KEMBAR78
Sem2 - 1 Matrices | PDF
0% found this document useful (0 votes)
30 views17 pages

Sem2 - 1 Matrices

The document provides an overview of various types of matrices, including definitions and properties such as addition, multiplication, and special types like symmetric and skew-symmetric matrices. It also covers concepts like determinants, inverses, and the conditions for matrix equality. Additionally, it includes examples and exercises to illustrate these concepts.

Uploaded by

avinashzo889
Copyright
© © All Rights Reserved
We take content rights seriously. If you suspect this is your content, claim it here.
Available Formats
Download as PDF, TXT or read online on Scribd
0% found this document useful (0 votes)
30 views17 pages

Sem2 - 1 Matrices

The document provides an overview of various types of matrices, including definitions and properties such as addition, multiplication, and special types like symmetric and skew-symmetric matrices. It also covers concepts like determinants, inverses, and the conditions for matrix equality. Additionally, it includes examples and exercises to illustrate these concepts.

Uploaded by

avinashzo889
Copyright
© © All Rights Reserved
We take content rights seriously. If you suspect this is your content, claim it here.
Available Formats
Download as PDF, TXT or read online on Scribd
You are on page 1/ 17

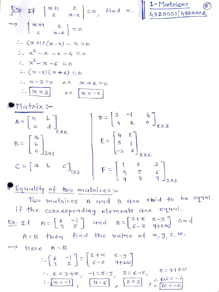
9CH 1-Mertnices

=o, ind c.
4320001/4320002

C H ) (x-e) - 4 =o
-X -2-4 o

x -6 0
x-3) (x+2) =6
. - 3 +o

Mataix

2X
,.
42
E S

cJax
2 3
C-(ab
1 JsxS

Eqyalit otwo mutaices -


suid to be equa
Twe ataices
A md B qAe

If The ConAespomding elements qne e u


tT 5- Gm
Ex: Tf A qyd 2 9t2

A B Hh en find he vale ef * , 2,
Hene hB
5-y

- 59+2
23+,|=s-9, 3= 6-2,
-E-, 9e,253] -2
Pes of Mataices
K Mataix mataix of onden I x i s calle
oo ataix.

9 A=[5. -1 , c [34
x3
)ColymnMataix - A mataix ef oadeh mx S Call eel
Col4mnrmataix.
e A-[i
4x
S TaMs pos e
ef Mataix - The mataix
a ec
Gbtta
TAOm given mataix A by inteachengins ifs
os and columms is called taemspose of A an4

is denofed by A en
A
7If A s mxn mataix then A is nxmmatAix.

3i ci n=[, + the
(i B- then | -1
J3xe
o,
Cii
c [3 - 4 TX3
the c J3x1
() Null Mataix A mataix with eall elenm ep
mataix 14
Ceno Is cCA|lee a mull mutaix on zeno

is enoted by O.

x
C5) Squ4Ae Mataix -
, 2xL©
In the given matnix, the numbe
o fAoos Is eqya o the mubey of colmns
called sq4Ae atnix.
5Ja3
The
Diagoma Mataix A Squane mataix in which
tememts on the phincipal diayon a A e mon-zeAo
a
Cm nemainq cll elerm ents qAe zeno, is cal ed
diagemq ataix.
e-3
Leetity Mataix mataix In
A eliagenal a^E
al the elememts ef its paincipel diagenal
mafhix
eqal ts (one) is
unity ca ll ed an id en tiby
eqnd is demoted y L.

[N], ich
Scala Mataix djaqenl mataix 17 n
A
all the elements of its 1emding diagnq
Sccal aA matAIX.
t o a scalqa ( say k) is call eel

a= [2],
)Smg14 Cand ron-siMmlas
manix
Nofufi A is the deteA minant of sqy aAe

=1
B then 181-
T f MEo then is called singulaA metaix
-s|mgylaA Matnix.
A IS called noy
0Symmetaic Mataix If A'A hen A is call ed
Symme taie matnix.

R2then A
J
. A is symm etnic mataix.

Skeo-symmetaic Mataix I A -A then

1S CcIled skew-symmm e t a i c matAIX.

- 3

e A |- then A=3
5 - 2
o -s 2

A is skew-syretmie matAIx.
* Pnopenies ef Mataices
1) Addifion of manices
hen
-2
tB =[ +[ 2

1t4 4+
2+3
3+1 t5 -1+2-
4iplicati n ot a matnix by q scql4-

e-9
-3
Note: )A = - A cnd is clled neyative o oppesite
of A
hem
EX If
-[: E 3] and c=[2 3]
f1d AtB A-B, 2A +3C A-2B+2C,

i A+B|

-1te 2+.3
3+4 1+1
E)+-2) 24E3
34-4) 1t1

ti) 2A+3C

-2+l2 4-3
St6 2+9

A-26+2c=[ i1-|
- 1 - 4 +1e 2-6-3

3 - +6 1+2+9J

=[
ExTfP and c

then ind 3At 2B-C .

3A+2B-C=
1

-3

3tC-1 4+8-2 15+1o-


-31-3 o +8-e 6+6-
12t6-4 +10-5 1+ 6
5
4 6 16
14 14
-5 them
solve the
EX: Tf A and c
folloing equaicns CID 2 x + A - B 2 C
C1) x+eA = B cl) x-A Btc

X+eA=B |(i) x- A =B+C


X = A+BtC
. X= B -eA

2-1-s
3+0 +C

4+2+4
-1-4
x = 4
CtI 2x+A-B = 2C

2 X - A+B+C

-1

-2-1-1o
-3to +
-4 tE+
-131

*
Fnodyet of Mataices
AB is
Fon too mtaices B, the hoduc
A q1d
of
Possible if and only if the mym bes of colym1s
The mataix A is eqyl to he ny ben o4 Ros of
the mqfaix B.

