KEMBAR78
Algorithms notes tutorials duniya | PDF
Download FREE Computer Science Notes, Programs,
Projects, Books for any university student of BCA,
MCA, B.Sc, M.Sc, B.Tech CSE, M.Tech at
https://www.tutorialsduniya.com
Please Share these Notes with your Friends as well
TUTORIALSDUNIYA.COM
Computer Science Notes
Design and Analysis of
Algorithms Notes
UNIT I
Dictionaries: Sets, Dictionaries, Hash Tables, Open Hashing, Closed Hashing (Rehashing Methods), Hashing
Functions (Division Method, Multiplication Method, Universal Hashing), Analysis of Closed Hashing Result
(Unsuccessful Search, Insertion, Successful Search, Deletion), Hash Table Restructuring, Skip Lists, Analysis of
Skip Lists.
SETS
 A set is a collection of well defined elements. The members of a set are all different.
 A set ADT can be defined to comprise the following operations:
Union(A, B, C): This operation combines all elements of set A and set B and places them in set C.
Ex: A={1,2,3,4} B={4,5,6} then C={1,2,3,4,5,6}
Intersection(A, B, C): This operation selects common elements from set A and set B (i.e., which appear both
in A and B) and places them in set C.
Ex: A={1,2,3,4} B={4,5,6} then C={4}
Difference(A, B, C): This operation selects only the elements that appear in set A but not in set B and places
them in set C.
Ex: A={1,2,3,4} B={4,5,6} then C={1,2,3}
Merge(A, B, C): This operation combines all elements of set A and set B and places them in set C and
discards set A, B.
Ex: C={1,2,3,4,5,6}
Find(x): Returns the set name in which element „x‟ is available.
Ex: A ={1,2,3}, B={4,5,6}
Find(5) returns set B
Member (x, A) or Search (x, A): Checks whether element‟ x‟ is available in „A‟ or Not. If element is
available returns search successful otherwise returns search unsuccessful.
Makenull (A): Makes a Set A to empty
Equal (A, B): Check whether two sets A and B are equal or not.
Ex: A={1,2,3} B={2,1,3} are equal
Assign (A, B): Assigns Set B elements to set A
Insert (x, A): Inserts an element „x‟ into set A .Ex: Insert(7,A) now A={1,2,3,7}
Delete (x, A): Deletes an element „x‟ from set A. Ex: Delete(3,A) now A={1,2,7}
Min (A): Returns minimum value from A . Ex: Min(A)=1.
 A Set can be implemented with the following data structures:
(a) Bit Vector
(b) Array
(c) Linked List
 Unsorted
 Sorted
Visit https://www.tutorialsduniya.com for Notes, books, programs, question papers with solutions etc.
Visit https://www.tutorialsduniya.com for Notes, books, programs, question papers with solutions etc.
DICTIONARY
A dictionary is a container of elements from a totally ordered universe that supports the basic operations of
inserting/deleting elements and searching for a given element. (OR)
Dictionary is a Dynamic-set data structure for storing items indexed using keys. It Supports operations Insert,
Search, and Delete.
Ex: hash tables are dictionaries which provide an efficient implicit realization of a dictionary. Efficient explicit
implementations include binary search trees and balanced search trees.
Dictionaries:A dictionary is a dynamic set ADT with the operations:
1. Makenull (D)
2. Insert (x, D)
3. Delete (x, D)
4. Search (x, D)
Dictionaries are useful in implementing symbol table of a compiler, text retrieval systems, database systems,
page mapping tables, Large-scale distributed systems etc.
Dictionaries can be implemented with:
1. Fixed Length arrays
2. Linked lists: sorted, unsorted, skip-lists
3. Hash Tables: open, closed
4. Trees: Binary Search Trees (BSTs), Balanced BSTs like AVL Trees, Red-Black Trees Splay Trees,
Multi way Search Trees like 2-3 Trees , B Trees,
5. Tries
 Let n be the number of elements in a dictionary D. The following is a summary of the performance of
some basic implementation methods:
. Search Delete Insert Min
Array O(n) O(n) O(n) O(n)
Sorted linked list O(n) O(n) O(n) O(1)
Unsorted linked list O(n) O(n) O(n) O(n)
 Among these, the sorted list has the best average case performance
 Arrays, sorted linked lists, unsorted linked lists all takes O(n) time for insert, delete, Search, min
operations
HASH TABLES
Necessity of Hash tables:
We can access any position of an array in constant time (i.e., in O(1)) . We think of the subscript as the key,
and the value stored in the array as the data. Given the key, we can access the data in constant time.
0 1 2 3 4 5 6 7 8 9
10 20 25 30 35 40 45 50 55 60
Visit https://www.tutorialsduniya.com for Notes, books, programs, question papers with solutions etc.
Visit https://www.tutorialsduniya.com for Notes, books, programs, question papers with solutions etc.
Generally search operation in an array takes O(n) time. But if we know the positions of each element where it
was stored (i.e., at 1st
location the element 20 was stored, at 6th
location the element 45 was stored etc..) then
we can directly access The element by moving to that position in O(1) time. This is the basic idea behind the
implementation of hash tables.
Ex 1: For example, I used an array with size 10 to store the roll no.‟s of 10 students. R.no. 1 was placed at 1st
location, R.no. 2 was placed at 2nd
location, R.no. 3 was placed at 3rd
location and so on ..
1 2 3 4 5 6 7 8 9 10
1 2 3 4 5 6 7 8 9 10
Here I can access R.no. 9 directly from the 9th
location, Rno:6 directly from 6th
location. So for accessing the
elements always it takes O(1) time. But in real cases this is not possible.
Ex 2: We have a list of employees of a fairly small company. Each of 100 employees has an ID number in the
range 0 to 99. If we store the elements (employee records) in the array, then each employee‟s ID number will
be an index to the array element where this employee‟s record will be stored. In this table an employee details
can be accessed in O(1) time.
In this case once we know the ID number of the employee, we can directly access his record through the array
index. There is a one-to-one correspondence between the element‟s key and the array index. In this an
employee details can be accessed in O(1) time.
However, in practice, this perfect relationship is not easy to establish or maintain.
Ex 3: the same company might use employee‟s five-digit ID number as the key. With 5 digits the possible
numbers are from 00000 to 99999. If we want to use the same technique as above, we need to set up an array
of size 100,000, of which only 100 elements will be used (only 100 employees are working in that company).
Visit https://www.tutorialsduniya.com for Notes, books, programs, question papers with solutions etc.
Visit https://www.tutorialsduniya.com for Notes, books, programs, question papers with solutions etc.
In the above table only 100 locations are useful. Remaining 9900 records storage is wasted. This problem can
be overcome with hash tables.
Ex 4: Sometimes companies maintain their employee numbers as alpha numeric letters. An employee ID may
be SACET555 but we can‟t use this alphanumeric as an array index So we need something which maps a
string or a large value into an array index.
HASH TABLES
(i) Hash Table is a data structure in which keys are mapped to array positions by a hash function. (Or) A
Hash Table is a data structure for storing key/value pairs This table can be searched for an item in O(1) time
using a hash function to form an address from the key.
(ii) Hash Function: Hash function is any well-defined procedure or mathematical function which converts
a large, possibly variable-sized amount of data into a small datum, usually a single integer that may serve as an
index into an array. (OR)
 Hash function is a function which maps key values to array indices. (OR)
 Hash Function is a function which, when applied to the key, produces an integer which can be
used as an address in a hash table.
 We will use h(k) for representing the hashing function
(iii) Hash Values: The values returned by a hash function are called hash values or hash codes or hash sums
or simply hashes
(iv) Hashing is the process of mapping large amount of data item to a smaller table with the help of a
hashing function.
 Hash table is an extremely effective and practical way of implementing dictionaries.
 It takes O(1) time for search, insert, and delete operations in the average case. And O(n) time in the
worst case.
 By careful design, we can make the probability that more than constant time is required to be arbitrarily
small.
 Hash Tables are two types they are: (a) Open or External (b) Closed or Internal
Visit https://www.tutorialsduniya.com for Notes, books, programs, question papers with solutions etc.
Visit https://www.tutorialsduniya.com for Notes, books, programs, question papers with solutions etc.
(c) Collisions: If x1 and x2 are two different keys, but the hash values of x1 and x2 are equal (i.e., h(x1) =
h(x2)) then it is called a collision.
Ex: Assume a hash function = h(k) = k mod 10
h(19)=19 mod 10=9
h(39)=39 mod 10=9
here h(19)=h(39) This is called collision.
Collision resolution is the most important issue in hash table implementations. To resolve the collisions two
techniques are there.
1. Open Hashing 2. Closed Hashing
Perfect Hash Function is a function which, when applied to all the members of the set of items to be stored in a
hash table, produces a unique set of integers within some suitable range. Such function produces no collisions.
Good Hash Function minimizes collisions by spreading the elements uniformly throughout the array.
There is no magic formula for the creation of the hash function. It can be any mathematical transformation that
produces a relatively random and unique distribution of values within the address space of the storage.
Although the development of a hash function is trial and error, here are some hints that may make process
easier:
 Set the size of the storage space to a prime number. This will help generate a more uniform distribution of
addresses.
 Use modulo arithmetic (%). Transform a key in such a way that you can perform X % TABLE_SIZE to
generate the addresses
 To transform a numeric key, try something like adding the digits together or picking every other digit.
 To transform a string key, try to add up the ASCII codes of the characters in the string and then perform
modulo division.
(1) Open Hashing (OR) Separate Chaining:
 In this case hash table is implemented as an array of linked lists.
 Every element of the table is a pointer to a list. The list (chain) will contain all the elements with the
same index produced by the hash function.
 In this technique the array does not hold elements but it holds the addresses of lists that were attached
to every slot.
 Each position in the array contains a Collection of values of unlimited size (we use a linked
implementation of some sort, with dynamically allocated storage).
Here we will chain all collisions in lists attached to the appropriate slot. This allows an unlimited number of
collisions to be handled and doesn't require a priori knowledge of how many elements are contained in the
collection.
The tradeoff is the same as with linked lists versus array implementations of collections: linked list overhead in
space and, to a lesser extent, in time.
Let U be the universe of keys. The Keysmaybe integers,Characterstrings, Complexbitpatterns
 B the setof hash values(alsocalledthe bucketsorbins).Let B= {0, 1,..., m - 1}where m > 0 isa positive integer.
Visit https://www.tutorialsduniya.com for Notes, books, programs, question papers with solutions etc.
Visit https://www.tutorialsduniya.com for Notes, books, programs, question papers with solutions etc.
A hashfunctionh:U B associatesbuckets(hashvalues) tokeys.
Ex: Collision Resolution by Chaining
Put all the elements that hash to the same value in a linked list. See Figure 1.1.
Example 1: See Figure 1.2. Consider the keys 0, 1, 2,4, 16, 25, 36, 49, 64, 81, 100.
Let the hash function be: h(x) = x % 7
Figure 1.2: Open hashing: An example
Here list (chain) can be a sorted list or an unsorted list. If it is sorted list then the operations are easy.
Operationsof OpenHashing or Separate Chaining:
 Search(x,T): Searchfor an elementx inthe listT[h(key(x))]
 Insert(x,T) : Insertx at the headof listT[h(key(x))]
 Delete (x,T) : Delete x fromthe listT[h(key(x))]
Visit https://www.tutorialsduniya.com for Notes, books, programs, question papers with solutions etc.
Visit https://www.tutorialsduniya.com for Notes, books, programs, question papers with solutions etc.
Searching
When it comes to search a value, the hash function is applied to the desired key K, and the array index is
produced. Then the search function accesses the list to which this array element points to. It compares the
desired key K, to the key in the first node. If it matches, then the element is found. In this case the search of the
element is on the order of 1, O(1). If not, then the function goes through the list comparing the keys. Search
continues until the element is found or the end of the list is detected. In this case the search time depends on
the length of the list.
For example, In the above list if we want to search a key 100, then find the h(100). h(100)=100%7=2. So
directly go to the 2nd
location and search the first node has the element 100 if it is not 100 then go to the next
location and check whether it is 100 do this until an element was found or last node is reached.
Algorithm for Separate chaining hashing: search
Open hashing is implemented with the following data structures
struct node
{
int k;
struct node *next;
};
struct node *r[10];
typedef struct node list;
INSERTION: To insert a value with key K, find h(K) and add K to the collection(chain) in position h(K).
Algorithm for Separate chaining Hashing: Insertion
void insert( key, r )
{
int i;
i = hashfunction( key );/*evaluates h(k)*/
if (empty(r[i])) /*** insert in main array ***/
r[i].k = key;
else /*** insert in new node ***/
r[i].next = NewNode( key, r[i].next );
}
Deletion: To delete a value with key K, find h(k) and go to the array position h(k) search the list for the
element K if it was found then remove it from the collection(chain) in position h(K). otherwise display that
“Element was not displayed”
Advantages
1) The hash table size is unlimited. In this case you don‟t need to expand the table and recreate a hash function.
2) Collision handling is simple: just insert colliding records into a list.
Disadvantages
1) As the list of collided elements (collision chains) become long, search them for a desired element begin to
take longer and longer.
2) Using pointers slows the algorithm: time required is to allocate new nodes.
Analysis of Open Hashing:
list*search( key, r )
{
list *p;
p = r[ hashfunction(key) ];
while ( p!=NULL && key!=p->k )
p = p->next;
return( p );
}
Visit https://www.tutorialsduniya.com for Notes, books, programs, question papers with solutions etc.
Visit https://www.tutorialsduniya.com for Notes, books, programs, question papers with solutions etc.
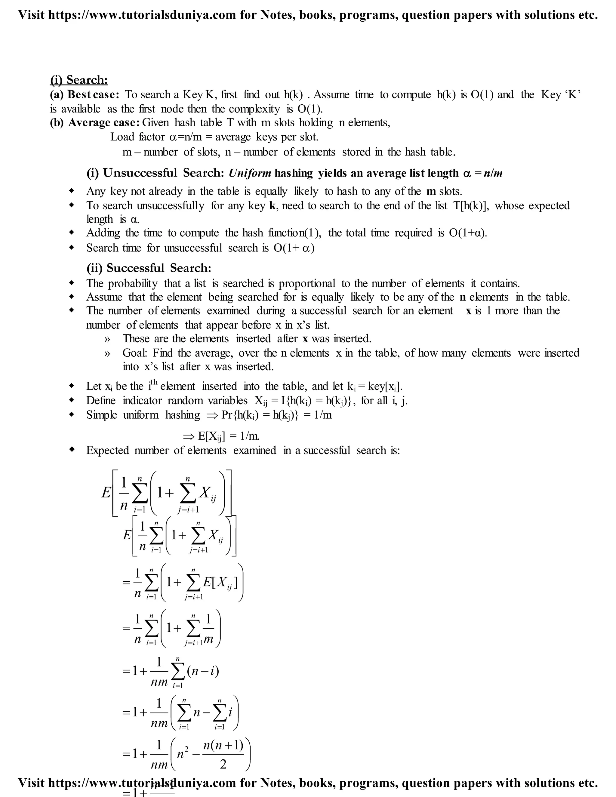
(i) Search:
(a) Best case: To search a Key K, first find out h(k) . Assume time to compute h(k) is O(1) and the Key „K‟
is available as the first node then the complexity is O(1).
(b) Average case: Given hash table T with m slots holding n elements,
Load factor =n/m = average keys per slot.
m – number of slots, n – number of elements stored in the hash table.
(i) Unsuccessful Search: Uniform hashing yields an average list length  = n/m
 Any key not already in the table is equally likely to hash to any of the m slots.
 To search unsuccessfully for any key k, need to search to the end of the list T[h(k)], whose expected
length is α.
 Adding the time to compute the hash function(1), the total time required is O(1+α).
 Search time for unsuccessful search is O(1+ )
(ii) Successful Search:
 The probability that a list is searched is proportional to the number of elements it contains.
 Assume that the element being searched for is equally likely to be any of the n elements in the table.
 The number of elements examined during a successful search for an element x is 1 more than the
number of elements that appear before x in x‟s list.
» These are the elements inserted after x was inserted.
» Goal: Find the average, over the n elements x in the table, of how many elements were inserted
into x‟s list after x was inserted.
 Let xi be the ith
element inserted into the table, and let ki = key[xi].
 Define indicator random variables Xij = I{h(ki) = h(kj)}, for all i, j.
 Simple uniform hashing  Pr{h(ki) = h(kj)} = 1/m
 E[Xij] = 1/m.
 Expected number of elements examined in a successful search is:
















  
n
i
n
ij
ijX
n
E
1 1
1
1
n
nn
n
nm
in
nm
in
nm
mn
XE
n
X
n
E
n
i
n
i
n
i
n
i
n
ij
n
i
n
ij
ij
n
i
n
ij
ij
1
2
)1(1
1
1
1
)(
1
1
1
1
1
][1
1
1
1
2
1 1
1
1 1
1 1
1 1






 












































 

 
 
 
 

 
 
 
Visit https://www.tutorialsduniya.com for Notes, books, programs, question papers with solutions etc.
