KEMBAR78
DAA-Divide and Conquer methodology, DAA 2024 | PPT
DESIGN AND ANALYSIS OF
ALGORITHMS
DIVIDE AND CONQUER
Algorithm Analysis and Design
Problem
DIVIDE AND CONQUER
STRATEGY
1. Divide
2. Conquer
3. Combine
Algorithm Analysis and Design
Control Abstraction for D and C
 A control abstraction is a procedure whose flow of control is clear but whose
primary operations are specified by other procedures whose precise meanings are
left undefined.
 The control abstraction for divide and conquer technique is DANDC(P), where P is
the problem to be solved.
Algorithm DANDC(P)
{
if SMALL(P) then return S(P);
else
{
divide P into smaller instances P1,P2,- - -, Pk for k>1
apply DANDC to each of these subproblems;
return combine(DANDC(P1),- - - ,DANDC(Pk));
}
}
Binary Search Algorithm
 Binary search is the search technique which works efficiently on the sorted
lists.
 Binary search follows divide and conquer approach in which, the list is
divided into two halves
 The search item is compared with the middle element of the list. If the
match is found then, the location of middle element is returned otherwise.
 Else we search into either of the halves depending upon the result produced
through the match.
A[0]………..A[m-1] A[m] A[m+1]…..A[n-1]
Search here
If key<A[m]
Search here
If key>A[m]
Key
Iterative Binary Search
Algorithm BinarySearch(A[0…n-1],key)
{
//Problem Description: This algorithm is for searching the element using binary search
//Input: An array A from which the key element is to be searched
//Output: Returns the index of an array element if it is equal to key otherwise it returns -1
low0
highn-1
while(low<=high) do
{
m(low+high) /2
if(key==A[m]) then
return m
else if(key<A[m]) then
highm-1
else
lowm+1
}
return -1
}
Recursive Binary Search
Algorithm Binarysearch(a,i,j,x)
{
if (i==j) then
{
if (x==a[i]) then return i;
else
return 0;
}
else
{
mid:= (i+j)/2;
if (x==a[mid] then return mid;
else if (x<a[mid]) then
return Binarysearch(a,i,mid-1,x);
else
return Binarysearch(a,mid+1,j,x);
}
}
Time Complexity
1.BestCase: The Best occurs when the item to be searched is
present in middle of the array. so the total number of
comparisons is 1.
T(n)= Ω(1) Best Case Complexity
2.Worst Case: The worst case occurs when the item to be
searched is compared with all the elements in the array.
The Recurrence relation can be written as
T(n)= 1 if n=1
T(n/2)+1 otherwise
Time required to
search either left/right
part of the array
Time required to
compare the middle
element
Worst Case Complexity Derivation
T(n)=T(n/2)+1
= 1+T(n/4)+1
=2+T(n/4)
=2+T(n/8)+1
=3+T(n/8)
=i+T(n/2i)
To get initial condition replace 2i by n
T(n) =i+T(n/n)
T(n) =i+T(1)
T(n) =i+1 Eq(1)
Take log on both sides for the equation 2i=n
log
22i=log
2n
i log
22=log
2n
i=log
2n Substitute i in Eq(1)
Worst Case Complexity
T(n)=log
2n
Performance Of Binary
Search Algorithm
Best Case
• O(1)
Average
Case
• O(logn)
Worst Case
• O(logn)
Algorithm Analysis and Design
Finding Maximum & Minimum
Algorithm straightmaxmin(a,n,max,min)
{
max:=a[0];
min:=a[0];
for i:= 1 to n-1 do
{
if (a[i]>max) then max:=a[i];
if (a[i]<min) then min:=a[i];
}
}
The above algorithm requires 2(n-1) Comparisons
Algorithm Analysis and Design
Improvement
Algorithm straightmaxmin(a,n,max,min)
{
max:=a[0]; min:=a[0];
for i:= 1to n-1do
{
if (a[i]>max) then max:=a[i];
else if (a[i]<min) then min:=a[i];
}
}
Best case- sorted in ascending order - n-1Comparisons
Worst case- sorted in descending order - 2(n-1) Comparisons
Algorithm Analysis and Design
Divide and Conquer Approach
• Split input into smaller subsets
• Repeat until input size is 1 or 2
Algorithm Analysis and Design
MaxMin Algorithm
Algorithm maxmin(i,j,max,min)
{if (i==j) then max:=min:=a[i];
else if (i==j-1) then{
if (a[i]<a[j]) then
{
max:=a[j];min:=a[i];
}
else
{
max:=a[i];min:=a[j];
}
}
else
