution system is a meshed network connecting high-voltage lines to the final users. Its nodes of interconnection are: • Primary substations (PS), connected to high-voltage lines, transform and distribute energy to secondary substations and to medium-voltage customers. The PS consist of a set of electrical component (switches, insulators, transformers, capacitors and so forth) and of an automation system. • Secondary substations, which transform and distribute energy to low-voltage customers. As part of this major activity, ENEL is currently renewing their park of so-called primary substation automation systems (PSAS) which serve 2000 PS. Plans are to renew 30–50 PS per year. Another goal at ENEL is to reduce the dependency to dedicated hardware systems, at the same time guaranteeing the current degree of dependability and efficiency and reducing maintenance costs. The PSAS architecture is controlled by an automation application, consisting of a so-called “local control level” (LCL) and a number of peripheral units distributed on the plant. Among
  • 130.
    6.3. THE RECOVERYLANGUAGE APPROACH AT ENEL 113 Figure 6.9: The demonstrator layered architecture. its functions, the LCL performs local control, supervision of the peripheral units, switching in of protection provisions, and interfacing to remote control systems and to local and remote operators. 6.3.2 The ENEL Pilot Application The case study described in the rest of this section originates in the framework of the above internal activities of ENEL. It is a pilot application from the domain of energy distribution automation systems, embedded in their PSAS. The automation application behaves as a cyclic state machine: • it reads sampled input from the field (i.e., the plant); • on the basis of this input and of the current state, it produces the next state and provides a new output to the field (that is, it acts as a Moore automaton, see [AH75]). This state machine is in fact composed by many cooperating automata. The state transitions of these automata are synchronised and lead to a state transition of the whole state machine. The cycle time (Tcycle ) for the state machine to complete its execution, namely, the time between two subsequent input reads, is a key parameter that depends on the plant constraints and characterises the automation application. The TIRAN pilot application derives from the just sketched automation application and provides a subset of the functions of the LCL module, namely those related to the protection and the management of the PS and of the plant. The software architecture for the ENEL pilot application is illustrated in Fig. 6.9. It includes the following modules: • An application code (APL) that executes control functions. • The so-called “basic software” (BSW), replicated on the available nodes and responsible for – providing the application code with input values and states, – receiving the new output value from the APL, and – invoking fault-tolerance provisions. • The TIRAN framework, which provides fault-tolerance functionality. • The TEX/VxWorks kernels, which provides low-level support for distributed communication and other basic services [TXT97, Win99].
  • 131.
    114 CHAPTER 6. USINGTHE RECOVERY LANGUAGE APPROACH Figure 6.10: Scheme of execution of the BSW and the APL. Only one of them is in the run state at any time t. The ticker line represents the time spent in the run state. Action “get” is executed by the BSW to receive data from the field and stable states from SM. “Write” and “read” act on the EM. “Compute” is carried out by the APL and is the elaboration of the new state and outputs. The BSW executes action “store” to write these values into SM. The rectangle represents the duration of a system cycle (Tcycle ). Both APL and BSW are distributed applications whose module run on each node of the system. On each node, the APL and the BSW communicate exclusively through a shared memory bank called the “exchange memory” (EM)6 . The overall system evolves by executing alternatively the BSW and the APL as depicted in Fig. 6.10. The basic cycle of the APL is as follows: • At the beginning of the current cycle, the inputs from the field and the current state of the automata are read from the EM. • During the current cycle a new state and set of outputs are computed. • At the end of the current cycle, the computed new state and outputs are stored into the EM. The basic cycle of the BSW is as follows: • At the beginning of the current cycle, the BSW receives input from the field, timer values from the local clock, and stable states from a stable memory module (SM), and writes all these data into the EM. Furthermore, the BSW activates a set of provisions among those of the TIRAN fault-tolerance framework, including SM. • It then waits until the end of the current cycle. • At the end of the cycle the BSW reads output and new states from the EM and stores them into the SM. • The new cycle is then initiated. 6.3.3 Dependability Requirements A number of dependability requirements characterise the TIRAN pilot application [BCDF+ 99], focusing in particular on availability, integrity and safety. They include: 1. Any first fault affecting either the electric network or the fault-tolerance system must be tolerated. 6 The EM is virtually structured as a single bank for the whole application; physically, it is partitioned and distributed over the available nodes according to the the strategy of partitioning and allocation of the application. On the start of each new cycle, the blocks of the EM are synchronised and updated by the BSW modules.
  • 132.
    6.3. THE RECOVERYLANGUAGE APPROACH AT ENEL 115 Figure 6.11: The target system for BSW2. 2. In case of a second fault, the plant must be left in a safe state preserving human operators and electric components, and must prevent wrong output. 3. The automation system must guarantee EMI compatibility compliance [Uni95]. 4. It must tolerate transient faults affecting the system behaviour. 6.3.4 Description of the Case Study The software component that constitutes the subject of the case study proposed by ENEL is the BSW. The main reason for this choice lies in the fact that that component is the one managing the fault-tolerance aspects of the overall automation application. Two fault-tolerance strategies have been envisaged at ENEL. The first strategy derives from early ENEL automation systems that performed hardware-based fault-tolerance. In these systems, the entire automation system evolved cyclically according to a fixed time duration, at the end of which an external signal forced a cold restart. This was done for containing the effects of faults within one cycle. The duration of the cycle, Tcycle , is a parameter related to the real-time requirements of the system. The usage of the periodic restart signal translated in an effective strategy, validated by several years of profitable utilisation, though it implies hard constraints for the underlying hardware and OS. In particular, these constraints forbid the adoption of COTS components and translate into huge performance penalties. Further information on this strategy can be found in [DBC+ 98]. This strategy still focuses on the periodic restart signal as the main fault-tolerance provision. Furthermore, it does not focus on ARIEL, so it will not be described in what follows. Because of the above mentioned constraints, ENEL is currently trying to eliminate this dependency by defining a second strategy addressing industrial PC hardware and COTS OS. The rest of this paragraph describes this new strategy, called “BSW2”, which is centred on ARIEL . Figure 6.11 describes the target system for BSW2, based on industrial PC/VxWorks. In this case no external synchronisation and no periodic restart is adopted. Key points with BSW2 are the following ones: • Detection and isolation of faulty nodes or software components. • Reconfiguration. • Substituting the systematic, predetermined periodic restart with an occasional reset of the isolated node, triggered by the detection of errors. • Re-integration of the recovered nodes and application components. In this context, ARIEL and the TIRAN backbone play the following roles:
  • 133.
    116 CHAPTER 6. USINGTHE RECOVERY LANGUAGE APPROACH Figure 6.12: Initial configuration of the APL in a system of 3 nodes (strategy BSW2). • Initial configurations of tasks, logicals (groups) and nodes are specified in ARIEL. • Error detection is managed via custom diagnostic functions developed at ENEL and with instances of the TIRAN watchdog or of the “redundant watchdog” component described in Sect. 6.4. Both tools execute the RaiseEvent function to notify the backbone of their deductions. • A RIEL is in charge for the specification and the management of the complete reconfiguration strategy. Error recovery is managed exploiting linguistic support towards: – Low-level support to node isolation. – Application reconfiguration. – Propagation of the alarm to the operator. BSW2 exploits the BB services and ARIEL to accomplish error detection and consequent reconfiguration of BSW and APL layers. It is assumed that the target system consists of N > 1 nodes. The APL is present on each of the N nodes with N replicas. On node n ∈ [1, N ], these replicas are collectively denoted as group PartAPLn . Only one of the N replicas available on node n is activated. NodeAPLn denotes the APL task, belonging to PartAPLn , that is active on node n. Also the BSW is present on each of the N nodes, but no replication scheme is adopted. NodeBSWn represents the BSW component located on node n. The following two paragraphs detail the current state of design for the strategies of configuration and error recovery developed at ENEL for the TIRAN pilot application. Configuration. Figure 6.12 shows the initial configuration of the APL in a system with three nodes. The APL is partitioned in three blocks, of which only one is active per node (the one depicted as a filled circle). Table 6.3 gives the mapping between portion identifiers and the corresponding TIRAN global and local task identifiers. This configuration step is performed in ARIEL as it has been described in Sect. 5.3.2.1. ARIEL is also used to define the following three logicals: Logicals PartAPL1 PartAPL2 PartAPL3 Unique-id list 0,3,6 1,4,7 2,5,8. Tasks are addressed by the above logicals—the actual identity of the active task within each partition is kept transparent.
  • 134.
    6.3. THE RECOVERYLANGUAGE APPROACH AT ENEL Blocks NodeAPL1 NodeAPL2 NodeAPL3 NodeBSW1 NodeBSW2 NodeBSW3 Unique-id 0 4 8 9 10 11 117 local task-id, node-id (t0 , n1 ) (t1 , n2 ) (t2 , n3 ) (t3 , n1 ) (t3 , n2 ) (t3 , n3 ) Table 6.3: Map of blocks to unique-ids and local task identifiers on each node. Reconfiguration. To date, no complete ARIEL scripts have been written yet by ENEL for their reconfiguration strategy. Nonetheless, some key design elements for that strategy have been chosen and are reported herein: • Each nodeBSW entity will communicate with the BB by means of function RaiseEvent. Messages will hold the current algorithmic phase the application is currently in. • Some of these event notifications will only be informational and just update the database of the BB without triggering any recovery action. Other notifications will trigger the execution of the recovery actions. • Recovery actions written in ARIEL, translated into r-codes and statically linked to the application, will use the information in the BB’s DB to accomplish recovery by means of the ARIEL constructs such as ERRN and PHASE. • The N replicas of the APL represent a group consisting of an active component plus N − 1 inactive spares. Switching off the current active component and electing a new spare as new active component will then be achieved through simple recovery actions composed in terms of ARIEL’s directives, such as STOP, START, or RESTART, on tasks, logicals and nodes of the system. • A TIRAN watchdog or the redundant watchdog will notify the BB when a NodeBSW has not correctly computed the task pertaining to the current cycle. The time of expiration of the adopted watchdog will be equal to the duration of the system cycle: the expiration of the watchdog cycle will be interpreted as the fact that something on some node has caused the cycle to terminate incorrectly. In such a case, the watchdog will signal the event to the backbone via a specific call of function RaiseEvent. This notification will trigger recovery. The recovery will operate as a function of the algorithmic phase the distributed application is in in order to accomplish an appropriate reconfiguration. The exploitation of the α-count feature (see Sect. 5.2.4.2) in order “to distinguish between the various natures of the faults [...] and to take different levels of recovery” is currently under consideration at ENEL [BDPC00]. Actions would be reconfiguration for graceful degradation in case of permanent or intermittent faults, and task restart in case of transient faults.
  • 135.
    118 6.3.5 CHAPTER 6. USINGTHE RECOVERY LANGUAGE APPROACH Lessons Learned Preliminary lessons learned from the above reported experience include the fact that RεL can be effectively used for composing fault-tolerance strategies for energy distribution automation systems. The RεL support towards coarse-grained error recovery strategies appear to match well with the requirements of the applications to run on those systems. Similar result may be obtained with an approach such as AOP, though this would require the adoption of custom languages and the design of appropriate aspect programs. Other ALFT approaches do not appear to be eligible in this case: MOPs, for instance, may not provide enough support to the cross-cutting issues of coarse-grained ALFT [LVL00]. 6.4 The Redundant Watchdog This section describes how it is possible to compose dependable mechanisms addressing specific needs by means of the RεL architecture devised in TIRAN. The case reported in the rest of this section originated by a requirement of ENEL. In present day’s fault-tolerance systems at ENEL, a hardware watchdog timer is available and integrated in several of their automation applications. Such device is a custom (non-COTS) hardware component that is capable of guaranteeing both high availability and high integrity. This allows its use in contexts where safety is the main concern. As mentioned in Sect. 6.3, ENEL has started an internal plan that aims at renewing and enlarging their park of automation systems, also with the goal of improving their efficiency and quality of service. Within this plan, ENEL is investigating the possibility to substitute this hardware device with a software component, exploiting the redundancy of COTS parallel or distributed architectures, in such a way as to guarantee acceptable levels of safety and availability for their applications. While taking part in TIRAN, CESI posed the above problems to the consortium and also proposed a solution based on the RεL approach. This solution is currently being tested at ENEL and will be the basis of a demonstration at the TIRAN final review meeting and at the TIRAN Workshop. It is briefly described in the rest of this section. 6.4.1 The Strategy and Its Key Components The strategy proposed by ENEL exploits the following components: • The BSL, and specifically its function TIRAN Send, which multicasts a message to a logical, i.e., a group of tasks. • The configuration support provided by ARIEL. • The TIRAN BB and its DB. • The recovery language ARIEL. • The watchdog BT, i.e., a node-local software component in level 1.1 of the TIRAN architecture (see Fig. 5.1).
  • 136.
    6.4. THE REDUNDANTWATCHDOG 119 The latter, which executes on a single processing node, can not guarantee the required degree of availability when used as a substitute of the ENEL hardware watchdog. This notwithstanding, the adoption of the above components allowed to compose—rather than program—a new prototypic DM, the so-called Redundant Watchdog (RW). This composition is made in terms of the above elements of the TIRAN framework, with ARIEL playing the role of coordinator. In order to introduce the strategy, the following scenario is assumed: • A distributed system is available, consisting of three nodes, identified as N1 , N2 and N3 . • On each node of this system, a number of application tasks and an instance of the TIRAN watchdog are running. The design goal to be reached is enhancing the dependability of this basic scheme by means of a technique that does not overly increase, at the same time, the complexity of the overall software tool. The adopted strategy is now explained—each step has been tagged with a label describing the main RεL feature being exploited. Configuration: Define and configure the three watchdogs by means of the provisions described in Sect. 5.3.2.3. In particular, • Assign them the unique-ids W1 , W2 , and W3 . • Specify that, on a missed deadline, a notification is to be sent to the TIRAN BB. • Deploy the watchdogs on different nodes. Configuration: Define logical L, consisting of tasks W1 , W2 , and W3 . Recovery: Define in ARIEL an “AND-strategy”, that triggers an alarm when each and every watchdog notifies the BB, an “OR-strategy”, in which the alarm is executed when any of the three watchdog expires, and a “2-out-of-3 strategy”, in which a majority of the watchdogs needs to notify the BB in order to trigger the alarm. In the current prototype, the alarm is a notification to the task the unique-id of which is A. The configuration step is coded as in Table 6.4. Table 6.5 lists the recovery actions corresponding to the AND-strategy. When a watched task sends “watchdog L” its heartbeats, the BSL relays these messages to the three watchdogs on the three nodes. In absence of faults, the three watchdogs7 process these message in the same way—each of them in particular resets the internal timer corresponding to the client task that sent the heartbeat. When a heartbeat is missing, the three watchdogs expire and send a notification to the BB, one at the time. The reply of the BB to these notifications is the same: RINT is awoken and the r-codes are interpreted. The difference between the three strategies is then straightforward: 7 In this case study, three instances of the same software component have been used. Clearly this does not protect the system from design faults in the watchdog component itself. Using NVP when developing the watchdogs may possibly guarantee statistical independence between failures.
  • 137.
    120 CHAPTER 6. USINGTHE RECOVERY LANGUAGE APPROACH INCLUDE "watchdogs.h" TASK {W1} IS TASK {W2} IS TASK {W3} IS NODE {N1}, TASKID {W1} NODE {N2}, TASKID {W2} NODE {N3}, TASKID {W3} WATCHDOG {W1} HEARTBEATS EVERY {HEARTBEAT} MS ON ERROR WARN BACKBONE END WATCHDOG WATCHDOG {W2} HEARTBEATS EVERY {HEARTBEAT} MS ON ERROR WARN BACKBONE END WATCHDOG WATCHDOG {W3} HEARTBEATS EVERY {HEARTBEAT} MS ON ERROR WARN BACKBONE END WATCHDOG LOGICAL {L} IS TASK {W1}, TASK {W2}, TASK {W3} END LOGICAL Table 6.4: Configuration of the Redundant Watchdog. IF [ PHASE (TASK{W1}) == {EXPIRE} AND PHASE (TASK{W2}) == {EXPIRE} AND PHASE (TASK{W3}) == {EXPIRE} ] THEN SEND {ALARM} TASK{A} REMOVE PHASE LOGICAL {L} FROM ERRORLIST FI Table 6.5: The AND-strategy of the Redundant Watchdog. Action REMOVE resets the phase corresponding to the tasks of logical L. • The OR-strategy triggers the alarm as soon as any of the watchdog expires. This tolerates the case in which up to two watchdogs have crashed, or are faulty, or are unreachable. This intuitively reduces the probability that a missing heartbeat goes undetected, hence can be regarded as a “safety-first” strategy. At the same time, the probability of “false alarms” (mistakingly triggered alarms) is increased. Such alarms possibly lead to temporary pauses of the overall system service, and may imply costs. • The AND-strategy, on the other hand, requires that all the watchdogs reach consensus
  • 138.
    6.5. CONCLUSIONS 121 before triggeringthe system alarm. It decreases the probability of false alarms but at the same time decreases the error detection coverage of the watchdog BT. It may be regarded as an “availability-first” strategy. • Strategy 2-out-of-3 requires that a majority of watchdogs expire before the system alarm is executed. Intuitively, this corresponds to a trade-off between the two above strategies. More sophisticated strategies, corresponding to other design requirements, may also be composed. Other schemes, such as meta-watchdogs (watchdogs watching other watchdogs) can also be straightforwardly set up. 6.4.2 Lessons Learned The reported experience demonstrates how RεL allows to fast-prototype complex strategies by composing a set of building blocks together out of those available in the TIRAN framework, and by building system-wide, recovery-time coordination strategies with ARIEL. This allows to set up sophisticated fault-tolerance systems while keeping the management of their complexity outside the user application. The compact size of the ARIEL configuration scripts is one of the argument that can be used as evidence to this claim. Transparency of replication and transparency of location are also reached in this case. No similar support is provided by the ALFT approaches reviewed in Chapter 3. 6.5 Conclusions This chapter has shown how RεL can be used in order to 1. augment a dependable mechanism (the TIRAN distributed voting tool) adding new features to it—in this case, the management of spares and support to fault-specific recovery strategies—as well as to 2. compose and orchestrate new dependable mechanisms using the TIRAN basic tools as building blocks. The chapter also reported a case study from postal automation and the current state of an experimentation in energy distribution automation. In particular, in the postal automation case study, the application gained the ability to withstand crash failures of nodes and tasks with minimal intrusion in the code (actually, no code intrusion in the GLIMP code and limited error detection code intrusion in the farmer application). In that case, the increase in throughput and dependability was reached with a reduced cost and time penalty, despite the architecture being used was a prototypic one.
  • 139.
    122 CHAPTER 6. USINGTHE RECOVERY LANGUAGE APPROACH
  • 140.
    Chapter 7 Analysis andSimulations This chapter describes a number of results pertaining to the RεL architecture described in Chapter 5. These results have been obtained via reliability and performance analysis and through measurements resulting from simulations. Three basic properties are estimated: reliability, performance, and coding efforts (influencing both development and maintenance costs). Reliability Markov models have been used to estimate reliability (see Sect. 7.1). Simulations and discrete mathematics have been used in Sect. 7.2 to estimate the performance. Section 7.3 reports on the coding efforts related to fault-tolerance software development and maintenance. All the models, analyses, and simulations in this chapter have been devised, solved, and carried out by the author of this dissertation. 7.1 Reliability Analysis As mentioned in Sect. 6.2, a number of applications are structured in such a way as to be straightforwardly embedded in a fault-tolerance architecture based on redundancy and consensus. Applications belonging to this class are, for instance, parallel airborne and spaceborne applications. The TIRAN DV provides application-level support to these applications. This section analyses the effect on reliability of the enhancements to the TIRAN DV described in Sect. 6.2, that is, management of spares, dealt with in Sect. 7.1.1, and fault-specific recovery strategies supported by the α-count feature, analysed in Sect. 7.1.2. 7.1.1 Using ARIEL to Manage Spares This section analyses the influence of one of the features offered by ARIEL—its ability to manage spare modules in N -modular redundant systems—that has been introduced in Sect. 5.3.3.1 and Sect. 6.2. Reliability can be greatly improved by this technique. Let us first consider the following equation: R(0) (t) = 3R(t)2 − 2R(t)3 , (7.1) 123
  • 141.