Visit https://www.tutorialsduniya.com for Notes, books, programs, question papers with solutions etc.
Expected total time for a successful search = Time to compute hash function + Time to search
= O(2+/2 – /2n) = O(1+ ).
If n = O(m), then =n/m = O(m)/m = O(1).
A successful search takes expected time O(1+α).
Searching takes constant time on average.
 Insertion is O(1) in the worst case.
 Deletion takes O(1) worst-case time when lists are doubly linked.
 Hence, all dictionary operations take O(1) time on average with hash tables with chaining.
 In the average case, the running time is O(1 + ),
It is assumed that the hash value h(k) can be computed in O(1) time. If n is O(m), the average case complexity
of these operations becomes O(1) !
CLOSED HASHING (OR) OPEN ADDRESSING:
Rehashing
 Rehashing is resolving a collision by computing a new hash location (index) in the array.
 Re-hashing schemes use a second hashing operation when there is a collision. If there is a further
collision, we re-hash until an empty "slot" in the table is found.
 The re-hashing function can either be a new function or a re-application of the original one. As long as
the functions are applied to a key in the same order, then a sought key can always be located.
Closed Hashing (or) Open Addressing:
 In open addressing all elements stored in hash table itself. Each slot of a hash table contains either a
key or NIL.
 It shows the way, when collisions occur, use a systematic (consistent) procedure to store elements in
free slots of the table.
 Open addressing is the standard hash table implementation
 With open addressing, we store only one element per location, and handle collisions by storing the
extra elements in other unused locations in the array.
 To find these other locations, we fix some probe sequence that tells us where to look if A[h(x)]
contains an element that is not x.
 It is based on of resolving collisions by probing for free slots
 The hash formula determines the length and complexity of these probes.
Open addressing provides 3 different probing techniques.
1. Linear Probing
2. Quadratic Probing
3. Double Hashing
Visit https://www.tutorialsduniya.com for Notes, books, programs, question papers with solutions etc.
Visit https://www.tutorialsduniya.com for Notes, books, programs, question papers with solutions etc.
1. Linear Probing:
o In case of linear probing, we are looking for an empty spot by incrementing the offset by 1 every time.
o We explore a sequence of location until an empty one is found as follows:
It is just h(x), h(x)+1, h(x)+2, ..., wrapping around at the end of the array. The idea is that if we can't put an
element in a particular place, we just keep walking up through the array until we find an empty slot.
(a) Insertion(x,T): This operation inserts an element x into a hash table T, while inserting an element if there
is a collision it applies linear Probing.
Procedure:
 First it evaluates h(x), if h(x) location is empty, then it places x into h(x).
 If there is a collision then it applies Linear Probing and locates another slot and if this slot is empty then
it places the „x‟ into that slot, Other wise it probes to another location, this procedure is repeated until
an empty slot is found .
o If there is no empty location in hash table then insertion is not possible
Example:
0 1 2 3 4
Empty Empty Empty Empty Empty
In the above hash table with m=5 insert the following values. 54, 20,44,33,21
Insert 54:h(54)=54 mod 5 = 4 (so place 54 at 4th
location)
0 1 2 3 4
Empty Empty Empty Empty 54
Insert 20: h(20)=20 mod 5 = 0 (so place 20 at 0th
location)
0 1 2 3 4
20 Empty Empty Empty 54
Insert 44:
h(44)=44 mod 5 = 4 .(but at 4th
location already an element is existed. So apply linear probing)
h(44,1)=(h(44)+1)mod5 = (4+1)mod5 = 0 (here also collision so probe to next location.)
h(44,2)=(h(44)+2)mod5=(4+2)mod5=1 (1st
location is empty. So place 44 at 1st
location)
0 1 2 3 4
20 44 Empty Empty 54
h(x, i) = (h(x) + i) mod m
where m is the hash table size
and
i = 0, 1, 2, . . . , m-1
Visit https://www.tutorialsduniya.com for Notes, books, programs, question papers with solutions etc.
Visit https://www.tutorialsduniya.com for Notes, books, programs, question papers with solutions etc.
Insert 33: h(33)=33 mod 5= 3 (so place 33 at 3rd
location)
0 1 2 3 4
20 44 Empty 33 54
Insert 21:
h(21)=21 mod 5=1 (But at 1st
location already an element is there)
h(21,1)=(h(21)+1)mod5=(1+1)mod5= 2 (2nd
location is empty so place 21 at 2nd
position)
0 1 2 3 4
20 44 21 33 54
Algorithm for Linear Probing Hashing: Insertion
void insert( key, r[])
{ int n;
int i, last;
i = hashfunction( key ) ;/*computes h(x)*/
last = (i+m-1) % m;
while ( i!=last && !empty(r[i]) && !deleted(r[i]) && r[i]!=key )
i = (i+1) % m;
if (empty(r[i]) || deleted(r[i]))
r[i] = key; /*** insert here ***/
else Error /*** table full, or key already in table ***/;
}
(b) Search(x,T):Search operation searches for an element x in hash table „T‟ and returns
“search was successful” if the element was found. Other wise it returns “search was unsuccessful”.
Procedure:
 First evaluates h(x) and examine slot h(x). Examining a slot is known as a probe.
 If slot h(x) contains key x, the search is successful. If the slot contains NIL, the search is unsuccessful.
 There‟s a third possibility: slot h(x) contains a key that is not x.
 Compute the index of some other slot, based on x and which probe we are on.(Apply linear
probing)
 Keep probing until we either find key k or we find a slot holding NIL.
Algorithm for Linear Probing Hashing: Search
int search( key, r[] )
{
int i, last;
i = hashfunction( key ); /*computes h(x)*/
last = (i+n-1) % m;
while ( i!=last && !empty(r[i]) && r[i]!=key )
i = (i+1) % m;
if (r[i]==key) return( i );
else return( -1 );
}
(c) Delete(x,T): This operation deletes the key x from hash table „T‟
Procedure:
 First evaluates h(x) and examine slot h(x). Examining a slot is known as a probe.
Visit https://www.tutorialsduniya.com for Notes, books, programs, question papers with solutions etc.
Visit https://www.tutorialsduniya.com for Notes, books, programs, question papers with solutions etc.
 If slot h(x) contains key x, then delete the element and make that location empty. Otherwise apply
linear probing to locate the element. After linear probing also if the element was not found then display
that “Deletion is impossible because the element was not in the table”.
Advantages:
 All the elements (or pointer to the elements) are placed in contiguous storage. This will speed up the
sequential searches when collisions do occur.
 It Avoids pointers;
Disadvantages:
Linear probing suffers from primary clustering problem
 Clustering: Element tend to cluster around elements that produce collisions. As the array fills, there will
be gaps of unused locations.
Suffersfrom primaryclustering:
o Long runs of occupied sequences build up.
o Long runs tend to get longer, since an empty slot preceded by i full slots gets filled next with
probability (i+1)/m.
o Hence, average search and insertion times increase.
 As the number of collisions increases, the distance from the array index computed by the hash function
and the actual location of the element increases, increasing search time.
 The hash table has a fixed size. At some point all the elements in the array will be filled. The only
alternative at that point is to expand the table, which also means modify the hash function to
accommodate the increased address space.
2. Quadratic Probing: is a different way of rehashing. In the case of quadratic probing we are still looking
for an empty location. However, instead of incrementing offset by 1 every time, as in linear probing, we
will increment the offset by 1, 4,9, 16, ... We explore a sequence of location until an empty one is found as
follows:
(a) Insertion(x,T): This operation inserts an element x into a hash table T, while inserting an element if there
is a collision it applies Quadratic Probing.
Procedure:
 First it evaluates h(x) if h(x) location is empty, then it places x into h(x).
 If there is a collision then it applies Quadratic Probing and locates another slot and if This slot is empty
then it places the „x‟ into that slot , Other wise it probes to another location, this procedure is repeated
until an empty slot is found .
 If there is no empty location in hash table then insertion is not possible.
h(x, i) = (h(x) + i2
) mod m
where m is the hash table size
and i = 0, 1, 2, . . . , m-1
Visit https://www.tutorialsduniya.com for Notes, books, programs, question papers with solutions etc.
Visit https://www.tutorialsduniya.com for Notes, books, programs, question papers with solutions etc.
void insert( key, r[])
{ int n;
int i, last;
i = hashfunction( key ) ;/*computes h(x)*/
last = (i+m-1) % m;
while ( i!=last && !empty(r[i]) && !deleted(r[i]) && r[i]!=key )
i = (i*i+1) % m;
if (empty(r[i]) || deleted(r[i]))
r[i] = key; /*** insert here ***/
else Error /*** table full, or key already in table ***/;
}
For example consider a hash table with size 10. And insert the elements 59,18,49,58,28,21,33 into the list. (E-
indicates empty).
0 1 2 3 4 5 6 7 8 9
E E E E E E E E E E
Insert 59: h(59)=59mod 10=9 (place 59 at 9th
location
0 1 2 3 4 5 6 7 8 9
E E E E E E E E E 59
Insert 18: h(18)=18mod 10=8 (place 18 at 8th
location).
0 1 2 3 4 5 6 7 8 9
E E E E E E E E 18 59
Insert 49: h(49)=49mod 10=9 (place 49 at 9th
location. But there is a collision so apply Q.P).
h(49,T)=(h(49)+12
)mod10=(9+1)mod10=0 (Place 49 at 0th
location)
0 1 2 3 4 5 6 7 8 9
49 E E E E E E E 18 59
Insert 58: h(58)=58mod 10=8 (place 58 at 8th
location. But there is a collision so apply Q.P). h(58,T)=
(h(58)+12
)mod10=(8+1)mod10=9 (collision at 9th
loc. So apply Q.P )
h(58,T)= (h(58)+22
)mod10=(8+4)mod10=2 (Place 58 at 2nd
location).
0 1 2 3 4 5 6 7 8 9
49 E 58 E E E E E 18 59
Insert 28: h(28)=28mod 10=8 (place 28 at 8th
location. But there is a collision so apply Q.P).
h(28,T)= (h(28)+12
)mod10=(8+1)mod10=9 (collision at 9th
loc. So apply Q.P )
h(28,T)= (h(28)+22
)mod10=(8+4)mod10=2 (collision at 2nd
loc. So apply Q.P).
h(28,T)= (h(28)+32
)mod10=(8+9)mod10=7 (Place 28 at 7th
location).
0 1 2 3 4 5 6 7 8 9
49 E 58 E E E E 28 18 59
Visit https://www.tutorialsduniya.com for Notes, books, programs, question papers with solutions etc.
Visit https://www.tutorialsduniya.com for Notes, books, programs, question papers with solutions etc.
TutorialsDuniya.com
Download FREE Computer Science Notes, Programs, Projects,
Books PDF for any university student of BCA, MCA, B.Sc,
B.Tech CSE, M.Sc, M.Tech at https://www.tutorialsduniya.com
 PHP Notes
 Python Programming
 R Programming
 Software Engineering
 System Programming
 Theory of Computation
 Unix Network Programming
 Web Design & Development
 Information Security
 Internet Technologies
 Java Programming
 JavaScript & jQuery
 Machine Learning
 Microprocessor
 Operating System
 DBMS & SQL Notes
 Data Analysis & Visualization
 Data Mining
 Data Science
 Data Structures
 Deep Learning
 Digital Image Processing
 Discrete Mathematics
 Computer System Architecture  Operational Research
 Algorithms Notes
 Artificial Intelligence
 Android Programming
 C & C++ Programming
 Combinatorial Optimization
 Computer Graphics
 Computer Networks
Please Share these Notes with your Friends as well
Insert 21: h(21)=21mod 10=1(place 21 at 1st
location)
0 1 2 3 4 5 6 7 8 9
49 21 58 E E E E 28 18 59
Insert 33: h(33)=33mod 10=3(place 33 at 3rd
location)
0 1 2 3 4 5 6 7 8 9
49 21 58 33 E E E 28 18 59
(b) Search(x,T): Search operation searches for an element x in hash table „T‟ and returns “search was
successful” if the element was found. Other wise it returns “search was unsuccessful”.
Procedure:
 First evaluates h(x) and examine slot h(x). Examining a slot is known as a probe.
 If slot h(x) contains key x, the search is successful. If the slot contains NIL, the search is
unsuccessful.
 There‟s a third possibility: slot h(x) contains a key that is not x.
 Compute the index of some other slot, based on x and which probe we are on.(Apply
Quadratic probing)
 Keep probing until we either find key k or we find a slot holding NIL.
int search( key, r[] )
{
int i, last;
i = hashfunction( key ); /*computes h(x)*/
last = (i+n-1) % m;
while ( i!=last && !empty(r[i]) && r[i]!=key )
i = (i*i+1) % m;
if (r[i]==key) return( i );
else return( -1 );
}
(c) Delete(x,T): This operation deletes the key x from hash table „T‟
Procedure:
 First evaluates h(x) and examine slot h(x). Examining a slot is known as a probe.
 If slot h(x) contains key x, then delete the element and make that location empty. Otherwise apply
Quadratic probing to locate the element. After Quadratic probing also if the element was not found
then display that “Deletion is impossible because the element was not in the table”.
 Disadvantage: Can suffer from secondary clustering:
If two keys have the same initial probe position, then their probe sequences are the same.
Visit https://www.tutorialsduniya.com for Notes, books, programs, question papers with solutions etc.
Visit https://www.tutorialsduniya.com for Notes, books, programs, question papers with solutions etc.
3. Double Hashing: It uses two different hash functions
h1(x,i) = (h1(x) + i h2(x)) mod m
where h1(x) is the first hash function and h2(x) is the second hash function,
m is the hash table size, i=1,2,3,4 etc..
 Here h1 and h2 are two auxiliary hash functions. h1 gives the initial probe. h2 gives the remaining
probes.
 In This h2(x) must be a relatively prime to m, so that the probe sequence is a full permutation of 0,
1,…, m–1.
 Choose m to be a power of 2 and have h2(x) always return an odd number. Or, Let m be prime, and
have 1 < h2(x) < m.
 Suppose h1(x)=x mod m then h2 can be selected as h2(x)=(R-x mod R) where R is a prime number
nearer to m
Insert(x,T): This function inserts the key value „x‟ into hash table ‟T‟.
Procedure:
 First it evaluates h1(x) if h1(x) location is empty, then it places x into h1(x).
 If there is a collision then it applies Quadratic Probing and locates another slot and if This slot is
empty then it places the „x‟ into that, Other wise it probes to another location, this procedure is
repeated until an empty slot is found .
 If there is no empty location in hash table then insertion is not possible.
For example consider a hash table with size 10. And insert the elements 59,18,49,58, 21,33 into the list.(E-
indicates empty).
0 1 2 3 4 5 6 7 8 9
E E E E E E E E E E
Insert 59: h1(59)=59mod 10=9 (place 59 at 9th
location
0 1 2 3 4 5 6 7 8 9
E E E E E E E E E 59
Insert 18: h1(18)=18mod 10=8 (place 18 at 8th
location).
0 1 2 3 4 5 6 7 8 9
E E E E E E E E 18 59
Insert 49: h1(49)=49mod 10=9 (place 49 at 9th
location. But element is there so apply D.H).
h1(49,T)=(h1(49)+1.h2(49))mod10
Where h2(49)=R- (x mod R)=(7- 49mod 7)=7-0=7(select R as 7 which is a prime nearer to m )
h1(49,T)=(h1(49)+1.7))mod10=(9+7) mod 10=6(Place 49 at 6th
position).
0 1 2 3 4 5 6 7 8 9
E E E E E E 49 E 18 59
Visit https://www.tutorialsduniya.com for Notes, books, programs, question papers with solutions etc.
Visit https://www.tutorialsduniya.com for Notes, books, programs, question papers with solutions etc.
Insert 58: h1(58)=58 mod 10=8 (place 58 at 8th
location. But there is a collision so apply D.H). h1(58,T)=
(h1(58)+1.h2(58))mod10
Where h2(58)= R- (x mod R)=(7- 58mod 7)=7-2=5
h1(58,T)=(h1(58)+1.5))mod10=(8+5) mod 10=3(Place 58 at 3rd
position.)
0 1 2 3 4 5 6 7 8 9
E E E 58 E E 49 E 18 59
Insert 21: h(21)=21mod 10=1(place 21 at 1st
location)
0 1 2 3 4 5 6 7 8 9
E 21 E 58 E E 49 E 18 59
Algorithm for Double Hashing: Insertion
void insert( key, r )
{
int i, inc, last;
i = hash1(key) ;
inc = hash2(key);
last = (i+(m-1)*inc) % m;
while ( i!=last && !empty(r[i]) && !deleted(r[i]) && r[i]!=key )
i = (i+inc) % m;
if ( empty(r[i]) || deleted(r[i]) )
{
/*** insert here ***/
r[i] = key;
n++;
}
else Error /*** table full, or key already in table ***/;
}
//Where hash1 (key) isthe first hash function,hash2(key) isthe second hash function.
(b) Search(x,T): Search operation searches for an element x in hash table „T‟ and returns “search was
successful” if the element was found. Other wise it returns “search was unsuccessful”.