{ mid:= (i+j)/2 ;
maxmin( i,mid,max,min); = max=3, min=2
maxmin(mid+1,j,max1,min1);MAX1=5 max1=6, min1=4
if (max<max1) then max:=max1; max =5
if (min>min1) then min:= min1; min = 2
}}
2 3 5 6 4
i
j
2 3 5 6 4
i j
2 3 5 6 4
i j
Algorithm Analysis and Design
Time Complexity
T(n)= = 0 for n=1
1 for n=2
T(n/2)+T(n/2)+2 for n>2
Time required to
find max &min in
second sublist
Time required to
find max &min in
first sublist
Time required to
conquer max &min
from both the
sublist
Recurrence Relation
T(n)=2T(n/2)+2 eq(1)
Substitute n/2 in place of n in eq(1)
T(n/2)=2T(n/4)+2 eq(2)
Substitute n/4in place of n in eq(1)
T(n/4)=2T(n/8)+2 eq(3)
Substitute eq(2) in eq(1)
T(n)=2(2T(n/4)+2)+2
=4T(n/4)+4+2 eq(4)
substitute eq(3) in eq(4)
T(n)=4(2T(n/8)+2)+4+2
=8T(n/8)+8+4+2
So T(n)= 23 T(n/ 23 )+ 23+ 22 + 21
In general we can write it as
T(n)= 2k T(n/ 2k )+ 21+ 22 + 23 +…..+ 2k eq(5)
Recurrence Relation
T(n)= 2 log
2
n-1 T(2)+ 21+ 22 + 23 +…..+ 2 log
2
n-1
= 2 log
2
n+ 21+ 22 + 23 +…..+ 2 log
2
n-1
2
=n/2+[2(2 log
2
n-1 -1)]
2-1
=n/2+2. 2 log
2
n -2
2
=n/2+n-2
=(3n-4)/2
=1.5n-2
=O(n)
Assumption
Let n/ 2k =2
n= 2k .2
n= 2k+1
Apply log on both the sides
log
2 n=(k+1) log22
K= log
2 n-1
Apply geometric series
formula
21+ 22 + 23 +…..+ 2 k
= a(rk-1)
r-1
Performance Of Max & Min
Algorithm
Best Case
• O(0)
Average
Case
• O(n)
Worst Case
• O(n)
MERGE SORT
 Merge sort is an efficient, general-purpose, comparison based
sorting algorithm.
 Merge Sort is a Divide and Conquer algorithm.
 It divides input array in two halves, calls itself for the two
halves and then merges the two sorted halves.
 The merge() function is used for merging two halves.
Merge Sort Algorithm
Algorithm Mergesort (A[0…n-1], low, high)
{
//P.D: This algorithm is for sorting the elements using merge sort.
//Input: An Array A of unsorted elements.
// Output: Sorted array A[0…n-1]
if (low<high) then
{
mid:= (low+high)/2
Mergesort(A,low,mid);
Mergesort(A,mid+1,high);
Merge(A,low,mid,high);
}
}
Algorithm Analysis and Design
Algorithm Merge
Algorithm Merge(A, low, mid, high)
{k:=low ; i:=low; j:=mid+1;
while ((i<=mid) and (j<=high)) do
{
if (A[i]<=A[j]) then
{ temp[k]:=A[i]
i:=i+1;k:=k+1;}
else
{ temp[k]:=A[j];
j:=j+1;
k:=k+1;}}
While(i<=mid) do
{
temp[k]:=A[i];
i:=i+1;
k:=k+1;
}
While(j<=high) do
{
temp[k]:=A[j];
j:=j+1;
k:=k+1;
}}
//Copy remaining
elements of right sub
list to temp
//Copy remaining
elements of left sub
list to temp
//If smaller element is present in left sub list copy that
smaller element to temp array
//If smaller element is present in right sub list copy that
smaller element to temp array
2 3 5 6 4
i j
2 3 5 6 4
k
2 3 5 6 4
i j
k
temp
Algorithm Analysis and Design
Time Complexity
Recurrence relation can be written as
T(n) = 0 for n=1
T(n/2)+T(n/2)+n for n>1
Time required to
sort left part of the
array
Time required to
sort right part of
the array
Time required to merge 2
sub lists
Recurrence Relation
T(n)=2T(n/2)+n
The above equation is of the form
T(n)=a T(n/b)+f(n)
In the above equation a=2,b=2,d=1
a=bd holds
good
2=21
Therefore T(n)= Ɵ(n log2n )
Performance Of Merge Sort
Algorithm
Best Case
• Ɵ(n log2n )
Average
Case
• Ɵ(n log2n )
Worst Case
• Ɵ(n log2n )
Quick Sort
 This sorting algorithm uses the idea of divide and
conquer.
 It finds the element called pivot which divides the
array into two halves in such a way that elements
in the left half are smaller than pivot and elements
in the right half are greater than pivot.
Steps in Quick Sort Algorithm
Quick Sort Algorithm follows 3 steps
•Find pivot that divides the array into two
halves.
•Quick sort the left half.
•Quick sort the right half.
Quick sort Algorithm
Algorithm Quick(A[0…n-1],low, high)
{
//P.D:This algorithm performs sorting of the elements given in arrray A[0..n-1]
//i/p: An array A[0..n-1] in which unsorted elements are given.