    124 CHAPTER 7. ANALYSISAND SIMULATIONS Figure 7.1: Markov reliability model for a TMR-and-1-spare system. λ is the failure rate, C is the error recovery coverage factor. A “fail safe” state is reached when the system is no more able to correctly perform its function, though the problem has been safely detected and handled properly. In ‘Fail unsafe,’ on the contrary, the system is incorrect, though the problem has not been handled or detected. Every other state is labeled with three digits, d1 d2 d3 , such that d1 is the number of non-faulty modules in the TMR system, d2 is the number of non-faulty spares (in this case, 0 or 1), and d3 is the number of undetected, faulty modules. The initial state, 310, has been highlighted. This model is solved by Eq. (7.2). Figure 7.2: Graphs of Eq. (7.1) and (7.2) as functions of C and of R. Note how the graph of (7.2) is strictly above the other. i.e., the equation expressing the reliability of a TMR system with no spares, R(t) being the reliability of a single, non-replicated (simplex) component. Equation (7.1) can be derived for instance via Markovian reliability modelling under the assumption of independence between the occurrence of faults [Joh89]. With the same technique and under the same hypothesis it is possible to show that, even in the case of non-perfect error detection coverage, this equation can be considerably improved by adding one spare. This is the equation resulting from the Markov model in Fig. 7.1, expressed as a function of error recovery coverage (C, defined as the probability associated with the process of identifying the failed module out of those available and being able to switch in the spare [Joh89]) and time (t): R(1) (C, t) = (−3C 2 + 6C) × [R(t)(1 − R(t))]2 + R(0) (t). (7.2) Appendix A gives some mathematical details on Eq. (7.2). Adding more spares obviously implies further improving reliability. In general, for any N ≥ 3, it is possible to consider a class of monotonically increasing reliability functions, R(M ) (C, t) M >0 , (7.3) corresponding to systems adopting N + M replicas. Depending on both cost and reliability requirements, the user can choose the most-suited values for M and N . Note how quantity (7.2) is always greater than quantity (7.1) as R(0) (t) and (−3C 2 + 6C) are always positive for 0 < C ≤ 1. Figure 7.2 compares Eq. (7.1) and (7.2) in the general case while Fig. 7.3 covers the case of perfect coverage. In the latter case, the reliability of a single, non-redundant (simplex) system is also portrayed. Note furthermore how the crosspoint between the three-and-one-spare system and the non-redundant system is considerably lower than the crosspoint between the latter and the TMR system—R(t) ≈ 0.2324 vs. R(t) = 0.5. The reliability of the system can therefore be increased from the one of a pure NMR system to that of N-and-M-spare systems (see Fig. 7.2 and Fig. 7.3).
  • 142.
    7.1. RELIABILITY ANALYSIS 125 1 0.8 0.6 Reliability 0.4 0.2 TMR-and-1-spare TMR non-redundantsystem 0 0 0.2 0.4 0.6 Simplex Reliability 0.8 1 Figure 7.3: Graphs of Eq. (7.1) and (7.2) when C = 1 (perfect error detection coverage). The reliability of a single, non-redundant system is also portrayed. 7.1.2 Using the α-count Feature As it has been already mentioned in Sect. 6.2.2, the TRANSIENT clause of ARIEL, exploiting the α-count fault identification mechanism introduced in Sect. 5.2.4.2, can be adopted for attaching different recovery or reconfiguration strategies to the detection of a permanent or intermittent fault, in general requiring reconfiguration and redundancy exhaustion, and to the detection of a transient fault, that could be tolerated with a recovery technique such as resetting the faulty component. This section describes a simple Markov reliability model of a TMR system discriminating between these two cases. Figure 7.4 shows the model. T is the probability that the current fault is a transient one and R is the probability of successful recovery for a component affected by a transient fault. To simplify the model, recovery is assumed to be instantaneous. The system degrades only when permanent faults occur. Solving the model brings to the following equation: Rα (t) = 3 exp−2(1−RT )λt −2 exp−3(1−RT )λt . TMR (7.4) Eq. 7.4 can be written as Rα (t) = 3R(t)2(1−RT ) − 2R(t)3(1−RT ) , TMR (7.5) with R(t) the reliability of the simplex system. Note how, in a sense, the introduction of the αcount technique results in a modification of the exponents of Eq. 7.1 by a factor equal to 1 − RT . In general, the resulting system shows a reliability that is larger than the one of a TMR system. Figure 7.5 compares these reliabilities. As it is evident from that image, the crosspoint between the reliability graphs of the simplex and that of the TMR system extended with the
  • 143.
    126 CHAPTER 7. ANALYSISAND SIMULATIONS Figure 7.4: The Markov reliability model of a TMR system that gracefully degrade in the presence of a permanent or intermittent fault and “cleans up” (that is, rejuvenates) the components affected by transient faults. 1 0.8 0.6 Reliability 0.4 0.2 simplex tmr tmr + α-count 0 0 0.2 0.4 0.6 Simplex Reliability 0.8 1 Figure 7.5: Reliability of a simplex system, of a TMR system, and of a modified TMR system exploiting the α-count fault identification technique. In this case T is 50% and R = 0.6. α-count technique is in general lower. Its exact value is given by the function crosspoint(R, T ) = 0.51/(1−RT ) that is drawn in Fig. 7.6. Appendix A.2 provides the mathematical details leading to Eq. (7.4). 7.2 Performance Analysis In this section a number of measurements are reported concerning the performance of different subsystems of the RεL prototype developed within TIRAN. Most of these measurements relate to Figure 7.6: The crosspoint between the graph of the reliability of the simplex system and that of Rα TMR as a function of R and T .
  • 144.
    7.2. PERFORMANCE ANALYSIS 127 thedevelopment platform version, a Pentium-133 PC running Windows/NT, and to a preliminary version developed on a Parsytec Xplorer, a parallel system based on PowerPC-66 and running EPX, and on a Parsytec CC, also running EPX on PowerPC-133 nodes. The results of these simulations provide the reader with an idea on the order of magnitude of the duration of some algorithms, though they are clearly dependent on “external” variables such as • the processor architecture and technology (clock speed, bus width, memory ports, cache subsystem, and so forth), • the network architecture and technology (topology, organisation, diameter, number of available independent channels, etc.), • the characteristics of the underlying operating system (task scheduling policy, virtual memory organisation, etc.) • the number and type of nodes constituting the system, as well as on “internal” variables such as • the algorithms (especially their complexity and scalability), • the performance of the adopted network protocols (for instance, choosing UDP as a transport protocol implies an overhead that differs from that of TCP), • other design choices affecting the organisation of data structures (dynamic memory allocation vs. static, pre-allocated objects, etc.) The aim of this section is therefore not only to provide the reader with an idea of the performance of a RεL-based tool on a particular system or set of systems—which basically means describing a few points in a wide, complex space. It also analyses one of the core internal variables (a base service used in the TIRAN backbone and in one of the dependable mechanisms of the TIRAN library), and solves it in such a way as to identify which external variables would be optimal in order to reach good performance. Section 7.2.1 reports on this analysis [DFDL00c], while Sect. 7.2.2 reports a set of quantitative measurements related to the performance of some of the elements of the RεL-prototype developed in TIRAN—namely, the backbone (in Sect. 7.2.2.1), the recovery interpreter (in Sect. 7.2.2.3) and the distributed voting tool (in Sect. 7.2.2.4). Other studies are also reported in [EVM+ 98]. 7.2.1 Analysis of the Gossiping Service A number of distributed applications, such as those based on distributed consensus [LSP82] or those based on the concept of restoring organs (N -modular redundancy systems with N -replicated voters), require a base service called gossiping [HMS72, HHL88]. Gossiping is also a core algorithm for the distributed voting tool (DV) described in Sect. 5.2.3 and for the TIRAN backbone (BB) described in Sect. 5.2.4. As such, and because of its repercussions on the performance
  • 145.
    128 CHAPTER 7. ANALYSISAND SIMULATIONS of the RεL architecture described in Sect. 5, the TIRAN gossiping algorithm is analysed in the rest of this section. This algorithm and its analysis are original contributions of the author of this dissertation. Informally speaking, gossiping is a communication scheme such that every member of a set has to communicate a private value to all the other members. Gossiping is clearly an expensive service, as it requires a large amount of communication. A gossiping service is used in the DV as a mechanism for allowing the voters to exchange their input values such that each of them can vote on the whole input set. The same service is used in the BB as a means to forward each local event notification allowing each component to keep a consistent copy of the system database. In general, implementations of this service can have a great impact on the throughput of its client applications and perform very differently depending on the number of members in the set. Indeed, their basic need—that is, keeping a coherent global view of the event taking place in the distributed system—implies a performance penalty that is mainly due to the gossiping algorithm itself, together with the physical constraints of the communication line and on the number of available independent channels. The analysis carried out in the following shows that, under the hypotheses of discrete time, of constant time for performing a send or receive, and of a crossbar communication system, and depending on an algorithmic parameter, gossiping can use from O(N 2 ) to O(N ) time, with N + 1 communicating members. Three cases are briefly investigated. The last and best-performing case, whose activity follows the execution pattern of pipelined hardware processors, is shown to exhibit an efficiency constant with respect to N . This translates in unlimited scalability of the corresponding gossiping service. When performing multiple consecutive gossiping sessions, (as in restoring organs or in the TIRAN BB), the throughput of the system can reach the value of t/2, t being the time for sending one value from one member to another. This means that a full gossiping is completed every two basic communication steps. All results presented in what follows of this section are original contributions of the author of this dissertation [DFDL00c]. For the sake of readability, proofs of propositions have been presented in Appendix A.3. 7.2.1.1 Formal Model The analysis is carried out under the following hypotheses: N + 1 processors are interconnected via some communication means that allows them to communicate with each other by means of full-duplex point-to-point communication lines. Communication is synchronous and blocking. Processors are uniquely identified by integer labels in {0, . . . , N }. The processors own some local data they need to share (for instance, to execute a voting algorithm or to update the TIRAN DB). In order to share their local data, each processor needs to broadcast its own data to all the others via multiple sending operations, and to receive the N data items owned by the others. A discrete time model is assumed—events occur at discrete time steps, one event at a time per processor. This is a special class of the general family of problems of information dissemination known as gossiping [HHL88]1 . 1 It is worth mentioning that a relevant difference with respect to the basic Gossip Problem [HHL88] is that, in the case presented herein, on each communication run, members are only allowed to broadcast their own local data,
  • 146.
    7.2. PERFORMANCE ANALYSIS 129 Letus assume that the time to send and receive a message is constant. This amount of time be called “time step”. On a given time step t, processor i may be: 1. sending a message to processor j, j = i; using relation S t this is represented as relation i S t j; 2. receiving a message from processor j, j = i; using relation Rt this is represented as i Rt j; 3. blocked, waiting for messages to be received from any processor; where both the identities of the processors and t can be omitted without ambiguity, the symbol “−” will be used to represent this case; 4. blocked, waiting for a message to be sent, i.e., for another processor to enter the receiving state; under the same assumptions of case 3, the symbol “ ” will be used. The above cases are referred to as “the actions” of time step t. A slot is a temporal “window” one time step long, related to a processor. On each given time step there are N + 1 available slots within the system. Within that time step, a processor may use that slot (if it sends or receives a message during that slot), or it may waste it (if it is in one of the remaining two cases). In other words, processor i is said to use slot t if and only if U (t, i) = {∃ j (i S t j ∨ i Rt j)} is true; on the contrary, processor i is said to waste slot t if and only if ¬U (t, i). The following notation, 1 if U (t, i) is true, δi,t = 0 otherwise, will be used to count used slots. Let us define four state templates for a finite state automaton to be described later on: WR state. A processor is in state WRj if it is waiting for the arrival of a message from processor j. Where the subscript is not important it will be omitted. Once there, a processor stays in state WR for zero (if it can start receiving immediately) or more time steps, corresponding to the same number of actions “wait for a message to come”. S state. A processor is in state Sj when it is sending a message to processor j. Note that, by the above assumptions and definitions, this transition lasts exactly one time step. For each transition to state S there corresponds exactly one “send” action. WS state. A processor that is about to send a message to processor j is said to be in state WSj . In the following, the subscript will be omitted when this does not result in ambiguities. The permanence of a processor in state WS implies zero (if the processor can send immediately) or more occurrences in a row of the “wait for sending” action. while, in general [HMS72], they “pass on to each other as much [information] they know at the time”, including data received from the other members in previous communication runs.
  • 147.
    130 CHAPTER 7. ANALYSISAND SIMULATIONS Figure 7.7: The state diagram of the FSA run by processor i. The first row consists of i pairs (WR, R). (For i = 0 this row is missing). (P1 , . . . , PN ) represents a permutation of the N integers [0, N ] − {i}. The last row contains N − i pairs (WR, R). R state. A processor that is receiving a message from processor j is said to be in state Rj . By the above definitions, this state transition also lasts one time step. For any i ∈ [0, N ], let P1 , . . . , PN represent a permutation of the N integers [0, N ] − {i}. Then the above state templates can be used to compose N + 1 linear finite state automata (FSA) with a structure like the one in Fig. 7.7, which shows the state diagram of the FSA to be executed by processor i. The first row represents the condition that has to be reached before processor i is allowed to begin its broadcast: a series of i pairs (WR, R). Once processor i has successfully received i messages, it gains the right to broadcast, which it does according to the rule expressed in the second row of Fig. 7.7: it orderly sends its message to its fellows, the j-th message being sent to processor Pj . The third row of Fig. 7.7 represents the receipt of the remaining N − i messages, coded as N − i pairs like those in the first row. Proposition 1 For any permutation P, the distributed algorithm described by the state diagram of Fig. 7.7 solves the above mentioned gossiping problem without deadlocks. (The proof is given in Sect. A.3.1). Let us call: Run the collection of slots needed to fully execute the above algorithm on a given system, plus the value of the corresponding actions. Average slot utilisation The number of slots that have been used in the average within a run. It represents the average degree of parallelism exploited in the system. It will be indicated as µN , or simply as µ. It varies between 0 and N + 1. Efficiency the percentage of used slots over the total number of slots available during a run. εN , or simply ε, will be used to represent efficiency. Length the number of time steps in a run. It represents a measure of the time needed by the distributed algorithm to complete. λN , or simply λ, will be used for lengths. The number of slots available within a run of N + 1 processors be denoted as σ(N ) = (N + 1)λN . The number of used slots i.e., the number of slots that have been used during time step t, be denoted as N νt = δi,t . i=0
  • 148.
    7.2. PERFORMANCE ANALYSIS 131 idstep ↓→ 0 1 2 3 4 ν → 1 2 3 4 5 6 7 8 9 10 11 12 13 14 15 16 17 18 S1 S2 S3 S4 R 1 − R 2 − − − R 3 − − − R 4 − − − R0 S0 S2 S3 S4 R 2 − − R 3 − − − R 4 − − − R 0 − − − R 1 S0 S1 S3 S4 − R 3 − − − R 4 − − − R 0 − − − R 1 − − R 2 S0 S1 S2 S4 − − − R 4 − − − R 0 − − − R 1 − − R 2 − − R 3 S0 S1 S2 S3 2 2 2 2 2 2 4 2 2 2 4 2 2 2 2 2 2 2 Table 7.1: A run (N = 4), with P equal to the identity permutation. The step row represents time steps. Id’s identify processors. ν is the utilisation string (as defined on p. 130). In this case µ, or the average utilisation is 2.22 slots out of 5, with an efficiency ε = 44.44% and a length λ = 18. Note that, if the slot is used, then entry (i, t) = Rj in this matrix represents relation i Rt j. The utilisation string is the λ-tuple ν = [ν1 , ν2 , . . . , νλ ], representing the number of used slots for each time step, respectively. 7.2.1.2 Discussion In the following, three cases of P are introduced and discussed. It is shown how varying the structure of P may develop very different values for µ, ε, and λ. This fact, coupled with the physical constraints of the communication line and with the number of available independent channels, determines the overall performance of this algorithm and of the services based on it. First Case: Identity Permutation. As a first case, let P be equal to the identity permutation: 0, . . . , i − 1, i + 1, . . . , N , 0, . . . , i − 1, i + 1, . . . , N (7.6) i.e., in cycle notation [Knu73], (0) . . . (i − 1)(i + 1) . . . (N ). Note that in this case only singleton cycles are present. Using the identity permutation means that, once processor i gains the right to broadcast, it will first send its message to processor 0 (possibly having to wait for processor 0 to become available to receive that message), then it will do the same with processor 1, and so forth up to N , obviously skipping itself. This is represented in Table 7.1 for N = 4. Let us call this a run-table. Let us also call “run-table x” a run-table of a system with N = x. It is possible to characterise precisely the duration of the algorithm that adopts this permutation: Proposition 2 For N > 0, λN = 3 N 2 + 5 N + 4 4 (The proof is given in Sect. A.3.2). 1 2 N/2 .
  • 149.
    132 CHAPTER 7. ANALYSISAND SIMULATIONS Figure 7.8: A graphical representation for run-table 20 when P is the identity permutation. Light gray pixels represent wasted slots, gray pixels represent R actions, black slots are sending actions. Lemma 1 The number of columns with 4 used slots inside, for a run with P equal to the identity permutation and N + 1 processors, is N 2 − 2N + [N is odd] , 4 where “[N is odd]” is 1 when N is odd and 0 otherwise. Figure 7.8 shows the typical shape of run-tables in the case of P being the identity permutation, also locating the 4-used slot clusters. The following Propositions locate the asymptotic values of µ and ε: Proposition 3 limN →∞ εN = 0, 8 Proposition 4 limN →∞ µN = 3 . (The proofs are given in Sect. A.3.4 and A.3.5). Second Case: Pseudo-random Permutation. This section covers the case where P is a pseudo-random2 permutation of the integers 0, . . . , i − 1, i + 1, . . . , N . Figure 7.9 (top picture) shows the values of λ using the identity and pseudo-random permutations and draws the parabola which best fits to these values in the case of pseudo-random permutations. Experiments show that the choice of the identity permutation is even “worse” than choosing permutations at random. The same conclusion is suggested by Fig. 7.10 that compares the averages and efficiencies in the above two cases. Table 7.2 shows run-table 5, and Fig. 7.11 shows the shape of run-table 20 in this case. Third Case: Algorithm of Pipelined Broadcast. Let P be the following permutation: 0, . . . , i − 1, i + 1, . . . , N . i + 1, . . . , N, 0, . . . , i − 1 (7.7) Note how permutation (7.7) is equivalent to i cyclic logical left shifts of the identity permutation. Note also how, in cycle notation, (7.7) is represented as one cycle; for instance, 0, 1, 2, 4, 5 , 4, 5, 0, 1, 2 2 The standard C function “random” [Sun94] has been used—a non-linear additive feedback random number generator returning pseudo-random integers in the range [0, 231 −1] with a period approximately equal to 16(231 −1). A truly random integer has been used as a seed. P is composed by generating with random pseudo-random numbers in domain [0, N ] − X, with X initially set to {i} and then augmented at each step with the integer generated in the previous step.
