KEMBAR78
Data Sheet - Machine Elements Design | PDF | Screw | Belt (Mechanical)
0% found this document useful (0 votes)
37 views8 pages

Data Sheet - Machine Elements Design

The document outlines various engineering design principles related to belt drives, shaft design, coupling design, gear design, bearing selection, and welded joints. It includes formulas for calculating stress, torque, and dimensions for components, as well as tables for standard sizes and service factors. Additionally, it provides information on contact angle correction factors and efficiency calculations for different mechanical systems.
Copyright
© © All Rights Reserved
We take content rights seriously. If you suspect this is your content, claim it here.
Available Formats
Download as PDF, TXT or read online on Scribd
0% found this document useful (0 votes)
37 views8 pages

Data Sheet - Machine Elements Design

The document outlines various engineering design principles related to belt drives, shaft design, coupling design, gear design, bearing selection, and welded joints. It includes formulas for calculating stress, torque, and dimensions for components, as well as tables for standard sizes and service factors. Additionally, it provides information on contact angle correction factors and efficiency calculations for different mechanical systems.
Copyright
© © All Rights Reserved
We take content rights seriously. If you suspect this is your content, claim it here.
Available Formats
Download as PDF, TXT or read online on Scribd
You are on page 1/ 8

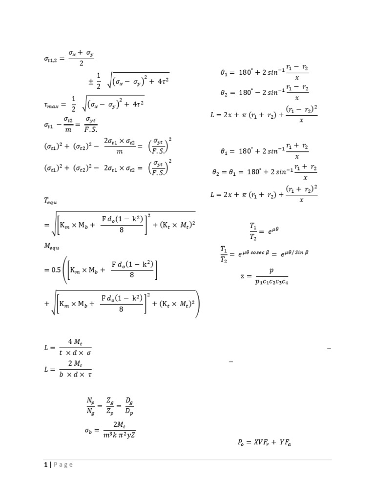
Theories of Failure Belt Drive

𝜎𝑥 + 𝜎𝑦 Case 1
𝜎𝑡1,2 =
2 𝑟1 − 𝑟2
1 𝜃1 = 180° + 2 𝑠𝑖𝑛−1
2
√(𝜎𝑥 − 𝜎𝑦 ) + 4𝜏 2 𝑥
±
2 𝑟1 − 𝑟2
𝜃2 = 180° − 2 𝑠𝑖𝑛−1
1 2 𝑥
𝜏𝑚𝑎𝑥 = √(𝜎𝑥 − 𝜎𝑦 ) + 4𝜏 2
2 (𝑟1 − 𝑟2 )2
𝜎𝑡2 𝜎𝑦𝑡 𝐿 = 2𝑥 + 𝜋 (𝑟1 + 𝑟2 ) +
𝑥
𝜎𝑡1 − =
𝑚 𝐹. 𝑆. Case 2
2𝜎𝑡1 × 𝜎𝑡2 𝜎𝑦𝑡 2
(𝜎𝑡1 )2 + (𝜎𝑡2 )2 − = ( ) 𝑟1 + 𝑟2
𝑚 𝐹. 𝑆. 𝜃1 = 180° + 2 𝑠𝑖𝑛−1
𝑥
𝜎𝑦𝑡 2
(𝜎𝑡1 )2 + (𝜎𝑡2 )2 − 2𝜎𝑡1 × 𝜎𝑡2 = ( ) 𝑟1 + 𝑟2
𝐹. 𝑆. 𝜃2 = 𝜃1 = 180° + 2 𝑠𝑖𝑛−1
𝑥
Shaft Design (𝑟1 + 𝑟2 )2
𝐿 = 2𝑥 + 𝜋 (𝑟1 + 𝑟2 ) +
𝑇𝑒𝑞𝑢 𝑥
2 Tension ratio
F 𝑑𝑜 (1 − k 2 )

= [K 𝑚 × M𝑏 + ] + (K 𝑡 × 𝑀𝑡 )2 𝑇1
8 = 𝑒 𝜇𝜃
𝑇2
𝑀𝑒𝑞𝑢 𝑇1
= 𝑒 𝜇𝜃 𝑐𝑜𝑠𝑒𝑐 𝛽 = 𝑒 𝜇𝜃/ 𝑆𝑖𝑛 𝛽
𝑇2
F 𝑑𝑜 (1 − k 2 )
= 0.5 ([K 𝑚 × M𝑏 + ] 𝑝
8 z=
𝑝₁𝑐₁𝑐₂𝑐₃𝑐₄

F 𝑑𝑜 (1 − k 2 )
2 Coupling Design
+ √[K 𝑚 × M𝑏 + 2
] + (K 𝑡 × 𝑀𝑡 ) )
8 Outside diameter of hub, D = 2 d
Length of hub, L = 1.5 d
Key Design
Pitch circle diameter of bolts, D1 = 3d
4 𝑀𝑡
𝐿= Outside diameter of flange, D2 = D1 + (D1 –
𝑡 ×𝑑× 𝜎
2 𝑀𝑡 D) = 2 D1 – D = 4 d
𝐿=
𝑏 ×𝑑× 𝜏 Thickness of flange, tf = 0.5 d
Gear Design Number of bolts = 3, for (d) up to 40 mm
𝑁𝑝 𝑍𝑔 𝐷𝑔 = 4, for (d) up to 100 mm
= =
𝑁𝑔 𝑍𝑝 𝐷𝑝 = 6, for (d) up to 180 mm
2𝑀𝑡
𝜎𝑏 = Bearing Selection
𝑚3 𝑘𝜋 2 𝑦𝑍
𝑃𝑜 = 𝑋𝑉𝐹𝑟 + 𝑌𝐹𝑎

