KEMBAR78
Merge sort algorithm power point presentation | PPTX
Welcome
University of Science & Technology,
Chittagong
Faculty of Science, Engineering &
Technology
Department: Computer Science &
Engineering
Course Title: Algorithm lab
Course code: CSE 222
Semester: 4th
Batch: 25th
Submitted by:
Name: Md Abdul Kuddus
Roll: 15010102
Submitted to:
Sohrab Hossain , Assistant Professor,
Department of CSE,FSET,USTC
Presentation Topic:
MERGE SORT
MERGE SORT :
Merge sort was invented by John Von Neumann
(1903 - 1957)
Merge sort is divide & conquer technique of sorting
element
Merge sort is one of the most efficient sorting
algorithm
Time complexity of merge sort is O(n log n)
DIVIDE & CONQUER
• DIVIDE : Divide the unsorted list into two sub lists of
about half the size
• CONQUER : Sort each of the two sub lists recursively.
If they are small enough just solve them in a straight
forward manner
• COMBINE : Merge the two-sorted sub lists back into
one sorted list
DIVIDE & CONQUER TECHNIQUE
a problem of size n
sub problem 1 of size n/2
sub problem 2 of
size n/2
a solution to sub
problem 1
a solution to sub
problem 2
a solution to the
original problem
MERGE SORT PROCESS :
• The list is divided into two equal (as equal as
possible) part
• There are different ways to divide the list into two
equal part
• The following algorithm divides the list until the list
has just one item which are sorted
• Then with recursive merge function calls these
smaller pieces merge
MERGE SORT ALGORITHM :
• Merge(A[],p , q , r)
{ n1 = q – p + 1
n2 = r – q
Let L[1 to n1+1] and R[1 to n2+1] be new array
for(i = 1 to n1)
L[i] = A[p + i - 1]
for(j = 1 to n2)
R[j] = A[q + j]
L[n1 + 1] = infinity
R[n2 + 1] = infinity
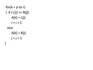
for(k = p to r)
{ if ( L[i] <= R[j])
A[k] = L[j]
i = i + 1
else
A[k] = R[j]
j = j + 1
}
Merge sort (A, p, r)
{ if (p < r) // check for base case
q = [ (p + r)/2 ] // divide step
Merge sort (A, p, q) // conquer step
Merge sort (A, q+1, r) // conquer step
Merge sort (A, p, q, r) // conquer step
}
MERGE SORT EXAMPLE :
1 5 7 8 2 4 6 9
p q q + 1 r
1 5 7 8 infinity 2 4 6 9 infinityL R
i=1 2 3 4 5 j=1 2 3 4 5
1K
1 2 3 4 5 6 7 8
MERGE SORT EXAMPLE :
1 5 7 8 2 4 6 9
p q q + 1 r
1 5 7 8 infinity 2 4 6 9 infinityL R
i=1 2 3 4 5 j=1 2 3 4 5
1 2K
MERGE SORT EXAMPLE :
1 5 7 8 2 4 6 9
p q q + 1 r
1 5 7 8 infinity 2 4 6 9 infinityL R
i=1 2 3 4 5 j=1 2 3 4 5
1 2 4K
MERGE SORT EXAMPLE :
1 5 7 8 2 4 6 9
p q q + 1 r
1 5 7 8 infinity 2 4 6 9 infinityL R
i=1 2 3 4 5 j=1 2 3 4 5
1 2 4 5K
MERGE SORT EXAMPLE :
1 5 7 8 2 4 6 9
p q q + 1 r
1 5 7 8 infinity 2 4 6 9 infinityL R
i=1 2 3 4 5 j=1 2 3 4 5
1 2 4 5 6K
MERGE SORT EXAMPLE :
1 5 7 8 2 4 6 9
p q q + 1 r
1 5 7 8 infinity 2 4 6 9 infinityL R
i=1 2 3 4 5 j=1 2 3 4 5
1 2 4 5 6 7K
MERGE SORT EXAMPLE :
1 5 7 8 2 4 6 9
p q q + 1 r
1 5 7 8 infinity 2 4 6 9 infinityL R
i=1 2 3 4 5 j=1 2 3 4 5
1 2 4 5 6 7 8K
MERGE SORT EXAMPLE :
1 5 7 8 2 4 6 9
p q q + 1 r
1 5 7 8 infinity 2 4 6 9 infinityL R
i=1 2 3 4 5 j=1 2 3 4 5
1 2 4 5 6 7 8 9K
/* Merging (Merge sort) */
#include <stdio.h>
void main ()
{
int a[10] = {1, 5, 11, 30, 2, 4, 6, 9};
int i,j,k,n1,n2,p,q,r;
p = 1; q = 4; r = 8; n1 = q-p+1; n2 = r-q;
int L[n1+1];
int R[n2+1];
for( i=0; i<n1; i++)
L[i] = a[p+i-1];
for( i=0; i<n1; i++)
printf("%d n", L[i]);
for( j=0; j<n2; j++)
R[j] = a[q+j];
L[n1] = 300; R[n2] = 300; i=0; j=0;
for( k=0; k<r; k++)
{
if (L[i] <= R[j])
{
a[k] = L[i];
i++;
}
else
{
a[k] = R[j];
j++;
IMPLEMENTING MERGE SORT :