  • 150.
    7.2. PERFORMANCE ANALYSIS 133 20000 18000 16000 14000 12000 λ10000 8000 6000 4000 2000 0 20 40 60 80 100 120 140 160 120 140 160 N 3.2 3 2.8 µ 2.6 2.4 2.2 2 20 40 60 80 100 N Figure 7.9: Top picture: comparison between lengths when P is the identity permutation (dotted parabola) and when it is pseudo-random (piecewise line), 1 ≤ N ≤ 160. The lowest curve (λ = 0.71N 2 − 3.88N + 88.91) is the parabola best fitting to the piecewise line—which suggests a quadratic execution time as in the case of the identity permutation. Bottom picture: comparison between values of µ when P is the identity permutation (dotted curve) and when P is pseudorandom (piecewise line), 1 ≤ N ≤ 160. For each run N and for each processor i ∈ [0, N ] with run N , i generates a pseudo-random permutation in [0, N ] − {i} and uses it to structure its broadcast. Note how the piecewise line is strictly over the curve. Note also how µ tends to a value slightly larger than 2.6 for the identity permutation, as claimed in Prop. 4.
  • 151.
    134 CHAPTER 7. ANALYSISAND SIMULATIONS id step ↓→ 0 1 2 3 4 5 ν → 1 2 3 4 5 6 7 8 9 10 11 12 13 14 15 16 17 18 19 20 21 22 23 24 S5 S1 S3 S2 S4 R 1 − − − − R 2 − − − R 3 − − − − R 4 R 5 − − − − R 0 S5 S0 S3 S2 S4 R 2 − − − R 3 − − − − R 4 R 5 − − − − − − − R 0 − − − R 1 S5 S1 S0 S3 S4 − − R 3 − − − − − R 4 R 5 − − − R 0 − − − R 1 − − − − R 2 S5 S1 S0 S2 S4 − − − R 4 R 5 − − − − − − R 0 − − − R 1 − − − R 2 − − − R 3 S5 S1 S0 S3 S2 − R 5 R 0 − R 1 − − − − − R 2 − − − R 3 − − − − R 4 S1 S0 S3 S2 S4 2 2 4 2 2 2 2 2 4 2 2 2 4 2 2 2 2 2 2 4 4 4 2 2 Table 7.2: Run-table 5 when P is chosen pseudo-randomly. µ is 2.5 slots out of 6, which implies an efficiency of 41.67%. 100 90 80 70 60 50 40 30 20 10 0 20 40 60 80 100 120 140 160 N Figure 7.10: Comparison between values of ε in the case of the pseudo-random permutation (piecewise line) and that of the identity permutation (dotted curve), 1 ≤ N ≤ 160. Also in this graph the former is strictly over the latter, though they get closer to each other and to zero as N increases, as proven for the identity permutation in Prop. 3. that is, (7.7) for N = 5 and i = 3, is equivalent to cycle (0, 4, 1, 5, 2). A value of P equal to (7.7) means that, once processor i has gained the right to broadcast, it will first send its message to processor i + 1 (possibly having to wait for it to become available to receive that message), then it will do the same with processor i + 2, and so forth up to N , then wrapping around and going from processor 0 to processor i − 1. This is represented in Table 7.3 for N = 9. Figures quite similar to Table 7.3 can be found in many classical works on pipelined micro-
  • 152.
    7.2. PERFORMANCE ANALYSIS 135 Figure7.11: A graphical representation for run-table 20 when P is a pseudo-random permutation. id step ↓ → 0 1 2 3 4 5 6 7 8 9 ν → 1 2 3 4 5 6 7 8 9 10 11 12 13 14 15 16 17 18 19 20 21 22 23 24 25 26 27 S1 S2 S3 S4 S5 S6 S7 S8 S9 − R 1 R 2 R 3 R 4 R 5 R 6 R 7 R 8 R 9 − − − − − − − − R 0 S2 S3 S4 S5 S6 S7 S8 S9 S0 − R 2 R 3 R 4 R 5 R 6 R 7 R 8 R 9 − − − − − − − − R 0 R 1 S3 S4 S5 S6 S7 S8 S9 S0 S1 − R 3 R 4 R 5 R 6 R 7 R 8 R 9 − − − − − − − − R 0 R 1 R 2 S4 S5 S6 S7 S8 S9 S0 S1 S2 − R 4 R 5 R 6 R 7 R 8 R 9 − − − − − − − − R 0 R 1 R 2 R 3 S5 S6 S7 S8 S9 S0 S1 S2 S3 − R 5 R 6 R 7 R 8 R 9 − − − − − − − − R 0 R 1 R 2 R 3 R 4 S6 S7 S8 S9 S0 S1 S2 S3 S4 − R 6 R 7 R 8 R 9 − − − − − − − − R 0 R 1 R 2 R 3 R 4 R 5 S7 S8 S9 S0 S1 S2 S3 S4 S5 − R 7 R 8 R 9 − − − − − − − − R 0 R 1 R 2 R 3 R 4 R 5 R 6 S8 S9 S0 S1 S2 S3 S4 S5 S6 − R 8 R 9 − − − − − − − − R 0 R 1 R 2 R 3 R 4 R 5 R 6 R 7 S9 S0 S1 S2 S3 S4 S5 S6 S7 − R 9 − − − − − − − − R 0 R 1 R 2 R 3 R 4 R 5 R 6 R 7 R 8 S0 S1 S2 S3 S4 S5 S6 S7 S8 2 2 4 4 6 6 8 8 10 8 10 8 10 8 10 8 10 8 10 8 8 6 6 4 4 2 2 Table 7.3: Run-table of a run for N = 9 using permutation of permutation (7.7). In this case µ, or the average utilisation is 6.67 slots out of 10, with an efficiency ε = 66.67% and a length λ = 27. Note that ν is in this case a palindrome. processors (see e.g. [PH96]). For this and other similarities, the algorithm using permutation (7.7) has been called algorithm of “pipelined broadcast”. Indeed using this permutation leads to better performance. In particular, after a start-up phase (after filling the pipeline), sustained performance is close to the maximum—a number of unused slots (pipeline bubbles) still exist, even in the sustained region, but here µ reaches value N + 1 half of the times (if N is odd). In the region of decay, starting from time step 19, every new time step a processor fully completes its task. Similar remarks apply to Table 7.4; this is the typical shape of a run-table for N even. This time the state within the sustained region is more steady, though the maximum number of used slots never reaches the number of slots in the system.
  • 153.
    136 CHAPTER 7. ANALYSISAND SIMULATIONS id step ↓ → 0 1 2 3 4 5 6 7 8 ν → 1 2 3 4 5 6 7 8 9 10 11 12 13 14 15 16 17 18 19 20 21 22 23 24 S1 S2 S3 S4 S5 S6 S7 S8 − R 1 R 2 R 3 R 4 R 5 R 6 R 7 R 8 − − − − − − − R 0 S2 S3 S4 S5 S6 S7 S8 S0 − R 2 R 3 R 4 R 5 R 6 R 7 R 8 − − − − − − − R 0 R 1 S3 S4 S5 S6 S7 S8 S0 S1 − R 3 R 4 R 5 R 6 R 7 R 8 − − − − − − − R 0 R 1 R 2 S4 S5 S6 S7 S8 S0 S1 S2 − R 4 R 5 R 6 R 7 R 8 − − − − − − − R 0 R 1 R 2 R 3 S5 S6 S7 S8 S0 S1 S2 S3 − R 5 R 6 R 7 R 8 − − − − − − − R 0 R 1 R 2 R 3 R 4 S6 S7 S8 S0 S1 S2 S3 S4 − R 6 R 7 R 8 − − − − − − − R 0 R 1 R 2 R 3 R 4 R 5 S7 S8 S0 S1 S2 S3 S4 S5 − R 7 R 8 − − − − − − − R 0 R 1 R 2 R 3 R 4 R 5 R 6 S8 S0 S1 S2 S3 S4 S5 S6 − R 8 − − − − − − − R 0 R 1 R 2 R 3 R 4 R 5 R 6 R 7 S0 S1 S2 S3 S4 S5 S6 S7 2 2 4 4 6 6 8 8 8 8 8 8 8 8 8 8 8 8 6 6 4 4 2 2 Table 7.4: Run-table of a run for N = 8 using permutation (7.7). µ is equal to 6 slots out of 9, with an efficiency ε = 66.67% and a length λ = 24. Note how ν is a palindrome. 20000 18000 16000 14000 12000 λ 10000 8000 6000 4000 2000 0 50 100 150 200 250 300 350 400 450 500 N Figure 7.12: Comparison between run lengths resulting from the identity permutation (dotted parabola) and those from permutation (7.7). The former are shown for 1 ≤ N ≤ 160, the latter for 1 ≤ N ≤ 500.
  • 154.
    7.2. PERFORMANCE ANALYSIS 137 8 7 6 5 µ4 3 2 1 0 1 2 3 4 5 6 7 8 9 10 N Figure 7.13: Comparison between values of µ derived from the identity permutation (dotted parabola) and those from permutation (7.7) for 1 ≤ N ≤ 10.
  • 155.
    138 CHAPTER 7. ANALYSISAND SIMULATIONS 100 90 80 70 60 50 40 30 20 10 0 20 40 60 80 100 120 140 160 N Figure 7.14: Comparison of efficiencies when P is the identity permutation and in the case of permutation (7.7), for 1 ≤ N ≤ 160. Figure 7.15: A graphical representation for run-table 30 when P is permutation (7.7). It is possible to show that the distributed algorithm described in Fig. 7.7, with P as in (7.7), can be computed in linear time: Proposition 5 ∀N : λN = 3N. (The proof is given in Sect. A.3.6). The efficiency of the algorithm of pipelined broadcast does not depend on N : Proposition 6 ∀N > 0 : εN = 2/3. 2 Proposition 7 µN = 3 (N + 1). (The proofs are given in Sect. A.3.7 and A.3.8). Table 7.5 shows how a run-table looks like when multiple broadcasting sessions take place one after the other. As a result, the central area corresponding to the best observable performance is prolonged. In that area, ε can be counted to be equal to N/(N + 1) and the throughput, or the number of gossiping sessions per time step, has been found to be equal to t/2, t being the duration of a time step. In other words, within that area a gossiping session is fully completed every two time steps on the average.
  • 156.
    7.2. PERFORMANCE ANALYSIS 0 1 2 3 4 139 1 2 3 4 5 6 7 8 9 1011 12 13 14 15 16 17 18 19 . . . S1 S2 S3 S4 − R 1 R 2 R 3 R 4 S1 S2 S3 S4 − R 1 R 2 R 3 R 4 . . . S1 S2 S3 S4 − R 1 R 2 R 3 R 4 − − − R0 S2 S3 S4 S0 − R2 R3 R4 R0 S2 S3 S4 S0 − R2 R3 . . . R4 R0 S2 S3 S4 S0 − R2 R3 R4 − − − R0 R1 S3 S4 S0 S1 − R3 R4 R0 R1 S3 S4 S0 S1 − . . . R3 R4 R0 R1 S3 S4 S0 S1 − R3 R4 − − − R0 R1 R2 S4 S0 S1 S2 − R4 R0 R1 R2 S4 S0 S1 . . . S2 − R4 R0 R1 R2 S4 S0 S1 S2 − R4 − − − R0 R1 R2 R3 S0 S1 S2 S3 − R0 R1 R2 R3 S0 . . . S1 S2 S3 − R0 R1 R2 R3 S0 S1 S2 S3 2 2 4 4 4 4 4 4 4 4 4 4 4 4 4 4 4 4 4 ... 4 4 4 4 4 4 4 4 4 4 4 2 2 Table 7.5: The algorithm is modified so that multiple gossiping sessions take place. As a consequence, the central, best performing area is prolonged. Therein ε is equal to N/(N + 1). Note how, within that area, there are consecutive “zones” of ten columns each, within which five gossiping sessions reach their conclusion. For instance, such a zone is the region between columns 7 and 16: therein, at entries (4, 7), (0, 9), (1, 10), (2, 11), and (3, 12), a processor gets the last value of a broadcast and can perform some work on a full set of values. This brings to a throughput of t/2, where t is the duration of a slot. 7.2.1.3 Conclusions A formal model has been introduced for the sake of characterising the performance of a key sub-service of two TIRAN components, the distributed voting tool and the backbone, namely gossiping. Within this model, a set of parameters has been located such that gossiping can be characterised by unlimited scalability and high-throughput—in case of full-duplex, point-topoint communication. This result could be used, for instance, to devise special-purpose hardware architectures that best support these application components. 7.2.2 Performance of the TIRAN tools In the rest of this section, the results obtained from some simulations with the RεL prototypes described in Chapter 5 are reported. 7.2.2.1 Performance of the TIRAN BB The performance of the backbone, as mentioned in Sect. 7.2.1, highly depends on its base gossiping service, already analysed in the cited section. It is worth reporting now on the performance of the BB when faults occur. How much time is in general required for the BB to assess that an assistant is faulty and to isolate it? This question is clearly very system-dependent, especially with respect to the communication network. Indeed, the algorithm of mutual suspicion (see Sect. 5.2.4.1) is based on the values of the deadlines of a number of time-outs—namely, the MIA (manager is alive), TAIA (this assistant is alive), and TEIF (this entity is faulty) time-outs. Let us consider the case of a crashed node hosting the coordinator. The error detection latency is in this case a contribution of the time required to detect that a MIA message is missing (equal to the deadline of a MIA time-out) plus the time required to detect that a TEIF message is missing, plus some delay due to communication and execution overheads. Figure 7.16 collects the durations
  • 157.
    140 CHAPTER 7. ANALYSISAND SIMULATIONS of the intervals between the starting time in which the node of the manager becomes suspected by an assistant and that in which that node is assumed to have crashed and election of a new manager is started. Performance highly depends on the communication network—the faster the network is, and the larger its throughput, the shorter can the deadlines of the above mentioned time-outs be without congesting the network. Clearly the choice of which deadlines to adopt is an important one: • Too short deadlines may congest the network and bring many periods of instability. These periods are characterised by system partitioning, in which correct nodes are disconnected from the rest of the system for the entire duration of the period (see the hypotheses of the timed asynchronous distributed system model on p. 46). This calls for further overhead for managing the following partition merging (see Sect. 5.2.4.2). Clearly this activity could be represented as a dynamic system, and studied as it has been done for instance in [DF95]. Further reducing the deadlines would exacerbate the instability and result in chaotic behaviours. • On the other hand, too long deadlines translate in less messages, which asks less resources to the communication network, though also imply a larger error detection latency, and consequently a larger delay for the initiation of recovery. In general, a proper trade-off between communication overhead and detection latency is required. Both for the prototype realized on a Parsytec Xplorer and for that running on Windows NT the same values are being used: • A deadline of 1 second for the time-outs for sending a MIA or TAIA message. • A deadline of 2 seconds for the time-outs corresponding to declaring a missing MIA or TAIA message, thus initiating a so-called “suspicion period”. • A deadline of 0.9 second for declaring a missing TEIF message and thus initiating the graceful degradation of the backbone. Results are shown in Fig. 7.16 for a version running on two Windows NT nodes. 7.2.2.2 Performance of the TIRAN TOM Another key point in the TIRAN strategy and its overall performance is given by its time-out manager TOM (described in Sect. 5.2.5). Indeed, the TIRAN implementation of the core algorithm of the backbone, the AMS (see Sect. 5.2.4.1), is based on the services provided by TOM, which translate time-related events into delivery of messages: for instance, when cyclic time-out IAT_SET_TIMEOUT elapses, an alarm is called, which sends the local component of the backbone message IAT_SET. When the backbone gets this message, it sets the local “<I’m Alive>” flag to state that it is active. Clearly this scheme works under the assumption that the delay between the expiration of a time-out and the delivery of the associated alarm is negligible. This may not always be the case,
  • 158.
    7.2. PERFORMANCE ANALYSIS 141 1.15 3 1.1 1.05 33 time 1 0.95 3 3 3 3 3 33 3 3 3 3 3 3 0.9 3 3 3 0 5 10 3 3 3 3 3 33 3 3 3 3 3 3 3 33 3 3 3 333 3 3 3 33 3 15 20 25 run 30 35 40 45 50 Figure 7.16: Time to detect that an assistant is faulty and to remove it from the TIRAN BB. Times are expressed in seconds. 47 runs are reported. The deadline of the TEIF time-out is 0.9 second in this case. Communication and execution overheads bring to a maximum of about 1.2 seconds. Values are related to a backbone running on two Windows NT workstations connected via a 10Mbps Ethernet and both based on a Pentium processor at 133MHz. of course, especially because the duration of the alarm (the time required for TOM to execute the alarm function, and thus for sending the message) may be relevant. This time has been found to be indeed negligible for the TIRAN prototypes, mainly because the function to send an alarm is non-blocking and terminates after copying its argument (a buffer of 20 bytes) into the outgoing mailbox buffer—an operation lasting approximately 50µs on a DEC Alpha board using the TEX nanokernel [TXT97]. The author of this dissertation has performed an analysis on the effects of congestion to the execution of alarms competing for the same set of resources—for instance, the communication subsystem [DFDL00b]. A novel architecture for TOM has been proposed in the cited paper and realized by the author. This system exploits multiple alarm execution threads in order to reduce the congestion due to concurrent alarm execution and the consequent run-time violations. This new TOM is not being used in TIRAN because of the characteristics of the TIRAN alarms and of its non-blocking communication functions–the additional complexity would provide no benefit in this case. Appendix B describes the new mechanism and reports on some experiments that show in which case the adoption of multiple alarm execution threads may provide control over alarm execution congestion.
  • 159.
    142 CHAPTER 7. ANALYSISAND SIMULATIONS 10 adaptation times mean standard deviation 9 3 8 ms 73333333333333333333333333333333333 333333333333333333333333333333333 333333333333333333333333333333333 6 5 4 3333333333333333333333333333333333 333333333333333333333333333333333 333333333333333333333333333333333 3 0 20 40 60 run 80 100 120 Figure 7.17: Recovery times. X values represent consecutive runs of the application, Y values are times for RINT to interpret the r-codes in Fig. 6.8 on a Parsytec PowerXplorer multicomputer. 7.2.2.3 Performance of the TIRAN Recovery Interpreter In order to estimate the time required for error recovery, including the overhead of the RINT recovery interpreter, the application described in Sect. 6.2.2 has been run for 120 times in a row, injecting a value fault on one of the versions (version 2). The system replied executing the recovery script described in Sect. 6.2, which switched version 2 off and version 4 in, thus restoring an errorless TMR. Figure 6.6 and 6.7 display images taken in a similar experiment. Figure 6.8 shows the actual list of r-codes executed by RINT. Figure 7.17 displays the time required for executing them. These times include the additional overhead for writing the elapsed time of each run into a file. Times, in milliseconds, are related to the prototype running on the Parsytec Xplorer (based on PowerPC 601 processors with a clock frequency of 66MHz). 7.2.2.4 Performance of the Distributed Voting Tool This section focuses on estimating the voting delay of the TIRAN distributed voting tool via some experiments. Overheads are expressed in terms of system resources (threads, memory occupation and so forth). Time and Resources Overheads of the Distributed Voting Tool. All measurements have been performed running a restoring organ consisting of N processing nodes, N = 1, . . . , 4. The executable file has been obtained on a Parsytec CC system with the “ancc” C compiler using the “-O” optimisation flag. During the experiments, the CC system was fully dedicated to the execution of that application.