1|Page
𝐶𝑜 3 𝑥1 + 𝑥2 + 𝑥3 + ⋯
𝐿= ( ) 𝑋̅ =
𝑃𝑜 𝑛
𝑦1 + 𝑦2 + 𝑦3 + ⋯
Welded Joints 𝑌̅ =
𝑛
P = 1.414 s × l × σt Ps = P/ n

P = 1.414 s × l × τ 𝐹1 𝐹2 𝐹3
= = =⋯
𝑙1 𝑙2 𝑙3
2𝑀𝑡 𝐹1 2
𝜏𝑚𝑎𝑥 = 𝑃. 𝑒 = [𝑙 + 𝑙22 + 𝑙32 ]
𝜋 × 0.707 𝑠 × 𝑑 2 𝑙1 1
4𝑀 𝑅 = √(𝑃𝑠 )2 + 𝐹 2 + 2 𝑃𝑠 × 𝐹 × 𝑐𝑜𝑠 𝜃
𝜎𝑏(𝑚𝑎𝑥) =
𝜋 × 0.707 𝑠 × 𝑑 2 (R) = π/4 × d 2 × τ
𝑃 Power Screw
𝜏1 =
1.414 𝑠 × 𝑙
𝐹𝐷𝑝 𝐿 + 𝜋𝑓𝐷𝑝
𝑇𝑢 = ( )
𝑀𝑡 × 𝑟2 𝑃 × 𝑒 × 𝑟2 2 𝜋𝐷𝑝 − 𝐿𝑓
𝜏2 = =
𝐽 𝐽
tan λ = L/(πDp)

𝜏𝐴 = √(𝜏1 )2 + (𝜏2 )2 + 2𝜏1 × 𝜏2 × cos 𝜃 𝐹𝐷𝑝 𝜋𝑓𝐷𝑝 − 𝐿


𝑇𝑑 = ( )
2 𝜋𝐷𝑝 + 𝐿𝑓
cos θ = r1 / r2
Torque required without friction, T',
Riveted Joint
𝐹𝐷𝑝 𝐿
Pt = (p – d) t. σt 𝑇′ = ( )
2 𝜋𝐷𝑝
𝜋
𝑃𝑠 = 𝑛 × 2 × × 𝑑2 × 𝜏 Then the efficiency, e. is
4
Pc = n. d. t. σc 𝑇′ 𝐹𝐿
𝑒= =( )
𝐿𝑒𝑎𝑠𝑡 𝑜𝑓 𝑃𝑡 , 𝑃𝑠 𝑎𝑛𝑑 𝑃𝑐 𝑇𝑢 2𝜋𝑇𝑢
η=
𝑝 × 𝑡 × 𝜎𝑡

Number of 14.5° full‐depth 20° full‐depth 20 stub


Teeth involute involute Involute
16 0.081 0.094 0.115
17 0.084 0.096 0.117
18 0.086 0.098 0.120
19 0.088 0.100 0.123
20 0.090 0.102 0.125

2|Page
Preferred 1 1.25 2 2.5 3 4 5 6 8
10 12 16 20 25 32 40 50
Second chose 1.125 1.375 1.75 2.25 2.75 3.5 4.5 5.5 7
9 11 14 18 22 28 36 45

Standard belt widths (b), pulley widths (B) and height (h):
b 16 20 25 32 40 50 70 90 110 125 140
B 20 25 32 40 50 63 80 100 125 140 160
h 0.5 0.5

Endless normal V-belts (DIN 2215) and cut V-belts (DIN 2216)
b 5 6 8 10 13 17 20 25 32 40 50
t 3 4 5 6 8 11 12.5 16 20 25 32
f 6 7 8 10 12 15 18 22 27 34 42
e 6 8 10 12 16 20 24 30 38 46 58
d A 5 6 8 10 12 16 18 22 27 32 40
B 6 7 9 12 15 18 21 26 31 38 47

Contact angle correction factor C₁


Contact angle 180 170 160 150 140 130 120 110 100 90 80 70
Endless belts C₁ 1 .98 .95 .92 .89 .86 .82 .78 .73 .68 .63 .58

Service factor C₂
Elect. Motors with Ts/Tr = 2 , Elect. Motors with Ts/Tr = 2 ,
combustion engines and combustion engines and
turbines with less than 600rpm turbines with more than
600rpm
Working hrs. per days 10 15 20 10 15 20
Medium service stirrers , m/c
tools , pressures , shears, 0.9 0.8 0.75 0.8 0.75 0.7
printing machines

b (mm) 5 6 9 10 13 17 20 (22) 25 32 40 50
V (m/s)
12 .11 .25 .48 1.0 2.0 3.6 5.2 6.4 8.0 12.8 20.0 32.0
14 .11 .26 .52 1.1 2.2 4.0 5.8 7.0 9.0 14.4 22.0 36.0
16 .11 .27 .55 1.2 2.4 4.3 6.3 7.5 9.8 15.7 24.0 39.0

3|Page
18 .10 .26 .56 1.2 2.6 4.6 6.7 9.0 10.4 16.6 26.0 42.0
20 .08 .24 .54 1.3 2.7 4.8 6.9 8.2 10.7 17.1 27.0 43.0

Bearing Type Single Row Double Row


X Y X Y
Deep groove 0.6 0.5 0.6 0.5
Self‐alignment 0.5 0.22 1 0.44
Angular contact
α = 20o α 0.5 0.5 0.42 1 0.84
= 25o α = 0.5 0.5 0.38 1 0.76
30o α = 0.5 0.33 1 0.66
35o α = 0.29 1 0.58
40o 0.26 0.52
1

4|Page
5|Page
6|Page
7|Page
8|Page

You might also like