KEMBAR78
Output primitives in Computer Graphics | PPTX
Output Primitives
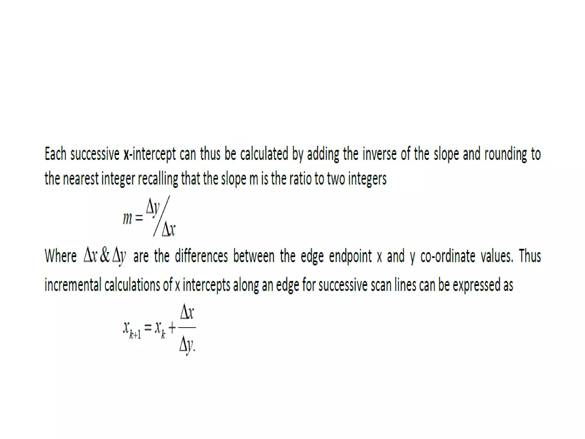
Points and Lines
Line Drawing Algorithms
DDA Algorithm
Bresenham’s Line Algorithm
Midpoint Circle Algorithm
Midpoint Ellipse Algorithm
Filled Area Primitives
Points and Lines
• Point is the fundamental element of picture
representation.
• It is the position in the plan defined as either
pair or triplets of number depending upon the
dimension.
• Two points represent line or edge and 3 or
more points a polygon.
• Curved lines are represented by the short
straight lines.
Line Drawing Algorithms
• Slope-Intercept Equation
• Slope
• Intercept
• Interval Calculation
bxmy  .
12
12
xx
yy
m



11 .xmyb 
xmy  . m
y
x


Line Drawing Algorithm
DDA Algorithm
 Digital Differential Analyzer
– Sample the line at unit intervals in one coordinate
– Determine the corresponding integer values
nearest the line path in another co-ordinate
DDA Algorithm (left to right)
• Slope
• For |m|<1 (|Δy|< |Δx|)
– Sample line at unit interval in x co-ordinate
• For |m|>1 (|Δy|> |Δx|)
– Sample line at unit interval in y co-ordinate
x
y
xx
yy
m
kk
kk








1
1
myy kk 1
m
xx kk
1
1 
11   kk xxx
11   kk yyy
DDA Algorithm (right to left)
• Slope
• For |m|<1 (|Δy|< |Δx|)
– Sample line at unit interval in x co-ordinate
• For |m|>1 (|Δy|> |Δx|)
– Sample line at unit interval in y co-ordinate
myy kk 1
m
xx kk
1
1 
11   kk xxx
11   kk yyy
x
y
xx
yy
m
kk
kk