  • 160.
    7.3. CODING EFFORT 143 Theapplication has been executed in four runs, each of which has been repeated fifty times, increasing the number of voters from 1 to 4, one voter per node. Wall-clock times have been collected. Averages and standard deviations are shown in Table 7.6. number of nodes 1 2 3 4 average 0.0615 0.1684 0.2224 0.3502 standard deviation 0.0006 0.0022 0.0035 0.0144 Table 7.6: Time overhead of the voting farm for one to four node systems (one voter per node). The unit is milliseconds. The system requires N threads to be spawned, and N mailboxes are needed for the communication between each user module and its local voter. The network of voters calls for another N × (N − 1)/2 mailboxes. 7.3 Coding Effort Coding efforts can be measured by the amount of fault-tolerance code intruded in the user application. When few coding effort is required by an ALFT structure, then the SA and SC characterising that structure may be assessed as satisfactory. As it has been shown in Chapter 6, with RεL typically the sole code intrusion is given by the deployment of a set of error detection provisions, a limited amount of calls to the RaiseEvent function, and possibly by application-specific replies to messages from the RINT module, aiming, for instance at executing functions to roll back to a previously checkpointed state. In the case described in Sect. 6.1 the code intrusion is limited to the deployment of a watchdog. In the case of Sect. 6.2, code intrusion is absent, and the user is only requested to supply the base versions of the functional service. Configuration and recovery are supplied as an ARIEL script, hence they do not intrude in the functional code. A few lines need to be added to the application “makefile” so to instruct the compilation of the ancillary source codes produced by the ARIEL translator. Also in the ENEL demonstrator being developed at ENEL and described in Sect. 6.3, code intrusion is expected to be limited to a few RaiseEvent’s in their diagnostic functions (see on p. 116) and in a function call to a configured instance of the TIRAN watchdog—this configuration being carried out in ARIEL. This translates in low development costs related to the dependability design goals. Also what maintainability is concerned, the use of ARIEL as a configuration language allows to modify even the API to the TIRAN functions with no effect on the application code. In the redundant watchdog described in Sect. 6.4, the diverse strategies are coded outside the functional application layer, and the tool results from a compositional process supported by the configuration language. Hence, also in this case the coding effort is very limited.
  • 161.
    144 7.4 CHAPTER 7. ANALYSISAND SIMULATIONS Conclusions This aim of this chapter has been the evaluation of some key properties of RεL—namely, reliability, performance and coding efforts. The effect of spares and fault-specific strategies on reliability has been observed. An analysis of the performance of some key algorithmic components revealed their range of complexity and hinted at possible improvements. Other analyses and simulations have been reported, concerning the performance of some key architectural components of the TIRAN prototype—its backbone, the time-out manager, the recovery interpreter, and a basic tool. Finally, a few considerations on coding efforts related to RεL and their effect on development and maintenance costs have been drawn.
  • 162.
    Chapter 8 Open Challengesand Conclusions This chapter concludes the dissertation and draws a few elements for further research. In particular, a number of open challenges are described in Sect. 8.1 while an overall conclusion with a summary of the contributions of the author is drawn in Sect. 8.2. 8.1 Open Challenges and Research Problems This section casts the basis for further investigations on the fault-tolerance linguistic structure provided by RεL. First, a straightforward extension for high adaptability (structural attribute A) is described in Sect. 8.1.1. Next, an open challenging research path is stated in Sect. 8.1.2: extending RεL to unlimited distributed systems, such as Internet-based wide-area metacomputing systems or electronic-commerce applications. Section 8.1.3 briefly mentions a few other open research paths. 8.1.1 A RεL Architecture for High Adaptability As already mentioned, in ARIEL the fault-tolerance part of a computer program is separated from the functional part, to the point that one could change the former with no impact on the latter— not even recompiling the application code. This happens because, while the target application code is a “plain” code, compiled with a conventional programming language such as, e.g., C or C++, the fault-tolerance code is available in the form of a binary pseudo-code to be interpreted at run-time by the r-code virtual machine. This property allows to create an infrastructure such that this fault-tolerance code is not statically read from a file or from a data segment in the running application—as it happens in the TIRAN prototype—but dynamically negotiated, at run-time, from an external r-code broker, i.e., a server specific of the given environment. This strategy, depicted in Fig. 8.1, would translate into the following properties: • Moving a code to a new environment simply means that that code receives “recovery applets” from a different r-code broker. 145
  • 163.
    146 CHAPTER 8. OPENCHALLENGES AND CONCLUSIONS Figure 8.1: The process of negotiating the r-codes: on the left, the user application runs together with the backbone and the recovery interpreter. The actual set of r-codes to be interpreted (called “recovery applet”) is requested from an external component, called the r-code broker. This scheme partitions the complexity into three separate blocks—functional (service) complexity, related to the functional aspects and dealt with in the application code; fault-tolerance complexity, i.e., the complexity pertaining to the management of the fault-tolerance provisions, which is dealt with in the RεL system and in the r-codes; and environment complexity, defined as the complexity required to cope in an optimal way with the varying environmental conditions, which is charged to the r-code broker. • Updating the recovery strategies of a set of client codes only requires updating a library of recovery applets managed by the local r-code broker. • Dynamic management of the applets in this r-code broker allows the whole set of clients to adapt dynamically to a changing environment. This allows transparent, immediate adaptation to a new environment or to new environmental conditions, in order to guarantee the degree of quality of service agreed in the service specifications despite any changes in the environment. • The burden of facing a changing environment (called “environment complexity” in Fig. 8.1) is not charged to each application component. On the contrary, this complexity is shifted to a single specialised external component, the r-code broker. It is worth remarking how, in such an architecture, the complexity required to manage the fault-tolerance provisions, as well as the one required to adjust the fault-tolerance provisions to the current environmental conditions, are no more exclusively in the application. As drawn in Fig. 8.1, this complexity can be decomposed into its three components and tackled in different contexts—possibly by different teams of experts, possibly at different times. According to the divide et impera design principle, this may turn into an effective scheme for controlling the complexity in a fault-tolerance distributed application. Note also how, in the above mentioned scheme, the only general-purpose task is purely the service. Indeed, the system for the management of the fault-tolerance provisions and the r-code broker are special-purpose tasks, and as such they are more eligible for being cost-effectively optimised with respect to both performance and dependability. The maturity of hardware-based and OS-based fault-tolerance, with respect to the complex scenario of application-level fault-tolerance described in this dissertation, may be used as an argument to bring evidence to the above statement. 8.1.2 Extending RεL to Unlimited Distributed Systems Another challenging research path would be to devise a RεL approach suited for the adoption in unlimited distributed systems, such as Internet-based wide-area metacomputing applications [Buy99] or WAP-based [WAP00] electronic-commerce applications. The peculiar characteristics of RεL, and especially its optimal adaptability, may prove to match well with the
  • 164.
    8.1. OPEN CHALLENGESAND RESEARCH PROBLEMS 147 requirements of these classes of applications. The rest of this paragraph deals with the latter class. Nowadays WAP-based [WAP00] electronic-commerce applications allow to perform commercial transactions through hand-held devices. Clearly, the novel possibilities opened by this new scenario inevitably let in new problems to be investigated and solved. For instance, client applications written for being embedded into those hand-held devices, as well as the applications remotely serving those clients, must be designed in such a way as to cope with the typical scenarios those applications may run into. Indeed, the mobility of these clients inplies error-proneness and communication autonomy [VT00], that is, devices are not always reachable through the network and they are often disconnected. In other words, the environment in which the clients execute may be unpredictably subjected to sudden, drastic changes, which could in turn result, for instance, in temporary disconnections. The RεL approach described in this dissertation could be extended as described in Sect. 8.1.1 so to bring adaptable fault-tolerance into this context. Fine-tuning the degree of redundancy to the current conditions of the channel allows to minimise the cost and time overheads. A RεL architecture may provide this solution without introducing large amounts of complexity into the applications. Minimising costs and information redundancy matches well with the characteristics of nowadays’ hand-held electronic-business devices, i.e., scarce and and expensive limited bandwidth [VT00]. 8.1.3 Other Research Paths Other future research paths should concern the conception of resilient strategies for the error recovery process managed by RINT—an important requisite for developing an effective architecture compliant to RεL. Furthermore, the dynamic behaviour of systems such as the TIRAN backbone or the time-out management system may be worth investigating. Typical questions to be investigated would be, what happens to a dynamic system that models the activity of the backbone when one varies the deadlines of its time-outs? What external behaviour shows up when shrinking those deadlines and hence increasing the frequency of the periods of instability? Similar investigations were carried out, e.g., in [DF95], by the author of this dissertation. Another path would be that of investigating on the capability of RεL as a system structure for the expression of aspects such as security. Other investigation may concern the automatic translation of a recovery language program into a set of logic clauses with whom to fed some verification tool. Furthermore, experimenting structures other than RεL’s guarded actions may further increase the syntactical adequacy. Another important research path should concern the extension of the approach towards hard real-time. The integration of the application-level fault-tolerance architecture of ARIEL with a system-level fault-tolerance architecture such as the one of GUARDS [PABD+ 99], which also addresses hard real-time, could provide an adequate end-to-end architecture addressing both dependability and real-time at all levels.
  • 165.
    148 8.2 CHAPTER 8. OPENCHALLENGES AND CONCLUSIONS Conclusions The thesis of this dissertation (“it is possible to catch up satisfactory values for the structural attributes, at least in the domain of soft real-time, distributed and parallel applications, by means of a fault-tolerance linguistic structure that realises a distinct, secondary, programming and processing context, directly addressable from the application layer”) has been justified and validated throughout this text by means of a number of arguments. These arguments are recalled in Sect. 8.2.1, which discusses the key lessons learned. Finally, Sect. 8.2.2 summarises the main contributions of this work. 8.2.1 Key Lessons Learned One of the lessons learned while doing this work has been that an effective structure for application fault-tolerance can take the form of a couple (application services, fault-tolerance services), with limited dependencies between its two components. Such a separation allows to have independent design, development and maintenance processes for both the application and the faulttolerance services. This turns into optimal values of the structural attribute separation of design concerns (SC). Moreover, the RεL model allows the use of • a widespread language such as C for the functional aspects, and • an ad hoc linguistic structure for the fault-tolerance aspects, thus reaching both the benefits of the evolutionary approaches (better portability, compliancy to well-accepted and known standards, . . . ) and those of the revolutionary ones (less syntactical constraints, more elegance and efficiency, explicitness of the fault-tolerance design requirements, possibility to extend or add new features freely, therefore enhancing expressiveness and allowing to reach optimal values of syntactical adequacy (SA). One can conclude that the RεL approach and the linguistic structure of the configuration and recovery language ARIEL allow to prove the truth of conjecture “the coexistence of two separate though cooperating layers for the functional and the fault-tolerance aspects allows to reach both the benefits inherent to the evolutionary approaches and those of the revolutionary solutions” (see on p. 42) as well as of conjecture “it can be possible to address, within one efficacious linguistic structure, a wide set of fault-tolerance provisions” (see on p. 42). Another important lesson learned has been that in ARIEL, the separation of concerns is such that even the corresponding executable codes are separable1 . This fact can be exploited as suggested in Sect. 8.1.1 in order to design a distributed architecture in which the dynamic 1 When one considers an entire executable image as one code word, the corresponding code is said to be separable [Joh89, p. 84] with respect to the fault-tolerance and the functional aspects.
  • 166.
    8.2. CONCLUSIONS 149 management ofr-code applets both provides high adaptability (A) with respect to current environmental conditions and at the same time does not charge the application with the burden of managing large amounts of non-functional complexity. This happens because complexity is partitioned into three distinct and separated components. This brings evidence to our conjecture (on p. 22) that argued that a satisfactory solution to the design problem of the management of the fault-tolerance code can translate into an optimal management of the fault-tolerance provisions with respect to varying environmental conditions. 8.2.2 Contributions This dissertation provides a number of original contributions to the state-of-the-art of the structures to express fault-tolerance in the application layer of a computer system. These contributions are now briefly recalled. The first contribution has been the definition in Chapter 1 of the structural attributes, a sort of base of variables with which application-level fault-tolerance structures can be qualitatively assessed and compared with each other and with respect to above mentioned need. Chapter 2 provides a summary of the Laprie’s model of dependability. The relation between the management of the fault-tolerance code, the efficient management of redundancy, and complexity control, has been also introduced. Chapter 3 is an in-depth survey of state-of-the-art of fault-tolerance structure. A qualitative assessment is supplied for each class with respect to the structural attributes defined in Chapter 1. Two conjectures have been drawn on the characteristics of an optimal class. In particular, the coexistence of two separate layers for the functional and the non-functional aspects has been isolated as a key factor for a linguistic structure for fault-tolerance. Chapter 4 introduces a novel linguistic structure for the fault-tolerance of distributed applications—the recovery language approach. System, application and fault models are proposed. A workflow diagram is supplied. The overall design of the approach is given and an investigation of possible technical foundations is carried out. Other contributions include an analysis of the specific differences between the new structure and the ALFT approaches reviewed in Chapter 3, and an analysis of the specific limitations of the recovery language approach. Chapter 5 describes the prototype system compliant to the recovery language approach that has been developed in project TIRAN. Contributions of the author include: the definition of the TIRAN architecture; the concept of recovery and configuration language; the design of the configuration and recovery language ARIEL; the design of a recovery pseudo-code (the r-code); the design and development of the ARIEL-to-r-code translator; the design and development of the ARIEL run-time executive; the design and development of the TIRAN backbone, including its database; the conception of the algorithm of mutual suspicion; the design and development of the distributed voting tool; the design and development of the TIRAN time-out manager; and the design decision to adopt the α-count fault-identification mechanism. Chapter 6 provides several case studies. In particular, the GLIMP software and the ENEL redundant watchdog have been co-authored by the author, while the enhancements to the TIRAN distributed voting tool (adding spares to an N -version programming executive, or using recov-
  • 167.
    150 CHAPTER 8. OPENCHALLENGES AND CONCLUSIONS ery strategies that exploit the identification of the nature of each fault) have been designed and implemented by the author. Chapter 7 focuses on the assessment of the recovery language approach. A number of results have been obtained via reliability and performance analysis and via measurements obtained through simulations. Key properties being assessed are reliability, performance, and coding efforts—the latter affecting both development and maintenance costs. It is shown that the approach and algorithms described in this work may reach, under certain circumstances, high performance and throughput, unlimited scalability, high reliability, and very limited usage costs. Main contributions of the author in this chapter include: the definition of a class of gossiping algorithms as a base service of the distributed voting tool; the conception of a formal model for those algorithms and their analysis; the algorithm of pipelined broadcast and related theorems; the Markovian reliability models for the analysis of the effect of spares and of α-count in the distributed voting tool; the design and development of the system for congestion control in the time-out manager; and the analysis of this system. Chapter 8 then casts the elements for future research proposing possible evolutions and improvements, including an architecture for the adaptable management of the fault-tolerance code. As an overall conclusion, this dissertation has addressed the lack of a structuring technique capable to offer its users a satisfactory solution to the demands of dependable-software engineering. While a generally applicable solution does not exist, a particular one has been found, analysed, and discussed, for the domain of soft real-time, distributed and parallel applications. In this domain, the solution and its prototype exhibit satisfactory values of the structural attributes. Experimental results suggest that systems based on the novel solution are able to fulfil dependability and performance design goals.
  • 168.
    Appendix A Mathematical Details A.1 MathematicalDetails Related to Eq. 7.2 The basic steps leading to Eq. 7.2, i.e., R(1) (C, t) = (−3C 2 + 6C) × [R(t)(1 − R(t))]2 + R(0) (t), are described in what follows. The Markov reliability model of Fig. 7.1 brings to the following set of equations:                     p310 (t + ∆t) p300 (t + ∆t) p200 (t + ∆t) pFS (t + ∆t) p211 (t + ∆t) p301 (t + ∆t)  p201 (t + ∆t)        p202 (t + ∆t)         pFU (t + ∆t)    p310 (t)(1 − 4λ∆t) p300 (t)(1 − 3λ∆t) + p310 (t)4λ∆tC p200 (t)(1 − 2λ∆t) + p300 (t)3λ∆t pFS (t) + p200 (t)2λ∆t p211 (t)(1 − 3λ∆t) + p310 (t)3λ∆t(1 − C) p301 (t)(1 − 3λ∆t) + p310 (t)λ∆t(1 − C) p201 (t)(1 − 2λ∆t) + p301 (t)3λ∆tC+ p211 (t)3λ∆tC = p202 (t)(1 − 2λ∆t) + p301 (t)3λ∆t(1 − C)+ p211 (t)λ∆t(1 − C) = pFU (t) + p201 (t)2λ∆t+ p211 (t)2λ∆t(1 − C) + p202 (t)2λ∆t. = = = = = = = The above equations can be written as follows: 151
  • 169.
    152 APPENDIX A. MATHEMATICALDETAILS                                dp310 (t+∆t) dt dp300 (t+∆t) dt dp200 (t+∆t) dt dp FS (t+∆t) dt dp211 (t+∆t) dt dp301 (t+∆t) dt dp201 (t+∆t) dt dp202 (t+∆t) dt dp FU (t+∆t) dt −4λp310 (t) −3λp300 (t) + 4λCp310 −2λp200 (t) + 3λp300 (t) 2λp200 (t) −3λp211 (t) + 3λ(1 − C)p310 (t) −3λp301 (t) + λ(1 − C)p310 (t) −2λp201 (t) + 3λCp301 (t) + 3λCp211 (t) −2λp202 (t) + λ(1 − C)p211 (t) + 3λ(1 − C)p301 (t) 2λp202 (t) + 2λp201 (t) + 2λ(1 − C)p211 (t). = = = = = = = = = For any state s, let us now call Ls = L(ps (t)), where L is the Laplace transform. Furthermore, as (310) is the initial state, it is reasonable to assume that p310 (0) = 1 and ∀s = (310) : ps (0) = 0. Then taking the limit of the above equations as ∆t goes to zero and taking the Laplace transform brings to                          L310 L300 L200 LFS L211 L301 L201 L202 1 = s+4λ 4C 4C = s+3λ − s+4λ 12C 6C 6C = s+4λ − s+3λ + s+2λ 3C 8C 6C = C − s+4λ + s+3λ − s+2λ s = 3(1−C) − (3(1−C) s+3λ s+4λ 1−C 1−C = s+3λ − s+4λ 1 2 1 = 6C(1 − C)( s+4λ − s+3λ + s+2λ ) 1 2 1 = 3(1 − C)2 ( s+4λ − s+3λ + s+2λ ). Inverting the Laplace transform, the following probabilities can be found:   p310 (t)    p300 (t)     p200 (t)  p211 (t)   p301 (t)     p201 (t)    p202 (t) = = = = = = = exp−4λt 4C exp−3λt −4C exp−4λt 6C exp−4λt −12C exp−3λt +6C exp−2λt 3(1 − C) exp−3λt −3(1 − C) exp−4λt (1 − C) exp−3λt −(1 − C) exp−4λt 6C(1 − C)(exp−4λt −2 exp−3λt + exp−2λt ) 3(1 − C)2 (exp−4λt −2 exp−3λt + exp−2λt ) (only useful states have been computed). Let us denote with R the reliability of the basic component of the system, i.e., exp−λt , and RTMR as the reliability of the TMR system based on the same component. The reliability of the three and one spare system, R(1) (C, t), is given by the sum of the above probabilities:
  • 170.