Procedure:
 First evaluates h1(x) and examine slot h1(x). Examining a slot is known as a probe.
 If slot h1(x) contains key x, the search is successful. If the slot contains NIL, the search is unsuccessful.
 There‟s a third possibility: slot h1(x) contains a key that is not x.
 Compute the index of some other slot, based on x and which probe we are on. (Apply Double hashing)
 Keep probing until we either find key k or we find a slot holding NIL.
Visit https://www.tutorialsduniya.com for Notes, books, programs, question papers with solutions etc.
Visit https://www.tutorialsduniya.com for Notes, books, programs, question papers with solutions etc.
Algorithm for Double Hashing: Search
int search( key, r )
{ int i, inc, last;
i = hash1( key ) ;
inc = hash2( key );
last = (i+(n-1)*inc) % m;
while ( i!=last && !empty(r[i]) && r[i]!=key )
i = (i+inc) % m;
if (r[i]==key) return( i );
else return( -1 );
}
//Where hash1 (key) isthe first hash function,hash2(key) isthe second hash function
(c) Delete(x,T): This operation deletes the key x from hash table „T‟
Procedure:
 First compute h1(x) value and examine slot h1(x). Examining a slot is known as a probe.
 If slot h1(x) contains key x, then delete the element and make that location empty. Otherwise apply
Double Hashing to locate the element. After probing also if the element was not found then display
that “Deletion is impossible because the element was not in the table”.
Advantages: Distributes keys more uniformly than linear probing
A Comparison of Rehashing Methods
m distinctprobe Primaryclustering
sequences
m distinctprobe No primaryclustering;
sequences but secondaryclustering
m2
distinctprobe No primaryclustering
sequences No secondaryclustering
Visit https://www.tutorialsduniya.com for Notes, books, programs, question papers with solutions etc.
Visit https://www.tutorialsduniya.com for Notes, books, programs, question papers with solutions etc.
HASHING FUNCTIONS
Choosing a good hashing function, h(k), is essential for hash-table based searching. h should distribute the
elements of our collection as uniformly as possible to the "slots" of the hash table. The key criterion is that
there should be a minimum number of collisions.
If the probability that a key, k, occurs in our collection is P(k), then if there are m slots in our hash table,
a uniform hashing function, h(k), would ensure:
Sometimes, this is easy to ensure. For example, if the keys are randomly distributed in (0,r], then,
h(k) = floor((mk)/r) will provide uniform hashing.
Mapping keys to natural numbers
Most hashing functions will first map the keys to some set of natural numbers, say (0,r]. There are many ways
to do this, for example if the key is a string of ASCII characters, we can simply add the ASCII representations
of the characters mod 255 to produce a number in (0,255) - or we could xor them, or we could add them in
pairs mod 216
-1, or ...
Having mapped the keys to a set of natural numbers, we then have a number of possibilities.
1. MOD FUNCTION:
h(k) = k mod m.
When using this method, we usually avoid certain values of m. Powers of 2 are usually avoided, for k mod
2b
simply selects the b low order bits of k. Unless we know that all the 2b
possible values of the lower order
bits are equally likely, this will not be a good choice, because some bits of the key are not used in the hash
function.
Prime numbers which are close to powers of 2 seem to be generally good choices for m.
For example, if we have 4000 elements, and we have chosen an overflow table organization, but wish to have
the probability of collisions quite low, then we might choose m = 4093. (4093 is the largest prime less than
4096 = 212
.)
2. MULTIPLICATION METHOD:
o Multiply the key by a constant A, 0 < A < 1,
o Extract the fractional part of the product,
o Multiply this value by m.
Thus the hash function is:
h(k) = floor(m * (kA - floor(kA)))
In this case, the value of m is not critical and we typically choose a power of 2 so that we can get the following
efficient procedure on most digital computers:
o Choose m = 2p
.
Visit https://www.tutorialsduniya.com for Notes, books, programs, question papers with solutions etc.
Visit https://www.tutorialsduniya.com for Notes, books, programs, question papers with solutions etc.
o Multiply the w bits of k by floor(A * 2w
) to obtain a 2w bit product.
o Extract the p most significant bits of the lower half of this product.
It seems that: A = (sqrt(5)-1)/2 = 0.6180339887 is a good choice (see Knuth, "Sorting and Searching", v. 3 of
"The Art of Computer Programming").
3. UNIVERSAL HASHING
This involves choosing a hash function randomly in a way that is independent of the keys that are actually
going to be stored. We select the hash function at random from a carefully designed class of functions.
 Let Φ be a finite collection of hash functions that map a given universe U of keys into the range {0, 1,
2,..., m - 1}.
 Φ is called universal if for each pair of distinct keys x, y Є U, the number of hash functions h Є Φ for
which h(x) = h(y) is precisely equal to
 With a function randomly chosen from Φ, the chance of a collision between x and y where x ≠ y is
exactly 1/m.
Example of a universal class of hash functions:
Let table size m be prime. Decompose a key x into r +1 bytes. (i.e., characters or fixed-width binary strings).
Thus
x = (x0, x1,..., xr)
Assume that the maximum value of a byte to be less than m.
Let a = (a0, a1,..., ar) denote a sequence of r + 1 elements chosen randomly from the set {0, 1,..., m - 1}. Define
a hash function ha Є Φ by
ha(x) = aixi mod m
With this definition, Φ = {ha} can be shown to be universal. Note that it has mr + 1
members.
SKIP LISTS
The worst case search time for a sorted linked list is O(n), as we can only traverse the list and cannot skip
nodes while searching. For a balanced binary search tree, we skip almost half of the nodes after one
comparison with root. For a sorted array, we have a random access and we apply binary search on arrays.
Can we augment sorted linked list to make the search faster? The answer is “skip list”.
The idea is simple; we create multiple layers so that we can skip some nodes. See the example with 16 nodes,
and two layers. The upper layer works as “Express lane” which connects only to main outer stations and the
lower layer works as an “Normal Lane” which connects every station. Suppose if we want to search for a key it
is carried out as follows:
We start from the first node of the express lane, and keep moving on express lane till we find a node whose
next is greater than key. Once we find such a node on the express lane, we move to normal lane and linearly
search for key on the normal lane‟
Visit https://www.tutorialsduniya.com for Notes, books, programs, question papers with solutions etc.
Visit https://www.tutorialsduniya.com for Notes, books, programs, question papers with solutions etc.
ANALYSIS: What is the complexity with two layers?
The worst case complexity is the number of nodes on “express lane” plus the number of nodes in a segment.
Here a segment is number of nodes between two “express lane” nodes. So if we have “n” nodes on the normal
lane, we have square root(n) nodes on express lane;
n=16 (nodes on normal lane), square root(n) = 4 (nodes on express lane)
We equally divide the normal lane, then there will be square root(n) nodes in every segment of “normal lane”.
Square root(n) is actually optimal division with two layers. With this arrangement, the number of nodes
traversed for a search will be O(square root(n))
Can we do better?
The time complexity of skip list can be reduced further by adding more layers. In fact, time complexity of
insert, delete, and search can be O(logn).
Skip List is a probabilistic alternative to balanced trees.
 Skip lists use probabilistic balancing rather than strictly enforced balancing.
 Although skip lists have bad worst-case performance, no input sequence consistently produces the
worst-case performance (like quicksort).
 It is very unlikely that a skip list will be significantly unbalanced. For example, in a dictionary of more
than 250 elements, the chance is that a search will take more than 3 times the expected time ≤ 10-6
.
 Skip lists have balance properties similar to that of search trees built by random insertions, yet do not
require insertions to be random.
Figure 1.4: A singly linked list
Consider a singly linked list as in Figure 1.4. We might need to examine every node of the list when searching
a singly linked list.
Figure 1.5 is a sorted list where every other node has an additional pointer, to the node two ahead of it in the
list. Here we have to examine no more than +1 nodes.
Figure 1.5: Every other node has an additional pointer
Visit https://www.tutorialsduniya.com for Notes, books, programs, question papers with solutions etc.
Visit https://www.tutorialsduniya.com for Notes, books, programs, question papers with solutions etc.
Figure 1.6: Every second node has a pointer two ahead of it
In the list of Figure 1.6, every second node has a pointer two ahead of it; every fourth node has a pointer four
ahead if it. Here we need to examine no more than + 2 nodes.
In Figure 1.7, (every (2i
)th
node has a pointer (2i
) node ahead (i = 1, 2,...); then the number of nodes to be
examined can be reduced to log2n while only doubling the number of pointers.
Figure 1.7: Every (2i
)th
node has a pointer to a node (2i
) nodes ahead (i = 1, 2,...)
Figure 1.8: A skip list
 A node that has k forward pointers is called a level k node. If every (2i
)th
node has a pointer (2i
) nodes
ahead, then
# of level 1 nodes 50 %
# of level 2 nodes 25 %
# of level 3 nodes 12.5 %
 Such a data structure can be used for fast searching but insertions and deletions will be extremely
cumbersome, since levels of nodes will have to change.
Visit https://www.tutorialsduniya.com for Notes, books, programs, question papers with solutions etc.
Visit https://www.tutorialsduniya.com for Notes, books, programs, question papers with solutions etc.
 What would happen if the levels of nodes were randomly chosen but in the same proportions (Figure
1.8)?
o level of a node is chosen randomly when the node is inserted
o A node's ith
pointer, instead of pointing to a node that is 2i - 1
nodes ahead, points to the next
node of level i or higher.
o In this case, insertions and deletions will not change the level of any node.
o Some arrangements of levels would give poor execution times but it can be shown that such
arrangements are rare.
Such a linked representation is called a skip list.
 Each element is represented by a node the level of which is chosen randomly when the node is inserted,
without regard for the number of elements in the data structure.
 A level i node has i forward pointers, indexed 1 through i. There is no need to store the level of a node
in the node.
 Maxlevel is the maximum number of levels in a node.
o Level of a list = Maxlevel
o Level of empty list = 1
o Level of header = Maxlevel
Initialization:
An element NIL is allocated and given a key greater than any legal key. All levels of all lists are terminated with NIL. A
new list is initialized so that the level of list = maxlevel and all forward pointers of the list's header point to NIL.
Search:
We search for an element by traversing forward pointers that do not overshoot the node containing the element
being searched for. When no more progress can be made at the current level of forward pointers, the search
moves down to the next level. When we can make no more progress at level 1, we must be immediately in
front of the node that contains the desired element (if it is in the list).
Insertion and Deletion:
 Insertionanddeletionare throughsearchandsplice
 update [i] contains a pointer to the rightmost node of level i or higher that is to the left of the location of
insertion or deletion.
 If an insertion generates a node with a level greater than the previous maximum level, we update the
maximum level and initialize appropriate portions of update list.
 Aftera deletion,we checktosee if we have deletedthe maximumlevel element of the list and if so, decrease
the maximum level of the list.
 Figure 1.9 providesanexample of InsertandDelete.The pseudo code forInsertandDelete isshownbelow.
search (list,searchkey)
{ x = list  header; for (i = list  level; i >= 1; i - -) {
while (x forward[i]  key < searchkey)
x = x  forward[i];
}
x = x  forward[i];
if (x  key = searchkey) return (true)
else return false;
}
Visit https://www.tutorialsduniya.com for Notes, books, programs, question papers with solutions etc.
Visit https://www.tutorialsduniya.com for Notes, books, programs, question papers with solutions etc.
Figure 1.9: A skip list
insert (list, searchkey);
{ x = list  header ;
for (i = list  level; i ≥ 1; i - -) {
while (x  forward[i]  key < searchkey)
x = x  forward[i];
update[i] = x
}
x = x  forward[1];
if (x  key = searchkey) return (``key already present'')
else {
newLevel = randomLevel( );
if newLevel > list  level {
for (i = list  level + 1; i ≤ newLevel; i ++ )
update[i] = list  header;
}
x = makenode(newLevel, searchkey);
for (i = 1, i ≤ newLevel; i++) {
x  forward[i] = update[i]  forward[i];
update[i]  forward[i] = x
}
}}
Visit https://www.tutorialsduniya.com for Notes, books, programs, question papers with solutions etc.
Visit https://www.tutorialsduniya.com for Notes, books, programs, question papers with solutions etc.
delete (list, searchkey);
{ x = list  header ;
for (i = list  level; i ≥ 1; i - ) {
while (x  forward[i]  key <searchkey)
x = x  forward[i];
update[i] = x
}
x = x  forward[1];
if (x  key = searchkey) {
for (i = 1; i ≤ list  level; i ++) {
if (update[i]  forward[i] ≠ x) break;
if (update[i]  forward[i] = x forward[i];
}
free(x)
while (( list  1) && (list  header  forward [list+level] = NIL))
list  level = list  level – 1
Analysis of Skip Lists
In a skip list of 16 elements, we may have
 9 elements at level 1
 3 elements at level 2
 3 elements at level 3
 1 element at level 6
 One important question is:
Where do we start our search? Analysis shows we should start from level L(n) where
L(n) = log2n
In general if p is the probability fraction,
L(n) = log n
where p is the fraction of the nodes with level i pointers which also have level (i + 1) pointers.
 However, starting at the highest level does not alter the efficiency in a significant way.
 Another important question to ask is:
What should be MaxLevel? A good choice is
MaxLevel = L(N) = log N
where N is an upper bound on the number of elements is a skip list.
 Complexity of search, delete, insert is dominated by the time required to search for the appropriate
element. This in turn is proportional to the length of the search path. This is determined by the
pattern in which elements with different levels appear as we traverse the list.
 Insert and delete involve additional cost proportional to the level of the node being inserted or
deleted.
Visit https://www.tutorialsduniya.com for Notes, books, programs, question papers with solutions etc.
Visit https://www.tutorialsduniya.com for Notes, books, programs, question papers with solutions etc.
UNIT-2
BALANCED TREES
Consider the following binary search tree
In this BST
Locating 7 takes 1 comparison
Locating 10 takes 2 comparisons
Locating 3 takes 3 comparisons
Locating 52 takes 7 comparisons
In this tree to locate nth element „n‟ comparisons are
required.
 So the search effect for this particular BST is O(n).
 These types of trees are said to be as unbalanced trees.
 With the same elements consider another tree
In this BST
 Locating 20 requires 1 comparison
 Locating 10,24 requires 2 comparisons
 Locating 7,12,23,52 requires 3 comparisons
 The maximum search effort of this tree is 3 i.e., the search effort is O(log n). These
types of trees are called balanced trees.
 In the above mentioned trees, when compared to unbalanced trees, in a balanced tree
the number of comparisons are reduced from „7‟ to „3‟.
 For a completely unbalanced tree with 1000 nodes, the worst case comparisons are
1000, whereas the worst case comparisons for a balanced tree with 1000 nodes will be
around 10.
DEFINITION (1): An empty tree is height balanced.
If „T‟ is a non-empty binary tree with TL and TR as its left and right sub trees respectively,
then „T‟ is height balanced if and only if
(1) TL and TR are height balanced and
(2) |hL-hR| 1, where hL and hR are the heights of left sub tree (TL) and right sub tree (TR)
respectively.
DEFINITION (2): Balanced trees are trees whose height in the worst case is O(logn) and
for which the operations INSERT, DELETE and SEARCH can be implemented in O(logn) time.
Visit https://www.tutorialsduniya.com for Notes, books, programs, question papers with solutions etc.
Visit https://www.tutorialsduniya.com for Notes, books, programs, question papers with solutions etc.
 There exist over one hundred types of balanced search trees. Some of the more
common types are: AVL trees, 2-3 trees, red-black trees, Splay trees, B-trees etc.
HEIGHT: For all trees the heights are considered from leaf nodes. For the leaf nodes height
is 1 and for their parents the height is 2 and so on.
In figure 1, h(4)=3, h(3)=1, h(7)=2, h(9)=1.
6, 9, 3 are leaf nodes so height is 1.
Figure 1
AVL TREE DEFINITION: An AVL tree is a binary search tree in which:
1. The heights of the right sub tree and left sub tree of the root differ by at most 1.
2. The left sub tree and right sub tree are themselves AVL trees.
Maximum depth of AVL tree with „n‟ nodes is O(logn).
AVL TREES
 In 1962 Adelson-Velskii and Landis introduced a balanced binary tree with respect to the
heights of sub trees.
 An AVL tree is a height balanced binary search tree.
 Because of its balanced nature insertion, deletion, search operation for an AVL tree of „n‟
nodes takes only O(logn) time.
AVL TREE BALANCE FACTOR
 The balance factor of a node ‟T‟ in a binary tree is defined to be hL-hR, where hL and hR
are heights of left and right sub trees of „T‟, i.e., BF(T) = hL-hR.
 For any node in an AVL tree, the balance factor should be either -1 or 0 or 1.
Examples of AVL Trees
 In this tree for node 4, there is no left & right sub trees, so BF(4)=0-0=0
 For node 7 only left sub tree is there, so BF(7)=hL-hR=1-0 =1 (height of
node 4 is 1)
 The BF(4), BF(7) both are in range -1,0,1. So this tree is an AVL tree.
In this example: h(8)=1, h(12)=1, h(10)=2, h(7)=3, h(4)=1.