1
1
DDA Algorithm
1. Input the two line endpoints and store the left endpoint in (x0,y0)
2. Plot first point (x0,y0)
3. Calculate constants Δx, Δy
4. If |Δx| > |Δy| steps = |Δx| else steps = |Δy|
5. Calculate XInc = |Δx| / steps and YInc = |Δy| / steps
6. At each xk along the line, starting at k=0, Plot the next pixel at (xk + XInc, yk
+ YInc)
7. Repeat step 6 steps times
Pseudo Code
Void lineDDA(int xa, int ya, int xb, int yb)
{
int dx = xb – xa, dy = yb – ya, steps, k;
float xIncrement, yIncrement, x = xa, y = ya;
if( abs (dx) > abs (dy) ) steps = abs (dx);
else steps = abs (dy);
xIncrement = dx / (float) steps;
yIncrement = dy / (float) steps;
setPixel (ROUND (x), ROUND (y));
for (k=0; k<steps; k++){
x += xIncrement;
y += yIncrement;
setPixel (ROUND(x), ROUND(y));
}
}
• Use DDA algorithm for rasterizing line (0,0) to
(6,6).
• Use DDA algorithm for rasterizing line (0,0) to
(4,6).
Bresenham’s Line Algorithm
• Uses only incremental integer
calculations
• Which pixel to draw ?
– (11,11) or (11,12) ?
– (51,50) or (51,49) ?
– Answered by Bresenham
• For |m|<1
– Start from left end point (x0,y0) step to each
successive column (x samples) and plot the pixel
whose scan line y value is closest to the line path.
– After (xk,yk) the choice could be (xk+1,yk) or
(xk+1,yk+1)
Then
And
Difference between separations
bxmy k  )1(
kyyd 1
kk ybxm  )1(
yyd k  )1(2
bxmy kk  )1(1
122)1(221  byxmdd kk
Defining decision parameter
[1]
Sign of pk is same as that of d1-d2 for Δx>0 (left to right sampling)
For Recursive calculation, initially
cyxxy kk  .2.2
Constant=2Δy + Δx(2b-1) Which is
independent of pixel position
cyxxyp kkk   111 .2.2
)(2)(2 111 kkkkkk yyxxxypp  
c eliminated here
)(22 11 kkkk yyxypp  
because xk+1 = xk + 1
yk+1-yk = 0 if pk < 0
yk+1-yk = 1 if pk ≥ 0
xyp  20
Substitute b = y0 – m.x0
and m = Δy/Δx in [1]
)( 21 ddxpk 
Algorithm Steps (|m|<1)
1. Input the two line endpoints and store the left endpoint in (x0,y0)
2. Plot first point (x0,y0)
3. Calculate constants Δx, Δy, 2Δy and 2 Δy- 2Δx, and obtain p0 = 2Δy – Δx
4. At each xk along the line, starting at k=0, perform the following test:
If pk<0, the next point plot is (xk+1,yk) and
Pk+1 = pk + 2Δy
Otherwise, the next point to plot is (xk + 1, yk+1) and
Pk+1 = pk + 2Δy - 2Δx
5. Repeat step 4 Δx times
What’s the advantage?
• Answer: involves only the calculation of constants Δx, Δy,
2Δy and 2Δy- 2Δx once and integer addition and
subtraction in each steps
Example
Endpoints (20,10) and (30,18)
Slope m = 0.8
Δx = 10, Δy = 8
P0 = 2Δy - Δx = 6
2Δy = 16, 2Δy-2Δx = -4
Plot (x0,y0) = (20,10)
• Use Bresenham’s algorithm for rasterizing the
line (5,5) to (13,9)
• Digitize a line with endpoints (15,18) and
(10,15) using BLA.
• Digitize a line with endpoints (15,15) and
(10,18) using BLA.
Algorithm Steps (|m|>1)
1. Input the two line endpoints and store the left endpoint in (x0,y0)
2. Plot first point (x0,y0)
3. Calculate constants Δx, Δy, 2Δx and 2 Δx- 2Δy, and obtain p0 = 2Δx – Δy
4. At each xk along the line, starting at k=0, perform the following test:
If pk<0, the next point plot is (xk, yk+1) and
Pk+1 = pk + 2Δx
Otherwise, the next point to plot is (xk + 1, yk+1) and
Pk+1 = pk + 2Δx - 2Δy
5. Repeat step 4 Δx times
• Use BLA algorithm for rasterizing line (0,0) to
(4,6).
Circle-Generating Algorithms (Basic
Foundations)
• Circle Equation:
• Points along circumference could be calculated by stepping along x-
axis:
222
)()( ryyxx cc 
22
)( xxryy cc 
Problem (in above method)
• Computational complexity
• Spacing:
– Non-uniform spacing of
plotted pixels
Adjustments (To fix problems)
• Spacing problem (2 ways):
– Interchange the role of x and y whenever the absolute value of the slope of
the circle tangent > 1
– Use polar co-ordinate:
• Equally spaced points are plotted along the circumference with fixed angular
step size.
• step size chosen for θ depends on the application and display device.
• Computation Problem:
– Use symmetry of circle; i.e calculate for one octant and use symmetry for
others.


sin
cos
ryy
rxx
c
c


Circle Symmetry
Bresenham’s Algorithm Could Be Adapted ??
• Yes
• How ?
– Setting decision parameter for finding the closest
pixel to the circumference
• And what to do For Non-linear equation of
circle ?
– Comparison of squares of the pixel separation
distance avoids square root calculations
Midpoint Circle Algorithm
• Circle function defined as:
• Any point (x,y) satisfies following conditions








boundarycircletheoutsideisyxif
boundarycircletheonisyxif
boundarycircletheinsideisyxif
yxfcircle
),(,0
),(,0
),(,0
),(
222
),( ryxyxfcircle 
• Decision parameter is the circle function; evaluated as:
222
)
2
1
()1(
)
2
1
,1(
ryx
yxfp
kk
kkcirclek


