KEMBAR78
Introduction To Block Chain | PDF | Cryptocurrency | Distributed Computing
0% found this document useful (0 votes)
464 views2 pages

Introduction To Block Chain

This course provides an overview of blockchain technology and its applications. It explores the Bitcoin and Ethereum protocols to lay the foundation for developing decentralized applications and data storage. The course is divided into 5 modules over 34 hours. Module 1 introduces the history and concepts of blockchain. Module 2 covers blockchain architecture including blocks, hashes, consensus mechanisms. Module 3 examines smart contracts and future blockchain-based systems. Module 4 discusses blockchains in business and creating initial coin offerings. Module 5 focuses on distributed storage using InterPlanetary File System and Swarm. Upon completing the course, students will be able to discuss blockchain types and applications, understand cryptography and consensus algorithms, and develop blockchain-based applications.
Copyright
© © All Rights Reserved
We take content rights seriously. If you suspect this is your content, claim it here.
Available Formats
Download as DOCX, PDF, TXT or read online on Scribd
0% found this document useful (0 votes)
464 views2 pages

Introduction To Block Chain

This course provides an overview of blockchain technology and its applications. It explores the Bitcoin and Ethereum protocols to lay the foundation for developing decentralized applications and data storage. The course is divided into 5 modules over 34 hours. Module 1 introduces the history and concepts of blockchain. Module 2 covers blockchain architecture including blocks, hashes, consensus mechanisms. Module 3 examines smart contracts and future blockchain-based systems. Module 4 discusses blockchains in business and creating initial coin offerings. Module 5 focuses on distributed storage using InterPlanetary File System and Swarm. Upon completing the course, students will be able to discuss blockchain types and applications, understand cryptography and consensus algorithms, and develop blockchain-based applications.
Copyright
© © All Rights Reserved
We take content rights seriously. If you suspect this is your content, claim it here.
Available Formats
Download as DOCX, PDF, TXT or read online on Scribd
You are on page 1/ 2