//o/p: An array A[0..n-1] which is in sorted format.
if(low<high)
{
//split the array into 2 sub arrays
m=partition(A[low…high])
Quick(A[low….m-1])
Quick(A[m+1…high])
}
Algorithm partition(a[low…high])
{
//PD:This algorithm partitions the subarray using first element as pivot element.
//i/p:A subarray A with with low as leftmost index of the array and high as the rightmost index of
the array
//o/p:The partitioning of array A is done and pivot occupies its proper position .
pivot=A[low]
i=low
j=high
while(i<=j) do
{
while(A[i]<=pivot) do
i=i+1
while(A[j]>=pivot) do
j=j-1
if(i<=j) then
swap(A[i],A[j])
}
swap(A[low],A[j])
return j
}
 Sort a given set of elements using the Quick
sort method and determine the time required
to sort the elements. Repeat the experiment
for different values of n, the number of
elements in the list to be sorted and plot a
graph of the time taken versus n. The
elements can be read from a file or can be
generated using the random number
generator.
Apply Quick sort algorithm on 5 3 1 9 8 2 4 7
5 3 1 9 8 2 4 7
0 1 2 3 4 5 6 7
P, i j
0 1 2 3 4 5 6 7
5 3 1 9 8 2 4 7
P i -> i -> i j <- j
Swap A[3] and A[6]
5 3 1 4 8 2 9 7
0 1 2 3 4 5 6 7
P i-> i j <- j
 A[5]
 A[0]=4, A[1]=2, A[2]=6, A[3]=7,A[4]=9
 P=A[0]=4
 i=0, j=4
5 3 1 4 2 8 9 7
0 1 2 3 4 5 6 7
P i j
0 1 2 3 4 5 6 7
5 3 1 4 2 8 9 7
P j i
Swap A[low] and A[4]
2 3 1 4 5 8 9 7
0 1 2 3 4 5 6 7
Left sublist pivot Right sublist
Swap A[4] and A[5]
Algorithm Analysis and Design
Consider left sublist
2 3 1 4
0 1 2 3
P, i j
0 1 2 3
2 3 1 4
p i j <-j
Swap A[i] and A[j]
2 1 3 4
Swap A[j] and A[low]
P j i
1 2 3 4
p
Consider right sublist
8 9 7
0 1 2
P,i j
0 1 2
8 9 7
P i j
Swap A[i] and A[j]
8 7 9
j i
Swap A[j] and A[low]
7 8 9
So finally we get
1 2 3 4 5 7 8 9
Algorithm Analysis and Design
Time Complexity
Recurrence relation can be written as
T(n) = 0 for n=1
T(n/2)+T(n/2)+n for n>1
Time required to
sort left part of the
array
Time required to
sort right part of
the array
Time required to partition
into 2 sub lists
Recurrence Relation
T(n)=2T(n/2)+n
The above equation is of the form
T(n)=a T(n/b)+f(n)
In the above equation a=2,b=2,d=1
a=bd holds
good
2=21
Therefore T(n)= Ɵ(n log2n )
Performance Of Quick Sort
Algorithm
Best Case
• Ɵ(n logn )
Average
Case
• Ɵ(n logn )
Worst case Time Complexity
 The worst case occurs when at each invocation of the procedure ,the
current array is partitioned into 2 sub arrays with one of them being empty.
 This situation occurs if all the elements are arranged in ascending order or
descending order.
 Ex: consider an array[22,33,44,55] then partitions would be:
22 [33,44,55] //after partition, there are no elements at the left of 22 and 3 elements at
right side of 22
 In general, if the array has n elements after partitioning, in the worst case
n-1 elements will be there towards right & 0 elements will be there towards
left of the pivot element
Worst Case Time Complexity
Recurrence relation can be written as
0 for n=1
T(n)= T(0)+T(n-1)+n for n>1
Time required to partition
the array into 2 subarrays
It indicates that there are no
elements towards left & it
can be equated to zero
required to partition the
array into 2 subarrays
Time required to
sort remaining n-1
elements
Recurrence Relation
T(n)=T(0)+T(n-1) +n eq(1)
T(n)=T(n-1) +n
= T(n-2) +(n-1) +n
= T(n-3) +(n-2)+(n-1) +n
:
:
In general we can write it as
T(n)=T(n-n) + 1+ 2+3 +..+(n-2)+(n-1)+ n
=T(0) +1+ 2+3 +..+(n-2)+(n-1)+ n
= 0 + 1+ 2+ 3+..+(n-2)+(n-1)+ n
=1+ 2+ 3+..+(n-2)+(n-1)+ n
=n(n+1)/2
=n2 /2 + n/2
Worst Case Complexity
T(n)= O(n2 )
Performance Of Quick Sort
Algorithm
Best Case
• Ɵ(n logn )
Average
Case
• Ɵ(n logn )
Worst Case
• Ɵ(n2 )
Strassen’s Matrix Multiplicataions
• To multiply 2 matrices of size n i,e C=A*B.we
require 8 multiplications and 4 additions.