1)()()1(2
)
2
1
(]1)1[(
)
2
1
,1(
1
22
11
22
1
2
111






kkkkkkk
kk
kkcirclek
yyyyxpp
ryx
yxfp
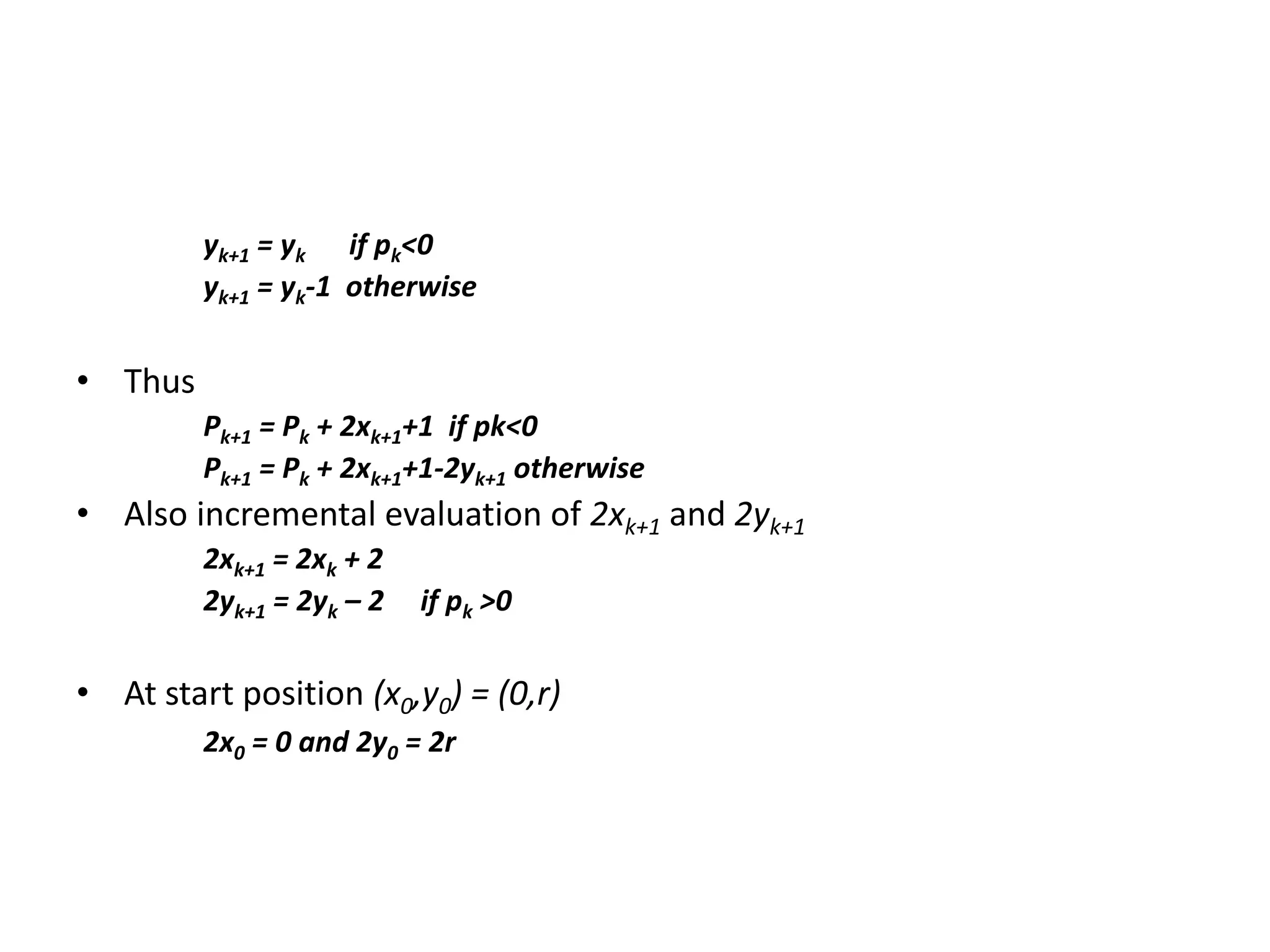
yk+1 = yk if pk<0
yk+1 = yk-1 otherwise
• Thus
Pk+1 = Pk + 2xk+1+1 if pk<0
Pk+1 = Pk + 2xk+1+1-2yk+1 otherwise
• Also incremental evaluation of 2xk+1 and 2yk+1
2xk+1 = 2xk + 2
2yk+1 = 2yk – 2 if pk >0
• At start position (x0,y0) = (0,r)
2x0 = 0 and 2y0 = 2r
• Initial decision parameter
• For r specified as an integer, round p0 to
P0 = 1-r
(because all increments are integers)
r
rr
rfp circle



