KEMBAR78
Ex1 Simple Computational Problems Sample | PDF | Computer Program | Programming
0% found this document useful (0 votes)
65 views15 pages

Ex1 Simple Computational Problems Sample

Copyright
© © All Rights Reserved
We take content rights seriously. If you suspect this is your content, claim it here.
Available Formats
Download as PDF, TXT or read online on Scribd
0% found this document useful (0 votes)
65 views15 pages

Ex1 Simple Computational Problems Sample

Copyright
© © All Rights Reserved
We take content rights seriously. If you suspect this is your content, claim it here.
Available Formats
Download as PDF, TXT or read online on Scribd
You are on page 1/ 15

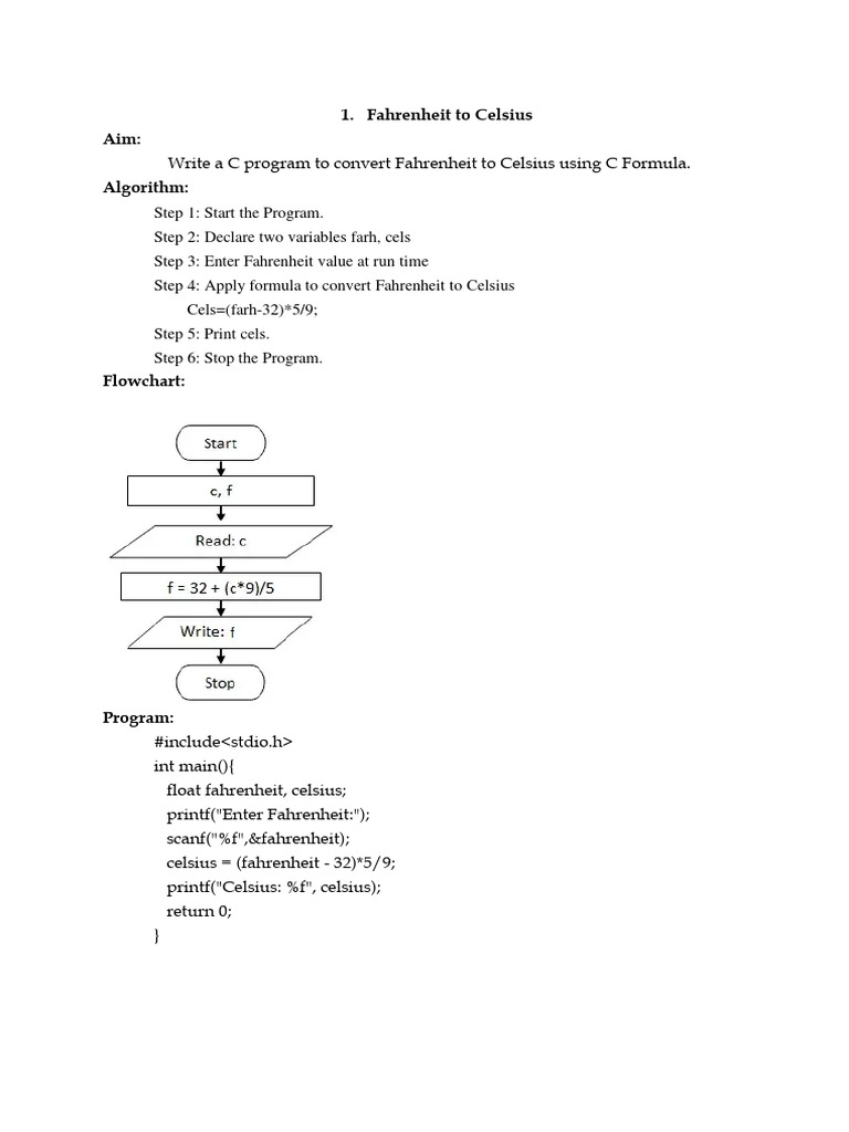
1.

Fahrenheit to Celsius
Aim:
Write a C program to convert Fahrenheit to Celsius using C Formula.
Algorithm:
Step 1: Start the Program.
Step 2: Declare two variables farh, cels
Step 3: Enter Fahrenheit value at run time
Step 4: Apply formula to convert Fahrenheit to Celsius
Cels=(farh-32)*5/9;
Step 5: Print cels.
Step 6: Stop the Program.
Flowchart:

Program:
#include<stdio.h>
int main(){
float fahrenheit, celsius;
printf("Enter Fahrenheit:");
scanf("%f",&fahrenheit);
celsius = (fahrenheit - 32)*5/9;
printf("Celsius: %f", celsius);
return 0;
}
Output:

Result:
Thus the above program has been executed successfully.

2. Uppercase to Lower case


Aim:
Write a C Program to convert uppercase character to lowercase character
using ASCII code.
Algorithm:
Step 1: Start the Program
Step 2: Include header files
Step 3: Declare two character variables upr, lwr
Step 4: Declare integer variable ascii
Step 5: Enter upper case value at Runtime
Step 6: Calculate ascii=upr+32
Step 7: Print the lower case value (ascii)
Step 8: Repeat the process for lower case to Upper case
Step 9: Stop the Program.
FlowChart:

Program:
#include <stdio.h>
#include <conio.h>
int main ()
{
char upr, lwr; // declare variables
int ascii;
// convert in lower case
printf (" Enter the Upper Case Character: ");
scanf (" %c", &upr);
ascii = upr + 32;
printf (" %c character in Lower case is: %c", upr, ascii);

// convert in upper case


printf (" \n Enter the Lower Case Character: ");
scanf (" %c", &lwr);
ascii = lwr - 32;
printf (" %c character in the Upper case is: %c", lwr, ascii);

return 0;
}

Output:

Result:
Thus the above program has been executed successfully.