• Thus the time complexity of normal matrix
multiplications is O(n3).
• But Strassen showed that 2*2 matrix multiplication
can be accomplished in 7 multiplications and 18
additions.
 m x n m x n
 For(i=0;i<n;i++)
 {
 For(j-0;j<n;j++)
 {
 For(k=0;k<n;k++)
 C[i][j]+=a[i][k] * b[k][j]
 }
 }
 }
A11 A12 B11 B12
A21 A22 B21 B22
[ [
[
[ [ [
X =
C11 C12
C21 C22
 m x n m x n
 C11 = a11*b11 + a12 *b21
 C12= a11*b12 + a12*b22
 C21= a21*b11 + a22 * b21
 C22 = a21*b12 + a22 * b22
A11 A12 B11 B12
A21 A22 B21 B22
[ [
[
[ [ [
X =
C11 C12
C21 C22
 The Divide and Conquer approach can be used for
implementing Strassen’s matrix multiplication.
 Divide: Divide matrices into sub matrices A0, A1, A2
..etc.
 Conquer: Use a group of matrix multiplication
equations.
 Combine: Recursively multiply sub matrices and get
the final result of multiplication after performing
required addition/subtractions.
Strassesn’s formula’s for Matrix Multiplication
[ [
[
[ [ [
X =
A11 A12 B11 B12
A21 A22 B21 B22
C11 C12
C21 C22
S1= (A11+ A22 )(B11 +B22 )
S2= (A21+ A22 )B11
S3= A11(B12 - B22 )
S4= A22 (B21 –B11 )
S5= (A11+ A12 )B22
S6= (A21 –A11 ) (B11 +B12 )
S7= (A12 -A22 )(B21 +B22 )
C11 =s1+s4-s5+s7
C12 =s3+s5
C21 =s2+s4
C22=s1+s3-s2+s6
Problem on Strassen’s
Implement Strassen’s matrix multiplication on A and B
3 2 4 7
2 5 2 9
3 9 0 3
7 6 2 1
B=
A=
5 3 0 2
4 3 2 6
7 8 1 4
9 4 6 7
The given matrix is of the order 4*4.Hence we will subdivide it into
2*2 sub matrices.
5 3 0 2
4 3 2 6
7 8 1 4
9 4 6 7
3 2 4 7
2 5 2 9
3 9 0 3
7 6 2 1
A= B=
1
2
1 2
1
2
S1= (A11+ A22 )(B11 +B22 )
= + +
S1= =
5 3
4 3
1 4
6 7
3 2
2 5
0 3
2 1
6 7
10 10
3 5
4 6
6*3+7*4 6*5+7*6
10*3+10*4 10*5+10*6
46 72
70 110
S1=
S2= (A21+ A22 )B11
+
7 8
9 4
1 4
6 7
3 2
2 5
48 76
67 85
S2=
S3= A11(B12 - B22 )
-
5 3
4 3
4 7
2 9
0 3
2 1
20 44
16 40
S3 =
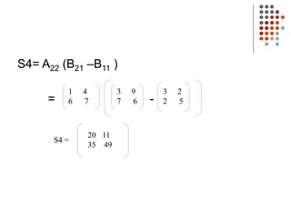
S4= A22 (B21 –B11 )
= -
1 4
6 7
3 9
7 6
3 2
2 5
20 11
35 49
S4 =
S5= (A11+ A12 )B22
= +
5 3
4 3
0 2
2 6
0 3
2 1
10 20
18 27
S5 =
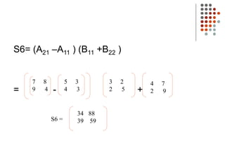
S6= (A21 –A11 ) (B11 +B22 )
= - +
7 8
9 4
5 3
4 3
3 2
2 5
4 7
2 9
34 88
39 59
S6 =
S7= (A12 -A22 )(B21 +B22 )
- * +
0 2
2 6
1 4
6 7
3 9
7 6
0 3
2 1
-21 -26
-21 -55
S7 =
C11 =s1+s4-s5+s7
= C22=s1+s3-s2+s6
=
C12 =s3+s5
=
C21 =s2+s4
=
35 37
66 77
30 64
34 67
68 87
102 134
52 128
58 124
Thus the final product matrix c will be
=
C11 C12
C21 C22
35 37 30 64
66 77 34 67
68 87 52 128
102 134 58 124
Time Complexity
T(n)= 1 n<=2
7T(n/2)+18(n/2)2 n>2
By using Master’s Theorem
T(n)=a T(n/b)+f(n)
T(n)= 7T(n/2)+18(n/2)2
a=7,b=2,d=2
Since a> bd
T(n)=Ɵ(nlog
b
a )
=Ɵ(nlog
2
7 )=Ɵ(n2.807 )
T(n)= Ɵ(n2.807 ) Time Complexity
Algorithm Analysis and Design

DAA-Divide and Conquer methodology, DAA 2024

  • 1.