    A.2. MATHEMATICAL DETAILSRELATED TO EQ. 7.4 153 R(1) (C, t) = R4 (−3C 2 + 6C) + R3 (6c2 − 12C − 2) + R2 (−3C 2 + 6C + 3) = (−3C 2 + 6C)(R(1 − R))2 + (3R2 − 2R3 ) = (−3C 2 + 6C)(R(1 − R))2 + RTMR , which proves Eq. (7.2). A.2 Mathematical Details Related to Eq. 7.4 This section describes the basic steps leading to Eq. 7.4: Rα (t) = 3 exp−2(1−RT )λt −2 exp−3(1−RT )λt . TMR The Markov reliability model of Fig. 7.4 leads to the following set of equations:   p3 (t + ∆t) = p3 (t)[1 − 3λ∆t(1 − RT )] p2 (t + ∆t) = p2 (t)[1 − 2λ∆t(1 − RT )] + p3 (t)[3λ∆t(1 − RT )]  pF (t + ∆t) = pF (t) + p2 (t)[2λ∆t(1 − RT )]. The above equations can be written as follows:   dp3 (t+∆t) = −3λ(1 − RT )p3 (t)  dt dp2 (t+∆t) = −2λp2 (t)(1 − RT ) + 3λp3 (t)(1 − RT ) dt  dpF (t+∆t)  = 2λp2 (t)(1 − RT ). dt For any state s, let us now again call Ls = L(ps (t)), where L is the Laplace transform. Furthermore, as (3) is the initial state, it is assumed that p3 (0) = 1 and ∀s = (3) : ps (0) = 0. Then taking the limit of the above equations as ∆t goes to zero and taking the Laplace transform brings to  1  L3 = s+3λ(1−RT )  3 3 L2 = s+2λ(1−RT ) − s+3λ(1−RT )  2 3  LF = 1 − − s+2λ(1−RT ) . s s+3λ(1−RT ) Inverting the Laplace transform, the following probabilities can be found:   p3 (t) = exp−3(1−RT )λt p (t) = 3 exp−2(1−RT )λt −3 exp−3(1−RT )λt  2 pF (t) = 1 + 2 exp−3(1−RT )λt −3 exp−2(1−RT )λt . Let us denote as Rα TMR the reliability of a TMR system exploiting the α-count mechanism. α Indeed RTMR = p3 (t) + p2 (t) is Eq. (7.4).
  • 171.
    154 APPENDIX A. MATHEMATICALDETAILS A.3 Proofs of Propositions of Sect. 7.2.1 A.3.1 Proof of Proposition 1 For any permutation P, the distributed algorithm described by the state diagram of Fig. 7.7 solves the gossiping problem of Sect. 7.2.1 without deadlocks. PROOF 1 The algorithm trivially implements gossiping through N broadcast sessions, i.e., N sequences of N − 1 sends and N − 1 corresponding receipts. The state diagram of Fig. 7.7 is a linear sequence of 4N + 2 states—hence, the corresponding algorithm has no selective or recurrence statements. It is now shown how no “send-send” deadlock situations are possible, i.e., no two processors pi and pj can be found such that, at the same time, pi is in state WSj and pj is in state WSi . Let us first observe how, by construction, for all i ∈ [0, N ], if processor pi has acquired j input values, then, for all k ≤ j, processor pk has already passed through states WSi and Si (shown the second row of Fig. 7.7). If, ab absurdo, ∃i, j such that processor pj is in state WSi and processor pi is in state WSj (i.e., the system is in deadlock), then either i < j or the other way around. If i < j then pj has already passed through states WSi and Si , which contradicts the hypothesis. The same contradiction is reached if j < i. 2 A.3.2 Proof of Proposition 2 λN = 3 N 2 + 5 N + 4 4 1 2 N/2 . PROOF 2 (by induction). The property holds for N = 1. Let us consider run-table N + 1. Let us strip off its last row; then wipe out the (N + 1)/2 − 1 leftmost columns which contain the element SN +1 . Let us also cut out the whole right part of the table starting at the column containing the last occurrence of SN +1 . Finally, let us rename all the remaining SN +1 ’s as “−”. Our first goal is showing that what remains is run-table N . To this end, let us first point out how the only actions that affect the content of other cells in a run-table are the S actions. Their range of action is given by their subscript: an SN +1 for instance only affects an entry in row N + 1. Now let us consider what happens when processor i − 1 sends its message to processor i and the latter gains the right to broadcast as well: at this point, processor i starts sending to processors in the range {0, . . . , i − 2} i.e., those “above”; as soon as it tries to reach processor i − 1, in the case the latter has not finished its own broadcast, i enters state WS and blocks. This means that: 1. processors “below” processor i will not be allowed to start their broadcast, and 2. for processor i and those “above”, µ, or the degree of parallelism, is always equal to 2 or 4—no other value is possible. This is shown for instance in Table 7.1, row “ν ”.
  • 172.
    A.3. PROOFS OFPROPOSITIONS OF SECT. 7.2.1 155 Figure A.1: Processor i − 1 blocks processor i only if 2i − 1 < N . A transmission i.e., two used slots, is represented by an arrow. In dotted arrows the sender is processor i−1, for normal arrows it is processor i. Note the cluster of i − 1 columns with two concurrent transmissions (adding up to 4 used slots) in each of them. id step ↓→ 0 1 2 3 4 5 6 7 ν → 1 2 3 4 5 6 7 8 9 10 11 12 13 14 15 16 17 18 19 20 21 22 23 24 S1 S2 S3 S4 S5 S6 S7 R 1 − R 2 − − − − − − R 3 − − − − − R 4 − R0 S0 S2 S3 S4 S5 S6 S7 R 2 − − R 3 − − − − − R 4 − R 0 − − − − − − R 1 S0 S1 S3 S4 S5 S6 S7 R 3 − − − − − R 0 − − − − − − R 1 − − − − − R 2 S0 S1 S2 S4 S5 S6 − − − R 0 − − − − − − R 1 − − − − − R 2 − − − − R 3 S0 S1 − − − − R0 − − − − − − R1 − − − − − R2 − − − − R3 − − − − − − R0 − − − − − − R1 − − − − − R2 − − − − R3 − − − − − − R0 − − − − − − R1 − − − − − R2 − − − − 2 2 2 2 2 2 2 2 2 4 2 2 2 2 2 2 4 4 2 2 2 2 4 4 id step ↓→ 0 1 2 3 4 5 6 7 ν → 25 26 27 28 29 30 31 32 33 34 35 36 37 38 39 40 41 42 43 44 45 46 47 − − − R5 − − − − − R6 − − − − − − R7 − − − − − − − − − − R5 − − − − − R6 − − − − − − R7 − − − − − R4 − − − − R5 − − − − − R6 − − − − − − R7 − − − − S7 R 4 − − − − R 5 − − − − − R 6 − − − − − − R 7 − − − S2 S3 S5 S6 S7 − − R 5 − − − − − R 6 − − − − − − R 7 − − − − R 4 S0 S1 S2 S3 S4 S6 S7 − − − − R 6 − − − − − − R 7 − − − − R 4 − − − − R 5 S0 S1 S2 S3 S4 S5 S7 − − − − − − R 7 R 3 − − − R 4 − − − − R 5 − − − − − R 6 S0 S1 S2 S3 S4 S5 S6 4 2 2 4 4 2 2 2 2 4 2 2 2 2 2 2 2 2 2 2 2 2 2 Table A.1: Run-table 7 for P equal to the identity permutation. Average utilisation is 2.38 slots out of 8, or an efficiency of 29.79%. As depicted in Fig. A.1, processor i gets blocked only if it tries to send to processor i − 1 +1 while the latter is still broadcasting, which happens when i < N 2 . This condition is true for +1 any processor j ∈ {0, . . . , N 2 −1}. Note how a “cluster” appears, consisting of j−1 columns with 4 used slots inside (Table A.1 can be used to verify the above when N is 7). Removing the +1 +1 first N 2 occurrences of SN +1 (from row 0 to row N 2 − 1) therefore simply shortens of one time step the stay of each processor in their current waiting states. All the remaining columns containing that element cannot be removed—these occurrences simply vanish by substituting them with a “−” action. Finally, the removal of the last occurrence of SN +1 from the series of sending actions which constitute the broadcast of processor N allows the removal of the whole right sub-table starting at that point. The obtained table contains all and only the actions of run N ; the coherence of
  • 173.
    156 APPENDIX A. MATHEMATICALDETAILS these actions is not affected; and all broadcast sessions are managed according to the rule of the identity permutation. In other words, this is run-table N . Now let us consider σ(N + 1): according to the above argument, this is equal to: 1. the number of slots available in an N -run i.e., σ(N ) = (N + 1)λN , 2. plus N + 1 slots from each of the columns that experience a delay i.e., (N + 1)/2 · (N + 1), 3. plus the slots in the right sub-matrix, not counting the last row i.e., (N + 1)(N + 2), 4. plus an additional row. In other words, σ(N + 1) can be expressed as the sum of the above first three items multiplied by a factor equal to N +2 . This can be written as an equation as N +1 k+1 k+2 (k + 1) + (k + 1)(k + 2) . 2 k+1 σ(k + 1) = σ(k) + (A.1) By the definition of σ (see on p. 130), this leads to the following recursive relation: k+1 + k + 2. 2 Furthermore, the following is true by the induction hypothesis: (k + 1) = (k) + 3 5 1 λN = (N ) = N 2 + N + N/2 . 4 4 2 (A.2) (A.3) Our goal is to show that Eq. (A.2) and Eq. (A.3) together imply that (N + 1) = λN +1 , the latter being 3 5 1 N +1 (N + 1)2 + (N + 1) + 4 4 2 2 λN +1 = 1 Let us call quantity 2 Let us consider now N 2 + N +1 2 (N + 1) = as ∆. (N ) + N +1 +N +2 2 3 = λN + N + 2 2 3 2 5 = N + N +∆+N +2 4 4 3 6 3 9 = (N + 1)2 − N − + N + 2 + ∆ 4 4 4 4 3 5 N = (N + 1)2 + (N + 1) − + ∆. 4 4 2 (A.4)
  • 174.
    A.3. PROOFS OFPROPOSITIONS OF SECT. 7.2.1 157 The thesis is proved by showing that 1 N +1 N =∆− . 2 2 2 (A.5) Indeed, Eq. (A.5) can be written as 1 N +1 2 2 N +1 2 1 N N +1 N + − 2 2 2 2 N N +1 = +2 −N 2 2 N N +1 + . N = 2 2 = (A.6) The truth of Eq. (A.6) proves our claim. A.3.3 Proof of Lemma 1 The number of columns with 4 used slots inside, for a run with P equal to the identity permutation and N + 1 processors, is N 2 − 2N + [N is odd] . 4 PROOF 3 Figure A.1 shows also how, for any processor 1 ≤ i ≤ (N + 1)/2 , there exists only one cluster of i − 1 columns such that each column contains exactly 4 used slots. Moreover Fig. A.2 shows that, for any processor (N + 1)/2 + 1 ≤ i ≤ N , there exists only one cluster of N − i columns with that same property. Figure A.2: For any processor i > (N + 1)/2 , there exists only one cluster of N − i columns with 4 used slots inside. Let us call u4 this number and count such columns: (N +1)/2 N (i − 1) + u4 = i=1 (N − i). (A.7) i= (N +1)/2 +1 Two well-known algebraic transformations on sums (see e.g., in [GK86, PjB85]) bring to (N +1)/2 −1 u4 = N − (N +1)/2 −1 (N − j+ j=0 j=0 N +1 − 1 − j). 2 (A.8)
  • 175.
    158 APPENDIX A. MATHEMATICALDETAILS Note that, with m = N − (N + 1)/2 − 1, the second sum can be written as which is equal to m(m+1) . Hence, 2 N +1 2 +1 +1 − 1)( N 2 ) (N − N 2 − 1)(N − u4 = + 2 2 1 2 N +1 2 N +1 = (N + 2( ) − 2N − N) 2 2 2 N 2 − 2N + [N is odd] = , 4 where “[N is odd]” is 1 when N is odd and 0 otherwise. 2 ( A.3.4 N +1 2 m j=0 (m − j), ) (A.9) Proof of Proposition 3 limN →∞ εN = 0. PROOF 4 Let us call U (N ) the number of used slots in a run of N processors. As a consequence of Lemma 1, the number of used slots in a run is N 2 − 2N + [N is odd] + 2λN 4 N 2 − 2N + [N is odd] 3 5 1 + 2( N 2 + N + N/2 ). = 2 4 4 2 The definition of σ (see on p. 130) implies that U (N ) = 2 εN = U (N ) . (N + 1)λN (A.10) (A.11) Clearly deg[U (N )] = 2, while from Prop. 2 one knows that deg[(N + 1) · λN ] = 3. As a consequence, εN tends to zero as N tends to infinity. 2 A.3.5 Proof of Proposition 4 8 limN →∞ µN = 3 . PROOF 5 From µN = U (N ) , λN (A.12) one can derive that 2 µN 2 N + 2 3 N 2 + . . . some 1st degree elements 4 4 = 3 2 N + . . . some 1st degree elements 4 2N 2 + . . . some 1st degree elements , = 3 2 N + . . . some 1st degree elements 4 8 which tends to 3 , or 2.6, when N goes to infinity. 2 (A.13)
  • 176.
    A.3. PROOFS OFPROPOSITIONS OF SECT. 7.2.1 A.3.6 159 Proof of Proposition 5 λN = 3N. PROOF 6 Let us consider run-table N + 1. Let us strip off its last row; then remove each occurrence of SN +1 , shifting each row left over one position. Remove also each occurrence of RN +1 . Finally, remove the last column, now empty because of the previous rules. Our first goal is showing that what remains is run-table N . To this end, let us remind the reader that each occurrence of an SN +1 action only affects row N + 1, which has been cut out. Furthermore, each occurrence of RN +1 comes from an S action in row N + 1. Finally, due to the structure of the permutation, the last action in row N +1 has to be an SN —as a consequence, row N shall contain an RN +1 , and the remaining rows shall contain the action “−”. Removing the RN +1 allows to remove the last column as well, with no coherency violation and no redundant steps. This proves our first claim. With a reasoning similar to the one followed for Prop. 2 it is possible to show that σ(N + 1) = σ(N ) + 3(N + 1) N +2 . N +1 (A.14) that is, by Definition 7.2.1.1, λ(N + 1) = λ(N ) + 3. (A.15) Recursive relation (A.15) represents the first (or forward) difference of λ(N ) (see for instance [PW79]). The solution of the above is λ(N ) = 3N . 2 A.3.7 Proof of Proposition 6 ∀N > 0 : εN = 2/3. PROOF 7 Again, let U (N ) be the number of used slots in a run of N processors. From Prop. 5, run-table N differs from run-table N + 1 only for N + 1 “S” actions, N + 1 “R” actions, and the last row consisting of another N + 1 pairs of useful actions plus some non-useful actions. Then U (N + 1) = U (N ) + 4(N + 1). (A.16) Via, e.g., the method of trial solutions for constant coefficient difference equations introduced in [PW79, p. 16], it is possible to get to U (N ) = 2N (N + 1), which clearly satisfies recursive relation (A.16) being 2N (N + 1) + 4(N + 1) = 2(N + 1)(N + 2). Hence U (N ) 2N (N + 1) 2 εN = = = . (A.17) σ(N ) λN (N + 1) 3 2
  • 177.
    160 A.3.8 APPENDIX A. MATHEMATICALDETAILS Proof of Proposition 7 2 ∀N > 0 : µN = (N + 1). 3 PROOF 8 The proof follows immediately from µN = U (N )/λN = 2N (N + 1)/(3N ). 2
  • 178.
    Appendix B The TIRANTime-Out Manager This chapter describes the architecture, the application programmer’s interface (i.e., the clientside view), as well as the server-side protocol of an enhanced version of the TIRAN TOM. TOM can be regarded as a client-server application such that the client issues requests according to a well-defined protocol, while a server thread fulfils these requests: registering, updating, modifying, purging entries of the time-out list, and executing the corresponding alarms. This server side is totally transparent to the user module (the client). B.1 The Architecture of the TOM System Figure B.1 shows TOM’s architecture. In (1) the client process sends requests to the time-out list manager via the API to be described in Sect. B.2; in (2) the time-out list manager accordingly updates the time-out list with the server-side protocol to be described in Sect. B.3; (3) each time a time-out reaches its deadline, a request for execution of the corresponding alarm is sent to a task called alarm scheduler (AS); (4) the latter allocates an alarm request to the first available thread out of those in a circular list of alarm threads (AT ’s), possibly waiting until such a thread becomes available. The availability of AS and AT ’s can have positive consequences on fulfilling real-time requirements. These aspects are dealt with in Sect. B.4. B.2 Client-Side Protocol The TOM class appears to the user as a couple of new types and some function calls. The first of these types comes into action the moment the user starts using the time-out management service. 161
  • 179.
    162 APPENDIX B. THETIRAN TIME-OUT MANAGER Figure B.1: Architecture of the time-out management system. Specifically, to declare a time-out manager, the user needs to define a pointer to a TOM object. This is more or less like defining a FILE pointer in standard C: TOM *tom. Within the standard C class “FILE”, the function fopen attaches an object to that pointer and opens a connection with the file system; likewise, the function tom init defines a time-out manager object, and sets up a connection with TOM’s server-side: int alarm(TOM *); tom = tom init( alarm ); (the function alarm is the default function to be called when a time-out expires. A class-specific variable stores this function pointer. This default value can be changed afterwards by setting another, object-specific, variable). Function tom init is node-specific; that is, the first time it is called on a node, a custom thread is spawned on that node. That thread is the actual time-out manager, that is, TOM’s server-side. At this point the user is allowed to define time-outs. This is done via type timeout t and function tom declare; an example follows: timeout t t; tom declare(&t,TOM CYCLIC, TOM SET ENABLE, TID, DEADLINE). In the above, time-out t is defined as: • a cyclic time-out (renewed on expiration; as opposed to TOM NON CYCLIC, i.e., purged on expiration), • enabled (only enabled time-outs “fire”, i.e., call their alarm on expiration; an alarm is disabled with TOM SET DISABLE), • with a deadline of DEADLINE clock ticks before expiration. Furthermore, time-out t is identified by the integer TID. Once defined, a time-out can be submitted to the time-out manager for insertion in its running list of time-outs—this will be explained in more detail in Sect. B.3. From the user viewpoint, this is managed by calling the function tom insert. After successful insertion (to be tested via the return value of tom insert), and in case no further control is specified, an enabled time-out will trigger the call of the default alarm function after the specified deadline. This behaviour would be cyclic if the original time-out is defined as such. Further control is still possible though. For instance, a time-out can be temporarily suspended while in the time-out list via function tom disable and (re)-enabled via function tom enable. Furthermore, via similar functions, the user is allowed to specify a function other than the default one to be called upon expiration of the deadline (function tom set action), as well as to specify new deadline values (function tom set deadline). TOM also allows to delete a
  • 180.
    B.3. SERVER-SIDE PROTOCOL 1. 163 /*declarations */ TOM *tom; timeout t t1, t2; int my alarm(TOM*), another alarm(TOM*); /* definitions */ tom ← tom init(my alarm); tom declare(&t1, TOM NON CYCLIC, TOM SET ENABLE, TIMEOUT1, DEADLINE1); tom declare(&t2, TOM CYCLIC, TOM SET DISABLE, TIMEOUT2, DEADLINE2); tom set action(&t2, another alarm); /* insertion */ tom insert(tom, &t1), tom insert(tom, &t2); /* control */ tom enable(tom, &t2); tom set deadline(&t2, NEW DEADLINE2); tom renew(tom, &t2); tom delete(tom, &t1); /* deactivation */ tom close(tom); 2. 3. 4. 5. Table B.1: An example of usage of the TOM class. time-out from the list (tom delete) as well as to renew a time-out—which means removing a time-out and inserting it with the original values set again (tom renew). Function tom close terminates the time-out management service also performing garbage collection. Table B.1 summarises the above client-side protocol with an example. B.3 Server-Side Protocol The server-side protocol is run by a component called time-out list manager (TOLM). TOLM basically checks every TOM CYCLE whether • there are any incoming requests for manipulating the time-out list; if so, it deals with those requests; • there are time-outs whose deadlines are reached. If so, it manages the execution of the corresponding alarm. This section describes the server-side protocol of TOLM, i.e., the way TOLM manages the list of time-outs.