BF(8)=0-0=0 (Because no left & right sub trees)
BF(12)=0-0=0 (Because no left & right sub trees)
BF(10)=h(8)-h(12)=1-1=0
BF(4)=0-0=0 (Because no left & right sub trees)
BF(7)=h(4)-h(10)=1-2=-1
All balance factors are in the range -1,0,1. So this is also an AVL tree.
Visit https://www.tutorialsduniya.com for Notes, books, programs, question papers with solutions etc.
Visit https://www.tutorialsduniya.com for Notes, books, programs, question papers with solutions etc.
NON-AVL TREES
This tree is not an AVL tree.
h(11)=1, h(12)=2, h(10)=3, h(7)=4, h(8)=1, h(4)=1.
BF(11)=0-0=0 (no left & right sub trees)
BF(12)=1-0=1 (only left sub tree with height 1)
BF(8)=0-0=0 (no left & right sub trees)
BF(10)=h(8)-h(12)=1-2=-1
BF(4)=0-0=0 (no left & right sub trees)
BF(7)=h(4)-h(10)=1-3=-2
The root node has a balance factor of -2, but in AVL tree every node should have BF of 0, -1
or 1. So this is not an AVL tree.
This is not an AVL tree because the root has a BF of 2.
NOTE
 Balance Factor -1 indicates the left sub tree height is less than right sub tree.
 Balance Factor 1 indicates right sub tree height is less than left sub tree.
 Balance Factor 0 indicates that left and right sub trees height are equal.
(or)
BF(n)= + indicates left sub tree is heavier.
BF(n)= - indicates right sub tree is heavier.
BF(n)= 0 indicates balanced.
OPERATIONS ON AVL TREE
We can apply 3 operations on AVL tree. They are:
(a) Insert(X,T): Insert an element „X‟ into „T‟.
(b) Delete(X,T): Delete an element „X‟ from „T‟.
(c) Search(X,T): Search and locate the element „X‟ in „T‟.
INSERTIONS AND DELETIONS ON AVL TREES
Insertion: Inserting an element into an AVL tree is similar to inserting an element into
binary search tree.
 Insert a node at leaf level and if the element to be inserted is less than root node, insert
this element in the left sub tree otherwise insert the element in the right sub tree.
 Apply this rule recursively for all nodes in the tree.
Visit https://www.tutorialsduniya.com for Notes, books, programs, question papers with solutions etc.
Visit https://www.tutorialsduniya.com for Notes, books, programs, question papers with solutions etc.
In this tree we want to insert „15‟. 15 is greater than 7 so it will be inserted in
the right sub tree of root and „15‟ is less than „16‟ so it is inserted in left sub
tree of 16, but it is greater than 10, so 15 is inserted as the right child of 10.
 In AVL tree & Binary Search Tree the insertion procedure is same.
 When an insertion operation is applied to an AVL tree, we need to update all the
balancing information for the nodes on the path back to the root.
 As we follow the path up to the root and update the balancing information, we may find
a node whose new balance may violate the AVL condition.
 When the AVL condition is violated, the tree is no more an AVL tree. So we have to
rebalance the tree such that AVL condition is preserved.
 The technique that is used to rebalance the AVL tree is either performing 1) Single
rotation or (2) Double rotation.
 Let us call the node that must be rebalanced as „ ‟.
 Since any node has at most two children, and a height imbalance requires that ‟s two
sub trees height differ by two, it is easy to see that violation may occur in 4 cases:
1. An insertion into the left sub tree of the left child of .
2. An insertion into the right sub tree of the right child of .
3. An insertion into the left sub tree of the right child of .
4. An insertion into the right sub tree of the left child of .
 The cases 1, 2 in which the insertion occurs on the “outside” (i.e., left-left, right-right) is
fixed by a single rotation of the tree.
 The cases 3, 4 in which the insertion occurs on the “inside” (i.e., left-right, right-left) is
fixed by double rotation.
SINGLE ROTATION (LEFT – LEFT)
Before After
Visit https://www.tutorialsduniya.com for Notes, books, programs, question papers with solutions etc.
Visit https://www.tutorialsduniya.com for Notes, books, programs, question papers with solutions etc.
AVL trees (Single Rotation-LL)
 In this diagram the property of an AVL tree is violated at node „k2‟
(BF=2).
 This was because a node is inserted at the sub tree of „X‟
 The node was inserted to the left child of k2 (i.e., k1). For k1
again in the left sub tree. So this problem is called as „LL‟ and it
can be fixed by single rotation.
 Before rotation the relationships among all the values in the tree
are
k1<k2, X<k1, Y>k1, Z>k2
X<k2, Y<k2
After Rotation
 After rotation also all the above relationships are preserved.
 („Z‟ is in same position.
„k2‟ becomes as right child of k1.
„Y‟ becomes as left child of k2.
„X‟ is in same position)
Example 1: 9,7,6
 Because of adding „6‟ AVL property is violated at „9‟.
 6 was inserted to the left child of „9‟ (i.e., 7) and for „7‟
also in left sub tree. So apply LL rotation.
Set k2->left=k1->right
K1->right=k2.
K1->left, K2->right remains in same position.
SINGLE ROTATION (RIGHT - RIGHT)
Before After
Visit https://www.tutorialsduniya.com for Notes, books, programs, question papers with solutions etc.
Visit https://www.tutorialsduniya.com for Notes, books, programs, question papers with solutions etc.
TutorialsDuniya.com
Download FREE Computer Science Notes, Programs, Projects,
Books PDF for any university student of BCA, MCA, B.Sc,
B.Tech CSE, M.Sc, M.Tech at https://www.tutorialsduniya.com
 PHP Notes
 Python Programming
 R Programming
 Software Engineering
 System Programming
 Theory of Computation
 Unix Network Programming
 Web Design & Development
 Information Security
 Internet Technologies
 Java Programming
 JavaScript & jQuery
 Machine Learning
 Microprocessor
 Operating System
 DBMS & SQL Notes
 Data Analysis & Visualization
 Data Mining
 Data Science
 Data Structures
 Deep Learning
 Digital Image Processing
 Discrete Mathematics
 Computer System Architecture  Operational Research
 Algorithms Notes
 Artificial Intelligence
 Android Programming
 C & C++ Programming
 Combinatorial Optimization
 Computer Graphics
 Computer Networks
Please Share these Notes with your Friends as well
 In this tree, because of inserting a node in ‟Z‟ sub tree the AVL
property is violated at node k1.
 For node k1 the insertion is made to its right child „k2‟. For „k2‟
again the insertion is made in its right sub tree.
 This problem is called as „RR‟ and fixed by single rotation.
X<k1, k1<k2, Y<k2, Z>k1, Y>k1, Z>k2.
 After rotation, all the above relationships are preserved.
 k1‟s left child position and k2‟s right child position are not changed.
 k2‟s left child becomes as k1‟s right child.
 „k1‟ becomes as k2‟s left child.
Set: k1->right=k2->left; K2->left=k1
Insert the following elements into an AVL tree: 3,2,1,4,5,6,7
It is not an AVL tree. AVL property is violated at node „3‟
because of insertion of ‟1‟
For „3‟, ‟1‟ is inserted in LL position.
So apply LL rotation.
In this tree, 2 nodes are there
with BF=-2. But consider the
node from leaf, „3‟ (i.e., near to
leaf level). Insertion was made
in RR position.
Visit https://www.tutorialsduniya.com for Notes, books, programs, question papers with solutions etc.
Visit https://www.tutorialsduniya.com for Notes, books, programs, question papers with solutions etc.
At node „2‟ the AVL property was violated. For
node „2‟ the insertion is made at RR position.
DOUBLE ROTATION
Assume „ ‟ is a node that is not satisfying the AVL property (i.e., the BF is not 0, 1, or -1)
because of the following insertions:
1. An insertion into the right sub tree of the left child .
2. An insertion into the left sub tree of the right child of .
We can fix these two cases with double rotation.
LEFT-RIGHT (LR Rotation)
Before After
Visit https://www.tutorialsduniya.com for Notes, books, programs, question papers with solutions etc.
Visit https://www.tutorialsduniya.com for Notes, books, programs, question papers with solutions etc.
This tree is balanced. But if we insert the child for k2 (i.e., either
„B‟ or „C‟) then the tree become unbalanced at node k3.
 Here the insertion was made to left child of k3 (i.e., k1)
and for k1 the insertion was made in right sub tree. So it is called
LR imbalance and fixed by double rotation.
 Before rotation the relationship among all elements in the
tree are (all these should be preserved after rotation also):
k1<k3,
k1<k2
k2>k1,
k2<k3
k3>k1,
k3>k2
A<k1
B<k2,
B>k1
C>k2,
C<k3
After rotation also the relations must be preserved.
 The positions of „A‟ and „D‟ are not changed
 „B‟ becomes as left child of k1 (B>k1)
 „C‟ becomes as left child of k3 (C<k3)
 K2 becomes as parent.
 K1 becomes as left child of k2. (k1<k2).
 K3 becomes as right child of k2. (k3>k2).
Set:
k1->right=k2->left;
k3->left=k2->right;
k2->left=k1;
k2->right k3.
RIGHT-LEFT (RL Rotation)
Before After
This tree is balanced. But if we insert a child to k2 (i.e., B or C) then the AVL
property is violated at node k1).
Visit https://www.tutorialsduniya.com for Notes, books, programs, question papers with solutions etc.
Visit https://www.tutorialsduniya.com for Notes, books, programs, question papers with solutions etc.
In this tree the insertion was made to right child of k1 (i.e., k3)
and for k3 the insert was made in left sub tree. So it is called RL
imbalance.
 Before rotation the relationships among all elements of the tree are:
k1<k3 k2<k3 k3>k1 B<k2 C>k2
k1<k2 k2>k1 k3>k2 B>k1 C>k1
B<k3 C<k3
 k2‟s children will be adjusted as child for k1 and k3.
 After rotation also all these conditions should be preserved.
 k1‟s left child „A‟, k3‟s right child „D‟ will remain in the
same position.
 B becomes as right child of k1 as B>k1.
 C becomes as left child of k3 as C<k3.
 k1 becomes as k2‟s left child.
 k3 becomes as k2‟s right child.
k3->left=k2->right;
k1->right=k2->left;
k2->left=k1;
k2->right= k3;
Example:
Visit https://www.tutorialsduniya.com for Notes, books, programs, question papers with solutions etc.
Visit https://www.tutorialsduniya.com for Notes, books, programs, question papers with solutions etc.
Visit https://www.tutorialsduniya.com for Notes, books, programs, question papers with solutions etc.
Visit https://www.tutorialsduniya.com for Notes, books, programs, question papers with solutions etc.
Visit https://www.tutorialsduniya.com for Notes, books, programs, question papers with solutions etc.
Visit https://www.tutorialsduniya.com for Notes, books, programs, question papers with solutions etc.
AVL TREE ALGORITHMS
Algorithm AVLInsert(root, newdata)
if(tree empty)
insert newdata at root
else if(newdata<root)
AVLInsert(left subtree,newdata)
if(left subtree taller)
leftBalance(root)
end if
else
AVLInsert(right subtree,newdata)
if(right subtree taller)
rightBalance(root)
end if
end if
return root
end AVLInsert
Algorithm leftBalance(root)
if(left subtree high) //Single rotation
rotateRight(root)
else //Double rotation
rotateLeft(left subtree)
rotateRight(root)
end if
end leftBalance
Visit https://www.tutorialsduniya.com for Notes, books, programs, question papers with solutions etc.
Visit https://www.tutorialsduniya.com for Notes, books, programs, question papers with solutions etc.
Algorithm rightBalance(root)
if(right subtree high) //Single rotation
rotateLeft(root)
else //Double rotation
rotateRight(right subtree)
rotateLeft(root)
end if
end rightBalance
Algorithm rotateRight(root)
exchange left subtree with right subtree of left subtree
make left subtree new root
end rotateRight
Algorithm rotateLeft(root)
exchange right subtree with left subtree of right subtree
make right subtree new root
end rotateLeft
Algorithm AVLDelete(root,dltkey)
//This algorithm deletes a node from AVL Tree and rebalances if necessary
if(subtree empty)
return NULL
end if
if(dltkey<root)
set left subtree to AVLDelete(left subtree,dltkey)
if(tree shorter)
set root to deleteRightBalance(root)
end if
else if(dltkey>root)
set right subtree to AVLDelete(right subtree,dltkey)
if(tree shorter)
set root to deleteLeftBalance(root)
end if
else
save root
if(no right subtree)
return left subtree
else if(no left subtree)
Visit https://www.tutorialsduniya.com for Notes, books, programs, question papers with solutions etc.
Visit https://www.tutorialsduniya.com for Notes, books, programs, question papers with solutions etc.
return right subtree
else
find largest node on left subtree
save largest key
copy data in largest to root
set left subtree to AVLDelete(left subtree,largest key)
if(tree shorter)
set root to deleteRightBalance(root)
end if
end if
end if
return root
end AVLDelete
Algorithm deleteRightBalance(root)
//The [sub]tree is shorter after a deletion on the left branch
if(tree not balanced)
set rightofRight to right subtree
if(rightofRight left high) //Double rotation required
set leftofRight to left subtree of rightofRight
//Rotate right then left
right subtree=rotateRight(rightofRight)
root=rotateLeft(root)
else //Single rotation required
set root to rotateLeft(root)
end if
end if
return root
End deleteRightBalance
AVL TREE DELETION
 The deletion operation in AVL tree is similar to deletion in BST, except that after deletion
if AVL tree is unbalanced make that as balanced tree either by single or double rotation.
 Three possibilities for deletion:
(1) Assume the element to be deleted is „x‟
(a) If „x‟ is a leaf node then remove „x‟. If the tree is unbalanced make it balanced.
(b) If „x‟ has only one child then make parent of „x‟ parent for its child and remove x.
(c) If „x‟ has two children then consider any one of the following possibilities:
(i) Take the smallest value from the right sub tree. Let it occupy the position
of „x‟ and remove it from right sub tree.
Visit https://www.tutorialsduniya.com for Notes, books, programs, question papers with solutions etc.
Visit https://www.tutorialsduniya.com for Notes, books, programs, question papers with solutions etc.
(ii) Take the largest value from the left sub tree. Let it occupy the position of
„x‟ and remove it from left sub tree.
 After deleting the element check the balance factor from the node where deletion was
applied to root and if any unbalances are there fix them by rotations.
Rotation Free Deletion
 Some deletions do not require any rotation. Because after deletion also the tree
preserves AVL property.
 Previously the two sub trees have same height. But after deletion the height of sub trees
will differ by „1‟. So there will be no problem.
Visit https://www.tutorialsduniya.com for Notes, books, programs, question papers with solutions etc.
Visit https://www.tutorialsduniya.com for Notes, books, programs, question papers with solutions etc.
Visit https://www.tutorialsduniya.com for Notes, books, programs, question papers with solutions etc.
Visit https://www.tutorialsduniya.com for Notes, books, programs, question papers with solutions etc.
Visit https://www.tutorialsduniya.com for Notes, books, programs, question papers with solutions etc.
Visit https://www.tutorialsduniya.com for Notes, books, programs, question papers with solutions etc.
Visit https://www.tutorialsduniya.com for Notes, books, programs, question papers with solutions etc.
Visit https://www.tutorialsduniya.com for Notes, books, programs, question papers with solutions etc.
Visit https://www.tutorialsduniya.com for Notes, books, programs, question papers with solutions etc.
Visit https://www.tutorialsduniya.com for Notes, books, programs, question papers with solutions etc.
Maximum Height of an AVL Tree
 The height of an AVL tree „T‟ storing „n‟ keys is O(logn).
 Assume n(h) is the minimum number of nodes in an AVL tree of height „h‟.
 An AVL tree of height „h‟ contains:
(a) A root node of height „h‟.
(b) One AVL sub tree of height h-1 and the other AVL sub tree of height h-1 or h-2.
Visit https://www.tutorialsduniya.com for Notes, books, programs, question papers with solutions etc.
Visit https://www.tutorialsduniya.com for Notes, books, programs, question papers with solutions etc.
TutorialsDuniya.com
Download FREE Computer Science Notes, Programs, Projects,
Books PDF for any university student of BCA, MCA, B.Sc,
B.Tech CSE, M.Sc, M.Tech at https://www.tutorialsduniya.com
 PHP Notes
 Python Programming
 R Programming
 Software Engineering
 System Programming
 Theory of Computation
 Unix Network Programming
 Web Design & Development
 Information Security
 Internet Technologies
 Java Programming
 JavaScript & jQuery
 Machine Learning
 Microprocessor
 Operating System
 DBMS & SQL Notes
 Data Analysis & Visualization
 Data Mining
 Data Science
 Data Structures
 Deep Learning
 Digital Image Processing
 Discrete Mathematics
 Computer System Architecture  Operational Research
 Algorithms Notes
 Artificial Intelligence
 Android Programming
 C & C++ Programming
 Combinatorial Optimization
 Computer Graphics
 Computer Networks
Please Share these Notes with your Friends as well
So n(h) can be defined as, n(h)=1+n(h-1)+n(h-2)
where, n(h) - no. of nodes in a tree, n(h-1) - no. of nodes in left sub tree,
n(h-2) - no. of nodes in right sub tree, 1 - for root node.
n(h)=1+n(h-1)+n(h-2) for h≥3 (Since n(1)=1 and n(2)=2)
We know that n(h-1) n(h-2).