4
5
)
2
1
(1
)
2
1
,1(
22
0
Algorithm
1. Input radius r and circle center (xc, yc) and obtain the first point on the circumference of
a circle centered on the origin as
(x0,y0) = (0,r)
2. Calculate the initial value of the decision parameter as
P0 = 5/4 – r
3. At each xk position, starting at k = 0, perform the following test:
If pk < 0, the next point along the circle centered on (0,0) is (xk+1,yk) and
Pk+1 = pk + 2xk+1 + 1
Otherwise, the next point along the circle is (xk+1,yK-1) and
Pk+1 = pk + 2xk+1 + 1 -2yk+1
Where 2xk+1 = 2xk + 2 and 2yk+1 = 2yk-2
4. Determine the symmetry points in the other seven octants.
5. Move each calculated pixel position (x,y) onto the circular path
centered on (xc,yc) and plot the co-ordinate values:
x = x + xc, y = y+yc
6. Repeat steps 3 through 5 until x ≥ y
• Given radius =10 use mid-point circle drawing
algorithm to determine the pixel in the first
quadrant.
Solution:
P0 = 1-r = -9
(x0 , y0)=(0,10)
2x0 =0
2y0 =20
• Digitize the circle (x-2)^2+(y-3)^2=25 in first
quadrant.
Solution:
P0=(1-r)= -4
(x0 , y0)=(0,5)
2x0 =0
2y0 =10
Ellipse Generating Algorithms
• Equation of ellipse:
• F1(x1,y1), F2(x2,y2)
• General Equation
• Simplified Form
• In polar co-ordinate
constantyyxxyyxx  2
2
2
2
2
1
2
1 )()()()(
constantdd  21
022
 FEyDxCxyByAx
1
22








 





 
y
c
x
c
r
yy
r
xx


sin
cos
yc
xc
ryy
rxx


• Ellipse function
222222
),( yxyellipse rryrxryxf x 







boundaryellipsetheoutsideisyxif
boundaryellipsetheonisyxif
boundaryellipsetheinsideisyxif
yxfellipse
),(,0
),(,0
),(,0
),(
• From ellipse tangent slope:
• At boundary region (slope = -1):
• Start from (0,ry), take x samples to boundary
between 1 and 2
• Switch to sample y from boundary between 1
and 2
(i.e whenever )
yr
xr
dx
dy
x
y
2
2
2
2

yrxr xy
22
22 
yrxr xy
22
22 
Slope=-1
• In the region 1
• For next sample
• Thus increment
222222
)
2
1
()1(
)
2
1
,1(1
yxkxky
kkellipsek
rryrxr
yxfp


 


























22
1
222
1
222
1
222
111
2
1
2
1
)1(211
)
2
1
(1)1(
)
2
1
,1(1
kkxykykk
yxkxky
kkellipsek
yyrrxrpp
rryrxr
yxfp








01,22
01,2
1
22
1
2
2
1
2
kkxyky
kyky
pifyrrxr
pifrxr
increment
•For increment calculation;
Initially:
•Incrementally:
Update x by adding
2ry
2 to first equation
and update y by
subtracting 2rx
2 to
second equation
yxx
y
rryr
xr
22
2
22
02


• Initial value
222
0
22
2
22
0
4
1
1
2
1
2
1
,11
xyxy
yxyxy
yellipse
rrrrp
rrrrr
rfp















(0,ry)
• In the region 2
• For next sample
• Initially
222222
)1()
2
1
(
)1,
2
1
(2
yxkxky
kkellipsek
rryrxr
yxfp


  
































22
1
222
1
2222
2
1
2
111
2
1
2
1
)1(222
11
2
1
)1,
2
1
(2
kkyxkxkk
yxkxky
kkellipsek
xxrryrpp
rryrxr
yxfp
222
0
2
2
0
2
0
000
)1(
2
1
2
1,
2
1
2
yxxy
ellipse
rryrxrp
yxfp














For simplification calculation of
p20 can be done by selecting
pixel positions in counter
clockwise order starting at (rx,0)
and unit samples to positive y
direction until the boundary
between two regions
Algorithm
1. Input rx,ry, and the ellipse center(xc,yc) and obtain the first point on an ellipse centered on the origin as
(x0,y0) = (0,ry)
2. Calculate the initial value of the decision parameter in region 1 as
3. At each xk position in region 1, starting at k = 0, perform the following test: If p1k < 0, the next point along the
ellipse centered on (0,0) is (xk+1,yk) and
Otherwise, the next point along the ellipse is (xk+1,yk-1) and
With
and continue until
222
0
4
1
1 xyxy rrrrp 
2
1
2
1 211 ykykk rxrpp  
2
1
2
1
2
1 2211 ykxkykk ryrxrpp  
22
1
222
1
2
222,222 xkxkxykyky ryryrrxrxr  
yrxr xy
22
22 
4. Calculate the initial value of decision parameter in region 2 using the last point (x0,y0) calculated in region 1 as
5. At each yk position in region 2, starting at k = 0, perform the following test: If p2k>0, the next point along the
ellipse centered on (0,0) is (xk,yk-1) and
Otherwise the next point along the ellipse is (xk+1,yk-1) and
Using the same incremental calculations for x and y as in region 1.
6. Determine the symmetry points in the other three quadrants.
7. Move each calculated pixel position (x,y) onto the elliptical path centered on (xc,yc) and plot the co-ordinate
values:
X = x + xc, y = y+ yc
8. Repeat the steps for region 1 until
222
0
2
2
0
2
0 )1(
2
1
2 yxxy rryrxrp 