    DESIGN AND ANALYSISOF ALGORITHMS DIVIDE AND CONQUER
  • 2.
    Algorithm Analysis andDesign Problem DIVIDE AND CONQUER STRATEGY 1. Divide 2. Conquer 3. Combine
  • 3.
    Algorithm Analysis andDesign Control Abstraction for D and C  A control abstraction is a procedure whose flow of control is clear but whose primary operations are specified by other procedures whose precise meanings are left undefined.  The control abstraction for divide and conquer technique is DANDC(P), where P is the problem to be solved. Algorithm DANDC(P) { if SMALL(P) then return S(P); else { divide P into smaller instances P1,P2,- - -, Pk for k>1 apply DANDC to each of these subproblems; return combine(DANDC(P1),- - - ,DANDC(Pk)); } }
  • 4.
    Binary Search Algorithm Binary search is the search technique which works efficiently on the sorted lists.  Binary search follows divide and conquer approach in which, the list is divided into two halves  The search item is compared with the middle element of the list. If the match is found then, the location of middle element is returned otherwise.  Else we search into either of the halves depending upon the result produced through the match. A[0]………..A[m-1] A[m] A[m+1]…..A[n-1] Search here If key<A[m] Search here If key>A[m] Key
  • 5.
    Iterative Binary Search AlgorithmBinarySearch(A[0…n-1],key) { //Problem Description: This algorithm is for searching the element using binary search //Input: An array A from which the key element is to be searched //Output: Returns the index of an array element if it is equal to key otherwise it returns -1 low0 highn-1 while(low<=high) do { m(low+high) /2 if(key==A[m]) then return m else if(key<A[m]) then highm-1 else lowm+1 } return -1 }
  • 6.
    Recursive Binary Search AlgorithmBinarysearch(a,i,j,x) { if (i==j) then { if (x==a[i]) then return i; else return 0; } else { mid:= (i+j)/2; if (x==a[mid] then return mid; else if (x<a[mid]) then return Binarysearch(a,i,mid-1,x); else return Binarysearch(a,mid+1,j,x); } }
  • 7.
    Time Complexity 1.BestCase: TheBest occurs when the item to be searched is present in middle of the array. so the total number of comparisons is 1. T(n)= Ω(1) Best Case Complexity
  • 8.
    2.Worst Case: Theworst case occurs when the item to be searched is compared with all the elements in the array. The Recurrence relation can be written as T(n)= 1 if n=1 T(n/2)+1 otherwise Time required to search either left/right part of the array Time required to compare the middle element
  • 9.
    Worst Case ComplexityDerivation T(n)=T(n/2)+1 = 1+T(n/4)+1 =2+T(n/4) =2+T(n/8)+1 =3+T(n/8) =i+T(n/2i) To get initial condition replace 2i by n T(n) =i+T(n/n) T(n) =i+T(1) T(n) =i+1 Eq(1) Take log on both sides for the equation 2i=n log 22i=log 2n i log 22=log 2n i=log 2n Substitute i in Eq(1) Worst Case Complexity T(n)=log 2n
  • 10.
    Performance Of Binary SearchAlgorithm Best Case • O(1) Average Case • O(logn) Worst Case • O(logn)
  • 11.
    Algorithm Analysis andDesign Finding Maximum & Minimum Algorithm straightmaxmin(a,n,max,min) { max:=a[0]; min:=a[0]; for i:= 1 to n-1 do { if (a[i]>max) then max:=a[i]; if (a[i]<min) then min:=a[i]; } } The above algorithm requires 2(n-1) Comparisons
  • 12.
    Algorithm Analysis andDesign Improvement Algorithm straightmaxmin(a,n,max,min) { max:=a[0]; min:=a[0]; for i:= 1to n-1do { if (a[i]>max) then max:=a[i]; else if (a[i]<min) then min:=a[i]; } } Best case- sorted in ascending order - n-1Comparisons Worst case- sorted in descending order - 2(n-1) Comparisons
  • 13.
    Algorithm Analysis andDesign Divide and Conquer Approach • Split input into smaller subsets • Repeat until input size is 1 or 2
  • 14.
    Algorithm Analysis andDesign MaxMin Algorithm Algorithm maxmin(i,j,max,min) {if (i==j) then max:=min:=a[i]; else if (i==j-1) then{ if (a[i]<a[j]) then { max:=a[j];min:=a[i]; } else { max:=a[i];min:=a[j]; } } else { mid:= (i+j)/2 ; maxmin( i,mid,max,min); = max=3, min=2 maxmin(mid+1,j,max1,min1);MAX1=5 max1=6, min1=4 if (max<max1) then max:=max1; max =5 if (min>min1) then min:= min1; min = 2 }}
  • 15.