  • 181.
    164 APPENDIX B. THETIRAN TIME-OUT MANAGER Each time-out t is characterised by its deadline, namely t.deadline, a positive integer representing the number of clock ticks that must separate the time of insertion or renewal from the scheduled time of alarm. Functions tom declare and tom set deadline set this field. Each time-out t holds also a field, t.running, initially set to t.deadline. Each time-out list object, say tom, hosts a variable representing the origin of the time axis. This variable, tom.starting time, is related in particular to the time-out at the top of the time-out list—the idea is that the top of the list is the only entry whose running field needs to be compared with current time in order to verify the occurrence of the time-out-expired event. For the time-outs behind the top one, that field represents relative values, i.e., distances from expiration time of the closest, preceding time-out. In other words, the overall time-out list management aims at isolating a “closest to expiration” time-out, or head time-out, that is the one and only time-out to be tracked for expiration, and at preserving the coherence of a list of “relative time-outs”. Let us call TimeNow the system function returning the current value of the clock register. In an ordered, coherent time-out list, residual time for the head time-out t, is given by t.running − (TimeNow − tom.starting time), (B.1) that is, residual time minus time already passed by. Let us call quantity (B.1) as r1 , or head residual. For time-out n, n > 1, that is for the time-out located n − 1 entries “after” the top block, let us define n rn = r1 + ti .running (B.2) i=2 as the n-th residual, or residual time for time-out at entry n. If there are m entries in the time-out list, let us define rj = 0 for any j > m. It is now possible to formally define the fundamental operations on a time-out list: insertion and deletion of an entry. B.3.1 Insertion There are three possible insertions, namely on top, in the middle, and at the end of the list. B.3.1.1 Insertion on Top In this case a new time-out object, say t, has to be inserted on top, such that t.deadline < r1 , that is, the deadline of which is less than the head residual. Let us call u the current top of the list. Then the following operations need to be carried out:   t.running ← t.deadline + TimeNow− tom.starting time  u.running ← r1 − t.deadline.
  • 182.
    B.3. SERVER-SIDE PROTOCOL 165 Notethat the first operation is needed in order to verify relation t.running − (TimeNow − tom.starting time) = t.deadline, while the second operation aims at turning the absolute value kept in the running field of the “old” head of the list into a value relative to the one stored in the corresponding field of the “new” top of the list. B.3.1.2 Insertion in the Middle In this case a time-out t such that, for some j, rj ≤ t.deadline < rj+1 , is to be inserted. Let us call u time-out j + 1. (Note that both t and u exist by hypothesis). Then the following operations need to be carried out: t.running ← t.deadline − rj u.running ← u.running − t.running. Note how, both in the case of insertion on top and in that of insertion in the middle of the list, the time interval [0, rm ] has not changed its length. It has, however, been further subdivided, and is now to be referred to as [0, rm+1 ]. B.3.1.3 Insertion at the End Let us suppose the time-out list consists of m > 0 items, and that a time-out t has to be inserted, with t.deadline ≥ rm . In this case the item is simply appended and initialised so that t.running ← t.deadline − rm . Note how insertion at the end of the list is the only way to prolong the range of action from a certain [0, rm ] to a larger period [0, rm+1 ]. B.3.2 Deletion The other basic management operation on the time-out list is deletion. Three types of deletions can be found: deletion from the top, from the middle, and from the end of the list. B.3.2.1 Deletion from the Top A singleton list is a trivial case. Let us suppose there are at least two items in the list. Let us call t the top of the list and u the next element, the one that will be promoted to top of the list. From
  • 183.
    166 APPENDIX B. THETIRAN TIME-OUT MANAGER its definition it is known that r2 = u.running + r1 = u.running + t.running − (TimeNow − tom.starting time). (B.3) By (B.1), the bracketed quantity is elapsed time, so the amount of absolute time units that separate current time from the expiration time is given by u.running + t.running. In order to “behead” the list t needs to be updated as follows: u.running ← u.running + t.running. B.3.2.2 Deletion from the Middle Let us suppose that there are two consecutive time-outs in the list, t followed by u, such that t is not the top of the list. Again, before actually removing t from the list, the following step is required: u.running ← u.running + t.running. B.3.2.3 Deletion from the End Deletion from the end means deleting an entry which is not referenced by any further item in the list. Physical deletion can be performed with no need for any updating. Only the interval of action is shortened. The variable tom.starting time is never touched when deleting from or inserting entries into a time-out list, except when inserting the first element, when it is set to the current value returned by TimeNow. B.4 Real-Time Support What has been reported so far applies in the ideal situation such that • all management operations occur instantaneously, that is, inducing no real-time delay, • time-out detection delay is negligible, • other threads/processes running on the same processing node have negligible influence on the performance of the manager, • alarm execution delay is negligible. This is in general far from being true. Management tasks do impose a non-negligible overhead, time-out checks occur once every TOM CYCLE clock ticks (one may reduce this value, though this is detrimental to performance, because this increases the frequency of checking,
  • 184.
    B.4. REAL-TIME SUPPORT 167 whichimplies more context switches and more CPU cycles assigned to TOM), overloading the process with threads results in a smaller time slice per thread, and, last but not least, the alarm function is a big source of non-determinism due to the fact that it is defined by the user. In our experience, for instance, the alarm function is often related to some communication task— typically the alarm triggers the transfer of a message, possibly across the network. Frequently this happens through synchronous links and results in blocking the sender until the receiver is ready to receive and the transfer has been made. In conclusion, there is a non negligible delay between the time at which r1 becomes zero and the time that event is managed; such delay can be expressed as (TimeNow − tom.starting time) − t.running. This quantity must be immediately propagated to those entries who follow the top of the list. This is done by determining the integer j ≥ 1 such that rj < 0 ∧ rj+1 ≥ 0, (B.4) where this time r1 can also be negative. The time-out management thread needs therefore first to check whether r1 is less than zero; if so, it must calculate index j such that (B.4) is verified; and finally command the execution of all the corresponding alarm functions. Finally, if the list is not empty, that thread must adjust the corresponding running field as follows: let t be time-out j + 1; then t.running ← t.running + rj . Clearly the above mechanism only works well if there is a way to keep under control the congestion that is due to alarm execution. The rest of this section describes a mechanism with this aim. Alarm execution is managed via the mechanism shown in Fig. B.1, points (3) and (4), i.e., through the AS, which gathers all alarm execution requests and forwards them to the next entry of a circular list of threads. As already said, alarms often imply communications, therefore using a list of concurrent threads might in principle result in better performance, should the underlying system offer means for managing I/O in parallel. In general, if the alarms do not compete “too much” for the same resources at the same times, this scheme should allow a better exploitation of the available resources as well as a higher probability of controlling alarm congestion. The present section deals with the estimation of the capability of this mechanism to control alarm congestion under different levels of congestion and in two opposite cases of alarm interference, i.e., no competition and full competition. In order to estimate the average run-time delay imposed by TOM, the following experiment has been performed: 1000 non-cyclic time-outs have been generated pseudo-randomly with a deadline uniformly distributed in time interval ]0, T ]. Each time a time-out triggered an alarm, the difference between expected and real-time of execution of the alarm has been computed. Let us call δ this value. TOM’s period, i.e., TOM CYCLE was set to 50000 clock ticks, 1 clock tick being 1µs on the target machines. The experiment was performed on a single node of a Parsytec
  • 185.
    168 APPENDIX B. THETIRAN TIME-OUT MANAGER Figure B.2: 1000 time-outs are uniformly generated in ]0, 100]s. The duration of the alarms is in this case ≈ 50µs. Only one alarm thread is adopted in this case. The maximum value is 52787 “clock ticks”, minimum is 157 (1 tick=1µs). The average is 26892.74, standard deviation is 14376.89 ticks; 20 of the 1000 time-outs exceeded TOM CYCLE. PowerXplorer, using a PowerPC 601 at 66MHz, and has been repeated on a Parsytec CC system, with a PowerPC 604 at 133MHz. More or less the same results have been observed on both machines (the clock frequency only influences alarm list management times, which is a small percentage of the processing time). In order to measure the alarm congestion capability of TOM, the experiment has been repeated configuring TOM with no threads in the circular list of AT ’s (alarm execution managed by TOLM) and later adding more and more threads in that list. Let us call τ the number of threads in the list. Furthermore, the following overheads have been artificially imposed on the alarm functions: nearly no overhead (just that of calling a function and copying a 20-byte message—this is the typical delay used in most of our applications, lasting approximately 50µs on a DEC Alpha board using the TEX nanokernel [TXT97],—10ms, 100ms, and so on. This overhead has been imposed either by loading the alarms with some purely computation-oriented tasks, so that they compete for the same resource (in this case, the one CPU in the system), or by executing a function (TimeWait) that puts the calling thread in the wait state for the specified amount of time—this way alarms do not compete at all with each other. Figure B.2 summarises the results of the first experiment. The experiments show that minimal (effective) overhead is imposed on the alarms of 1000 time-outs, the deadline of which is generated pseudo-randomly in ]0, 100s]. TOLM directly executes alarms in this case (τ = 0). B.4.1 Best Case Scenario Another experiment aimed at evaluating what happens when δ is increased while keeping τ equal to zero and there is no competition among the alarms. The results have been also summarised in Table B.2 which reports the number of items that resulted in a real-time violation (alarm delay greater than TOM CYCLE clock ticks) as well as other statistics. Particularly meaningful is the largest violation, which, in the case of a delay of 20ms, was equal to 124535 clock ticks, or 2.49 times TOM CYCLE. In particular, when the duration of the alarm became larger than TOM CYCLE (the checking quantum of the time-out list manager), an ever increasing violation of real-time requirements due to alarm execution congestion has been observed. It has been experimentally found that the presence of the AS and of the circular list of threads has a great consequence on alarm congestion control: Table B.3 for instance summarises the results of increasing τ from 0 to 5 when δ is set to 20µs. In particular when τ is equal to 2, the number of “run-time violations”, i.e., the number of time-outs for which the true time of execution of the alarm minus the expected time of execution of the alarm is greater than
  • 186.
    B.4. REAL-TIME SUPPORT delay ≈50µs 1ms 5ms 10ms 20ms 169 population 20 34 77 132 238 average 50967.10 51282.32 53077.68 57605.80 65639.74 stdev 762.07 975.85 2774.48 6917.56 14571.78 max 52782 53263 64328 88183 124535 Table B.2: The table reports on experiments aiming at measuring alarm execution congestion. The first column represents the duration of each alarm. 50µs is approximately the average time required by the alarm() function used in the TIRAN BB: a context switch time plus the time to store a 20-byte message into the input mailbox of the receiver process (measurements pertaining the TEX operating system [DEC97]). Values of the average, standard deviation and maximum are in clock ticks (microseconds). τ 0 1 2 3 4 5 µ 35962.85 30200.69 27556.86 27286.77 27493.73 27422.84 σ 22683.49 18447.08 14471.61 14370 14058.12 14079.80 γ 264 108 46 45 47 46 max 130993 108991 63659 53934 53372 54077 µ 65483.29 64676.18 52228.13 51280.73 51526.17 51357.2 σ 14160.47 15647.9 2926.68 1014.65 921.99 1079.07 Table B.3: A run with δ = 20ms and 0 ≤ τ ≤ 5. µ and σ are resp. the average and std. deviation of the 1000 outcomes. γ is the number of time-outs for which real time of alarm minus expected time of alarm was > TOM CYCLE (50000 clock ticks). µ and σ are resp. the average and std. deviation of the γ time-outs. “max” represents the largest outcome, i.e., the worst run-time violation. TOM CYCLE, drops from 264 to 46 items, while with τ = 3 the worst case violation was equal to 53934 clock ticks, or just 1.07868 times TOM CYCLE—a violation of something less than 8%. Table B.4 shows a similar behaviour when δ is larger than TOM CYCLE. B.4.2 Worst Case Scenario The worst case is when all AT ’s compete for the same set of resources at the same time. An easy way to accomplish this has been to let each alarm function perform a pure integer computation task so that each thread competes with all the others for the single CPU of our systems. Given a fixed δ = 20ms, τ has been increased and the corresponding real-time violations have been measured. The results have been summarised in Table B.5. Adding threads did not produce any useful result in this case. Note how, adopting a parallel system, one could automatically and transparently schedule the parallel execution of alarms on the available processors to further enhance the ability of TOM to fight alarm execution congestion.
  • 187.
    170 APPENDIX B. THETIRAN TIME-OUT MANAGER τ 0 1 2 3 4 5 µ 3692158.86 33674.46 28177.01 27621.63 27435.40 27475.84 σ 2966039.23 27688.17 16801.97 14276.78 14087.22 14107.32 γ 974 140 54 45 44 44 max 12277216 264882 146684 100260 53712 53992 µ 3790057.80 83244.94 66737.87 52871.73 51375.93 51443.95 σ 2943375.88 38052.06 20705.76 7358.90 1001.36 1008.77 Table B.4: A run with δ = 100ms and 0 ≤ τ ≤ 5. τ 0 1 2 µ 35251.93 35533.45 35735.19 σ 21667.08 21584.35 21606.70 γ 226 248 250 max 126931 127403 125910 µ 66223.70 64377.88 64681.21 σ 13713.40 13803.45 13305.83 Table B.5: A run with δ = 20ms and 0 ≤ τ ≤ 2. This time AT ’s do compete for a unique system resource, so adding threads does not improve the behaviour. Figure B.3: Real-time minus expected time of execution of the alarm when the alarms last 1ms (upper left picture), 5ms (upper right picture), 10ms (lower, left picture), and 20ms (lower, right picture). 1000 pseudo-random time-outs with deadlines uniformly distributed in ]0, 100s], τ = 0. In each picture, the central straight line represents the average (y = a), while the others are y = a ± d, d being the standard deviation. Figure B.4: The experiment is repeated with alarms lasting respectively 60ms, 80ms, 90ms, and 100ms. Run-time violation grows without bounds. Figure B.5: For δ=10ms, τ is varied from 0 to 3. Figure B.6: The pictures show how it is possible to control alarm execution congestion, even in the scenario of the last picture of Fig. B.4 (δ = 100µs), by increasing the number of AT ’s. From left to right and up to down, picture represents the cases of τ equal to 0, . . . , 5.
  • 188.
    Appendix C The Grammarof ARIEL The grammar of the ARIEL language is provided in this chapter in the form of an abridged source file witten with the yacc [Joh75] parser generator. The C code that implements the semantics of ARIEL has been omitted for the sake of readability. For the same reason, the terminal symbols and their definitions, in the form of a lex [LMB92] lexical analyser, have not been included. rlstats: | rlstats rlstat | error ’n’ ; rlstat: ’n’ | definition ’n’ | default_action ’n’ | number_of_nodes ’n’ | section ’n’ | include ’n’ | timeouts ’n’ | definitions ’n’ | identifiers ’n’ | alphacounts ’n’ | aliases ’n’ | logicals ’n’ | watchdog ’n’ | nversiontask ’n’ | injection ’n’ ; aliases KEYW_TASK ’[’ NUMBER ’,’ NUMBER ’]’ KEYW_IS KEYW_MBOX ’[’ NUMBER ’,’ NUMBER ’]’ ’,’ KEYW_ALIAS ’[’ NUMBER ’,’ NUMBER ’]’ 171
  • 189.
    172 APPENDIX C. THEGRAMMAR OF ARIEL | KEYW_TASK NUMBER KEYW_IS KEYW_MBOX NUMBER ’,’ KEYW_ALIAS NUMBER ; tasklist: | | | ; KEYW_TASK NUMBER tasklist ’,’ KEYW_TASK NUMBER tasklist ’,’ NUMBER tasklist logicals: KEYW_LOGICAL NUMBER ’=’ STRING KEYW_IS tasklist KEYW_ENDLOGICAL ; nversiontask: nversion_start nversion_args nversion_end ; nversion_start: NVERSION KEYW_TASK NUMBER ’n’ ; nversion_args: | nv_version | nv_voting | nv_metric | nv_on_error | nv_on_success ; spare: | ; nversion_args nversion_args nversion_args nversion_args nversion_args KEYW_SPARE nv_version: KEYW_VERSION NUMBER KEYW_IS spare KEYW_TASK NUMBER ’n’ | KEYW_VERSION NUMBER KEYW_IS spare KEYW_TASK NUMBER TIMEOUT NUMBER seconds ’n’ ; nv_voting: VOTING ALGORITHM KEYW_IS MAJORITY ’n’ ;
  • 190.
    173 nv_metric: METRIC STRING’n’ ; nv_on_error: ON ERROR KEYW_TASK NUMBER ’n’ ; nv_on_success: ON SUCCESS KEYW_TASK NUMBER ’n’ ; nversion_end: KEYW_ENDNVERSION ’n’ ; watchdog: watchdog_start watchdog_args watchdog_end ; watchdog_args: | on_error watchdog_args | heartbeats watchdog_args | w_alphacount watchdog_args ; watchdog_start: WATCHDOG KEYW_TASK NUMBER WATCHES KEYW_TASK NUMBER ’n’ | WATCHDOG KEYW_TASK NUMBER ’n’ ; w_alphacount: ALPHACOUNT KEYW_IS THRESHOLD ’=’ REAL ’,’ FACTOR ’=’ REAL KEYW_ENDALPHA ’n’ ; seconds : MILLISEC | MICROSEC ; heartbeats: HEARTBEATS EVERY NUMBER seconds ’n’ ; on_error: | | | ; ON ON ON ON ERROR ERROR ERROR ERROR WARN KEYW_TASK NUMBER ’n’ WARN BACKBONE ’n’ REBOOT ’n’ RESTART ’n’
  • 191.
    174 APPENDIX C. THEGRAMMAR OF ARIEL watchdog_end: KEYW_ENDWATCHDOG ’n’ ; alphacounts: ALPHACOUNT NUMBER KEYW_IS THRESHOLD ’=’ REAL ’,’ FACTOR ’=’ REAL KEYW_ENDALPHA ; identifiers: KEYW_TASK NUMBER ’=’ STRING KEYW_IS KEYW_NODE NUMBER ’,’ KEYW_TASKID NUMBER | KEYW_TASK ’[’ NUMBER ’,’ NUMBER ’]’ ’=’ STRING KEYW_IS KEYW_NODE NUMBER ’,’ KEYW_TASKID ’[’ NUMBER ’,’ NUMBER ’]’ ; definitions: ; timeouts: | | | | | | | | | ; NUMTASKS NUMBER ’=’ NUMBER MIA_TIMEOUT ’=’ NUMBER TAIA_TIMEOUT ’=’ NUMBER ALIVE_TIMEOUT ’=’ NUMBER MIA_TIMEOUT_B ’=’ NUMBER TAIA_TIMEOUT_B ’=’ NUMBER ALIVE_TIMEOUT_B ’=’ NUMBER TEIF_TIMEOUT ’=’ NUMBER REQUEST_DB_TIMEOUT ’=’ NUMBER REPLY_DB_TIMEOUT ’=’ NUMBER MID_TIMEOUT ’=’ NUMBER fault: ; BFAULT | MFAULT what: ; NODE | COMPONENT ticks: | TICKS ; injection: ; INJECT fault ON what NUMBER AFTER NUMBER ticks
  • 192.