Ex: Suppose a tree has height h=4, then n(3) n(2)
 In this n(3) is 4 and n(2) is 3 i.e., left sub tree has 3 nodes,
and right sub tree has 4 nodes.
 Since the height difference between left and right sub trees of
an AVL tree is at most 1 in an AVL tree, the condition
By substituting n(h-1) n(h-2) in the equation and dropping 1 we get,
n(h)=n(h-1)+n(h-2)+1>2n(h-2)
n(h)>2n(h-2) (solving this recursively we get series of inequalities)
>2[2n((h-2)-2)]
>4n(h-4)
>8n(h-6)
>16n(h-8)
.
..
n(h)> n(h-2i) (n(1)=1 and n(2)=2, we can consider 1 or 2 for h-2i )
Let i= (By taking h-2i=2)
n(h)> .n(h-2( ))
n(h)> .n(h- )
n(h)> .n(h-h+2)
n(h)> .n(2)
n(h)> /2*n(2) [since n(2)=2 i.e., a tree with height 2 has minimum 2 nodes]
n(h)> /2*2
n(h)>
log (n(h))>h/2
2log (n(h))>h
h=O(log(n(h)) If number of nodes is n then h=O(logn).
Visit https://www.tutorialsduniya.com for Notes, books, programs, question papers with solutions etc.
Visit https://www.tutorialsduniya.com for Notes, books, programs, question papers with solutions etc.
Download FREE Computer Science Notes, Programs,
Projects, Books for any university student of BCA,
MCA, B.Sc, M.Sc, B.Tech CSE, M.Tech at
https://www.tutorialsduniya.com
Please Share these Notes with your Friends as well
Download Complete
Notes PDF for FREE
at
TutorialsDuniya.com
TUTORIALSDUNIYA.COM
Computer Science Notes

Algorithms notes tutorials duniya

  • 1.
    Download FREE ComputerScience Notes, Programs, Projects, Books for any university student of BCA, MCA, B.Sc, M.Sc, B.Tech CSE, M.Tech at https://www.tutorialsduniya.com Please Share these Notes with your Friends as well TUTORIALSDUNIYA.COM Computer Science Notes Design and Analysis of Algorithms Notes
  • 2.
    UNIT I Dictionaries: Sets,Dictionaries, Hash Tables, Open Hashing, Closed Hashing (Rehashing Methods), Hashing Functions (Division Method, Multiplication Method, Universal Hashing), Analysis of Closed Hashing Result (Unsuccessful Search, Insertion, Successful Search, Deletion), Hash Table Restructuring, Skip Lists, Analysis of Skip Lists. SETS  A set is a collection of well defined elements. The members of a set are all different.  A set ADT can be defined to comprise the following operations: Union(A, B, C): This operation combines all elements of set A and set B and places them in set C. Ex: A={1,2,3,4} B={4,5,6} then C={1,2,3,4,5,6} Intersection(A, B, C): This operation selects common elements from set A and set B (i.e., which appear both in A and B) and places them in set C. Ex: A={1,2,3,4} B={4,5,6} then C={4} Difference(A, B, C): This operation selects only the elements that appear in set A but not in set B and places them in set C. Ex: A={1,2,3,4} B={4,5,6} then C={1,2,3} Merge(A, B, C): This operation combines all elements of set A and set B and places them in set C and discards set A, B. Ex: C={1,2,3,4,5,6} Find(x): Returns the set name in which element „x‟ is available. Ex: A ={1,2,3}, B={4,5,6} Find(5) returns set B Member (x, A) or Search (x, A): Checks whether element‟ x‟ is available in „A‟ or Not. If element is available returns search successful otherwise returns search unsuccessful. Makenull (A): Makes a Set A to empty Equal (A, B): Check whether two sets A and B are equal or not. Ex: A={1,2,3} B={2,1,3} are equal Assign (A, B): Assigns Set B elements to set A Insert (x, A): Inserts an element „x‟ into set A .Ex: Insert(7,A) now A={1,2,3,7} Delete (x, A): Deletes an element „x‟ from set A. Ex: Delete(3,A) now A={1,2,7} Min (A): Returns minimum value from A . Ex: Min(A)=1.  A Set can be implemented with the following data structures: (a) Bit Vector (b) Array (c) Linked List  Unsorted  Sorted Visit https://www.tutorialsduniya.com for Notes, books, programs, question papers with solutions etc. Visit https://www.tutorialsduniya.com for Notes, books, programs, question papers with solutions etc.
  • 3.
    DICTIONARY A dictionary isa container of elements from a totally ordered universe that supports the basic operations of inserting/deleting elements and searching for a given element. (OR) Dictionary is a Dynamic-set data structure for storing items indexed using keys. It Supports operations Insert, Search, and Delete. Ex: hash tables are dictionaries which provide an efficient implicit realization of a dictionary. Efficient explicit implementations include binary search trees and balanced search trees. Dictionaries:A dictionary is a dynamic set ADT with the operations: 1. Makenull (D) 2. Insert (x, D) 3. Delete (x, D) 4. Search (x, D) Dictionaries are useful in implementing symbol table of a compiler, text retrieval systems, database systems, page mapping tables, Large-scale distributed systems etc. Dictionaries can be implemented with: 1. Fixed Length arrays 2. Linked lists: sorted, unsorted, skip-lists 3. Hash Tables: open, closed 4. Trees: Binary Search Trees (BSTs), Balanced BSTs like AVL Trees, Red-Black Trees Splay Trees, Multi way Search Trees like 2-3 Trees , B Trees, 5. Tries  Let n be the number of elements in a dictionary D. The following is a summary of the performance of some basic implementation methods: . Search Delete Insert Min Array O(n) O(n) O(n) O(n) Sorted linked list O(n) O(n) O(n) O(1) Unsorted linked list O(n) O(n) O(n) O(n)  Among these, the sorted list has the best average case performance  Arrays, sorted linked lists, unsorted linked lists all takes O(n) time for insert, delete, Search, min operations HASH TABLES Necessity of Hash tables: We can access any position of an array in constant time (i.e., in O(1)) . We think of the subscript as the key, and the value stored in the array as the data. Given the key, we can access the data in constant time. 0 1 2 3 4 5 6 7 8 9 10 20 25 30 35 40 45 50 55 60 Visit https://www.tutorialsduniya.com for Notes, books, programs, question papers with solutions etc. Visit https://www.tutorialsduniya.com for Notes, books, programs, question papers with solutions etc.
  • 4.
    Generally search operationin an array takes O(n) time. But if we know the positions of each element where it was stored (i.e., at 1st location the element 20 was stored, at 6th location the element 45 was stored etc..) then we can directly access The element by moving to that position in O(1) time. This is the basic idea behind the implementation of hash tables. Ex 1: For example, I used an array with size 10 to store the roll no.‟s of 10 students. R.no. 1 was placed at 1st location, R.no. 2 was placed at 2nd location, R.no. 3 was placed at 3rd location and so on .. 1 2 3 4 5 6 7 8 9 10 1 2 3 4 5 6 7 8 9 10 Here I can access R.no. 9 directly from the 9th location, Rno:6 directly from 6th location. So for accessing the elements always it takes O(1) time. But in real cases this is not possible. Ex 2: We have a list of employees of a fairly small company. Each of 100 employees has an ID number in the range 0 to 99. If we store the elements (employee records) in the array, then each employee‟s ID number will be an index to the array element where this employee‟s record will be stored. In this table an employee details can be accessed in O(1) time. In this case once we know the ID number of the employee, we can directly access his record through the array index. There is a one-to-one correspondence between the element‟s key and the array index. In this an employee details can be accessed in O(1) time. However, in practice, this perfect relationship is not easy to establish or maintain. Ex 3: the same company might use employee‟s five-digit ID number as the key. With 5 digits the possible numbers are from 00000 to 99999. If we want to use the same technique as above, we need to set up an array of size 100,000, of which only 100 elements will be used (only 100 employees are working in that company). Visit https://www.tutorialsduniya.com for Notes, books, programs, question papers with solutions etc. Visit https://www.tutorialsduniya.com for Notes, books, programs, question papers with solutions etc.
  • 5.
    In the abovetable only 100 locations are useful. Remaining 9900 records storage is wasted. This problem can be overcome with hash tables. Ex 4: Sometimes companies maintain their employee numbers as alpha numeric letters. An employee ID may be SACET555 but we can‟t use this alphanumeric as an array index So we need something which maps a string or a large value into an array index. HASH TABLES (i) Hash Table is a data structure in which keys are mapped to array positions by a hash function. (Or) A Hash Table is a data structure for storing key/value pairs This table can be searched for an item in O(1) time using a hash function to form an address from the key. (ii) Hash Function: Hash function is any well-defined procedure or mathematical function which converts a large, possibly variable-sized amount of data into a small datum, usually a single integer that may serve as an index into an array. (OR)  Hash function is a function which maps key values to array indices. (OR)  Hash Function is a function which, when applied to the key, produces an integer which can be used as an address in a hash table.  We will use h(k) for representing the hashing function (iii) Hash Values: The values returned by a hash function are called hash values or hash codes or hash sums or simply hashes (iv) Hashing is the process of mapping large amount of data item to a smaller table with the help of a hashing function.  Hash table is an extremely effective and practical way of implementing dictionaries.  It takes O(1) time for search, insert, and delete operations in the average case. And O(n) time in the worst case.  By careful design, we can make the probability that more than constant time is required to be arbitrarily small.  Hash Tables are two types they are: (a) Open or External (b) Closed or Internal Visit https://www.tutorialsduniya.com for Notes, books, programs, question papers with solutions etc. Visit https://www.tutorialsduniya.com for Notes, books, programs, question papers with solutions etc.
  • 6.
    (c) Collisions: Ifx1 and x2 are two different keys, but the hash values of x1 and x2 are equal (i.e., h(x1) = h(x2)) then it is called a collision. Ex: Assume a hash function = h(k) = k mod 10 h(19)=19 mod 10=9 h(39)=39 mod 10=9 here h(19)=h(39) This is called collision. Collision resolution is the most important issue in hash table implementations. To resolve the collisions two techniques are there. 1. Open Hashing 2. Closed Hashing Perfect Hash Function is a function which, when applied to all the members of the set of items to be stored in a hash table, produces a unique set of integers within some suitable range. Such function produces no collisions. Good Hash Function minimizes collisions by spreading the elements uniformly throughout the array. There is no magic formula for the creation of the hash function. It can be any mathematical transformation that produces a relatively random and unique distribution of values within the address space of the storage. Although the development of a hash function is trial and error, here are some hints that may make process easier:  Set the size of the storage space to a prime number. This will help generate a more uniform distribution of addresses.  Use modulo arithmetic (%). Transform a key in such a way that you can perform X % TABLE_SIZE to generate the addresses  To transform a numeric key, try something like adding the digits together or picking every other digit.  To transform a string key, try to add up the ASCII codes of the characters in the string and then perform modulo division. (1) Open Hashing (OR) Separate Chaining:  In this case hash table is implemented as an array of linked lists.  Every element of the table is a pointer to a list. The list (chain) will contain all the elements with the same index produced by the hash function.  In this technique the array does not hold elements but it holds the addresses of lists that were attached to every slot.  Each position in the array contains a Collection of values of unlimited size (we use a linked implementation of some sort, with dynamically allocated storage). Here we will chain all collisions in lists attached to the appropriate slot. This allows an unlimited number of collisions to be handled and doesn't require a priori knowledge of how many elements are contained in the collection. The tradeoff is the same as with linked lists versus array implementations of collections: linked list overhead in space and, to a lesser extent, in time. Let U be the universe of keys. The Keysmaybe integers,Characterstrings, Complexbitpatterns  B the setof hash values(alsocalledthe bucketsorbins).Let B= {0, 1,..., m - 1}where m > 0 isa positive integer. Visit https://www.tutorialsduniya.com for Notes, books, programs, question papers with solutions etc. Visit https://www.tutorialsduniya.com for Notes, books, programs, question papers with solutions etc.
  • 7.
    A hashfunctionh:U Bassociatesbuckets(hashvalues) tokeys. Ex: Collision Resolution by Chaining Put all the elements that hash to the same value in a linked list. See Figure 1.1. Example 1: See Figure 1.2. Consider the keys 0, 1, 2,4, 16, 25, 36, 49, 64, 81, 100. Let the hash function be: h(x) = x % 7 Figure 1.2: Open hashing: An example Here list (chain) can be a sorted list or an unsorted list. If it is sorted list then the operations are easy. Operationsof OpenHashing or Separate Chaining:  Search(x,T): Searchfor an elementx inthe listT[h(key(x))]  Insert(x,T) : Insertx at the headof listT[h(key(x))]  Delete (x,T) : Delete x fromthe listT[h(key(x))] Visit https://www.tutorialsduniya.com for Notes, books, programs, question papers with solutions etc. Visit https://www.tutorialsduniya.com for Notes, books, programs, question papers with solutions etc.
  • 8.
    Searching When it comesto search a value, the hash function is applied to the desired key K, and the array index is produced. Then the search function accesses the list to which this array element points to. It compares the desired key K, to the key in the first node. If it matches, then the element is found. In this case the search of the element is on the order of 1, O(1). If not, then the function goes through the list comparing the keys. Search continues until the element is found or the end of the list is detected. In this case the search time depends on the length of the list. For example, In the above list if we want to search a key 100, then find the h(100). h(100)=100%7=2. So directly go to the 2nd location and search the first node has the element 100 if it is not 100 then go to the next location and check whether it is 100 do this until an element was found or last node is reached. Algorithm for Separate chaining hashing: search Open hashing is implemented with the following data structures struct node { int k; struct node *next; }; struct node *r[10]; typedef struct node list; INSERTION: To insert a value with key K, find h(K) and add K to the collection(chain) in position h(K). Algorithm for Separate chaining Hashing: Insertion void insert( key, r ) { int i; i = hashfunction( key );/*evaluates h(k)*/ if (empty(r[i])) /*** insert in main array ***/ r[i].k = key; else /*** insert in new node ***/ r[i].next = NewNode( key, r[i].next ); } Deletion: To delete a value with key K, find h(k) and go to the array position h(k) search the list for the element K if it was found then remove it from the collection(chain) in position h(K). otherwise display that “Element was not displayed” Advantages 1) The hash table size is unlimited. In this case you don‟t need to expand the table and recreate a hash function. 2) Collision handling is simple: just insert colliding records into a list. Disadvantages 1) As the list of collided elements (collision chains) become long, search them for a desired element begin to take longer and longer. 2) Using pointers slows the algorithm: time required is to allocate new nodes. Analysis of Open Hashing: list*search( key, r ) { list *p; p = r[ hashfunction(key) ]; while ( p!=NULL && key!=p->k ) p = p->next; return( p ); } Visit https://www.tutorialsduniya.com for Notes, books, programs, question papers with solutions etc. Visit https://www.tutorialsduniya.com for Notes, books, programs, question papers with solutions etc.
  • 9.
    (i) Search: (a) Bestcase: To search a Key K, first find out h(k) . Assume time to compute h(k) is O(1) and the Key „K‟ is available as the first node then the complexity is O(1). (b) Average case: Given hash table T with m slots holding n elements, Load factor =n/m = average keys per slot. m – number of slots, n – number of elements stored in the hash table. (i) Unsuccessful Search: Uniform hashing yields an average list length  = n/m  Any key not already in the table is equally likely to hash to any of the m slots.  To search unsuccessfully for any key k, need to search to the end of the list T[h(k)], whose expected length is α.  Adding the time to compute the hash function(1), the total time required is O(1+α).  Search time for unsuccessful search is O(1+ ) (ii) Successful Search:  The probability that a list is searched is proportional to the number of elements it contains.  Assume that the element being searched for is equally likely to be any of the n elements in the table.  The number of elements examined during a successful search for an element x is 1 more than the number of elements that appear before x in x‟s list. » These are the elements inserted after x was inserted. » Goal: Find the average, over the n elements x in the table, of how many elements were inserted into x‟s list after x was inserted.  Let xi be the ith element inserted into the table, and let ki = key[xi].  Define indicator random variables Xij = I{h(ki) = h(kj)}, for all i, j.  Simple uniform hashing  Pr{h(ki) = h(kj)} = 1/m  E[Xij] = 1/m.  Expected number of elements examined in a successful search is:                    n i n ij ijX n E 1 1 1 1 n nn n nm in nm in nm mn XE n X n E n i n i n i n i n ij n i n ij ij n i n ij ij 1 2 )1(1 1 1 1 )( 1 1 1 1 1 ][1 1 1 1 2 1 1 1 1 1 1 1 1 1                                                                       Visit https://www.tutorialsduniya.com for Notes, books, programs, question papers with solutions etc. Visit https://www.tutorialsduniya.com for Notes, books, programs, question papers with solutions etc.
  • 10.