    2 3 56 4 i j 2 3 5 6 4 i j 2 3 5 6 4 i j
  • 16.
    Algorithm Analysis andDesign Time Complexity T(n)= = 0 for n=1 1 for n=2 T(n/2)+T(n/2)+2 for n>2 Time required to find max &min in second sublist Time required to find max &min in first sublist Time required to conquer max &min from both the sublist
  • 17.
    Recurrence Relation T(n)=2T(n/2)+2 eq(1) Substituten/2 in place of n in eq(1) T(n/2)=2T(n/4)+2 eq(2) Substitute n/4in place of n in eq(1) T(n/4)=2T(n/8)+2 eq(3) Substitute eq(2) in eq(1) T(n)=2(2T(n/4)+2)+2 =4T(n/4)+4+2 eq(4) substitute eq(3) in eq(4) T(n)=4(2T(n/8)+2)+4+2 =8T(n/8)+8+4+2 So T(n)= 23 T(n/ 23 )+ 23+ 22 + 21 In general we can write it as T(n)= 2k T(n/ 2k )+ 21+ 22 + 23 +…..+ 2k eq(5)
  • 18.
    Recurrence Relation T(n)= 2log 2 n-1 T(2)+ 21+ 22 + 23 +…..+ 2 log 2 n-1 = 2 log 2 n+ 21+ 22 + 23 +…..+ 2 log 2 n-1 2 =n/2+[2(2 log 2 n-1 -1)] 2-1 =n/2+2. 2 log 2 n -2 2 =n/2+n-2 =(3n-4)/2 =1.5n-2 =O(n) Assumption Let n/ 2k =2 n= 2k .2 n= 2k+1 Apply log on both the sides log 2 n=(k+1) log22 K= log 2 n-1 Apply geometric series formula 21+ 22 + 23 +…..+ 2 k = a(rk-1) r-1
  • 19.
    Performance Of Max& Min Algorithm Best Case • O(0) Average Case • O(n) Worst Case • O(n)
  • 20.
    MERGE SORT  Mergesort is an efficient, general-purpose, comparison based sorting algorithm.  Merge Sort is a Divide and Conquer algorithm.  It divides input array in two halves, calls itself for the two halves and then merges the two sorted halves.  The merge() function is used for merging two halves.
  • 21.
    Merge Sort Algorithm AlgorithmMergesort (A[0…n-1], low, high) { //P.D: This algorithm is for sorting the elements using merge sort. //Input: An Array A of unsorted elements. // Output: Sorted array A[0…n-1] if (low<high) then { mid:= (low+high)/2 Mergesort(A,low,mid); Mergesort(A,mid+1,high); Merge(A,low,mid,high); } }
  • 22.
    Algorithm Analysis andDesign Algorithm Merge Algorithm Merge(A, low, mid, high) {k:=low ; i:=low; j:=mid+1; while ((i<=mid) and (j<=high)) do { if (A[i]<=A[j]) then { temp[k]:=A[i] i:=i+1;k:=k+1;} else { temp[k]:=A[j]; j:=j+1; k:=k+1;}} While(i<=mid) do { temp[k]:=A[i]; i:=i+1; k:=k+1; } While(j<=high) do { temp[k]:=A[j]; j:=j+1; k:=k+1; }} //Copy remaining elements of right sub list to temp //Copy remaining elements of left sub list to temp //If smaller element is present in left sub list copy that smaller element to temp array //If smaller element is present in right sub list copy that smaller element to temp array
  • 23.
    2 3 56 4 i j 2 3 5 6 4 k 2 3 5 6 4 i j k temp
  • 24.
    Algorithm Analysis andDesign Time Complexity Recurrence relation can be written as T(n) = 0 for n=1 T(n/2)+T(n/2)+n for n>1 Time required to sort left part of the array Time required to sort right part of the array Time required to merge 2 sub lists
  • 25.
    Recurrence Relation T(n)=2T(n/2)+n The aboveequation is of the form T(n)=a T(n/b)+f(n) In the above equation a=2,b=2,d=1 a=bd holds good 2=21 Therefore T(n)= Ɵ(n log2n )
  • 26.
    Performance Of MergeSort Algorithm Best Case • Ɵ(n log2n ) Average Case • Ɵ(n log2n ) Worst Case • Ɵ(n log2n )
  • 27.
    Quick Sort  Thissorting algorithm uses the idea of divide and conquer.  It finds the element called pivot which divides the array into two halves in such a way that elements in the left half are smaller than pivot and elements in the right half are greater than pivot.
  • 28.
    Steps in QuickSort Algorithm Quick Sort Algorithm follows 3 steps •Find pivot that divides the array into two halves. •Quick sort the left half. •Quick sort the right half.
  • 29.