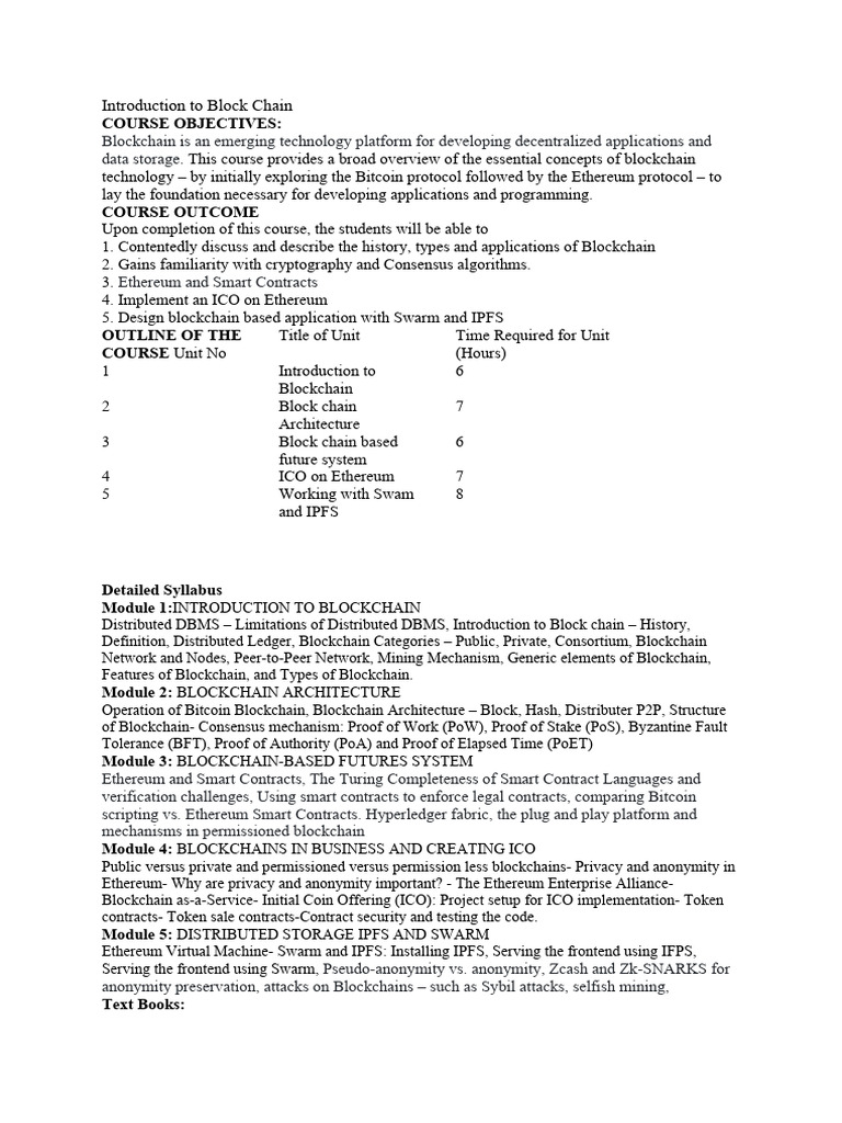
Introduction to Block Chain

COURSE OBJECTIVES:
Blockchain is an emerging technology platform for developing decentralized applications and
data storage. This course provides a broad overview of the essential concepts of blockchain
technology – by initially exploring the Bitcoin protocol followed by the Ethereum protocol – to
lay the foundation necessary for developing applications and programming.
COURSE OUTCOME
Upon completion of this course, the students will be able to
1. Contentedly discuss and describe the history, types and applications of Blockchain
2. Gains familiarity with cryptography and Consensus algorithms.
3. Ethereum and Smart Contracts
4. Implement an ICO on Ethereum
5. Design blockchain based application with Swarm and IPFS
OUTLINE OF THE Title of Unit Time Required for Unit
COURSE Unit No (Hours)
1 Introduction to 6
Blockchain
2 Block chain 7
Architecture
3 Block chain based 6
future system
4 ICO on Ethereum 7
5 Working with Swam 8
and IPFS

Detailed Syllabus
Module 1:INTRODUCTION TO BLOCKCHAIN
Distributed DBMS – Limitations of Distributed DBMS, Introduction to Block chain – History,
Definition, Distributed Ledger, Blockchain Categories – Public, Private, Consortium, Blockchain
Network and Nodes, Peer-to-Peer Network, Mining Mechanism, Generic elements of Blockchain,
Features of Blockchain, and Types of Blockchain.
Module 2: BLOCKCHAIN ARCHITECTURE
Operation of Bitcoin Blockchain, Blockchain Architecture – Block, Hash, Distributer P2P, Structure
of Blockchain- Consensus mechanism: Proof of Work (PoW), Proof of Stake (PoS), Byzantine Fault
Tolerance (BFT), Proof of Authority (PoA) and Proof of Elapsed Time (PoET)
Module 3: BLOCKCHAIN-BASED FUTURES SYSTEM
Ethereum and Smart Contracts, The Turing Completeness of Smart Contract Languages and
verification challenges, Using smart contracts to enforce legal contracts, comparing Bitcoin
scripting vs. Ethereum Smart Contracts. Hyperledger fabric, the plug and play platform and
mechanisms in permissioned blockchain
Module 4: BLOCKCHAINS IN BUSINESS AND CREATING ICO
Public versus private and permissioned versus permission less blockchains- Privacy and anonymity in
Ethereum- Why are privacy and anonymity important? - The Ethereum Enterprise Alliance-
Blockchain as-a-Service- Initial Coin Offering (ICO): Project setup for ICO implementation- Token
contracts- Token sale contracts-Contract security and testing the code.
Module 5: DISTRIBUTED STORAGE IPFS AND SWARM
Ethereum Virtual Machine- Swarm and IPFS: Installing IPFS, Serving the frontend using IFPS,
Serving the frontend using Swarm, Pseudo-anonymity vs. anonymity, Zcash and Zk-SNARKS for
anonymity preservation, attacks on Blockchains – such as Sybil attacks, selfish mining,
Text Books:
1. Imran Bashir. (2018), “Mastering Blockchain: Distributed Ledger Technology,
Decentralization and Smart Contracts explained”, 2nd Edition, Packt Publishing Ltd, March 2018.
2. Arvind Narayanan, Joseph Bonneau, Edward Felten, Andrew Miller and Steven Goldfeder.
(2016), “Bitcoin and Cryptocurrency Technologies: A Comprehensive Introduction”, Princeton
University Press.
3. Dr. Gavin Wood. (2014), “Ethereum: A Secure Decentralized Transaction Ledger”, Yellow
Paper.

Reference Books:
1. Josh Thompson, ‘Blockchain: The Blockchain for Beginnings, Guild to Blockchain
Technology and Blockchain Programming’, Create Space Independent Publishing Platform,
2017.

2. Bellaj Badr, Richard Horrocks, Xun (Brian) Wu, “Blockchain By Example: A developer's guide to
creating decentralized applications using Bitcoin, Ethereum, and Hyperledger”, Packt Publishing
Limited, 2018

You might also like