3. Square of Ascii value of a given character

Aim:
Write a C Program to find the Square of ASCII of a given character.
Algorithm:
Step 1: Start the Program
Step 2: Include header files
Step 3: Declare the character Variable ch
Step 4: Declare integer variable asci
Step 5: Enter Any character at Runtime
Step 6: Calculate Square of Ascii value(ascii=ch*ch)
Step 7: Print the Value ascii
Step 8: Stop the Program.
Flowchart:

Program:
#include <stdio.h>
#include <math.h>
int main ()
{
char ch;
int ascii;
printf("Enter Any Character:");
scanf("%c",&ch);
ascii=ch*ch;
printf("Square of %c is %d",ch,ascii);

return 0;
}

Output:

Result:
Thus the above program has been executed successfully.
4. Simple Interest Calculation
Aim:
Write a C program to get the principal amount, number of years, rate of interest from
the user and print the simple interest for the same.
Algorithm:

Step 1: Start the Program

Step 2: Input three integers and store them in three variables one by one. Let us say the
variables are P, R, and N.

Step 3: Now, multiply the three variables i.e. PNR and divide this whole result by 100 and
store it in a variable say SI.

Step 4: Print the resultant variable i.e SI.

Step 5: Stop the Program.

Flowchart:

Program:

# include <stdio.h>
int main(){
//Simple interset program
int P, R, T;
double SI;
printf("Enter the principal: ");
scanf("%d", &P);
printf("Enter the rate of interest: ");
scanf("%d", &R);
printf("Enter the no of Years: ");
scanf("%d", &T);
SI = (P * R * T) / 100;
printf("The Simple interest is %.2f", SI);
return 0;
}

Output:

Result:
Thus the simple interest calculation program has been executed successfully.

5. Sum of Any Two Numbers' Squares


Aim:

Write a C Program to to find and print the sum of the square of the given two
numbers.

Algorithm:

Step 1: Start the Program


Step 2: Include header files
Step 3: Declare the integer variable num1, num2, sqr1, sqr2, sum
Step 4: Enter Any two numbers at Runtime
Step 5: Square the numbers and store the values in sqr1,sqr2
Step 6: Add the two value and store values into sum
Step 7: Print the Value sum
Step 8: Stop the Program.
Flowchart:

Program:

#include<stdio.h>
#include<conio.h>
int main()
{
int num1, num2, sqr1, sqr2, sum;
printf("Enter any two numbers: ");
scanf("%d%d", &num1, &num2);
sqr1 = num1*num1;
sqr2 = num2*num2;
sum = sqr1 + sqr2;
printf("Sum of their square = %d", sum);
return 0;
}
Output:

Result:

Thus the above program has been executed successfully.


6. Area & Perimeter of Rectangle
Aim:
Write a C program to calculate area and perimeter of Rectangle
Algorithm:

Program:

#include<stdio.h>

int main()

int l, b, area, peri;

printf("Enter the length and the breadth\n");

scanf("%d%d", &l, &b);

area = l * b;

peri = 2 * (l + b);

printf("The area is %d\n", area);

printf("The perimeter is %d\n", peri);


return 0;

Output:

Result:

Thus the above program has been executed successfully.

Hard:

7. Given the values of the variables X,Y and Z write a program to rotate
their values such that X has the value of Y,Y has the value of Z and Z
has the value of X.

Program:
#include<stdio.h>
int main()
{
int x,y,z,temp;
printf("Enter the value of x,y,z\n");
scanf("%d %d %d",&x,&y,&z);
temp=x;
x=y;
y=z;
z=temp;
printf("x=%d y=%d z=%d",x,y,z);
return 0;
}

Output:
8.writea program that reads a floating-point number and then displays
right-most digit of the integral part of the number.
Program:

#include<stdio.h>

void main()

{
int ip,rmd;
float fval;

printf("\n\n\tEnter is value::");
scanf("%f",&fval);

ip=fval;
rmd=ip%10;
printf("\n right most of ::%d is rmd::%d\n\n",ip,rmd);

Output:

9. Writeprogram to read a four digit integer and print the sum of its
digit. Hints: Use / and % operators.
Program:

#include<stdio.h>
int main()
{
int num,a,b,c,d,x,y,result;
printf("Enter a number");
scanf("%d",&num);
a=num%10;
x=num/10;
b=x%10;
y=x/10;
c=y%10;
d=y/10;
result=a+b+c+d;
printf("%d",result);
return 0;
}
Output:

10. Given three values, write a program to read three values from
keyboard and print out the largest of them without using if statement.

#include<stdio.h>
int main()
{
int x,y,z,a,b;
printf("Enter the value of x,y,z\n");
scanf("%d%d%d",&x,&y,&z);
printf("largest\n");
a=(x>y)?x:y;
b=(a>z)?a:z;
printf("%d",b);
return 0;
}
Output:
11.

/* C Program to Calculate Gross Salary of an Employee */

#include <stdio.h>

int main()
{
char name[60];
float basic_salary, hra_per, da_per, HRA, DA, Gross_Salary;

printf("Enter the Basic Salary of an Employee: ");


scanf("%f", &basic_salary);

printf("Enter the HRA Percentage of an Employee: ");


scanf("%f", &hra_per);

printf("Enter the DA Percentage of an Employee: ");


scanf("%f", &da_per);

HRA = basic_salary * (hra_per /100);


DA = basic_salary * (da_per / 100);

Gross_Salary = basic_salary + HRA + DA;


printf("\nBasic Salary = %.2f \nHRA Amount = %.2f \nDA Amount = %.2f
\nGross Salary = %.2f", basic_salary, HRA, DA, Gross_Salary);

return 0;
}

Output:

You might also like