AMSmx mx

x3"bax4CLx4 Aex x ex L
3XE Spx5 3X5
Agx3 sx3 Cy3
3x3

ex3 3x3 AIxe2xCix


AA3X
3x
3Xe Caxe
A973
3xe B3x lhodyet does mot exist
does Mot exist.
2x3S2x4 Favel y cF

Note A 4 q
ass
x Method o CL+b ant bs
cn +ds
cptd
Cqe
L21

Lb1tbpd ctb4A

aut+bm tcn cup+bq+c qc+by+cz

+em+sn dFt eqt fA deteytfz


9 +hm +in gthy+ iz
4h+in
Ce Cs
CEN CL 23
C3L C33
Exf A amd B- them tind
md
AB
BA.

AB
| ()(e)+ (e)-0 -3+
(eC1)+3)(3) C4)Ca)+(-3)(4)
+-4) 9+ -IDC) + Co) ( 3) DE)+(o)(4)
= |2- -3
&-4 4-1
6-4 -4] -1+o -2t
[
Note: AB #BA
*Tf A and B 4 The find
Cmd
AB
BA

x 3 x o = (AB)
2X
Bax9 x3 BA)
3x3

-1)(2)t ((1)+(4) (-1) )-3)+(0) (4)+ (2) (5)


L59) + (1D(1) (1) (4)
+(-4)-1) (3)-3) + +4)5,
2to -2 3 to+ lo

6+1+4 - 4 4 20
13
-25

BA= 2
1

(91)+96) (0)+-3) (1) ()() + -3) (-4) |


C1-) +4) (3) C1)(E)+C4) 4 )
C1) ()+(43 (1)
1D-1) +t (5) (3) (-1)o)+(s) (1) 1)(E)+s) (-4)|
3 16
3
4+12
1+|2 4 2-16 1 -14
6
1+15 otS 2-20J
Ex. Tf h=[1 3-] Cmd B the find AB em
BA
Axs' 3x AB1X -1
Bx x (bR)X3
12
ABE 3 -

3X3
[-
1
the pneve thet
CA+B)A'+B camd CAB)= B'A
OR
A +B) = AT+ B Cmd (t) = bAT

1 AtB [L ]+[} }]|AT-[ J+


1 - 2 3+3 2t
Let1 4+1J 3 4ti
.A+B
- ci)

. CA+B):

. Faom ci) and tiv,


(A+B)A+
E) CAB)= s'AT

CAB)
+3
3+3 3+3
-4+4 St4

-cii
(AB) 1o
.FAom
ci 4 (ii) CAB)A
ExTf A= 3 then ind A
A = AA
T t A=|2 then find A-LA+3.
A A A -2A +3I

6 +3
6+1
1o-4+3

[ -4t
I f A= | them phove t h t AsA+tI=O

AA-A LHS= A-5 A+ T

= 9-1 3t
-3- -1+4
&-15+4 s-Sto
5+5t 3-e+7

[ ]
= 6 (ze^o Mataix)
RHS

A then shoo that A=

A AAA

[ot4-3 o -12+1e O-12 t|e


o-343 +-1 3 +9 1 2
O4-4 -4-12 4t 16 -3-1216
Ex I
B The ph ov e ht B B

1+3-S -|-3 t 5 1+3-S

-3-9+1S 3t9-ISs -3-+Iss


-S-15 +ES S+T5-25 -5-15+es

then the4t A*=


Poove

1-4 -12t4
|3-4 -4 +1 J 1S- -20+
6-3 - -9+3

imons emd cofacfoas f deteaniant ot hina


Oen
D=

b3
Minon ot Mino ot | 6

Mimo of =
Mimo o
Mino ot

Mino 6f b,=
Mimos f
* Co fr ctons
C

CofuctoA of s g n x mimon of a4

Cofucton of +
defemin4nT
mimoas cqnd
Fnd the detenminantt of
A
tcofacBons ot

Mine) of 1= =2e-54 =-£6 = m


35-4 = -13 = Az
A3
of 3 4S-3e
14-2+
-13 =
B
Minon of s
= -24 -1t B
Mimo ef 4|
MimOA o 6 16 -7

12- l2
= o C
Mino ot |4 | =

MimeA ot = 6-15 4 =

Mimo of =4- 1o -G s
13
A A
: Deteinant of minoAs =

|-13 -17
C Ce
X Find the invense of the folowing matai ces.

=-3-=-11 +o

adjn-
adja = IA1

e
tsl| -15++=-to
ajs
(3)
A

31-o+1[4+5) t[o-s]
3+9-lo
adjA 2o
Mino of 3 = 1-o 1 MinoA of 1= |5

-|| i
= 4+5 = Mino of 1
=o-S =
=ot5
4 -1
MiO of 5 1-2 -1

- 3 - & = -11

= 3+4
MtAix of minoAs=

Mataix f [A-
Cof4ctons-A Bc 11
-

ajA=|2-5 -

C4) A
Ans:
Lo
I t A= then sho het AA=I

d j n =[

3te 1-
6-G 2+3
Ex T4 A hey paove thet AA I

1= =
2t3 =5 to

et3 3-3 |
Le-2 3+2J

Ex Tf A= | 4 -3
them Pove thet cidjA= A .
L4
Mimosf -41 -4 =-4

=3-4= -1

+12= 3

-12 t 12=o

-16-+|2 = -4

4 3 3-o -3

4 -4*3
3 -3 o+3 3
.Mataix of rminons

Metaix of cofactons =

aja= A
4

*Hppliecetim ot matnix
Uniqe solu tiom ot system f lineen equati n s
in tuo vqniablos

You might also like