    Expected total timefor a successful search = Time to compute hash function + Time to search = O(2+/2 – /2n) = O(1+ ). If n = O(m), then =n/m = O(m)/m = O(1). A successful search takes expected time O(1+α). Searching takes constant time on average.  Insertion is O(1) in the worst case.  Deletion takes O(1) worst-case time when lists are doubly linked.  Hence, all dictionary operations take O(1) time on average with hash tables with chaining.  In the average case, the running time is O(1 + ), It is assumed that the hash value h(k) can be computed in O(1) time. If n is O(m), the average case complexity of these operations becomes O(1) ! CLOSED HASHING (OR) OPEN ADDRESSING: Rehashing  Rehashing is resolving a collision by computing a new hash location (index) in the array.  Re-hashing schemes use a second hashing operation when there is a collision. If there is a further collision, we re-hash until an empty "slot" in the table is found.  The re-hashing function can either be a new function or a re-application of the original one. As long as the functions are applied to a key in the same order, then a sought key can always be located. Closed Hashing (or) Open Addressing:  In open addressing all elements stored in hash table itself. Each slot of a hash table contains either a key or NIL.  It shows the way, when collisions occur, use a systematic (consistent) procedure to store elements in free slots of the table.  Open addressing is the standard hash table implementation  With open addressing, we store only one element per location, and handle collisions by storing the extra elements in other unused locations in the array.  To find these other locations, we fix some probe sequence that tells us where to look if A[h(x)] contains an element that is not x.  It is based on of resolving collisions by probing for free slots  The hash formula determines the length and complexity of these probes. Open addressing provides 3 different probing techniques. 1. Linear Probing 2. Quadratic Probing 3. Double Hashing Visit https://www.tutorialsduniya.com for Notes, books, programs, question papers with solutions etc. Visit https://www.tutorialsduniya.com for Notes, books, programs, question papers with solutions etc.
  • 11.
    1. Linear Probing: oIn case of linear probing, we are looking for an empty spot by incrementing the offset by 1 every time. o We explore a sequence of location until an empty one is found as follows: It is just h(x), h(x)+1, h(x)+2, ..., wrapping around at the end of the array. The idea is that if we can't put an element in a particular place, we just keep walking up through the array until we find an empty slot. (a) Insertion(x,T): This operation inserts an element x into a hash table T, while inserting an element if there is a collision it applies linear Probing. Procedure:  First it evaluates h(x), if h(x) location is empty, then it places x into h(x).  If there is a collision then it applies Linear Probing and locates another slot and if this slot is empty then it places the „x‟ into that slot, Other wise it probes to another location, this procedure is repeated until an empty slot is found . o If there is no empty location in hash table then insertion is not possible Example: 0 1 2 3 4 Empty Empty Empty Empty Empty In the above hash table with m=5 insert the following values. 54, 20,44,33,21 Insert 54:h(54)=54 mod 5 = 4 (so place 54 at 4th location) 0 1 2 3 4 Empty Empty Empty Empty 54 Insert 20: h(20)=20 mod 5 = 0 (so place 20 at 0th location) 0 1 2 3 4 20 Empty Empty Empty 54 Insert 44: h(44)=44 mod 5 = 4 .(but at 4th location already an element is existed. So apply linear probing) h(44,1)=(h(44)+1)mod5 = (4+1)mod5 = 0 (here also collision so probe to next location.) h(44,2)=(h(44)+2)mod5=(4+2)mod5=1 (1st location is empty. So place 44 at 1st location) 0 1 2 3 4 20 44 Empty Empty 54 h(x, i) = (h(x) + i) mod m where m is the hash table size and i = 0, 1, 2, . . . , m-1 Visit https://www.tutorialsduniya.com for Notes, books, programs, question papers with solutions etc. Visit https://www.tutorialsduniya.com for Notes, books, programs, question papers with solutions etc.
  • 12.
    Insert 33: h(33)=33mod 5= 3 (so place 33 at 3rd location) 0 1 2 3 4 20 44 Empty 33 54 Insert 21: h(21)=21 mod 5=1 (But at 1st location already an element is there) h(21,1)=(h(21)+1)mod5=(1+1)mod5= 2 (2nd location is empty so place 21 at 2nd position) 0 1 2 3 4 20 44 21 33 54 Algorithm for Linear Probing Hashing: Insertion void insert( key, r[]) { int n; int i, last; i = hashfunction( key ) ;/*computes h(x)*/ last = (i+m-1) % m; while ( i!=last && !empty(r[i]) && !deleted(r[i]) && r[i]!=key ) i = (i+1) % m; if (empty(r[i]) || deleted(r[i])) r[i] = key; /*** insert here ***/ else Error /*** table full, or key already in table ***/; } (b) Search(x,T):Search operation searches for an element x in hash table „T‟ and returns “search was successful” if the element was found. Other wise it returns “search was unsuccessful”. Procedure:  First evaluates h(x) and examine slot h(x). Examining a slot is known as a probe.  If slot h(x) contains key x, the search is successful. If the slot contains NIL, the search is unsuccessful.  There‟s a third possibility: slot h(x) contains a key that is not x.  Compute the index of some other slot, based on x and which probe we are on.(Apply linear probing)  Keep probing until we either find key k or we find a slot holding NIL. Algorithm for Linear Probing Hashing: Search int search( key, r[] ) { int i, last; i = hashfunction( key ); /*computes h(x)*/ last = (i+n-1) % m; while ( i!=last && !empty(r[i]) && r[i]!=key ) i = (i+1) % m; if (r[i]==key) return( i ); else return( -1 ); } (c) Delete(x,T): This operation deletes the key x from hash table „T‟ Procedure:  First evaluates h(x) and examine slot h(x). Examining a slot is known as a probe. Visit https://www.tutorialsduniya.com for Notes, books, programs, question papers with solutions etc. Visit https://www.tutorialsduniya.com for Notes, books, programs, question papers with solutions etc.
  • 13.
     If sloth(x) contains key x, then delete the element and make that location empty. Otherwise apply linear probing to locate the element. After linear probing also if the element was not found then display that “Deletion is impossible because the element was not in the table”. Advantages:  All the elements (or pointer to the elements) are placed in contiguous storage. This will speed up the sequential searches when collisions do occur.  It Avoids pointers; Disadvantages: Linear probing suffers from primary clustering problem  Clustering: Element tend to cluster around elements that produce collisions. As the array fills, there will be gaps of unused locations. Suffersfrom primaryclustering: o Long runs of occupied sequences build up. o Long runs tend to get longer, since an empty slot preceded by i full slots gets filled next with probability (i+1)/m. o Hence, average search and insertion times increase.  As the number of collisions increases, the distance from the array index computed by the hash function and the actual location of the element increases, increasing search time.  The hash table has a fixed size. At some point all the elements in the array will be filled. The only alternative at that point is to expand the table, which also means modify the hash function to accommodate the increased address space. 2. Quadratic Probing: is a different way of rehashing. In the case of quadratic probing we are still looking for an empty location. However, instead of incrementing offset by 1 every time, as in linear probing, we will increment the offset by 1, 4,9, 16, ... We explore a sequence of location until an empty one is found as follows: (a) Insertion(x,T): This operation inserts an element x into a hash table T, while inserting an element if there is a collision it applies Quadratic Probing. Procedure:  First it evaluates h(x) if h(x) location is empty, then it places x into h(x).  If there is a collision then it applies Quadratic Probing and locates another slot and if This slot is empty then it places the „x‟ into that slot , Other wise it probes to another location, this procedure is repeated until an empty slot is found .  If there is no empty location in hash table then insertion is not possible. h(x, i) = (h(x) + i2 ) mod m where m is the hash table size and i = 0, 1, 2, . . . , m-1 Visit https://www.tutorialsduniya.com for Notes, books, programs, question papers with solutions etc. Visit https://www.tutorialsduniya.com for Notes, books, programs, question papers with solutions etc.
  • 14.
    void insert( key,r[]) { int n; int i, last; i = hashfunction( key ) ;/*computes h(x)*/ last = (i+m-1) % m; while ( i!=last && !empty(r[i]) && !deleted(r[i]) && r[i]!=key ) i = (i*i+1) % m; if (empty(r[i]) || deleted(r[i])) r[i] = key; /*** insert here ***/ else Error /*** table full, or key already in table ***/; } For example consider a hash table with size 10. And insert the elements 59,18,49,58,28,21,33 into the list. (E- indicates empty). 0 1 2 3 4 5 6 7 8 9 E E E E E E E E E E Insert 59: h(59)=59mod 10=9 (place 59 at 9th location 0 1 2 3 4 5 6 7 8 9 E E E E E E E E E 59 Insert 18: h(18)=18mod 10=8 (place 18 at 8th location). 0 1 2 3 4 5 6 7 8 9 E E E E E E E E 18 59 Insert 49: h(49)=49mod 10=9 (place 49 at 9th location. But there is a collision so apply Q.P). h(49,T)=(h(49)+12 )mod10=(9+1)mod10=0 (Place 49 at 0th location) 0 1 2 3 4 5 6 7 8 9 49 E E E E E E E 18 59 Insert 58: h(58)=58mod 10=8 (place 58 at 8th location. But there is a collision so apply Q.P). h(58,T)= (h(58)+12 )mod10=(8+1)mod10=9 (collision at 9th loc. So apply Q.P ) h(58,T)= (h(58)+22 )mod10=(8+4)mod10=2 (Place 58 at 2nd location). 0 1 2 3 4 5 6 7 8 9 49 E 58 E E E E E 18 59 Insert 28: h(28)=28mod 10=8 (place 28 at 8th location. But there is a collision so apply Q.P). h(28,T)= (h(28)+12 )mod10=(8+1)mod10=9 (collision at 9th loc. So apply Q.P ) h(28,T)= (h(28)+22 )mod10=(8+4)mod10=2 (collision at 2nd loc. So apply Q.P). h(28,T)= (h(28)+32 )mod10=(8+9)mod10=7 (Place 28 at 7th location). 0 1 2 3 4 5 6 7 8 9 49 E 58 E E E E 28 18 59 Visit https://www.tutorialsduniya.com for Notes, books, programs, question papers with solutions etc. Visit https://www.tutorialsduniya.com for Notes, books, programs, question papers with solutions etc.
  • 15.
    TutorialsDuniya.com Download FREE ComputerScience Notes, Programs, Projects, Books PDF for any university student of BCA, MCA, B.Sc, B.Tech CSE, M.Sc, M.Tech at https://www.tutorialsduniya.com  PHP Notes  Python Programming  R Programming  Software Engineering  System Programming  Theory of Computation  Unix Network Programming  Web Design & Development  Information Security  Internet Technologies  Java Programming  JavaScript & jQuery  Machine Learning  Microprocessor  Operating System  DBMS & SQL Notes  Data Analysis & Visualization  Data Mining  Data Science  Data Structures  Deep Learning  Digital Image Processing  Discrete Mathematics  Computer System Architecture  Operational Research  Algorithms Notes  Artificial Intelligence  Android Programming  C & C++ Programming  Combinatorial Optimization  Computer Graphics  Computer Networks Please Share these Notes with your Friends as well
  • 16.
    Insert 21: h(21)=21mod10=1(place 21 at 1st location) 0 1 2 3 4 5 6 7 8 9 49 21 58 E E E E 28 18 59 Insert 33: h(33)=33mod 10=3(place 33 at 3rd location) 0 1 2 3 4 5 6 7 8 9 49 21 58 33 E E E 28 18 59 (b) Search(x,T): Search operation searches for an element x in hash table „T‟ and returns “search was successful” if the element was found. Other wise it returns “search was unsuccessful”. Procedure:  First evaluates h(x) and examine slot h(x). Examining a slot is known as a probe.  If slot h(x) contains key x, the search is successful. If the slot contains NIL, the search is unsuccessful.  There‟s a third possibility: slot h(x) contains a key that is not x.  Compute the index of some other slot, based on x and which probe we are on.(Apply Quadratic probing)  Keep probing until we either find key k or we find a slot holding NIL. int search( key, r[] ) { int i, last; i = hashfunction( key ); /*computes h(x)*/ last = (i+n-1) % m; while ( i!=last && !empty(r[i]) && r[i]!=key ) i = (i*i+1) % m; if (r[i]==key) return( i ); else return( -1 ); } (c) Delete(x,T): This operation deletes the key x from hash table „T‟ Procedure:  First evaluates h(x) and examine slot h(x). Examining a slot is known as a probe.  If slot h(x) contains key x, then delete the element and make that location empty. Otherwise apply Quadratic probing to locate the element. After Quadratic probing also if the element was not found then display that “Deletion is impossible because the element was not in the table”.  Disadvantage: Can suffer from secondary clustering: If two keys have the same initial probe position, then their probe sequences are the same. Visit https://www.tutorialsduniya.com for Notes, books, programs, question papers with solutions etc. Visit https://www.tutorialsduniya.com for Notes, books, programs, question papers with solutions etc.
  • 17.
    3. Double Hashing:It uses two different hash functions h1(x,i) = (h1(x) + i h2(x)) mod m where h1(x) is the first hash function and h2(x) is the second hash function, m is the hash table size, i=1,2,3,4 etc..  Here h1 and h2 are two auxiliary hash functions. h1 gives the initial probe. h2 gives the remaining probes.  In This h2(x) must be a relatively prime to m, so that the probe sequence is a full permutation of 0, 1,…, m–1.  Choose m to be a power of 2 and have h2(x) always return an odd number. Or, Let m be prime, and have 1 < h2(x) < m.  Suppose h1(x)=x mod m then h2 can be selected as h2(x)=(R-x mod R) where R is a prime number nearer to m Insert(x,T): This function inserts the key value „x‟ into hash table ‟T‟. Procedure:  First it evaluates h1(x) if h1(x) location is empty, then it places x into h1(x).  If there is a collision then it applies Quadratic Probing and locates another slot and if This slot is empty then it places the „x‟ into that, Other wise it probes to another location, this procedure is repeated until an empty slot is found .  If there is no empty location in hash table then insertion is not possible. For example consider a hash table with size 10. And insert the elements 59,18,49,58, 21,33 into the list.(E- indicates empty). 0 1 2 3 4 5 6 7 8 9 E E E E E E E E E E Insert 59: h1(59)=59mod 10=9 (place 59 at 9th location 0 1 2 3 4 5 6 7 8 9 E E E E E E E E E 59 Insert 18: h1(18)=18mod 10=8 (place 18 at 8th location). 0 1 2 3 4 5 6 7 8 9 E E E E E E E E 18 59 Insert 49: h1(49)=49mod 10=9 (place 49 at 9th location. But element is there so apply D.H). h1(49,T)=(h1(49)+1.h2(49))mod10 Where h2(49)=R- (x mod R)=(7- 49mod 7)=7-0=7(select R as 7 which is a prime nearer to m ) h1(49,T)=(h1(49)+1.7))mod10=(9+7) mod 10=6(Place 49 at 6th position). 0 1 2 3 4 5 6 7 8 9 E E E E E E 49 E 18 59 Visit https://www.tutorialsduniya.com for Notes, books, programs, question papers with solutions etc. Visit https://www.tutorialsduniya.com for Notes, books, programs, question papers with solutions etc.
  • 18.
    Insert 58: h1(58)=58mod 10=8 (place 58 at 8th location. But there is a collision so apply D.H). h1(58,T)= (h1(58)+1.h2(58))mod10 Where h2(58)= R- (x mod R)=(7- 58mod 7)=7-2=5 h1(58,T)=(h1(58)+1.5))mod10=(8+5) mod 10=3(Place 58 at 3rd position.) 0 1 2 3 4 5 6 7 8 9 E E E 58 E E 49 E 18 59 Insert 21: h(21)=21mod 10=1(place 21 at 1st location) 0 1 2 3 4 5 6 7 8 9 E 21 E 58 E E 49 E 18 59 Algorithm for Double Hashing: Insertion void insert( key, r ) { int i, inc, last; i = hash1(key) ; inc = hash2(key); last = (i+(m-1)*inc) % m; while ( i!=last && !empty(r[i]) && !deleted(r[i]) && r[i]!=key ) i = (i+inc) % m; if ( empty(r[i]) || deleted(r[i]) ) { /*** insert here ***/ r[i] = key; n++; } else Error /*** table full, or key already in table ***/; } //Where hash1 (key) isthe first hash function,hash2(key) isthe second hash function. (b) Search(x,T): Search operation searches for an element x in hash table „T‟ and returns “search was successful” if the element was found. Other wise it returns “search was unsuccessful”. Procedure:  First evaluates h1(x) and examine slot h1(x). Examining a slot is known as a probe.  If slot h1(x) contains key x, the search is successful. If the slot contains NIL, the search is unsuccessful.  There‟s a third possibility: slot h1(x) contains a key that is not x.  Compute the index of some other slot, based on x and which probe we are on. (Apply Double hashing)  Keep probing until we either find key k or we find a slot holding NIL. Visit https://www.tutorialsduniya.com for Notes, books, programs, question papers with solutions etc. Visit https://www.tutorialsduniya.com for Notes, books, programs, question papers with solutions etc.
  • 19.