2
1
2
1 222 xkxkk ryrpp  
2
1
2
1
2
1 2222 xkxkykk ryrxrpp  
yrxr xy
22
22 
• Digitize the ellipse with parameter rx =8 and
ry =6 in first quadrant.
Solution:
Filled Area Primitives
• Two basic approaches for area filling:
– By determining overlap intervals for scan lines
– Start from given interior position and filling
outwards
Scan Line Polygon Filled Algorithm
• Intersection points of scan line with the
polygon edge are calculated.
• Points are sorted from left to right.
• Corresponding frame buffer position between
each intersection pair are set by specified
color.
• A scan line pass through vertex, intersect two
polygon edges.
• Scan line y’
– Intersect even number of edges
– 2 pairs of intersection points correctly find the
interior span
• Scan line y
– Intersect an odd number of edges(5)
– Must count the vertex intersection as only one
point
How to distinguish these cases?
• Scan line y
– Intersecting edges are on the opposite side
• Scan line y’
– Intersecting edges are on the same side.
• By tracing around the boundary,
– If the endpoint y values of two consecutive edges
monotonically increases or decreases count
middle vertex as single
Implementation
• In determining edge intersection, we can set
up incremental set up calculation using fact
that slope of edge is constant.
Inside Outside test
• Odd Even rule:
– Odd edge means interior
• Non zero winding number rule
– Non zero winding number means interior
Scan line fill for Curved Area
• Require more works than polygon filling due
to non-linear boundary.
• We calculate the scan line intersection and fill
all the interior points.
• Symmetries between the quadrant can be
used to reduce the calculation.
Boundary fill algorithm
• Fill the region starting from the interior point
until the appropriate color boundary is
reached.
• Two ways:
– 4 connected
– 8 connected
4 connected
8 connected
Using 4 connected flood fill algorithm