    Quick sort Algorithm AlgorithmQuick(A[0…n-1],low, high) { //P.D:This algorithm performs sorting of the elements given in arrray A[0..n-1] //i/p: An array A[0..n-1] in which unsorted elements are given. //o/p: An array A[0..n-1] which is in sorted format. if(low<high) { //split the array into 2 sub arrays m=partition(A[low…high]) Quick(A[low….m-1]) Quick(A[m+1…high]) }
  • 30.
    Algorithm partition(a[low…high]) { //PD:This algorithmpartitions the subarray using first element as pivot element. //i/p:A subarray A with with low as leftmost index of the array and high as the rightmost index of the array //o/p:The partitioning of array A is done and pivot occupies its proper position . pivot=A[low] i=low j=high while(i<=j) do { while(A[i]<=pivot) do i=i+1 while(A[j]>=pivot) do j=j-1 if(i<=j) then swap(A[i],A[j]) } swap(A[low],A[j]) return j }
  • 31.
     Sort agiven set of elements using the Quick sort method and determine the time required to sort the elements. Repeat the experiment for different values of n, the number of elements in the list to be sorted and plot a graph of the time taken versus n. The elements can be read from a file or can be generated using the random number generator.
  • 32.
    Apply Quick sortalgorithm on 5 3 1 9 8 2 4 7 5 3 1 9 8 2 4 7 0 1 2 3 4 5 6 7 P, i j 0 1 2 3 4 5 6 7 5 3 1 9 8 2 4 7 P i -> i -> i j <- j Swap A[3] and A[6] 5 3 1 4 8 2 9 7 0 1 2 3 4 5 6 7 P i-> i j <- j
  • 33.
     A[5]  A[0]=4,A[1]=2, A[2]=6, A[3]=7,A[4]=9  P=A[0]=4  i=0, j=4
  • 34.
    5 3 14 2 8 9 7 0 1 2 3 4 5 6 7 P i j 0 1 2 3 4 5 6 7 5 3 1 4 2 8 9 7 P j i Swap A[low] and A[4] 2 3 1 4 5 8 9 7 0 1 2 3 4 5 6 7 Left sublist pivot Right sublist Swap A[4] and A[5]
  • 35.
    Algorithm Analysis andDesign Consider left sublist 2 3 1 4 0 1 2 3 P, i j 0 1 2 3 2 3 1 4 p i j <-j Swap A[i] and A[j] 2 1 3 4 Swap A[j] and A[low] P j i 1 2 3 4 p
  • 36.
    Consider right sublist 89 7 0 1 2 P,i j 0 1 2 8 9 7 P i j Swap A[i] and A[j] 8 7 9 j i Swap A[j] and A[low] 7 8 9 So finally we get 1 2 3 4 5 7 8 9
  • 37.
    Algorithm Analysis andDesign Time Complexity Recurrence relation can be written as T(n) = 0 for n=1 T(n/2)+T(n/2)+n for n>1 Time required to sort left part of the array Time required to sort right part of the array Time required to partition into 2 sub lists
  • 38.
    Recurrence Relation T(n)=2T(n/2)+n The aboveequation is of the form T(n)=a T(n/b)+f(n) In the above equation a=2,b=2,d=1 a=bd holds good 2=21 Therefore T(n)= Ɵ(n log2n )
  • 39.
    Performance Of QuickSort Algorithm Best Case • Ɵ(n logn ) Average Case • Ɵ(n logn )
  • 40.
    Worst case TimeComplexity  The worst case occurs when at each invocation of the procedure ,the current array is partitioned into 2 sub arrays with one of them being empty.  This situation occurs if all the elements are arranged in ascending order or descending order.  Ex: consider an array[22,33,44,55] then partitions would be: 22 [33,44,55] //after partition, there are no elements at the left of 22 and 3 elements at right side of 22  In general, if the array has n elements after partitioning, in the worst case n-1 elements will be there towards right & 0 elements will be there towards left of the pivot element
  • 41.
    Worst Case TimeComplexity Recurrence relation can be written as 0 for n=1 T(n)= T(0)+T(n-1)+n for n>1 Time required to partition the array into 2 subarrays It indicates that there are no elements towards left & it can be equated to zero required to partition the array into 2 subarrays Time required to sort remaining n-1 elements
  • 42.
    Recurrence Relation T(n)=T(0)+T(n-1) +neq(1) T(n)=T(n-1) +n = T(n-2) +(n-1) +n = T(n-3) +(n-2)+(n-1) +n : : In general we can write it as T(n)=T(n-n) + 1+ 2+3 +..+(n-2)+(n-1)+ n =T(0) +1+ 2+3 +..+(n-2)+(n-1)+ n = 0 + 1+ 2+ 3+..+(n-2)+(n-1)+ n =1+ 2+ 3+..+(n-2)+(n-1)+ n =n(n+1)/2 =n2 /2 + n/2 Worst Case Complexity T(n)= O(n2 )
  • 43.