    Algorithm for DoubleHashing: Search int search( key, r ) { int i, inc, last; i = hash1( key ) ; inc = hash2( key ); last = (i+(n-1)*inc) % m; while ( i!=last && !empty(r[i]) && r[i]!=key ) i = (i+inc) % m; if (r[i]==key) return( i ); else return( -1 ); } //Where hash1 (key) isthe first hash function,hash2(key) isthe second hash function (c) Delete(x,T): This operation deletes the key x from hash table „T‟ Procedure:  First compute h1(x) value and examine slot h1(x). Examining a slot is known as a probe.  If slot h1(x) contains key x, then delete the element and make that location empty. Otherwise apply Double Hashing to locate the element. After probing also if the element was not found then display that “Deletion is impossible because the element was not in the table”. Advantages: Distributes keys more uniformly than linear probing A Comparison of Rehashing Methods m distinctprobe Primaryclustering sequences m distinctprobe No primaryclustering; sequences but secondaryclustering m2 distinctprobe No primaryclustering sequences No secondaryclustering Visit https://www.tutorialsduniya.com for Notes, books, programs, question papers with solutions etc. Visit https://www.tutorialsduniya.com for Notes, books, programs, question papers with solutions etc.
  • 20.
    HASHING FUNCTIONS Choosing agood hashing function, h(k), is essential for hash-table based searching. h should distribute the elements of our collection as uniformly as possible to the "slots" of the hash table. The key criterion is that there should be a minimum number of collisions. If the probability that a key, k, occurs in our collection is P(k), then if there are m slots in our hash table, a uniform hashing function, h(k), would ensure: Sometimes, this is easy to ensure. For example, if the keys are randomly distributed in (0,r], then, h(k) = floor((mk)/r) will provide uniform hashing. Mapping keys to natural numbers Most hashing functions will first map the keys to some set of natural numbers, say (0,r]. There are many ways to do this, for example if the key is a string of ASCII characters, we can simply add the ASCII representations of the characters mod 255 to produce a number in (0,255) - or we could xor them, or we could add them in pairs mod 216 -1, or ... Having mapped the keys to a set of natural numbers, we then have a number of possibilities. 1. MOD FUNCTION: h(k) = k mod m. When using this method, we usually avoid certain values of m. Powers of 2 are usually avoided, for k mod 2b simply selects the b low order bits of k. Unless we know that all the 2b possible values of the lower order bits are equally likely, this will not be a good choice, because some bits of the key are not used in the hash function. Prime numbers which are close to powers of 2 seem to be generally good choices for m. For example, if we have 4000 elements, and we have chosen an overflow table organization, but wish to have the probability of collisions quite low, then we might choose m = 4093. (4093 is the largest prime less than 4096 = 212 .) 2. MULTIPLICATION METHOD: o Multiply the key by a constant A, 0 < A < 1, o Extract the fractional part of the product, o Multiply this value by m. Thus the hash function is: h(k) = floor(m * (kA - floor(kA))) In this case, the value of m is not critical and we typically choose a power of 2 so that we can get the following efficient procedure on most digital computers: o Choose m = 2p . Visit https://www.tutorialsduniya.com for Notes, books, programs, question papers with solutions etc. Visit https://www.tutorialsduniya.com for Notes, books, programs, question papers with solutions etc.
  • 21.
    o Multiply thew bits of k by floor(A * 2w ) to obtain a 2w bit product. o Extract the p most significant bits of the lower half of this product. It seems that: A = (sqrt(5)-1)/2 = 0.6180339887 is a good choice (see Knuth, "Sorting and Searching", v. 3 of "The Art of Computer Programming"). 3. UNIVERSAL HASHING This involves choosing a hash function randomly in a way that is independent of the keys that are actually going to be stored. We select the hash function at random from a carefully designed class of functions.  Let Φ be a finite collection of hash functions that map a given universe U of keys into the range {0, 1, 2,..., m - 1}.  Φ is called universal if for each pair of distinct keys x, y Є U, the number of hash functions h Є Φ for which h(x) = h(y) is precisely equal to  With a function randomly chosen from Φ, the chance of a collision between x and y where x ≠ y is exactly 1/m. Example of a universal class of hash functions: Let table size m be prime. Decompose a key x into r +1 bytes. (i.e., characters or fixed-width binary strings). Thus x = (x0, x1,..., xr) Assume that the maximum value of a byte to be less than m. Let a = (a0, a1,..., ar) denote a sequence of r + 1 elements chosen randomly from the set {0, 1,..., m - 1}. Define a hash function ha Є Φ by ha(x) = aixi mod m With this definition, Φ = {ha} can be shown to be universal. Note that it has mr + 1 members. SKIP LISTS The worst case search time for a sorted linked list is O(n), as we can only traverse the list and cannot skip nodes while searching. For a balanced binary search tree, we skip almost half of the nodes after one comparison with root. For a sorted array, we have a random access and we apply binary search on arrays. Can we augment sorted linked list to make the search faster? The answer is “skip list”. The idea is simple; we create multiple layers so that we can skip some nodes. See the example with 16 nodes, and two layers. The upper layer works as “Express lane” which connects only to main outer stations and the lower layer works as an “Normal Lane” which connects every station. Suppose if we want to search for a key it is carried out as follows: We start from the first node of the express lane, and keep moving on express lane till we find a node whose next is greater than key. Once we find such a node on the express lane, we move to normal lane and linearly search for key on the normal lane‟ Visit https://www.tutorialsduniya.com for Notes, books, programs, question papers with solutions etc. Visit https://www.tutorialsduniya.com for Notes, books, programs, question papers with solutions etc.
  • 22.
    ANALYSIS: What isthe complexity with two layers? The worst case complexity is the number of nodes on “express lane” plus the number of nodes in a segment. Here a segment is number of nodes between two “express lane” nodes. So if we have “n” nodes on the normal lane, we have square root(n) nodes on express lane; n=16 (nodes on normal lane), square root(n) = 4 (nodes on express lane) We equally divide the normal lane, then there will be square root(n) nodes in every segment of “normal lane”. Square root(n) is actually optimal division with two layers. With this arrangement, the number of nodes traversed for a search will be O(square root(n)) Can we do better? The time complexity of skip list can be reduced further by adding more layers. In fact, time complexity of insert, delete, and search can be O(logn). Skip List is a probabilistic alternative to balanced trees.  Skip lists use probabilistic balancing rather than strictly enforced balancing.  Although skip lists have bad worst-case performance, no input sequence consistently produces the worst-case performance (like quicksort).  It is very unlikely that a skip list will be significantly unbalanced. For example, in a dictionary of more than 250 elements, the chance is that a search will take more than 3 times the expected time ≤ 10-6 .  Skip lists have balance properties similar to that of search trees built by random insertions, yet do not require insertions to be random. Figure 1.4: A singly linked list Consider a singly linked list as in Figure 1.4. We might need to examine every node of the list when searching a singly linked list. Figure 1.5 is a sorted list where every other node has an additional pointer, to the node two ahead of it in the list. Here we have to examine no more than +1 nodes. Figure 1.5: Every other node has an additional pointer Visit https://www.tutorialsduniya.com for Notes, books, programs, question papers with solutions etc. Visit https://www.tutorialsduniya.com for Notes, books, programs, question papers with solutions etc.
  • 23.
    Figure 1.6: Everysecond node has a pointer two ahead of it In the list of Figure 1.6, every second node has a pointer two ahead of it; every fourth node has a pointer four ahead if it. Here we need to examine no more than + 2 nodes. In Figure 1.7, (every (2i )th node has a pointer (2i ) node ahead (i = 1, 2,...); then the number of nodes to be examined can be reduced to log2n while only doubling the number of pointers. Figure 1.7: Every (2i )th node has a pointer to a node (2i ) nodes ahead (i = 1, 2,...) Figure 1.8: A skip list  A node that has k forward pointers is called a level k node. If every (2i )th node has a pointer (2i ) nodes ahead, then # of level 1 nodes 50 % # of level 2 nodes 25 % # of level 3 nodes 12.5 %  Such a data structure can be used for fast searching but insertions and deletions will be extremely cumbersome, since levels of nodes will have to change. Visit https://www.tutorialsduniya.com for Notes, books, programs, question papers with solutions etc. Visit https://www.tutorialsduniya.com for Notes, books, programs, question papers with solutions etc.
  • 24.
     What wouldhappen if the levels of nodes were randomly chosen but in the same proportions (Figure 1.8)? o level of a node is chosen randomly when the node is inserted o A node's ith pointer, instead of pointing to a node that is 2i - 1 nodes ahead, points to the next node of level i or higher. o In this case, insertions and deletions will not change the level of any node. o Some arrangements of levels would give poor execution times but it can be shown that such arrangements are rare. Such a linked representation is called a skip list.  Each element is represented by a node the level of which is chosen randomly when the node is inserted, without regard for the number of elements in the data structure.  A level i node has i forward pointers, indexed 1 through i. There is no need to store the level of a node in the node.  Maxlevel is the maximum number of levels in a node. o Level of a list = Maxlevel o Level of empty list = 1 o Level of header = Maxlevel Initialization: An element NIL is allocated and given a key greater than any legal key. All levels of all lists are terminated with NIL. A new list is initialized so that the level of list = maxlevel and all forward pointers of the list's header point to NIL. Search: We search for an element by traversing forward pointers that do not overshoot the node containing the element being searched for. When no more progress can be made at the current level of forward pointers, the search moves down to the next level. When we can make no more progress at level 1, we must be immediately in front of the node that contains the desired element (if it is in the list). Insertion and Deletion:  Insertionanddeletionare throughsearchandsplice  update [i] contains a pointer to the rightmost node of level i or higher that is to the left of the location of insertion or deletion.  If an insertion generates a node with a level greater than the previous maximum level, we update the maximum level and initialize appropriate portions of update list.  Aftera deletion,we checktosee if we have deletedthe maximumlevel element of the list and if so, decrease the maximum level of the list.  Figure 1.9 providesanexample of InsertandDelete.The pseudo code forInsertandDelete isshownbelow. search (list,searchkey) { x = list  header; for (i = list  level; i >= 1; i - -) { while (x forward[i]  key < searchkey) x = x  forward[i]; } x = x  forward[i]; if (x  key = searchkey) return (true) else return false; } Visit https://www.tutorialsduniya.com for Notes, books, programs, question papers with solutions etc. Visit https://www.tutorialsduniya.com for Notes, books, programs, question papers with solutions etc.
  • 25.
    Figure 1.9: Askip list insert (list, searchkey); { x = list  header ; for (i = list  level; i ≥ 1; i - -) { while (x  forward[i]  key < searchkey) x = x  forward[i]; update[i] = x } x = x  forward[1]; if (x  key = searchkey) return (``key already present'') else { newLevel = randomLevel( ); if newLevel > list  level { for (i = list  level + 1; i ≤ newLevel; i ++ ) update[i] = list  header; } x = makenode(newLevel, searchkey); for (i = 1, i ≤ newLevel; i++) { x  forward[i] = update[i]  forward[i]; update[i]  forward[i] = x } }} Visit https://www.tutorialsduniya.com for Notes, books, programs, question papers with solutions etc. Visit https://www.tutorialsduniya.com for Notes, books, programs, question papers with solutions etc.
  • 26.
    delete (list, searchkey); {x = list  header ; for (i = list  level; i ≥ 1; i - ) { while (x  forward[i]  key <searchkey) x = x  forward[i]; update[i] = x } x = x  forward[1]; if (x  key = searchkey) { for (i = 1; i ≤ list  level; i ++) { if (update[i]  forward[i] ≠ x) break; if (update[i]  forward[i] = x forward[i]; } free(x) while (( list  1) && (list  header  forward [list+level] = NIL)) list  level = list  level – 1 Analysis of Skip Lists In a skip list of 16 elements, we may have  9 elements at level 1  3 elements at level 2  3 elements at level 3  1 element at level 6  One important question is: Where do we start our search? Analysis shows we should start from level L(n) where L(n) = log2n In general if p is the probability fraction, L(n) = log n where p is the fraction of the nodes with level i pointers which also have level (i + 1) pointers.  However, starting at the highest level does not alter the efficiency in a significant way.  Another important question to ask is: What should be MaxLevel? A good choice is MaxLevel = L(N) = log N where N is an upper bound on the number of elements is a skip list.  Complexity of search, delete, insert is dominated by the time required to search for the appropriate element. This in turn is proportional to the length of the search path. This is determined by the pattern in which elements with different levels appear as we traverse the list.  Insert and delete involve additional cost proportional to the level of the node being inserted or deleted. Visit https://www.tutorialsduniya.com for Notes, books, programs, question papers with solutions etc. Visit https://www.tutorialsduniya.com for Notes, books, programs, question papers with solutions etc.
  • 27.
    UNIT-2 BALANCED TREES Consider thefollowing binary search tree In this BST Locating 7 takes 1 comparison Locating 10 takes 2 comparisons Locating 3 takes 3 comparisons Locating 52 takes 7 comparisons In this tree to locate nth element „n‟ comparisons are required.  So the search effect for this particular BST is O(n).  These types of trees are said to be as unbalanced trees.  With the same elements consider another tree In this BST  Locating 20 requires 1 comparison  Locating 10,24 requires 2 comparisons  Locating 7,12,23,52 requires 3 comparisons  The maximum search effort of this tree is 3 i.e., the search effort is O(log n). These types of trees are called balanced trees.  In the above mentioned trees, when compared to unbalanced trees, in a balanced tree the number of comparisons are reduced from „7‟ to „3‟.  For a completely unbalanced tree with 1000 nodes, the worst case comparisons are 1000, whereas the worst case comparisons for a balanced tree with 1000 nodes will be around 10. DEFINITION (1): An empty tree is height balanced. If „T‟ is a non-empty binary tree with TL and TR as its left and right sub trees respectively, then „T‟ is height balanced if and only if (1) TL and TR are height balanced and (2) |hL-hR| 1, where hL and hR are the heights of left sub tree (TL) and right sub tree (TR) respectively. DEFINITION (2): Balanced trees are trees whose height in the worst case is O(logn) and for which the operations INSERT, DELETE and SEARCH can be implemented in O(logn) time. Visit https://www.tutorialsduniya.com for Notes, books, programs, question papers with solutions etc. Visit https://www.tutorialsduniya.com for Notes, books, programs, question papers with solutions etc.
  • 28.
     There existover one hundred types of balanced search trees. Some of the more common types are: AVL trees, 2-3 trees, red-black trees, Splay trees, B-trees etc. HEIGHT: For all trees the heights are considered from leaf nodes. For the leaf nodes height is 1 and for their parents the height is 2 and so on. In figure 1, h(4)=3, h(3)=1, h(7)=2, h(9)=1. 6, 9, 3 are leaf nodes so height is 1. Figure 1 AVL TREE DEFINITION: An AVL tree is a binary search tree in which: 1. The heights of the right sub tree and left sub tree of the root differ by at most 1. 2. The left sub tree and right sub tree are themselves AVL trees. Maximum depth of AVL tree with „n‟ nodes is O(logn). AVL TREES  In 1962 Adelson-Velskii and Landis introduced a balanced binary tree with respect to the heights of sub trees.  An AVL tree is a height balanced binary search tree.  Because of its balanced nature insertion, deletion, search operation for an AVL tree of „n‟ nodes takes only O(logn) time. AVL TREE BALANCE FACTOR  The balance factor of a node ‟T‟ in a binary tree is defined to be hL-hR, where hL and hR are heights of left and right sub trees of „T‟, i.e., BF(T) = hL-hR.  For any node in an AVL tree, the balance factor should be either -1 or 0 or 1. Examples of AVL Trees  In this tree for node 4, there is no left & right sub trees, so BF(4)=0-0=0  For node 7 only left sub tree is there, so BF(7)=hL-hR=1-0 =1 (height of node 4 is 1)  The BF(4), BF(7) both are in range -1,0,1. So this tree is an AVL tree. In this example: h(8)=1, h(12)=1, h(10)=2, h(7)=3, h(4)=1. BF(8)=0-0=0 (Because no left & right sub trees) BF(12)=0-0=0 (Because no left & right sub trees) BF(10)=h(8)-h(12)=1-1=0 BF(4)=0-0=0 (Because no left & right sub trees) BF(7)=h(4)-h(10)=1-2=-1 All balance factors are in the range -1,0,1. So this is also an AVL tree. Visit https://www.tutorialsduniya.com for Notes, books, programs, question papers with solutions etc. Visit https://www.tutorialsduniya.com for Notes, books, programs, question papers with solutions etc.
  • 29.
    NON-AVL TREES This treeis not an AVL tree. h(11)=1, h(12)=2, h(10)=3, h(7)=4, h(8)=1, h(4)=1. BF(11)=0-0=0 (no left & right sub trees) BF(12)=1-0=1 (only left sub tree with height 1) BF(8)=0-0=0 (no left & right sub trees) BF(10)=h(8)-h(12)=1-2=-1 BF(4)=0-0=0 (no left & right sub trees) BF(7)=h(4)-h(10)=1-3=-2 The root node has a balance factor of -2, but in AVL tree every node should have BF of 0, -1 or 1. So this is not an AVL tree. This is not an AVL tree because the root has a BF of 2. NOTE  Balance Factor -1 indicates the left sub tree height is less than right sub tree.  Balance Factor 1 indicates right sub tree height is less than left sub tree.  Balance Factor 0 indicates that left and right sub trees height are equal. (or) BF(n)= + indicates left sub tree is heavier. BF(n)= - indicates right sub tree is heavier. BF(n)= 0 indicates balanced. OPERATIONS ON AVL TREE We can apply 3 operations on AVL tree. They are: (a) Insert(X,T): Insert an element „X‟ into „T‟. (b) Delete(X,T): Delete an element „X‟ from „T‟. (c) Search(X,T): Search and locate the element „X‟ in „T‟. INSERTIONS AND DELETIONS ON AVL TREES Insertion: Inserting an element into an AVL tree is similar to inserting an element into binary search tree.  Insert a node at leaf level and if the element to be inserted is less than root node, insert this element in the left sub tree otherwise insert the element in the right sub tree.  Apply this rule recursively for all nodes in the tree. Visit https://www.tutorialsduniya.com for Notes, books, programs, question papers with solutions etc. Visit https://www.tutorialsduniya.com for Notes, books, programs, question papers with solutions etc.