There are two basic ways to implement
merge sort
In place : Merge sort is done with only the
input array
Double storage : Merging is done with a
temporary array of the same size as the input
array
MERGE-SORT ANALYSIS :
Time, merging
log n levels
Total time for merging : O (n log n)
Total running time : Order of n log n
Total space : Order of n
n/2 n/2
n/4 n/4 n/4 n/4
n
Performance of MERGESORT :
• Unlike quick sort, merge sort guarantees O (n log n)in
the worst case
• The reason for this is that quick sort depends on the
value of the pivot whereas merge sort divides the list
based on the index
• Why is it O (n log n ) ?
• Each merge will require N comparisons
• Each time the list is halved
• So the standard divide & conquer recurrence applies
to merge sort
T(n) = 2T * n/2 + (n)
FEATURES OF MERGE SORT :
• It perform in O(n log n ) in the worst case
• It is stable
• It is quite independent of the way the initial list is organized
• Good for linked lists. Can be implemented in such a way that
data is accessed sequentially.
Drawbacks :
It may require an array of up to the size of the original list.
This can be avoided but the algorithm becomes significantly
more complicated making it worth while.
Instead of making it complicated we can use HEAP SORT which
is also O(n log n ). But you have to remember that HEAP SORT is not
stable in comparison to MERGE SORT
QUERIES
?
THANK YOU

Merge sort algorithm power point presentation

  • 1.
  • 2.
    University of Science& Technology, Chittagong Faculty of Science, Engineering & Technology Department: Computer Science & Engineering Course Title: Algorithm lab Course code: CSE 222 Semester: 4th Batch: 25th
  • 3.
    Submitted by: Name: MdAbdul Kuddus Roll: 15010102 Submitted to: Sohrab Hossain , Assistant Professor, Department of CSE,FSET,USTC
  • 4.
  • 5.
    MERGE SORT : Mergesort was invented by John Von Neumann (1903 - 1957) Merge sort is divide & conquer technique of sorting element Merge sort is one of the most efficient sorting algorithm Time complexity of merge sort is O(n log n)
  • 6.
    DIVIDE & CONQUER •DIVIDE : Divide the unsorted list into two sub lists of about half the size • CONQUER : Sort each of the two sub lists recursively. If they are small enough just solve them in a straight forward manner • COMBINE : Merge the two-sorted sub lists back into one sorted list
  • 7.
    DIVIDE & CONQUERTECHNIQUE a problem of size n sub problem 1 of size n/2 sub problem 2 of size n/2 a solution to sub problem 1 a solution to sub problem 2 a solution to the original problem
  • 8.
    MERGE SORT PROCESS: • The list is divided into two equal (as equal as possible) part • There are different ways to divide the list into two equal part • The following algorithm divides the list until the list has just one item which are sorted • Then with recursive merge function calls these smaller pieces merge
  • 9.
    MERGE SORT ALGORITHM: • Merge(A[],p , q , r) { n1 = q – p + 1 n2 = r – q Let L[1 to n1+1] and R[1 to n2+1] be new array for(i = 1 to n1) L[i] = A[p + i - 1] for(j = 1 to n2) R[j] = A[q + j] L[n1 + 1] = infinity R[n2 + 1] = infinity
  • 10.
    for(k = pto r) { if ( L[i] <= R[j]) A[k] = L[j] i = i + 1 else A[k] = R[j] j = j + 1 }
  • 11.
    Merge sort (A,p, r) { if (p < r) // check for base case q = [ (p + r)/2 ] // divide step Merge sort (A, p, q) // conquer step Merge sort (A, q+1, r) // conquer step Merge sort (A, p, q, r) // conquer step }
  • 12.