    175 definition: DEF list’=’ ROLE | DEF interval ’=’ ROLE ; list: | ; NUMBER list ’,’ NUMBER interval: NUMBER ’-’ NUMBER ; number_of_nodes: NPROCS ’=’ NUMBER ; separator: ; those ; expr: | | | | | | | | | ; : ’n’ | ’;’ AT | TILDE status entity status those ’(’ expr ’)’ expr AND expr expr OR expr NOT expr ERRN ’(’ entity ’)’ compare ERRT ’(’ entity ’)’ compare PHASE ’(’ entity ’)’ compare DEADLOCKED entity entity compare: ; EQ | NEQ | GT | GE | LT | LE include: ; INCLUDE STRING section: ; if elif else fi if: IF ’[’ expr ’]’ separator NUMBER NUMBER NUMBER
  • 193.
    176 APPENDIX C. THEGRAMMAR OF ARIEL THEN separator actions ; elif: | ELIF ’[’ expr ’]’ separator THEN separator actions elif ; else: | ELSE separator actions ; fi: FI ; status: FAULTY | RUNNING | REBOOTED | STARTED | ISOLATED | RESTARTED | TRANSIENT | REINTEGRATED ; entity: ; GID |NID |TID actions: | actions action ; action: ’n’ | section separator | recovery_action separator ; recovery_action: STOP entity | STOP those | ERR NUMBER entity WARN entity | ERR NUMBER entity WARN entity ’(’ list ’)’ | ERR NUMBER entity WARN those | ERR NUMBER entity WARN those ’(’ list ’)’ | recovery_action AND WARN entity | recovery_action AND WARN entity ’(’ list ’)’
  • 194.
    177 | | | | | | | | | | | | | | | | | | | | | ; recovery_action AND WARNthose recovery_action AND WARN those ’(’ list ’)’ RESTART TID RESTART GID RESTART NID RESTART those START TID START GID START NID START those REMOVE PHASE entity FROM ERRORLIST REMOVE ANY entity FROM ERRORLIST SEND NUMBER TID SEND FAULTY TID ENABLE TID ENABLE GID ENABLE NID ENABLE those CALL NUMBER CALL NUMBER ’(’ list ’)’ PAUSE NUMBER
  • 195.
    178 APPENDIX C. THEGRAMMAR OF ARIEL
  • 196.
    Bibliography [ABHM85] T. Anderson,P.A. Barrett, D.N. Halliwell, and M.R. Moulding. Software fault tolerance: an evaluation. IEEE Trans. on Software Engineering, 11(2):1502–1510, 1985. [ADG+ 90] Massimo Ancona, Gabriella Dodero, Vittoria Giannuzzi, Andrea Clematis, and Eduardo B. Fernandez. A system architecture for fault tolerance in concurrent software. IEEE Computer, 23(10):23–32, October 1990. [ADT91] Mehmet Aksit, J.W. Dijkstra, and A. Tripathi. Atomic delegation: Object-oriented transactions. IEEE Software, 8(2):84–92, 1991. [AH75] Igor Aleksander and F. Keith Hanna. Automata Theory: an Engineering Approach. Crane and Russak, New York, 1975. [AL81] T. Anderson and P.A. Lee. Fault Tolerance—Principles and Practice. PrenticeHall, 1981. [AO93] G. R. Andrews and L. L. Olsson. The SR Programming Language: Concurrency in Practice. Benjamin/Cummings, 1993. [AS91] Brian G. Anderson and Dennis Shasha. Persistent Linda: Linda + transactions + query processing. In J.P. Banˆ tre and D. Le M´ tayer, editors, Research Directions a e in High-Level Parallel Programming Languages, number 574 in Lecture Notes in Computer Science, pages 93–109. Springer, 1991. [Avi85] Algirdas Avi˘ ienis. The N -version approach to fault-tolerant software. IEEE z Trans. Software Eng., 11:1491–1501, December 1985. [Avi95] Algirdas Avi˘ ienis. The methodology of N -version programming. In Michael Lyu, z editor, Software Fault Tolerance, chapter 2, pages 23–46. John Wiley & Sons, New York, 1995. [BCDF+ 99] Oliver Botti, Flavio Cassinari, Vincenzo De Florio, Geert Deconinck, Susanna Donatelli, Axel Klein, Erwin Turner, and Eric Verhulst. D1.1 – Requirement Specification, October 1999. TIRAN Deliverable. 179
  • 197.
    180 BIBLIOGRAPHY [BCDGG97] Andrea Bondavalli,S. Chiaradonna, F. Di Giandomenico, and F. Grandoni. Discriminating fault rate and persistency to improve fault treatment. In Proc. of the 27th Int. Symposium on Fault-Tolerant Computing (FTCS-27), pages 354–362, Munich, Germany, June 1997. IEEE Comp. Soc. Press. [BCDGG00] Andrea Bondavalli, Silvano Chiaradonna, Felicita Di Giandomenico, and Fabrizio Grandoni. Threshold-based mechanisms to discriminate transient from intermittent faults. IEEE Trans. on Computers, 49(3):230–245, March 2000. [BDFD+ 99] Oliver Botti, Vincenzo De Florio, Geert Deconinck, Susanna Donatelli, Andrea Bobbio, Axel Klein, H. Kufner, Rudy Lauwereins, E. Thurner, and E. Verhulst. TIRAN: Flexible and portable fault tolerance solutions for cost effective dependable applications. In P. Amestoy, editor, Proc. of the 5th Euro-Par Conference, Lecture Notes in Computer Science, volume 1685, pages 1166–1170, Toulouse, France, August/September 1999. Springer-Verlag, Berlin. [BDFD+ 00] Oliver Botti, Vincenzo De Florio, Geert Deconinck, Rudy Lauwereins, Flavio Cassinari, Susanna Donatelli, Andrea Bobbio, Axel Klein, H. Kufner, E. Thurner, and E. Verhulst. The TIRAN approach to reusing software implemented fault tolerance. In Proc. of the 8th Euromicro Workshop on Parallel and Distributed Processing (Euro-PDP’00), pages 325–332, Rhodos, Greece, January 2000. IEEE Comp. Soc. Press. [BDGG+ 98] Andrea Bondavalli, Felicita Di Giandomenico, F. Grandoni, David Powell, and Christophe Rab´ jac. State restoration in a COTS-based N-modular architecture. In e Proc. of the First Int. Symp. on Object-Oriented Real-Time Distributed Computing (ISORC’98), pages 174–183, Kyoto, Japan, April 1998. IEEE Comp. Soc. Press. [BDPC00] Oliver Botti, Massimiliano De Pierro, and L. Capra. D4.1 – ENEL Platform and Application Specification, April 2000. TIRAN Deliverable. [Ber89] Donald Berndt. C-Linda Reference Manual. Scientific Computing Associates, 1989. [BGB+ 96] K¨ rgen Beer, Stephan Graeber, Oliver Botti, Geert Deconinck, Dora Varvarigou, u Norbert vom Schemm, and Stefano Genolini. D1.1 – Requirement Analysis Document, July 1996. EFTOS Deliverable. [BLC95] Tim J. Berners-Lee and D. Connolly. Hypertext markup language — 2.0. Technical Report Request for Comments n. 1866, Network Working Group, Nov. 1995. [BLCGP92] Tim J. Berners-Lee, R. Cailliau, J.-F. Groff, and B. Pollermann. World-wide web: the information universe. Electronic Networking: Research, Applications and Policy, 2(1):52–58, 1992.
  • 198.
    BIBLIOGRAPHY 181 [BN84] A. D. Birrelland B. J. Nelson. Implementing remote procedure calls. ACM Trans. Computer Systems, 2:39–59, 1984. [BS95] David E. Bakken and Richard D. Schlichting. Supporting fault-tolerant parallel programming in Linda. IEEE Trans. on Parallel and Distributed Systems, 6(3):287–302, March 1995. [BSS91] K. Birman, A. Schiper, and P. Stephenson. Lightweight causal and atomic group multicast. ACM Transactions on Computer Systems, 9(3), August 1991. [Buy99] Rajkumar Buyya. High Performance Cluster Computing: Architectures and Systems, volume 1. Prentice Hall, 1999. [CD92] Scott Cannon and David Dunn. A high-level model for the development of faulttolerant parallel and distributed systems. Technical Report A0192, Department of Computer Science, Utah State University, August 1992. [CF99] Flaviu Cristian and Christof Fetzer. The timed asynchronous distributed system model. IEEE Trans. on Parallel and Distributed Systems, 10(6):642–657, June 1999. [CG89a] Nicholas Carriero and David Gelernter. How to write parallel programs: a guide to the perplexed. ACM Comp. Surveys, 21:323–357, 1989. [CG89b] Nicholas Carriero and David Gelernter. Linda in context. Comm. ACM, 32(4):444– 458, 1989. [Cri91] Flaviu Cristian. Understanding fault-tolerant distributed systems. Communications of the ACM, 34(2):56–78, February 1991. [Cri95] Flaviu Cristian. Exception handling. In M. Lyu, editor, Software Fault Tolerance, pages 81–107. Wiley, 1995. [CS95] Flaviu Cristian and Frank Schmuck. Agreeing on processor group membership in asynchronous distributed systems. Technical Report CSE95-428, UCSD, 1995. [CSV+ 99] Sergio Calella, Alessandro Sanchini, Francesca Vezzoli, Oliver Botti, Vincenzo De Florio, Geert Deconinck, and Bero Brekalo. D2.2 – FT Framework Design Document, Oct. 1999. TIRAN Deliverable. [Cuy95] Rudi Cuyvers. User-Adaptable Fault Tolerance for Message Passing Multiprocessors. PhD thesis, Dept. of Electrical Engineering, Katholieke Universiteit Leuven, May 1995. [DB00] Giovanna Dondossola and Oliver Botti. Fault tolerance specification: proposal of a method combining semi-formal and formal approaches. In Proc. of the International Conference on Fundamental Approaches to Software Engineering (FASE
  • 199.
    182 BIBLIOGRAPHY 2000), held inthe framework of the European Joint Conferences on Theory and Practice of Software (ETAPS2000), Lecture Notes in Computer Science, volume 1783, pages 82–96, Berlin, Germany, March 2000. Springer-Verlag, Berlin. [DBC+ 98] Geert Deconinck, Oliver Botti, Flavio Cassinari, Vincenzo De Florio, and Rudy Lauwereins. Stable memory in substation automation: a case study. In Proc. of the 28th Int. Symposium on Fault-Tolerant Computing (FTCS-28), pages 452–457, Munich, Germany, June 1998. IEEE Comp. Soc. Press. [DDFB01] Geert Deconinck, Vincenzo De Florio, and Oliver Cristiano Botti. Separating recovery strategies from application functionality: Experiences with a framework approach. In Proc. of the IEEE Reliability and Maintainability Symposium (RAMS2001). IEEE Comp. Soc. Press, 2001. Accepted for publication. [DDFLB99] Geert Deconinck, Vincenzo De Florio, Rudy Lauwereins, and Ronnie Belmans. A software library, a control backbone and user-specified recovery strategies to enhance the dependability of embedded systems. In Proc. of the 25th Euromicro Conference (Euromicro ’99), Workshop on Dependable Computing Systems, volume 2, pages 98–104, Milan, Italy, September 1999. IEEE Comp. Soc. Press. [DDFLV97] Geert Deconinck, Vincenzo De Florio, Rudy Lauwereins, and Theodora Varvarigou. EFTOS: a software framework for more dependable embedded HPC applications. In Proc. of the 3rd Int. Euro-Par Conference, Lecture Notes in Computer Science, volume 1300, pages 1363–1368. Springer, Berlin, 1997. [Dec96] Geert Deconinck. User-triggered Checkpointing and Rollback in Massively Parallel Systems. PhD thesis, Dept. of Electrical Engineering, Katholieke Universiteit Leuven, December 1996. [DEC97] DEC. CS Q66E Alpha Q-Bus CPU module: User’s Manual. Digital Equipment Corp., 1997. [DF95] Vincenzo De Florio. The HeartQuake dynamic system. Complex Systems, 9(2):91– 114, April 1995. [DF96a] Vincenzo De Florio. Array associativi, linguaggio C e programmazione CGI. DEV., (27), February 1996. In Italian. [DF96b] Vincenzo De Florio. Programmazione CGI nel World-Wide Web. DEV., (26), January 1996. In Italian. [DF97a] Vincenzo De Florio. The EFTOS recovery language. Technical Report ESAT/ACCA/1997/4, Katholieke Universiteit Leuven, December 1997. [DF97b] Vincenzo De Florio. The voting farm — a distributed class for software voting. Technical Report ESAT/ACCA/1997/3, Katholieke Universiteit Leuven, June 1997.
  • 200.
    BIBLIOGRAPHY 183 [DF98] Vincenzo De Florio.The DIR net: A distributed system for detection, isolation, and recovery. Technical Report ESAT/ACCA/1998/1, Katholieke Universiteit Leuven, October 1998. [DFDL97] Vincenzo De Florio, Geert Deconinck, and Rudy Lauwereins. An application-level dependable technique for farmer-worker parallel programs. In Proc. of the HighPerformance Computing and Networking Int. Conf. and Exhib. (HPCN Europe 1997), Lecture Notes in Computer Science, volume 1225, pages 644–653. Springer, Berlin, 1997. [DFDL98a] Vincenzo De Florio, Geert Deconinck, and Rudy Lauwereins. The EFTOS voting farm: a software tool for fault masking in message passing parallel environments. In Proc. of the 24th Euromicro Conference (Euromicro ’98), Workshop on Dependable Computing Systems, pages 379–386, V¨ ster˚ s, Sweden, August 1998. IEEE a a Comp. Soc. Press. [DFDL98b] Vincenzo De Florio, Geert Deconinck, and Rudy Lauwereins. Recovery languages: an effective structure for software fault tolerance. In FastAbstract Proceedings of the Ninth International Symposium on Software Reliability Engineering (ISSRE’98), pages 39–40, Paderborn, Germany, November 1998. Available at URL http://www.chillarege.com/issre/fastabstracts/98411.html. [DFDL98c] Vincenzo De Florio, Geert Deconinck, and Rudy Lauwereins. Software tool combining fault masking with user-defined recovery strategies. IEE Proceedings – Software, 145(6):203–211, December 1998. Special Issue on Dependable Computing Systems. IEE in association with the British Computer Society. [DFDL98d] Vincenzo De Florio, Geert Deconinck, and Rudy Lauwereins. A time-out management system for real-time distributed applications. IEEE Trans. on Computers, 1998. Submitted for publication. [DFDL99] Vincenzo De Florio, Geert Deconinck, and Rudy Lauwereins. An applicationlevel dependable technique for farmer-worker parallel programs. Informatica, 23(2):275–281, May 1999. A first version of this paper appeared as [DFDL97]. [DFDL00a] Vincenzo De Florio, Geert Deconinck, and Rudy Lauwereins. An algorithm for tolerating crash failures in distributed systems. In Proc. of the 7th Annual IEEE International Conference and Workshop on the Engineering of Computer Based Systems (ECBS), pages 9–17, Edinburgh, Scotland, April 2000. IEEE Comp. Soc. Press. [DFDL00b] Vincenzo De Florio, Geert Deconinck, and Rudy Lauwereins. Application-level time-out support for real-time systems. In Proc. of the 6th IFAC Workshop on Algorithms and Architectures for Real-Time Control (AARTC’2000), pages 31–36, Palma de Mallorca, Spain, May 2000.
  • 201.
    184 BIBLIOGRAPHY [DFDL00c] Vincenzo DeFlorio, Geert Deconinck, and Rudy Lauwereins. A novel distributed algorithm for high-throughput and scalable gossiping. In Proc. of the 8th International Conference on High Performance Computing and Networking Europe (HPCN Europe 2000), Lecture Notes in Computer Science, volume 1823, pages 313–322, Amsterdam, The Nederlands, May 2000. Springer-Verlag, Berlin. [DFDL01] Vincenzo De Florio, Geert Deconinck, and Rudy Lauwereins. The recovery language approach for software-implemented fault tolerance. In Proc. of the 9th Euromicro Workshop on Parallel and Distributed Processing (Euro-PDP’01), Mantova, Italy, February 2001. IEEE Comp. Soc. Press. [DFDLG01] Vincenzo De Florio, Geert Deconinck, Rudy Lauwereins, and Stephan Graeber. Design and implementation of a data stabilizing software tool. In Proc. of the 9th Euromicro Workshop on Parallel and Distributed Processing (Euro-PDP’01), Mantova, Italy, February 2001. IEEE Comp. Soc. Press. [DFDT+ 98] Vincenzo De Florio, Geert Deconinck, Mario Truyens, Wim Rosseel, and Rudy Lauwereins. A hypermedia distributed application for monitoring and faultinjection in embedded fault-tolerant parallel programs. In Proc. of the 6th Euromicro Workshop on Parallel and Distributed Processing (Euro-PDP’98), pages 349–355, Madrid, Spain, January 1998. IEEE Comp. Soc. Press. [DFM92] Vincenzo De Florio and Francesco Paolo Murgolo. PVM — a tool for heterogeneous cooperative computing: An experimentation. Technical Report 8/32, Consiglio Nazionale delle Ricerche, September 1992. Progetto finalizzato “Sistemi Informatici e Calcolo Parallelo”. [DFMS94] Vincenzo De Florio, Francesco Paolo Murgolo, and Vincenzo Spinelli. PvmLinda: Integration of two different computation paradigms. In Proc. of the First Euromicro Conference on Massively Parallel Computing Systems (MPCS’94), pages 488–496, Ischia, Italy, May 1994. IEEE Comp. Soc. Press. [Dip97] Dipsap2 project description, 1997. http://cordis.lu/esprit/src/omi08068.htm. Available at URL [DTDF+ 99] Geert Deconinck, Mario Truyens, Vincenzo De Florio, Wim Rosseel, Rudy Lauwereins, and Ronnie Belmans. A framework backbone for software fault tolerance in embedded parallel applications. In Proc. of the 7th Euromicro Workshop on Parallel and Distributed Processing (Euro-PDP’99), pages 189–195, Funchal, Portugal, February 1999. IEEE Comp. Soc. Press. [DVB+ 97] Geert Deconinck, Theodora Varvarigou, Oliver Botti, Vincenzo De Florio, Antonios Kontizas, Mario Truyens, Wim Rosseel, Rudy Lauwereins, Flavio Cassinari, Stephan Graeber, and Uwe Knaak. (Reusable software solutions for more faulttolerant) Industrial embedded HPC applications. Supercomputer, XIII(69):23–44, 1997.
  • 202.