  • 30.
    In this treewe want to insert „15‟. 15 is greater than 7 so it will be inserted in the right sub tree of root and „15‟ is less than „16‟ so it is inserted in left sub tree of 16, but it is greater than 10, so 15 is inserted as the right child of 10.  In AVL tree & Binary Search Tree the insertion procedure is same.  When an insertion operation is applied to an AVL tree, we need to update all the balancing information for the nodes on the path back to the root.  As we follow the path up to the root and update the balancing information, we may find a node whose new balance may violate the AVL condition.  When the AVL condition is violated, the tree is no more an AVL tree. So we have to rebalance the tree such that AVL condition is preserved.  The technique that is used to rebalance the AVL tree is either performing 1) Single rotation or (2) Double rotation.  Let us call the node that must be rebalanced as „ ‟.  Since any node has at most two children, and a height imbalance requires that ‟s two sub trees height differ by two, it is easy to see that violation may occur in 4 cases: 1. An insertion into the left sub tree of the left child of . 2. An insertion into the right sub tree of the right child of . 3. An insertion into the left sub tree of the right child of . 4. An insertion into the right sub tree of the left child of .  The cases 1, 2 in which the insertion occurs on the “outside” (i.e., left-left, right-right) is fixed by a single rotation of the tree.  The cases 3, 4 in which the insertion occurs on the “inside” (i.e., left-right, right-left) is fixed by double rotation. SINGLE ROTATION (LEFT – LEFT) Before After Visit https://www.tutorialsduniya.com for Notes, books, programs, question papers with solutions etc. Visit https://www.tutorialsduniya.com for Notes, books, programs, question papers with solutions etc.
  • 31.
    AVL trees (SingleRotation-LL)  In this diagram the property of an AVL tree is violated at node „k2‟ (BF=2).  This was because a node is inserted at the sub tree of „X‟  The node was inserted to the left child of k2 (i.e., k1). For k1 again in the left sub tree. So this problem is called as „LL‟ and it can be fixed by single rotation.  Before rotation the relationships among all the values in the tree are k1<k2, X<k1, Y>k1, Z>k2 X<k2, Y<k2 After Rotation  After rotation also all the above relationships are preserved.  („Z‟ is in same position. „k2‟ becomes as right child of k1. „Y‟ becomes as left child of k2. „X‟ is in same position) Example 1: 9,7,6  Because of adding „6‟ AVL property is violated at „9‟.  6 was inserted to the left child of „9‟ (i.e., 7) and for „7‟ also in left sub tree. So apply LL rotation. Set k2->left=k1->right K1->right=k2. K1->left, K2->right remains in same position. SINGLE ROTATION (RIGHT - RIGHT) Before After Visit https://www.tutorialsduniya.com for Notes, books, programs, question papers with solutions etc. Visit https://www.tutorialsduniya.com for Notes, books, programs, question papers with solutions etc.
  • 32.
    TutorialsDuniya.com Download FREE ComputerScience Notes, Programs, Projects, Books PDF for any university student of BCA, MCA, B.Sc, B.Tech CSE, M.Sc, M.Tech at https://www.tutorialsduniya.com  PHP Notes  Python Programming  R Programming  Software Engineering  System Programming  Theory of Computation  Unix Network Programming  Web Design & Development  Information Security  Internet Technologies  Java Programming  JavaScript & jQuery  Machine Learning  Microprocessor  Operating System  DBMS & SQL Notes  Data Analysis & Visualization  Data Mining  Data Science  Data Structures  Deep Learning  Digital Image Processing  Discrete Mathematics  Computer System Architecture  Operational Research  Algorithms Notes  Artificial Intelligence  Android Programming  C & C++ Programming  Combinatorial Optimization  Computer Graphics  Computer Networks Please Share these Notes with your Friends as well
  • 33.
     In thistree, because of inserting a node in ‟Z‟ sub tree the AVL property is violated at node k1.  For node k1 the insertion is made to its right child „k2‟. For „k2‟ again the insertion is made in its right sub tree.  This problem is called as „RR‟ and fixed by single rotation. X<k1, k1<k2, Y<k2, Z>k1, Y>k1, Z>k2.  After rotation, all the above relationships are preserved.  k1‟s left child position and k2‟s right child position are not changed.  k2‟s left child becomes as k1‟s right child.  „k1‟ becomes as k2‟s left child. Set: k1->right=k2->left; K2->left=k1 Insert the following elements into an AVL tree: 3,2,1,4,5,6,7 It is not an AVL tree. AVL property is violated at node „3‟ because of insertion of ‟1‟ For „3‟, ‟1‟ is inserted in LL position. So apply LL rotation. In this tree, 2 nodes are there with BF=-2. But consider the node from leaf, „3‟ (i.e., near to leaf level). Insertion was made in RR position. Visit https://www.tutorialsduniya.com for Notes, books, programs, question papers with solutions etc. Visit https://www.tutorialsduniya.com for Notes, books, programs, question papers with solutions etc.
  • 34.
    At node „2‟the AVL property was violated. For node „2‟ the insertion is made at RR position. DOUBLE ROTATION Assume „ ‟ is a node that is not satisfying the AVL property (i.e., the BF is not 0, 1, or -1) because of the following insertions: 1. An insertion into the right sub tree of the left child . 2. An insertion into the left sub tree of the right child of . We can fix these two cases with double rotation. LEFT-RIGHT (LR Rotation) Before After Visit https://www.tutorialsduniya.com for Notes, books, programs, question papers with solutions etc. Visit https://www.tutorialsduniya.com for Notes, books, programs, question papers with solutions etc.
  • 35.
    This tree isbalanced. But if we insert the child for k2 (i.e., either „B‟ or „C‟) then the tree become unbalanced at node k3.  Here the insertion was made to left child of k3 (i.e., k1) and for k1 the insertion was made in right sub tree. So it is called LR imbalance and fixed by double rotation.  Before rotation the relationship among all elements in the tree are (all these should be preserved after rotation also): k1<k3, k1<k2 k2>k1, k2<k3 k3>k1, k3>k2 A<k1 B<k2, B>k1 C>k2, C<k3 After rotation also the relations must be preserved.  The positions of „A‟ and „D‟ are not changed  „B‟ becomes as left child of k1 (B>k1)  „C‟ becomes as left child of k3 (C<k3)  K2 becomes as parent.  K1 becomes as left child of k2. (k1<k2).  K3 becomes as right child of k2. (k3>k2). Set: k1->right=k2->left; k3->left=k2->right; k2->left=k1; k2->right k3. RIGHT-LEFT (RL Rotation) Before After This tree is balanced. But if we insert a child to k2 (i.e., B or C) then the AVL property is violated at node k1). Visit https://www.tutorialsduniya.com for Notes, books, programs, question papers with solutions etc. Visit https://www.tutorialsduniya.com for Notes, books, programs, question papers with solutions etc.
  • 36.
    In this treethe insertion was made to right child of k1 (i.e., k3) and for k3 the insert was made in left sub tree. So it is called RL imbalance.  Before rotation the relationships among all elements of the tree are: k1<k3 k2<k3 k3>k1 B<k2 C>k2 k1<k2 k2>k1 k3>k2 B>k1 C>k1 B<k3 C<k3  k2‟s children will be adjusted as child for k1 and k3.  After rotation also all these conditions should be preserved.  k1‟s left child „A‟, k3‟s right child „D‟ will remain in the same position.  B becomes as right child of k1 as B>k1.  C becomes as left child of k3 as C<k3.  k1 becomes as k2‟s left child.  k3 becomes as k2‟s right child. k3->left=k2->right; k1->right=k2->left; k2->left=k1; k2->right= k3; Example: Visit https://www.tutorialsduniya.com for Notes, books, programs, question papers with solutions etc. Visit https://www.tutorialsduniya.com for Notes, books, programs, question papers with solutions etc.
  • 37.
    Visit https://www.tutorialsduniya.com forNotes, books, programs, question papers with solutions etc. Visit https://www.tutorialsduniya.com for Notes, books, programs, question papers with solutions etc.
  • 38.
    Visit https://www.tutorialsduniya.com forNotes, books, programs, question papers with solutions etc. Visit https://www.tutorialsduniya.com for Notes, books, programs, question papers with solutions etc.
  • 39.
    AVL TREE ALGORITHMS AlgorithmAVLInsert(root, newdata) if(tree empty) insert newdata at root else if(newdata<root) AVLInsert(left subtree,newdata) if(left subtree taller) leftBalance(root) end if else AVLInsert(right subtree,newdata) if(right subtree taller) rightBalance(root) end if end if return root end AVLInsert Algorithm leftBalance(root) if(left subtree high) //Single rotation rotateRight(root) else //Double rotation rotateLeft(left subtree) rotateRight(root) end if end leftBalance Visit https://www.tutorialsduniya.com for Notes, books, programs, question papers with solutions etc. Visit https://www.tutorialsduniya.com for Notes, books, programs, question papers with solutions etc.
  • 40.
    Algorithm rightBalance(root) if(right subtreehigh) //Single rotation rotateLeft(root) else //Double rotation rotateRight(right subtree) rotateLeft(root) end if end rightBalance Algorithm rotateRight(root) exchange left subtree with right subtree of left subtree make left subtree new root end rotateRight Algorithm rotateLeft(root) exchange right subtree with left subtree of right subtree make right subtree new root end rotateLeft Algorithm AVLDelete(root,dltkey) //This algorithm deletes a node from AVL Tree and rebalances if necessary if(subtree empty) return NULL end if if(dltkey<root) set left subtree to AVLDelete(left subtree,dltkey) if(tree shorter) set root to deleteRightBalance(root) end if else if(dltkey>root) set right subtree to AVLDelete(right subtree,dltkey) if(tree shorter) set root to deleteLeftBalance(root) end if else save root if(no right subtree) return left subtree else if(no left subtree) Visit https://www.tutorialsduniya.com for Notes, books, programs, question papers with solutions etc. Visit https://www.tutorialsduniya.com for Notes, books, programs, question papers with solutions etc.
  • 41.
    return right subtree else findlargest node on left subtree save largest key copy data in largest to root set left subtree to AVLDelete(left subtree,largest key) if(tree shorter) set root to deleteRightBalance(root) end if end if end if return root end AVLDelete Algorithm deleteRightBalance(root) //The [sub]tree is shorter after a deletion on the left branch if(tree not balanced) set rightofRight to right subtree if(rightofRight left high) //Double rotation required set leftofRight to left subtree of rightofRight //Rotate right then left right subtree=rotateRight(rightofRight) root=rotateLeft(root) else //Single rotation required set root to rotateLeft(root) end if end if return root End deleteRightBalance AVL TREE DELETION  The deletion operation in AVL tree is similar to deletion in BST, except that after deletion if AVL tree is unbalanced make that as balanced tree either by single or double rotation.  Three possibilities for deletion: (1) Assume the element to be deleted is „x‟ (a) If „x‟ is a leaf node then remove „x‟. If the tree is unbalanced make it balanced. (b) If „x‟ has only one child then make parent of „x‟ parent for its child and remove x. (c) If „x‟ has two children then consider any one of the following possibilities: (i) Take the smallest value from the right sub tree. Let it occupy the position of „x‟ and remove it from right sub tree. Visit https://www.tutorialsduniya.com for Notes, books, programs, question papers with solutions etc. Visit https://www.tutorialsduniya.com for Notes, books, programs, question papers with solutions etc.
  • 42.
    (ii) Take thelargest value from the left sub tree. Let it occupy the position of „x‟ and remove it from left sub tree.  After deleting the element check the balance factor from the node where deletion was applied to root and if any unbalances are there fix them by rotations. Rotation Free Deletion  Some deletions do not require any rotation. Because after deletion also the tree preserves AVL property.  Previously the two sub trees have same height. But after deletion the height of sub trees will differ by „1‟. So there will be no problem. Visit https://www.tutorialsduniya.com for Notes, books, programs, question papers with solutions etc. Visit https://www.tutorialsduniya.com for Notes, books, programs, question papers with solutions etc.
  • 43.
    Visit https://www.tutorialsduniya.com forNotes, books, programs, question papers with solutions etc. Visit https://www.tutorialsduniya.com for Notes, books, programs, question papers with solutions etc.
  • 44.
    Visit https://www.tutorialsduniya.com forNotes, books, programs, question papers with solutions etc. Visit https://www.tutorialsduniya.com for Notes, books, programs, question papers with solutions etc.
  • 45.
    Visit https://www.tutorialsduniya.com forNotes, books, programs, question papers with solutions etc. Visit https://www.tutorialsduniya.com for Notes, books, programs, question papers with solutions etc.
  • 46.
    Visit https://www.tutorialsduniya.com forNotes, books, programs, question papers with solutions etc. Visit https://www.tutorialsduniya.com for Notes, books, programs, question papers with solutions etc.
  • 47.
    Maximum Height ofan AVL Tree  The height of an AVL tree „T‟ storing „n‟ keys is O(logn).  Assume n(h) is the minimum number of nodes in an AVL tree of height „h‟.  An AVL tree of height „h‟ contains: (a) A root node of height „h‟. (b) One AVL sub tree of height h-1 and the other AVL sub tree of height h-1 or h-2. Visit https://www.tutorialsduniya.com for Notes, books, programs, question papers with solutions etc. Visit https://www.tutorialsduniya.com for Notes, books, programs, question papers with solutions etc.
  • 48.
    TutorialsDuniya.com Download FREE ComputerScience Notes, Programs, Projects, Books PDF for any university student of BCA, MCA, B.Sc, B.Tech CSE, M.Sc, M.Tech at https://www.tutorialsduniya.com  PHP Notes  Python Programming  R Programming  Software Engineering  System Programming  Theory of Computation  Unix Network Programming  Web Design & Development  Information Security  Internet Technologies  Java Programming  JavaScript & jQuery  Machine Learning  Microprocessor  Operating System  DBMS & SQL Notes  Data Analysis & Visualization  Data Mining  Data Science  Data Structures  Deep Learning  Digital Image Processing  Discrete Mathematics  Computer System Architecture  Operational Research  Algorithms Notes  Artificial Intelligence  Android Programming  C & C++ Programming  Combinatorial Optimization  Computer Graphics  Computer Networks Please Share these Notes with your Friends as well
  • 49.
    So n(h) canbe defined as, n(h)=1+n(h-1)+n(h-2) where, n(h) - no. of nodes in a tree, n(h-1) - no. of nodes in left sub tree, n(h-2) - no. of nodes in right sub tree, 1 - for root node. n(h)=1+n(h-1)+n(h-2) for h≥3 (Since n(1)=1 and n(2)=2) We know that n(h-1) n(h-2). Ex: Suppose a tree has height h=4, then n(3) n(2)  In this n(3) is 4 and n(2) is 3 i.e., left sub tree has 3 nodes, and right sub tree has 4 nodes.  Since the height difference between left and right sub trees of an AVL tree is at most 1 in an AVL tree, the condition By substituting n(h-1) n(h-2) in the equation and dropping 1 we get, n(h)=n(h-1)+n(h-2)+1>2n(h-2) n(h)>2n(h-2) (solving this recursively we get series of inequalities) >2[2n((h-2)-2)] >4n(h-4) >8n(h-6) >16n(h-8) . .. n(h)> n(h-2i) (n(1)=1 and n(2)=2, we can consider 1 or 2 for h-2i ) Let i= (By taking h-2i=2) n(h)> .n(h-2( )) n(h)> .n(h- ) n(h)> .n(h-h+2) n(h)> .n(2) n(h)> /2*n(2) [since n(2)=2 i.e., a tree with height 2 has minimum 2 nodes] n(h)> /2*2 n(h)> log (n(h))>h/2 2log (n(h))>h h=O(log(n(h)) If number of nodes is n then h=O(logn). Visit https://www.tutorialsduniya.com for Notes, books, programs, question papers with solutions etc. Visit https://www.tutorialsduniya.com for Notes, books, programs, question papers with solutions etc.
  • 50.
    Download FREE ComputerScience Notes, Programs, Projects, Books for any university student of BCA, MCA, B.Sc, M.Sc, B.Tech CSE, M.Tech at https://www.tutorialsduniya.com Please Share these Notes with your Friends as well Download Complete Notes PDF for FREE at TutorialsDuniya.com TUTORIALSDUNIYA.COM Computer Science Notes