    MERGE SORT EXAMPLE: 1 5 7 8 2 4 6 9 p q q + 1 r 1 5 7 8 infinity 2 4 6 9 infinityL R i=1 2 3 4 5 j=1 2 3 4 5 1K 1 2 3 4 5 6 7 8
  • 13.
    MERGE SORT EXAMPLE: 1 5 7 8 2 4 6 9 p q q + 1 r 1 5 7 8 infinity 2 4 6 9 infinityL R i=1 2 3 4 5 j=1 2 3 4 5 1 2K
  • 14.
    MERGE SORT EXAMPLE: 1 5 7 8 2 4 6 9 p q q + 1 r 1 5 7 8 infinity 2 4 6 9 infinityL R i=1 2 3 4 5 j=1 2 3 4 5 1 2 4K
  • 15.
    MERGE SORT EXAMPLE: 1 5 7 8 2 4 6 9 p q q + 1 r 1 5 7 8 infinity 2 4 6 9 infinityL R i=1 2 3 4 5 j=1 2 3 4 5 1 2 4 5K
  • 16.
    MERGE SORT EXAMPLE: 1 5 7 8 2 4 6 9 p q q + 1 r 1 5 7 8 infinity 2 4 6 9 infinityL R i=1 2 3 4 5 j=1 2 3 4 5 1 2 4 5 6K
  • 17.
    MERGE SORT EXAMPLE: 1 5 7 8 2 4 6 9 p q q + 1 r 1 5 7 8 infinity 2 4 6 9 infinityL R i=1 2 3 4 5 j=1 2 3 4 5 1 2 4 5 6 7K
  • 18.
    MERGE SORT EXAMPLE: 1 5 7 8 2 4 6 9 p q q + 1 r 1 5 7 8 infinity 2 4 6 9 infinityL R i=1 2 3 4 5 j=1 2 3 4 5 1 2 4 5 6 7 8K
  • 19.
    MERGE SORT EXAMPLE: 1 5 7 8 2 4 6 9 p q q + 1 r 1 5 7 8 infinity 2 4 6 9 infinityL R i=1 2 3 4 5 j=1 2 3 4 5 1 2 4 5 6 7 8 9K
  • 20.
    /* Merging (Mergesort) */ #include <stdio.h> void main () { int a[10] = {1, 5, 11, 30, 2, 4, 6, 9}; int i,j,k,n1,n2,p,q,r; p = 1; q = 4; r = 8; n1 = q-p+1; n2 = r-q; int L[n1+1]; int R[n2+1]; for( i=0; i<n1; i++) L[i] = a[p+i-1]; for( i=0; i<n1; i++) printf("%d n", L[i]); for( j=0; j<n2; j++) R[j] = a[q+j];
  • 21.
    L[n1] = 300;R[n2] = 300; i=0; j=0; for( k=0; k<r; k++) { if (L[i] <= R[j]) { a[k] = L[i]; i++; } else { a[k] = R[j]; j++;
  • 22.
    IMPLEMENTING MERGE SORT: There are two basic ways to implement merge sort In place : Merge sort is done with only the input array Double storage : Merging is done with a temporary array of the same size as the input array
  • 23.
    MERGE-SORT ANALYSIS : Time,merging log n levels Total time for merging : O (n log n) Total running time : Order of n log n Total space : Order of n n/2 n/2 n/4 n/4 n/4 n/4 n
  • 24.
    Performance of MERGESORT: • Unlike quick sort, merge sort guarantees O (n log n)in the worst case • The reason for this is that quick sort depends on the value of the pivot whereas merge sort divides the list based on the index • Why is it O (n log n ) ? • Each merge will require N comparisons • Each time the list is halved • So the standard divide & conquer recurrence applies to merge sort T(n) = 2T * n/2 + (n)
  • 25.
    FEATURES OF MERGESORT : • It perform in O(n log n ) in the worst case • It is stable • It is quite independent of the way the initial list is organized • Good for linked lists. Can be implemented in such a way that data is accessed sequentially. Drawbacks : It may require an array of up to the size of the original list. This can be avoided but the algorithm becomes significantly more complicated making it worth while. Instead of making it complicated we can use HEAP SORT which is also O(n log n ). But you have to remember that HEAP SORT is not stable in comparison to MERGE SORT
  • 26.