KEMBAR78
Definite Integration Shortcuts | PDF | Chess Theory | Chess
0% found this document useful (0 votes)
43 views1 page

Definite Integration Shortcuts

The document contains a series of mathematical equations and integrals related to calculus and trigonometric functions. It includes various identities and properties of logarithmic and trigonometric functions, as well as integration techniques. The content appears to be a collection of formulas and their applications in solving mathematical problems.

Uploaded by

Sachin Kumar
Copyright
© © All Rights Reserved
We take content rights seriously. If you suspect this is your content, claim it here.
Available Formats
Download as PDF, TXT or read online on Scribd
0% found this document useful (0 votes)
43 views1 page

Definite Integration Shortcuts

The document contains a series of mathematical equations and integrals related to calculus and trigonometric functions. It includes various identities and properties of logarithmic and trigonometric functions, as well as integration techniques. The content appears to be a collection of formulas and their applications in solving mathematical problems.

Uploaded by

Sachin Kumar
Copyright
© © All Rights Reserved
We take content rights seriously. If you suspect this is your content, claim it here.
Available Formats
Download as PDF, TXT or read online on Scribd
You are on page 1/ 1

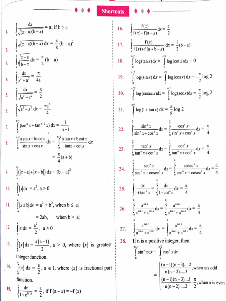
Shortcuts

dx
= Tt, if b>a I 16. f(x) -dr=
Jr-a)(b-x) f(x)+f(a -x)
V(-a)(b ) dr =(-a)? f(r).
2.
8
17.
f(x)+f (a +b-x) -dr-o-a)
=
n/2
x-a
3.
- dr=(b-a) 18. | log(tan x) dr = log(cot x) dr =0
b-x
n/2 T/2
dr
4. 2r+a? 4a
19. | log(sinx) dx = log(cos x) dx =-log 2
0 0

T/2 n/2

5. 2
20. log (cosec x)dx = og(sec x)dx = 2 log 2
0

n/4
dy= Ta
6.
0
4 21. log(l +tan x) dx =log
8 2
n/4
1
1 (tan" x + tan- x) dx =
= L sin" x Cos" x Tt
n-1 22. -dy = dx =
sin" x+ cos" sin" x+ cos" x 4
n/2
asinx+bcosx a tan x+bcotx
8. dr = dr
sin x + cOSx tanx + cotx tan" x cot"x
0
23. -dx = -dr =
0
tan" x+ cot" x tan" x+cot"x 4
a+b) 4
2
sec" x COsec"x
24. -dy= -dx =
9. fk-al+|*-b|) dy =(b- a 0
sec" x+ cosec" x Sec" X+ cosec" r 4

2
d dx
10. [kdr -a, a> 0 25. dr
1+tan"x 1+cot"x 4
a

11. [lkt bjdr =a +b', when bs lal 26.


a
Sint

-dr=
a
CoS

dx=
-a +a Cos 4
= 2ab, when b > lal
a2 tan 2 a cot.r
12.
iar 2
a>0 27. tan x
+a
-dr =
cot.r
a
tan .x
+ a
cotx
-dy=
T

4
a

13. a(a-1) , a > 0, 28. Ifn is a positive integer, then


2
where x] is greatest L/2 /2
0
sin" xdr = cos" xdx
integer function.
14. (n -1)(n -3)....2 ,when nisodd
=
a e I, where (x} is fractional part n(n-2)...3
function. (n -1)(n -3)....1
(n- 2)...2when ,when nnis even
15. dx a
8l+ef)
=

2
iff (a - x) =-f ()

You might also like