Output primitives in Computer Graphics

  • 1.
    Output Primitives Points andLines Line Drawing Algorithms DDA Algorithm Bresenham’s Line Algorithm Midpoint Circle Algorithm Midpoint Ellipse Algorithm Filled Area Primitives
  • 2.
    Points and Lines •Point is the fundamental element of picture representation. • It is the position in the plan defined as either pair or triplets of number depending upon the dimension. • Two points represent line or edge and 3 or more points a polygon. • Curved lines are represented by the short straight lines.
  • 3.
    Line Drawing Algorithms •Slope-Intercept Equation • Slope • Intercept • Interval Calculation bxmy  . 12 12 xx yy m    11 .xmyb  xmy  . m y x  
  • 4.
  • 7.
    DDA Algorithm  DigitalDifferential Analyzer – Sample the line at unit intervals in one coordinate – Determine the corresponding integer values nearest the line path in another co-ordinate
  • 8.
    DDA Algorithm (leftto right) • Slope • For |m|<1 (|Δy|< |Δx|) – Sample line at unit interval in x co-ordinate • For |m|>1 (|Δy|> |Δx|) – Sample line at unit interval in y co-ordinate x y xx yy m kk kk         1 1 myy kk 1 m xx kk 1 1  11   kk xxx 11   kk yyy
  • 9.
    DDA Algorithm (rightto left) • Slope • For |m|<1 (|Δy|< |Δx|) – Sample line at unit interval in x co-ordinate • For |m|>1 (|Δy|> |Δx|) – Sample line at unit interval in y co-ordinate myy kk 1 m xx kk 1 1  11   kk xxx 11   kk yyy x y xx yy m kk kk         1 1
  • 10.
    DDA Algorithm 1. Inputthe two line endpoints and store the left endpoint in (x0,y0) 2. Plot first point (x0,y0) 3. Calculate constants Δx, Δy 4. If |Δx| > |Δy| steps = |Δx| else steps = |Δy| 5. Calculate XInc = |Δx| / steps and YInc = |Δy| / steps 6. At each xk along the line, starting at k=0, Plot the next pixel at (xk + XInc, yk + YInc) 7. Repeat step 6 steps times
  • 11.
    Pseudo Code Void lineDDA(intxa, int ya, int xb, int yb) { int dx = xb – xa, dy = yb – ya, steps, k; float xIncrement, yIncrement, x = xa, y = ya; if( abs (dx) > abs (dy) ) steps = abs (dx); else steps = abs (dy); xIncrement = dx / (float) steps; yIncrement = dy / (float) steps; setPixel (ROUND (x), ROUND (y)); for (k=0; k<steps; k++){ x += xIncrement; y += yIncrement; setPixel (ROUND(x), ROUND(y)); } }
  • 14.
    • Use DDAalgorithm for rasterizing line (0,0) to (6,6). • Use DDA algorithm for rasterizing line (0,0) to (4,6).
  • 18.
    Bresenham’s Line Algorithm •Uses only incremental integer calculations • Which pixel to draw ? – (11,11) or (11,12) ? – (51,50) or (51,49) ? – Answered by Bresenham
  • 19.
    • For |m|<1 –Start from left end point (x0,y0) step to each successive column (x samples) and plot the pixel whose scan line y value is closest to the line path. – After (xk,yk) the choice could be (xk+1,yk) or (xk+1,yk+1)
  • 20.
    Then And Difference between separations bxmyk  )1( kyyd 1 kk ybxm  )1( yyd k  )1(2 bxmy kk  )1(1 122)1(221  byxmdd kk
  • 21.
    Defining decision parameter [1] Signof pk is same as that of d1-d2 for Δx>0 (left to right sampling) For Recursive calculation, initially cyxxy kk  .2.2 Constant=2Δy + Δx(2b-1) Which is independent of pixel position cyxxyp kkk   111 .2.2 )(2)(2 111 kkkkkk yyxxxypp   c eliminated here )(22 11 kkkk yyxypp   because xk+1 = xk + 1 yk+1-yk = 0 if pk < 0 yk+1-yk = 1 if pk ≥ 0 xyp  20 Substitute b = y0 – m.x0 and m = Δy/Δx in [1] )( 21 ddxpk 
  • 22.
    Algorithm Steps (|m|<1) 1.Input the two line endpoints and store the left endpoint in (x0,y0) 2. Plot first point (x0,y0) 3. Calculate constants Δx, Δy, 2Δy and 2 Δy- 2Δx, and obtain p0 = 2Δy – Δx 4. At each xk along the line, starting at k=0, perform the following test: If pk<0, the next point plot is (xk+1,yk) and Pk+1 = pk + 2Δy Otherwise, the next point to plot is (xk + 1, yk+1) and Pk+1 = pk + 2Δy - 2Δx 5. Repeat step 4 Δx times
  • 23.
    What’s the advantage? •Answer: involves only the calculation of constants Δx, Δy, 2Δy and 2Δy- 2Δx once and integer addition and subtraction in each steps
  • 24.
    Example Endpoints (20,10) and(30,18) Slope m = 0.8 Δx = 10, Δy = 8 P0 = 2Δy - Δx = 6 2Δy = 16, 2Δy-2Δx = -4 Plot (x0,y0) = (20,10)
  • 25.
    • Use Bresenham’salgorithm for rasterizing the line (5,5) to (13,9)
  • 27.
    • Digitize aline with endpoints (15,18) and (10,15) using BLA.
  • 29.
    • Digitize aline with endpoints (15,15) and (10,18) using BLA.
  • 31.