    Performance Of QuickSort Algorithm Best Case • Ɵ(n logn ) Average Case • Ɵ(n logn ) Worst Case • Ɵ(n2 )
  • 44.
    Strassen’s Matrix Multiplicataions •To multiply 2 matrices of size n i,e C=A*B.we require 8 multiplications and 4 additions. • Thus the time complexity of normal matrix multiplications is O(n3). • But Strassen showed that 2*2 matrix multiplication can be accomplished in 7 multiplications and 18 additions.
  • 45.
     m xn m x n  For(i=0;i<n;i++)  {  For(j-0;j<n;j++)  {  For(k=0;k<n;k++)  C[i][j]+=a[i][k] * b[k][j]  }  }  } A11 A12 B11 B12 A21 A22 B21 B22 [ [ [ [ [ [ X = C11 C12 C21 C22
  • 46.
     m xn m x n  C11 = a11*b11 + a12 *b21  C12= a11*b12 + a12*b22  C21= a21*b11 + a22 * b21  C22 = a21*b12 + a22 * b22 A11 A12 B11 B12 A21 A22 B21 B22 [ [ [ [ [ [ X = C11 C12 C21 C22
  • 47.
     The Divideand Conquer approach can be used for implementing Strassen’s matrix multiplication.  Divide: Divide matrices into sub matrices A0, A1, A2 ..etc.  Conquer: Use a group of matrix multiplication equations.  Combine: Recursively multiply sub matrices and get the final result of multiplication after performing required addition/subtractions.
  • 48.
    Strassesn’s formula’s forMatrix Multiplication [ [ [ [ [ [ X = A11 A12 B11 B12 A21 A22 B21 B22 C11 C12 C21 C22 S1= (A11+ A22 )(B11 +B22 ) S2= (A21+ A22 )B11 S3= A11(B12 - B22 ) S4= A22 (B21 –B11 ) S5= (A11+ A12 )B22 S6= (A21 –A11 ) (B11 +B12 ) S7= (A12 -A22 )(B21 +B22 ) C11 =s1+s4-s5+s7 C12 =s3+s5 C21 =s2+s4 C22=s1+s3-s2+s6
  • 49.
    Problem on Strassen’s ImplementStrassen’s matrix multiplication on A and B 3 2 4 7 2 5 2 9 3 9 0 3 7 6 2 1 B= A= 5 3 0 2 4 3 2 6 7 8 1 4 9 4 6 7 The given matrix is of the order 4*4.Hence we will subdivide it into 2*2 sub matrices. 5 3 0 2 4 3 2 6 7 8 1 4 9 4 6 7 3 2 4 7 2 5 2 9 3 9 0 3 7 6 2 1 A= B= 1 2 1 2 1 2
  • 50.
    S1= (A11+ A22)(B11 +B22 ) = + + S1= = 5 3 4 3 1 4 6 7 3 2 2 5 0 3 2 1 6 7 10 10 3 5 4 6 6*3+7*4 6*5+7*6 10*3+10*4 10*5+10*6 46 72 70 110 S1=
  • 51.
    S2= (A21+ A22)B11 + 7 8 9 4 1 4 6 7 3 2 2 5 48 76 67 85 S2=
  • 52.
    S3= A11(B12 -B22 ) - 5 3 4 3 4 7 2 9 0 3 2 1 20 44 16 40 S3 =
  • 53.
    S4= A22 (B21–B11 ) = - 1 4 6 7 3 9 7 6 3 2 2 5 20 11 35 49 S4 =
  • 54.
    S5= (A11+ A12)B22 = + 5 3 4 3 0 2 2 6 0 3 2 1 10 20 18 27 S5 =
  • 55.
    S6= (A21 –A11) (B11 +B22 ) = - + 7 8 9 4 5 3 4 3 3 2 2 5 4 7 2 9 34 88 39 59 S6 =
  • 56.
    S7= (A12 -A22)(B21 +B22 ) - * + 0 2 2 6 1 4 6 7 3 9 7 6 0 3 2 1 -21 -26 -21 -55 S7 =
  • 57.
    C11 =s1+s4-s5+s7 = C22=s1+s3-s2+s6 = C12=s3+s5 = C21 =s2+s4 = 35 37 66 77 30 64 34 67 68 87 102 134 52 128 58 124
  • 58.
    Thus the finalproduct matrix c will be = C11 C12 C21 C22 35 37 30 64 66 77 34 67 68 87 52 128 102 134 58 124
  • 59.
    Time Complexity T(n)= 1n<=2 7T(n/2)+18(n/2)2 n>2 By using Master’s Theorem T(n)=a T(n/b)+f(n) T(n)= 7T(n/2)+18(n/2)2 a=7,b=2,d=2 Since a> bd T(n)=Ɵ(nlog b a ) =Ɵ(nlog 2 7 )=Ɵ(n2.807 ) T(n)= Ɵ(n2.807 ) Time Complexity
  • 60.