    BIBLIOGRAPHY 185 [ECK+ 91] Dave E.Eckhardt, Alper K. Caglayan, John C. Knight, Larry D. Lee, David F. McAllister, Mladen A. Vouk, and John P. J. Kelly. An experimental evaluation of software redundancy as a strategy for improving reliability. IEEE Trans. on Software Engineering, 17(7):692–702, July 1991. [EL85] Dave E. Eckhardt and Larry D. Lee. A theoretical basis for the analysis of multiversion software subject to coincident errors. IEEE Trans. on Software Engineering, 11(12):1511–1517, December 1985. [Ele00] Siemens ElectroCom. The ultimate degree of postal automation — to fully integrate all functions in a single system, 2000. URL http://www.electrocom.de/3 0 pro/gb/3 3 2.htm. [EVM+ 98] Giorgos Efthivoulidis, Evangelos A. Verentziotis, Apostolos N. Meliones, Theodora A. Varvarigou, Antonios Kontizas, Geert Deconinck, and Vincenzo De Florio. Fault tolerant communication in embedded supercomputing. IEEE Micro, 18(5):42–52, Sept.-Oct. 1998. Special issue on Fault Tolerance. [FOL00] The free on-line dictionary of computing, http://www.foldoc.org. [FP96] Jean-Charles Fabre and Tanguy P´ rennou. F RIENDS: A flexible architecture for e implementing fault tolerant and secure applications. In Proc. of the 2nd European Dependable Computing Conference (EDCC-2), Taormina, Italy, October 1996. [FP98] Jean-Charles Fabre and Tanguy P´ rennou. A metaobject architecture for faulte tolerant distributed systems: The FRIENDS approach. IEEE Transactions on Computers, 47(1):78–95, January 1998. [GBD+ 94] Al Geist, Adam Beguelin, Jack Dongarra, Weicheng Jiang, Robert Manchek, and Vaidy Sunderam. PVM: A Users’ Guide and Tutorial for Networked Parallel Computing. MIT Press, 1994. [Gel85] David Gelernter. Generative communication in Linda. ACM Trans. on Prog. Languages and Systems, 7(1), January 1985. [GK86] Daniel H. Green and Donald Erving Knuth. Mathematics for the Analysis of Algorithms. Birkhauser, Boston, MA, 2nd edition, 1986. [Gla95] Maurice H. J. Glandrup. Extending C++ using the concepts of composition filters. Master’s thesis, Dept. of Computer Science, University of Twente, NL, 1995. [Gre97] Paul A. Green. The art of creating reliable software-based systems using off-theshelf software components. In Proc. of the 16th Symposium on Reliable Distributed Systems (SRDS’97), Durham, NC, October 1997. 2000. Hosted at URL
  • 203.
    186 BIBLIOGRAPHY [GS97] Rachid Guerraoui andAndr´ Schiper. Software-based replication for fault tolere ance. IEEE Computer, 30(4):68–74, April 1997. [HD95] Robert M. Hinden and Stephen E. Deering. RFC 1884 - IP version 6 addressing architecture. Technical Report RFC 1884, Network Working Group, December 1995. Available at URL http://ds.internic.net/rfc/rfc1884.txt. [HHL88] S.M. Hedetniemi, S.T. Hedetniemi, and A.L. Leistman. A survey of gossiping and broadcasting in communication networks. Networks, 18:419–435, 1988. [HK95] Yennun Huang and Chandra M.R. Kintala. Software fault tolerance in the application layer. In Michael Lyu, editor, Software Fault Tolerance, chapter 10, pages 231–248. John Wiley & Sons, New York, 1995. [HKBW96] Yennun Huang, Chandra M.R. Kintala, L. Bernstein, and Y.M. Wang. Components for software fault tolerance and rejuvenation. AT&T Technical Journal, pages 29– 37, March/April 1996. [HKKF95] Yennun Huang, Chandra Kintala, N. Kolettis, and N. D. Fulton. Software rejuvenation: Analysis, module and applications. In Proc. of the 25th International Symposium on Fault-Tolerant Computing (FTCS-25), June 1995. [HLKC99] Christian K. Hansen, Kenneth P. LaSala, Samuel Keene, and Anthony Coppola. The status of reliability engineering technology 1999 — a report to the IEEE Reliability Society. Reliability Society Newsletter, 45(1):10–14, January 1999. [HMS72] A. Hajnal, E. C. Milner, and E. Szemeredi. A cure to the telephone disease. Canadian Math Bullettin, 15:447–450, 1972. [Hoa69] C. A. R. Hoare. An axiomatic basis for computer programming. Comm. ACM, 12(10):576–580, October 1969. [Hoa78] C. A. R. Hoare. Communicating sequential processes. Comm. ACM, 21:667–677, 1978. [Hor98] James J. Horning. ACM Fellow Profile — James Jay (Jim) Horning. ACM Software Engineering Notes, 23(4), July 1998. [HS87] K. Haviland and B. Salama. UNIX System Programming. Addison-Wesley, Reading MA, 1987. [IEE95] IEEE. IEEE standard for Heterogeneous InterConnect (HIC) (Low-cost, lowlatency scalable serial interconnect for parallel system construction). Technical Report 1355-1995 (ISO/IEC 14575), IEEE, 1995. [Inq96] Inquiry Board Report. ARIANE 5 – flight 501 failure, July 1996. Available at URL http://www.esrin.esa.it/htdocs/tidc/Press/Press96/ariane5rep.html.
  • 204.
    BIBLIOGRAPHY 187 [JC85] Pankaj Jalote andRoy H. Campbell. Atomic actions in concurrent systems. In Proceedings of the 5th International Conference on Distributed Computing Systems (ICDCS 1985), Denver, Colorado, May 1985. IEEE Computer Society Press. ISBN 0-8186-0617-7. [Joh75] Stephen C. Johnson. Yacc: Yet another compiler compiler. Technical Report 32, Bell Laboratories, Murray Hill, New Jersey, 1975. [Joh89] Brian W. Johnson. Design and Analysis of Fault-Tolerant Digital Systems. Addison-Wesley, New York, 1989. [Kam91] Srikanth Kambhatla. Replication issues for a distributed and highly available Linda tuple space. Master’s thesis, Dept. of Computer Science, Oregon Graduate Institute, 1991. [KdRB91] Gregor Kiczales, Jim des Rivi` res, and Daniel G. Bobrow. The Art of the Metaobe ject Protocol. The MIT Press, Cambridge, MA, 1991. [KIBW99] Zbigniew T. Kalbarczyk, Ravishankar K. Iyer, Saurabh Bagchi, and Keith Whisnant. Chameleon: A software infrastructure for adaptive fault tolerance. IEEE Trans. on Parallel and Distributed Systems, 10(6):560–579, June 1999. [Kic00] Gregor Kiczales. AspectJTM : aspect-oriented programming using JavaTM technology. In Proc. of the Sun’s 2000 Worldwide Java Developer Conference (JavaOne), San Francisco, California, June 2000. Slides available at URL http://aspectj.org/servlets/AJSite?channel= documentation&subChannel=papersAndSlides. [Kim96] E.E. Kim. CGI Developer’s Guide. SAMS.NET, 1996. [Kle75] Leonard Kleinrock. Queueing Systems. John Wiley & Sons, 1975. 2 volumes. [KLM+ 97] Gregor Kiczales, John Lamping, Anurag Mendhekar, Chris Maeda, Cristina Videira Lopes, Jean-Marc Loingtier, and John Irwin. Aspect-oriented programming. In Proc. of the European Conference on Object-Oriented Programming (ECOOP), Lecture Notes in Computer Science, volume 1241, Finland, June 1997. Springer, Berlin. [Knu73] Donald Erving Knuth. The Art of Computer Programming, Volume 1 (Fundamental Algorithms). Addison-Wesley, Reading MA, 2nd edition, 1973. [Knu84] Donald Erving Knuth. Literate programming. The Comp. Jour., 27:97–111, 1984. [KSR98] Arkady Kanevsky, Anthony Skjellum, and Anna Rounbehler. MPI/RT — an emerging standard for high-performance real-time systems. In Proc. of the 31st Hawaii International Conference on System Sciences (HICSS’98). IEEE Comp. Soc. Press, January 1998.
  • 205.
    188 BIBLIOGRAPHY [KW89] K.H. Kim andH.O. Welch. Distributed execution of recovery blocks: an approach for uniform treatment of hardware and software faults in real-time applications. IEEE Trans. on Computers, 38(5):626–636, 1989. [LA90] P.A. Lee and T. Anderson. Fault Tolerance—Principles and Practice, volume 3 of Dependable Computing and Fault Tolerant Systems. Springer-Verlag, 1990. [Lap85] Jean-Claude Laprie. Dependable computing and fault tolerance: Concepts and terminology. In Proc. of the 15th Int. Symposium on Fault-Tolerant Computing (FTCS-15), pages 2–11, Ann Arbor, Mich., June 1985. IEEE Comp. Soc. Press. [Lap92] Jean-Claude Laprie. Dependability: Basic Concepts and Terminology in English, French, German, Italian and Japanese, volume 5 of Dependable Computing and Fault Tolerance. Springer Verlag, Wien, 1992. [Lap95] Jean-Claude Laprie. Dependability—its attributes, impairments and means. In B. Randell, J.-C. Laprie, H. Kopetz, and B. Littlewood, editors, Predictably Dependable Computing Systems, ESPRIT Basic Research Series, pages 3–18. Springer Verlag, Berlin, 1995. [Lap98] Jean-Claude Laprie. Dependability of computer systems: from concepts to limits. In Proc. of the IFIP International Workshop on Dependable Computing and Its Applications (DCIA98), Johannesburg, South Africa, 1998. [LCE89] Paul R. Lorczak, Alper K. Caglayan, and Dave E. Eckhardt. A theoretical investigation of generalized voters for redundant systems. In Proc. of the 19th Int. Symposium on Fault-Tolerant Computing (FTCS-19), pages 444–451, Chicago, IL, June 1989. [Le 96] G´ rard Le Lann. The Ariane 5 flight 501 failure – a case study in system engineere ing for computing systems. Technical Report 3079, INRIA, December 1996. [Lev95] Nancy G. Leveson. Safeware: Systems Safety and Computers. Addison-Wesley, 1995. [Lis88] Barbara Liskov. Distributed programming in Argus. Communications of the ACM, 31(3):300–312, March 1988. [LMB92] J. Levine, T. Mason, and D. Brown. Lex & yacc. O‘Reilly & Associates, 2nd edition, 1992. [LS90] T.-T. Y. Lin and D. P. Siewiorek. Error log analysis: Statistical modeling and heuristic trend analysis. IEEE Trans. on Reliability, 39:419–432, 1990. [LSP82] Leslie Lamport, R. Shostak, and M. Pease. The Byzantine generals problem. ACM Trans. on Programming Languages and Systems, 4(3):384–401, July 1982.
  • 206.
    BIBLIOGRAPHY 189 [LVL00] Martin Lippert andCristina Videira Lopes. A study on exception detection and handling using aspect-oriented programming. In Proc. of the 22nd International Conference on Software Engineering (ICSE’2000), Limmerick, Ireland, June 2000. [Lyu95] Michael Lyu. Software Fault Tolerance. John Wiley & Sons, New York, 1995. [Lyu96] Michael Lyu, editor. Handbook of Software Reliability Engineering. IEEE Computer Society Press and McGraw-Hill, 1996. [Lyu98a] Michael R. Lyu. Design, testing, and evaluation techniques for software reliability engineering. In Proc. of the 24th Euromicro Conf. on Engineering Systems and Software for the Next Decade (Euromicro’98), Workshop on Dependable Computing Systems, pages xxxix–xlvi, V¨ ster˚ s, Sweden, August 1998. IEEE Comp. Soc. a a Press. (Keynote speech). [Lyu98b] Michael R. Lyu. Reliability-oriented software engineering: Design, testing and evaluation techniques. IEE Proceedings – Software, 145(6):191–197, December 1998. Special Issue on Dependable Computing Systems. [Mae87] P. Maes. Concepts and experiments in computational reflection. In Proc. of the Conference on Object-Oriented Programming Systems, Languages, and Applications (OOPSLA-87), pages 147–155, Orlando, FL, 1987. [Mey97] B. Meyer. Fault-Tolerant Computer Systems Design. Prentice-Hall, New Jersey, 1997. [Mor00] Benny Graff Mortensen. Esprit project TIRAN (28620) third review report. Technical report, European Commission, May 2000. [Mos98] Mosaic020 data sheet, 1998. http://www.omimo.be/companies/dasa 004.htm. [NRC93] NRC. Switch focus team report. Technical report, National Reliability Council, June 1993. [Paa95] Jukka Paakki. Attribute grammar paradigms: A high-level methodology in language implementation. ACM Computing Surveys, 27(2), June 1995. Available at URL [PABD+ 99] David Powell, Jean Arlat, Ljerka Beus-Dukic, Andrea Bondavalli, Paolo Coppola, Alessandro Fantechi, Eric Jenn, Christophe Rab´ jac, and Andy Wellings. e GUARDS: A generic upgradable architecture for real-time dependable systems. IEEE Trans. on Parallel and Distributed Systems, 10(6):580–599, June 1999. [Par96a] Parsytec. Embedded Parix Programmer’s Guide. Parsytec CC Series Hardware Documentation. Parsytec GmbH, Aachen, Germany, 1996.
  • 207.
    190 BIBLIOGRAPHY [Par96b] Parsytec. Parsytec CCSeries — Cognitive Computing. Parsytec GmbH, Aachen, Germany, 1996. [PH96] David A. Patterson and John L. Hennessy. Computer Architecture—A Quantitative Approach. Morgan Kaufmann, S. Francisco, CA, 2nd edition, 1996. [PjB85] Paul W. Purdon jr. and Cynthia A. Brown. The Analysis of Algorithms. Holt Rinehart and Winston, New York, 1985. [Pow97] David Powell. Preliminary definition of the GUARDS architecture. Technical Report 96277, LAAS-CNRS, January 1997. [PTHR93] Lewis I. Patterson, Richard S. Turner, Robert M. Hyatt, and Kevin D. Reilly. Construction of a fault-tolerant distributed tuple-space. In Proc. of the 1993 Symposium on Applied Computing. ACM/SIGAPP, February 1993. [PW79] E. S. Page and L. B. Wilson. An Introduction to Computational Combinatorics. Cambridge University Press, Cambridge, 1979. [Ran75] Brian Randell. System structure for software fault tolerance. IEEE Trans. Software Eng., 1:220–232, June 1975. [RDFD+ 98] Wim Rosseel, Vincenzo De Florio, Geert Deconinck, Mario Truyens, and Rudy Lauwereins. Novel atomic action protocol for parallel systems with communication faults. In Proc. of the 16th IASTED International Conference on Applied Informatics, pages 344–347, Garmisch-Partenkirchen, Germany, February 1998. IASTED/ACTA Press. [Rob99] Bert Robben. Language Technology and Metalevel Architectures for Distributed Objects. PhD thesis, Dept. of Computer Science, Katholieke Universiteit Leuven, May 1999. [Rus94] John Rushby. Critical systems properties: Survey and taxonomy. Reliability Engineering and System Safety, 43(2):189–219, 1994. [RX95] Brian Randell and Jie Xu. The evolution of the recovery block concept. In Michael Lyu, editor, Software Fault Tolerance, chapter 1, pages 1–21. John Wiley & Sons, New York, 1995. [Sch90] Fred Schneider. Implementing fault-tolerant services using the state machine approach. ACM Comp. Surveys, 22(4):299–319, 1990. [Sch91] G. Schoinas. Issues on the implementation of POSYBL: A free Linda implementation for Unix networks. Technical report, Department of Computer Science, University of Crete, 1991.
  • 208.
    BIBLIOGRAPHY 191 [SGM85] R.K. Scott, J.W.Gault, and D.F. McAllister. The consensus recovery block. In Proc. of the Total System Reliability Symposium, pages 74–85, 1985. [Shr78] S.K. Shrivastava. Sequential Pascal with recovery blocks. Software — Practice and Experience, 8:177–185, 1978. [Shr95] S.K. Shrivastava. Lessons learned from building and using the Arjuna distributed programming system. In Theory and Practice in Distributed Systems, Lecture Notes in Computer Science, volume 938, July 1995. [Sib98] Edgar H. Sibley. Computer security, fault tolerance, and software assurance: From needs to solutions. In Proc. of the Workshops on Computer Security, Fault Tolerance, and Software Assurance: From Needs to Solutions, York, UK, July 1998. [SKS96] Masato Suzuki, Takuya Katayama, and Richard D. Schlichting. FTAG: A functional and attribute based model for writing fault-tolerant software. Technical Report TR 96-6, Department of Computer Science, The University of Arizona, May 1996. [SRC84] J. H. Saltzer, D. P. Reed, and D. D. Clark. End-to-end arguments in system design. ACM Trans. on Computer Systems, 2(4):277–288, 1984. [SS92] D. P. Siewiorek and R. S. Swarz. Reliable Computer Systems Design and Implementation. Digital Press, 1992. [ST95] Richard D. Schlichting and Vicraj T. Thomas. Programming language support for writing fault-tolerant distributed software. IEEE Transactions on Computers, 44(2):203–212, February 1995. Special Issue on Fault-Tolerant Computing. [Sun94] Sun. SunOS 5.5.1 Man Pages. Sun Microsystems, 1994. [Sun96] Sun. UNIX Man Page—C for the AIX Compiler. Sun Microsystems, 1996. [SWS93] Claude Elwood Shannon, A. D. Winer, and Neil J. A. Sloane. Claude Elwood Shannon : Collected Papers. Amazon, 1993. [Sys98] Eonic Systems. Virtuoso v.4 reference manual, 1998. [Tan90] Andrew S. Tanenbaum. Structured Computer Organization. Prentice-Hall, 3rd edition, 1990. [Tan96] Andrew S. Tanenbaum. Computer Networks. Prentice-Hall, London, 3rd edition, 1996. [Tea98] EFTOS K.U.Leuven Team. D2.8 – Reference Guide and Cookbook for Full Functionality Set, June 1998. EFTOS Deliverable. [Thi00] Hans Thielemans. TIRAN workshop. Eonic News, page 11, April 2000.
  • 209.
    192 BIBLIOGRAPHY [TMB80] David J. Taylor,David E. Morgan, and James P. Black. Redundancy in data structures: Improving software fault tolerance. IEEE Trans. on Software Engineering, 6(6):585–594, November 1980. [TXT97] TXT. TEX User Manual. TXT Ingegneria Informatica, Milano, Italy, 1997. [Uni95] Unipede. Automation and control apparatus for generating stations and substations – electromagnetic compatibility – immunity requirements. Technical Report UNIPEDE Norm (SPEC) 13, UNIPEDE, January 1995. [VA97] Tanja Van Achteren. Object georienteerde afleiding van metaobjecten voor foutbestendigheid in de friends omgeving. Master’s thesis, Dept. of Electrical Engineering, Katholieke Universiteit Leuven, 1997. In Flemish. [VT00] Jari Veijalainen and Aphrodite Tsalgatidou. Electronic commerce transactions in a mobile computing environment. In Proc. of the 2000 International Conference on Information Society in the 21st Century: Emerging Technologies and New Challenges (IS2000), Aizu-Wakamatsu, Fukushima, Japan, November 2000. [WAP00] World-wide web WAP forum, 2000. Hosted at URL http://www.wapforum.com. [Wei61] Martin H. Weik. The ENIAC story. ORDNANCE — The Journal of the American Ordnance Association, January-February 1961. Available at URL http://ftp.arl.mil/∼mike/ comphist/eniac-story.html. [Wie93] L.R. Wiener. Digital Woes. Why We Should Not Depend on Software. AddisonWesley, 1993. [Win99] WindRiver. VxWorks data sheet, 1999. http://www.wrs.com/products/html/vxwks52.html. [XL89] A. Xu and Barbara Liskov. A design for a fault-tolerant, distributed implementation of Linda. In Proc. of the 19th Int. IEEE Symposium on Fault-Tolerant Computing (FTCS-19), pages 199–206. IEEE, June 1989. [Zaw94] Jamie Zawinski. Remote control of UNIX Netscape. Technical report, Netscape Communications Corp., December 1994. Available at URL http://home.netscape.com/newsref/std/x-remote.html. Available at URL