    Algorithm Steps (|m|>1) 1.Input the two line endpoints and store the left endpoint in (x0,y0) 2. Plot first point (x0,y0) 3. Calculate constants Δx, Δy, 2Δx and 2 Δx- 2Δy, and obtain p0 = 2Δx – Δy 4. At each xk along the line, starting at k=0, perform the following test: If pk<0, the next point plot is (xk, yk+1) and Pk+1 = pk + 2Δx Otherwise, the next point to plot is (xk + 1, yk+1) and Pk+1 = pk + 2Δx - 2Δy 5. Repeat step 4 Δx times
  • 32.
    • Use BLAalgorithm for rasterizing line (0,0) to (4,6).
  • 33.
    Circle-Generating Algorithms (Basic Foundations) •Circle Equation: • Points along circumference could be calculated by stepping along x- axis: 222 )()( ryyxx cc  22 )( xxryy cc 
  • 34.
    Problem (in abovemethod) • Computational complexity • Spacing: – Non-uniform spacing of plotted pixels
  • 35.
    Adjustments (To fixproblems) • Spacing problem (2 ways): – Interchange the role of x and y whenever the absolute value of the slope of the circle tangent > 1 – Use polar co-ordinate: • Equally spaced points are plotted along the circumference with fixed angular step size. • step size chosen for θ depends on the application and display device. • Computation Problem: – Use symmetry of circle; i.e calculate for one octant and use symmetry for others.   sin cos ryy rxx c c  
  • 36.
  • 37.
    Bresenham’s Algorithm CouldBe Adapted ?? • Yes • How ? – Setting decision parameter for finding the closest pixel to the circumference • And what to do For Non-linear equation of circle ? – Comparison of squares of the pixel separation distance avoids square root calculations
  • 38.
    Midpoint Circle Algorithm •Circle function defined as: • Any point (x,y) satisfies following conditions         boundarycircletheoutsideisyxif boundarycircletheonisyxif boundarycircletheinsideisyxif yxfcircle ),(,0 ),(,0 ),(,0 ),( 222 ),( ryxyxfcircle 
  • 39.
    • Decision parameteris the circle function; evaluated as: 222 ) 2 1 ()1( ) 2 1 ,1( ryx yxfp kk kkcirclek   1)()()1(2 ) 2 1 (]1)1[( ) 2 1 ,1( 1 22 11 22 1 2 111       kkkkkkk kk kkcirclek yyyyxpp ryx yxfp
  • 40.
    yk+1 = ykif pk<0 yk+1 = yk-1 otherwise • Thus Pk+1 = Pk + 2xk+1+1 if pk<0 Pk+1 = Pk + 2xk+1+1-2yk+1 otherwise • Also incremental evaluation of 2xk+1 and 2yk+1 2xk+1 = 2xk + 2 2yk+1 = 2yk – 2 if pk >0 • At start position (x0,y0) = (0,r) 2x0 = 0 and 2y0 = 2r
  • 41.
    • Initial decisionparameter • For r specified as an integer, round p0 to P0 = 1-r (because all increments are integers) r rr rfp circle    4 5 ) 2 1 (1 ) 2 1 ,1( 22 0
  • 42.
    Algorithm 1. Input radiusr and circle center (xc, yc) and obtain the first point on the circumference of a circle centered on the origin as (x0,y0) = (0,r) 2. Calculate the initial value of the decision parameter as P0 = 5/4 – r 3. At each xk position, starting at k = 0, perform the following test: If pk < 0, the next point along the circle centered on (0,0) is (xk+1,yk) and Pk+1 = pk + 2xk+1 + 1 Otherwise, the next point along the circle is (xk+1,yK-1) and Pk+1 = pk + 2xk+1 + 1 -2yk+1 Where 2xk+1 = 2xk + 2 and 2yk+1 = 2yk-2 4. Determine the symmetry points in the other seven octants. 5. Move each calculated pixel position (x,y) onto the circular path centered on (xc,yc) and plot the co-ordinate values: x = x + xc, y = y+yc 6. Repeat steps 3 through 5 until x ≥ y
  • 43.
    • Given radius=10 use mid-point circle drawing algorithm to determine the pixel in the first quadrant. Solution: P0 = 1-r = -9 (x0 , y0)=(0,10) 2x0 =0 2y0 =20
  • 46.
    • Digitize thecircle (x-2)^2+(y-3)^2=25 in first quadrant. Solution: P0=(1-r)= -4 (x0 , y0)=(0,5) 2x0 =0 2y0 =10
  • 50.
    Ellipse Generating Algorithms •Equation of ellipse: • F1(x1,y1), F2(x2,y2) • General Equation • Simplified Form • In polar co-ordinate constantyyxxyyxx  2 2 2 2 2 1 2 1 )()()()( constantdd  21 022  FEyDxCxyByAx 1 22                  y c x c r yy r xx   sin cos yc xc ryy rxx  
  • 51.
    • Ellipse function 222222 ),(yxyellipse rryrxryxf x         boundaryellipsetheoutsideisyxif boundaryellipsetheonisyxif boundaryellipsetheinsideisyxif yxfellipse ),(,0 ),(,0 ),(,0 ),(
  • 52.
    • From ellipsetangent slope: • At boundary region (slope = -1): • Start from (0,ry), take x samples to boundary between 1 and 2 • Switch to sample y from boundary between 1 and 2 (i.e whenever ) yr xr dx dy x y 2 2 2 2  yrxr xy 22 22  yrxr xy 22 22  Slope=-1
  • 53.
    • In theregion 1 • For next sample • Thus increment 222222 ) 2 1 ()1( ) 2 1 ,1(1 yxkxky kkellipsek rryrxr yxfp                               22 1 222 1 222 1 222 111 2 1 2 1 )1(211 ) 2 1 (1)1( ) 2 1 ,1(1 kkxykykk yxkxky kkellipsek yyrrxrpp rryrxr yxfp         01,22 01,2 1 22 1 2 2 1 2 kkxyky kyky pifyrrxr pifrxr increment •For increment calculation; Initially: •Incrementally: Update x by adding 2ry 2 to first equation and update y by subtracting 2rx 2 to second equation yxx y rryr xr 22 2 22 02  
  • 54.
  • 55.
    • In theregion 2 • For next sample • Initially 222222 )1() 2 1 ( )1, 2 1 (2 yxkxky kkellipsek rryrxr yxfp                                      22 1 222 1 2222 2 1 2 111 2 1 2 1 )1(222 11 2 1 )1, 2 1 (2 kkyxkxkk yxkxky kkellipsek xxrryrpp rryrxr yxfp 222 0 2 2 0 2 0 000 )1( 2 1 2 1, 2 1 2 yxxy ellipse rryrxrp yxfp               For simplification calculation of p20 can be done by selecting pixel positions in counter clockwise order starting at (rx,0) and unit samples to positive y direction until the boundary between two regions
  • 56.
    Algorithm 1. Input rx,ry,and the ellipse center(xc,yc) and obtain the first point on an ellipse centered on the origin as (x0,y0) = (0,ry) 2. Calculate the initial value of the decision parameter in region 1 as 3. At each xk position in region 1, starting at k = 0, perform the following test: If p1k < 0, the next point along the ellipse centered on (0,0) is (xk+1,yk) and Otherwise, the next point along the ellipse is (xk+1,yk-1) and With and continue until 222 0 4 1 1 xyxy rrrrp  2 1 2 1 211 ykykk rxrpp   2 1 2 1 2 1 2211 ykxkykk ryrxrpp   22 1 222 1 2 222,222 xkxkxykyky ryryrrxrxr   yrxr xy 22 22 
  • 57.
    4. Calculate theinitial value of decision parameter in region 2 using the last point (x0,y0) calculated in region 1 as 5. At each yk position in region 2, starting at k = 0, perform the following test: If p2k>0, the next point along the ellipse centered on (0,0) is (xk,yk-1) and Otherwise the next point along the ellipse is (xk+1,yk-1) and Using the same incremental calculations for x and y as in region 1. 6. Determine the symmetry points in the other three quadrants. 7. Move each calculated pixel position (x,y) onto the elliptical path centered on (xc,yc) and plot the co-ordinate values: X = x + xc, y = y+ yc 8. Repeat the steps for region 1 until 222 0 2 2 0 2 0 )1( 2 1 2 yxxy rryrxrp        2 1 2 1 222 xkxkk ryrpp   2 1 2 1 2 1 2222 xkxkykk ryrxrpp   yrxr xy 22 22 
  • 58.
    • Digitize theellipse with parameter rx =8 and ry =6 in first quadrant. Solution:
  • 62.
    Filled Area Primitives •Two basic approaches for area filling: – By determining overlap intervals for scan lines – Start from given interior position and filling outwards
  • 63.
    Scan Line PolygonFilled Algorithm • Intersection points of scan line with the polygon edge are calculated. • Points are sorted from left to right. • Corresponding frame buffer position between each intersection pair are set by specified color.
  • 65.
    • A scanline pass through vertex, intersect two polygon edges.
  • 66.
    • Scan liney’ – Intersect even number of edges – 2 pairs of intersection points correctly find the interior span • Scan line y – Intersect an odd number of edges(5) – Must count the vertex intersection as only one point
  • 67.
    How to distinguishthese cases? • Scan line y – Intersecting edges are on the opposite side • Scan line y’ – Intersecting edges are on the same side. • By tracing around the boundary, – If the endpoint y values of two consecutive edges monotonically increases or decreases count middle vertex as single
  • 68.
  • 70.
    • In determiningedge intersection, we can set up incremental set up calculation using fact that slope of edge is constant.
  • 73.
    Inside Outside test •Odd Even rule: – Odd edge means interior • Non zero winding number rule – Non zero winding number means interior
  • 75.
    Scan line fillfor Curved Area • Require more works than polygon filling due to non-linear boundary. • We calculate the scan line intersection and fill all the interior points. • Symmetries between the quadrant can be used to reduce the calculation.
  • 76.
    Boundary fill algorithm •Fill the region starting from the interior point until the appropriate color boundary is reached. • Two ways: – 4 connected – 8 connected
  • 78.
  • 79.
  • 80.
    Using 4 connectedflood fill algorithm